Abstract
Amorphous materials with non-periodic structures are commonly evaluated based on their chemical composition, which is not always the best parameter to evaluate physical properties, and an alternative parameter more suitable for performance evaluation must be considered. Herein, we quantified various structural and physical properties of Ce-doped strontium borate glasses and studied their correlations by principal component analysis. We found that the density-driven molar volume is suitable for the evaluation of structural data, while chemical composition is better for the evaluation of optical and luminescent data. Furthermore, the borate-rich glasses exhibited a stronger luminescence due to Ce3+, indicating a higher fraction of BO3/2 ring and larger cavity. Moreover, the internal quantum efficiency was found to originate from the local coordination states of the Ce3+ centres, independent of composition or molar volume. The comparison of numerical data of the matrix is useful not only for ensuring the homogenous doping of amorphous materials by activators, but also for determining the origin of physical properties.
Subject terms: Glasses, Structure of solids and liquids, Optical materials and structures
Introduction
Glass is generally considered macroscopically homogenous, and its physical properties are generally evaluated based on the chemical composition. In addition to chemical composition, other parameters can also be used to quantify the properties of glasses. Optical basicity, which is based on the acid–base behaviour of oxygen as defined by Duffy and Ingram1,2, is one of the parameters that are used to classify glasses1–4. The optical basicity of glass is another notation of glass composition for binary oxide glasses because the theoretical optical basicity of glass is the summation of the basicity of each oxide multiplied by the molar fraction of the constituent oxides. Besides, as a mechanical parameter, the molar volume (VM), which is calculated from the density and chemical composition of glass, is sometimes used to evaluate the physical properties of glasses. Contrary to common belief, the relationship between chemical composition and density is not always linear. A change in the network structure of glass gives rise to compositional nonlinearity, which is different from the expected behaviour5,6. Therefore, the compositional dependence of physical and structural parameters needs to be studied in detail.
Optical and luminescent properties are the most common research subjects of glasses. Among the various types of glasses, activator-doped glass has attracted significant attention not only for practical applications, but also for understanding fundamental scientific concepts in this field7–10. Since the luminescent intensity of conventional glass or defect-containing glass is not high, activators such as rare earth cations are often doped for phosphor applications. Ce is one of the important activators owing to its short decay constant (several tens of nanoseconds) and high internal quantum efficiency due to the parity-allowed 5d–4f transition11–26. Because Ce cations oxidize in air during sample preparation17,18, Ce3+-containing materials are preferably synthesized in an inert atmosphere. For glass preparation by the conventional melt quenching method under inert conditions, the chemical compositions suitable for the host glass are limited due to the restrictions on synthesis conditions since the maximum temperature attainable for synthesis in a silica tube furnace is approximately 1100 °C12. One of the candidate host glasses for the preparation of Ce-containing glass by the melt quenching method in an inert atmosphere is borate-based glass25,26. Although borate glasses have low chemical durability compared with silicate glasses27, the low melting process, i.e., a low fabrication energy is fascinating from the viewpoint of industrial application. We have recently reported that alkaline earth cations affect the luminescent properties of Ce-doped 40RO–60B2O3 glasses (RO = alkaline earth oxide)26. Additionally, we examined the luminescent properties of Ce-doped 25SrO–75B2O3 glass25, which is the stoichiometric chemical composition of SrB6O10 crystals28. Based on these previous studies, it is expected that Ce-doped strontium borate glass can be used to investigate the relationship between the chemical composition of host glasses and the luminescent properties of Ce3+.
In this study, we investigated the relationship between the structural and physical parameters of Ce-doped borate glasses, focusing on the theoretical optical basicity and VM as the variables. Since the optimum concentration of Ce3+ is reported as 0.1 mol%25, we used a 0.1Ce–(100–x)SrO–xB2O3 glass (denoted as Ce:SBOx). Recently, we demonstrated that a combination of several measurements is important to determine a reliable structure5. We used principal component analysis (PCA) for the numerical examination of various structural and optical data. Although numerical analysis is often used to survey big data, we believe that this method can be used to study glasses with random networks. Additionally, we evaluated the validity of using numerical analysis based on experimental datasets, such as structural, mechanical, optical, and luminescent properties, for examining glasses.
Results
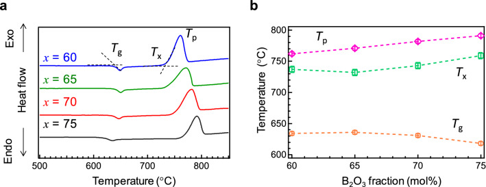
Figure 1a shows the differential thermal analysis (DTA) curves of the Ce:SBOx glasses. To obtain homogeneous glasses under inert melting at 1100 °C, we selected compositions of x = 60, 65, 70, and 75 (mol%) as the B2O3 fraction. The glass transition temperature (Tg) and crystallization onset temperature (Tx) were determined by the extrapolation of the DTA curves, whereas the crystallization peak temperature (Tp) was determined as the temperature of the exothermic peak (crystallization peak). Figure 1b shows the Tg, Tx, and Tp as a function of B2O3 fraction. With increasing B2O3 fraction, the Tg decreased, whereas the Tx and Tp increased. The thermal stability against crystallisation of glasses is often assessed from the difference between Tx and Tg29. The DTA results revealed that the Ce:SBO75 glass is the most thermally stable against crystallite precipitation among all the Ce:SBO glasses in this study.
Figure 1.
Thermal properties of Ce:SBOx glasses. (a) DTA curves of Ce:SBOx glasses and the glass transition temperature (Tg), crystallization onset temperature (Tx), and crystallization peak temperature (Tp). (b) Variations in Tg, Tx, and Tp as a function of B2O3 fraction.
The elastic modulus, a physical property of bulk matrices, is related to the glass network30. In this study, the longitudinal elastic modulus (c11), which was calculated from Brillouin scattering measurements, was used for the evaluation of Ce:SBOx glasses. Figure 2a shows the Brillouin spectra of the Ce:SBOx glasses. To determine the Brillouin shift (νB), data fitting was performed using the Lorentzian functions shown in Eq. (1).
| 1 |
where I(ν) and ν are the intensities of the Brillouin spectrum and frequency, respectively. A, B, and C are the fitting parameters.
Figure 2.
Dynamic structure factors of Ce:SBOx glasses. (a) Brillouin spectra of Ce:SBOx glasses. (b) νB and c11 values of Ce:SBOx glasses as a function of molar volume (VM). (c) Positron decay curves of Ce:SBOx glasses. (d) Cavity diameter of Ce:SBOx glasses as a function of VM.
