Abstract
Stroke is a common cause of death and disability. Allisartan isoproxil (ALL) is a new angiotensin II receptor blocker and a new antihypertensive drug discovered and developed in China. In the present study we investigated the therapeutic effects of ALL in stroke-prone renovascular hypertensive rats (RHR-SP) and the underlying mechanisms. The model rats were generated via two-kidney two-clip (2K2C) surgery, which led to 100% of hypertension, 100% of cerebrovascular damage as well as 100% of mortality 1 year after the surgery. Administration of ALL (30 mg · kg−1 · d−1 in diet, for 55 weeks) significantly decreased stroke-related death and prolonged lifespan in RHR-SP, but the survival ALL-treated RHR-SP remained of hypertension and cardiovascular hypertrophy compared with sham-operated normal controls. In addition to cardiac, and aortic protection, ALL treatment for 10 or 12 weeks significantly reduced cerebrovascular damage incidence and scoring, along with a steady reduction of blood pressure (BP) in RHR-SP. Meanwhile, it significantly decreased serum aldosterone and malondialdehyde levels and cerebral NAD(P)H oxidase expressions in RHR-SP. We conducted 24 h continuous BP recording in conscious freely moving RHR-SP, and found that a single intragastric administration of ALL produced a long hypotensive effect lasting for at least 12 h on systolic BP. Taken together, our results in RHR-SP demonstrate that ALL can be used for stroke prevention via BP reduction and organ protection, with the molecular mechanisms related to inhibition of angiotensin–aldosterone system and oxidative stress. This study also provides a valuable scoring for evaluation of cerebrovascular damage and drug efficacy.
Keywords: hypertension, stroke, allisartan isoproxil, angiotensin receptor blocker, blood pressure, organ damage
Introduction
Stroke is one of the most prevalent health problems, especially in aged individuals. According to latest annual report 2019 of the World Stroke Organization, one in four persons over age 25 will experience stroke in their lifetime, and stroke accounts for 5.5 million deaths per year worldwide [1, 2]. The epidemic of stroke has posed great burden on patients with their families and economic implications around the world. Hypertension is the most relevant and modifiable risk factor of stroke, and its population-attributable estimate to stroke is 47.9% in the INTERSTROKE study [3]. Therapies targeting hypertension are considered to be effective for the primary and secondary stroke prevention, meanwhile, persistent drugs intervention is still the most common and most efficient measure in antihypertensive treatment in the present, which is also meaningful to reduce stroke risk on patients with hypertension [4].
Allisartan isoproxil (ALL), a new member of angiotensin II type 1 (AT1) receptor blockers (ARBs) family, was discovered and developed in China, approved by the Chinese Food and Drug Administration for the treatment of hypertension in 2012, and introduced to the market in 2013. The pharmacological properties and metabolic pathway of ALL are unique to other ARBs. We have reported that ALL is highly effective for blood pressure (BP) reduction and organ protection with low toxicity in animals, using losartan as positive control [5]. Others have conformed the effectiveness and safety of ALL in the treatment of hypertensive patients [6, 7]. It has reported that only 14% of orally administered losartan is converted to EXP3174 by CYP2C9 and CYP3A4 in human, and other metabolites can come with some side effects and toxicity [8]. Quite the opposite, ALL is so precisely designed as an esterified prodrug, and there is no cytochrome P450 subfamilies involved in its metabolism. EXP3174 is the only metabolite with hypotensive effect of ALL after being hydrolyzed by esterase in gastrointestinal tract [9]. However, there is no data regarding the effect of ALL on stroke prevention and treatment.
Both stroke-prone renovascular hypertensive rats (RHR-SP) [10, 11] and stroke-prone spontaneously hypertensive rats (SHR-SP) [12–14] are widely used in stroke research. These two stroke-prone models have been used in our previous studies to test the drug effect on stroke occurrence and death [15–17]. However, the mortality study in SHR-SP needs very long-term observation with everyday hard work. Thus, establishment of a quantified intermediate endpoint is useful for drug efficacy evaluation on stroke prevention.
In the present study, we investigated the effect and mechanism of ALL on the mortality of stroke-prone rats. RHR-SP were used to evaluate drug effect on mortality as well as to establish cerebrovascular damage scoring for drug efficacy test. Due to limited data reported on the new drug ALL, this study will also provide new evidence for clinical applications.
Materials and methods
Drugs
ALL was provided by Salubris Pharmaceuticals Co., Ltd (Shenzhen, China). Pentobarbital sodium was purchased from Bioszune Life Sciences DEP (Beijing, China). Diazepam injection was purchased from Yikang Pharmaceuticals Factory (Anyang, China). Ketamine hydrochloride injection was purchased from Gutian Pharmaceutical Co., Ltd (Ningde, China).
Animals and preparation of RHR-SP
Sprague-Dawley rats (180–200 g) were purchased from Sino-British SIPPR/BK Lab Animals Ltd (Shanghai, China). Animals were housed under controlled condition (temperature 23–25 °C and lighting 8:00–20:00) with free access to standard animal chow and tap water. All animal experiments were approved by the Institutional Animal Care and Use Committee of the Second Military Medical University (Shanghai, China).
RHR-SP were prepared by the two-kidney two-clip (2K2C) surgery in the rats, as we previously described [15]. Briefly, under anesthesia with 2% sodium pentobarbital (40 mg · kg−1, i.p.), a median longitudinal incision on abdominal skin was performed. The bilateral renal arteries of the rat were isolated and U-shape silver clips (0.2 or 0.3 mm in inner diameter, Alcott biotech Co., Ltd, Shanghai, China) were placed around the roots of renal arteries. The sham-operated animals were performed with the same procedures as the 2K2C rats without placement of renal artery clip. During the operation, other intraperitoneal organs and renal veins were undamaged. The wound was sutured and the animals were placed on electric blanket to keep heat until reviving.
Experimental design and drug administration
The research consisted of four parts. The first part was to evaluate the 2K2C rat model, including BP measurement and cerebrovascular histological examination, compared with sham-operated rats (Sham). The second part was to examine the effect of ALL on the mortality of RHR-SP. After 4 weeks of surgery, 2K2C rats were randomly divided into two groups, 2K2C model control (2K2C, n = 30) and 2K2C-treated with ALL 30 mg · kg−1 · d−1 (2K2C + ALL, n = 30), along with Sham group (n = 20). The duration of drug treatment was more than 1 year. The third part was to determine the effect of ALL on BP and organ damage in RHR-SP. Three groups were designed as the same in the second part. The duration of drug treatment was 10 or 12 weeks after 4 or 5 weeks of 2K2C or sham operation and tissue samples were collected at the end of treatment. Finally, the fourth part was to observe the effect of a single dose of ALL (30 mg · kg−1) on BP in RHR-SP. Vehicle control was also designed. The 2K2C rats were prepared with silver clips of 0.2 mm inner diameter in the first and second parts, and with silver clips of 0.3 mm inner diameter in the third and fourth parts.
For long-term drug treatment, ALL was mixed into the rat chow. The consumption of rat chow containing the drug was determined. The content of the drug in the rat chow was calculated according to the chow consumption, and the ingested dose of ALL was 30 mg · kg−1 · d−1. Rat chow without the drug was used as control. For single dose treatment, ALL was formulated into 1.5% suspension with 0.5% sodium carboxymethycellulose (CMC-Na, as vehicle), ALL suspension or vehicle was given by a catheter that was placed into the stomach via an abdominal incision two days before the drug administration. This special drug administration was more appropriate for BP measurement in conscious freely moving rats [18].
