Abstract
Plant-bacteria consortia are more effective in bioremediation of petroleum contaminated soil than when either organism is used individually. The reason for this is that plant root exudates promote growth and activity of oil degrading bacteria. However, insufficient attention has been paid to the ability of bacteria to influence root exudation. Therefore, the influence of barley plants and/or bacterial inoculation (Pseudomonas hunanensis IB C7 and Enterobacter sp. UOM 3) on the content of organic acids, sugars and plant hormones in the eluate from clean and oil-polluted sand was studied separately or in combination. These strains are capable of oxidizing hydrocarbons and synthesizing auxins. Concentrations of organic acids and sugars were determined using capillary electrophoresis, and hormones by enzyme-linked immunosorbent assays. In the absence of plants, no sugars were detected in the sand, confirming that root exudates are their main source. Introducing bacteria into the sand increased total contents of organic compounds both in the presence and absence of oil. This increase could be related to the increase in auxin amounts in the sand eluate, as well as in plants. The results indicate that bacteria are able to increase the level of root exudation. Since auxins can promote root exudation, bacterial production of this hormone is likely responsible for increased concentrations of soluble organic compounds in the sand. Bacterial mediation of root exudation by affecting plant hormonal status should be considered when choosing microorganisms for phytoremediation.
Keywords: plant-bacteria association, petroleum contamination, phytoremediation, bacterial oil degradation, root exudates, phytohormones, Enterobacter, Pseudomonas, Hordeum vulgare L.
1. Introduction
Deposition of soluble organic compounds into the soil in the form of root exudates plays an important role in stimulating the growth and reproduction of bacteria in the rhizosphere, since secretion of nutrients provides nitrogen and carbon sources to soil microorganisms [1,2,3]. Root exudation was shown to be increased by stress, contributing to bacterial growth under unfavorable environments [4,5]. In particular, soluble organic compounds produced by plants and exuded by their roots into the rhizosphere provide microorganisms with a source of energy for the oxidation of toxic oil hydrocarbons, thereby increasing the efficiency of oil biodegradation. [6,7,8]. At the same time, the effectiveness of plant-bacteria associations during the process of phytoremediation is determined by their interaction. Plants not only provide bacteria with root exudates, but bacteria can also influence the growth of plant roots [9] thereby determining the process of exudation [6,10]. Hormones produced by bacteria play an important role in this regard. It has been shown that auxins [11] and cytokinins [12] increase root exudation. Although exudation was previously assumed to be a passive process via diffusion [13,14] depending only on the size of the root system [15], nowadays researchers are inclined to believe that plants are able to control the level of root exudation by changing the activity of carrier proteins of sugars and other organic compounds [16]. In experiments with Arabidopsis plants, a decrease in exudation was shown in the mutant with a defective ABC transporter (ATP-binding cassette transporters) [17]. Since the plant hormone auxin can activate ATPases [18], indole-3-acetic acid (IAA, a plant auxin) produced by bacteria may be involved in the regulation of ATPase dependent root exudation. However, when soil was contaminated with oil, the relationship between auxin production and root exudation has not yet been studied. Plant growth was shown to be influenced by some bacterial strains from genera Pseudomonas and Enterobacter, which are capable of oxidising oil hydrocarbons and producing auxins [19,20,21]. Their growth promoting effect was not only due to a decrease in the toxicity of oil components, but also to the immediate effect of bacteria on plant growth brought about by their ability to produce plant hormones [20,22]. However, effects of these bacterial strains on root exudation have not been studied under normal conditions and oil pollution.
This work aims to reveal the effects of P. hunanensis IB C7 and Enterobacter sp. UOM 3 on the accumulation of organic acids and sugars in the substrate under conditions of oil pollution and the presence of barley seedlings. These strains were characterized by a relatively high activity in oxidation of oil components and ability to produce IAA [20]. Taking into account the presumptive role of hormones in the regulation of root exudation, the concentration of hormones in the substrate solution and in plants was analyzed.
2. Results
2.1. Bacterial Abundance in the Sand
Throughout the experiment, in the treatment without bacterial inoculation, bacterial number in the sand was low. The number of heterotrophic and hydrocarbon-oxidizing bacteria in the sand sharply increased upon inoculation with the tested bacterial strains. These results suggest that the introduced strains made the main contribution to the total number of microorganisms (Table 1). At the end of experiments, treatments without oil had a high abundance of both P. hunanensis IB C7 and Enterobacter sp. UOM 3. (Table). In the presence of oil, the abundance of both oil degrading bacteria P. hunanensis IB C7 and Enterobacter sp. UOM 3 increased 5 and 10 times on the 14th day, respectively.
Table 1.