Figure 2b shows the νB and c11 values of the Ce:SBOx glasses as a function of VM. As can be seen, both νB and c11 decreased with increasing VM, with the Ce:SBO75 glass exhibiting the lowest elastic modulus among all the Ce:SBO glasses in this study. Figures S1(a) and S1(b) show the dependences of νB and c11 on the B2O3 fraction and VM, respectively. The coefficient of determination (R2) obtained by the linear fitting of c11 indicates that VM is a more suitable function than B2O3. The VM is considered to be related to free volume, that is, the cavity of the glass matrix. The cavity size was determined by positron annihilation spectroscopy (PAS)31–34. Although the cavity sizes of several glass systems have been reported, the correlation between the cavity size determined by PAS and structure is mostly unknown33,34. In the case of insulators, the decay curve of positronium can be deconvoluted into three components. The first component is attributed to the lifetime of para-positronium, which has a theoretical value of 125 ps. The second component is the lifetime of positron annihilated without the formation of positronium, which also includes positron decay due to interaction with the Kapton film. The third component is the reflected lifetime of ortho-positronium, which is used to evaluate the free volume (cavities) of the matrix31. The decay constant of the third component of positronium correlates with the free volume of the matrix. Figure 2c shows the decay curves, whose intensities are normalized using the maximum intensity of the Ce:SBOx glasses. The cavity size can be calculated from the decay constant of the third component31. Figure 2d shows the cavity diameter as a function of the VM of the Ce:SBOx glasses. The cavity diameter increased with increasing VM, which agrees well with the trend of elastic moduli. Thus, we assume that the large cavity of strontium borate glasses is one of the origins of their low elastic modulus.
The cavity of borate glasses is related to the borate network structure consisting of three-coordinated boron (BO3/2) and four-coordinated boron (BO4/2). On the other hand, oxygens connected to boron cations are classified into non-bridging and bridging oxygens in the matrix35,36. The shift in the binding energy of oxygen in the X-ray photoelectron spectroscopy (XPS) profile suggests the oxygen state, thus distinguishing between bridging and non-bridging oxygens. The O 1s XPS spectra can be discussed based on the optical basicity proposed by Duffy and Ingram1. The optical basicity of the host glasses can be calculated using the reported values1–3. Since the optical basicities (Λ) of SrO and B2O3 are 1.10 and 0.42, respectively3, the Λ of the 40SrO-60B2O3 glass (0.692) is the highest, while that of the 25SrO–75B2O3 glass is the lowest (0.59). Here, we present a previously reported XPS result of binary strontium borate glasses37. Figure 3a shows the O 1s XPS spectra of (100–y)SrO–yB2O3 glasses, whose chemical compositions were confirmed by inductively coupled plasma-atomic emission spectrometry. The binding energy of the oxygen continuously shifted without any remarkable spectral change. However, it is difficult to deconvolute these peaks into more than two components without a subjective viewpoint. Therefore, we assume that all the oxygens in these glasses are bridging oxygens. Figure 3b shows the O 1s binding energies (error bars: ± 0.2 eV) of (100–y)SrO–yB2O3 glasses as a function of theoretical optical basicity37. The coloured region corresponds to the present chemical compositions. Considering the previous results, all the oxygens in the present glasses are considered bridging oxygens. To examine the BO bonding, that is, the main glass network, 11B magic angle spinning (MAS) nuclear magnetic resonance (NMR) spectroscopy was performed. Figure 3c shows the 11B MAS NMR spectra of the glasses, with the peak area normalized using the number of B cations. The broad non-symmetric peak at around 15 ppm corresponds to BO3/2, and the BO3/2 units are further classified into BO3/2 ring and BO3/2 non-ring structures. The sharp peak at around 0 ppm is attributed to BO4/238–41. In the BO4/2 unit, other cations (Sr or Ce in this study) are located near the B cation to compensate for the negative charge. Hence, compared with BO3/2, BO4/2 has a more packed structure, which affects the density of glasses. Further, we estimated the BOn/2 ratio in each glass by peak deconvolution. Figure 3d shows the BO4/2 ratio and fraction as a function of VM. As shown in Table S2, the VM is linearly correlated with the ratio and fraction of each unit. The ratio and fraction of the BO3/2 ring increased with increasing VM, suggesting that the increase in VM leads to the formation of BO3/2 ring. Considering the cavity diameter determined by PAS, it is reasonable that the glass with a higher BO3/2 ring fraction has a lower elastic modulus30.
Figure 3.
Static structure factors of Ce:SBOx glasses. (a) O 1s XPS spectra of (100–y)SrO–yB2O3 glasses37. (b) O 1s binding energy of (100–y)SrO–yB2O3 glasses as a function of theoretical optical basicity37. The coloured region indicates the present glass compositions. (c) 11B MAS NMR spectra of Ce:SBOx glasses. The dashed lines indicate ring BO3/2, non-ring BO3/2, and BO4/2 after peak deconvolution. (d) Ring BO3/2, non-ring BO3/2, and BO4/2 ratio and their fractions as a function of B2O3 fraction. The BOn/2 fractions were calculated from the B2O3 fraction and BOn/2 ratio.
We examined the local change in coordination by Sr K-edge X-ray absorption fine structure (XAFS) spectroscopy. Figure 4a shows the Sr K-edge XAFS spectra of the Ce:SBO glasses and the SrO reference. Although the glasses exhibited similar spectra, a slight difference was observed. Figure 4b shows the extended X-ray absorption fine structure (EXAFS) spectra k3 χ(k) of Ce:SBO60 and Ce:SBO75 glasses and their fitting curves (the other results are shown in Fig. S2). The fitting was performed in the k range of 3–12 Å−1, and the fitting parameters are summarized in Table S3. For fitting, the Debye–Waller factor was fixed because the binary glass systems are similar. Figure 4c shows the Fourier transform of the EXAFS spectra of the glasses and the fitting curves. The fitting was performed in the R range of 1.5–2.6 Å (the other results are shown in Fig. S3). Since the crystalline structure of SrB6O10 has not been reported, we used SrB4O7 (stoichiometric chemical composition: 33.3SrO–66.6B2O3)42 as a reference. From the fitting curve, we calculated the average coordination number of Sr cations and the Sr–O distance for each glass. The results are summarized in Fig. 4d, in which the coordination number and Sr–O distance are plotted as a function of SrO fraction. The data are consistent with our expectation, that is, the Ce:SBO75 glass with a high VM exhibited a long Sr–O distance and a high coordination number. Although both the Sr–O distance and coordination number increased with increasing VM, the increase in Sr–O distance with VM is non-linear, similar to νB and cavity diameter. These structural and physical parameters will be used for PCA in the discussion session.
Figure 4.
