Abstract
The thermal expansion coefficient is an important thermal parameter that influences the performance of nanodevices based on two-dimensional materials. To obtain the thermal expansion coefficient of few-layer MoS2, suspended MoS2 and supported MoS2 were systematically investigated using Raman spectroscopy in the temperature range from 77 to 557 K. The temperature-dependent evolution of the Raman frequency shift for suspended MoS2 exhibited prominent differences from that for supported MoS2, obviously demonstrating the effect due to the thermal expansion coefficient mismatch between MoS2 and the substrate. The intrinsic thermal expansion coefficients of MoS2 with different numbers of layers were calculated. Interestingly, negative thermal expansion coefficients were obtained below 175 K, which was attributed to the bending vibrations in the MoS2 layer during cooling. Our results demonstrate that Raman spectroscopy is a feasible tool for investigating the thermal properties of few-layer MoS2 and will provide useful information for its further application in photoelectronic devices.
Subject terms: Two-dimensional materials, Raman spectroscopy
Introduction
Two-dimensional (2D) transition metal dichalcogenides (TMDs), especially monolayer 2D TMDs, have attracted enormous attention in the past decade because of not only their striking physical properties1,2 but also their potential applications in electronic, photonic and thermoelectric devices3–6. However, obtaining large-area single crystalline monolayer 2D TMDs is still challenging, hindering their applications in devices. Compared with monolayer 2D TMDs, few-layer 2D TMDs are much easier to achieve by physical or chemical methods. In recent years, few-layer 2D TMDs have received increasing attention due to their interesting physical properties and applications in electronic and optoelectronic devices7–11. Neri and coauthors reported the strain induced semiconductor–metal transition in few-layer MoS27. High-speed vertical photodiodes based on few-layer MoS2 have been fabricated using asymmetric metal contacts, exhibiting an external quantum efficiency of up to 7%9. A simple few-layer MoS2-based photodetector employing vertical Schottky junctions of Au-MoS2-indium tin oxide (ITO) was proposed by Gong et al.11. It has been demonstrated that the physical properties of MoS2 can be significantly affected by the interactions between MoS2 and the substrate, which causes strain, doping and defects12–16. One of the prominent substrate effects is the strain created on the MoS2 layer due to the difference in binding energies and the lattice mismatch between the substrate and MoS2. Additionally, the electronic structure of MoS2 can be modulated by external strain, and the PL emission of MoS2 will change as a result16–18.
The self-heating effect occurs while a device is working under a current flow or light irradiation, so the thermal properties of few-layer MoS2 are important criteria that affect the performance of related electronic and optical devices. For example, the thermoelectric energy conversion ability of MoS2 is related to the low thermal conductivity19, whereas high performance of electronic devices requires high thermal conductivity20. Alongside the thermal conductivity and thermal transport properties, the thermal expansion coefficient is another important thermal property of MoS2. The thermal expansion coefficient (TEC) mismatch between the substrate and MoS2 introduces additional internal strain to the MoS2 layer. Consequently, the optical and electronic performances of MoS2 devices supposedly change due to the thermal strain. Therefore, clear insight into the TEC of MoS2, especially the TEC mismatch between MoS2 and the substrate, is a key for studying the thermal stability and intrinsic optical properties of few-layer MoS2-based devices.
Raman spectroscopy has been demonstrated to be a versatile tool for investigating 2D TMDs21–23. In the past decade, the temperature effects on the Raman modes of 2D TMDs have been widely investigated24–29. However, the temperature behaviors of the Raman peaks of TMDs are still controversial. Some researchers reported that the peak positions varied linearly with increasing temperature24–27. Late et al. reported that both monolayer and few-layer MoSe2 and WSe2 exhibit a linear temperature dependence25. A linear temperature dependence of Raman modes was also observed in monolayer Mo1−xWxS227. In recent years, some studies have demonstrated that the temperature dependence of the Raman peak positions for TMDs can be fitted by a nonlinear function. Su and coauthors employed temperature-dependent Raman spectroscopy to study the substrate bonding effects on MoS2 and WS2 and expressed the temperature dependence of Raman modes using a third-order polynomial function28–30. Although the reported temperature dependences of Raman modes for 2D TMDs differ, the TEC mismatch between TMDs and substrates is widely accepted to play an important role in the temperature evolution of Raman modes. To eliminate the substrate effects, suspended TMDs have been used to study the intrinsic properties of TMDs in recent years31–36. Two-ten times improvement of the mobility and on/off ratio was observed in suspended monolayer MoS231. The elastic coefficients, including the 2D elastic modulus and Young’s modulus, were obtained for suspended multilayer WSe232. Moreover, the intrinsic thermal conductivity has been investigated for monolayer and few-layer MoS233,34. However, to our knowledge, the TEC mismatch effect in few-layer MoS2 has not been systematically studied, and the intrinsic TEC of few-layer MoS2 has not yet been obtained.