BP measurement in conscious unrestrained rats
Systolic BP, diastolic BP, and heart rate were continuously recorded in conscious freely moving rats using our previously described technique [19]. Briefly, animals were anesthetized with an intraperitoneal injection of ketamine (50 mg · kg−1) and diazepam (5 mg · kg−1). A polyethylene catheter was inserted into the lower abdominal aorta through the left femoral artery for BP measurement. If needed, another catheter was placed into the stomach through an abdominal incision for drug administration. The catheters were exteriorized through the interscapular skin. After a 24 h recovery period, the animals were placed in individual cylindrical cages containing food and water for BP recording. The aortic catheter was connected to a BP transducer via a rotating swivel that allowed the animals to move freely in the cage. After approximately 4 h for stabilization, BP signal was recorded in conscious rats for 1 h. For study of single drug administration, the rats were connected to BP measurement system 36 h after catheterization, habituated for another 12 h, and the BP signal was recorded in conscious rats for 1 h to serve as the basal value. Thereafter, a single dose of ALL (30 mg · kg−1), or vehicle was given via the intragastric catheter. BP and heart rate were continuously recorded for 24 h, and calculated at corresponding time to serve as data after drug administration. The BP signals were digitized and processed by a BP instrument (Alcott biotech Co., Ltd, Shanghai, China).
Observation of animal status and dissection of dead rats
During the study, the movement of limbs, respiration, diet, fur, consciousness, and other health indexes were monitored daily, as we described previously [15, 20]. Body weights of each group were recorded weekly or monthly. Once the animal death occurred, the brain was removed and examined for signs of hemorrhage, oedema or infarction prior to being photographed as described in our previous study [21]. Brains with or without these distinct signs were fixed with 4% paraformaldehyde for histological examinations. The whole body and organs in the thoracic and abdominal cavities were also checked. The heart, kidney and aorta were also kept as samples.
Morphological examination
Animals were deeply anesthetized with 2% sodium pentobarbital (50 mg · kg−1, i.p.). The heart, brain, and bilateral kidneys were removed and washed in cold saline, then organs were blotted and weighed. At the same time, the aorta was cleaned of adhering fat and connective tissue. Weight and length of aortic segment from the branch of the left subclavian artery to diaphragmatic muscle were recorded [22, 23]. Organ weight to body weight ratio and aortic weight to length ratio were calculated. The brain, left kidney and left ventricle were fixed with 4% paraformaldehyde for histological examinations.
Histopathological analysis
The fixed tissues were embedded in paraffin and cut into paraffin section (5 μm). The paraffin sections of every tissue sample were stained with hematoxylin–eosin (H&E) for histological examination. Furthermore, Verhoeff’s Van Gieson (EVG) staining to brain and Masson’s trichrome staining to heart and kidney were adopted respectively for further analysis [24].
Biochemical assays
The blood was sampled and prepared into serum after 20 min of 3000 × g centrifugation at 4 °C. The levels of lipid peroxidation product malondialdehyde (MDA) in serum were measured using Lipid Peroxidation MDA assay kit (Beyotime Bio Inc., Shanghai, China). The level of MDA was calculated with the standard curve according to the manufacturer’s instructions. Serum aldosterone concentrations were measured by radioimmunoassay with kits purchased from GE Biosciences (Buckinghamshire, UK). These measurements were made in accordance with previous reports [25, 26].
Quantitative real-time PCR
The mRNA expression of NAD(P)H oxidase in rat brain tissue was examined using our previous method [27, 28]. Total RNA was extracted using TRIzol reagent (Takara Bio Inc., Kusatsu, Shiga, Japan) according to the instructions of the manufacturer. RNA (2 μg) was reverse transcribed to cDNA by using the Prime Script RT reagent kit with gDNA Eraser (Takara Bio Inc., Kusatsu, Shiga, Japan), and real-time PCR amplification reactions were performed using a SYBR Premix Ex Taq kit with ROX (Takara Bio Inc., Kusatsu, Shiga, Japan) in duplicate on the ABI 7500 Real-Time PCR System (Applied Biosystems, Foster City, CA, USA) with 1 μL cDNA template in a 20 μL final reaction mixture (95 °C for 15 min; 95 °C for 15 s, 60 °C for 30 s, 72 °C for 30 s, 40 cycles). The specificity of the measured signal was identified as a single peak in the melting curve. The relative expression of NAD(P)H oxidase subunit was normalized to the level of glyceraldehyde 3-phosphate dehydrogenase (GAPDH). The 2−ΔΔCt method was used for quantification. The primers used in real-time PCR are listed in Table 1.
Table 1.
Primer sets used in the study.
| Forward primer (5′–3′) | Reversed primer (5′–3′) | |
|---|---|---|
| GAPDH | ACGGCAAGTTCAACGGCACAG | ACGGCAAGTTCAACGGCACAG |
| Nox-1 | CGGGTGCCTTTGCCTGGTTC | AGCCAGTGAGGAAGAGTCGGTAG |
| Nox-4 | AGCTAGAGTGGCACCCATTC | CCAATGCCTCCAGCCACACAC |
| p22phox | CATGGAGCGGTGTGGACAGAAG | GCAGGCACGGACAGCAGTAAG |
| p47phox | CGCTGCCCACACCTCTTGAAC | CTGGCTTCTTCACCTGGCTGTC |
| gp91phox | AGCTAGAGTGGCACCCATTC | TCCCAGTTGGGCCGTCCATA |
Statistical analysis
All data are expressed as mean ± SEM. Statistical analysis was performed using two-tailed Student’s unpaired t test, except for the survival study, for which Log-rank test was used to compare three curves. A P value < 0.05 indicated a statistically significant difference.
Results
Hypertension occurs 100% in 2K2C rat model with obvious cerebrovascular damage
To investigate the time-course of hypertension development in 2K2C rats, BP was measured at 2, 3, 4 weeks after 2K2C or sham operations. It appeared that hypertension occurred rapidly and all examined 2K2C rats developed hypertension, evaluated by systolic BP ≥ 160 mmHg. Systolic BP, diastolic BP and pulse pressure of 2K2C group were all significantly higher than those of Sham group, and the mean values of these parameters rose slightly in a time-course manner in the 2K2C group (Fig. 1a–c). There was no significant difference in heart rate between two groups (Fig. 1d).
Fig. 1. Hypertension occurs 100% in two-kidney two-clip (2K2C) rat model.
a Systolic blood pressure (BP) was measured at 2, 3, and 4 weeks after operation. Systolic BP was significantly higher in 2K2C group than Sham group. b Diastolic BP was measured at 2, 3, and 4 weeks after operation. Diastolic BP was significantly higher in 2K2C group than Sham group. c Pulse pressure was measured at 2, 3, and 4 weeks after operation. Pulse pressure was significantly higher in 2K2C group than Sham group. d Heart rate was measured at 2, 3, and 4 weeks after operation. Heart rate was not different in 2K2C group and Sham group. Data represent the mean ± SEM (n = 15 animals for 2K2C group and n = 6 animals for Sham group). ***P < 0.001 vs. Sham.
