Abstract
Nutritional status during gestation may lead to a phenomenon known as metabolic programming, which can be triggered by epigenetic mechanisms. The Let-7 family of microRNAs were one of the first to be discovered, and are closely related to metabolic processes. Bioinformatic analysis revealed that Prkaa2, the gene that encodes AMPK α2, is a predicted target of Let-7. Here we aimed to investigate whether Let-7 has a role in AMPKα2 levels in the NAFLD development in the offspring programmed by maternal obesity. Let-7 levels were upregulated in the liver of newborn mice from obese dams, while the levels of Prkaa2 were downregulated. Let-7 levels strongly correlated with serum glucose, insulin and NEFA, and in vitro treatment of AML12 with glucose and NEFA lead to higher Let-7 expression. Transfection of Let-7a mimic lead to downregulation of AMPKα2 levels, while the transfection with Let-7a inhibitor impaired both NEFA-mediated reduction of Prkaa2 levels and the fat accumulation driven by NEFA. The transfection of Let-7a inhibitor in ex-vivo liver slices from the offspring of obese dams restored phospho-AMPKα2 levels. In summary, Let-7a appears to regulate hepatic AMPKα2 protein levels and lead to the early hepatic metabolic disturbances in the offspring of obese dams.
Subject terms: Epigenetic memory, Non-coding RNAs
Introduction
Adverse conditions during fetal and early postnatal life can have a long-term impact on health and metabolism, a phenomenon known as the Developmental Origins of Health and Disease (DOHaD) or metabolic programming1. Maternal obesity and high-fat diet consumption have been shown to drive deleterious effects on the offspring metabolism, predisposing them to the development of obesity, insulin resistance, dyslipidemias, and non-alcoholic fatty liver disease (NAFLD)2–6.
NAFLD is considered as a complex interaction of nutritional factors and higher susceptibility due to parental obesity programming of epigenetic mechanisms, and microRNAs (miRNAs) may play an essential role in NAFLD development, progression and diagnostics7,8. Let-7 was one of the first miRNAs to be discovered10, and processing and maturing of Let-7 can be inhibited by LIN289. Let-7/LIN28 axis is implicated in energy metabolism, and regulates multiple aspects of glucose and lipid metabolism, while Let-7 knockdown using antimir-based approaches appears as a potential strategy for treating metabolic diseases9,10.
NAFLD individuals commonly have decreased hepatic AMPK11,12. The maintenance of AMPK levels seems to be beneficial for the liver homeostasis, and the activation of AMPK may be of value for the prevention and treatment of metabolic disorders associated with obesity, such as type 2 diabetes mellitus and NAFLD13.
Thus, in the present study we sought to investigate whether hepatic Let-7 would have a role in the modulation of AMPKα2 in the context of the NAFLD development in the offspring programmed by maternal obesity during intrauterine life.
Results
Let-7/AMPK axis is modulated in the liver of offspring from obese dams
Offspring from obesity-prone HFD-fed dams (OP-O), unlike the offspring from obesity-resistant HFD-fed dams (OR-O), had lower body weight and higher serum glucose, insulin and NEFA (C-O) (Supplemental Fig. 1).
Hepatic gene expression was modulated in male OP-O, as they had higher levels of hepatic Let-7a (Fig. 1a), while the levels of Lin28a and Prkaa2 were downregulated (Fig. 1b,c, respectively). Let-7a and Prkaa2 expression were also modulated in female OP-O (Supplemental Fig. 2). Hepatic protein content of LIN28 and pAMPK were lower in OP-O (Fig. 1d,e, respectively). Altogether, Let-7a and Prkaa2 mRNA levels showed a strong negative correlation (Fig. 1f). Bioinformatic analysis revealed that the gene encoding AMPKα2 protein is a predicted target of Let-7a (Fig. 1g), thus we proceeded to investigate the mechanisms underlying this finding.
Figure 1.
