Abstracts
The Hantaan virus (HTNV) and Seoul virus (SEOV) mutants have accumulated over time. It is important to determine whether their neutralizing epitopes have evolved, thereby making the current vaccine powerless. However, it is impossible to determine by using traditional plaque reduction neutralization test (PRNT), because it requires large numbers of live mutant strains. Pseudovirus-based neutralization assays (PBNA) were developed by employing vesicular stomatitis virus (VSV) backbone incorporated with HTNV or SEOV glycoproteins (VSVΔG*-HTNVG or VSVΔG*-SEOVG). 56 and 51 single amino acid substitutions of glycoprotein (GP) in HTNV and SEOV were selected and introduced into the reference plasmid. Then the mutant pseudoviruses were generated and tested by PBNA. The PBNA results were highly correlated with PRNT ones with R2 being 0.91 for VSVΔG*-HTNVG and 0.82 for VSVΔG*-SEOVG. 53 HTNV mutant pseudoviruses and 46 SEOV mutants were successfully generated. Importantly, by using PBNA, we found that HTNV or SEOV immunized antisera could neutralize all the corresponding 53 HTNV mutants or the 46 SEOV mutants respectively. The novel PBNA enables us to closely monitor the effectiveness of vaccines against large numbers of evolving HTNV and SEOV. And the current vaccine remains to be effective for the naturally occurring mutants.
Electronic supplementary material
The online version of this article (10.1007/s12250-020-00237-y) contains supplementary material, which is available to authorized users.
Keywords: Hemorrhagic fever with renal syndrome (HFRS), Hantaan virus (HTNV), Seoul virus (SEOV), Pseudovirus-based neutralization assay (PBNA), Amino acid substitution, Vaccine
Introduction
Hantaviruses are enveloped RNA viruses in the family Hantaviridae (Maes et al. 2019). So far, 41 hantavirus species have been found (Maes et al. 2019). Although mostly found in rodents, hantavirus can cause severe illness with high mortality rates in humans. These diseases include hemorrhagic fever with renal syndrome (HFRS) and hantavirus cardiopulmonary syndrome (HCPS); the mortality rates vary from 0.3%–10% for HFRS and 30%–40% for HCPS (Schmaljohn and Hjelle 1997; Meyer and Schmaljohn 2000; Bi et al. 2008; Jonsson et al. 2010; Vaheri et al. 2013; Watson et al. 2014). HFRS is mainly found in Europe and Asia, while HCPS is endemic in the Americas (Muyangwa et al. 2015). Notably, about 90% of HFRS cases have been reported in China (McCaughey and Hart 2000; Lin et al. 2014; Zhang et al. 2014). Data so far indicate that HFRS is mainly caused by six hantavirus species including Hantaan virus (HTNV), Seoul virus (SEOV), Dobrava-Belgrade virus (DOBV), Puumala virus (PUUV), Thailand virus (THAIV), and Luxi virus (LUXV). Of these viruses, HTNV and SEOV are the major causative agents of HFRS in China (Khaiboullina et al. 2005; Jonsson et al. 2010; Zou et al. 2016). Moreover, HCPS is mainly caused by infections of Sin Nombre virus (SNV) and Andes virus (ANDV).
HTNV and SEOV caused two types of HFRS in China with different clinical presentations, regional distributions, and epidemiologic features. HTNV-associated cases have been reported in more than 21 provinces, with sporadic cases observed in the winter; the fatality rate of HTNV infection is about 5%. Yet, SEOV infection cases have been reported in Henan and Shanxi provinces in the spring, with slightly lower fatality rate (< 1%). Moreover, it was found that the major reservoir for SEOV is the house rat (Rattus norvegicus) and back-striped mouse for HTNV (Apodemus agrarius) (Song et al. 1984; Tang et al. 1991).
As of today, there is no WHO-approved hantavirus vaccine available. However, some inactive vaccines were approved in South Korea and China, where vaccines are being used. Cases of HFRS in the South Korea resulted in the development of Hantavax®, a formalin-inactivated vaccine prepared by HTNV grown in suckling mouse brain. The vaccine has been used in South Korea since 1990 (Song et al. 2016). To date, three inactivated bivalent HTNV/SEOV vaccines, produced in golden hamster kidney cells or African green monkey kidney cells, have been licensed and widely used in China (Chen et al. 2000; Liu et al. 2000; Kruger et al. 2011), with efficacy being close to 100% (Liu et al. 2000). Nevertheless, it is important to closely monitor the circulating viral strains so as to ensure the current vaccines remain to be highly effective.