In order to evaluate cerebrovascular lesion which leads to stroke in RHR-SP, histopathological analysis of the brain was performed. We observed obvious cerebrovascular lesion in 2K2C rats after H&E staining. However, lesion details couldn’t be shown clearly and degree of cerebral artery lesion was difficult to be quantified after H&E staining. EVG staining is commonly used in pathology to show lesions of internal elastic fibers and vascular wall in vascular diseases [29]. A reasonable scoring method was established to assess the degree of cerebral artery lesion and representative images of lesion type in each degree were shown in Fig. 2 after EVG staining.
Fig. 2. Establishment of a novel scoring method to assess the degree of cerebral artery lesion in two-kidney two-clip (2K2C) rat model.
Brain tissue from Sham and 2K2C groups was stained with EVG staining, posterior cerebral artery was examined, and scores of bilateral arteries were added up. Lesion types were shown with representative images and descriptions matched each image, and lesion was marked with black arrow and red box in image. Scale bar = 50 or 100 μm, as indicated in the picture.
ALL treatment for 55 weeks reduces stroke-related deaths in RHR-SP
The survival time expressed by Kaplan–Meier survival curves is shown in Fig. 3a. There was an obvious difference between 2K2C group and 2K2C + ALL group (log rank test χ2 = 44.73, P < 0.0001). When all animals died at the day 336 in the 2K2C group, mortality was 66.7% in 2K2C + ALL group, whereas no death was observed in Sham group. There were no more deaths in 2K2C + ALL and Sham groups during the next observation for 7 weeks. During the mortality observation, body weight gain exhibited a similar pattern among three groups, but body weight curve of Sham group became higher than the other two groups at the terminal due to the deaths in 2K2C and 2K2C + ALL groups and the survival rats less and less in these two groups (Fig. 3b). According to neurological symptoms of stroke, such as hemiplegia (Fig. 3c and Supplementary Videos), as well as brain and heart pathological changes of dead rats, such as hemorrhage and oedema in the brain, and fibrosis in the atrium (Fig. 3d–f), most of deaths in 2K2C and 2K2C + ALL groups were blamed on stroke. All these results indicate that long-term ALL treatment reduces stroke-related deaths and prolongs lifetime in RHR-SP.
Fig. 3. Allisartan isoproxil (ALL) treatment for 55 weeks reduces deaths and prolongs lifespan in stroke-prone two-kidney two-clip (2K2C) rat model.
Treatment with ALL began at 4 weeks after modeling. a Survival rate (Kaplan–Meier survival curve) during the treatment observation and mortality on day 336 after treatment. b Body weight gain of three groups during the treatment observation. c Neurological symptoms such as hemiplegia found in RHR-SP. d, e Signs of stroke such as cerebral hemorrhage and oedema found in whole brain and brain slice after dissection of dead RHR-SP. f Atrial fibrosis lesion in some dissected heart of RHR-SP. Data represent the mean ± SEM (n = 30 animals for each 2K2C group and 2K2C + ALL group, n = 20 animals for Sham group). *P < 0.05, ***P < 0.001 vs. Sham; #P < 0.05, ##P < 0.01 vs. 2K2C.
At the end of the observation, the survival rats were used for examination of BP and organ damage. Although there were no more deaths in both ALL-treated RHR-SP and Sham groups during the last 7 weeks of observation (Fig. 3a), BP parameters (systolic BP, diastolic BP, and pulse pressure) as well as cardiac and aortic hypertrophy indexes (weight of heart, atrium, ventricle, left ventricle and aorta to body weight ratios, and aortic weight to length ratio) were all higher in ALL-treated RHR-SP group than Sham group, with no significant difference in heart rate, and relative weights of the brain and kidney between two groups (Fig. 4). These suggest that the survival animals of RHR-SP after 55 weeks of ALL treatment are still in the stage of hypertension and cardiovascular hypertrophy, and do not reach normal level as in the Sham rats.
Fig. 4. High blood pressure (BP) and cardiovascular hypertrophy still exists in survival animals of two-kidney two-clip (2K2C) rat model treated with allisartan isoproxil (ALL) for 55 weeks.
a–d Systolic BP (a), diastolic BP (b), pulse pressure (c) and heart rate (d) of the Sham and 2K2C+ALL groups. e–l Weight of brain (e), heart (f), atrium (g), ventricle (h), left ventricle (i), aorta (j) and kidney (l) to body weight ratios and aortic weight to length ratio (k) after 55 weeks of ALL treatment. Data represent the mean ± SEM (n = 6 animals for 2K2C + ALL group and n = 9 animals for Sham group). *P < 0.05, **P < 0.01, ***P < 0.001 vs. Sham.
ALL treatment for 10 or 12 weeks reduces BP and protects against cerebrovascular, cardiac, and aortic damage in RHR-SP
Figure 5a shows that body weights of rats were not obviously affected with 2K2C operation and ALL treatment. Systolic BP, diastolic BP and pulse pressure of 2K2C group were elevated significantly compared with Sham group, and ALL treatment for 10 weeks in 2K2C rats (2K2C + ALL group) significantly decreased systolic BP and pulse pressure by 20.6 and 9.5 mmHg respectively with only a tendency reduction in diastolic BP (Fig. 5b–d). 2K2C operation or ALL treatment for 10 weeks had no impact on heart rate (Fig. 5e).
Fig. 5. Treatment with allisartan isoproxil (ALL) for 10 weeks decreases blood pressure (BP) in two-kidney two-clip (2K2C) rat model.
a Body weight gain of three groups during the experiment. b–e Systolic BP (b), diastolic BP (c), pulse pressure (d), and heart rate (e) of three groups after 10 weeks of ALL treatment. Treatment with ALL began at 4 weeks after surgery. Data represent the mean ± SEM (n = 15 animals for each 2K2C group and 2K2C + ALL group, n = 10 animals for Sham group). *P < 0.05, ***P < 0.001 vs. Sham; #P < 0.05 vs. 2K2C.
Brain-derived and cardiogenic factors cover almost all causes of stroke. In the gross examination, no obvious change was found for brain weight to body weight ratio among three groups (Fig. 6a). Pathological analysis of brain with EVG staining showed that the incidence of cerebrovascular damage was 66.7% in 2K2C + ALL group, 100% in 2K2C group and 25% in Sham group, respectively (Fig. 6b). Cerebrovascular lesion score of 2K2C group was significantly higher than Sham group, and ALL treatment for 10 weeks markedly reversed lesion of cerebral artery (Fig. 6c). The pathological changes of the posterior cerebral artery were shown with representative images (Fig. 6d and Supplementary Figs. 1–3). Thus, ALL treatment can alleviate damage of cerebral artery in RHR-SP, which contributes to stroke prevention.
Fig. 6. Treatment with allisartan isoproxil (ALL) for 10 weeks prevents cerebrovascular and cardiac damage in two-kidney two-clip (2K2C) rat model.
a Brain weight to body weight ratio. b Incidence of damage in cerebral artery. c Degree of cerebrovascular lesions quantified with scoring method after EVG staining in brain. d Lesions in posterior cerebral artery presented by representative images of EVG staining. Scale bar = 50 μm. e–h Weight of heart (e), ventricle (f), atrium (g), and left ventricle (h) to body weight ratios. i Left ventricle wall thickness. j Collagen content in heart quantified with ImageJ software after Masson staining. k Lesions in heart presented by representative images of Masson staining. Scale bar = 100 μm. Data represent the mean ± SEM (n = 15 animals for each 2K2C group and 2K2C + ALL group, n = 10 animals for Sham group). *P < 0.05, **P < 0.01, ***P < 0.001 vs. Sham; #P < 0.05, ##P < 0.01, ###P < 0.001 vs. 2K2C.