Let-7/AMPK potential axis is modulated in the liver of newborn male offspring from obese dams. qRT-PCR of Let-7a (a), Lin28a (b), and Prkaa2 (c), Indirect ELISA of LIN28 (d) and pAMPK (e) in the liver of male offspring from control (C–O), obesity-resistant (OR–O) and obesity-prone (OP–O) dams at the delivery day (d0) (n = 3–8 pups/group). Pearson correlation and linear regression of hepatic levels of Let-7a and Prkaa2 (n = 11) (f), predicted pairing of target region of Prkaa2 mRNA (top) and Let-7a miRNA (bottom), according to TargetScan, release 7.2 (g). One-way ANOVA were used to compare groups. Bonferroni post-hoc test was used to determine a significance level of p ≤ 0.05. Values are means with their standard errors represented by vertical bars. Different letters indicate statistical significance between groups.
Let-7 expression can be upregulated by NEFA, glucose and TNFα, and its transfection leads to the downregulation of AMPKα2
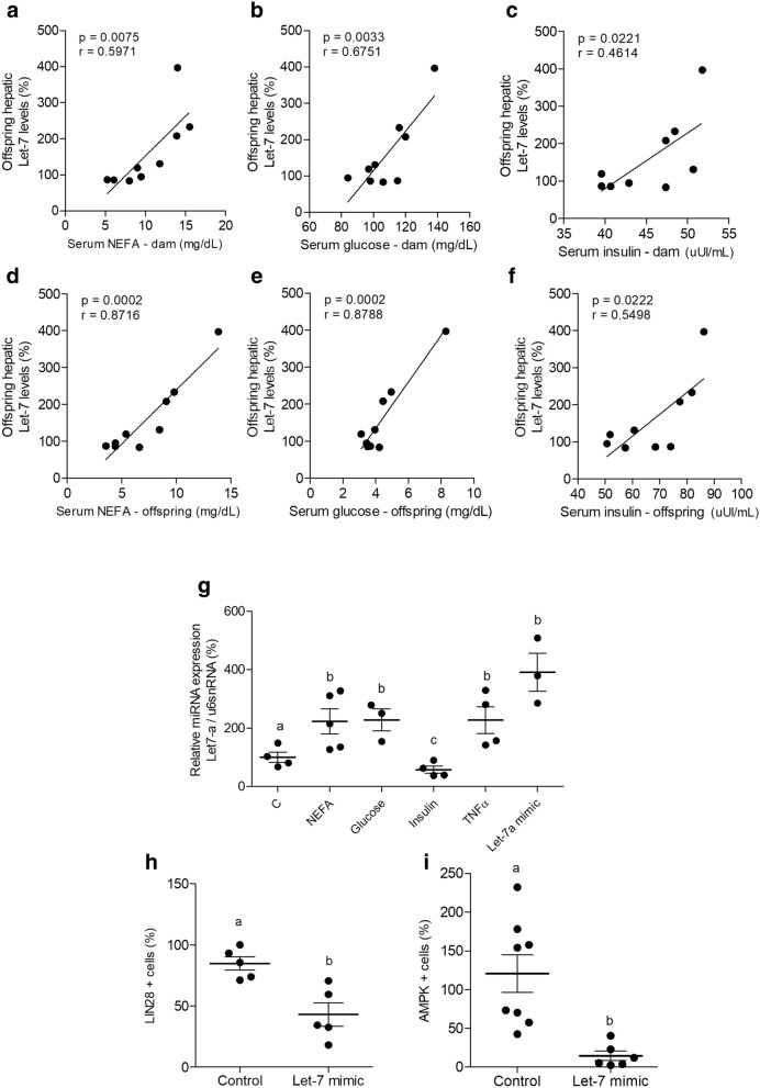
We previously showed that obesity-prone HFD-fed dams have higher serum NEFA, glucose and insulin levels14. Figure 2 (a–c) show a positive correlation between maternal serum parameters and hepatic levels of Let-7a in the offspring. The levels of NEFA, glucose and insulin in offspring are also correlated with their hepatic expression of Let-7a (Fig. 2d–f, respectively).
Figure 2.