Hantavirus genome consists of three negative-strand RNA segments, the large (L), medium (M), and small (S) segments; major viral proteins expressed by the viral genes include RNA-dependent RNA polymerase (L protein), two surface glycoproteins (G1 and G2), and nucleocapsid protein (NP). Previous studies demonstrated that GP is the main target of neutralizing antibodies (Zhang et al. 1989). For vaccine evaluation, plaque reduction neutralization test (PRNT) is used. However, drawbacks are clearly associated with PRNT, including the lengthy procedure (1–2 weeks) and handling of the deadly pathogens (Lee et al. 1985; Chu et al. 1995). Furthermore, it is not possible to timely monitor the neutralization property of the large numbers of evolving HTNV and SEOV viruses with traditional methods due to limited strains obtained in one laboratory.
Here, we reported a reproducible pseudovirus (PsVs)-based neutralization assays (PBNA) employing vesicular stomatitis virus (VSV) as the backbone carrying the GP of HTNV or SEOV. Results generated by PBNA were highly in agreement with those by PRNT but with clear advantages in terms of rapidity, safety and high throughput capacity.
Materials and Methods
Cells
293T (ATCC, CRL3216), MDCK (ATCC, CCL34), Vero (ATCC, CCL81), A549 (ATCC, CCL185), Hela (ATCC, CCL2), and Vero E6 (ATCC, CRL1586) cells were maintained in DMEM supplemented with 10% FBS, 2% HEPES, and 1% penicillin/streptomycin. All cells were maintained at 37 °C in a 5% CO2 humidified incubator.
Viruses, HFRS Bivalent Vaccine, Rabbit Immune Sera, and VSV DNA Vaccine
VSVΔG*-G was kindly provided by Prof. M. A. Whitt (University of Tennessee). HTNV 76-118 and SEOV UR were maintained at Arboviruses Vaccine Division, National Institutes for Food and Drug Control (NIFDC), Beijing, China. Three HFRS bivalent vaccines were kindly provided by Changchun Institute of Biological Products Co., Ltd. (Changchun, China), Aimei Weixin Biopharmaceutical Co., Ltd. (Zhejiang, China), and Royal (Wuxi) Bio-pharmaceutical Co., Ltd. (Jiangsu, China), respectively. Four monovalent rabbit antisera against HTNV and four against SEOV were kindly provided by Aimei Weixin Biopharmaceutical Co., Ltd. (Zhejiang, China). Codon-optimized version of VSV (Indiana strain) GP was synthesized and cloned into pcDNA3.1(+) vector by GENEWIZ, generating the VSV DNA vaccine pcVSVG.
Preparation of Sera
The animal study was approved by the Institutional Animal Care and Use Committee of National Institutes for Food and Drug Control. All animals were housed in accordance with institutional guidelines. Three aforementioned HFRS bivalent vaccines were provided as described by the manufacturer. In short, 1 mL of the vaccines were injected intramuscularly into one New Zealand white rabbits (2.0 kg). PcVSVG, was used as the DNA vaccine, 200 μg of which was inoculated intramuscularly into guinea pig by electroporation. Immunization was repeated twice at 2-week intervals, while sera were obtained 1 day before first immunization and 2 weeks after the second immunization. All serum samples were inactivated at 56 °C for 30 min before use.
Generation of PsVs Harboring HTNV or SEOV GP
Codon-optimized versions of HTNV (76-118 strain), and SEOV (80-39 strain) GP were synthesized and separately cloned into pcDNA3.1(+) vector by GENEWIZ, generating expression plasmids pcHTNVG, and pcSEOVG. Expression plasmids containing HTNV or SEOV GP genes were used to create VSV-based PsVs (VSVΔG*-HTNVG or VSVΔG*-SEOVG). Briefly, 293T cells were cultured to form monolayer and then transfected with 24 μg of expression plasmids. Twenty-four hours later, the cells were infected with VSVΔG*-G at a multiplicity of infection of 1.0. The viruses were allowed to adsorb for 1 h at 37 °C, and the cells were washed three times with DMEM without FBS and cultured in DMEM containing 10% FBS. In addition, the control was simultaneously generated by infecting cells with VSVΔG*-G only.
After overnight incubation at 37 °C, the PsVs-containing supernatant was harvested by centrifugation at 1800 ×g for 10 min. The culture supernatants were then aliquoted and stored at −80 °C until use. Vero E6 cells were infected with serially diluted PsVs stocks; the infectivity based on the relative luciferase activity (RLA) was defined as 50% tissue culture infective dose (TCID50), according to the method of Reed and Muench (Matumoto 1949).
Pseudotype Virus-Based Neutralization Assay (PBNA)
PBNA assay was conducted as described (Pastrana et al. 2004). Briefly, PsVs were mixed with antibodies for 1 h at 37 °C before added with the freshly trypsinized cells, followed by incubation for 24 h. Afterwards, RLA was measured according to the instruction manual provided by PerkinElmer (Waltham, MA). Inhibition percentage was calculated as the following: (RLA in virus challenge control-RLA in test samples)/RLA in virus challenge control. Serum neutralization titers were defined as the 50% maximal inhibitory dilution (ID50) and calculated with the Reed-Muench method (Matumoto 1949).