Sr K-edge XAFS analysis of Ce:SBOx glasses. (a) Sr K-edge XAFS spectra of Ce:SBOx glasses and SrO reference. (b) EXAFS spectra k3 χ(k) of Ce:SBO60 and Ce:SBO75 glasses and their fitting curves. (c) Fourier transform of EXAFS spectra of Ce:SBO60 and Ce:SBO75 glasses and their fitting curves. (d) Coordination number of Sr cation and Sr–O distance as a function of SrO fraction.
Next, we examined the optical and luminescent properties of the activator in the strontium borate glasses. Since the valence state of activators is an important factor for the improvement of luminescence, we determined the valence state of Ce cations by X-ray absorption near edge structure (XANES) spectroscopy. Figure 5a depicts the Ce LIII-edge XANES spectra of the Ce:SBO glasses and the references (Ce(OCOCH3)3·H2O and CeO2 for Ce3+ and Ce4+, respectively). Although the spectral shape is similar to that of Ce(OCOCH3)3·H2O, the spectra indicate the presence of a small amount of Ce4+. After peak deconvolution using the reference spectra, the Ce3+/(Ce3+ + Ce4+) ratio was estimated. The Ce3+/(Ce3+ + Ce4+) ratios are 88 ± 2% (x = 75), 85 ± 3% (x = 70), 87 ± 2% (x = 65), and 83 ± 3% (x = 60). Although there is no linear relationship between the Ce3+/(Ce3+ + Ce4+) ratio and the optical basicity, the Ce3+/(Ce3+ + Ce4+) ratio roughly decreased with increasing optical basicity, which is consistent with previous reports1–4. Despite melting in an inert atmosphere using a reducing agent, a Ce3+/(Ce3+ + Ce4+) ratio of 100% cannot be achieved26. The Ce3+/(Ce3+ + Ce4+) ratio of the prepared glass is higher than that previously reported26. This is attributed to the different preparation processes, that is, calcination was performed before melting in the previous study26. Considering the Ce3+/(Ce3+ + Ce4+) ratio, we assume that Ce3+, whose oxidation is restricted during the present melting, affects the luminescence and optical absorption properties of Ce:SBOx glasses.
Figure 5.
Absorption spectra of Ce:SBOx glasses. (a) Ce LIII-edge XANES spectra of Ce:SBOx glasses. The references Ce(OCOCH3)3·H2O and CeO2 are used for Ce3+ and Ce4+, respectively. (b) Optical absorption spectra of Ce:SBOx glasses (solid lines) and non-doped SBOx glasses (dashed lines). (c) Optical absorption spectrum of Ce in the Ce:SBO75 glass, which is obtained by subtracting the absorption spectrum of non-doped SBO75 glass. The spectrum can be deconvoluted into six excitation bands (dashed lines). (d) Energy difference between the highest and lowest 4f−5d transition bands as a function of theoretical basicity.
Figure 5b shows the optical absorption spectra of the Ce:SBOx glasses with different B2O3 fractions. The absorption spectra of the Ce-free SBOx glasses are shown for comparison. Considering the previous results for the optical properties of SrO–B2O3 glasses25, the complex absorption bands in the UV region are attributed to the 4f–5d and 4f–6s transitions12,18,43. No absorption band corresponding to O–Ce4+ charge transfer17,43,44 was observed in these spectra, which indicates that Ce3+ is the main valence state of the Ce cation. The optical absorption edge due to the lowest 4f–5d transition of Ce3+ in B2O3-rich glasses is higher than that in B2O3-poor glasses. Since the 4f–5d transition is affected by the local coordination field, the absorption shift is considered to reflect the surrounding local basicity of the Ce3+ cation.
These absorption bands were analysed in detail by peak deconvolution performed using Gaussian functions with the six absorptions due to five individual 4f–5d bands and a 4f–6s band, with a full width at half maximum (FWHM) of 5000 cm−1, as shown in Fig. 5c and S4. As shown in Fig. S4, the lowest band shifted depending on the B2O3 fraction, while the position of the highest band was almost unchanged. Here, we focus on the energy difference between the highest and lowest excitation bands, as indicated by the arrows in Fig. 5c. Figure 5d shows the energy difference between the lowest and highest 4f–5d bands. There is a good correlation between optical basicity and energy difference with a R2 of 0.994 obtained by linear fitting. The higher correlation is consistent with the findings of previous studies on the theoretical examination of correlation between luminescence and optical basicity of glasses4,20.
The photoluminescence (PL) and photoluminescence excitation (PLE) spectra of the glasses at room temperature (RT) are shown in Fig. 6a. The optical absorption bands and the PLE bands overlap well, which suggests that Ce3+ is the main valence state giving rise to the excitation band for the emission (Fig. S5). Additionally, the PLE peak was located at the tail of the absorption spectrum. The PL-PLE contour plot of the Ce:SBO75 glass is shown in Fig. 6b. Both the PLE and PL peaks blue-shifted with increasing B2O3 fraction (Fig. S6), suggesting that both excitation and emission are affected by the local coordination field. However, the Stokes shift, which is the energy difference between the two peaks, is almost constant independent of the B2O3 fraction. Furthermore, the overlapping areas of the PL and PLE bands changed (Fig. 6c), as estimated from Fig. 6a. This suggests that the overlapping peak area increased with increasing optical basicity although the Stokes shift was almost constant. Therefore, we focused on the broadening of the PL and PLE bands. Figure 6d shows the PL spectra of the glasses with the energy shift toward higher wavenumbers for normalization of the bandwidth. The result suggests that the energy distribution of the emission bands becomes narrower with increasing B2O3 fraction (the emission band of the Ce:SBO75 glass is the narrowest). The inset shows the width at full maximum of these bands as a function of optical basicity. The bandwidths exhibit a behaviour similar to that the PL-PLE overlapping peak area. Additionally, the PLE bands broadened, as shown in Fig. S7. Thus, the chemical composition, that is, the network structure of glass affects not only the peak energy, but also the bandwidth. It is noteworthy that the band distribution is the narrowest for the Ce:SBO75 glass having the lowest VM. This is attributed to the narrowing of the spatial distribution of Ce in the SBO75 glass, which is the stoichiometric chemical composition of the SrB6O10 crystal. In the SrB6O10 host crystal, the Ce cations are assumed to be located at the Sr sites. Since there is no precise data on the crystal structure of SrB6O10, the coordination number of Ce3+ cations in the matrix remains unclear. The relationship between the Sr coordination number and the emission properties of Ce3+ is discussed in the next section.
Figure 6.
Photoluminescence properties of Ce:SBOx glasses I. (a) PL and PLE spectra of Ce:SBOx glasses at RT. The two arrows indicate the excitation and emission energies, respectively. (b) PL-PLE contour plots of Ce:SBO75 glass. The dashed lines indicate the peak excitation and emission energies. (c) Areas of overlapping excitation and emission bands as a function of B2O3 fraction. (d) Normalized PL spectra of the glasses with the energy shift toward higher wavenumbers. Inset shows the PL bandwidth at full maximum.