The number of bacteria in the sand, CFU g−1.
| Group of Microorganisms |
Treatments | |||
|---|---|---|---|---|
| Without Bacteria | Enterobacter sp. UOM 3 | P. hunanensis IB C7 | ||
| Without Oil | ||||
| Heterotrophic | 1 day | 0 | (2.23 ± 0.13) × 106 | (1.89 ± 0.13) × 106 |
| 14 days | 5.98 ± 0.22 | (1.28 ± 0.09) × 105 | (2.51 ± 0.10) × 105 | |
| Hydrocarbon-oxidizing | 1 day | 0 | (2.12 ± 0.11) × 106 | (1.90 ± 0.12) × 106 |
| 14 days | 0 | (0.54 ± 0.12) × 105 | (1.42 ± 0.10) × 105 | |
| 2% oil | ||||
| Heterotrophic | 1 day | 0 | (2.49 ± 0.11) × 106 | (2.92 ± 0.09) × 106 |
| 14 days | 9.11 ± 0.19 | (4.14 ± 0.08) × 107 | (1.56 ± 0.12) × 107 | |
| Hydrocarbon-oxidizing | 1 day | 0 | (2.52 ± 0.08) × 106 | (2.79 ± 0.13) × 106 |
| 14 days | 5.13 ± 0.21 | (3.08 ± 0.12) × 107 | (1.33 ± 0.09) × 107 | |
2.2. Content of Organic Acids in the Sand Eluate
In eluates from unplanted sand with introduced bacteria, only malic acid was detected at a low concentration (about 2 μg kg−1), while the presence of other organic acids and sugars was not detected. The eluate from planted soil was characterized by even lower content of malic acid (less than 1.25 μg kg−1) (data not shown in the table). Without bacterial inoculation, succinic acid dominated in the planted sand, comprising about 50% of the total of all organic acids, while lactic acid was absent (Figure 1).
Figure 1.
Content of organic acids in pots planted with barley, μg kg−1 of sand. UOM 3 and IB C7—treatments with introduction of Enterobacter sp. UOM 3 and P. hunanensis IB C7, respectively. Statistically different means for each organic acid (n = 9) are marked with different letters (p ≤ 0.05).
Introducing bacteria greatly (more than ten times) decreased succinic acid content in the sand, increased citric acid content and led to the appearance of lactic acid, which was not found in planted sand not inoculated with bacteria (Figure 1). Lactic acid contents were higher with Enterobacter sp. UOM 3 rather than P. hunanensis IB C7 inoculation. In the absence of oil, the amount of citric acid increased under the influence of Enterobacter sp. UOM 3 and P. hunanensis IB C7 by 1.7 and 2.4 times, respectively, and its percentage in the total content of identified organic acids increased to 60 and 80%, respectively.
Under oil contamination, the total amount of organic acids detected in the sand increased by about 20%, while the citric acid content increased by 35% in sand without introduced bacteria. The content of oxalic acid was increased almost doubled by the presence of oil, but since its content in the sand was an order of magnitude lower than that of citric acid; its contribution to the pool of organic acids was small. Introducing bacteria into petroleum-contaminated sand was accompanied by an additional increase in the content of citric acid by 22% in the sand with Enterobacter sp. UOM 3 and 74% in the case of P. hunanensis IB C7.
2.3. Content of Monosaccharides in the Sand Eluate
The total content of monosaccharides in the sand eluate was an order of magnitude higher than that of organic acids (Figure 2). The level of fructose increased under the influence of both bacteria and the presence of oil, while maltose, on the contrary, decreased 2.6–2.7 times if bacteria and oil were present simultaneously. The increase in the fructose content under the influence of the P. hunanensis IB C7 strain was 32% with oil contamination, and 21% without. In the absence of oil, P. hunanensis IB C7 inoculation significantly increased glucose content, while in the presence of oil its content was increased by both strains. In general, treatment with P. hunanensis IB C7 was more effective than Enterobacter sp. UOM 3.
Figure 2.
Content of sugars in pots planted with barley, μg kg−1 of sand. UOM 3 and IB C7—treatments with introduction of Enterobacter sp. UOM 3 and P. hunanensis IB C7, respectively. Statistically different means for each sugar (n = 9) are marked with different letters (p ≤ 0.05)
2.4. Content of Hormones in the Sand Eluate and in Plants
Cytokinins were not detected in the eluate from the unplanted sand, while ABA content was at the limit of the method’s sensitivity (data for the content of these hormones in unplanted sand are not shown). In the presence of plants, contents of these hormones remained low (no more than 12.5 μg kg−1 for cytokinins and 75 μg kg−1 for ABA) (Figure 3). The amount of cytokinins decreased, while ABA increased under the influence of oil pollution (Figure 3). In planted oil-polluted sand, ABA content was three times higher than without oil, when bacteria were absent.
Figure 3.
Cytokinin (Z+ZR) and ABA content pots planted with barley, ng kg−1 of sand. UOM 3 and IB C7—treatments with introduction of Enterobacter sp. UOM 3 and P. hunanensis IB C7, respectively. Statistically different means for each hormone (n = 9) are marked with different letters (p ≤ 0.05).
The IAA content in the eluate from the planted sand was about 500 ng kg−1, which is an order of magnitude higher than that of ABA and cytokinins (Figure 4). It increased in the presence of oil to 1625 ng kg−1, but bacterial treatment influenced IAA concentrations only in the absence of oil, when IAA increased two times compared with the treatment without bacteria. A similar increase was detected when either strain was used. In clean unplanted sand with introduced bacteria, IAA content was 20 times lower than in the presence of plants. Oil pollution increased the amount of IAA in unplanted, but inoculated sand up to 500 ng kg−1.