In this work, suspended MoS2 and supported few-layer (2–6 layer) MoS2 was comprehensively investigated using Raman spectroscopy in the temperature range from 77 to 557 K. The temperature dependence of suspended MoS2 exhibited different trends from that of supported few-layer MoS2, which could be attributed to the TEC mismatch between MoS2 and the substrate. Moreover, the temperature dependence of the Raman modes varied with the number of layers. Removing the substrate effect by adopting suspended MoS2 as a freestanding MoS2, the intrinsic TECs of few-layer MoS2 was obtained. Prominent differences between our results and previous reports were observed and discussed in detail.
Results and discussion
The suspended and supported samples were fabricated by transferring MoS2 with 2–6 layers onto microholes, which were prepared using a modified mechanical exfoliation method37 (see “Methods”). Figure 1a presents the optical microscopy image of suspended 2-layer MoS2 as an example.
Figure 1.
(a) Optical image of 2-layer MoS2 on a prepatterned SiO2/Si substrate with a 5 μm hole array. (b) Schematic illustration of Raman measurement for MoS2 suspended on microholes.
Raman spectra were collected using a confocal micro-Raman spectrometer (Horiba Evolution) under backscattering geometry, as exhibited in Fig. 1b. Figure 2 presents the room-temperature Raman spectra of suspended and supported few-layer MoS2, which exhibit the typical spectral features of MoS2 previously reported22,23. Two high frequency peaks appear at approximately 380 cm−1 and 405 cm−1, originating from the lattice vibration of bulk MoS2. Due to the crystalline symmetry changes between bulk, monolayer and few-layer MoS2, the symmetric representations of these two Raman modes are different. For convenience, these two modes are identified as the E2g and A1g modes, respectively, following the assignments for bulk MoS223. The bulk-vibrational Raman modes shift to higher positions with increasing number of layers. In recent years, ultralow frequency (ULF) Raman spectroscopy has attracted the interest of more researchers because it has been demonstrated to be a feasible tool for studying the interlayer vibrational modes of TMDs38–40. The ULF Raman peaks originate from the in-plane (shear) and out-of-plane (breathing) vibrations of MoS2, which have been used to identify the number of MoS2 layers39,40. The sharp peak is denoted as a shear mode (S1), while the broad peak is assigned as a breathing mode (B1), as shown in Fig. 2. Notably, the signal-to-noise ratio (SNR) of the Raman peaks, especially the ULF Raman peaks, of suspended MoS2 is much better than that of supported MoS2, and more detailed spectral information can be clearly seen. Both the S1 and B1 modes are clearly observed on suspended MoS2, whereas only the S1 mode is detected on supported MoS2. The MoS2 layer is pinned on the substrate through van der Waals forces. The dielectric environment created from by the substrate may have effect on the local electromagnetic field due to the multiple reflection inside the monolayer16. The enhanced Raman signal of the suspended MoS2 can be attributed to the isolation from the substrate effect35. Moreover, the E2g mode for the supported 2L MoS2 is asymmetric, as shown in Fig. 2b. As Mignuzzi et al. reported, defects could induce not only an asymmetric line shape but also Raman peaks arising from zone-edge phonon modes41. In our work, no additional peak was observed in the spectrum for supported 2L MoS2, suggesting that the strain is the dominant effect rather than defects. The E2g mode of monolayer MoS2 has been demonstrated to split into two singlets as the external strain is increased42,43. As presented in Fig. S1b, the E2g mode can be well fitted using two peaks, which can be attributed to the strain introduced by the substrate-MoS2 interaction. We assume that the substrate-induced strain is the same for all the supported MoS2 flakes. Therefore, the strain effect on the supported 2L MoS2 is the most obvious because 2L MoS2 is thinner than the other samples.
Figure 2.

Raman spectra of (a) supported and (b) suspended MoS2 with different numbers of layers collected at room temperature.
To deeply investigate the substrate effect, supported MoS2 and suspended few-layer MoS2 were studied in the temperature range of 77 K–557 K, and the results are displayed in Fig. 3. Prominent redshift and broadening of Raman peaks are noted for both suspended and supported MoS2 with increasing temperature, as exhibited in Fig. 3. These phenomena can be attributed to the thermal expansion of the crystal lattice of MoS226,27.
Figure 3.
Raman spectra of (a–e) supported and (f–g) suspended few-layer MoS2 for different temperatures.
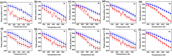
To obtain deeper insight into the difference between suspended and supported MoS2, the Raman spectra were deconvoluted using a Lorentz/Gaussian mixed function. The peak positions of the E2g and A1g modes are plotted as a function of temperature in one figure for comparison. Figure 4 exhibits the fitting results for supported and suspended MoS2, in which several remarkable phenomena should be addressed, as discussed below.
Figure 4.
Temperature dependence of peak positions of the (a–e) E2g and (f–j) A1g modes for the suspended and supported MoS2 with different numbers of layers. The blue spheres and red spheres represent the experimental results of supported and suspended MoS2, respectively. The blue lines and red lines are the fitting results obtained using a second-order polynomial function of temperature.
