Abstract
Land-use (LU) representation plays a critical role in simulating air–surface interactions that affect meteorological conditions and regional climate. In the Noah LSM within the WRF Model, LU categories are used to set the radiative properties of the surface and to influence exchanges of heat, moisture, and momentum between the air and land surface. Previous literature examined the sensitivity of WRF simulations to LU using short-term meteorological modeling approaches. Here, the sensitivity to LU representation is studied using continental-scale dynamical downscaling, which typically uses longer temporal and larger spatial scales. Two LU datasets, the U.S. Geological Survey (USGS) dataset and the 2006 National Land Cover Dataset (NLCD), are utilized in 3-yr dynamically downscaled WRF simulations over a historical period. Precipitation and 2-m air temperature are evaluated against observation-based datasets for simulations covering the contiguous United States. The WRF-NLCD simulation tends to produce lower precipitation than the WRF-USGS run, with slightly warmer mean monthly temperatures. However, WRF-NLCD results in more notable increases in the frequency of hot days [i.e., days with temperature >90°F (32.2°C)]. These changes are attributable to reductions in forest and agricultural area in the NLCD relative to USGS. There is also subtle but important sensitivity to the method of interpolating LU data to the WRF grid in the model preprocessing. In all cases, the sensitivity resulting from changes in the LU is smaller than model error. Although this sensitivity is small, it persists across spatial and temporal scales.
Keywords: Atmosphere, Atmosphere-land interaction, Climate models, Land surface model, Regional models, Atmosphere-land interaction
1. Introduction
Accurate representation of air–surface exchanges of heat, moisture, and momentum is critical for simulating regional climate and meteorological conditions. In the WRF Model, which is commonly used for both regional climate and meteorological simulations, many of the physical processes that affect air–surface exchanges are a function of land use or land cover (hereinafter LU), which is a prescribed field in WRF. Within each WRF grid cell, LU affects radiative properties, roughness length, leaf area index (LAI), and near-surface processes that influence fluxes of heat, moisture, and momentum between the air and surface. The surface fluxes affect near-surface temperatures, evaporation, PBL height, near-surface winds, and precipitation. These meteorological fields strongly influence pollutant concentrations through atmospheric transport and mixing, chemical reaction rates, and deposition, all of which have implications for ecosystem services and human health.
The sensitivity of WRF to LU changes has been examined previously with short-duration, high-resolution meteorological case studies that focused on either specific urban centers or regions where urbanization is significant. These studies reinforced that increased urbanization generally produces increased daytime and nighttime temperatures in areas with ample rainfall, as shown by Lopez-Espinoza et al. (2012) when simulating a 120-h period over central Mexico and by Cheng et al. (2013) when using various LU datasets to drive 3-km WRF simulations of a 4-day period over Taiwan. The reduction in vegetation from urbanization also promotes increased sensible heat and decreased latent heat from the surface, as shown in Li et al. (2013) when simulating a convective event in the Baltimore, Maryland–Washington, D.C., area. Li et al. additionally concluded that WRF’s precipitation is comparably sensitive to various LU and urban physics choices as it is to the microphysics parameterization. LU data also affect wind speeds and circulation patterns as roughness length increases (e.g., Li et al. 2013; Kamal et al. 2015). The LU sensitivity studies cited above often included LU datasets that are not available in public versions of WRF and therefore are not easily accessible or extendable to continental scales.
The meteorological studies assessing WRF’s sensitivity to LU change were conducted at spatial and temporal scales that are typically finer than those used in continental-scale downscaling applications. Within constrained geographic areas, dynamical downscaling can be more readily conducted at fine resolutions (i.e., 4–1 km) when simulations of atmospheric phenomena require the use of those scales (e.g., Zhang et al. 2016; Wootten et al. 2016). Continental-scale dynamical downscaling at fine spatial scales is computationally intensive and is limited to research groups with access to preeminent computing resources (e.g., Gao et al. 2012; Liu et al. 2017). In general, dynamical downscaling does not use such fine horizontal grid spacing because the simulations cover much longer time periods and the computational requirements are likely to be prohibitive for most groups for the foreseeable future (Wobus et al. 2017).
Consequently, regional-scale and continental-scale dynamical downscaling is often conducted with 50–12-km horizontal grid spacing for periods ranging from seasons to decades (e.g., Otte et al. 2012; Casati et al. 2013; Darmenova et al. 2013; Herwehe et al. 2014; Mallard et al. 2014; Zhang et al. 2015; Bieniek et al. 2016; Spero et al. 2016; Li et al. 2017; Bruyère et al. 2017). Downscaling simulations have been leveraged by collaborative communities to produce regional climate ensembles, such as in the North American Regional Climate Change Assessment Program (NARCCAP; Mearns et al. 2012) and the Coordinated Regional Climate Downscaling Experiment (CORDEX; Giorgi et al. 2009), both of which use ~50-km domains over North America. Continental-scale downscaling simulations are critical for examining potential impacts of climate change across the Nation. For example, in the Third National Climate Assessment, Walsh et al. (2014) incorporated ensemble members from NARCCAP to project future climatic conditions across the contiguous United States (CONUS) between 2040 and 2070. Similarly, in the Climate and Health Assessment, Fann et al. (2016) used 36-km dynamically downscaled projections from two scenarios to drive air quality projections throughout the CONUS at 2030. Furthermore, in a technical input to the Fourth National Climate Assessment, EPA (2017) used 36-km dynamically downscaled projections to understand potential implications of climate on air quality following two scenarios at 2050 and 2090.
This study’s focus on downscaling adds a new perspective and could provide valuable guidance for continental-scale applications. Dynamical downscaling presents a unique challenge in representing the land surface, as compared to modeling applications that use more limited temporal and spatial scales. The differences between the spatial scales of the LU data (ranging from 1 km to 30 m for the LU sources used here) and the WRF grid are exacerbated in a continental downscaling application, which typically uses coarser grid spacing. This study contrasts the use of two contemporary LU datasets in WRF for continental-scale dynamical downscaling, where the sensitivity due to different LU datasets can be expected to be small relative to an evolution on longer multidecadal or multicentury time scales. Yet the sensitivity of downscaled simulations to the LU representation of the contemporary period should be assessed and quantified. A better understanding of the sensitivity to LU datasets on regional climate simulations over the contemporary period would benefit future studies that focus on long-term trends in anthropogenic LU changes, such as urbanization, agricultural changes, deforestation, and reforestation. Although this study quantifies the change in LU between the two representations, the focus is not on the evolution of LU over recent decades but rather on assessing the utility of these LU datasets in current downscaling applications.
Here, WRF runs driven by the U.S. Geological Survey (USGS) LU data and by the 2006 National Land Cover Database (NLCD) are contrasted with 3-yr historical downscaling simulations at 36-km horizontal grid spacing over the CONUS. An additional simulation demonstrates the sensitivity to the method used to interpolate LU from its native resolution to the target model grid. In this study, 2-m air temperature and precipitation from 36-km WRF simulations are validated against observation-based data to illustrate the magnitude and pervasiveness of changes resulting from differences between using the USGS and NLCD LU datasets. The USGS LU dataset is chosen for this study because of its longevity in WRF’s preprocessing systems, as discussed further below. The NLCD LU is often utilized for WRF-driven air quality modeling applications (e.g., Ran et al. 2015; Gan et al. 2015, 2016). Therefore, understanding the effects of its use within WRF can benefit future projections of pollutant concentrations as well as other modeling applications that aim to protect ecosystem services and human health.
This paper is organized as follows. Section 2 describes the WRF Model setup, the land-use data that are examined, and the datasets used for evaluation. Section 3 includes regional and CONUS-wide analyses of precipitation, 2-m temperature, and surface fluxes. In addition, section 3 contains a focused analysis of the southeastern United States, where there are larger differences between the previously analyzed fields. Section 3 further includes a brief illustration of the robustness of these results by using an alternate configuration of WRF with different driving data. Section 4 contains our conclusions and a brief discussion of the results.
2. Data and methods
a. WRF simulations
Simulations are conducted with WRF, version 3.8 (Skamarock and Klemp 2008), for 1 October 1987–1 January 1991, where the first 3 months are a spinup period and the remaining 3 yr are used for analysis. Two-way-nested 108- and 36-km domains are used (Fig. 1). Simulations are driven by the 2.5° × 2.5° R2 reanalysis (Kanamitsu et al. 2002), which serves as a verifiable proxy for a GCM (e.g., Bowden et al. 2012; Otte et al. 2012, Bowden et al. 2013; Bullock et al. 2014; Mallard et al. 2014). Here, spectral nudging (Miguez-Macho et al. 2004) of potential temperature, horizontal wind components, and geopotential is applied above the PBL at maximum wavenumber of 5 and 3 in the X and Y directions, respectively, on the 108-km domain and at wavenumbers 4 and 2 in the X and Ydirections on the 36-km domain with nudging coefficients set to 3 × 10−4 s−1.
