Abstract
Replication of SARS-CoV-2, the coronavirus causing COVID-19, requires a main protease (Mpro) to cleave viral proteins. Consequently, Mpro is a target for antiviral agents. We and others previously demonstrated that GC376, a bisulfite prodrug with efficacy as an anti-coronaviral agent in animals, is an effective inhibitor of Mpro in SARS-CoV-2. Here, we report structure-activity studies of improved GC376 derivatives with nanomolar affinities and therapeutic indices >200. Crystallographic structures of inhibitor-Mpro complexes reveal that an alternative binding pocket in Mpro, S4, accommodates the P3 position. Alternative binding is induced by polar P3 groups or a nearby methyl. NMR and solubility studies with GC376 show that it exists as a mixture of stereoisomers and forms colloids in aqueous media at higher concentrations, a property not previously reported. Replacement of its Na+ counter ion with choline greatly increases solubility. The physical, biochemical, crystallographic, and cellular data reveal new avenues for Mpro inhibitor design.
Keywords: COVID-19, Main protease, Protease inhibitor, Crystallography, Structure-guided design, GC376 analogs
Graphical abstract
1. Introduction
The end of 2019 saw the beginnings of what would quickly become a global pandemic in the form of COVID-19 (coronavirus disease 2019), caused by severe acute respiratory syndrome coronavirus 2 (SARS-CoV-2). Bearing a high degree of genetic similarity to SARS-CoV that was responsible for an outbreak in 2002–2004 [1,2], it has developed into a widespread disease with >70 million cases and >1.6 million deaths worldwide as of December 2020, with numbers continuing to rise [3]. Due to the success of public health measures in containing SARS-CoV, development of anti-SARS therapeutics was discontinued. Consequently, there is an urgent need for anti-viral drug development for acute COVID-19 patients. Furthermore, in spite of vaccines being deployed for use, current information regarding the duration of immunity, effectiveness against mutant strains as well as possibility of reinfection remains limited.
SARS-CoV and SARS-CoV-2 are positive strand RNA viruses that exploit host cellular machinery to translate genetic information into viral proteins required for replication. As part of this process, two overlapping polyproteins are encoded: pp1a and pp1ab, which are then cleaved into the individual active proteins necessary for viral transcription and replication [4]. Two proteases are responsible for executing these vital steps: Mpro (also called 3CLpro) and a papain like protease (PLpro) that cleave 11 and 3 times, respectively. The 11 proteolytic cleavage sites of Mpro are usually at conserved Leu Gln | Ser Ala Gly sequences. Due to the critical role of this enzyme in viral replication, Mpro is an attractive target for antiviral agents [5,6]. Mpro is a cysteine protease, a class of enzymes for which a large variety of inhibitors exist [7,8].
Potent Mpro inhibitors may be viable drugs if certain criteria are fulfilled, namely good bioavailability, low toxicity and ample solubility [8]. As a result of these requirements, a number of seemingly promising cysteine protease inhibitors have failed when examined as possible drug candidates. A prominent example of this is rupintrivir, targeted as a treatment for rhinoviruses [9]. As an unsaturated ester Michael acceptor, it exhibited low bioavailability in clinical trials [10], probably partly due to the irreversible nature of the covalent bond formed upon attack by sulfur nucleophiles. This lack of reversibility can result in permanent off-target binding to other thiol-containing biomolecules present in mammalian cells, leading to destruction or sequestration of the inhibitor. Additionally, off-target binding to untargeted thiols could lead to toxicity or host immune response [8]. Hence, inhibitors possessing warheads that bind reversibly and preferentially to the target cysteine protease are desirable. Peptide aldehydes present an attractive solution as they are able to bind reversibly to thiol-containing target molecules, forming a hemithioacetal in the process [11,12]. In addition, they can be readily derivatized to more water-soluble bisulfite adducts for administration as prodrugs [13]. Subsequent reversion of the bisulfite adduct to the parent aldehyde under physiological conditions then restores the active form of the inhibitor [6].
Early studies by Wolfenden and coworkers on peptide aldehydes as protease inhibitors [11], prompted us to examine them as potent inhibitors of viral cysteine proteases [12]. In 2016, Kim et al. discovered GC376 as a drug active against the feline coronavirus (FCoV) responsible for feline infectious peritonitis (FIP) [14]. GC376 is a bisulfite adduct prodrug of the corresponding parent aldehyde, GC373, which strongly inhibits the Mpro of FCoV. The effectiveness of this compound was demonstrated when cats exhibiting FIP were cured upon administration of this drug [14]. Once symptoms are present, untreated FIP has close to a one hundred percent fatality rate in cats. The utility of this drug is made more remarkable due to the well-tolerated nature of GC376. Further studies have demonstrated its activity against the Mpro of a number of other coronaviruses, including those of minks and ferrets [[14], [15], [16]]. Recently, we showed that GC376 and GC373 were also potent inhibitors of the SARS-CoV-2 Mpro and that these drugs were able to block virus replication in cell culture, indicating that they are good candidates as antivirals for the treatment of COVID-19 [6]. Independently, different groups published similar observations [[17], [18], [19], [20], [21], [22]], with further follow-up studies subsequently demonstrating efficacy in transgenic mouse models, strongly supporting the translational potential of GC376 and related analogs for human use [[23], [24], [25]]. Additionally, we also experimentally demonstrated the reversible nature of GC376 [26]. During 2020, a number of promising potent reversible inhibitors of SARS-CoV-2 Mpro have been uncovered, including α-ketoamides [2], and α-hydroxymethyl and α-acyloxymethylketones [27].