Figure 4.
Indole-3-acetic acid content in pots planted and unplanted with barley, ng kg−1 of sand. UOM 3 and IB C7—treatments with introduction of Enterobacter sp. UOM 3 and P. hunanensis IB C7, respectively. Statistically different means (n = 9) are marked with different letters (p ≤ 0.05).
The content of auxins in plants mainly increased under the influence of either oil or bacterial treatment (Figure 5). When grown in petroleum contaminated sand, root IAA concentration of plants inoculated with P. hunanensis IB C7 was almost 2 times higher than in plants grown without bacteria.
Figure 5.
Indole-3-acetic acid content in shoots and roots of barley plants (ng g−1 fresh weight). UOM 3 and IB C7—treatments with introduction of Enterobacter sp. UOM 3 and P. hunanensis IB C7, respectively. Statistically different means (n = 9) are marked with different letters (p ≤ 0.05).
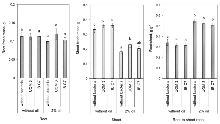
2.5. Effect of Oil on Shoots and Roots Biomass
The presence of oil greatly decreased shoot mass compared to plants that grew in clean sand, but did not affect the mass of the roots, resulting in an increased root-to shoot ratio (Figure 6).
Figure 6.
Root and shoot mass and root:shoot ratio in barley plants. UOM 3 and IB C7—treatments with introduction of Enterobacter sp. UOM 3 and P. hunanensis IB C7, respectively. Statistically different means for each characteristic (n = 18) are marked with different letters (p ≤ 0.05).
3. Discussion
Bacterial abundance in the sand was mostly due to the introduced strains. By the end of the experiment, the number of introduced microorganisms remained at a high level in the treatment without oil, indicating their high survival rate in the rhizosphere of barley. As expected, the introducing oil into the sand stimulated the growth of microorganisms that degrade hydrocarbons, in accordance with the literature [23,24].
The absence of sugars and most organic acids in unplanted sand agrees with reports that plants serve as the primary source of soluble organic compounds in the rhizosphere [25], confirming the reliability of the measurements. At the same time, introducing bacteria into the rhizosphere affected the composition of organic compounds: the content of succinic acid in the eluate from the sand sharply decreased, while that of citric acid increased, and lactic acid appeared. Bacterial introduction also increased fructose and glucose concentrations, although to a lesser extent than that of organic acids. In the presence of oil, concentrations of organic compounds also increased, consistent with literature data of an increase in root exudation under stress conditions [4,5]. The increase in the content of organic acids under the influence of oil pollution was more noticeable when plants were bacterized.
Bacterial metabolism (synthesis of some compounds and catabolism of others) may influence compositional changes in the organic compounds. Petroleum hydrocarbons can serve as the source for the synthesis of organic compounds. In this way, acylCoA produced as a result of β-oxidation of aliphatic chains of petroleum hydrocarbons enters the Krebs cycle and can contribute to the accumulation of citric acid [26]. Greater increase in citric acid in the pool of organic acids in the eluate from sand was detected against the background of introducing the Pseudomonas strain. Interestingly, bacteria of this genus produce chemotactic peptides that react with citric acid, thereby promoting bacterial attraction to the root surface and its colonization [6]. In the presence of oil and bacteria, maltose concentration in the eluate sharply decreased, which may indicate active microbial utilization of this sugar under stressful conditions to support bacterial growth. Introducing bacteria increased glucose and fructose concentrations, suggesting that bacterial promotion of root exudation of these compounds outweighed their consumption by bacteria. According to some reports, adding glucose to the incubation medium increases bacterial ability to degrade oil components [27]. Although in the present experiments the increase in glucose concentration under the influence of oil pollution was less than that of fructose, it is possible that the lesser glucose increment reflects its more active metabolism by bacteria than that of fructose.
The changes in the composition of organic constituents in the eluate from sand may result not only from the metabolic activity of bacteria, but also due to changes in the quantity and quality of root exudates secreted by plants. Thus concentration of root exudates increased under the influence of oil in the absence of introduced bacteria (Figure 1 and Figure 2).
Although the role of root exudates in the regulation of bacterial abundance and activity is well known [1,2,3], less attention has been paid to the reverse effect of bacteria on root exudation, and there is little information on how bacteria can alter root exudation [4,13]. The results obtained in the present experiments confirm that bacteria can increase root exudation both in the presence and absence of oil in the sand. It was important to relate these effects to the changes in hormone content in the sand and plants. While cytokinins produced by Bacillus subtilis stimulate exudation of amino acids [12], against the background of oil pollution, no change in cytokinin levels were detected in barley plants [21], and concentrations of cytokinins in the eluate from the sand were low (Figure 3). Therefore, the results of IAA analysis were of greater interest.