NEFA, glucose and TNFα drives Let-7a upregulation, which direct downregulates AMPKα2 levels. Pearson correlation of hepatic Let-7a in male offspring with maternal NEFA (a), glucose (b), and insulin (c), and Pearson correlation of hepatic Let-7a in male offspring with offspring’s NEFA (d), glucose (e), and insulin (f) (n = 9); qRT-PCR of Let-7a in AML12 cell extract treated with NEFA (500 μM), glucose (20 mM), insulin (120 nM), TNFα (40 ng/mL) or Let-7a mimic (10 nM) for 24 h (g); confocal immunofluorescence quantification of LIN28 (h) and AMPKα2 (i) positive cells of AML12 cell extract transfected with negative control or Let-7a mimic (10 nM) for 24 h. The correlations were constructed by using all experimental groups (control, HFD-fed prone to obesity and HFD-fed resistant to obesity). Experiments with the cell line were performed in quadruplicates and repeated twice. Student’s T test were used to compare the results at confocal immunofluorescence analysis. One-way ANOVA were used in the qRT-PCR analysis to compare all groups. Bonferroni post-hoc test was used to determine a significance level of p ≤ 0.05. Values are means with their standard errors represented by vertical bars. Different letters indicate statistical significance between groups.
In AML12, the treatment with NEFA, glucose, and TNFα drove an upregulation of Let-7a similar to that observed after the transfection with Let-7 mimic (Fig. 2g).
The transfection of AML12 with Let-7a mimic (Supplemental Fig. 3) lead to a decrease in LIN28 and AMPKα2 positive cells (Fig. 2h–i).
Let-7a anti-miR prevents fat accumulation driven by NEFA
The transfection of AML12 with Let-7a anti-miR prior to NEFA treatment was able to impair NEFA-mediated reduction of Prkaa2 levels (Fig. 3a,b).
Figure 3.
Inhibition of Let-7a rescues NEFA-induced alterations in hepatocytes. qRT-PCR of Let-7a (a) and Prkaa2 (b); representative Oil-red images (scale-bar = 10 µm), and quantification (c) of AML12 cell extract treated with NEFA (500 μM) or NEFA (500 μM) plus Let-7a inhibitor transfection (10 nM) for 24 h. Experiments were performed in quadruplicates and repeated twice. One-way ANOVA were used in the qRT-PCR analysis to compare all groups. Bonferroni post-hoc test was used to determine a significance level of p ≤ 0.05. Values are means with their standard errors represented by vertical bars. Different letters indicate statistical significance between groups.
The treatment with NEFA led to an increase in fat deposition, however Let-7a anti-miR prevented fat accumulation driven by NEFA in the hepatocytes (Fig. 3c).
Inhibition of Let-7a rescues AMPKα2 levels in the ex-vivo liver slices of offspring from obese dams
OP-O) had lower basal levels of LIN28, as well as phospho-AMPKα2 (Fig. 4a,b, respectively). When the liver of OP-O were transfected with Let-7a anti-miR, the levels of both LIN28 (Fig. 4a) and phospho-AMPKα2 (Fig. 4b) were rescued.
Figure 4.
Ex-vivo manipulation of hepatic Let-7a rescues pAMPKα2 levels. LIN28A (a) and pAMPKα2 (b) levels of ex-vivo liver transfection of newborn male offspring with Let-7a inhibitor (10 nM) for 24 h by indirect ELISA. One-way ANOVA were used in the analysis to compare all groups. Values are means (n = 3–6/group) with their standard errors represented by vertical bars. Bonferroni post-hoc test was used to determine a significance level of p ≤ 0.05. Different letters indicate statistical significance between groups.
Discussion
We recently showed that offspring from obesity-prone (OP-O) dams fed HFD during gestation demonstrated marked metabolic disturbances compared to offspring from obesity-resistant (OR-O) dams, with lower body weight at the delivery day (d0) being one of the main differences of OP-O from OR-O14. Here we showed that OP-O, but not OR-O, have higher hepatic levels of Let-7a and lower of Lin28a at d0. Interestingly, Let-7 and Lin28 were firstly described as heterochronic regulators of developmental timing in C. elegans, and Shinoda and colleagues (2013) showed that Lin28 knockout mice exhibited dwarfism as early as in embryogenesis, and at birth they were 30–50% smaller than heterozygote controls15. Thus, the imbalanced levels of Let-7/Lin28 may, at least in part, explain the lower birth weight in offspring from obese dams.