Plaque Reduction Neutralization Test (PRNT)
PRNT was performed as described previously (Chu et al. 1995). Briefly, serial dilutions of the sera by twofold (1:8–1:64) were mixed with HTNV or SEOV to yield a mixture of ~ 100 PFU/200 µL. After 1 h incubation at 37 °C, 100 µL of the virus-antibody mixture was placed onto confluent monolayers of Vero E6 cells. The plates were incubated at 37 °C in the presence of 5% CO2 for 1.5 h, after which they were overlaid with growth medium containing 0.6% agarose. To visualize plaques, a second overlay identical to the first but with additional neutral red stain, was added, 7 days after infection. Plaques were observed 1–2 days after staining, with the neutralizing antibody titer calculated using the Reed-Muench method (Matumoto 1949).
HTNV and SEOV GP Sequence Analysis and Site-Directed Mutagenesis
The GP sequences derived from HTNV strain 76-118 and SEOV strain 80-39 were chosen in the study. All previously published GP sequences of HTNV and SEOV isolated from human before 30th June 2018 were downloaded from National Center for Biotechnology Information (NCBI). All HTNV or SEOV GP sequences were separately aligned with their corresponding reference using Bioedit software in conjunction with manual editing. We removed duplicate sequences from this data set, generating a total of 182 HTNV GP sequences and 119 SEOV GP sequences. Oligonucleotides were designed using NEBaseChanger to introduce non-synonymous mutations into the reference expression plasmids pcHTNVG (Supplementary Table S1) and pcSEOVG (Supplementary Table S2) by site-directed mutagenesis.
Results
Generation and Characterization of VSV Pseudotyped with HTNV and SEOV GP
We created the VSVΔG* viruses pseudotyped with HTNV or SEOV GP (VSVΔG*-HTNVG or VSVΔG*-SEOVG). As shown in Fig. 1, VSVΔG*-HTNVG or VSVΔG*-SEOVG had extremely higher infectivity compared to the control (generated by infecting cells with VSVΔG*-G only). To ascertain that the VSVΔG*-HTNVG or VSVΔG*-SEOVG preparations were free from contamination with the VSVΔG*-G helper virus, they were tested by guinea pig sera immunized with pcVSVG. The VSVΔG*-G infectivity was almost abolished by the anti-sera whilst VSVΔG*-HTNVG or VSVΔG*-SEOVG was not affected by the sera (Fig. 1), indicating that no VSVΔG*-G was detected in VSVΔG*-HTNVG or VSVΔG*-SEOVG preparations.
Fig. 1.

Generation and infectivity analysis of pseudotyped Hantaan virus (VSVΔG*-HTNVG) and Seoul virus (VSVΔG*-SEOVG).
Establishment of an In Vitro PsVs-Based Neutralizing Assay (PBNA)
To choose a sensitive cell line for the neutralization assay, we tested the cellular tropism of the VSVΔG*-HTNVG and VSVΔG*-SEOVG, together with their corresponding control. All of the cell lines (293T, MDCK, Vero, A549, Hela, and Vero E6) tested could be infected by the two PsVs, suggesting that the PsVs had a wide range of cellular tropism. Along with the control generated by infecting cells with VSVΔG*-G only, Vero E6 cells were found to be most susceptible to PsVs infection; as such, they were chosen as the best cell substrates for the neutralization assay (Fig. 2A, 2B). We also tested Vero E6 cell numbers ranging from 2500 to 100,000 per well, and found that the 30,000/well was the most desirable cell density (Fig. 2C, 2D). In addition, the amount of the virus used in the neutralizing assay was further optimized, with 400–1600 TCID50 finally chosen as the optimal virus dose to ensure both sensitivity and accuracy of the neutralizing assay (Fig. 3A, 3B). With such optimization, we were able to establish a sensitive and specific PsVs-based neutralization assay for HTNV and SEOV.
Fig. 2.
Optimization of the cells used in the in vitro pseudovirus-based neutralization assay (PBNA). A, B Cell tropism of VSVΔG*-HTNVG (A) or VSVΔG*-SEOVG (B). Different cells were seeded at 30,000/well in 96-well plates and infected with PsVs at a MOI of 1600 TCID50. After 24 h, the bioluminescence was tested and RLU calculated. C, D Cell inoculum density of Vero E6 cells. Optimization of the cells used in the in vitro VSVΔG*-HTNVG (C) and VSVΔG*-SEOVG (D) neutralization assay.
Fig. 3.

Optimization of virus dose for neutralization. The ID50 value of the serum from an immunized rabbit was determined using different VSVΔG*-HTNVG (A) and VSVΔG*-SEOVG (B) doses.