Auxins can be produced by both plants and bacteria and can increase root exudation [11]. Interestingly, the increase in the concentration of IAA either in the eluate from sand or in the plants themselves was detected in oil-contaminated sand, which was accompanied by and may indeed cause an increase in concentration of soluble organic compounds in the sand. Auxins’ effects on root exudation may be due to their influence on root growth [28]. Root mass was increased by oil pollution when barley plants were grown in soil [21]. However, in the present experiments carried out in a sand culture, root mass did not increase in stressed plants (Figure 6). Therefore, the increase in the concentration of organic compounds detected in the present experiments in the eluate from the sand reflects changes in root exudation independent of root mass. Involvement of putative plant transporters in root exudation of sugars and organic acids has been recently reviewed [29]. Auxin can activate membrane ATPase [18,30], enabling the transport of substances against their concentration gradient [16]. Sugars are transported in symport with hydrogen ions accumulated in the apoplast due to plasma membrane H+−ATPase activity [31]. Several researchers argue that the root exudation of sugars is passive [16]. However, an increase in auxin concentration promotes the outflow of sugars to the roots [32], which should affect root exudation. Furthermore, plants are able to control root exudation by regulating activity of transporters, including ATP-binding cassette transporters [2,17].
Both bacterial strains were able to synthesize auxins [20]. However, IAA levels in the eluate from sand with bacteria was low in the absence of plants (Figure 5). Nevertheless exudation of some endogenous plant signals may enhance auxin production by bacteria growing in the vicinity of the roots [33]. Therefore, it is not surprising that IAA concentrations in the eluate from the sand increased as a result of bacterization (in the absence of oil) (Figure 4), which could contribute to increased root exudation resulting in higher concentration of organic compounds in the sand eluate (Figure 1 and Figure 2). However, no bacteria-induced increase in IAA concentration was detected in the eluate from petroleum contaminated sand. At the same time, plant IAA concentrations increased both under the influence of oil and bacterization (Figure 5). Obviously, in the non-bacterial treatment, the petroleum induced increase in IAA content both in the eluate and in plants was a consequence of plant auxin synthesis. However, the additional bacteria-induced auxin increment in planta may be explained by the ability of bacteria to produce auxin and its uptake by plants. Although bacterization did not increase IAA level in the eluate from petroleum contaminated sand, bacterial activation of plant auxin uptake [34] may enhance plant IAA levels.
4. Materials and Methods
4.1. Plant Growth Conditions and Treatments
Barley plants (Hordeum vulgare L., cv. Chelyabinskiy 99) were used to study the effects of plant-bacteria association on soluble organic compounds in a sand growing substrate in the presence and absence of petroleum. In preliminary experiments comprising 6 plant species, barley was chosen as the most petroleum-resistant and the most responsive to bacterial inoculation in terms of growth promoting effect [20]. Six barley seedlings, whose coleoptile had a length of 0.5–1 cm, were planted in each 500 mL vessel with clean or oil-contaminated sand. The sand had already been sterilized by calcinations to prevent introduction of undesirable bacteria and saturated with Hoagland-Arnon solution containing 0.5 mM KNO3, 0.5 mM Ca(NO3)2, 0.1 mM KH2PO4, 0.1 mM MgSO4 and essential microelements. Germinated seedlings were sprinkled on top of the sand with an appropriate substrate and placed on a light platform equipped with red (650 nm), blue (470 nm) and white LEDs (in a ratio of 5:1:1), providing illumination of 240 μmol m−2 s−1 PAR. Throughout the experiment, the plants grew at a temperature of 22–26 °C and a 14-h photoperiod. Petroleum pollution of the soil was achieved by adding oil (Ural brand) up to 2% by weight to dry sand after which the mixture was uniformly mixed for 20 min. Water content was maintained at 60–90% of sand water-holding capacity by daily replenishing evapotranspiration losses. Before planting in the soil containing oil or without it, the barley seedlings were soaked for 20 min in a liquid culture of P. hunanensis IB C7 and Enterobacter sp. UOM 3 diluted with water to 106 CFU g−1. Bacterial liquid cultures were additionally added into the sand to reach concentration of 2–3 × 106 CFU g−1. Two weeks after the start of experiment, shoot and root biomass of barley plants were measured.
4.2. Bacterial Strains and Culture Media
Bacterial strains of P. hunanensis IB C7 and Enterobacter sp. UOM 3 have been previously selected from the collection of Ufa Institute of Biology, Ufa Federal Research Centre, Russian Academy of Sciences (UIB UFRC RAS) as being capable of oxidizing oil products and accumulating indole-3-acetic acid (IAA) in vitro [20,35]. Bacteria were cultured for 72 h in meat-peptone broth (g L−1): peptone—5, NaCl—5, at a temperature of 28 °C; aeration of the medium was provided by rotating flasks (160 rpm) in an orbital shaker-incubator ES-20/60 (SIA BIOSAN, Riga, Latvia). The number of cells in the culture was measured by applying serial dilutions to the nutrient agar (g L−1): peptone—10, yeast extract—3, NaCl—5, glucose—1, agar-agar—15 and then counting the number of colony forming units (CFU).