The PL decay curves of the Ce:SBOx glasses with excitation energies of 35,700 cm−1 are shown in Fig. 7a. As can be seen, the decay curves slightly deviate from linearity, especially the decay curve of Ce:SBO60, and the decay constants decreased with decreasing B2O3 fraction. Considering the Ce3+/(Ce3+ + Ce4+) ratio and the excitation light source (29.4 × 103 cm−1), it is expected that the absorption properties of Ce3+ and the oxidised Ce4+ species affect the luminescence decay profiles. Because there is a larger energy overlap of excitation and absorption, which is the origin of the energy migration of the activators, a non-exponential decay curve is observed in the Ce:SBO60 glass. The τ1/e decay constants of Ce3+ in the glasses were obtained by fitting with two decay components. Figure 7b shows the τ1/e decay constants and the internal quantum efficiency (QE) of the Ce:SBOx glasses as a function of optical basicity. The τ1/e decay constants and the QE suggest that the Ce:SBO75 glass exhibit the best performance among all the glasses despite the similar Ce3+ concentration. The R2 obtained by the linear fitting of the decay constant was 0.999. Although the energy transfer, that is, concentration quenching between the cations is considered to be related to the interatomic distance, the R2 obtained by linear fitting of the decay constant with the VM [Fig. S8(b)] is lower than that in Fig. 7b. Furthermore, the τ1/e constants change linearly depending on the optical basicity, while the QEs exhibit a nonlinear dependence on optical basicity. This suggests a small deviation in the local coordination state of the Ce cations, such as the valence state, the coordination number, and homogeneity of spatial dispersion. This is discussed in detail in the next section.
Figure 7.
Photoluminescence properties of Ce:SBOx glasses II. (a) PL decay curves of Ce:SBOx glasses measured at an excitation energy of 35,700 cm−1. (b) Decay constant τ1/e and QY of Ce:SBOx glasses as a function of Λth.
Discussion
Glasses are generally analysed based on their chemical composition. However, chemical composition is not always the best parameter to evaluate the physical properties of glasses. In case the physical property values of glass change nonlinearly with the chemical composition, an alternative parameter that scientifically correlates to the data needs to be used. In this study, we used the optical basicity (i.e. B2O3 fraction) and VM of Ce:SBOx glasses to examine the structural, optical, and luminescent properties. It should be noted that the B2O3 fraction reflects only the cationic ratio in glass, not the glass network. Therefore, we think that density-driven analysis is suitable for the examination of glass, especially for the structure and mechanical properties. Since the physical values change depending on the origin or a combination of origins, we evaluated the correlations by linear fitting. As shown in the results section, some parameters exhibit nonlinear dependence on the chemical composition. For these parameters, the VM was found to be better than the chemical composition (optical basicity) for evaluation. For most data exhibiting nonlinear compositional dependence, an inflection point can be observed between the SBO65 and SBO70 glasses. To explain these nonlinearities, we assume that the glassy states of strontium borate glass were changed by crossing the borderline of the SrB4O7 (33.3SrO–66.6B2O3) phase42, and that such nonlinearity originates from the structural changes of glass network, i.e., the difference in connection of borate units.
Here, we discuss the origin of the cavity determined by PAS. The boroxol ring structure has been reported for B2O3 glasses based on diffraction analysis45,46. The cavity in the boroxol ring should be smaller than 2.75 Å45, which is smaller than that calculated in this study (3.4–3.7 Å). Besides, since the first sharp diffraction peak (QFSDP) appears at ~ 1.55 Å−145, the periodicity (2π/QFSDP) is approximately 4 Å. Therefore, the cavity detected by positronium is considered to be outside the boroxol ring and might exist between the ring structures. Since the cavity is almost inversely proportional to νB, the two data points should be related to each other.
We used PCA to determine the relationship between several numerical data. Although PCA is a mathematical analysis based on numerical datasets, the correlation factors can indicate indirect relationships. As shown in Table 1, several numerical data are used with different units, properties, and structures at different distance ranges, which are shown in Figs. 1, 2, 3, 4, 5, 6 and 7. The correlation matrices of these data obtained by PCA are shown in Table 2. First, we compare the dependences of the parameters on the theoretical basicity of the host (Λth) and VM. Although the correlation factors appear similar, some differences exist. The correlation factors of Λth are mostly higher than those of VM for the optical and luminescent properties, while the correlation factors of VM are higher for the structural parameters such as the ratio of the BO3/2 ring, rring, and cavity diameter (φ). Since the Λth is a parameter of the average basicity of oxygen, the linear dependence of optical basicity proves that the Ce cations are homogenously dispersed in the glass matrix. Moreover, the QYs of the Ce:SBOx glasses have a smaller correlation than the other parameters, indicating that the efficiency is dominated by the local coordination states of the Ce3+ cations, although precise data on the spatial distribution of all the cations are unavailable. Considering CNSr, it is speculated that there is no clear relationship between the local coordination of Ce3+ cations and the coordination of Sr sites. In other words, the Ce3+ cations are expected to be located not only at the Sr site but also at the interstitial site in a random network. Even in SBO75 glass, which is the stoichiometric chemical composition of SrB6O10 crystal, it is expected that the Ce sites are not fixed in the glass network, which is the origin of the wide emission and excitation spectra. Additionally, spatial diversity is considered the cause of PL and PLE band broadening. Next, we focus on νB, which is a macroscopic property of glass and is highly correlated with c11, BO4 ratio (rBO4), Sr coordination number (CNSr), and the PL-PLE overlapping peak area (σPL). Additionally, the fractions of B atoms, fB, Tg, and rring have relatively higher correlations. Although νB and these parameters, except c11, are not directly correlated, the correlation between the borate network and νB seems natural. Although we cannot explain the origin of these high correlations, we confirmed that the structural data depend on the density-driven parameter, which can provide information about the network structure. Based on the results, the numerical data for different distance ranges are considered important for understanding the complex glass network structure. We emphasize that the PCA-based numerical examination is an effective analytical approach for glasses consisting of various network structures. Thus, the inferences drawn from the PCA evaluation need to be carefully discussed. We expect that this experiment-based numerical analysis will become an important analytical approach in the near future, especially for multicomponent glass systems.
Table 1.