In terms of cardiac protection, decline in gross parameters including weight of heart, ventricle, left ventricle to body weight ratios and left ventricle wall thickness after ALL treatment displayed a protective effect of ALL on myocardial hypertrophy in RHR-SP, however, these parameters were still higher than Sham group except for left ventricle wall thickness (Fig. 6e–i). According to the results of Masson staining in heart, myocardial collagen content of ALL-treated animals showed a significant decline, compared with 2K2C group (Fig. 6j, k). Collectively, these findings show that ALL clearly improves cardiac damage in RHR-SP.
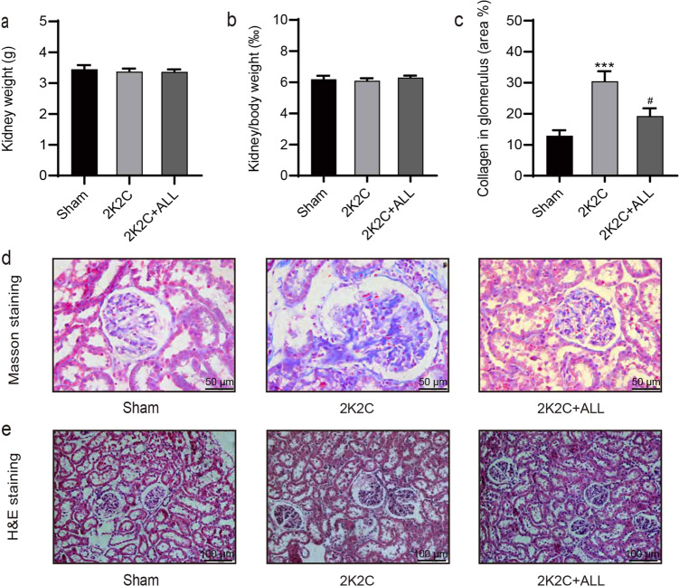
Kidney is the initiator of renovascular hypertension and an important target organ in hypertension-related damage. Although renal weight and renal weight to body weight ratio among three groups kept in the same levels (Fig. 7a, b), renal fibrosis indicated by Masson staining showed that 2K2C group displayed much more glomerular collagen content than Sham group, and ALL treatment obviously prevented the 2K2C-induced glomerular collagen fibrosis (Fig. 7c, d). Pathological changes under H&E staining showed that 2K2C group exhibited more renal lesion types such as renal fibrosis, mesangium hyperplasia and glomerular sclerosis, and ALL treatment for 10 weeks significantly attenuated them (Fig. 7e and Supplementary Fig. 4). These findings indicate ALL treatment prevents renal damage in RHR-SP.
Fig. 7. Treatment with allisartan isoproxil (ALL) for 10 weeks protects against renal damage in two-kidney two-clip (2K2C) rat model.
a, b Renal weight and renal weight to body weight ratio. c Collagen content in glomerulus quantified with ImageJ software after Masson staining. d, e Lesions in kidney presented by representative images of Masson and H&E staining. Scale bar = 50 μm for Masson and 100 μm for H&E. Data represent the mean ± SEM (n = 15 animals for each 2K2C group and 2K2C + ALL group, n = 10 animals for Sham group). ***P < 0.001 vs. Sham; #P < 0.05 vs. 2K2C.
For aorta, another set of experiment was performed. During the 12-week treatment, there existed no statistical differences in body weight change (Fig. 8a) and food intake (Fig. 8b) among three groups. Aortic weight, aortic weight to body weight ratio, and aortic weight to length ratio in 2K2C group significantly increased, compared with Sham group (Fig. 8c–e). After ALL treatment, all of these aortic indicators showed a decline, with significant differences in aortic weight and aortic weight to length ratio, compared with 2K2C group. These indicate that ALL treatment for 12 weeks improves aortic hypertrophy in RHR-SP.
Fig. 8. Treatment with allisartan isoproxil (ALL) for 12 weeks protects against aortic damage in two-kidney, two-clip (2K2C) rat model.
Treatment with ALL began at 5 weeks after surgery. a Body weight gain of three groups during the treatment. b Food intake of three groups during the treatment. c–e Aortic weight, aortic weight to body weight ratio, and aortic weight to length ratio. Data represent the mean ± SEM (n = 13 animals for each 2K2C group and 2K2C + ALL group, n = 8 animals for Sham group). *P < 0.05, **P < 0.01 vs. Sham; ##P < 0.01 vs. 2K2C.
ALL treatment for 10 weeks decreases the serum aldosterone level in RHR-SP
Aldosterone is one of the important effector molecules in the downstream of the AT1 receptor. The serum aldosterone level in the 2K2C group was significantly higher than that in the Sham group (Fig. 9a). After treatment with ALL for 10 weeks, the serum aldosterone level in the treated group was significantly decreased. This indicates that the abnormal elevation of the renin–angiotensin system (RAS) in 2K2C rats is effectively blocked by ALL.
Fig. 9. Treatment with allisartan isoproxil (ALL) for 10 weeks reduces aldosterone and oxidative stress levels in two-kidney, two-clip (2K2C) rat model.
a The concentrations of aldosterone in the serum. b The concentrations of malondialdehyde (MDA) in the serum. c–g The mRNA expression levels of five NADPH oxidase subunits including Nox-1, Nox-4, p22phox, p47phox, and gp91phox in the brain, glyceraldehyde 3-phosphate dehydrogenase (GAPDH) expression as a control. Data represent the mean ± SEM (n = 8 animals per group). *P < 0.05, **P < 0.01, ***P < 0.001 vs. Sham; #P < 0.05, ##P < 0.01, ###P < 0.001 vs. 2K2C.
ALL treatment for 10 weeks downregulates oxidative stress level in RHR-SP
To explore the possible molecular mechanism behind ALL’s protective effects on RHR-SP, we evaluated the level of oxidative stress with samples from 10-week ALL-treated rats. Serum MDA concentration in the 2K2C group was significantly increased as compared with that in the Sham group, however, in the ALL-treated group it dropped to a level comparable to that in the Sham group (Fig. 9b). Among the 5 most important NAD(P)H oxidase subunits [30] including Nox-1, Nox-4, p22phox, p47phox, and gp91phox, there was no significant difference in Nox-1 mRNA levels among three groups (Fig. 9c). In 2K2C group, Nox-4, p22phox, p47phox, and gp91phox mRNA expressions were upregulated in brain tissue, but these elevations were effectively blocked by ALL treatment (Fig. 9d–g). The results suggest that ALL suppresses 2K2C-induced oxidative stress in RHR-SP.