Sensitivity, Reproducibility and Correlation of PBNA with the PRNT
As the PBNA is intended to be used for the analysis of both rabbit and guinea pig samples, a panel of 15 negative rabbit and 20 negative guinea pig sera were used to evaluate the limit of detection (LOD) in PBNA assay. For both VSVΔG*-HTNVG and VSVΔG*-SEOVG, the guinea pig serum samples were found to have higher background compared to the rabbit serum samples. When the mean titer value of the negative samples plus 1.96 standard deviation (SD) was used to calculate the limit of detection (LOD) for VSVΔG*-HTNVG, the LOD was 13.5 for the rabbit serum and 23.0 for the guinea pig serum samples. In addition, LOD for VSVΔG*-SEOVG was 11.5 for the rabbit serum and 10.3 for the guinea pig serum samples, respectively. Finally, we chose LOD at 30 as the cut-off value of the PBNA assay to ensure the assay specificity (Fig. 4A).
Fig. 4.
Evaluation of PBNA. A Determination of cut-off value in PBNA. A panel of 15 negative rabbit and 20 negative guinea pig sera were used to determine the limit of detection (LOD). B Reproducibility. The reproducibility of the PBNA was determined by testing rabbit antisera either to HTNV or to SEOV in three independent runs, with each run the two samples being tested 3 times on 9 individual plate. C, D Correlation between PBNA and PRNT for the 62 positive samples based on VSVΔG*-HTNVG (C) and VSVΔG*-SEOVG (D). The solid line represents the fitted regression line, while the dashed line indicates the corresponding value in PBNA which were equal to the critical protective value of 10 in PRNT.
Reproducibility of the PBNA was determined by testing rabbit antisera against HTNV or to SEOV in three independent runs, with the two samples in each run being tested 3 times on nine individual plates (each in duplicate wells). For VSVΔG*-HTNVG, the coefficient of variation (CV) ranged from 6.5%–12.1% for the intra assay and 1.7%–7.4% for the inter assay, while for VSVΔG*-SEOVG, CV ranged from 6.9%–16.6% for the intra assay and 1.5%–13.1% for the inter assay (Fig. 4B).
We next determined the correlation between the PBNA and PRNT in terms of quantitative analyses of HTNV or SEOV-specific antibodies; to this end, 62 rabbit sera immunized with HFRS bivalent vaccines were tested (Fig. 4C, 4D). The linear equations were Y = 4.648X − 1.956 for VSVΔG*-HTNVG and Y = 7.524X − 5.263 for VSVΔG*-SEOVG. The calibration curves showed excellent linearity with the correlation coefficient R2 of 0.91 for VSVΔG*-HTNVG and 0.82 for VSVΔG*-SEOVG. Notably, based on the linear equations, 493 (VSVΔG*-HTNVG) and 183 (VSVΔG*-SEOVG) in PBNA were equal to the critical protective value of 10 in PRNT. Collectively, these data indicate that there is a statistically strong correlation between PBNA and PRNT in quantitative analysis of the serum samples.
Identification of Mutants
To study the antigenic epitopes in GP of HTNV isolates, 182 GP sequences from Genbank were analyzed, with nine mutations with frequencies higher than 40% being designated as “hot” substitutions. Previous studies found that 35 mutants at 28 aa positions of the GP may affect antigenic epitopes (Arikawa et al. 1989; Horling and Lundkvist 1997; Kikuchi et al. 1998; Koch et al. 2003; Lu et al. 2009; Yan et al. 2012; Guardado-Calvo et al. 2016; Li et al. 2016; Willensky et al. 2016). These 35 mutants were selected and designated here as epitope-related substitutions. Moreover, we used PROVEAN program to predict point mutations and 15 mutants were found to have the potential of altering neutralizing activity of the antibodies. 56 mutants at 49 aa in HTNV GP were selected to construct PsVs and their Genbank sequence numbers were listed in Supplementary Table S1. Similarly, through analysis of 119 SEOV GP sequences, 8 hot substitutions, 28 epitope-related substitutions, and 16 prediction-related substitutions were selected using the same rationale as that for HTNV. 51 mutants at 49 aa positions in SEOV GP were selected to construct PsVs and their Genbank sequence numbers were listed in Supplementary Table S2.
Analysis of Neutralization Properties of HTNV and SEOV GP Mutants
To determine whether single mutations could alter antigenicity, we generated a panel of GP mutants based on the reference HTNV 76-118 strain or SEOV 80-39 strain, and tested their reactivity to the corresponding monovalent rabbit antisera in the optimized PBNA.
Three of 56 HTNV mutants, including A55I, N821D, and E905G, could not form infectious PsVs and thus excluded from subsequent PBNA testing. The remaining 53 HTNV mutants were generated and titrated for subsequent neutralization assay (Fig. 5A). As shown in Fig. 5B, all single amino acid substitutions except K816I mutant were similar to HTNV reference strain in terms of their sensitivity to neutralizing antisera; the K816I mutant displayed a decreased sensitivity by fivefold to the neutralizing antisera. It is of note K816I is known to contribute to antigenic sites of PUUV glycoprotein (de Carvalho et al. 2000).