Physical parameters of Ce:SBOx glasses.
| ID | Parameters | Ce:SBO60 | Ce:SBO65 | Ce:SBO70 | Ce:SBO75 |
|---|---|---|---|---|---|
| 1 | Theoretical basicity of host, Λth | 0.692 | 0.658 | 0.624 | 0.590 |
| 2 | VM (cm3/mol) | 25.50 | 26.18 | 27.11 | 28.36 |
| 3 | Fraction of B atom, fB (atom%) | 31.6 | 32.9 | 34.1 | 40.0 |
| 4 | Fraction of Sr atom, fSr (atom%) | 10.5 | 8.9 | 7.3 | 5.9 |
| 5 | Tg (°C) | 634 | 636 | 631 | 618 |
| 6 | νB (GHz) | 37.06 | 36.95 | 36.06 | 34.48 |
| 7 | c11 (GPa) | 120.3 | 116.1 | 106.9 | 93.94 |
| 8 | Cavity diameter, φ (nm) | 0.341 | 0.343 | 0.347 | 0.366 |
| 9 | BO3/2 ring ratio, rring (%) | 49.5 | 52.1 | 56.1 | 62.2 |
| 10 | BO4 ratio, rBO4 (%) | 41.3 | 40.2 | 36.7 | 30.4 |
| 11 | Coordination number of Sr, CNSr | 6.34 | 6.29 | 6.56 | 7.13 |
| 12 | Energy difference between the lowest and highest 4f–5d absorption bands (103 cm−1), ΔE | 13.18 | 12.87 | 12.65 | 12.40 |
| 13 | PL-PLE overlapping peak area, σPL | 1.28 | 1.25 | 1.14 | 1.00 |
| 14 | PL decay constant, τ (ns) | 34.53 | 35.12 | 35.79 | 36.35 |
| 15 | Quantum efficiency, QY (%) | 60 | 69 | 72 | 72 |
Table 2.
Correlation matrices of the data.
| Λth | VM | fB | fSr | Tg | νB | c11 | φ | rring | rBO4 | CNSr | ΔE | σPL | τ | QY | |
|---|---|---|---|---|---|---|---|---|---|---|---|---|---|---|---|
| Λth | 1.00 | − 0.99 | − 0.92 | 1.00 | 0.84 | 0.93 | 0.98 | − 0.90 | − 0.98 | 0.95 | − 0.89 | 1.00 | 0.97 | − 1.00 | − 0.89 |
| VM | − 0.99 | 1.00 | 0.96 | − 0.99 | − 0.91 | − 0.97 | − 1.00 | 0.95 | 1.00 | − 0.98 | 0.94 | − 0.98 | − 0.99 | 0.99 | 0.82 |
| fB | − 0.92 | 0.96 | 1.00 | − 0.91 | − 0.97 | − 0.98 | − 0.97 | 1.00 | 0.97 | − 0.99 | 0.98 | − 0.91 | − 0.97 | 0.91 | 0.66 |
| fSr | 1.00 | − 0.99 | − 0.91 | 1.00 | 0.83 | 0.92 | 0.97 | − 0.88 | − 0.98 | 0.94 | − 0.87 | 1.00 | 0.96 | − 1.00 | − 0.90 |
| Tg | 0.84 | − 0.91 | − 0.97 | 0.83 | 1.00 | 0.98 | 0.94 | − 0.98 | − 0.93 | 0.97 | − 1.00 | 0.82 | 0.95 | − 0.85 | − 0.51 |
| νB | 0.93 | − 0.97 | − 0.98 | 0.92 | 0.98 | 1.00 | 0.99 | − 0.99 | − 0.98 | 1.00 | − 0.99 | 0.91 | 0.99 | − 0.93 | − 0.66 |
| c11 | 0.98 | − 1.00 | − 0.97 | 0.97 | 0.94 | 0.99 | 1.00 | − 0.96 | − 1.00 | 1.00 | − 0.97 | 0.96 | 1.00 | − 0.97 | − 0.77 |
| φ | − 0.90 | 0.95 | 1.00 | − 0.88 | − 0.98 | − 0.99 | − 0.96 | 1.00 | 0.96 | − 0.98 | 0.99 | − 0.89 | − 0.96 | 0.89 | 0.62 |
| rring | − 0.98 | 1.00 | 0.97 | − 0.98 | − 0.93 | − 0.98 | − 1.00 | 0.96 | 1.00 | − 0.99 | 0.95 | − 0.97 | − 1.00 | 0.98 | 0.79 |
| rBO4 | 0.95 | − 0.98 | − 0.99 | 0.94 | 0.97 | 1.00 | 1.00 | − 0.98 | − 0.99 | 1.00 | − 0.98 | 0.94 | 1.00 | − 0.95 | − 0.70 |
| CNSr | − 0.89 | 0.94 | 0.98 | − 0.87 | − 1.00 | − 0.99 | − 0.97 | 0.99 | 0.95 | − 0.98 | 1.00 | − 0.86 | − 0.97 | 0.88 | 0.57 |
| ΔE | 1.00 | − 0.98 | − 0.91 | 1.00 | 0.82 | 0.91 | 0.96 | − 0.89 | − 0.97 | 0.94 | − 0.86 | 1.00 | 0.95 | − 1.00 | − 0.91 |
| σPL | 0.97 | − 0.99 | − 0.97 | 0.96 | 0.95 | 0.99 | 1.00 | − 0.96 | − 1.00 | 1.00 | − 0.97 | 0.95 | 1.00 | − 0.97 | − 0.74 |
| τ | − 1.00 | 0.99 | 0.91 | − 1.00 | − 0.85 | − 0.93 | − 0.97 | 0.89 | 0.98 | − 0.95 | 0.88 | − 1.00 | − 0.97 | 1.00 | 0.89 |
| QY | − 0.89 | 0.82 | 0.66 | − 0.90 | − 0.51 | − 0.66 | − 0.77 | 0.62 | 0.79 | − 0.70 | 0.57 | − 0.91 | − 0.74 | 0.89 | 1.00 |
Higher correlations (> 0.99) are shown in boldface.
Conclusion
We compared the dependences of the various properties of Ce-doped strontium borate glass on chemical composition and VM by PCA and found that the structural data are highly correlated with the density-driven VM, while the optical data are correlated with the chemical composition, i.e., optical basicity. The cavity size determined by PAS seems to be correlated with νB, which reflects network connectivity. The ratios of BO4/2 and BO3 ring exhibit an almost inverse relationship, indicating a structural change from BO3 ring to BO4/2 with the addition of Sr cations. Because of the outermost shell electrons, the optical and luminescent properties of Ce3+ are affected by the chemical composition. The correlation of optical absorption bands and PL decay constants with optical basicity suggests that Ce3+ is homogeneously dispersed in the matrix. Moreover, the quantum efficiency of the Ce-doped glass exhibits a nonlinear dependence on composition and VM. Numerical analysis by PCA supports our traditional expectation and predicts an indirect correlation in the random network of glasses.