Moreover, recent studies have shown that the balance in the Let-7/Lin28 axis also has a major role in the energy homeostasis, especially in alterations related to glucose and insulin signaling10,16. On the other hand, AMPK is known as a cellular energy sensor, and its expression and activation have been largely studied as key mechanisms to prevent and treat metabolic abnormalities related to glucose and lipid homeostasis11,12. We found no reports that have linked the AMPK levels with the Let-7 modulation in the context of lipid homeostasis and NAFLD development. However, in 2012, McCarty speculated that metformin could act as an antagonist of Lin28, thus leading to Let-7 upregulation17. Zhong and colleagues (2016) explored the molecular mechanisms underlying the antitumorigenic properties of metformin and they identified that the treatment of cancer cells with both metformin and AICAR, AMPK-activating agent, drove an upregulation of Let-7 levels18. However, it is possible that there may be a feedback regulation among AMPK and Let-7 levels. We identified Prkaa2, the gene that encodes the α2 subunit of AMPK protein, as a predicted target of Let-7 family by computational analysis of miRNA/mRNA interaction. The inversely correlated expression of Let-7a and Prkaa2 in the liver of mice acutely and chronically exposed to HFD is another evidence of their interaction.
Male newborns from obese dams had lower Prkaa2 transcript levels and AMPKα2 proteins levels in the liver. At normal conditions, AMPK is activated by high levels of AMP, and triggers catabolic while inhibiting anabolic processes to restore cellular energy homeostasis13. In the liver, the activation of AMPK blocks the synthesis of fatty acids, TG, cholesterol, and proteins while activating oxidative processes13,19,20, and it has been shown that obese, diabetic, or non-alcoholic fatty liver disease (NAFLD) individuals have decreased hepatic AMPK11,12. We previously reported that male OP-O have higher hepatic TG content, and upregulated Srebf1 expression at birth, while they present higher hepatic TG and cholesterol levels, and upregulation in Fasn and Srebf1 expression after weaning14. These findings are consistent with the lower Prkaa2/AMPKα2 levels in the liver. We showed here that Let-7 anti-miR transfection in hepatocytes can prevent fat accumulation induced by NEFA. This is consistent with the study from Frost and Olson (2011) which showed that mice fed a HFD but treated with a Let-7 inhibithor prevented excessive fat storage in the liver9. In another study the constitutive expression of Let-7 was sufficient to induce ectopic lipid accumulation in the liver21. Thus, the disruption in the hepatic lipid homeostasis in the offspring of obese dams may be driven by Let-7-induced AMPKα2 depletion.
Curiously, offspring from HFD females that did not develop the obese phenotype (obesity-resistant) were somehow protected from major metabolic disturbances and had no alterations in hepatic Let-7/Lin28 axis. Therefore, we hypothesized that there might be some metabolic particularity in obesity-prone dams that led to the modulation of the hepatic Let-7 in their offspring. Accordingly, we found that some serum parameters of the dams, such as NEFA, glucose and insulin, positively correlate with hepatic levels of Let-7a of the offspring. Indeed, cultured hepatocytes revealed that NEFA, glucose, and TNFα treatments lead to an upregulation of Let-7a levels, although the correlation with insulin levels has not been observed. Katayama and colleagues (2015) have shown that Let-7 levels can be directly regulated by glucose and TNFα in HEK293 cells, while insulin was unable to activate the Let-7 promoter region22.
Despite TNFα had been able to drive Let-7 upregulation, there is a lack of consensus as to whether that maternal cytokines can be transported to the fetus during pregnancy. Glucose and NEFA, on the other hand, have specific transporters in the placenta, GLUTs and FATPs, respectively, and are also the major energy substrates for fetal development23,24. Thus, we believe that the adverse conditions of obese pregnant dams, e.g. the excessive serum glucose and NEFA, may be related to the hepatic upregulation of Let-7 and to the consequent metabolic disturbances of the offspring.
Metformin, an antidiabetic drug that have been effectively used to treat not only diabetes but related conditions, such as body weight management and NAFLD, functions primarily by activating AMPK25. Interestingly, here we showed that inhibition of Let-7 may exert similar effects, leading to AMPK activation, since the ex-vivo transfection with Let-7a anti-miR rescued LIN28 and phospho-AMPKα2 levels in the liver of the newborn offspring of obese dams. Further studies are necessary in order to investigate the translational impact of the present results. However, based on our findings we believe that Let-7 anti-miR may exert a potential therapy to prevent the fetal metabolic programming effects from obese mothers.