Fig. 5.
Analysis of HTNV PsVs with single amino acid substitution. A Generation and infectivity analysis of PsVs with single amino acid substitution. B ID50 differences between variant PsVs and the reference PsVs against guinea pig sera.
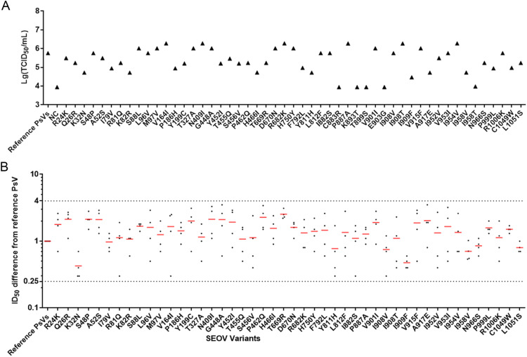
As shown in Fig. 6A, five of 51 SEOV mutants, C883R, K893T, T899S, E903G, and I958T, were not infectious and thus excluded from subsequent PNBA tests. The remaining 46 SEOV mutants were generated and titrated for PNBA assay (Fig. 6A). As shown in Fig. 6B, all mutants were effectively neutralized by the antisera, with no significant difference found between them.
Fig. 6.
Analysis of SEOV PsVs with single amino acid substitution. A Generation and infectivity analysis of PsVs with single amino acid substitution. B ID50 differences between variant PsVs and the reference PsVs against guinea pig sera.
Discussions
Hantavirus mutants are known to emerge with time, potentially reducing the effectiveness of the current HFRS vaccines used in humans. The neutralizing capability of antisera against hantavirus is mainly determined by PRNT. Other methods such as microneutralization test (MTN) (Li et al. 2017) and replication reduction neutralization test (RRNT) (Maes et al. 2009) were also used. Yet, some drawbacks are associated with these traditional assays. Specifically, the gold standard PRNT is time-consuming and laborious with the need to handle live virus. MTN is simpler (Li et al. 2017), but live virus is still required in this assay. Moreover, RRNT based on q-RT-PCR is more sensitive, but with relatively higher costs to run the assay and the need to handle live virus, make it less desirable for routine screening (Maes et al. 2009). Importantly, all the aforementioned traditional assays require large numbers of live mutant strains to analyze their neutralization property change. This substantially reduces the efficiency for rapid antigenic characterization of circulating/emerging mutants.
In this study, we created novel pseudotype virus VSVΔG* possessing hantavirus GP (VSVΔG*-HTNVG and VSVΔG*-SEOVG) and subsequently developed the PBNA assay. The single-round PsVs are much safer than high-pathogenic hantaviruses. The optimized PBNA takes only 1–2 days and is reproducible. Moreover, the large numbers of mutant strains could be easily generated based on the VSVΔG* pseudotyping system so that the neutralization property change of evolving strains will be timely analyzed and monitored, which significantly overcomes the drawback of the traditional methods. To our knowledge, this is the first report on the VSVΔG* pseudotype virus for the characterization of hantavirus antigenicity. As PBNA results are highly correlated to those obtained with PRNT, it represents a viable alternative assay for virus characterization and vaccine evaluation.
Using the developed PBNA assay, we analyzed mutants of HTNV and SEOV. Specifically, substitutions introduced into the GP of HTNV and SEOV were selected based on substitutions within the predicted antigenic sites of hantavirus or on substitutions predicted to affect antigenicity by PROVEAN program. Our results showed that antisera immunized with HTNV or SEOV vaccine had neutralizing reactivity against all their corresponding mutants except in the case of K816I; this mutant showed a decreased sensitivity by fivefold compared with the reference strain. The biological relevance of K816I mutation needs to be further investigated, given that this aa contributes to the known antigenicity of PUUV recognized by the monoclonal antibody 1C9 (de Carvalho et al. 2000). Considering the humoral immune system between rabbit or other animal with human is different, the fivefold change, if substantiated by future studies using vaccinated human sera, may have important implications for the future design of effective broad-protective vaccines.
In summary, we have established a safe, simple, and rapid PBNA based on the modified recombinant VSV and demonstrated several advantages over the currently used assays for HTNV and SEOV. The availability of this assay could facilitate rapid characterization of newly emerged viral isolates against the licensed vaccines.
Electronic supplementary material
Below is the link to the electronic supplementary material.
Acknowledgements
We would like to thank M. A. Whitt for providing the VSVΔG* pseudotype virus bearing VSV GP (VSVΔG*-G), Arboviruses Vaccine Division for HTNV strain 76-118 and Seoul virus UR, Changchun Institute of Biological Products Co., Ltd. (Changchun, China), Aimei Weixin Biopharmaceutical (Zhejiang) Co., Ltd. (Zhejiang, China), and Royal (Wuxi) Bio-pharmaceutical Co., Ltd. (Jiangsu, China) for their HFRS bivalent vaccines, rabbit antisera against HTNV and rabbit antisera against SEOV. The study was supported by the National Science and Technology Major Projects of Drug Discovery [Grant Number 2018ZX09101-001]
Author Contributions
YW designed the project and coordinated the study. TN, LW, SL, and JM performed the experiments and data analysis. JN, WH, and YL supervised the study. TN, XL, and YW wrote the paper.