Methods
Preparation of Ce-doped strontium borate glasses
The starting chemicals for the Ce-doped strontium borate glasses were SrCO3 (99.9%), B2O3 (99.9%), and Ce(OCOCH3)3·H2O (99.9%). Before using B2O3, we measured the weight loss of B2O3 during heating by DTA and weighed B2O3 by accounting for the weight loss. All chemicals were mixed and placed in Pt crucibles, which were then placed in a SiO2 tammann tube furnace. The tammann tube was vacuumed to less than − 0.1 MPa, and then a high-purity Ar gas (99.999%) was purged. The above vacuum and purge processes were repeated three times to ensure that all the air was removed. During the glass melting process, the flow of Ar gas was controlled at a rate of 0.5 L min−1 and heated at 1100 °C for 2 h in an Ar atmosphere. After keeping at 1100 °C for 20 min, the glass melt was quenched on a stainless steel plate kept at 180 °C. After quenching the glass melt, the obtained glasses were annealed at the Tg, which was measured by DTA for 1 h. The concentration of Ce was fixed as 0.1 mol%, which is the optimum concentration determined in a previous study26. The bulk glasses were cut into several pieces (10 mm × 10 mm) using a cutting machine and the samples were mechanically polished (thickness ~ 1 mm) to obtain mirror surfaces. The Tg was determined by DTA using a Rigaku TG8120 differential thermal analyser (Japan) at a heating rate of 10 °C/min. The error bar of the Tg was ± 3 °C. The density of the annealed samples before cutting was measured by the Archimedes method using pure water as the immersion. The error bars of the density measurement were ± 0.01 g·cm−3.
Measurement of optical and mechanical properties
The absorption spectra were recorded at RT at 1 nm intervals using a UH-4150 UV–visible spectrophotometer (Hitachi High-Tech, Japan). The refractive indices (error bars ± 0.0001) were measured using a prism coupler (Metricon, NJ) at 452, 633, and 832 nm. The refractive indices at 532 nm were calculated from the wavelength (λ) by Cauchy fitting [A + B/(l2) + C/(l4)], where l is the wavelength, and A, B, and C are the fitting parameters. The Brillouin shifts (νB) of the glasses were measured by the high-resolution modification of a Sandercock–Fabry–Perot system; the experimental details are presented elsewhere47. The longitudinal sound velocity (VL) was calculated by the equation VL = νBλ/2n532, where νB, λ, and n532, are the Brillouin shift, wavelength of incident light (= 532 nm), and refractive index at 532 nm, respectively. The c11 values were calculated by the equation c11 = ρVL2, where ρ is the density. Positron annihilation lifetimes were measured using a Toyo Seiko PSA TypeL-II system with an anti-coincident system48. A 22Na source with a diameter of 15 mm was encapsulated in a Kapton film. The accumulated counts for each sample were 107.
11B MAS NMR spectroscopy
The 11B MAS NMR spectra of the glasses were acquired using a JEOL DELTA 600 spectrometer (11.75 T) at 160.5 MHz using a 4 mm double resonance MAS NMR probe with a ZrO2 rotor. For each sample, 512 acquisitions were obtained with a pulse delay of 3 s, pulse width of 0.3 μs, and tip angle of 15°. The 11B MAS NMR spectra were corrected and referenced against a 1 M H3BO3 aqueous solution at 19.6 ppm. To estimate the population and NMR parameters of the boron species, spectral deconvolution was performed using the DmFit 2002 program with a ‘Q-mas 1/2’ model49, assuming the presence of three boron species. The chemical shift of 11B was mainly affected by its first coordination number, i.e., BO3 and BO4. It was necessary to introduce two three-coordinated boron species for ring and non-ring structures (BO3 ring and BO3 non-ring), and four-coordinated boron (BO4).
XAFS spectroscopy
The Sr K-edge and Ce LIII-edge XAFS spectra were measured at the BL01B1 and BL14B2 beamlines of SPring-8 (Hyogo, Japan). The storage ring energy was operated at 8 GeV with a typical current of 100 mA. The Sr K-edge XAFS measurements were performed using a Si(111) double-crystal monochromator in the transmittance mode at RT, while the Ce LIII-edge XANES measurements were performed using a Si (111) double-crystal monochromator in the fluorescence mode using a 19-SSD detector at RT. The XANES spectra were recorded from 5.52 to 6.18 keV. For the measurements, pellet samples were prepared by mixing the granular sample with boron nitride. For reference, the XANES spectra of SrO, Ce(OCOCH3)3·2H2O, and CeO2 were measured under the same conditions. The Sr K-edge XAFS spectra were fitted using SrB4O7 as a reference. The numerical data are provided in the ‘data_NIMS_MatNavi_4296667309_1_2’ file of the Inorganic Material Database (AtomWork)50, which is obtained from a previous study51. The corresponding analyses were performed using ATHENA and ARTEMIS software52.
Luminescence measurements
The PL and PLE spectra were recorded at 1 nm intervals at RT using a F7000 fluorescence spectrophotometer (Hitachi High-Tech, Japan). For PL measurements, slits of 2.5 nm were used for both excitation and emission. The absolute quantum efficiencies, also known as QYs, of the glasses were measured using a Quantaurus-QY integrating sphere spectrometer (Hamamatsu Photonics, Japan). The error bars were ± 2. The emission decay was measured at RT using a Quantaurus-Tau system (Hamamatsu Photonics, Japan) with a 340 nm LED. The accumulated counts for evaluation were 50,000.
Supplementary Information
Acknowledgements
This work was partially supported by the JSPS KAKENHI Grant-in-Aid for Scientific Research (B) (No. 18H01714). The synchrotron radiation experiments were performed at the BL01B1, and BL14B2 beamlines of SPring-8 with the approval of the Japan Synchrotron Radiation Research Institute (JASRI) (Proposal Nos. 2018B1557 and 2017B1577). The XPS data are used with the permission of Dr. S. Matsumoto, Prof. T. Nanba, and Prof. Y. Benino (Okayama University). The author (H.M.) thanks Prof. Y. Onodera (Kyoto University) for many fruitful discussions.
Author contributions
H. M. prepared the research project and synthesized the materials. H. M. and T. I. performed XAFS analysis. A. K. and Y. F. measured the elastic modulus by Brillouin scattering. H. M., K. K., and T. Y. performed luminescence and decay profile measurements. T. O. performed 11B MAS NMR spectroscopy and analysed the data. H. M. wrote the paper. All authors reviewed the manuscript.
Competing interests
The authors declare no competing interests.
Footnotes
Publisher's note
Springer Nature remains neutral with regard to jurisdictional claims in published maps and institutional affiliations.
Supplementary Information
The online version contains supplementary material availlable at 10.1038/s41598-021-83050-1.