In order to estimate the microbial counts in sand, a serial dilution of sand eluate was used. The number of heterotrophic microorganisms was measured by application to the nutrient agar (see above). For measuring the number of petroleum degrading bacteria, Raymond agar (g L−1): NH4NO3 − 2.0, MgSO4 × 7H2O − 0.2, KH2PO4 − 2.0, Na2HPO4 − 3, CaCl2 × 6H2O − 0.01, Na2CO3 − 0.1, agar-agar − 15, pH − 7.0, supplemented with 0.1 g diesel fuel as the only source of carbon, smeared on the agar surface of each plate was used. The incubation period at 28 °C was five days on the Raymond agar plate and three days on nutrient agar. The average number of colonies was calculated in ten agar plates.
4.3. Analysis of the Content of Organic Acids and Monosaccharides in the Sand Eluate
Two weeks after shoot emergence, contents of organic acids and sugars in eluates from sand were evaluated. To collect sand eluates, 50 mL of distilled water was poured in portions onto the surface of the sand and the eluate flowing out of the vessel was collected, in which the contents of organic compounds were determined in 100 µL per sample (weight/vessel). The analysis of sugars and organic acids in soil solutions and plant extracts was carried out using the method of capillary electrophoresis [36,37] and this method was used in the present research. The instructions of the manufacturer of a Kapel-104 RT system (Lumex, St. Petersburg, Russia) with an ultraviolet detector, wavelength of 254 nm, quartz capillary with an effective length of 0.5 m and an inner diameter of 75 × 10−6 m were followed. Benzimidazole was used as electrolyte for the analysis of organic acids, while for the carbohydrates an electrolyte containing 0.5% potassium sorbate, 0.62% cetyltrimethylammonium bromide and 0.02% potassium hydroxide was used. The samples were inserted hydrodynamically with a pressure of 30 mbar for 5 s, in the case of sugars and 150 mbar for 1 s in the case of organic acids. The recommended negative voltage is 16 kV (for sugars) and 20 kV (for organic acids). The results were processed using the software “Multichrom for Windows, version 1.5” (LLC “Ampersand”, Moscow, Russia) according to the peaks obtained on electrophoregrams. Before analysis, samples containing plant root exudates were filtered through membrane filters with pores of 0.22 μm. Figure 7 shows the separation of the analyzed components.
Figure 7.
Electrophoregrams of a standard mixtures of organic acids (40 mg L−1 each) and sugars (500 mg L−1 each).
4.4. Hormone Measurement
Two weeks after shoot emergence, the concentrations of IAA in shoots and roots of barley and in eluates from sand were evaluated. Five plants were pooled, then extracted with 80% ethanol for 16 h. After evaporation of the alcohol, IAA was partitioned from the aqueous residue into diethyl ether as decribed [31,38]. Indole-3-acetic acid and abscisic acid were partitioned from 5 mL of the sand eluate in the same way. Cytokinins (zeatin and its riboside) from sand eluate were purified as described [12]. Concentrations of hormones were measured by ELISA using the appropriate antibodies [39,40,41].
4.5. Statistical Analysis
The data were processed using the Statistica version 10 software (Statsoft, Moscow, Russia). In figures and tables, data are presented as mean ± standard error. The significance of differences was assessed by ANOVA followed by Duncan’s test (p ≤ 0.05).
5. Conclusions
Barley root exudation increased the concentrations of organic compounds in the sand and supplied the introduced bacteria with a substrate to allow growth. Addition of petroleum to the sand increased root exudation in parallel with an increase in abundance of introduced hydrocarbon degrading bacteria (Pseudomonas hunanensis IB C7 and Enterobacter sp. UOM 3) which should increase the efficiency of detoxification of petroleum hydrocarbons. The presence of bacteria increased concentration of organic compounds in the sand both in the absence of oil and in its presence suggesting that bacteria were capable of stimulating root exudation, thereby increasing substrate availability for their own growth. Bacteria increased concentrations of organic compounds in the sand solution, which was accompanied by and might be due to an increase in concentration of IAA detected both in the sand and barley plants. Although IAA likely exerted its effect by activating ATPases involved in the function of the ABC transporter, verifying this assumption should be a future research goal.
Acknowledgments
We are grateful to S. Veselov (Bashkir State University, Ufa Russia) for development of the test systems for hormone immunoassay and to Ian Dodd (Lancaster University, UK) for improving presentation of our results.
Author Contributions
S.C., L.V., M.B. and T.K. designed the study and analyzed the data. L.V., E.K., G.R. and D.C. performed the experiments. G.K. wrote the manuscript. L.V. and T.A. performed measurements of hormones. G.H. performed measurement of organic compounds with capillary electrophoresis. All authors have read and agreed to the published version of the manuscript.
Funding
This research was funded by Russian Foundation for Basic Research, grant number 18-29-05025, in the part of the hormone and plant studies. The study was partly supported by funding the theme № AAAA-A19-119021390081-1 and № AAAA-A18-118022190100-9 by Ministry of Science and Higher Education of the Russian Federation. This study was carried out using the equipment of the Regional Center for Shared Use «Agidel».
Institutional Review Board Statement
Ethical review and approval were waived for this study, not involving humans or animals.
Informed Consent Statement
Not applicable.
Data Availability Statement
The data presented in this study are available in the article.