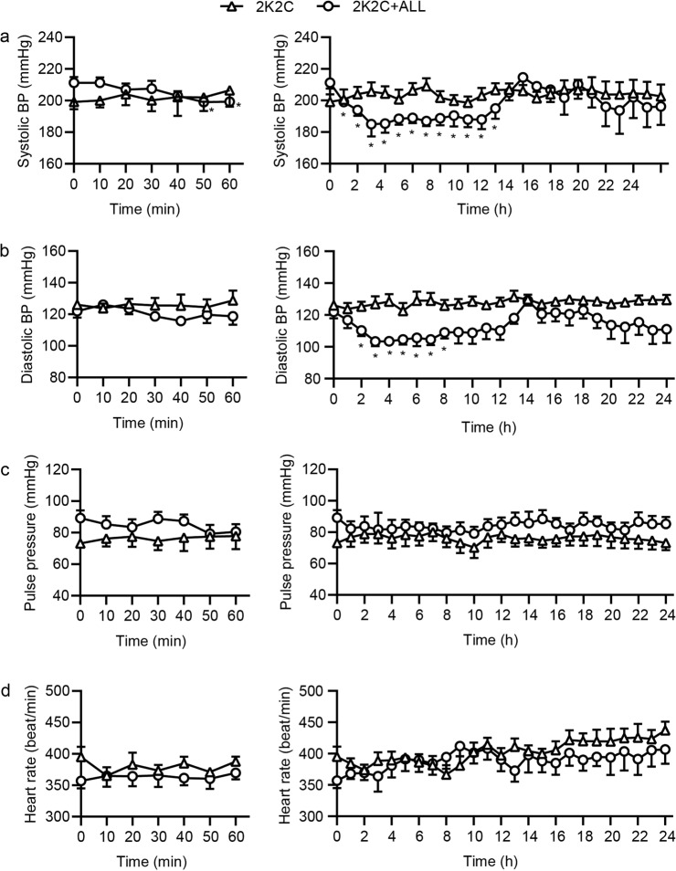
ALL single administration shows a rapid and long antihypertensive effect in RHR-SP
Compared with the basal values, levels of systolic BP and diastolic BP were significantly decreased by ALL single administration but pulse pressure exhibited only a decreasing tendency (Fig. 10a–c). The significant decline of systolic BP was seen 50 min after ALL administration and lasted for 12 h. Diastolic BP kept a low level from 2 h to 8 h after ALL administration. The maximal hypotensive effects in systolic BP and diastolic BP simultaneously appeared 3 h after the administration of ALL. Heart rate was not affected by ALL administration (Fig. 10d). Curves of every animal were provided in Supplementary Figs. 5, 6.
Fig. 10. Allisartan isoproxil (ALL) single administration shows a rapid and long hypotensive effect in two-kidney two-clip (2K2C) rat model.
a Systolic blood pressure (BP) curves within 24 h after ALL single administration. b Diastolic BP curves within 24 h after ALL single administration. c Pulse pressure curves within 24 h after ALL single administration. d Heart rate curves within 24 h after ALL single administration. Data represent the mean ± SEM (n = 5 animals per group). *P < 0.05 vs. basal value (0 h).
Discussion
The present study demonstrates, for the first time, that ALL prevents stroke occurrence and death in hypertensive animals. This preventive effect might derive from the antihypertensive effect and target organ protection of ALL in RHR-SP. ALL treatment can reduce incidence of stroke through reduction of BP and improvement of related organ damage, thereby prolonging lifespan of RHR-SP.
As previous literatures described [31], the first characteristic of RHR-SP is that hypertension exists in nearly every model animal due to excessive activation of RAS resulting from renal perfusion reduction. Our results showed that the incidence of hypertension in 2K2C rats was 100%, which is consistent with the previous reports. The second characteristic is that 2K2C renovascular hypertensive rats can be used as stroke-prone rats [10, 32], which is also confirmed by our research. In our previous research of stroke occurrence and death with stroke-prone rats, the signs of stroke including hemorrhage, edema, or infarction could be found on brains of most animals who were killed by stroke [33]. However, brains of most dead 2K2C rats were usually removed and examined after dying for quite some time in our present research, so infarction sign could not be clearly displayed, and hemorrhagic volume could not be exactly measured. Nevertheless, there is enough evidence to show that stroke is the main cause for deaths of RHR-SP, such as hemiplegia symptoms, and various lesions in the brain and atrium.
According to our experience in the previous and present studies, the study on stroke occurrence and death takes a long time. It is not efficient enough for drug efficacy research. So we try to establish a relatively short-term endpoint that can be quantified when used for evaluation of drug effect. According to the pathogenesis from hypertension to stroke, cerebrovascular damage is a major factor in the early stage [34]. And, posterior cerebral artery, which is part of the intracranial arteries and critical to cerebral circulation [35], is frequently used for study of cerebral artery disease. So we selected the posterior cerebral artery to assess cerebrovascular damage in RHR-SP. Indeed, in the present study, cerebrovascular damage occurred in all examined 2K2C rats 10 weeks after surgery. To quantify pathological changes in cerebral artery, EVG staining was used to stain the internal elastic lamina of the blood vessel, and various pathological changes were defined as mild (grade 1), moderate (grade 2), severe (grade 3), and very severe (grade 4) cerebrovascular damage. This novel histopathological scoring method can be used as an important evaluation for cerebrovascular damage of RHR-SP, and also a useful evaluation for drug efficacy on stroke prevention, which is proved in the present study.
In the present study, RHR-SP at 4 weeks after 2K2C surgery received ALL treatment for 55 weeks to observe the long-term effect on mortality. ALL-treated RHR-SP showed better physical condition, lower stroke incidence, and longer lifespan compared with untreated RHR-SP. All untreated RHR-SP died at 1 year after 2K2C operation (4 weeks + 336 days = 52 weeks), in agreement with our previous study [15]. However, at this time, 33.3% of ALL-treated RHR-SP survived, demonstrating a significant effect of ALL on reducing the mortality of RHR-SP. This study also designed a sham-operated group as normal control, with no death until this time. Thereafter, Sham control rats and survived ALL-treated RHR-SP were continued to observe for another 7 weeks. During this additional observation, no death occurred in both groups, giving us a hypothesis whether ALL long-term treatment can totally recover RHR-SP from hypertension and organ damage. However, our further hemodynamic measurement and organ examination do not support the hypothesis. The phenotypes of hypertension and cardiovascular hypertrophy still existed in the survived ALL-treated RHR-SP. Nevertheless, it was very obvious that ALL prolonged lifespan of stroke-prone rats significantly, although the present study could not give an exact lifespan for the survived rats due to sacrifice of the rats for organ examination. Alternatively, ALL-treated rats may have adapted to the new body system and may survive at higher levels of physiological conditions.
To understand the underlying mechanism for ALL preventive effect on stroke, antihypertensive action and organ protection were examined in RHR-SP. ALL treatment for 10 weeks was effective for reducing BP and protecting against cardiac, and aortic damage using gross detection and histological examination in RHR-SP, consistent with our previous gross detection in spontaneously hypertensive rats (SHR) treated with ALL for 4 months [5]. Specifically, in the present study, we firstly detected the effect of ALL on cerebrovascular damage, which is very important for drug evaluation on stroke prevention, as mentioned above. Although brain weights remained unchanged between treated and untreated animals, histological morphology showed a significant reduction of cerebrovascular damage incidence and scoring, indicating an obvious protection for ALL against cerebrovascular damage. These results suggest that both antihypertensive effect and organ protection, especially cerebrovascular protection, contribute to the ALL efficacy on stroke prevention. The data also indicate that the novel cerebrovascular damage scoring works in RHR-SP model and drug efficacy evaluation, and seems useful in other cerebrovascular disease models.