References
- 1.Duffy JA, Ingram MD. Establishment of an optical scale for Lewis basicity in inorganic oxyacids, molten salts, and glasses. J. Am. Chem. Soc. 1971;93:6448–6454. doi: 10.1021/ja00753a019. [DOI] [Google Scholar]
- 2.Duffy JA, Ingram MD. An interpretation of glass chemistry in terms of the optical basicity concept. J. Non-Cryst. Solids. 1976;21:373–410. doi: 10.1016/0022-3093(76)90027-2. [DOI] [Google Scholar]
- 3.Dimitrov V, Sakka S. Electronic oxide polarizability and optical basicity of simple oxides I. J. Appl. Phys. 1996;79:1736–1740. doi: 10.1063/1.360962. [DOI] [Google Scholar]
- 4.Tanabe S, Ohyagi T, Soga N, Hanada T. Compositional dependence of Judd–Ofelt parameters of Er3+ ions in alkali-metal borate glasses. Phys. Rev. B. 1992;46:3305–3310. doi: 10.1103/PhysRevB.46.3305. [DOI] [PubMed] [Google Scholar]
- 5.Onodera Y, et al. Formation of metallic cation-oxygen network for anomalous thermal expansion coefficients in binary phosphate glass. Nat. Commun. 2017;8:15449. doi: 10.1038/ncomms15449. [DOI] [PMC free article] [PubMed] [Google Scholar]
- 6.Onodera Y, et al. Origin of the mixed alkali effect in silicate glass. NPG Asia Mater. 2019;11:75. doi: 10.1038/s41427-019-0180-4. [DOI] [Google Scholar]
- 7.Feldmann C, Justel T, Ronda CR, Schmidt PJ. Inorganic luminescent materials: 100 years of research and application. Adv. Funct. Mater. 2003;13:511–516. doi: 10.1002/adfm.200301005. [DOI] [Google Scholar]
- 8.Blasse G. Luminescence of inorganic solid: From isolated centers to concentrated systems. Prog. Solid State Chem. 1988;18:79–171. doi: 10.1016/0079-6786(88)90004-0. [DOI] [Google Scholar]
- 9.Yen WM, Shionoya S, Yamamoto H. Phosphor Handbook. 2. Boca Raton: CRC Press; 2007. [Google Scholar]
- 10.Blasse G, Bril A. Investigation of some Ce3+-activated phosphors. J. Chem. Phys. 1967;47:5139–5145. doi: 10.1063/1.1701771. [DOI] [Google Scholar]
- 11.Herrmann A, et al. Spectroscopic properties of cerium-doped aluminosilicate glasses. Opt. Mater. Express. 2015;5:720–732. doi: 10.1364/OME.5.000720. [DOI] [Google Scholar]
- 12.Masai H, Yanagida T. Emission property of Ce3+-doped Li2O–B2O3–SiO2 glasses. Opt. Mat. Express. 2015;5:1851–1858. doi: 10.1364/OME.5.001851. [DOI] [Google Scholar]
- 13.Liu L, et al. Scintillation properties and X-ray irradiation hardness of Ce3+-doped Gd2O3-based scintillation glass. J. Lumin. 2016;176:1–5. doi: 10.1016/j.jlumin.2016.02.029. [DOI] [Google Scholar]
- 14.Sontakke AD, Ueda J, Tanabe S. Effect of synthesis conditions on Ce3+ luminescence in borate glasses. J. Non-Cryst. Solids. 2016;431:150–153. doi: 10.1016/j.jnoncrysol.2015.04.005. [DOI] [Google Scholar]
- 15.Takahashi H, Yonezawa S, Kawai M, Takashima M. Preparation and optical properties of CeF3-containing oxide fluoride glasses. J. Fluorine Chem. 2008;129:1114–1118. doi: 10.1016/j.jfluchem.2008.07.021. [DOI] [Google Scholar]
- 16.Sun X-Y, et al. A simple and highly efficient method for synthesis of Ce3+-activated borogermanate scintillating glasses in air. J. Am. Ceram. Soc. 2014;97:3388–3391. doi: 10.1111/jace.13296. [DOI] [Google Scholar]
- 17.Yanagida T, et al. Optical and scintillation properties of Ce-doped 34Li2O–5MgO–10Al2O3–51SiO2 glass. J. Non-Cryst. Solids. 2016;431:140–144. doi: 10.1016/j.jnoncrysol.2015.04.033. [DOI] [Google Scholar]
- 18.Masai H, et al. Luminescence of Ce3+ in aluminophosphate glasses prepared in air. J. Lumin. 2018;195:413–419. doi: 10.1016/j.jlumin.2017.11.063. [DOI] [Google Scholar]
- 19.Murata T, Sato M, Yoshida H, Morinaga K. Compositional dependence of ultraviolet fluorescence intensity of Ce3+ in silicate, borate, and phosphate glasses. J. Non-Cryst. Solids. 2005;351:312–316. doi: 10.1016/j.jnoncrysol.2004.11.013. [DOI] [Google Scholar]
- 20.Bei J, et al. Optical properties of Ce3+-doped oxide glasses and correlations with optical basicity. Mater. Res. Bull. 2007;42:1195–1200. doi: 10.1016/j.materresbull.2006.10.020. [DOI] [Google Scholar]
- 21.Qiu JR, Shimizugawa Y, Iwabuchi Y, Hirao K. Photostimulated luminescence of Ce3+-doped alkali borate glasses. Appl. Phys. Lett. 1997;71:43–45. doi: 10.1063/1.119463. [DOI] [Google Scholar]
- 22.Torimoto A, et al. Emission properties of Ce3+ centers in barium borate glasses prepared from different precursor materials. Opt. Mater. 2017;72:52–57. doi: 10.1016/j.optmat.2017.03.062. [DOI] [Google Scholar]
- 23.Kaur S, Singh GP, Kaur P, Singh DP. Cerium luminescence in borate glass and effect of aluminium on blue green emission of cerium ions. J. Lumin. 2013;143:31–37. doi: 10.1016/j.jlumin.2013.04.027. [DOI] [Google Scholar]
- 24.Sontakke AD, Ueda J, Tanabe S. Significance of host’s intrinsic absorption band tailing on Ce3+ luminescence quantum yield in borate glass. J. Lumin. 2016;170:785–788. doi: 10.1016/j.jlumin.2015.09.024. [DOI] [Google Scholar]
- 25.Masai H, et al. Temperature-dependent luminescence of Ce-doped SrO–B2O3 glasses. J. Lumin. 2019;207:316–320. doi: 10.1016/j.jlumin.2018.11.014. [DOI] [Google Scholar]
- 26.Torimoto A, et al. Correlation between emission properties, valence states of Ce and chemical compositions of alkaline earth borate glasses. J. Lumin. 2018;197:98–103. doi: 10.1016/j.jlumin.2017.12.068. [DOI] [Google Scholar]