First, the temperature-dependent evolutions of the supported MoS2 samples are similar, varying approximately linearly with increasing temperature at first sight. This suggests that the substrate effect is exerted on the MoS2 flakes as a whole, although the substrate is only in direct contact with the bottom layer of a MoS2 flake. The mechanically exfoliated MoS2 layer is transferred and pinned on the substrate by the van der Waals force. As the temperature changes, the biaxial tensile or compressive stress induced by the TEC mismatch increases and becomes a prominent factor that modulates the frequency shift of Raman peaks. In addition to TEC mismatch, charge transfer between the film and the substrate or through interfacial states can impact the temperature evolution of Raman peak. As Su et al. discussed that accelerated redshift of A1g mode with increasing temperature is associated with the enhanced charge injection from the substrate into the film and decomposition of adsorbed contaminants30.
Second, the temperature-dependent evolutions of suspended MoS2 are very different from those of supported MoS2, exhibiting nonlinear behavior with increasing temperature. Moreover, the temperature dependence trends for the different suspended MoS2 samples differ. As discussed previously, the TEC mismatch gives rise to a Raman shift with increasing temperature. However, suspended MoS2, at least the part on the hole, is free of the substrate effect, suggesting that its Raman shift only originates from lattice expansion. Compared with the temperature dependence of supported MoS2, suspended few-layer MoS2 exhibits the intrinsic thermal properties of MoS2 as expected.
Third, the peak positions of supported MoS2 are higher than those of suspended MoS2 at each temperature, suggesting that the TEC mismatch induced compression of the crystalline lattice in supported MoS2. That the larger attached area of supported MoS2 compared with suspended MoS2 would introduce more strain into the MoS2 layer is easy to explicate. As demonstrated previously, the strain in the MoS2 layer is due to the TEC mismatch between the SiO2 substrate and MoS2.
The results shown in Fig. 4 demonstrate that the TEC of MoS2 is strongly correlated with the number of layers, which can only be obviously exhibited after isolating it the from the substrate effect.
Then, the peak positions of MoS2 were fitted as a function of temperature to obtain the regularities of the temperature dependence of the peak positions. First, a linear function was employed to fit temperature evolution Raman peaks for the supported and suspended MoS2 samples (see Fig. S2). The temperature evolution of Raman peaks for the supported MoS2 shows a nearly linear behavior as a function of temperature. But there is a small deviation between the experimental results and fitting curve, as exhibited in Fig. S2. On the other hand, the temperature evolution for the suspended MoS2 cannot be well fitted using a linear function, in which large discrepancies between the linearly fitted curves and experimental results are observed. According to previous literatures, the anharmonic effect caused by the phonon–phonon coupling leads to the nonlinear temperature-dependent behavior of the Raman peaks28.
Therefore, the polynomial function was adopted to fit the experimental results for the supported and suspended MoS2 samples instead of the linear function. All the temperature dependence trends of the E2g and A1g modes were fitted using a second-order polynomial function of temperature T,
| 1 |
where is the frequency at 0 K and and are the first- and second-order temperature coefficients, respectively. The fitting results for supported and suspended MoS2 with the same thickness are plotted in Fig. 4 for comparison, and the fitting parameters are listed in Table 1. As shown in Fig. 4, the polynomial curves better fit the experimental results for the supported and suspended MoS2, compared with the linear curves. Remarkably, for the supported MoS2, the residual sum of square (RSS) for the polynomial fitting is much smaller than that for the linear fitting (see Table S1 in the Supplementary Information). This implies that the polynomial function is a better and more reasonable choice for fitting the temperature-evolution of the Raman shifts for the supported MoS2, although it exhibits an approximate linear trace.
Table 1.
Temperature coefficients of the suspended and supported few-layer MoS2 samples with polynomial fitting to the second order.
| E2g mode | A1g mode | ||||||
|---|---|---|---|---|---|---|---|
| ω0 | χ1 | χ2 | ω0 | χ1 | χ2 | ||
| 2L | Sus | 383.835 | − 0.024 | 2.249 × 10–5 | 406.271 | − 0.020 | 1.490 × 10−5 |
| Sup | 384.812 | − 0.003 | − 1.153 × 10–5 | 406.550 | − 0.006 | − 6.557 × 10–6 | |
| 3L | Sus | 385.948 | − 0.029 | 2.622 × 10–5 | 409.181 | − 0.026 | 2.334 × 10–5 |
| Sup | 384.995 | − 0.006 | − 8.833 × 10–6 | 408.843 | − 0.008 | − 5.139 × 10–6 | |
| 4L | Sus | 386.710 | − 0.033 | 2280 × 10–5 | 410.519 | − 0.025 | 1.168 × 10−5 |
| Sup | 384.884 | − 0.007 | − 7.127 × 10–6 | 409.096 | − 0.008 | − 4.157 × 10–6 | |
| 5L | Sus | 384.990 | − 0.019 | 5.616 × 10–6 | 408.667 | − 0.020 | 1.236 × 10–5 |
| Sup | 384.214 | − 0.008 | − 1384 × 10–5 | 409.105 | − 0.011 | − 5.266 × 10–6 | |
| 6L | Sus | 384.935 | − 0.013 | − 9.845 × 10–6 | 409.585 | − 0.012 | − 6.340 × 10–6 |
| Sup | 385.099 | − 0.006 | − 8.738 × 10–6 | 409.719 | − 0.007 | − 5.627 × 10–6 | |
As exhibited in Table 1, the fitting parameters for suspended MoS2 are very different from those for supported MoS2. The fitting parameter χ1 for suspended MoS2 is one order of magnitude larger than that for supported MoS2. Moreover, the fitting parameters exhibit a layer number dependence. As exhibited in Table 1, for the 2L–5L MoS2 samples, the χ2 of suspended MoS2 is positive, whereas the χ2 of supported MoS2 is negative. Interestingly, χ2 is negative for both suspended and supported 6L MoS2. This occurs because of the different temperature evolutions of 6L MoS2 and thinner MoS2. One can see in Fig. 4e and j that the peak positions for the 6L suspended MoS2 linearly shift to low frequency, similar as the peak evolution for the supported MoS2. Therefore, the fitting parameters for the curves are all negative. In contrast, the shift rates of the peak positions for the 2L–5L suspended MoS2 vary in different temperature ranges. As exhibited in Fig. 4a–d, the peak positions shift faster in the low temperature range (< 350 K) than in the high temperature range (> 350 K). Therefore, the parameter χ2 is positive to better fit the experimental results. The thermal stability of MoS2 strongly depends on the competition between the energy barriers introduced by the MoS2–substrate interface and by the MoS2–MoS2 interlayer interface44. The few-layer MoS2 flake as a whole changes with increasing temperature, the influence of the intrinsic thermal expansion of MoS2 on the frequency shift increases as the number of layers increases. As a result, the temperature evolutions of the Raman peaks of the suspended and supported 6L MoS2 samples become similar. These results suggest that the thermal behavior of few-layer MoS2 become similar as that of bulk MoS2 with increasing thickness.