Fig 1.

The WRF 108- and 36-km domains, with the inner domain outlined in black. The nine NCEI U.S. climate regions are shown as they appear in the WRF-USGS simulation.
WRF is used with the Kain–Fritsch convective parameterization scheme (Kain 2004) with radiative effects of subgrid clouds included (Alapaty et al. 2012; Herwehe et al. 2014). The WRF single-moment six-class microphysics scheme (Hong and Lim 2006) and the Rapid Radiative Transfer Model for global climate models (Iacono et al. 2008) were also employed. The Yonsei University scheme (Hong et al. 2006) was used to simulate processes in the PBL. The Noah land surface model (LSM) (Chen and Dudhia 2001) was used, in addition to the revised MM5 Monin–Obukhov surface scheme (Jimenez et al. 2012), to simulate land-based processes and air–surface interactions.
b. WRF land-use data
The 24-category USGS LU dataset in WRF is derived from 1-km AVHRR satellite observations taken between April 1992 and March 1993 (Loveland et al. 2000; Sertel et al. 2010). USGS LU has been available since the initial release of the WRF Preprocessing System (WPS) that accompanied WRF, version 2.2, and was the only LU dataset available within the WRF Standard Initialization software that preceded WPS (NCAR 2002, 2006). USGS LU was the default option until WRF, version 3.8 (NCAR 2017). The 30-m NLCD 2006 LU dataset used here was introduced in WRF, version 3.5 (NCAR 2014). It was developed by the Multi-Resolution Land Characteristics Consortium and is based on observations from the Landsat-7 Enhanced Thematic Mapper Plus and Landsat Thematic Mapper (Fry et al. 2011). Although there are 40 categories in WRF’s version of the NLCD dataset (called NLCD and NLCD2006 in the WRF documentation), this dataset uses the original 20 NLCD categories within the CONUS and MODIS categories elsewhere (Fig. 2). The process of merging NLCD and MODIS data from their original resolutions (30 m for NLCD and 1000 m for MODIS) is described by Ran et al. (2010).
Fig 2.

Dominant LU category within each grid cell of the 36-km WRF domain for the (top) USGS, (middle) NLCD, and (bottom) NLCDDEF LU representations.
Contrasts between the LU fields result from using different methods to generate the original USGS and NLCD data, as well as differences in the temporal representativeness of each dataset. The USGS data were collected from 1992 to 1993, whereas the NLCD data were collected in 2006. Because the simulations analyzed here are valid for 1988–90, the LU in the USGS may be considered to be more appropriate for these simulations than the NLCD. However, the focus here is dynamical downscaling, in which strategies for representing underlying fields like LU must be practical over multidecadal historical and future simulations. The LU in the WRF Model is typically stationary in time—a ubiquitous assumption where present-day LU data are also often utilized for future climate simulations (e.g., Patricola and Cook 2010; Liang et al. 2012; He et al. 2013; Fann et al. 2015). Therefore, this study will describe the sensitivity to the LU change and the quality of the WRF-driven output relative to observed meteorological conditions rather than evaluating the accuracy of the LU sources over the simulated period.
In WPS, the “geogrid” program interpolates geographic data from their native resolution to the target WRF grid. Several interpolation methods are available, and the default interpolation method in WPS differs as a function of the LU data source. Within WPS, version 3.8, the default interpolation scheme used with the USGS data is a four-point bilinear interpolation (“four_pt”), whereas a grid-cell averaging technique (“average_gcell”) is the default choice for the NLCD. Regardless of the interpolation scheme, after considering the land–water mask, the largest fractional LU category in each grid cell is assigned as the dominant LU type for the Noah LSM. In this study, it was found that widespread changes to the dominant LU can be attributed to using different interpolation schemes. Therefore, in this study the same interpolation scheme is used to interpolate both datasets from their native resolutions to the WRF domains so that the simulations (referred to as WRF-USGS and WRF-NLCD) can be compared without influence from the interpolation schemes (Fig. 2). The four-point scheme was chosen because it has been the default option with USGS LU for many years, while NLCD in WRF and its default interpolation scheme are much newer and less tested. A second NLCD-driven simulation is also run in which NLCD’s default scheme, gridcell averaging, was used. That simulation, WRF-NLCDDEF, is compared with WRF-NLCD (which uses four-point interpolation) to examine the impact on the resulting WRF fields of changing the LU interpolation scheme (Fig. 2).
The differences between the LU fields are first examined so that the resulting changes in atmospheric fields can then be linked to systematic differences in how the land surface is represented. Direct comparison across all categories is impossible because of differences in the categorization systems. Instead, a unified set of consolidated LU categories is constructed to aggregate USGS and NLCD categories under common themes (Table 1). The LU shown in Fig. 2 is aggregated to the consolidated categories and is plotted in Fig. 3. As expected, the general distribution and predominance of LU types across the CONUS is consistent among data sources and interpolation methods. At 36 km, forest LU types dominate the eastern and northwestern United States, agricultural LU covers the Midwest, and grass and shrubland extend over much of the western United States. However, the spatial transitions between LU types are sensitive to both the source data and the interpolation scheme (cf. Figs. 2 and 3). WRF-NLCDDEF results in the smoothest appearance in Fig. 3, with more homogeneity across the CONUS than WRF-NLCD and WRF-USGS. Overall, WRF-NLCD is the most heterogeneous. Figure 3 highlights the influence of the interpolation scheme, as the WRF-USGS and WRF-NLCD (which share a common interpolation scheme) are more alike than WRF-NLCD and WRF-NLCDDEF (which share the same source data). The smoother appearance of WRF-NLCDDEF results from the average_gcell interpolation, wherein, for each grid box on the target WRF grid, LU from all of the grid boxes in the source data that are closer to the target grid cell than any other are averaged to produce the interpolated value (NCAR 2017). By contrast, LU in each grid cell in the WRF-NLCD and WRF-USGS is calculated while considering only four points from the source data. Therefore, the gridcell-averaging technique generally produces a smoother appearance because averaging occurs over a larger number of source grid cells.
Table 1.
Assignment of USGS and NLCD LU categories to consolidated LU categories. The category index used within WRF is provided in parentheses. Note that NLCD LU categories that compose “unclassified” are not present in the 36-km domain (Fig. 2).
| Consolidated LU | USGS | NLCD |
|---|---|---|
| Urban | Urban and built-up land (1) | Urban and built up (13) Developed open space (23) Developed low intensity (24) Developed medium intensity (25) Developed high intensity (26) |
| Agricultural | Dryland cropland and pasture (2) Irrigated cropland and pasture (3) Mixed dryland’irrigated cropland and pasture (4) Cropland/grassland mosaic (5) Cropland/woodland mosaic (6) |
Croplands (12) Cropland/natural vegetation mosaic (14) Pasture/hay (37) Cultivated crops (38) |
| Grass/shrubland | Grassland (7) Shrubland (8) Mixed shrubland/grassland (9) Savanna (10) |
Closed shrublands (6) Open shrublands (7) Woody savannas (8) Savannas (9) Grasslands (10) Shrub/scrub (32) Grassland/herbaceous (33) |
| Forest | Deciduous broadleaf forest (11) Deciduous needleleaf forest (12) Evergreen broadleaf (13) Evergreen needleleaf (14) Mixed forest (15) |
Evergreen needleleaf forest (1) Evergreen broadleaf forest (2) Deciduous needleleaf forest (3) Deciduous broadleaf forest (4) Mixed forest (5) Deciduous forest (28) Evergreen forest (29) Mixed forest (30) |
| Wetlands | Herbaceous wetland (17) Wooden wetland (18) |
Permanent wetlands (11) Woody wetlands (39) Emergent herbaceous wetlands (40) |
| Barren/tundra | Barren or sparsely vegetated (19) Herbaceous tundra (20) Wooded tundra (21) Mixed tundra (22) Bare ground tundra (23) |
Barren or sparsely vegetated (16) Barren land (rock/sand/clay) (27) |
| Ice/snow | Snow or ice (24) | Permanent snow and ice (15) Perennial ice/snow (22) |
| Ocean | Water bodies (16) | International Geosphere–Biosphere Programme (IGBP) water (17) |
| Unclassified | Unclassified (18) Fill value (19) Unclassified (20) Open water (21) Dwarf scrub (31) Sedge/herbaceous (34) Lichens (35) Moss (36) |
Fig 3.

As in Fig. 2, but with coloring indicating the consolidated LU (as assigned in Table 1) for each of the three LU representations.