In summary, our data showed strong evidence that Let-7a may regulate hepatic AMPKα2 protein levels. Furthermore, we suggest that maternal obesity, but not maternal HFD apart from the obese phenotype, leads to hepatic modulation of the potential Let-7/AMPK axis, and may be related to the metabolic disturbances presented by the newborn offspring from obese dams.
Methods
Experimental animals and diets
All of the experimental procedures were performed in accordance with the ARRIVE guidelines, and the guidelines of the Brazilian Society of Science in Laboratory Animals and were approved by the local Ethics Committee for Animal Use (ID protocols 4349-1, and 3963-1) of the University of Campinas (UNICAMP). All experimental animals were obtained from Animal Breeding Center at the University of Campinas (CEMIB) and were maintained in individual polypropylene micro-isolators at 22 ± 1 °C and lights on from 06:00 to 18:00 h.
Twelve five-week old female Swiss mice (Mus musculus) were fed a standard chow diet (Nuvilab CR-1, Nuvital, PR—Brazil, C; 3.5 kcal/g, 9.5% fat) or a high-fat diet as previously described5 (HFD: 4.6 kcal/g, 45% fat) for an adaptation period of 4 weeks before mating. At the end of the adaptation period, HFD females were classified as obesity-prone or obesity-resistant, as described by Simino et al., 202014, and they were mated with control male mice. One male for two female mice were housed together to mate. During pregnancy, female mice were fed the same diet of the adaptation period. At the delivery day (d0), newborns were euthanized and liver was dissected and immediately sectioned to ex-vivo analysis or frozen in liquid N2 followed by -80 °C storage to qPCR and immunofluorescence.
In silico analysis of miRNA potential targets
The Let-7/mRNAs target prediction was performed using MiRWalk 2.0 platform (http://www.umm.uni-heidelberg.de/apps/zmf/mirwalk/), accessing a total of 12 algorithms. Interactions were considered valid when predicted by TargetScan algorithm, and at least 5 other algorithms.
Quantitative real time PCR (qPCR)
Total RNA and microRNA were extracted from liver (~ 150 mg) or cells using RNAzol RT (Molecular Research Center, MRC, Cincinnati, OH—USA) according to the manufacturer’s recommendations, and quantified using NanoDrop ND-2000. Reverse transcription was performed with 3 μg of total RNA or miRNA by specific reverse transcription kits (Thermo Fisher Scientific, Waltham, Massachusetts—USA). The relative expression of mRNAs (Prkaa2 ID Mm01264789_m1, Lin28a ID Mm00524077_m1) and microRNAs (Let-7a ID 000377, U6srRNA ID 001973) was determined using a Taqman detection system (Thermo Fisher Scientific, Waltham, Massachusetts—USA). qPCR was performed on an ABI Prism 7500 Fast platform, and data were expressed as relative values determined by the comparative threshold cycle (Ct) method (2 − ΔΔCt).
Immunofluorescence
Liver fragments from newborn male offspring was embedded in Tissue-Tek (Sakura, Torrance, CA—USA), frozen and sectioned into 12-µm-thick sections. AML12 cells were plated in round slides and treated as described below. Liver slices and AML12 cells were blocked with 3% albumin for 120 min. After, they were incubated with specific primary antibodies (AMPKα2 (1:50 dilution), Santa Cruz Biotechnology, CA—USA, or LIN28 (1:250 dilution), Abcam, Cambridge, MA—USA) overnight and secondary antibodies (Donkey anti-mouse FITC conjugated (1:250 dilution), Abcam, Cambridge, MA—USA). IMMU-Mount medium with DAPI was used to cover the slides (Vectashield, Vector Laboratories, Burlingame, CA—USA). Slices were visualized and captured by TCS SP5 II Leica confocal microscopy (Leica Microsystems, Wetzlar, Hesse—Germany). The number of AMPKα2+ and LIN28+ cells was counted using ImageJ software.