The results in Table 1 indicate that the discrepancy in the frequency shifts between the suspended and supported MoS2 originates from the TEC mismatch between the substrate and MoS2. Taking advantage of the results shown in Figs. 3, 4 and 5, the TEC of few-layer MoS2 can be obtained, and the details for the calculation of the TEC of few-layer MoS2 will be discussed in the following section.
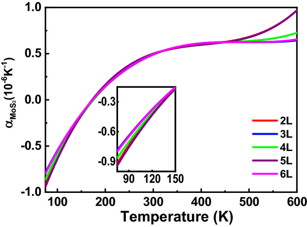
Figure 5.

Calculated TECs of MoS2 with different numbers of layers. The inset figure shows a magnified view of the TECs in the temperature range of 75–150 K.
As has been reported, the temperature-dependent Raman frequency shift () of freestanding MoS2 can be commonly attributed to the thermal expansion of the lattice () and the anharmonic effect (), which changes the phonon self-energy45. can be expressed as
| 2 |
can be obtained using the peak position at T subtracted by the peak position at T0 = 300 K .
For the thermal behavior of the supported MoS2, both common thermal effects and strains induced by the TEC mismatch between the substrate and MoS2 must be considered. As a result, the frequency shifts of supported MoS2 can be written as
| 3 |
The E2g mode arises from the in-plane relative vibration between the Mo and S atoms, which is more sensitive to the temperature-induced lattice expansion/shrinkage of 2D MoS2. On the other hand, the frequency shift of A1g mode not only closely depends on lattice variations, but also is related with the charge transfer from the substrate to MoS246. The electron doping effect can induce the frequency shifts of A1g mode due to the strong electron–phonon interaction47. Consult to previous literature, the E2g mode is not sensitive to the electron doping effect47,48. So it is assumed that the electron doping effect induced Raman shift of E2g mode did not change with temperature, or the changes can be neglected. For simplicity, the doping effect induced Raman shift of E2g mode is defined as a constant that is independent of temperature in this work. Thus, in the calculation of the Raman frequency differences () between the given temperatures and T = 300 K, the doping effect induced Raman shift is subtracted as a constant. So that there are still three terms in Eq. (3) when the doping effect induced Raman shift is not taken into consideration. Therefore, the of E2g mode was calculated and employed in the following equations.
The TEC mismatch-induced frequency shift can be obtained by subtracting the intrinsic frequency shift from the frequency shift of supported MoS2,
| 4 |
To apply Eq. (4), the frequency shift of freestanding MoS2 should be provided. However, real freestanding MoS2 does not exist. Therefore, Raman frequency shifts from theoretical calculations or suspended TMDs have normally been employed as those of freestanding samples31,35. In this work, we assume that the strain induced by the substrate effect can be neglected in the center of the suspended MoS2 layers, as the laser spot (1 μm) in the measurement is much smaller than the size of the hole (5 μm) below the suspended MoS2. Therefore, the Raman shifts of suspended MoS2 is adapt as the intrinsic frequency of freestanding MoS2 in this work.
Based on above discussion, the TEC mismatch-induced frequency shift for the supported MoS2 can be obtained by
| 5 |
where and are the Raman shifts of supported and suspended MoS2, respectively.
In addition, the contribution to the Raman frequency shift from the substrate-induced strain () can be expressed as
| 6 |
where β is the biaxial strain coefficient of the Raman mode and and are the temperature-dependent TECs of SiO2 and MoS2, respectively. As has been reported, β depends on the number of MoS2 layers49.
As the values of and βare already known from previous literatures, the temperature dependence of can be derived from Eqs. (5) and (6). The calculated can be expressed using a quadratic function, and then, the values for MoS2 with different numbers of layers are plotted in Fig. 5.