Conflicts of Interest
The authors declare no conflict of interest.
Footnotes
Publisher’s Note: MDPI stays neutral with regard to jurisdictional claims in published maps and institutional affiliations.
References
- 1.Bais H.P., Weir T.L., Perry L.G., Gilroy S., Vivanco J.M. The role of root exudates in rhizosphere interactions with plants and other organisms. Annu. Rev. Plant. Biol. 2006;57:233–266. doi: 10.1146/annurev.arplant.57.032905.105159. [DOI] [PubMed] [Google Scholar]
- 2.Badri D.V., Vivanco L.M. Regulation and function of root exudates. Plant. Cell Environ. 2009;32:666–681. doi: 10.1111/j.1365-3040.2009.01926.x. [DOI] [PubMed] [Google Scholar]
- 3.Huang X.F., Chaparro J.M., Reardon K.F., Zhang R., Shen Q., Vivanco J.M. Rhizosphere interactions: Root exudates, microbes, and microbial communities. Botany. 2014;92:267–275. doi: 10.1139/cjb-2013-0225. [DOI] [Google Scholar]
- 4.Shaposhnikov A.I., Puhalsky I.V., Kravchenko L.V., Belimov A.A. Role of Root Exudation in Trophic Interactions of Plants with Rhizosphere Microorganisms. Inform-Navigator Press; St. Petersburg, Russia: 2016. 104p [Google Scholar]
- 5.Williams A., De Vries F.T. Plant root exudation under drought: Implications for ecosystem functioning. New Phytol. 2020;225:1899–1905. doi: 10.1111/nph.16223. [DOI] [PubMed] [Google Scholar]
- 6.Rohrbacher F., St-Arnaud M. Root exudation: The ecological driver of hydrocarbon rhizoremediation. Agronomy. 2016;6:19. doi: 10.3390/agronomy6010019. [DOI] [Google Scholar]
- 7.Correa-García S., Pande P., Séguin A., St-Arnaud M., Yergeau E. Rhizoremediation of petroleum hydrocarbons: A model system for plant microbiome manipulation. Microb. Biotechnol. 2018;11:819–832. doi: 10.1111/1751-7915.13303. [DOI] [PMC free article] [PubMed] [Google Scholar]
- 8.Allamin I.A., Halmi M.I.E., Yasid N.A., Ahmad S.A., Abdullah S.R.S., Shukor Y. Rhizodegradation of petroleum oily sludge-contaminated soil using Cajanus cajan increases the diversity of soil microbial community. Sci. Rep. 2020;10:4094. doi: 10.1038/s41598-020-60668-1. [DOI] [PMC free article] [PubMed] [Google Scholar]
- 9.Gorovtsov A., Vishnu R., Minkina T., Mandzhieva S., Sushkova S., Kornienko I., Grigoryeva T.C., Chokheli V., Aleshukina I., Zinchenko V., et al. The role of biochar-microbe interaction in alleviating heavy metal toxicity in Hordeum vulgare L. grown in highly polluted soils. Appl. Geochem. 2019;104:93–101. doi: 10.1016/j.apgeochem.2019.03.017. [DOI] [Google Scholar]
- 10.Asemoloye M.D., Jonathan S.G., Ahmad R. Synergistic plant-microbes interactions in the rhizosphere: A potential headway for the remediation of hydrocarbon polluted soils. Int. J. Phytoremed. 2019;21:71–83. doi: 10.1080/15226514.2018.1474437. [DOI] [PubMed] [Google Scholar]
- 11.Wittenmayer L., Merbach W. Plant responses to drought and phosphorus deficiency: Contribution of phytohormones in root-related processes. J. Plant. Nutr. Soil Sci. 2005;168:531–540. doi: 10.1002/jpln.200520507. [DOI] [Google Scholar]
- 12.Kudoyarova G.R., Melentiev A.I., Martynenko E.V., Timergalina L.N., Arkhipova T.N., Shendel G.V., Kuz’mina L.Y., Dodd I.C., Veselov S.Y. Cytokinin producing bacteria stimulate amino acid deposition by wheat roots. Plant Physiol. Biochem. 2014;83:285–291. doi: 10.1016/j.plaphy.2014.08.015. [DOI] [PubMed] [Google Scholar]
- 13.Matilla M.A., Ramos J.L., Bakker P.A.H.M., Doornbos R., Badri D.V., Vivanco J.M., Ramos-González M.I. Pseudomonas putida KT2440 causes induced systemic resistance and changes in Arabidopsis root exudation. Environ. Microbiol. Rep. 2010;2:381–388. doi: 10.1111/j.1758-2229.2009.00091.x. [DOI] [PubMed] [Google Scholar]
- 14.Bertin C., Yang X., Weston L.A. The role of root exudates and allelochemicals in the rhizosphere. Plant Soil. 2003;256:67–83. doi: 10.1023/A:1026290508166. [DOI] [Google Scholar]
- 15.Garcia J.A.L., Barbas C., Probanza A., Barrientos M.L., Manero F.J.G. Low molecular weight organic acids and fatty acids in root exudates of two Lupinus cultivars at flowering and fruiting stages. Phytochem. Anal. 2001;12:305–311. doi: 10.1002/pca.596. [DOI] [PubMed] [Google Scholar]