Compliance with Ethical Standards
Conflict of interest
The authors declare that they have no conflict of interest.
Animal and Human Rights Statement
The whole study was approved by the Institutional Animal Care and Use Committee of National Institutes for Food and Drug Control, China. All institutional and national guidelines for the care and use of laboratory animals were followed.
Footnotes
Tingting Ning, Ling Wang have contributed equally to this work.
Contributor Information
Yuhua Li, Email: lyhchengdu@163.com.
Youchun Wang, Email: wangyc@nifdc.org.cn.
References
- Arikawa J, Schmaljohn AL, Dalrymple JM, Schmaljohn CS. Characterization of Hantaan virus envelope glycoprotein antigenic determinants defined by monoclonal antibodies. J Gen Virol. 1989;70(Pt 3):615–624. doi: 10.1099/0022-1317-70-3-615. [DOI] [PubMed] [Google Scholar]
- Bi Z, Formenty PB, Roth CE. Hantavirus infection: a review and global update. J Infect Dev Ctries. 2008;2:3–23. doi: 10.3855/jidc.317. [DOI] [PubMed] [Google Scholar]
- Chen H, Tang L, Luo Z, Zhang J, Zhang Z, Hu M, Weng J, Liu W, Zhao T, Liu W. Preventive effects of three kinds of inactive vaccines against epidemic hemorrhagic fever (EHF) after 5 years of vaccination. Zhonghua Liu Xing Bing Xue Za Zhi. 2000;21:347–348. [PubMed] [Google Scholar]
- Chu YK, Jennings G, Schmaljohn A, Elgh F, Hjelle B, Lee HW, Jenison S, Ksiazek T, Peters CJ, Rollin P, et al. Cross-neutralization of hantaviruses with immune sera from experimentally infected animals and from hemorrhagic fever with renal syndrome and hantavirus pulmonary syndrome patients. J Infect Dis. 1995;172:1581–1584. doi: 10.1093/infdis/172.6.1581. [DOI] [PubMed] [Google Scholar]
- de Carvalho Nicacio C, Lundkvist A, Sjolander KB, Plyusnin A, Salonen EM, Bjorling E. A neutralizing recombinant human antibody Fab fragment against Puumala hantavirus. J Med Virol. 2000;60:446–454. doi: 10.1002/(SICI)1096-9071(200004)60:4<446::AID-JMV13>3.0.CO;2-V. [DOI] [PubMed] [Google Scholar]
- Guardado-Calvo P, Bignon EA, Stettner E, Jeffers SA, Perez-Vargas J, Pehau-Arnaudet G, Tortorici MA, Jestin JL, England P, Tischler ND, Rey FA. Mechanistic insight into bunyavirus-induced membrane fusion from structure-function analyses of the hantavirus envelope glycoprotein Gc. PLoS Pathog. 2016;12:e1005813. doi: 10.1371/journal.ppat.1005813. [DOI] [PMC free article] [PubMed] [Google Scholar]
- Horling J, Lundkvist A. Single amino acid substitutions in Puumala virus envelope glycoproteins G1 and G2 eliminate important neutralization epitopes. Virus Res. 1997;48:89–100. doi: 10.1016/S0168-1702(97)01436-6. [DOI] [PubMed] [Google Scholar]
- Jonsson CB, Figueiredo LT, Vapalahti O. A global perspective on hantavirus ecology, epidemiology, and disease. Clin Microbiol Rev. 2010;23:412–441. doi: 10.1128/CMR.00062-09. [DOI] [PMC free article] [PubMed] [Google Scholar]
- Khaiboullina SF, Morzunov SP, St Jeor SC. Hantaviruses: molecular biology, evolution and pathogenesis. Curr Mol Med. 2005;5:773–790. doi: 10.2174/156652405774962317. [DOI] [PubMed] [Google Scholar]
- Kikuchi M, Yoshimatsu K, Arikawa J, Yoshida R, Yoo YC, Isegawa Y, Yamanishi K, Tono-oka S, Azuma I. Characterization of neutralizing monoclonal antibody escape mutants of Hantaan virus 76118. Arch Virol. 1998;143:73–83. doi: 10.1007/s007050050269. [DOI] [PubMed] [Google Scholar]
- Koch J, Liang M, Queitsch I, Kraus AA, Bautz EK. Human recombinant neutralizing antibodies against hantaan virus G2 protein. Virology. 2003;308:64–73. doi: 10.1016/S0042-6822(02)00094-6. [DOI] [PubMed] [Google Scholar]