- 27.Bengisu M, Brow RK, Yilmaz E, Moguš-Milanković A, Reis ST. Aluminoborate and aluminoborosilicate glasses with high chemical durability and the effect of P2O5 additions on the properties. J. Non-Cryst. Solids. 2006;352:3668–3676. doi: 10.1016/j.jnoncrysol.2006.02.118. [DOI] [Google Scholar]
- 28.Leskelä M, Koskentalo T, Blasse G. Luminescence Properties of Eu2+, Sn2+, and Pb2+ in SrB6010 and Sr1−xMnxB6O10. J. Solid State Chem. 1985;59:272–279. doi: 10.1016/0022-4596(85)90294-4. [DOI] [Google Scholar]
- 29.Masai H, Iwafuchi N, Takahashi Y, Fujiwara T. Preparation of crystallized glass for application in fiber-type devices. J. Mater. Res. 2009;24:288–294. doi: 10.1557/JMR.2009.0021. [DOI] [Google Scholar]
- 30.Rouxel T. Elastic properties and short-to medium-range order in glasses. J. Am. Ceram. Soc. 2007;90:3019–3039. doi: 10.1111/j.1551-2916.2007.01945.x. [DOI] [Google Scholar]
- 31.West RN. Positron studies of condensed matter. Adv. Phys. 1973;22:263–383. doi: 10.1080/00018737300101299. [DOI] [Google Scholar]
- 32.Pethrick RA. Positron annihilation—A probe for nanoscale voids and free volume? Prog. Polym. Sci. 1997;22:1–47. doi: 10.1016/S0079-6700(96)00023-8. [DOI] [Google Scholar]
- 33.Ono MH, K. Fujinami M. & Ito, S. Void structure in silica glass with different fictive temperatures observed with positron annihilation lifetime spectroscopy. Appl. Phys. Lett. 2012;101:164103. doi: 10.1063/1.4761982. [DOI] [Google Scholar]
- 34.Masai H, et al. Correlation between structures and physical properties of binary ZnO–P2O5 glasses. Phys. Status Solidi B. 2020;257:2000186. doi: 10.1002/pssb.202000186. [DOI] [Google Scholar]
- 35.Dimitrov V, Komatsu T. XPS classification of simple oxides: A polarizability approach. J. Solid State Chem. 2002;163:100–112. doi: 10.1006/jssc.2001.9378. [DOI] [Google Scholar]
- 36.Matsumoto S, Nanba T, Miura Y. X-ray photoelectron spectroscopy of alkali silicate glasses. J. Ceram. Soc. Jpn. 1998;106:415–421. doi: 10.2109/jcersj.106.415. [DOI] [Google Scholar]
- 37.Matsumoto, S. Applying monochromatic X-ray photoelectron spectroscopy to silicate and borate glasses, and analysis of their electronic states. 10.11501/3134749 (1998).
- 38.Stebbins JF, Zhao P, Kroeker S. Non-bridging oxygens in borate glasses: characterization by 11B and 17O MAS and 3Q MAS NMR. Solid State Nucl. Mag. Reson. 2000;16:9–19. doi: 10.1016/S0926-2040(00)00050-3. [DOI] [PubMed] [Google Scholar]
- 39.Zhao P, Kroeker S, Stebbins JF. Non-bridging oxygen sites in barium borosilicate glasses: Results from 11B and 17O NMR. J. Non-Cryst. Solids. 2000;276:122–131. doi: 10.1016/S0022-3093(00)00290-8. [DOI] [Google Scholar]
- 40.Vasilescu M, Simon S. The local structure of bismuth-borates characterized by 11B MAS NMR. Mod. Phys. Lett. B. 2002;16:423–431. doi: 10.1142/S0217984902003944. [DOI] [Google Scholar]
- 41.Kreidl, N. J. Glass: Science and Technology, Volume 1: Glass-Forming Systems Ch. 3 (Academic Press, London, 1983).
- 42.Chenot CF. Phase boundaries in a portion of the system SrO–B2O3. J. Am. Ceram. Soc. 1967;50:117–118. doi: 10.1111/j.1151-2916.1967.tb15057.x. [DOI] [Google Scholar]
- 43.Ebendor-Heidepriem H, Ehrt D. Formation and UV absorption of cerium, europium and terbium ions in different valencies in glasses. Opt. Mater. 2000;15:7–25. doi: 10.1016/S0925-3467(00)00018-5. [DOI] [Google Scholar]
- 44.Efimov AM, Ignat’ev AI, Nikonorov NV, Postnikov ES. Spectral components that form UV absorption spectrum of Ce3+ and Ce(IV) valence states in matrix of photothermorefractive glasses. Opt. Spectrosc. 2011;111:426–433. doi: 10.1134/S0030400X11090050. [DOI] [Google Scholar]
- 45.Zeidler A, et al. Density-driven structural transformations in B2O3 glass. Phys. Rev. B. 2014;90:024206. doi: 10.1103/PhysRevB.90.024206. [DOI] [Google Scholar]
- 46.Alderman OLG, et al. Liquid B2O3 up to 1700 K: X-ray diffraction and boroxol ring dissolution. J. Phys. Condens. Matter. 2015;27:455104. doi: 10.1088/0953-8984/27/45/455104. [DOI] [PubMed] [Google Scholar]
- 47.Koreeda A, Saikan S. Note: Higher resolution Brillouin spectroscopy by offset stabilization of a tandem Fabry–Pérot interferometer. Rev. Sci. Instrum. 2011;82:126103. doi: 10.1063/1.3665929. [DOI] [PubMed] [Google Scholar]
- 48.Yamawaki M, Kobayashi Y, Hattori K, Watanabe Y. Novel system for potential nondestructive material inspection using positron annihilation lifetime spectroscopy. Jpn. J. Appl. Phys. 2011;50:086301. doi: 10.1143/JJAP.50.086301. [DOI] [Google Scholar]
- 49.Massiot D, et al. Modelling one-and two-dimensional solid-state NMR spectra. Magn. Reson. Chem. 2001;40:70–76. doi: 10.1002/mrc.984. [DOI] [Google Scholar]
- 50.https://crystdb.nims.go.jp/index_en.html
- 51.Block S, Perloff A, Weir CE. The crystallography of some M2+ borates. Acta Crystallogr. 1964;17:314. doi: 10.1107/S0365110X64000767. [DOI] [Google Scholar]
- 52.Reval B, Newville M. ATHENA, ARTEMIS, HEPHAESTUS: Data analysis for X-ray absorption spectroscopy using IFEFFIT. J. Synchrotron Radiat. 2005;12:537–541. doi: 10.1107/S0909049505012719. [DOI] [PubMed] [Google Scholar]
Associated Data
This section collects any data citations, data availability statements, or supplementary materials included in this article.