- 16.Canarini A., Kaiser C., Merchant A., Richter A., Wanek W. Root exudation of primary metabolites: Mechanisms and their roles in plant responses to environmental stimuli. Front. Plant Sci. 2019;10:157. doi: 10.3389/fpls.2019.00157. [DOI] [PMC free article] [PubMed] [Google Scholar]
- 17.Badri D.V., Loyola-Vargas V.M., Broeckling C.D., De-la-Peña C., Jasinski M., Santelia D., Martinoia E., Sumner L.W., Banta L.M., Stermitz F., et al. Altered profile of secondary metabolites in the root exudates of Arabidopsis ATP-binding cassette transporter mutants. Plant Physiol. 2008;146:762–771. doi: 10.1104/pp.107.109587. [DOI] [PMC free article] [PubMed] [Google Scholar]
- 18.Takahashi K., Hayashi K., Kinoshita T. Auxin activates the plasma membrane H+-ATPase by phosphorylation during hypocotyl elongation in Arabidopsis. Plant Physiol. 2012;159:632–641. doi: 10.1104/pp.112.196428. [DOI] [PMC free article] [PubMed] [Google Scholar]
- 19.Bakaeva M.D., Kuzina E.V., Rafikova G.F., Chetverikova D.V., Stolyarova E.A., Muhamatd’yarova S.R., Kudoyarova G.R. The influence of bacteria-destructors hydrocarbons of petroleum on germination and growth of plants. Ecobiotech. 2019;2:175–183. doi: 10.31163/2618-964X-2019-2-2-175-183. [DOI] [Google Scholar]
- 20.Bakaeva M., Kuzina E., Vysotskaya L., Kudoyarova G., Arkhipova T., Rafikova G., Chetverikov S., Korshunova T., Chetverikova D., Loginov O. Capacity of Pseudomonas strains to degrade hydrocarbons, produce auxins and maintain plant growth under normal conditions and in the presence of petroleum contaminants. Plants. 2020;9:379. doi: 10.3390/plants9030379. [DOI] [PMC free article] [PubMed] [Google Scholar]
- 21.Vysotskaya L.B., Akhtyamova Z.A., Arkhipova T.N., Kuzina E.V., Rafikova G.F., Feoktistova A.V., Timergalina L.N., Chetverikova D.V., Bakaeva M.D. The influence of the association of barley plants with bacteria destructors of oil on the hormone content and growth of barley plants against the background of oil pollution. Ecobiotech. 2020;3:51–58. doi: 10.31163/2618-964X-2020-3-1-51-58. [DOI] [Google Scholar]
- 22.Vysotskaya L.B., Arkhipova T.N., Kudoyarova G.R., Veselov S.Y. Dependence of growth inhibiting action of increased planting density on capacity of lettuce plants to synthesize ABA. J. Plant Physiol. 2018;220:69–73. doi: 10.1016/j.jplph.2017.09.011. [DOI] [PubMed] [Google Scholar]
- 23.Liao J., Wang J., Huang W.Y. Bacterial community features are shaped by geographic location, physicochemical properties, and oil contamination of soil in main oil fields of China. Microb. Ecol. 2015;70:380–389. doi: 10.1007/s00248-015-0572-0. [DOI] [PubMed] [Google Scholar]
- 24.Korshunova T.Y., Chetverikov S.P., Bakaeva M.D., Kuzina E.V., Rafikova G.F., Chetverikova D.V., Loginov O.N. Microorganisms in the elimination of oil pollution consequences (review) Appl. Biochem. Microbiol. 2019;55:344–354. doi: 10.1134/S0003683819040094. [DOI] [Google Scholar]
- 25.Gunina A., Kuzyakov Y. Sugars in soil and sweets for microorganisms: Review of origin, content, composition and fate. Soil Biol. Biochem. 2015;90:87–100. doi: 10.1016/j.soilbio.2015.07.021. [DOI] [Google Scholar]
- 26.Truskewycz A., Gundry T.D., Khudur L.S., Kolobaric A., Taha M., Aburto-Medina A., Ball A.S., Shahsavari E. Petroleum hydrocarbon contamination in terrestrial ecosystems–fate and microbial responses. Molecules. 2019;24:3400. doi: 10.3390/molecules24183400. [DOI] [PMC free article] [PubMed] [Google Scholar]
- 27.Li X., Wang X., Wan L., Zhang Y., Li N., Li D., Zhou Q. Enhanced biodegradation of aged petroleum hydrocarbons in soils by glucose addition in microbial fuel cells. J. Chem. Technol. Biotechnol. 2016;91:267–275. doi: 10.1002/jctb.4660. [DOI] [Google Scholar]
- 28.Kudoyarova G.R., Vysotskaya L.B., Arkhipova T.N., Kuzmina L.Y., Galimsyanova N.F., Sidorova L.V., Gabbasova I.M., Melentiev A.I., Veselov S.Y. Effect of auxin producing and phosphate solubilizing bacteria on mobility of soil phosphorus, growth rate, and P acquisition by wheat plants. Acta Physiol. Plant. 2017;39:253. doi: 10.1007/s11738-017-2556-9. [DOI] [Google Scholar]