ALL is a new drug in the family of ARBs. Many studies have shown that ARBs can block the binding of angiotensin II and AT1 receptor, and then down-regulate downstream effects of AT1 receptor, such as inhibiting vascular smooth muscle contraction, decreasing sympathetic nerve excitability, reducing the synthesis and release of aldosterone from adrenal cortex globular zone cell and other effects [36, 37]. There are several signal pathways involved in these physiological effects mediated by AT1 receptors [38]. Among them, the oxidative stress pathway is considered to have a wide range of effects, and it is involved in atherosclerosis, arterial remodeling, myocardial hypertrophy and other pathological changes [39, 40]. These molecular effects may jointly mediate the hypotensive and target organ protective effects of ALL. In the present study, the elevated aldosterone level of 2K2C rats was significantly reduced after ALL administration, indicating that ALL inhibits RAS activity by blockade of AT1 receptor. At the same time, MDA and NAD(P)H oxidase are important biomarkers of oxidative stress pathway [41, 42]. The decreases of serum MDA and NAD(P)H oxidase expression levels indicate that the impact of ALL on oxidative stress is involved in its protective effects on target organs.
The effect of ALL single administration on continuous 24 h BP is unknown, although we previously investigated its hypotensive effect during 6 h after ALL single administration in SHR and two-kidney one-clip (2K1C) renovascular hypertensive rats [5]. In the present study, using BP continuously recorded, we found that the hypotensive effect lasted for at least 12 h in RHR-SP given a single dose of ALL. However, BP data in 10-week treatment of ALL through diet administration showed a steady reduction of BP in RHR-SP. Our previous study using combination of atenolol and nitrendipine once a day for 10 days found that in both SHR and 2K1C rats, there was only a BP reduction trend without statistical significance at 1 day after drug administration, but a significant BP reduction persistently at the next examined days, i.e., 3, 5, 7, 9, and 10 days after drug administration [43]. These indicate that the duration of hypotensive effect depends on the method of drug administration, and it can be prolonged for 24 h BP reduction with times after drug administration. For example, 24-h BP reduction was achieved in a short period of 2–3 days for 2–3 times of drug administration by combination of atenolol and nitrendipine once a day in SHR and 2K1C rats [43]. In addition, our previous studies demonstrated that the duration of systolic BP reduction by a single dose of combination of atenolol and nitrendipine was 10 h in SHR [44], but at least 48 h in 2K1C dogs [45], suggesting that drug metabolism is faster in rats than dogs. Given that ALL has been used clinically once a day for effective antihypertensive effect, it is unquestionable that ALL is a long-acting antihypertensive drug, which can maintain a steady BP reduction and a reduced BP variability for organ protection beneficial to prevention of cardiovascular events, especially stroke events [46–49].
It should be noted that ARBs are forbidden to treat patients suffering bilateral renal artery stenosis in clinical guideline [50]. However, in the present study, as a new member of ARBs family, ALL long-term treatment did not deteriorate renal damage in 2K2C rats. In contrast, it protected against renal injury. However, it was reported that other ARBs including losartan deteriorated renal function of 2K2C animals [51]. This discrepancy might be explained by different extent of renal artery stenosis and different drug. Our previous study also showed that 4 months of ALL treatment (15 and 30 mg · kg−1 · d−1) displayed a renal protection in SHR while losartan (30 mg · kg−1 · d−1) did not [5]. Nevertheless, more research is needed to know if this phenomenon is unique to ALL, and to support whether or not ALL can be used in patients with bilateral renal artery stenosis.
In conclusion, the present study has shown that ALL can be used for hypertensive stroke prevention due to its advantages in antihypertensive effect, cerebrovascular and cardiac protection, and inhibition of angiotensin–aldosterone system and blockage of oxidative stress pathway in the stroke prevention of ALL. Our study also provides an example of stroke prevention research with RHR-SP, and a valuable method of cerebrovascular damage scoring for drug efficacy evaluation.
Supplementary information
Acknowledgements
This study was supported by grants from the National Natural Science Foundation of China Major Project (№ 81730098 and № 82030110).
Author contributions
QSL and SLZ performed most of the experiments and data analyses and wrote the paper. JST and MHC performed some experiments and data analyses. AJL, FHF, and JGL performed data analysis and discussion. CYM designed the study, performed data analysis, and wrote and revised the paper.
Competing interests
The authors declare no competing interests.
Footnotes
These authors contributed equally: Qi-sheng Ling, Sai-long Zhang
Supplementary information
The online version contains supplementary material available at 10.1038/s41401-021-00684-7.
References
- 1.GBD 2016 Stroke Collaborators. Global, regional, and national burden of stroke, 1990-2016: a systematic analysis for the Global Burden of Disease Study 2016. Lancet Neurol. 2019;18:439–58. doi: 10.1016/S1474-4422(19)30034-1. [DOI] [PMC free article] [PubMed] [Google Scholar]
- 2.Markus HS, Brainin M, Fisher M. Tracking the global burden of stoke and dementia: World Stroke Day 2020. Int J Stroke. 2020;15:817–8. doi: 10.1177/1747493020959186. [DOI] [PubMed] [Google Scholar]
- 3.O’Donnell MJ, Chin SL, Rangarajan S, Xavier D, Liu L, Zhang H, et al. Global and regional effects of potentially modifiable risk factors associated with acute stroke in 32 countries (INTERSTROKE): a case-control study. Lancet. 2016;388:761–75. doi: 10.1016/S0140-6736(16)30506-2. [DOI] [PubMed] [Google Scholar]
- 4.Unger T, Borghi C, Charchar F, Khan NA, Poulter NR, Prabhakaran D, et al. 2020 International Society of Hypertension global hypertension practice guidelines. J Hypertens. 2020;38:982–1004. doi: 10.1097/HJH.0000000000002453. [DOI] [PubMed] [Google Scholar]