Figure 4 shows the percentage of all grid cells in the domain (normalized by the total number of land cells) in each of the consolidated categories, as well as the differences in the percentages. Overall, the largest contrasts between the WRF-USGS and WRF-NLCD datasets are in grassland/shrubland (7.0% more in NLCD than in USGS) and forest (6.1% more in USGS than in NLCD). The USGS also has more grid cells that are agricultural land (2.5%) and barren/tundra (3.4%), while the NLCD LU contains 3.8% more wetland grid cells than USGS. On the regional scale, the increase in wetlands, grass/shrubland, and urban grid cells in NLCD at the expense of forest and agricultural LU is most apparent in the South and Southeast (Fig. 3). Also, there are more urban and wetlands areas in the Upper Midwest with NLCD than in USGS. In addition, a large area of Mexico that contains various forest types in the USGS is classified as woody savannah in the NLCD and NLCDDEF. However, the percentage differences in forest and grass/shrubland LU remain large relative to changes in the other categories within the CONUS only (not shown). The magnitudes of the differences in the domain-wide coverages of each of the consolidated categories between NLCD and NLCDDEF are smaller than those between NLCD and USGS, except for changes in forest with 4.7% more in WRF-NLCDDEF than WRF-NLCD.
Fig 4.

(top) The percentage of LU (aggregated as listed under the consolidated LU categories in Table 1) taken from the dominant LU field within the 36-km domain for the WRF-USGS, WRF-NLCD, and WRF-NLCDDEF runs. (middle) The difference in percentages, where positive values indicate larger percentages within the USGS and negative values indicate larger percentages within the NLCD. (bottom) As in the middle panel, but for NLCD and NLCDDEF.
c. Observation-based datasets
Model-simulated precipitation is compared with CPC Unified Precipitation data. Daily CPC precipitation is available at 0.25° resolution (Chen and Xie 2008). The use of rain gauge analysis in this product and the sparseness of gauge data in areas of mountainous terrain in the western United States can lead to increased sampling error in those areas (Cui et al. 2017). However, its accuracy was sufficient to evaluate other global analyses in that study, and areas of complex terrain are not emphasized in the present work. Here, the CPC precipitation totals and are interpolated to the 36-km WRF domain to facilitate comparisons using difference fields. Because CPC originates on a comparable resolution to the WRF simulations, the effects of interpolation to the WRF domain should be minimal for the domain-based and regional analysis conducted in this study. Regional analysis of both temperature and precipitation is conducted over the nine NCEI U.S. climate regions (Karl and Koss 1984), as shown in Fig. 1. Simulated monthly 2-m temperatures are compared with NOAA’s Gridded Climate Divisional Dataset (nClimDiv), which contains spatially averaged temperatures for each of the NCEI regions, as well as the CONUS (Vose et al. 2014). The nClimDiv data are derived from area-weighted station data from the Global Historical Climatology Network (Menne et al. 2012).
3. Results
Precipitation and 2-m air temperatures are two fields that are important to understanding the potential effects of climate change on ecosystems, pollutant concentrations, and human health. This analysis focuses on the sensitivity of precipitation, 2-m air temperature, and the surface fluxes that influence those fields to the underlying LU representation. Analysis is conducted on the 36-km domain, and results are shown both across the CONUS and within each region.
a. Precipitation
The mean bias in monthly precipitation relative to CPC indicates a general underprediction of precipitation across the CONUS in all runs (Table 2). This signal is regionally variable, however, with a dry bias in the midwestern and southern regions (Ohio Valley, Upper Midwest, South, and Southeast), and a wet bias in the Northeast and the four western regions (Northern Rockies and Plains, Northwest, Southwest, and West). While the magnitudes and signs of the biases in the WRF runs vary from region to region, they are relatively consistent among WRF-USGS, WRF-NLCD, and WRF-NLCDDEF within each region. All three simulations also agree on the magnitude of the RMSE over the CONUS and in each region (not shown).
Table 2.
Mean bias in monthly accumulated precipitation (when compared with CPC; mm month−1) and monthly averaged 2-m temperature (when compared with nClimDiv; K) for WRF-USGS, WRF-NLCD, and WRF-NLCDDEF. Variables are calculated using only land grid cells within each region.
| Monthly accumulated precipitation |
Monthly averaged 2-m temperature |
|||||
|---|---|---|---|---|---|---|
| WRF-USGS | WRF-NLCD | WRF-NLCDDEF | WRF-USGS | WRF-NLCD | WRF-NLCDDEF | |
| CONUS | −3.81 | −6.31 | −5.14 | 1.38 | 1.53 | 1.43 |
| Northeast | 15.16 | 13.07 | 14.99 | −1.18 | −1.14 | −1.28 |
| Northern Rockics and Plains | 9.01 | 6.53 | 6.92 | 0.42 | 0.48 | 0.49 |
| Northwest | 13.18 | 10.75 | 12.11 | −1.35 | −1.19 | −1.23 |
| Ohio Valley | −11.09 | −15.12 | −14.07 | −0.26 | −0.04 | −0.27 |
| South | −20.55 | −22.16 | −22.29 | 1.45 | 1.65 | 1.56 |
| Southeast | −6.17 | −11.78 | −7.50 | 0.34 | 0.61 | 0.26 |
| Southwest | 5.61 | 4.74 | 4.67 | −0.74 | −0.72 | −0.74 |
| Upper Midwest | −1.41 | −4.83 | −3.93 | −0.11 | −0.05 | −0.11 |
| West | 1.45 | 1.09 | 1.35 | 0.07 | 0.11 | 0.12 |
Time series of spatially averaged monthly observed precipitation and model bias are shown in Fig. 5. Here, a paired Student’s t test is used to compare differences between WRF-USGS and WRF-NLCD within the regions and over the CONUS. It is assumed that autocorrelation is small, as it is not considered in the Student’s t test. Although data from consecutive months are not fully independent, the regional averages are sufficiently independent in midlatitude climates to not invalidate tests of significance. Decremer et al. (2014)concluded that more sophisticated methods of significance testing (i.e., those that account for autocorrelation) did not outperform the Student’s t test when assessing the robustness of seasonal averages in climate models. They also state that autocorrelation is less of a concern when using a Student’s t test to examine statistical significance across spatial averages, which is how it is applied in the present work.
Fig 5.

Monthly total observed precipitation (mm month−1, shown on the left axis with gray shading) and model bias (mm month−1, shown on the right axis with colored lines), spatially averaged over the CONUS and in each of the nine NCEI U.S. climate regions from the WRF-USGS, WRF-NLCD and WRF-NLCDDEF (blue, green, and orange lines, respectively). Note that all of the regional plots share common axes for comparison. The x axes are labeled every other month beginning in January.
A paired Student’s t test indicates that differences between WRF-USGS and WRF-NLCD are significant in the CONUS and all regions using a significance level p = 0.05 criterion (not shown). Here, differences between the two NLCD-based runs are also found to be significant in the CONUS and in five out of the nine regions (Northeast, Ohio Valley, Northwest, Southeast, and West). During periods where the time series diverge in Fig. 5, the USGS-driven simulation has consistently more precipitation than the other two runs, while the WRF-NLCD simulation is the driest. None of the runs is consistently closer to the CONUS-wide, monthly averaged precipitation from CPC. For example, during April–May 1988, WRF-USGS was ~5 mm month−1 wetter than the NLCD runs, but all three simulations were substantially wetter than CPC by 12–17 mm month−1. By contrast, while WRF-USGS remains wetter than the NLCD runs by ~5 mm month−1 during July–October 1989, all three simulations are substantially drier than CPC by ~10–20 mm month−1. The dry bias becomes even more pronounced during July–October 1990, with monthly dry biases exceeding 25 mm month−1 in September 1990 for each of the WRF runs. There are also periods when the WRF runs are generally unbiased across the CONUS, such as December 1988–February 1989 and January–June 1990. Overall, the differences in bias that are attributable to LU changes tend to be small compared to the total model bias, which suggests that there are larger, physics-based sources of error in this configuration of WRF. Furthermore, the source of the LU data does not systematically adjust the magnitude of the biases in the regional and continental-scale precipitation.
The USGS-driven simulation is often the wettest within each region (Fig. 5). The largest differences between the runs occur in the Southeast and Upper Midwest, where forest and agricultural LU types are prominent in all three runs. WRF-NLCD has more wetland grid cells in the Upper Midwest and additional wetlands and shrubland in the Southeast relative to USGS (Fig. 3). The Northern Rockies and Plains, Northwest, Ohio Valley, and South all show smaller but persistent differences, and the WRF-USGS is generally the wettest simulation while WRF-NLCD appears as the driest. In the Southwest and West, where the LU is dominated by shrubland and forest types, there are only small differences in bias in monthly precipitation between the simulations. The Northeast monthly precipitation totals are unique in that the WRF-NLCDDEF often shows the largest simulated precipitation during periods where observed precipitation totals are heavy (summers of 1988 and 1989) but does not have the largest mean bias, as compared in Table 2. While the WRF-NLCD often appears as the driest of the three simulations, differences between WRF-NLCD and WRF-NLCDDEF failed to test as statistically significant in several central U.S. regions (Northern Rockies and Plains, Upper Midwest, South, and Southwest).