Cell culture and transfection
In vitro analysis were performed using AML12 mouse hepatocyte cell line (ATCC CRL-2254). Cells were maintained in DMEM:HAM-F12 medium (1:1, 3.15 g/L glucose) (Sigma Aldrich), with 10% FBS, 100U/mL penicillin, 0.1 mg/mL streptomycin, 0.005 mg/ml insulin, 0.005 mg/ml transferrin, 5 ng/ml de selenium and 40 ng/mL dexamethasone, and incubated at 37 °C in 5% CO2. Experiments were performed between passages 10 and 20. Cells were grown as monolayers and after seeding they were treated with glucose (20 mM), insulin (120 nM), TNFα (40 ng/mL), non-esterified fatty-acids (NEFA—500 μM), or transfected with Let-7a mimic (10 nM, Ambion) and Lipofectamine RNAimax (Invitrogen), in serum free culture medium, for 24 h. Cells were harvested to qPCR analysis as described above. Next, cells were seeded above round slides and transfected with Let-7a mimic (10 nM, Ambion) and Lipofectamine RNAimax (Invitrogen), in serum free culture medium, for 24 h. Slides were submitted to immunofluorescence analysis as described above. Further, reverse transfection of Let-7a anti-miR (10 nM, Ambion) and Lipofectamine RNAimax (Invitrogen) were performed and 24 h after seeding, cells were treated with NEFA (500 μM) for 24 h. Cells were then harvested for qPCR analysis or Oil-Red (Sigma Aldrich) staining, as described by Mehlem et al. (2013)26.
Ex vivo analysis
The liver of the offspring from control and obese dams (C-O and OP-O, respectively) were extracted at the delivery day, manually sectioned into ~ 2 mm slices and immediately incubated in Krebs–Henseleit buffer (KHB, 5 mM NaCl, 118 mM KCl, 1.1 mM MgSO4·7H2O, 1.2 mM KH2PO4, 25 mM NaHCO3, 2.5 mM CaCl2·2H2O, 25 mM D-Glucose, 9 mM HEPES) at 4 °C. After, slices were transferred to culture plates with high-glucose DMEM medium (Sigma Aldrich) with 100U/mL penicillin, 0.1 mg/mL streptomycin, and incubated at 37 °C in 5% CO2. After 2 h, slices were transferred to new plates with culture medium and negative control or Let-7a anti-miR (20 nM, Ambion) and Lipofectamine RNAimax (Invitrogen). After 24 h, slices were harvested to indirect ELISA analysis of phospho-AMPKα2 (1:50, Santa Cruz Biotechnology, CA – USA) and LIN28 (1:250, Abcam, Cambridge, MA—USA).
Statistical analysis
Results are expressed as means and their standard errors. Student’s T test was used to compare two groups. Analysis of variance (ANOVA) was assessed for multiple comparisons, and Bonferroni’s post-test was used to determine the significance level of p ≤ 0.05.
Supplementary Information
Acknowledgements
This work was supported by the grants from the Coordination for the Improvement of Higher Education Personnel (CAPES), National Council for Scientific and Technological Development (CNPq, AST Grant #303209/2019-4), São Paulo Research Foundation (FAPESP, LAPS Grant #2015/01947-7 and AST grant #2019-03351-5), and National Institutes of Health (Grant # 1R01HD099813-01A1). The Laboratory of Metabolic Disorders (Labdime) belongs to the Obesity and Comorbidities Research Center (OCRC).
Author contributions
A.S.T. and L.A.P.S. performed the experimental design. L.A.P.S., C.P., M.F.F. and T.F. were involved in the data acquisition and analyses. A.S.T., L.A.P.S., M.A.T., L.M.I.S., M.M., M.V.G., M.D. and M.G.R. were involved in the data interpretation, manuscript writing, and critical revision. A.S.T., M.A.T., L.M.I.S. and M.M. provided the funding for the study. All authors approved the final version and declare no conflicts of interest.
Competing interests
The authors declare no competing interests.
Footnotes
Publisher's note
Springer Nature remains neutral with regard to jurisdictional claims in published maps and institutional affiliations.
Supplementary Information
The online version contains supplementary material available at 10.1038/s41598-021-88518-8.