- 5.Wu MY, Ma XJ, Yang C, Tao X, Liu AJ, Su DF, et al. Effects of allisartan, a new AT1 receptor blocker, on blood pressure and end-organ damage in hypertensive animals. Acta Pharmacol Sin. 2009;30:307–13. doi: 10.1038/aps.2009.11. [DOI] [PMC free article] [PubMed] [Google Scholar]
- 6.Li Y, Li XH, Huang ZJ, Yang GP, Zhang GG, Zhao SP, et al. A randomized, double blind, placebo-controlled, multicenter phase II trial of allisartan isoproxil in essential hypertensive population at low-medium risk. PLoS ONE. 2015;10:e0117560. doi: 10.1371/journal.pone.0117560. [DOI] [PMC free article] [PubMed] [Google Scholar]
- 7.Zhang JQ, Yang GH, Zhou X, Liu JX, Shi R, Dong Y, et al. Effects of allisartan isoproxil on blood pressure and target organ injury in patients with mild to moderate essential hypertension. Medicine. 2019;98:e14907. doi: 10.1097/MD.0000000000014907. [DOI] [PMC free article] [PubMed] [Google Scholar]
- 8.Sica DA, Gehr TW, Ghosh S. Clinical pharmacokinetics of losartan. Clin Pharmacokinet. 2005;44:797–814. doi: 10.2165/00003088-200544080-00003. [DOI] [PubMed] [Google Scholar]
- 9.Liu Y, Wang H, Cheng Y, Sun J, Qiao J, Lu H, et al. A 26-week repeated-dose toxicity study of allisartan isoproxil in Sprague-Dawley rats. Drug Chem Toxicol. 2013;36:443–50. doi: 10.3109/01480545.2013.776580. [DOI] [PubMed] [Google Scholar]
- 10.Zeng J, Zhang Y, Mo J, Su Z, Huang R. Two-kidney, two clip renovascular hypertensive rats can be used as stroke-prone rats. Stroke. 1998;29:1708–13. doi: 10.1161/01.str.29.8.1708. [DOI] [PubMed] [Google Scholar]
- 11.Liu CL, Liao SJ, Zeng JS, Lin JW, Li CX, Xie LC, et al. dl-3n-butylphthalide prevents stroke via improvement of cerebral microvessels in RHRSP. J Neurol Sci. 2007;260:106–13. doi: 10.1016/j.jns.2007.04.025. [DOI] [PubMed] [Google Scholar]
- 12.Ogata J, Fujishima M, Tamaki K, Nakatomi Y, Ishitsuka T, Omae T. Stroke-prone spontaneously hypertensive rats as an experimental model of malignant hypertension. A pathological study. Virchows Arch A Pathol Anat Histol. 1982;394:185–94. doi: 10.1007/BF00430664. [DOI] [PubMed] [Google Scholar]
- 13.Chen LB, Liu T, Wu JX, Chen XF, Wang L, Fan CL, et al. Hypertonic perfusion reduced myocardial injury during subsequent ischemia and reperfusion in normal and hypertensive rats. Acta Pharmacol Sin. 2003;24:1077–82. [PubMed] [Google Scholar]
- 14.Liang YQ, Kakino A, Matsuzaka Y, Mashimo T, Isono M, Akamatsu T, et al. LOX-1 (lectin-like oxidized low-density lipoprotein receptor-1) deletion has protective effects on stroke in the genetic background of stroke-prone spontaneously hypertensive rat. Stroke. 2020;51:1835–43. doi: 10.1161/STROKEAHA.120.029421. [DOI] [PubMed] [Google Scholar]
- 15.Song SW, Liu AJ, Bai C, Su BL, Ma XJ, Shen FM, et al. Blood pressure reduction combining baroreflex restoration for stroke prevention in hypertension in rats. Front Pharmacol. 2010;1:6. doi: 10.3389/fphar.2010.00006. [DOI] [PMC free article] [PubMed] [Google Scholar]
- 16.Wang P, Vanhoutte PM, Miao CY. Visfatin and cardio-cerebro-vascular disease. J Cardiovasc Pharmacol. 2012;59:1–9. doi: 10.1097/FJC.0b013e31820eb8f6. [DOI] [PubMed] [Google Scholar]
- 17.Zhao Y, Liu X, Tian W, Guan Y, Wang P, Miao C. Extracellular visfatin has nicotinamide phosphoribosyltransferase enzymatic activity and is neuroprotective against ischemic injury. CNS Neurosci Ther. 2014;20:539–47. doi: 10.1111/cns.12273. [DOI] [PMC free article] [PubMed] [Google Scholar]
- 18.Su DF, Xu LP, Miao CY, Xie HH, Shen FM, Jiang YY. Two useful methods for evaluating antihypertensive drugs in conscious freely moving rats. Acta Pharmacol Sin. 2004;25:148–51. [PubMed] [Google Scholar]
- 19.Su DF, Cerutti C, Barrès C, Vincent M, Sassard J. Blood pressure and baroreflex sensitivity in conscious hypertensive rats of Lyon strain. Am J Physiol. 1986;251:H1111–7. doi: 10.1152/ajpheart.1986.251.6.H1111. [DOI] [PubMed] [Google Scholar]
- 20.Zhang W, Liu AJ, Yi-Ming W, Liu JG, Shen FM, Su DF. Pressor and non-pressor effects of sodium loading on stroke in stroke-prone spontaneously hypertensive rats. Clin Exp Pharmacol Physiol. 2008;35:83–8. doi: 10.1111/j.1440-1681.2007.04746.x. [DOI] [PubMed] [Google Scholar]
- 21.Liu AJ, Ma XJ, Shen FM, Liu JG, Chen H, Su DF. Arterial baroreflex: a novel target for preventing stroke in rat hypertension. Stroke. 2007;38:1916–23. doi: 10.1161/STROKEAHA.106.480061. [DOI] [PubMed] [Google Scholar]
- 22.Miao CY, Su DF. The importance of blood pressure variability in rat aortic and left ventricular hypertrophy produced by sinoaortic denervation. J Hypertens. 2002;20:1865–72. doi: 10.1097/00004872-200209000-00033. [DOI] [PubMed] [Google Scholar]
- 23.Miao CY, Yuan WJ, Su DF. Comparative study of sinoaortic denervated rats and spontaneously hypertensive rats. Am J Hypertens. 2003;16:585–91. doi: 10.1016/s0895-7061(03)00866-5. [DOI] [PubMed] [Google Scholar]
- 24.Fu YL, Tao L, Peng FH, Zheng NZ, Lin Q, Cai SY, et al. GJA1-20k attenuates Ang II-induced pathological cardiac hypertrophy by regulating gap junction formation and mitochondrial function. Acta Pharmacol Sin. 2021;42:536–49. doi: 10.1038/s41401-020-0459-6. [DOI] [PMC free article] [PubMed] [Google Scholar]
- 25.Mayes D, Furuyama S, Kem DC, Nugent CA. A radioimmunoassay for plasma aldosterone. J Clin Endocrinol Metab. 1970;30:682–5. doi: 10.1210/jcem-30-5-682. [DOI] [PubMed] [Google Scholar]
- 26.Wang JQ, Zou YH, Huang C, Lu C, Zhang L, Jin Y, et al. Protective effects of tiopronin against high fat diet-induced non-alcoholic steatohepatitis in rats. Acta Pharmacol Sin. 2012;33:791–7. doi: 10.1038/aps.2012.19. [DOI] [PMC free article] [PubMed] [Google Scholar]
- 27.Qi Q, Hu WJ, Zheng SL, Zhang SL, Le YY, Li ZY, et al. Metrnl deficiency decreases blood HDL cholesterol and increases blood triglyceride. Acta Pharmacol Sin. 2020;41:1568–75. doi: 10.1038/s41401-020-0368-8. [DOI] [PMC free article] [PubMed] [Google Scholar]
- 28.Zhang SL, Li ZY, Wang DS, Xu TY, Fan MB, Cheng MH, et al. Aggravated ulcerative colitis caused by intestinal Metrnl deficiency is associated with reduced autophagy in epithelial cells. Acta Pharmacol Sin. 2020;41:763–70. doi: 10.1038/s41401-019-0343-4. [DOI] [PMC free article] [PubMed] [Google Scholar]