As presented in Fig. 5, the curves of the calculated TECs of MoS2 with different numbers of layers follow similar trends. Notably, the order of magnitude of the TECs is at the same level as those in previous reports22,28, implying the validity of the calculation methods employed in this work. For example, the TEC at room temperature observed in this work is approximately 0.5 × 10–6 K−1. Su et al. claimed that the in-plane TEC of MoS2 is 2.48 × 10–6 K−1 at room temperature28, whereas Late et al. reported a TEC of 8.2 × 10–6 K−122. The discrepancy in the TECs between our results and previous publications can be attributed to the diversity in β employed in the calculation and whether the substrate effect is considered. Remarkably, the TECs of few-layer MoS2 are very close in the temperature range of 150–450 K. These results clearly suggest the feasibility of using Raman spectroscopy in the investigation of the TEC of MoS2, at least in the temperature range of 150–450 K.
In addition, the diversity in the TECs between the MoS2 with different numbers of layers is also obvious. As presented in the inset figure of Fig. 5, the TECs of few-layer MoS2 exhibit remarkable differences in the temperature ranges of 0–150 K and 450–600 K. Strikingly, the TEC becomes negative below 175 K. This is different from most previous reports25,28,50,51, in which the TEC is positive in the entire temperature range. In 2015, Wang et al. obtained a negative TEC below 31 K for monolayer MoS2 using first-principles calculation by taking the stiffness and charge transfer effect into consideration52. The ZA bending vibrations (acoustic modes) may cause negative thermal expansion in few-layer MoS252,53. The negative value of the Grüneisen parameter for the transverse acoustic mode responds for the negative TEC54. The larger the absolute value of the negative Grüneisen parameter is, the larger the negative TEC. The negative TEC below 175 K observed in our work suggests a larger negative Grüneisen parameter.
Moreover, the TEC of few-layer MoS2 increases gently in the temperature range over 450 K, as shown in Fig. 5. This evolution of the TEC observed in our work is similar to that in previous studies50–52. However, the high-temperature TECs for 4L and 5L MoS2 exhibit a slight difference compared with the other thicknesses. Wang et al. reported that the threshold temperature for etching monolayer MoS2 is lower than 513 K, which is closely related with defects44. The abnormal behavior of the TECs for 4L and 5L MoS2 in the high temperature range can be attributed to the lower thermal stability due to the defects initially existed in these MoS2 samples. Identification of the TEC of few-layer MoS2 requires further experimental and theoretical studies. In the future, the temperature-dependent Raman study carried with controllable electronic doping concentration is called to deeply investigate the doping and dielectric environment effects on the frequency shifts of Raman modes, especially the A1g mode.
Conclusion
In this work, a comprehensive Raman study was carried out on supported and suspended MoS2 with different numbers of layers in the temperature range from 77 to 557 K. Strikingly, the temperature behaviors of the Raman frequency shift for suspended MoS2 are significantly different from those for supported MoS2. The intrinsic TECs of 2–6-layer MoS2 were calculated after eliminating the substrate effect. Strikingly, the TEC becomes negative below 175 K, which can be associated with the bending vibration in the MoS2 layer as the temperature decreases. The TEC curves of MoS2 with different numbers of layers follow similar evolution trends in the temperature range of 150–450 K. Compared with previous reports, the validity of the TEC obtained in this work suggests that Raman spectroscopy is a feasible tool for investigating the TEC of MoS2. Our results provide useful information for understanding the thermal properties of MoS2 and its further application in devices.
Methods
To fabricate suspended MoS2 samples, a periodic hole array was first fabricated on a SiO2 (300 nm)/Si substrate by UV lithography and reactive ion etching technology, in which the holes were 5 μm in diameter and 2 μm in depth. MoS2 flakes with different thicknesses were prepared from a natural MoS2 single crystal using a modified mechanical exfoliation method onto the prepatterned SiO2/Si substrate previously cleaned by oxygen plasma.
The optical image of the suspended few-layer MoS2 was obtained using an Olympus BX41 microscope equipped on the micro-Raman spectrometer, Horiba Evolution HR. In the Raman spectroscopy measurements, a solid-state laser with a 532 nm wavelength was used as the excitation source. The laser beam was focused using a 100 × long-working distance objective with numeric aperture NA = 0.8, and the spot size was approximately 1 μm. To avoid significant frequency shifts induced by the local heating effect and ensure a sufficient SNR, the laser power was set at ~ 0.9 mW on the surface of the heating stage. The numbers of layers of MoS2 were identified using ULF Raman spectroscopy. The sample was placed inside a cryostat cell (Linkam, THMS 600), and the Raman spectra were measured in the temperature range from 77 to 557 K at an interval of 20 K.
Supplementary Information
Acknowledgements
The authors acknowledge the financial support received from the National Key Research and Development Program of China (Grant Nos. 2018YFB0703500, 2019YFA0308000, 2018YFA0704201), the National Natural Science Foundation of China (Grant Nos. 11704401, 11874405), and the Scientific Equipment Development Project of the Chinese Academy of Sciences (Grant No. YJKYYQ20170027).