- Kruger DH, Schonrich G, Klempa B. Human pathogenic hantaviruses and prevention of infection. Hum Vaccin. 2011;7:685–693. doi: 10.4161/hv.7.6.15197. [DOI] [PMC free article] [PubMed] [Google Scholar]
- Lee PW, Gibbs CJ, Jr, Gajdusek DC, Yanagihara R. Serotypic classification of hantaviruses by indirect immunofluorescent antibody and plaque reduction neutralization tests. J Clin Microbiol. 1985;22:940–944. doi: 10.1128/JCM.22.6.940-944.1985. [DOI] [PMC free article] [PubMed] [Google Scholar]
- Li S, Rissanen I, Zeltina A, Hepojoki J, Raghwani J, Harlos K, Pybus OG, Huiskonen JT, Bowden TA. A molecular-level account of the antigenic hantaviral surface. Cell Rep. 2016;16:278. doi: 10.1016/j.celrep.2016.06.039. [DOI] [PMC free article] [PubMed] [Google Scholar]
- Li W, Cao S, Zhang Q, Li J, Zhang S, Wu W, Qu J, Li C, Liang M, Li D. Comparison of serological assays to titrate Hantaan and Seoul hantavirus-specific antibodies. Virol J. 2017;14:133. doi: 10.1186/s12985-017-0799-0. [DOI] [PMC free article] [PubMed] [Google Scholar]
- Lin H, Zhang Z, Lu L, Li X, Liu Q. Meteorological factors are associated with hemorrhagic fever with renal syndrome in Jiaonan County, China, 2006–2011. Int J Biometeorol. 2014;58:1031–1037. doi: 10.1007/s00484-013-0688-1. [DOI] [PubMed] [Google Scholar]
- Liu W, Xu X, Ruan Y, Weng S, Liu W, Zhou W, Dong G, Gu H, Zhu Z, Xu Z. Safety and immunogenicity of inactivated bivalent EHF vaccine in humans. Zhonghua Liu Xing Bing Xue Za Zhi. 2000;21:445–447. [PubMed] [Google Scholar]
- Lu X, Yin W, Yang Q, Lei Y, Yang J, Sun M, Yao M, Xu Z, Xue X. Identification of oligopeptides mimicking the receptor-binding domain of Hantaan virus envelope glycoprotein from a phage-displayed peptide library. Can J Microbiol. 2009;55:664–671. doi: 10.1139/W09-012. [DOI] [PubMed] [Google Scholar]
- Maes P, Keyaerts E, Li S, Nlandu-Masunda V, Clement J, Van Ranst M. Replication reduction neutralization test, a quantitative RT-PCR-based technique for the detection of neutralizing hantavirus antibodies. J Virol Methods. 2009;159:295–299. doi: 10.1016/j.jviromet.2009.04.006. [DOI] [PubMed] [Google Scholar]
- Maes P, Adkins S, Alkhovsky SV, Avsic-Zupanc T, Ballinger MJ, Bente DA, Beer M, Bergeron E, Blair CD, Briese T, Buchmeier MJ, Burt FJ, Calisher CH, Charrel RN, Choi IR, Clegg JCS, de la Torre JC, de Lamballerie X, DeRisi JL, Digiaro M, Drebot M, Ebihara H, Elbeaino T, Ergunay K, Fulhorst CF, Garrison AR, Gao GF, Gonzalez JJ, Groschup MH, Gunther S, Haenni AL, Hall RA, Hewson R, Hughes HR, Jain RK, Jonson MG, Junglen S, Klempa B, Klingstrom J, Kormelink R, Lambert AJ, Langevin SA, Lukashevich IS, Marklewitz M, Martelli GP, Mielke-Ehret N, Mirazimi A, Muhlbach HP, Naidu R, Nunes MRT, Palacios G, Papa A, Paweska JT, Peters CJ, Plyusnin A, Radoshitzky SR, Resende RO, Romanowski V, Sall AA, Salvato MS, Sasaya T, Schmaljohn C, Shi X, Shirako Y, Simmonds P, Sironi M, Song JW, Spengler JR, Stenglein MD, Tesh RB, Turina M, Wei T, Whitfield AE, Yeh SD, Zerbini FM, Zhang YZ, Zhou X, Kuhn JH. Taxonomy of the order Bunyavirales: second update 2018. Arch Virol. 2019;164:927–941. doi: 10.1007/s00705-018-04127-3. [DOI] [PMC free article] [PubMed] [Google Scholar]
- Matumoto M. A note on some points of calculation method of LD50 by Reed and Muench. Jpn J Exp Med. 1949;20:175-9–175-179. [PubMed] [Google Scholar]
- McCaughey C, Hart CA. Hantaviruses. J Med Microbiol. 2000;49:587–599. doi: 10.1099/0022-1317-49-7-587. [DOI] [PubMed] [Google Scholar]
- Meyer BJ, Schmaljohn CS. Persistent hantavirus infections: characteristics and mechanisms. Trends Microbiol. 2000;8:61–67. doi: 10.1016/S0966-842X(99)01658-3. [DOI] [PubMed] [Google Scholar]