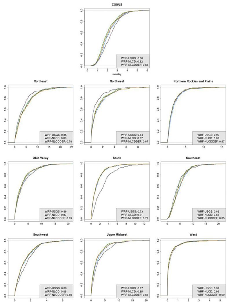
Precipitation is also analyzed using CDFs of regional and CONUS-averaged daily precipitation during each season. The distributions of summer (June–August) rainfall are shown in Fig. 6; CDF comparisons for other seasons yielded smaller contrasts between the runs (not shown). The Perkins skill score (PSS; Perkins et al. 2007) is used to assess how closely the PDF of simulated rainfall matches that of the observed:
| (1) |
where n is the number of bins and the Zs represent the frequency of values in each bin from the modeled and observed distributions, respectively. The PSS is a metric of how well the PDFs coincide. As the integral of any PDF should sum to one, a PSS of 1 represents a perfect overlap of the two distributions. As seen in Fig. 6, the WRF-USGS run shows the highest PSS across the CONUS, but only in three of the regions (South, Southwest, and Upper Midwest). Most of the remaining regions feature the highest PSS for WRF-NLCD (Northeast, Northern Rockies and Plains, and Southeast), while WRF-NLCDDEF scores highest only in the Ohio Valley. All simulated distributions show a reasonable fit with observations, as PSS values vary between 0.71 and 0.99.
Fig 6.

CDFs of daily precipitation totals (mm day−1) for the summer season (June–August), averaged over the CONUS and NCEI regions from the WRF-USGS, WRF-NLCD, and WRF-NLCDDEF simulations and CPC data (blue, green, orange, and gray curves, respectively). The inset boxes list PSS values for each simulation.
In summer, daily precipitation from the WRF-NLCD is drier relative to the WRF-USGS within most regions and across the CONUS. Consistent with Fig. 5, Fig. 6 shows that WRF-USGS tends to be the wettest of the three simulations (as indicated by a rightward shift in the distribution toward higher daily totals), while the WRF-NLCD run is driest, in areas where the simulations diverge. Meanwhile, WRF-NLCDDEF simulation tends to be neither the wettest nor driest of the three runs, except in the Northeast with slightly larger daily totals in WRF-NLCDDEF compared to the other two simulations. Although there is regional variability in WRF’s sensitivity to LU, the distributions taken over the CONUS, as well as over several regions, show that the influence of LU on daily precipitation is consistent across a range of precipitation events. Low, moderate, and heavy rainfall totals are all affected by the changes in land cover, which results in a systematic shift of rainfall totals, often with heavier totals in WRF-USGS. Again, the magnitude of the model error (the difference between the PSS values and a perfect score of 1) is generally larger than the differences between the three simulations.
The hydrological budget (evaporation, surface and groundwater runoff) is shown in Fig. 7 using monthly totals averaged over the CONUS. The WRF-USGS run features higher evaporation than the other two simulations, especially during summer, while the WRF-NLCD run has the lowest total evaporation. Both surface runoff and groundwater are higher in WRF-NLCD, although it has lower precipitation relative to the WRF-USGS (Fig. 5). The WRF-NLCD run shows a tendency to partition precipitation into surface runoff and groundwater, while WRF-USGS has a greater tendency toward evaporation. A similar contrast occurs between WRF-NLCD and WRF-NLCDDEF, where the latter simulation features higher evaporation amounts with lower runoff, more closely resembling the water balance in the WRF-USGS run. This is a somewhat surprising result, given that WRF-NLCD and WRF-NLCDDEF only differ in the method used to interpolate LU data. Regional values are generally consistent with the CONUS-averaged results with surface runoff featuring the most regional variability (not shown).
Fig 7.

Monthly total (top left) surface evaporation (kg m−2), (top right) surface runoff (mm), and (bottom) groundwater runoff (mm) averaged across the CONUS from each of the WRF simulations, with colors and x axes as in Fig. 5.
b. 2-m temperature
A time series of monthly averaged 2-m temperature bias relative to nClimDiv is shown over the CONUS and in all nine regions in Fig. 8, and mean bias is shown in Table 2. All simulations show a warm bias over the CONUS, with mixed results in the regions. Each simulation has the largest mean bias in the South (~1.5–1.7 K), where temperatures are overestimated throughout the simulated period. Meanwhile, temperatures in the Northwest and Northeast show a consistent cool bias throughout each run. However, most regions feature biases that vary in sign throughout the period. Differences among the three simulations are generally smaller than model error.
Fig 8.

Bias of simulated monthly averaged 2-m air temperature (K) taken against nClimDiv for each of the three runs, shown in the CONUS and NCEI regions as in Fig. 5.
Average temperatures are slightly warmer across the CONUS in WRF-NLCD (by 0.1–0.2 K over most of the period) when compared with WRF-USGS and WRF-NLCDDEF (Fig. 8). In most regions, WRF-NLCD either has the largest warm biases or a minimized cool bias, relative to the other simulations (Table 2). As seen in the CONUS-average time series, the WRF-USGS run is generally the coolest. However, this signal varies regionally as some areas (the Northern Rockies and Plains, Northwest, and South) consistently show the cooler temperatures in WRF-USGS while other areas (such as the Northeast and Southeast) favor cooler temperatures in the WRF-NLCDDEF simulation (Fig. 8). Overall, the regional time series in Fig. 8 show the most prominent differences between the runs in the South, Southeast, Northwest, Upper Midwest, and Ohio Valley regions where forest and agricultural land is dominant, while the more arid West and Southwest regions show less divergence between the runs. Differences between the runs are found to be statistically significant using a t test with p = 0.05, except that differences between the two NLCD-based runs are not significant in the Northern Rockies and Plains region (not shown). In general, as with precipitation, the sensitivity of near-surface temperatures to LU representation is smaller than the model error.
Previous studies showed that changes in LU affect projections of temperature extremes (e.g., Deo et al. 2009; Avila et al. 2012). In the WRF Model, many of the values that are retrieved from lookup tables on the basis of LU are maximum and minimum thresholds (for LAI and stomatal resistance, among others) used to bound model behavior, as well as values that define surface moisture availability and heat capacity, which influence the partitioning of latent and sensible heat fluxes from the surface. While mean temperature differences between the three simulations are relatively small, more contrast between the runs occurs in extreme temperatures. To isolate differences in the number of “hot” days, the average number of days per year on which the maximum 2-m temperature meets or exceeds 90°F (32.2°C) (e.g., Karl et al. 2009; Horton et al. 2014) was computed at each grid cell across the domain, and the difference fields are plotted in Fig. 9. The WRF-NLCD run has ~10–40 more hot days per year than WRF-USGS throughout much of the Southeast and into the South. In areas of the Upper Midwest and Ohio Valley, WRF-NLCD has ~5–20 more hot days per year than WRF-USGS in several areas. By contrast, WRF-USGS has more hot days than WRF-NLCD along the western coast of Mexico, and a sparse area of ~5–20 more hot days in parts of the California coast.
Fig 9.

The difference in the average number of days per year on which the maximum 2-m temperature meets or exceeds 90°F for (top) WRF-USGS minus WRF-NLCD and (bottom) WRF-NLCD minus WRF-NLCDDEF.
WRF-NLCD generally has more hot days than WRF-NLCDDEF where there are differences between the runs (Fig. 9). This difference is most apparent in the Southeast, where there are ~5–40 more hot days per year and there is a similar spatial pattern to the comparison of WRF-NLCD to WRF-USGS. By contrast, there are ~10–30 fewer hot days along parts of the Gulf Coast in WRF-NLCD than in WRF-NLCDDEF. Overall, the sensitivity to the LU source data appears larger than sensitivity due to changes in interpolation scheme. Of the three simulations, WRF-NLCD has the highest number of hot days while WRF-USGS has the smallest number among all three runs, with the differences concentrated most in the Southeast. In general, using NLCD LU with either interpolation scheme results in warmer 2-m air temperatures, which increases the frequency of hot days in the South and Southeast.
c. Surface fluxes
Because the LU affects the atmosphere through air–surface exchanges of heat, moisture, and momentum, the changes in 2-m air temperature and precipitation can be linked to the changing LU dataset by examining how the composition of LU types affects air–surface interactions. Figure 10 compares sensible and latent heat fluxes averaged in each of the consolidated categories listed in Table 1. The values shown in Fig. 10 are normalized by the number of grid cells in each category. WRF-NLCDDEF is not shown because it is similar to WRF-NLCD when averaged over consolidated LU categories in this way.
Fig 10.

Annual cycle of monthly averaged (left) sensible and (right) latent heat fluxes (W m−2) averaged within each of the consolidated LU categories for the (top) WRF-USGS and (bottom) WRF-NLCD simulations, colored according to the legend at the bottom. The inset tables show averages taken over each simulation within each of the consolidated categories.