Author contributions
Z.L. and W.L. did the measurements, data analysis. K. Z. did part of the data analysis. S. T. and Y. H. prepared the samples. Y. Y. supervised the study and wrote the main manuscript text. All authors reviewed the manuscript.
Competing interests
The authors declare no competing interests.
Footnotes
Publisher's note
Springer Nature remains neutral with regard to jurisdictional claims in published maps and institutional affiliations.
Contributor Information
Yuan Huang, Email: yhuang01@iphy.ac.cn.
Yang Yang, Email: yang.yang@iphy.ac.cn.
Supplementary Information
The online version contains supplementary material available at 10.1038/s41598-021-86479-6.
References
- 1.Wang J, Deng S, Liu Z. The rare two-dimensional materials with Dirac cones. Natl. Sci. Rev. 2015;2:22–39. doi: 10.1093/nsr/nwu080. [DOI] [Google Scholar]
- 2.Pei JJ, Yang J, Zhang H. Many-body complexes in 2D semiconductors. Adv. Mater. 2019;31:1706945. doi: 10.1002/adma.201706945. [DOI] [PubMed] [Google Scholar]
- 3.Huang X, Zeng Z, Zhang H. Metal dichalcogenide nanosheets: Preparation, properties and applications. Chem. Soc. Rev. 2013;42:1934–1946. doi: 10.1039/c2cs35387c. [DOI] [PubMed] [Google Scholar]
- 4.Wang QH, Kourosh KZ, Andras K. Electronics and optoelectronics of two-dimensional transition metal dichalcogenides. Nat. Nanotechnol. 2012;7:699–712. doi: 10.1038/nnano.2012.193. [DOI] [PubMed] [Google Scholar]
- 5.Subbaiah YPV, Saji KJ, Tiwari A. Atomically thin MoS2: A versatile nongraphene 2D material. Adv. Funct. Mater. 2016;26:2046–2069. doi: 10.1002/adfm.201504202. [DOI] [Google Scholar]
- 6.Kaito K, Jiang P, Taishi T. 2D materials for large-area flexible thermoelectric devices. Adv. Energy Mater. 2020;10:1902842. doi: 10.1002/aenm.201902842. [DOI] [Google Scholar]
- 7.Neri I, Miquel L. Electronic transport modulation on suspended few-layer MoS2 under strain. Phys. Rev. B. 2018;95:241408. doi: 10.1103/PhysRevB.97.241408. [DOI] [Google Scholar]
- 8.Yu F, Liu Q, Gan X. Ultrasensitive pressure detection of few-layer MoS2. Adv. Mater. 2017;29:1603266. doi: 10.1002/adma.201603266. [DOI] [PubMed] [Google Scholar]
- 9.Hou X, et al. Operation mode switchable charge-trap memory based on few-layer MoS2. Semicond. Sci. Technol. 2018;33:034001. doi: 10.1088/1361-6641/aaa79e. [DOI] [Google Scholar]
- 10.Li Z, Chen J, Dhall R, Stephen BC. Highly efficient, high speed vertical photodiodes based on few-layer MoS2. 2D Mater. 2017;4:015004. doi: 10.1088/2053-1583/4/1/015004. [DOI] [Google Scholar]
- 11.Gong F, Fang HH, Wang P. Visible to near-infrared photodetectors based on MoS2 vertical Schottky junctions. Nanotechnology. 2017;28:484002. doi: 10.1088/1361-6528/aa9172. [DOI] [PubMed] [Google Scholar]
- 12.Liu Z, et al. Strain and structure heterogeneity in MoS2 atomic layers grown by chemical vapour deposition. Nat. Commun. 2014;5:5264. doi: 10.1038/ncomms6264. [DOI] [PubMed] [Google Scholar]
- 13.Wang Y, Gaspera ED, Carey BJ. Enhanced quantum efficiency from a mosaic of two dimensional MoS2 formed onto aminosilane functionalized substrates. Nanoscale. 2016;8:12258–12266. doi: 10.1039/C6NR02197B. [DOI] [PubMed] [Google Scholar]
- 14.Buscema M, Steele GA, Van ZHSJ. The effect of the substrate on the Raman and photoluminescence emission of single-layer MoS2. Nano Res. 2014;7:561–571. doi: 10.1007/s12274-014-0424-0. [DOI] [Google Scholar]
- 15.Bao WZ, Cai XH, Kim DH, Karthik S, Michael S. Fuhrer, High mobility ambipolar MoS2 field-effect transistors: Substrate and dielectric effects. Appl. Phys. Lett. 2013;102:042104. doi: 10.1063/1.4789365. [DOI] [Google Scholar]
- 16.Yu YF, et al. Engineering substrate interactions for high luminescence efficiency of transition-metal dichalcogenide monolayers. Adv. Funct. Mater. 2016;26:4733–4739. doi: 10.1002/adfm.201600418. [DOI] [Google Scholar]
- 17.Dai ZH, Liu LQ, Zhang Z. Strain engineering of 2D materials: Issues and opportunities at the interface. Adv. Mater. 2019;31:1805417. doi: 10.1002/adma.201805417. [DOI] [PubMed] [Google Scholar]