- Muyangwa M, Martynova EV, Khaiboullina SF, Morzunov SP, Rizvanov AA. Hantaviral proteins: structure, functions, and role in hantavirus infection. Front Microbiol. 2015;6:1326. doi: 10.3389/fmicb.2015.01326. [DOI] [PMC free article] [PubMed] [Google Scholar]
- Pastrana DV, Buck CB, Pang YY, Thompson CD, Castle PE, FitzGerald PC, Kruger Kjaer S, Lowy DR, Schiller JT. Reactivity of human sera in a sensitive, high-throughput pseudovirus-based papillomavirus neutralization assay for HPV16 and HPV18. Virology. 2004;321:205–216. doi: 10.1016/j.virol.2003.12.027. [DOI] [PubMed] [Google Scholar]
- Schmaljohn C, Hjelle B. Hantaviruses: a global disease problem. Emerg Infect Dis. 1997;3:95–104. doi: 10.3201/eid0302.970202. [DOI] [PMC free article] [PubMed] [Google Scholar]
- Song G, Hang CS, Liao HX, Fu JL, Gao GZ, Qiu HL, Zhang QF. Antigenic difference between viral strains causing classical and mild types of epidemic hemorrhagic fever with renal syndrome in China. J Infect Dis. 1984;150:889–894. doi: 10.1093/infdis/150.6.889. [DOI] [PubMed] [Google Scholar]
- Song JY, Woo HJ, Cheong HJ, Noh JY, Baek LJ, Kim WJ. Long-term immunogenicity and safety of inactivated Hantaan virus vaccine (Hantavax) in healthy adults. Vaccine. 2016;34:1289–1295. doi: 10.1016/j.vaccine.2016.01.031. [DOI] [PubMed] [Google Scholar]
- Tang YW, Li YL, Ye KL, Xu ZY, Ruo SL, Fisher-Hoch SP, McCormick JB. Distribution of hantavirus serotypes Hantaan and Seoul causing hemorrhagic fever with renal syndrome and identification by hemagglutination inhibition assay. J Clin Microbiol. 1991;29:1924–1927. doi: 10.1128/JCM.29.9.1924-1927.1991. [DOI] [PMC free article] [PubMed] [Google Scholar]
- Vaheri A, Strandin T, Hepojoki J, Sironen T, Henttonen H, Makela S, Mustonen J. Uncovering the mysteries of hantavirus infections. Nat Rev Microbiol. 2013;11:539–550. doi: 10.1038/nrmicro3066. [DOI] [PubMed] [Google Scholar]
- Watson DC, Sargianou M, Papa A, Chra P, Starakis I, Panos G. Epidemiology of Hantavirus infections in humans: a comprehensive, global overview. Crit Rev Microbiol. 2014;40:261–272. doi: 10.3109/1040841X.2013.783555. [DOI] [PubMed] [Google Scholar]
- Willensky S, Bar-Rogovsky H, Bignon EA, Tischler ND, Modis Y, Dessau M. Crystal structure of glycoprotein c from a hantavirus in the post-fusion conformation. PLoS Pathog. 2016;12:e1005948. doi: 10.1371/journal.ppat.1005948. [DOI] [PMC free article] [PubMed] [Google Scholar]
- Yan G, Zhang Y, Ma Y, Yi J, Liu B, Xu Z, Zhang Y, Zhang C, Zhang F, Xu Z, Yang A, Zhuang R, Jin B. Identification of a novel B-cell epitope of Hantaan virus glycoprotein recognized by neutralizing 3D8 monoclonal antibody. J Gen Virol. 2012;93:2595–2600. doi: 10.1099/vir.0.045302-0. [DOI] [PubMed] [Google Scholar]
- Zhang XK, Takashima I, Hashimoto N. Characteristics of passive immunity against hantavirus infection in rats. Arch Virol. 1989;105:235–246. doi: 10.1007/BF01311360. [DOI] [PubMed] [Google Scholar]
- Zhang S, Wang S, Yin W, Liang M, Li J, Zhang Q, Feng Z, Li D. Epidemic characteristics of hemorrhagic fever with renal syndrome in China, 2006–2012. BMC Infect Dis. 2014;14:384. doi: 10.1186/1471-2334-14-384. [DOI] [PMC free article] [PubMed] [Google Scholar]
- Zou LX, Chen MJ, Sun L. Haemorrhagic fever with renal syndrome: literature review and distribution analysis in China. Int J Infect Dis. 2016;43:95–100. doi: 10.1016/j.ijid.2016.01.003. [DOI] [PubMed] [Google Scholar]
Associated Data
This section collects any data citations, data availability statements, or supplementary materials included in this article.