- 29.Sasse J., Martinoia E., Northen T. Feed your friends: Do plant exudates shape the root microbiome? Trends Plant Sci. 2018;23:25–41. doi: 10.1016/j.tplants.2017.09.003. [DOI] [PubMed] [Google Scholar]
- 30.Altabella T., Palazon J., Ibarz E., Piñol M.T., Serrano R. Effect of auxin concentration and growth phase on the plasma membrane H+-ATPase of tobacco calli. Plant Sci. 1990;70:209–214. doi: 10.1016/0168-9452(90)90135-B. [DOI] [Google Scholar]
- 31.Bouche-Pillon S., Fleurat-Lessard P., Fromont J.C., Serrano R., Bonnemain J.L. Immunolocalization of the plasma membrane H+ -ATPase in minor veins of Vicia faba in relation to phloem loading. Plant Physiol. 1994;105:691–697. doi: 10.1104/pp.105.2.691. [DOI] [PMC free article] [PubMed] [Google Scholar]
- 32.Li Z., Zhang X., Zhao Y., Li Y., Zhang G., Peng Z., Zhang J. Enhancing auxin accumulation in maize root tips improves root growth and dwarfs plant height. Plant Biotechnol. J. 2018;16:86–99. doi: 10.1111/pbi.12751. [DOI] [PMC free article] [PubMed] [Google Scholar]
- 33.Spaepen S., Vanderleyden J., Remans R. Indole-3-acetic acid in microbial and microorganism-plant signaling. FEMS Microbiol. Rev. 2007;31:425–448. doi: 10.1111/j.1574-6976.2007.00072.x. [DOI] [PubMed] [Google Scholar]
- 34.Poupin M.J., Greve M., Carmona V., Pinedo I. A complex molecular interplay of auxin and ethylene signaling pathways is involved in Arabidopsis growth promotion by Burkholderia phytofirmans PsJN. Front. Plant Sci. 2016;7:492. doi: 10.3389/fpls.2016.00492. [DOI] [PMC free article] [PubMed] [Google Scholar]
- 35.Chetverikov S.P., Bakaeva M.D., Korshunova T.Y., Kuzina E.V., Rafikova G.F., Chetverikova D.V., Vysotskaya L.B., Loginov O.N. New strain Enterobacter sp. UOM 3—Destructor of oil and producer of indole acetic acid. Nat. Techic. Sci. 2019;7:37–40. doi: 10.25633/ETN.2019.07.13. [DOI] [Google Scholar]
- 36.Lyubenova L., Kuhn A., Höltkemeier A., Schröder P. Root exudation pattern of Typha latifolia L. plants after copper exposure. Plant Soil. 2013;370:187–195. doi: 10.1007/s11104-013-1634-z. [DOI] [Google Scholar]
- 37.Zhao L., Chanon A.M., Chattopadhyay N., Dami I.E., Blakeslee J.J. Quantification of carbohydrates in grape tissues using capillary zone electrophoresis. Front. Plant Sci. 2016;7:818. doi: 10.3389/fpls.2016.00818. [DOI] [PMC free article] [PubMed] [Google Scholar]
- 38.Veselov S.Y., Kudoyarova G.R., Egutkin N.L., Guili-Zade V.Z., Mustafina A.R., Kof E.M. Modified solvent partitioning scheme providing increased specificity and rapidity of immunoassay for indole 3- acetic acid. Physiol. Plant. 1992;86:93–96. doi: 10.1111/j.1399-3054.1992.tb01316.x. [DOI] [Google Scholar]
- 39.Arkhipova T.N., Veselov S.U., Melentiev A.I., Martynenko E.V., Kudoyarova G.R. Ability of bacterium Bacillus subtilis to produce cytokinins and to influence the growth and endogenous hormone content of lettuce plants. Plant Soil. 2005;272:201–209. doi: 10.1007/s11104-004-5047-x. [DOI] [Google Scholar]
- 40.Arkhipova T.N., Galimsyanova N.F., Kuzmina L.U., Vysotskaya L.B., Sidorova L.V., Gabbasova I.M., Melentiev A.I., Kudoyarova G.R. Effect of seed bacterization with plant growth-promoting bacteria on wheat productivity and phosphorus mobility in the rhizosphere. Plant Soil Environ. 2019;65:313–319. doi: 10.17221/752/2018-PSE. [DOI] [Google Scholar]
- 41.Arkhipova T., Martynenko E., Sharipova G., Kuzmina L., Ivanov I., Garipova M., Kudoyarova G. Effects of plant growth promoting rhizobacteria on the content of abscisic acid and salt resistance of wheat plants. Plants. 2020;9:1429. doi: 10.3390/plants9111429. [DOI] [PMC free article] [PubMed] [Google Scholar]
Associated Data
This section collects any data citations, data availability statements, or supplementary materials included in this article.
Data Availability Statement
The data presented in this study are available in the article.