- 29.Hosokawa Y. Effects of angiotensin receptor blocker and calcium channel blocker on experimental abdominal aortic aneurysms in a hamster model. Kurume Med J. 2010;57:1–8. doi: 10.2739/kurumemedj.57.1. [DOI] [PubMed] [Google Scholar]
- 30.Li K, Liu YY, Lv XF, Lin ZM, Zhang TT, Zhang FR, et al. Reduced intracellular chloride concentration impairs angiogenesis by inhibiting oxidative stress-mediated VEGFR2 activation. Acta Pharmacol Sin. 2021;42:560–72. doi: 10.1038/s41401-020-0458-7. [DOI] [PMC free article] [PubMed] [Google Scholar]
- 31.Zeng J, Huang R, Su Z. Stroke-prone renovascular hypertensive rats. Chin Med J. 1998;111:741–4. [PubMed] [Google Scholar]
- 32.Liao SJ, Huang RX, Su ZP, Zeng JS, Mo JW, Pei Z, et al. Stroke-prone renovascular hypertensive rat as an animal model for stroke studies: from artery to brain. J Neurol Sci. 2013;334:1–5. doi: 10.1016/j.jns.2013.07.2517. [DOI] [PubMed] [Google Scholar]
- 33.Ling G, Liu AJ, Shen FM, Cai GJ, Liu JG, Su DF. Effects of combination therapy with atenolol and amlodipine on blood pressure control and stroke prevention in stroke-prone spontaneously hypertensive rats. Acta Pharmacol Sin. 2007;28:1755–60. doi: 10.1111/j.1745-7254.2007.00630.x. [DOI] [PubMed] [Google Scholar]
- 34.Pires PW, Dams Ramos CM, Matin N, Dorrance AM. The effects of hypertension on the cerebral circulation. Am J Physiol Heart Circ Physiol. 2013;304:H1598–614. doi: 10.1152/ajpheart.00490.2012. [DOI] [PMC free article] [PubMed] [Google Scholar]
- 35.Zhou Y, Yang P, Zhang Y, Liu J. Posterior cerebral artery-posterior communicating artery (PCA-PComA) aneurysms: report of five cases and literature review. Neurol India. 2012;60:228–30. doi: 10.4103/0028-3886.96409. [DOI] [PubMed] [Google Scholar]
- 36.Yao LJ, Wang JQ, Zhao H, Liu JS, Deng AG. Effect of telmisartan on expression of protein kinase C-α in kidneys of diabetic mice. Acta Pharmacol Sin. 2007;28:829–38. doi: 10.1111/j.1745-7254.2007.00541.x. [DOI] [PubMed] [Google Scholar]
- 37.Dabul S, Bathgate-Siryk A, Valero TR, Jafferjee M, Sturchler E, McDonald P, et al. Suppression of adrenal βarrestin1-dependent aldosterone production by ARBs: head-to-head comparison. Sci Rep. 2015;5:8116. doi: 10.1038/srep08116. [DOI] [PMC free article] [PubMed] [Google Scholar]
- 38.Karnik SS, Unal H, Kemp JR, Tirupula KC, Eguchi S, Vanderheyden PM, et al. International Union of Basic and Clinical Pharmacology. XCIX. Angiotensin receptors: interpreters of pathophysiological angiotensinergic stimuli. Pharmacol Rev. 2015;67:754–819. doi: 10.1124/pr.114.010454. [DOI] [PMC free article] [PubMed] [Google Scholar]
- 39.Chen YF, Cowley AW, Jr., Zou AP. Increased H2O2 counteracts the vasodilator and natriuretic effects of superoxide dismutation by tempol in renal medulla. Am J Physiol Regul Integr Comp Physiol. 2003;285:R827–33. doi: 10.1152/ajpregu.00636.2002. [DOI] [PubMed] [Google Scholar]
- 40.Chen YF, Li PL, Zou AP. Oxidative stress enhances the production and actions of adenosine in the kidney. Am J Physiol Regul Integr Comp Physiol. 2001;281:R1808–16. doi: 10.1152/ajpregu.2001.281.6.R1808. [DOI] [PubMed] [Google Scholar]
- 41.Del Rio D, Stewart AJ, Pellegrini N. A review of recent studies on malondialdehyde as toxic molecule and biological marker of oxidative stress. Nutr Metab Cardiovasc Dis. 2005;15:316–28. doi: 10.1016/j.numecd.2005.05.003. [DOI] [PubMed] [Google Scholar]
- 42.Rey FE, Cifuentes ME, Kiarash A, Quinn MT, Pagano PJ. Novel competitive inhibitor of NAD(P)H oxidase assembly attenuates vascular O2− and systolic blood pressure in mice. Circ Res. 2001;89:408–14. doi: 10.1161/hh1701.096037. [DOI] [PubMed] [Google Scholar]
- 43.Miao CY, Zhu QY, Yang YC, Su DF. Antihypertensive effects of atenolol and nitrendipine alone or in combination on three hypertensive models of rats. Zhongguo Yao Li Xue Bao. 1992;13:448–51. [PubMed] [Google Scholar]
- 44.Xie HH, Miao CY, Jiang YY, Su DF. Synergism of atenolol and nitrendipine on hemodynamic amelioration and organ protection in hypertensive rats. J Hypertens. 2005;23:193–201. doi: 10.1097/00004872-200501000-00030. [DOI] [PubMed] [Google Scholar]
- 45.Yang YC, Yu H, Li YJ, Miao CY, Liu HX, Zhu QY, et al. The synergistic hypotensive action produced by combination of atenolol and nitrendipine. J Sec Mil Med Univ. 1994;15:33–7. [Google Scholar]
- 46.Su DF, Miao CY. Reduction of blood pressure variability: a new strategy for the treatment of hypertension. Trends Pharmacol Sci. 2005;26:388–90. doi: 10.1016/j.tips.2005.06.003. [DOI] [PubMed] [Google Scholar]
- 47.Carlberg B, Lindholm LH. Stroke and blood-pressure variation: new permutations on an old theme. Lancet. 2010;375:867–9. doi: 10.1016/S0140-6736(10)60351-0. [DOI] [PubMed] [Google Scholar]
- 48.Li Y, Feng Y, Liu L, Li X, Li X, Sun X, et al. The baroreflex afferent pathway plays a critical role in HS-mediated autonomic control of blood pressure regulation under physiological and hypertensive conditions. Acta Pharmacol Sin. 2020. 10.1038/s41401-020-00549-5. [DOI] [PMC free article] [PubMed]
- 49.Xu TY, Wang P, Tian JS, Qing SL, Wang SN, Huang YH, et al. Pharmacological characterization of MT-1207, a novel multitarget antihypertensive agent. Acta Pharmacol Sin. 2021. 10.1038/s41401-021-00636-1. [DOI] [PMC free article] [PubMed]
- 50.Writing Group of 2018 Chinese Guidelines for the Management of Hypertension, Chinese Hypertension League, Chinese Society of Cardiology, Chinese Medical Doctor Association Hypertension Committee, Hypertension Branch of China International Exchange and Promotive Association for Medical and Health Care, Hypertension Branch of Chinese Geriatric Medical Association. 2018 Chinese guidelines for the management of hypertension. Chin J Cardiovasc Med. 2019;24:25.
- 51.Abdi A, Johns EJ. The effect of angiotensin II receptor antagonists on kidney function in two-kidney, two-clip Goldblatt hypertensive rats. Eur J Pharmacol. 1997;331:185–92. [DOI] [PubMed]
Associated Data
This section collects any data citations, data availability statements, or supplementary materials included in this article.