As expected, urban categories are most effective at transferring sensible heat to the atmosphere with an annual average of ~100 W m−2in both simulations. Grassland/shrubland categories also tend to be large producers of sensible heat at 56–70 W m−2, making it the second largest source in WRF-USGS and the third largest in WRF-NLCD. In both runs, forest, agricultural, and wetlands also have large sensible heat values, with averages of 46–59 W m−2. The simulations do not give similar values of sensible heat in the barren/tundra consolidated category, varying by over 30 W m−2. This may be due to the limitations of representing a variety of LU types with consolidated categories, as USGS has a variety of tundra categories (including herbaceous and woody varieties) while the NLCD only contributes cells from a single barren land category within the CONUS (Table 1). In both WRF-USGS and WRF-NLCD, forest LU types are the most important conduits of latent heat to the atmosphere, with average values of ~56 W m−2. The wetland and agricultural categories are the next largest producers of latent heat in both runs with values of ~46–50 W m−2. Agricultural and forest LU types contribute most of the total monthly latent heat over the spring and early summer, but the contribution from wetlands becomes dominant over the autumn and winter as fluxes from agricultural LU categories decrease after the growing season.
The analysis of all three simulations in consolidated LU categories shows that the most prominent LU types are forest, grassland/shrubland, and agricultural land (Figs. 3 and 4). The largest changes in consolidated LU between the runs are the decrease in forest and agricultural types and increase in grass/shrubland when changing from the WRF-USGS to the WRF-NLCD run (Fig. 4). Therefore, the most prolific producers of latent heat (forest and agricultural LU) are reduced in area in WRF-NLCD, while there are increases in grass/shrubland, which is a significant producer of sensible heat. Accordingly, it can be expected that the total surface evaporation, as well as precipitation, would decrease while surface and near-surface temperatures would increase when choosing NLCD instead of USGS for LU data when both use the four-point interpolation scheme. The sensitivity of precipitation and 2-m air temperature to interpolation scheme is smaller between WRF-NLCD and WRF-NLCDDEF, but WRF-NLCD is still drier and warmer. However, WRF-NLCD also contains fewer forest LU cells than WRF-NLCDDEF, which would promote increased surface latent heating (at the expense of sensible heating) and increased precipitation totals in the latter simulation. All other changes in LU type due to the difference in interpolation scheme, including those in agricultural and grassland/shrubland, are relatively small.
d. Regional results: Focus on the Southeast
Downscaled simulations are used as input for air quality modeling or hydrological modeling with human health and ecosystem services endpoints. It would be expected that the LU changes, while assessed here in a domain-aggregated sense, would have important regional and local implications. This section focuses on the Southeast during summer using the WRF-USGS and WRF-NLCD runs. This region is chosen because of the increased hot days, and because it featured the largest differences in monthly 2-m temperature and precipitation bias between each set of runs (see Table 2 and Fig. 9). It is also a region where forest LU types are prominent and changes in the extent of forest LU due to the driving data or interpolation scheme would be expected to affect other near-surface variables. Comparison of the consolidated LU types (Fig. 3) shows that both runs feature forest and agricultural types throughout the Southeast, although there is more diversity of LU types in WRF-NLCD in that region. While the agricultural land in WRF-USGS is primarily both in Florida and just inland of the Atlantic coast, the presence of agricultural land in WRF-NLCD is replaced with wetlands in areas throughout the region.
The differences in hot days (Fig. 9) and mean monthly 2-m temperatures (Fig. 8) indicate increases in average summertime daily maximum temperatures. Figure 11a shows increases of ~0.5 K in WRF-NLCD throughout most of the region, with a large area in the central portion near the Atlantic coast (eastern Georgia, South Carolina, and into southern North Carolina) with temperature increases of 1 K (Fig. 11a) and localized increases of more than 2 K. Slight cooling (generally <0.5 K) occurs in areas of Virginia. Consistent with the warmer temperatures in WRF-NLCD throughout the Southeast, the PBL heights are increased relative to WRF-USGS. PBL height differences of 25–100 m extend through most of the Southeast (Fig. 11b). WRF-NLCD shows PBL heights increased by 200–250 m at the North Carolina–South Carolina border near Charlotte, North Carolina, which is an area interspersed with urban categories in that simulation, while WRF-USGS shows no urban grid cells in the area (Fig. 3). Both the temperature and PBL height results are of particular importance for air quality simulations, as future projections of near-surface temperature and PBL heights would strongly affect changes in ozone concentrations (e.g., Dawson et al. 2007; Nolte et al. 2008; Wu et al. 2008; Haman et al. 2014) as well as particulate matter and its health effects (e.g., Ren and Tong 2006; Tai et al. 2010).
Fig 11.

The difference (WRF-USGS minus WRF-NLCD) in the June–August averaged (a) daily maximum 2-m temperature (K), (b) PBL height (m), (c) 2-m mixing ratio (g kg−1), and (d) LAI (m2 m−2).
Evaluation of air–surface interactions with a focus on moisture would be more important for hydrology or ecosystems services applications supported by downscaled simulations. Consistent with the greater precipitation shown in Table 2 and Figs. 5 and 6, summertime 2-m mixing ratio values are also higher in WRF-USGS relative to WRF-NLCD throughout most of the Southeast (Fig. 11c). Mixing ratio increases of more than 0.5 g kg−1 in WRF-USGS occur along the Atlantic coast, consistent with the location where large swaths of agricultural land are present in that run. Contrasts in LAI, which is an important driver of evaporation and humidity, are more heterogeneous than the mixing ratio differences (Fig. 11d). While regionally averaged LAI shows larger summertime values in WRF-USGS relative to WRF-NLCD (not shown), a notable intraregional variability is present in the Southeast, potentially due to LU changes and the associated lookup-table values. The increase in agricultural land in the eastern part of the region for WRF-USGS is consistent with its increased LAI values, relative to the WRF-NLCD LU, which features more wetlands in the area. It is also notable that maximum LAI values for the wetlands categories are 5.8 m2 m−2 for USGS but are reduced to 3.5 m2 m−2 with NLCD. While the current study is conducted in a framework appropriate for CONUS-wide downscaling, these results highlight the variability of LU differences on a local to regional scale, which may have important implications for some applications that rely on downscaled data.
e. Sensitivity of results
Additional simulations are conducted to illustrate the robustness of the results. These additional simulations use the identical model configuration except that the runs are driven with the 0.75° × 0.75° ECMWF interim reanalysis (ERA-Interim), a single 36-km domain is used, version 3.9.1.1 of WRF is used with the hybrid vertical coordinate system, and the simulations are conducted for 1988. These simulations, WRF-USGS2 and WRF-NLCD2, use four-point interpolation to set LU on the WRF grid.
Figure 12 summarizes the results of these runs over the CONUS utilizing plots like Figs. 5, 8, and 9. Similar to WRF-NLCD, the results of WRF-NLCD2 tend to show lower monthly precipitation values and warmer mean monthly 2-m temperatures over the CONUS relative to USGS. These runs also show notable differences in the number of hot days, with WRF-NLCD2 having a greater frequency of these events than WRF-USGS2. As in Fig. 9, Fig. 12 shows an increased frequency concentrated in the South and Southeast with widespread differences of over 10 days per year and several areas in Florida incurring an additional 30 hot days per year when NLCD is used. The comparison of WRF-USGS2 to WRF-NLCD2 corroborates conclusions drawn from the comparisons of WRF-USGS to WRF-NLCD using a different configuration of WRF. As before, WRF’s sensitivity to LU is generally less than the biases shown in Fig. 12.
Fig 12.

(top left) Monthly CPC precipitation and precipitation bias (mm month−1) shown as in Fig. 5 and (top right) monthly mean temperature bias (K) as in Fig. 8 for the CONUS during 1988 for the WRF-USGS2 and WRF-NLCD2 simulations (blue and green lines, respectively). (bottom) The difference in the annual frequency of hot days for WRF-USGS2 minus WRF-NLCD2, as in Fig. 9.
4. Summary and conclusions
The sensitivity to the choice and interpolation of LU data is assessed using WRF for continental-scale dynamical downscaling. Simulations are performed over the CONUS for a 3-yr period, utilizing the USGS and 2006 NLCD datasets where each was interpolated to the WRF grid using the same scheme (four_pt, which is the default method associated with the USGS). A third simulation uses NLCD’s default interpolation scheme (average_gcell). Near-surface temperature and precipitation are sensitive to both the LU source and the interpolation method. However, the model error is systematically larger than the LU sensitivity.