References
- 1.Fernandez-Twinn DS, Constância M, Ozanne SE. Intergenerational epigenetic inheritance in models of developmental programming of adult disease. Semin. Cell. Dev. Biol. 2015;43:85–95. doi: 10.1016/j.semcdb.2015.06.006. [DOI] [PMC free article] [PubMed] [Google Scholar]
- 2.Melo AM, Benatti RO, Ignacio-Souza LM, Okino C, Torsoni AS, Milanski M, et al. Hypothalamic endoplasmic reticulum stress and insulin resistance in offspring of mice dams fed high-fat diet during pregnancy and lactation. Metabolism. 2014;63(5):682–692. doi: 10.1016/j.metabol.2014.02.002. [DOI] [PubMed] [Google Scholar]
- 3.Reginato A, de Fante T, Portovedo M, da Costa NF, Payolla TB, Miyamotto JÉ, et al. Autophagy proteins are modulated in the liver and hypothalamus of the offspring of mice with diet-induced obesity. J. Nutr. Biochem. 2016;34:30–41. doi: 10.1016/j.jnutbio.2016.04.002. [DOI] [PubMed] [Google Scholar]
- 4.de Fante T, Simino LA, Reginato A, Payolla TB, Vitoréli DCG, de Souza M, et al. Diet-induced maternal obesity alters insulin signalling in male mice offspring rechallenged with a high-fat diet in adulthood. PLoS ONE. 2016;11(8):e0160184. doi: 10.1371/journal.pone.0160184. [DOI] [PMC free article] [PubMed] [Google Scholar]
- 5.de Paula Simino LA, de Fante T, Figueiredo Fontana M, Oliveira Borges F, Torsoni MA, Milanski M, et al. Lipid overload during gestation and lactation can independently alter lipid homeostasis in offspring and promote metabolic impairment after new challenge to high-fat diet. Nutr. Metab. (Lond). 2017;14(1):16. doi: 10.1186/s12986-017-0168-4. [DOI] [PMC free article] [PubMed] [Google Scholar]
- 6.Lemes SF, de Souza ACP, Payolla TB, Versutti MD, da Silva Ramalho ADF, Mendes-da-Silva C, et al. Maternal consumption of high-fat diet in mice alters hypothalamic notch pathway, NPY cell population and food intake in offspring. Neuroscience. 2018;371:1–15. doi: 10.1016/j.neuroscience.2017.11.043. [DOI] [PubMed] [Google Scholar]
- 7.Ceccarelli S, Panera N, Gnani D, Nobili V. Dual role of microRNAs in NAFLD. Int J Mol Sci. 2013;14(4):8437–8455. doi: 10.3390/ijms14048437. [DOI] [PMC free article] [PubMed] [Google Scholar]
- 8.Thompson MD. Developmental programming of NAFLD by parental obesity. Hepatol. Commun. 2020;4(10):1392–1403. doi: 10.1002/hep4.1578. [DOI] [PMC free article] [PubMed] [Google Scholar]
- 9.Frost RJ, Olson EN. Control of glucose homeostasis and insulin sensitivity by the Let-7 family of microRNAs. Proc. Natl. Acad. Sci. 2011;108(52):21075–80. doi: 10.1073/pnas.1118922109. [DOI] [PMC free article] [PubMed] [Google Scholar]
- 10.Zhu H, Shyh-Chang N, Segrè AV, Shinoda G, Shah SP, Einhorn WS, et al. The Lin28/let-7 axis regulates glucose metabolism. Cell. 2011;147(1):81–94. doi: 10.1016/j.cell.2011.08.033. [DOI] [PMC free article] [PubMed] [Google Scholar]
- 11.Garcia D, Hellberg K, Chaiz A, Wallace M, Shaw RJ. Genetic liver-specific AMPK activation protects against diet- induced obesity and NAFLD. Physiol. Behav. 2019;176(3):139–148. doi: 10.1016/j.celrep.2018.12.036. [DOI] [PMC free article] [PubMed] [Google Scholar]
- 12.Nagata D, Hirata Y. The role of AMP-activated protein kinase in the cardiovascular system. Hypertens. Res. 2010;33(1):22–28. doi: 10.1038/hr.2009.187. [DOI] [PubMed] [Google Scholar]
- 13.Day EA, Ford RJ, Steinberg GR. AMPK as a therapeutic target for treating metabolic diseases. Trends Endocrinol. Metab. 2017;28(8):545–560. doi: 10.1016/j.tem.2017.05.004. [DOI] [PubMed] [Google Scholar]