- 18.Sun YH, et al. Evolution of local strain in Ag-deposited monolayer MoS2 modulated by interface interactions. Nanoscale. 2019;11:22432. doi: 10.1039/C9NR07599B. [DOI] [PubMed] [Google Scholar]
- 19.Michele B, et al. Large and tunable photothermoelectric effect in single-layer MoS2. Nano Lett. 2013;13:358–363. doi: 10.1021/nl303321g. [DOI] [PubMed] [Google Scholar]
- 20.Peng B, et al. Thermal conductivity of monolayer MoS2, MoSe2, and WS2: Interplay of mass effect, interatomic bonding and anharmonicity. RSC Adv. 2016;6:5767. doi: 10.1039/C5RA19747C. [DOI] [Google Scholar]
- 21.Zhang X, Tan QH, Wu JB. Review on the Raman spectroscopy of different types of layered materials. Nanoscale. 2016;8:6435–6450. doi: 10.1039/C5NR07205K. [DOI] [PubMed] [Google Scholar]
- 22.Lu X, Luo X, Zhang J. Lattice vibrations and Raman scattering in two-dimensional layered materials beyond graphene. Nano Res. 2016;9:3559–3597. doi: 10.1007/s12274-016-1224-5. [DOI] [Google Scholar]
- 23.Zhang X, Qiao XF, Shi W. Phonon and Raman scattering of two-dimensional transition metal dichalcogenides from monolayer, multilayer to bulk material. Chem. Soc. Rev. 2015;44:2757–2785. doi: 10.1039/C4CS00282B. [DOI] [PubMed] [Google Scholar]
- 24.Najmaei S, Ajayan PM, Lou J. Quantitative analysis of the temperature dependency in Raman active vibrational modes of molybdenum disulfide atomic layers. Nanoscale. 2013;5:9758–9763. doi: 10.1039/c3nr02567e. [DOI] [PubMed] [Google Scholar]
- 25.Late DJ, Shirodkar SN, Waghmare UV. Thermal expansion, anharmonicity and temperature-dependent raman spectra of single- and few-layer MoSe2 and WSe2. ChemPhysChem. 2014;15:1592–1598. doi: 10.1002/cphc.201400020. [DOI] [PubMed] [Google Scholar]
- 26.Huang X, Gao Y, Yang T. Quantitative analysis of temperature dependence of Raman shift of monolayer WS2. Sci. Rep. 2016;6:32236. doi: 10.1038/srep32236. [DOI] [PMC free article] [PubMed] [Google Scholar]
- 27.Chen Y, Wen W, Zhu Y. Temperature-dependent photoluminescence emission and Raman scattering from Mo1−xWxS2 monolayers. Nanotechnology. 2016;27:445705. doi: 10.1088/0957-4484/27/44/445705. [DOI] [PubMed] [Google Scholar]
- 28.Su L, Zhang Y, Yu Y. Dependence of coupling of quasi 2-D MoS2 with substrates on substrate types, probed by temperature dependent Raman scattering. Nanoscale. 2014;6:4920–4927. doi: 10.1039/C3NR06462J. [DOI] [PubMed] [Google Scholar]
- 29.Su L, Yu Y, Cao L. Effects of substrate type and material-substrate bonding on high-temperature behavior of monolayer WS2. Nano Res. 2015;8:2686–2697. doi: 10.1007/s12274-015-0775-1. [DOI] [Google Scholar]
- 30.Su L, Yu Y, Cao L. In situ monitoring of the thermal-annealing effect in a monolayer of MoS2. Phys. Rev. Appl. 2017;7:034009. doi: 10.1103/PhysRevApplied.7.034009. [DOI] [Google Scholar]
- 31.Jin T, Kang J, Su KE. Suspended single-layer MoS2 devices. J. Appl. Phys. 2013;114:164509. doi: 10.1063/1.4827477. [DOI] [Google Scholar]
- 32.Zhang R, Koutsos V, Cheung R. Elastic properties of suspended multilayer WSe2. Appl. Phys. Lett. 2016;108:042104. doi: 10.1063/1.4940982. [DOI] [Google Scholar]
- 33.Yan R, Simpson JR, Bertolazzi S. Thermal conductivity of monolayer molybdenum disulfide obtained from temperature-dependent raman spectroscopy. ACS Nano. 2014;8:986–993. doi: 10.1021/nn405826k. [DOI] [PubMed] [Google Scholar]
- 34.Aiyiti A, Hu S, Wang C. Thermal conductivity of suspended few-layer MoS2. Nanoscale. 2018;10:2727–2734. doi: 10.1039/C7NR07522G. [DOI] [PubMed] [Google Scholar]
- 35.Lee JU, Kim K, Cheong H. Resonant Raman and photoluminescence spectra of suspended molybdenum disulfide. 2D Mater. 2015;2:044003. doi: 10.1088/2053-1583/2/4/044003. [DOI] [Google Scholar]
- 36.Tamulewicz MD, Kutrowska-Girzycka J, Gajewski KR. Layer number dependence of the work function and optical properties of single and few layers MoS2: Effect of substrate. Nanotechnology. 2019;30:245708. doi: 10.1088/1361-6528/ab0caf. [DOI] [PubMed] [Google Scholar]