In general, the WRF-NLCD simulation produces lower precipitation totals and slightly higher 2-m air temperatures, with more pronounced differences in maximum daily temperatures, as compared with WRF-USGS. Differences in temperatures and precipitation are linked to changes in the most dominant LU categories: forest, grassland/shrubland, and agricultural. In NLCD relative to USGS, the reduction of forest and agricultural types and the compensating increase in grassland/shrubland and other categories tends to promote the release of sensible heat into the atmosphere at the expense of latent heating. In addition, WRF-NLCD has lower total surface evaporation but more surface and groundwater runoff (despite having lower precipitation amounts) relative to WRF-USGS.
The method used to interpolate and assign LU to the grid cell can significantly change the composition of the LU data on the target WRF grid. With NLCD, this alters 2-m temperatures and rainfall at daily and monthly scales. WRF-NLCD (which adopted the method usually applied for USGS) tends to be warmer and drier than the simulation that applied NLCD to the grid using the default method (WRF-NLCDDEF). Similarly, the concentration of forest LU types is lower in WRF-NLCD relative to WRF-NLCDDEF, which affects the partitioning of the sensible and latent heat fluxes.
Although LU datasets within WRF were collected at comparable spatial scales (1 km and below), they should continue to be interpolated to the WRF grids using different methods because of distinctions in the representation of the LU among the source data. For datasets that provide one dominant LU category per pixel (e.g., MODIS), the nearest_neighbor method is preferred and is set as the default; however, bilinear interpolation or averaging methods are preferred when the source dataset provides fractional values of LU within each pixel for every category, as is the case with the USGS and NLCD datasets (M. Duda 2017, personal communication). The default for USGS is the bilinear four_pt scheme, whereas gridcell averaging is the default method for NLCD. The current work illustrates that the interpolation method for LU is worth consideration, as dramatic differences in the spatial heterogeneity and composition of the LU field on the WRF grid can alter the simulation of 2-m temperatures and precipitation.
This study shows that the sensitivity of near-surface temperatures and precipitation to changes in LU representation is smaller than the model error for those fields, and the sensitivity to LU source is larger than that attributable to interpolation method. Here, LU sensitivity cannot account for the majority of model error. Additional changes to the model setup, such as the use of different physics schemes or finer resolution, could be utilized to improve the representation of precipitation and temperature over this historical period. However, this analysis demonstrates that differences between downscaled simulations due to LU sensitivity persist across daily and monthly temporal scales and occur both in CONUS-wide averages and within several regions of the CONUS. Monthly CONUS-averaged precipitation shows small but consistent differences between the simulations. LU affects daily precipitation across a range of both low and high rainfall events, and those effects systematically shift the distribution. Monthly average 2-m temperatures between the runs diverge more in the warm season than in other periods, and the number of days that exceed 90°F differs between the runs, notably in the South and Southeast. This suggests that LU could more strongly influence temperature and precipitation extremes. In focusing on the Southeast, it is found that PBL heights are increased and low-level moisture is decreased with WRF-NLCD relative to WRF-USGS, as the WRF-USGS features forest and agricultural LU types throughout this region while the WRF-NLCD contains a more heterogeneous landscape with additional wetlands and other LU types.
Here, the sensitivity to LU representation is examined in a dynamical downscaling application during a 3-yr historical period (1988–90). This period includes a range of climate and weather conditions with several extreme events (e.g., drought, regional freezing conditions, landfalling tropical systems). Results with this WRF configuration are expected to be robust because of the range of conditions included in the historical period. The model configuration and physics options used here were vetted in prior continental-scale downscaling studies (e.g., Bowden et al. 2012; Otte et al. 2012; Bowden et al. 2013; Herwehe et al. 2014). In addition, an alternate modeling configuration that uses an updated model version and finer-resolution driving data corroborates those conclusions. However, these results could also to be sensitive to other aspects of the experimental design that influence the parameterization of processes at the surface and the transport of turbulent fluxes into the overlying atmosphere, such as the LSM and PBL scheme. While it is expected that sensitivities to model physics choices (such as PBL or convection parameterizations) would play a more dominant role in the overall model statistics, this paper shows that sensitivities to the representation of LU are subtle but important in some areas. As discussed above, NLCD is commonly used for retrospective air quality applications, where other LSM and PBL schemes are used, along with nudging for soil moisture and temperature (e.g., Pleim and Xiu 2003; Pleim and Gilliam 2009). Such a constraint could affect sensitivity to LU in retrospective air quality applications.
The treatment of LU, as well as the grid spacing, may also affect the sensitivity to LU in a downscaling framework. Here, dominant LU is used where the LU category that is most prolific represents the entire 36-km cell. Therefore, small changes in the composition of the original LU data could change the dominant LU category, which could cascade onto the model’s simulation of 2-m temperature and precipitation. Other LSM options in WRF use a mosaic approach in which fractional LU values are considered within each grid cell. There may be less sensitivity to LU source data in WRF at 36 km with mosaic-style LSMs because the composition of LU in different datasets may be more comparable when taken at the subgrid scale. LU changes on a finer-resolution (i.e., 4 km) WRF grid using dominant LU may be more apparent than in the current experiment because higher-resolution grids could reflect smaller-scale changes to the land surface that occurred between USGS and NLCD. A more detailed exploration of the physical mechanisms that drove the differences in the atmospheric response to the different LU representations would be beneficial.
Our findings demonstrate that using the 2006 NLCD instead of USGS to provide LU information for WRF does not considerably change the accuracy of downscaling simulations and that there is no penalty for using this newer LU dataset to drive simulations of regional climate. Being a more contemporary and higher-resolution dataset, the NLCD data are advantageous for use in downscaling applications, especially as increased computational resources provide the opportunity to use finer grid spacing. However, both the source of the LU data and the method of interpolating those LU data to the domain influence the composition of the land surface, which, in turn, affects the simulation of air–surface interactions.
Acknowledgments
The views expressed in this article are those of the authors and do not necessarily represent the views or policies of the U.S. Environmental Protection Agency (EPA). The R2 and CPC U.S. Unified Precipitation data were obtained from the NOAA/OAR/ESRL PSD (http://www.esrl.noaa.gov/psd/). The nClimDiv data were acquired from the NCEI and are available online (https://www.nodc.noaa.gov/access/). Author SMT was supported by an appointment to the Research Participation Program at the U.S. EPA Office of Research and Development, administered by the Oak Ridge Institute for Science and Education (ORISE). The authors thank Chris Nolte (EPA) for the R scripts that were leveraged to create some of the figures in this paper. The authors appreciate the technical reviews and feedback on this manuscript from Chris Nolte and Limei Ran (EPA). The authors also thank the anonymous reviewers for constructive comments that strengthened this paper.