- 14.Simino LAP, Panzarin C, Torsoni MA, Ignácio-souza LM, Milanski M, Torsoni AS. Maternal resistance to diet-induced obesity partially protects newborn and post-weaning male mice offspring from metabolic disturbances. J. Dev. Orig. Health Dis. 2020 doi: 10.1017/S204017442000094X. [DOI] [PubMed] [Google Scholar]
- 15.Shinoda G, Shyh-Chang N, Yvanka De Soysa T, Zhu H, Seligson MT, Shah SP, et al. Fetal deficiency of Lin28 programs life-long aberrations in growth and glucose metabolism. Stem Cells. 2013;31(8):1563–73. doi: 10.1002/stem.1423. [DOI] [PMC free article] [PubMed] [Google Scholar]
- 16.Thornton JE, Gregory RI. How does Lin28 let-7 control development and disease? Trends Cell Biol. 2012;22(9):474–482. doi: 10.1016/j.tcb.2012.06.001. [DOI] [PMC free article] [PubMed] [Google Scholar]
- 17.McCarty MF. Metformin may antagonize Lin28 and/or Lin28B activity, thereby boosting let-7 levels and antagonizing cancer progression. Med. Hypotheses. 2012;78(2):262–269. doi: 10.1016/j.mehy.2011.10.041. [DOI] [PubMed] [Google Scholar]
- 18.Zhong T, Men Y, Lu L, Geng T, Zhou J, Mitsuhashi A, et al. Metformin alters DNA methylation genome-wide via the H19/SAHH axis. Oncogene. 2017;36(17):2345–2354. doi: 10.1038/onc.2016.391. [DOI] [PMC free article] [PubMed] [Google Scholar]
- 19.Smith BK, Marcinko K, Desjardins EM, Lally JS, Ford RJ, Steinberg GR. Treatment of nonalcoholic fatty liver disease: Role of AMPK. Am. J. Physiol. Endocrinol. Metab. 2016;311(4):E730–E740. doi: 10.1152/ajpendo.00225.2016. [DOI] [PubMed] [Google Scholar]
- 20.Fullerton MD. AMP-activated protein kinase and its multifaceted regulation of hepatic metabolism. Curr. Opin. Lipidol. 2016;27(2):172–180. doi: 10.1097/MOL.0000000000000273. [DOI] [PubMed] [Google Scholar]
- 21.Wu L, Nguyen LH, Zhou K, de Soysa TY, Li L, Miller JB, Zhu H. Precise let-7 expression levels balance organ regeneration against tumor suppression. Elife. 2015;4:e09431. doi: 10.7554/eLife.09431. [DOI] [PMC free article] [PubMed] [Google Scholar]
- 22.Katayama M, Sjögren RJ, Egan B, Krook A. miRNA let-7 expression is regulated by glucose and TNF-α by a remote upstream promoter. Biochem. J. 2015;472(2):147–156. doi: 10.1042/BJ20150224. [DOI] [PubMed] [Google Scholar]
- 23.Lager S, Jansson N, Olsson AL, Wennergren M, Jansson T, Powell TL. Effect of IL-6 and TNF- a on fatty acid uptake in cultured human primary trophoblast cells. Placenta. 2011;32(2):121–127. doi: 10.1016/j.placenta.2010.10.012. [DOI] [PubMed] [Google Scholar]
- 24.Perazzolo S, Hirschmugl B, Wadsack C, Desoye G, Lewis RM, Sengers BG. The influence of placental metabolism on fatty acid transfer to the fetus. J. Lipid. Res. 2017;58(2):443–454. doi: 10.1194/jlr.P072355. [DOI] [PMC free article] [PubMed] [Google Scholar]
- 25.Prakash S, Rai U, Kosuru R, Tiwari V, Singh S. Amelioration of diet-induced metabolic syndrome and fatty liver with Sitagliptin via regulation of adipose tissue inflammation and hepatic Adiponectin/AMPK levels in mice. Biochimie. 2019;168:198–209. doi: 10.1016/j.biochi.2019.11.005. [DOI] [PubMed] [Google Scholar]
- 26.Mehlem A, Hagberg CE, Muhl L, Eriksson U, Falkevall A. Imaging of neutral lipids by oil red O for analyzing the metabolic status in health and disease. Nat. Protocols. 2013;8(6):1149–1154. doi: 10.1038/nprot.2013.055. [DOI] [PubMed] [Google Scholar]
Associated Data
This section collects any data citations, data availability statements, or supplementary materials included in this article.