- 37.Huang Y, Sutter E, Shi NN, Zheng J. Reliable exfoliation of large-area high-quality flakes of graphene and other two-dimensional materials. ACS Nano. 2015;9:10612–10620. doi: 10.1021/acsnano.5b04258. [DOI] [PubMed] [Google Scholar]
- 38.Liang L, Zhang J, Sumpter BG. Low-frequency shear and layer-breathing modes in Raman scattering of two-dimensional materials. ACS Nano. 2017;11:11777–11802. doi: 10.1021/acsnano.7b06551. [DOI] [PubMed] [Google Scholar]
- 39.Zhang X, Han WP, Wu JB. Raman spectroscopy of shear and layer breathing modes in multilayer MoS2. Phys. Rev. B. 2013;87:115413. doi: 10.1103/PhysRevB.87.115413. [DOI] [Google Scholar]
- 40.Zhao Y, Luo X, Li H. Inter layer breathing and shear modes in few-trilayer MoS2 and WSe2. Nano Lett. 2013;13:1007–1015. doi: 10.1021/nl304169w. [DOI] [PubMed] [Google Scholar]
- 41.Sandro M, et al. Effect of disorder on Raman scattering of single-layer MoS2. Phys. Rev. B. 2015;91:195411. doi: 10.1103/PhysRevB.91.195411. [DOI] [Google Scholar]
- 42.Wang YL, Cong CX, Qiu CY, Yu T. Raman spectroscopy study of lattice vibration and crystallographic orientation of monolayer MoS2 under uniaxial strain. Small. 2013;9:2857–2861. doi: 10.1002/smll.201202876. [DOI] [PubMed] [Google Scholar]
- 43.Matěj V, et al. Novoselov, and Otakar Frank, strain and charge doping fingerprints of the strong interaction between monolayer MoS2 and gold. J. Phys. Chem. Lett. 2020;11:6112–6118. doi: 10.1021/acs.jpclett.0c01287. [DOI] [PMC free article] [PubMed] [Google Scholar]
- 44.Wang X, et al. Substrate modified thermal stability of mono- and few-layer MoS2. Nanoscale. 2018;10:3540. doi: 10.1039/C7NR08941D. [DOI] [PubMed] [Google Scholar]
- 45.Yoon D, Son YW, Cheong H. Negative thermal expansion coefficient of graphene measured by raman spectroscopy. Nano Lett. 2011;11:3227–3231. doi: 10.1021/nl201488g. [DOI] [PubMed] [Google Scholar]
- 46.Dhakal KP, et al. Confocal absorption spectral imaging of MoS2: Optical transitions depending on the atomic thickness of intrinsic and chemically doped MoS2. Nanoscale. 2014;6:13028–13035. doi: 10.1039/C4NR03703K. [DOI] [PubMed] [Google Scholar]
- 47.Chakraborty B, Bera A, Muthu DVS, Bhowmick S, Waghmare UV, Sood AK. Symmetry-dependent phonon renormalization in monolayer MoS2 transistor. Phys. Rev. B. 2012;85:161403. doi: 10.1103/PhysRevB.85.161403. [DOI] [Google Scholar]
- 48.Iqbal MW, Shahzad K, Akbar R, Hussain G. A review on Raman finger prints of doping and strain effect in TMDCs. Microelectron. Eng. 2020;219:111152. doi: 10.1016/j.mee.2019.111152. [DOI] [Google Scholar]
- 49.Mccreary A, et al. Effects of uniaxial and biaxial strain on few-layered terrace structures of MoS2 grown by vapor transport. ACS Nano. 2016;10:3186–3197. doi: 10.1021/acsnano.5b04550. [DOI] [PubMed] [Google Scholar]
- 50.Ding Y, Xiao B. Thermal expansion tensors, Gruneisen parameters and phonon velocities of bulk MT2, (M=W and Mo; T=S and Se) from first principles calculations. RSC Adv. 2015;5:18391–18400. doi: 10.1039/C4RA16966B. [DOI] [Google Scholar]
- 51.Yuan J, Lv Z, Lu Q. First-principles study of the phonon vibrational spectra and thermal properties of hexagonal MoS2. Solid State Sci. 2015;40:1–6. doi: 10.1016/j.solidstatesciences.2014.12.004. [DOI] [Google Scholar]
- 52.Wang ZY, Zhou YL, Wang XQ. Effects of in-plane stiffness and charge transfer on thermal expansion of monolayer transition metal dichalcogenide. Chin. Phys. B. 2015;24:026501. doi: 10.1088/1674-1056/24/2/026501. [DOI] [Google Scholar]
- 53.Abdullaev NA, Suleimanov RA, Aldzhanov MA, Alieva LN. On the role played by bending vibrations in heat transfer in layered crystals. Phys. Solid State. 2002;44:1859. doi: 10.1134/1.1514773. [DOI] [Google Scholar]
- 54.Sevik C. Assessment on lattice thermal properties of two-dimensional honeycomb structures: Graphene, h-BN, h-MoS2, and h-MoSe2. Phys. Rev. B. 2014;89:035422. doi: 10.1103/PhysRevB.89.035422. [DOI] [Google Scholar]
Associated Data
This section collects any data citations, data availability statements, or supplementary materials included in this article.