REFERENCES
- Alapaty K, Herwehe JA, Otte TL, Nolte CG, Bullock OR, Mallard MS, Kain JS, and Dudhia J, 2012: Introducing subgrid-scale cloud feedbacks to radiation for regional meteorological and climate modeling. Geophys. Res. Lett, 39, L24808, 10.1029/2012GL054031. [DOI] [Google Scholar]
- Avila FB, Pitman AJ, Donat MG, Alexander LV, and Abramowitz G, 2012: Climate model simulated changes in temperature extremes due to land cover change. J. Geophys. Res, 117, D04108, 10.1029/2011JD016382. [DOI] [Google Scholar]
- Bieniek PA, Bhatt US, Walsh JE, Rupp TS, Zhang J, Krieger JR, and Lader R, 2016: Dynamical downscaling of ERA-Interim temperature and precipitation for Alaska. J. Appl. Meteor. Climatol, 55, 635–654, 10.1175/JAMC-D-15-0153.1. [DOI] [Google Scholar]
- Bowden JH, Otte TL, Nolte CG, and Otte MJ, 2012: Examining interior grid nudging techniques using two-way nesting in the WRF Model for regional climate modeling. J. Climate, 25, 2805–2823, 10.1175/JCLI-D-11-00167.1. [DOI] [Google Scholar]
- Bowden JH, Nolte CG, and Otte TL, 2013: Simulating the impact of the large-scale circulation on the 2-m temperature and precipitation climatology. Climate Dyn., 40, 1903–1920, 10.1007/s00382-012-1440-y. [DOI] [Google Scholar]
- Bruyère CL, and Coauthors, 2017: Impact of climate change on Gulf of Mexico hurricanes. NCAR Tech. Note NCAR/TN-535+STR, 158 pp., https://opensky.ucar.edu/islandora/object/technotes%3A552. [Google Scholar]
- Bullock OR, Alapaty K, Herwehe JA, Mallard M, Otte TL, Gilliam RC, and Nolte CG, 2014: An observation-based investigation of nudging in WRF for downscaling surface climate information to 12-km grid spacing. J. Appl. Meteor. Climatol, 53, 20–33, 10.1175/JAMC-D-13-030.1. [DOI] [Google Scholar]
- Casati B, Yagouti A, and Chaumont D, 2013: Regional climate projections of extreme heat events in nine pilot Canadian communities for public health planning. J. Appl. Meteor. Climatol, 52, 2669–2698, 10.1175/JAMC-D-12-0341.1. [DOI] [Google Scholar]
- Chen F, and Dudhia J, 2001: Coupling an advanced land surface–hydrology model with the Penn State–NCAR MM5 modeling system. Part I: Model implementation and sensitivity. Mon. Wea. Rev, 129, 569–585, . [DOI] [Google Scholar]
- Chen M, and Xie P, 2008: CPC unified gauge-based analysis of global daily precipitation. Eos Trans. Amer. Geophys. Union, 89(Western Pacific Geophysics Meeting Suppl), Abstract A24A-05. [Google Scholar]
- Cheng FY, Hsu YC, Lin PL, and Lin TH, 2013: Investigation of the effects of different land use and land cover patterns on mesoscale meteorological simulations in the Taiwan area. J. Appl. Meteor. Climatol, 52, 570–587, 10.1175/JAMC-D-12-0109.1. [DOI] [Google Scholar]
- Cui W, Dong X, Xi B, and Kennedy A, 2017: Evaluation of reanalyzed precipitation variability and trends using the gridded gauge-based analysis over the CONUS. J. Hydrometeor, 18, 2227–2248, 10.1175/JHM-D-17-0029.1. [DOI] [Google Scholar]
- Darmenova K, Apling D, Higgins G, Hayes P, and Kiley H, 2013: Assessment of the regional climate change and development of climate adaptation decision aids in the southwestern United States. J. Appl. Meteor. Climatol, 52, 303–322, 10.1175/JAMC-D-11-0192.1. [DOI] [Google Scholar]
- Dawson JP, Adams PJ, and Pandis SN, 2007: Sensitivity of ozone to summertime climate in the eastern USA: A modeling case study. Atmos. Environ, 41, 1494–1511, 10.1016/j.atmosenv.2006.10.033. [DOI] [Google Scholar]
- Decremer D, Chung CE, Ekman AML, and Brandefelt J, 2014: Which significance test performs the best in climate simulations? Tellus, 66A, 21339, 10.3402/tellusa.v66.23139. [DOI] [Google Scholar]
- Deo RC, Syktus JI, McAlpine CA, Lawrence PJ, McGowan HA, and Phinn SR, 2009: Impact of historical land cover change on daily indices of climate extremes including droughts in eastern Australia. Geophys. Res. Lett, 36, L08705, 10.1029/2009GL037666. [DOI] [Google Scholar]
- EPA, 2017: Multi-model framework for quantitative sectoral impacts analysis: A technical report for the Fourth National Climate Assessment. Environmental Protection Agency Rep. EPA 430-R-17–001, 271 pp., https://cfpub.epa.gov/si/si_public_record_Report.cfm?dirEntryId=335095. [Google Scholar]
- Fann N, Nolte CG, Dolwick P, Spero TL, Curry Brown A, Phillips S, and Anenberg S, 2015: The geographic distribution and economic value of climate change–related ozone health impacts in the United States in 2030. J. Air Waste Manage. Assoc, 65, 570–580, 10.1080/10962247.2014.996270. [DOI] [PubMed] [Google Scholar]
- Fann N, and Coauthors, 2016: Air quality impacts. The Impacts of Climate Change on Human Health in the United States: A Scientific Assessment, Crimmins A et al. , Eds., U.S. Global Change Research Program, 69–98, 10.7930/J0GQ6VP6. [DOI] [Google Scholar]
- Fry J, and Coauthors, 2011: Completion of the 2006 National Land Cover Database for the conterminous United States. Photogramm. Eng. Remote Sensing, 77, 858–864. [Google Scholar]
- Gan CM, Binkowski F, Pleim J, Xing J, Wong D, Mathur R, and Gilliam R, 2015: Assessment of the aerosol optics component of the coupled WRF–CMAQ Model using CARES field campaign data and a single column model. Atmos. Environ, 115, 670–682, 10.1016/j.atmosenv.2014.11.028. [DOI] [Google Scholar]
- Gan CM, and Coauthors, 2016: Assessment of the effects of horizontal grid resolution on long-term air quality trends using coupled WRF-CMAQ simulations. Atmos. Environ, 132, 207–216, 10.1016/j.atmosenv.2016.02.036. [DOI] [Google Scholar]
- Gao Y, Fu JS, Drake JB, Liu Y, and Lamarque J-F, 2012: Projected changes of extreme weather events in the eastern United States based on a high resolution climate modeling system. Environ. Res. Lett, 7, 044025, 10.1088/1748-9326/7/4/044025. [DOI] [Google Scholar]
- Giorgi F, Jones C, and Asrar G, 2009: Addressing climate information needs at the regional level: The CORDEX framework. WMO Bull, 58, 175–183. [Google Scholar]
- Haman CL, Couzo E, Flynn JH, Vizuete W, Heffron B, and Lefer BL, 2014: Relationship between boundary layer heights and growth rates with ground-level ozone in Houston, Texas. J. Geophys. Res. Atmos., 119, 6230–6245, 10.1002/2013JD020473. [DOI] [Google Scholar]
- He J, Zhang M, Lin W, Colle B, Liu P, and Vogelmann AM, 2013: The WRF nested within the CESM: Simulations of a midlatitude cyclone over the southern Great Plains. J. Adv. Model. Earth Syst, 5, 10.1002/jame.20042. [DOI] [Google Scholar]
- Herwehe JA, Alapaty K, Spero TL, and Nolte CG, 2014: Increasing the credibility of regional climate simulations by introducing subgrid-scale cloud–radiation interactions. J. Geophys. Res. Atmos., 119, 5317–5330, 10.1002/2014JD021504. [DOI] [Google Scholar]
- Hong S-Y, and Lim J-OJ, 2006: The WRF single-moment 6-class microphysics scheme (WSM6). J. Korean Meteor. Soc, 42, 129–151. [Google Scholar]
- Hong S-Y, Noh Y, and Dudhia J, 2006: A new vertical diffusion package with an explicit treatment of entrainment processes. Mon. Wea. Rev, 134, 2318–2341, 10.1175/MWR3199.1. [DOI] [Google Scholar]
- Horton R, and Coauthors, 2014: Northeast. Climate Change Impacts in the United States: The Third National Climate Assessment, Melillo JM, Richmond TC, and Yohe GW, Eds., U.S. Global Change Research Program, 371–395. [Google Scholar]
- Iacono MJ, Delamere JS, Mlawer EJ, Shephard MW, Clough SA, and Collins WD, 2008: Radiative forcing by long-lived greenhouse gases: Calculations with the AER radiative transfer models. J. Geophys. Res, 113, D13103, 10.1029/2008JD009944. [DOI] [Google Scholar]
- Jimenez PA, Dudhia J, Gonzalez-Rouco JF, Navarro J, Montávez JP, and Garcia-Bustamante E, 2012: A revised scheme for the WRF surface layer formulation. Mon. Wea. Rev, 140, 898–918, 10.1175/MWR-D-11-00056.1. [DOI] [Google Scholar]
- Kain JS, 2004: The Kain–Fritsch convective parameterization: An update. J. Appl. Meteor, 43, 170–181, . [DOI] [Google Scholar]
- Kamal S, Huang H-P, and Myint SW, 2015: The influence of urbanization on the climate of the Las Vegas metropolitan area: A numerical study. J. Appl. Meteor. Climatol, 54, 2157–2177, 10.1175/JAMC-D-15-0003.1. [DOI] [Google Scholar]
- Kanamitsu M, Ebisuzaki W, Woollen J, Yang S-K, Hnilo JJ, Fiorino M, and Potter GL, 2002: NCEP–DOE AMIP-II Reanalysis (R-2). Bull. Amer. Meteor. Soc, 83, 1631–1643, 10.1175/BAMS-83-11-1631. [DOI] [Google Scholar]
- Karl TR, and Koss WJ, 1984: Regional and national monthly, seasonal, and annual temperature weighted by area, 1895–1983. National Climatic Data Center Historical Climatology Series 4–3, 38 pp., https://repository.library.noaa.gov/view/noaa/10238. [Google Scholar]
- Karl TR, Melillo JM, and Peterson TC, Eds., 2009: Global Climate Change Impacts in the United States. Cambridge University Press, 196 pp. [Google Scholar]
- Li D, Bou-Zeid E, Baeck M, Jessup S, and Smith J, 2013: Modeling land surface processes and heavy rainfall in urban environments: Sensitivity to urban surface representations. J. Hydrometeor, 14, 1098–1118, 10.1175/JHM-D-12-0154.1. [DOI] [Google Scholar]
- Li Y, Lu G, Wu Z, He H, and He J, 2017: High-resolution dynamical downscaling of seasonal precipitation forecasts for the Hanjiang basin in China using the Weather Research and Forecasting Model. J. Appl. Meteor. Climatol, 56, 1515–1536, 10.1175/JAMC-D-16-0268.1. [DOI] [Google Scholar]
- Liang X-Z, and Coauthors, 2012: Regional Climate–Weather Research and Forecasting Model (CWRF). Bull. Amer. Meteor. Soc, 93, 1363–1387, 10.1175/BAMS-D-11-00180.1. [DOI] [Google Scholar]
- Liu C, and Coauthors, 2017: Continental-scale convection-permitting modeling of the current and future climate of North America. Climate Dyn, 49, 71–95, 10.1007/s00382-016-3327-9. [DOI] [Google Scholar]
- Lopez-Espinoza ED, Zavala-Hidalgo J, and Gomez-Ramos O, 2012: Weather forecast sensitivity to changes in urban land covers using the WRF Model for central Mexico. Atmósfera, 25, 127–154. [Google Scholar]
- Loveland TR, Reed BC, Brown JF, Ohlen DO, Zhu J, Yang L, and Merchant JW, 2000: Development of a global land cover characteristics database and IGBP DISCover from 1-km AVHRR data. Int. J. Remote Sens, 21, 1303–1330, 10.1080/014311600210191. [DOI] [Google Scholar]
- Mallard MS, Nolte CG, Bullock OR, Spero TL, and Gula J, 2014: Using a coupled lake model with WRF for dynamical downscaling. J. Geophys. Res. Atmos., 119, 7193–7208, 10.1002/2014JD021785. [DOI] [Google Scholar]
- Mearns LO, and Coauthors, 2012: The North American Regional Climate Change Assessment Program: Overview of phase I results. Bull. Amer. Meteor. Soc, 93, 1337–1362, 10.1175/BAMS-D-11-00223.1. [DOI] [Google Scholar]
- Menne MJ, Durre I, Vose RS, Gleason BE, and Houston TG, 2012: An overview of the Global Historical Climatology Network-Daily database. J. Atmos. Oceanic Technol, 29, 897–910, 10.1175/JTECH-D-11-00103.1. [DOI] [Google Scholar]
- Miguez-Macho G, Stenchikov GL, and Robock A, 2004: Spectral nudging to eliminate the effects of domain position and geometry in regional climate model simulations. J. Geophys. Res, 109, D13104, 10.1029/2003JD004495. [DOI] [Google Scholar]
- NCAR, 2002: WRF standard initialization—Preparing input data In User’s Guide for Weather Research and Forecast (WRF) Modeling System Version 2. National Center for Atmospheric Research Doc, http://www2.mmm.ucar.edu/wrf/users/docs/user_guide_old/Attic/users_guide_chap3.html. [Google Scholar]
- NCAR, 2006: WRF Preprocessing System version 2. National Center for Atmospheric Research, http://www2.mmm.ucar.edu/wrf/users/wpsv2/wps.html. [Google Scholar]
- NCAR, 2014: ARW version 3 modeling system user’s guide. National Center for Atmospheric Research Doc, 413 pp., http://www2.mmm.ucar.edu/wrf/users/docs/user_guide_V3.5/ARWUsersGuideV3.pdf. [Google Scholar]
- NCAR, 2017: ARW version 3 modeling system user’s guide. National Center for Atmospheric Research Doc, 434 pp., http://www2.mmm.ucar.edu/wrf/users/docs/user_guide_V3.8/ARWUsersGuideV3.8.pdf. [Google Scholar]
- Nolte CG, Gilliland AB, Hogrefe C, and Mickley LJ, 2008: Linking global to regional models to assess future climate impacts on surface ozone levels in the United States. J. Geophys. Res, 113, D14307, 10.1029/2007JD008497. [DOI] [Google Scholar]
- Otte TL, Nolte CG, Otte MJ, and Bowden JH, 2012: Does nudging squelch the extremes in regional climate modeling? J. Climate, 25, 7046–7066, 10.1175/JCLI-D-12-00048.1. [DOI] [Google Scholar]
- Patricola CM, and Cook KH, 2010: Northern African climate at the end of the twenty-first century: An integrated application of regional and global climate models. Climate Dyn, 35, 193–212, 10.1007/s00382-009-0623-7. [DOI] [Google Scholar]
- Perkins SE, Pitman AJ, Holbrook N, and McAneney J, 2007: Evaluation of the AR4 climate models’ simulated daily maximum temperature, minimum temperature, and precipitation over Australia using probability density functions. J. Climate, 20, 4356–4376, 10.1175/JCLI4253.1. [DOI] [Google Scholar]
- Pleim JE, and Xiu A, 2003: Development of a land surface model. Part II: Data assimilation. J. Appl. Meteor, 42, 1811–1822, . [DOI] [Google Scholar]
- Pleim JE, and Gilliam R, 2009: An indirect data assimilation scheme for deep soil temperature in the Pleim–Xiu land surface model. J. Appl. Meteor. Climatol, 48, 1362–1376, 10.1175/2009JAMC2053.1. [DOI] [Google Scholar]
- Ran L, Pleim J, and Gilliam R, 2010: Impact of high resolution land-use data in meteorology and air quality modeling systems Air Pollution Modeling and Its Applications XX, Steyn DG and Rao ST, Eds., Springer, 3–7. [Google Scholar]
- Ran L, Gilliam R, Binkowski FS, Xiu A, Pleim J, and Band L, 2015: Sensitivity of the Weather Research and Forecast/Community Multiscale Air Quality modeling system to MODIS LAI, FPAR, and albedo. J. Geophys. Res. Atmos., 120, 8491–8511, 10.1002/2015JD023424. [DOI] [Google Scholar]
- Ren C, and Tong S, 2006: Temperature modifies the health effects of particulate matter in Brisbane, Australia. Int. J. Biometeor, 51, 87–96, 10.1007/s00484-006-0054-7. [DOI] [PubMed] [Google Scholar]
- Sertel E, Robock A, and Ormeci C, 2010: Impacts of land cover data quality on regional climate simulations. Int. J. Climatol, 30, 1942–1953, 10.1002/joc.2036. [DOI] [Google Scholar]
- Skamarock WC, and Klemp JB, 2008: A time-split nonhydrostatic atmospheric model for weather research and forecasting applications. J. Comput. Phys, 227, 3465–3485, 10.1016/j.jcp.2007.01.037. [DOI] [Google Scholar]
- Spero TL, Nolte CG, Bowden JH, Mallard MS, and Herwehe JA, 2016: The impact of incongruous lake temperatures on regional climate extremes downscaled from the CMIP5 archive using the WRF Model. J. Climate, 29, 839–853, 10.1175/JCLI-D-15-0233.1. [DOI] [Google Scholar]
- Tai APK, Mickley LJ, and Jacob DJ, 2010: Correlations between fine particulate matter (PM2.5) and meteorological variables in the United States: Implications for the sensitivity of PM2.5 to climate change. Atmos. Environ, 44, 3976–3984, 10.1016/j.atmosenv.2010.06.060. [DOI] [Google Scholar]
- Vose RS, and Coauthors, 2014: NOAA’s Gridded Climate Divisional Dataset (CLIMDIV) NOAA/National Climatic Data Center, accessed 18 July 2018, 10.7289/V5M32STR. [DOI]
- Walsh J, and Coauthors, 2014: Our changing climate Climate Change Impacts in the United States: The Third National Climate Assessment, Melillo JM, Richmond TC, and Yohe GW, Eds., U.S. Global Change Research Program, 19–67, 10.7930/J0KW5CXT. [DOI] [Google Scholar]
- Wobus C, and Coauthors, 2017: Climate change impacts on flood risk and asset damages within mapped 100-year floodplains of the contiguous United States. Nat. Hazards Earth Syst. Sci, 17, 2199–2211, 10.5194/nhess-17-2199-2017. [DOI] [Google Scholar]
- Wootten A, Bowden JH, Boyles R, and Terando A, 2016: The sensitivity of WRF downscaled precipitation in Puerto Rico to cumulus parameterization and interior grid nudging. J. Appl. Meteor. Climatol, 55, 2263–2281, 10.1175/JAMC-D-16-0121.1. [DOI] [Google Scholar]
- Wu S, Mickley LJ, Leibensperger EM, Jacob DJ, Rind D, and Streets DG, 2008: Effects of 2000–2050 global change on ozone air quality in the United States. J. Geophys. Res, 113, D06302, 10.1029/2007JD008917. [DOI] [Google Scholar]
- Zhang C, Wang Y, Hamilton K, and Lauer A, 2016: Dynamical downscaling of the climate for the Hawaiian Islands. Part I: Present day. J. Climate, 29, 3027–3048, 10.1175/JCLI-D-15-0432.1. [DOI] [Google Scholar]
- Zhang Y, Zhao Y, Chen S, Guo J, and Wang E, 2015: Prediction of maize yield response to climate change with climate and crop model uncertainties. J. Appl. Meteor. Climatol, 54, 785–794, 10.1175/JAMC-D-14-0147.1. [DOI] [Google Scholar]