We now report efforts to increase the effectiveness of GC376 analogs against SARS-CoV-2. Improvements by modification of the chemical structure of GC376 resulted in a number of compounds with improved binding characteristics and nanomolar inhibition of SARS-CoV-2 Mpro. The structure-activity relationship (SAR) study was accomplished with systematic optimization of inhibitor structures via detailed assessments of these new compounds co-crystallized with SARS-CoV-2 Mpro and subsequent in vitro testing with recombinant protease as well as with mammalian cell lines. Furthermore, co-crystallization studies revealed an alternative mode of binding for these new inhibitors compared to GC376, facilitating a better fit into the active site of Mpro. NMR studies with 13C-labelled GC373 and GC376 confirm that in aqueous media the former exists as a hydrated aldehyde and is a mixture of stereoisomers due to epimerization at the α-carbon of the glutamine analog. The formation of bisulfite adduct GC376 leads to additional stereoisomers. These spontaneously convert to the aldehyde, and only a single isomer is seen bound to the SARS-CoV-2 Mpro enzyme. It was also found that versions of GC376 with alternative cations led to an increase in drug solubility, potentially allowing for smaller volumes during drug administration. Finally, solubility testing and NMR experiments demonstrated the formation of colloidal aggregates by GC376, which may enable administration of small volumes of highly concentrated drug.
2. Results
2.1. Structure guided development of Mpro inhibitors using independent variations in P2 and P3
Development of improved inhibitors began with sampling variations in the P2 and P3 sites of GC376 in order to assess which types of combinations would facilitate the greatest increase in binding to Mpro (Fig. 1 ). The cyclic glutamine analog in the P1 site of the inhibitor was maintained due to the numerous favorable interactions of this residue observed with the S1 pocket of Mpro, as determined from our previous study [6]. The aldehyde warhead was also conserved due to the ability to easily and favorably form the bisulfite prodrug in a single step, combined with the proven efficacy of this group, as was shown with GC376 to treat FIP in felines [14].
Fig. 1.
Developmental workflow of SARS-CoV-2 Mproinhibitors. The process of inhibitor design and modification carried out in this publication is depicted. Evaluation of inhibitors was carried out at each step by FRET studies, crystallography, and viral assays.
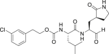
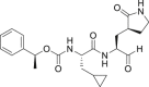
Based on our previous crystal structures, the S2 pocket of SARS-CoV-2 Mpro responsible for binding of the leucine moiety in GC376 was largely hydrophobic [6], and so lipophilic variants of the leucine isopropyl group in the P2 site of the inhibitor were chosen such as cyclopropyl (1a), cyclohexyl (1b), and phenyl (1c) (Table 1 ). Replacement with a phenyl group (1c) yielded only moderate improvements in IC50 values using a FRET substrate-enzyme kinetic assay, while the greatest improvement was found when a cyclopropyl group (1a) was utilized. Replacement with a cyclohexyl group (1b) led to a decrease in performance of the resultant inhibitor, as indicated by increased IC50 values (Table 1). These conclusions were further verified via co-crystallization of these inhibitors with Mpro and the observation that the cyclopropyl group of 1a was able to insert deeper into the S2 site of the protease, which may explain the increase in binding affinity (Fig. 2 and Fig. 3 A).
Table 1.
Singly modified aldehyde derivatives of GC373. GC373 and aldehyde derivative structures containing single modifications at either the P2 (1a—1c) or P3 (1d—1h) positions are shown, along with SARS-CoV-2 Mpro IC50 and SARS-CoV-2 antiviral EC50 values, both with and without co-administration of efflux inhibitor CP-100356 (+CP). Cytotoxicity assays showed CC50 values of >200 μM for all compounds shown. ND indicates that value was not determined.
| Entry | Structure | IC50 (μM) | EC50 (μM) | EC50 (μM) +CP |
|---|---|---|---|---|
| GC373 [6] | ![]() |
0.40 ± 0.05 | 1.5 ± 0.3 | 0.32 ± 0.05 |
| 1a (PDB 7LCS) | ![]() |
0.05 ± 0.01 | 1.1 ± 0.1 | 0.32 ± 0.09 |
| 1b | ![]() |
0.61 ± 0.15 | 1.2 ± 0.4 | ND |
| 1c | ![]() |
0.23 ± 0.10 | >10 | ND |
| 1d | ![]() |
0.13 ± 0.04 | 1.4 ± 0.5 | ND |
| 1e | ![]() |
0.15 ± 0.05 | 1.47 ± 0.8 | ND |
| 1f (PDB 7LDL) | ![]() |
0.06 ± 0.01 | 0.9 ± 0.1 | 0.25 ± 0.01 |
| 1g (PDB 7LCS) | ![]() |
0.27 ± 0.09 | 1.1 ± 0.5 | ND |
| 1h | ![]() |
0.35 ± 0.11 | 1.4 ± 0.7 | ND |
Fig. 2.

Binding sites of SARS-CoV-2 Mprocatalytic cleft. The active cysteine-145 residue (C145, yellow) as well as side-pockets S1’, S1, S2, S4 and surface depression S3 are highlighted.
Fig. 3.
Crystal structures and schematic depictions of inhibitors bound to SARS-CoV-2 Mpro. (A) 1a bound to the active site of SARS-CoV-2 Mpro. The benzyl ring at the P3 position of the inhibitor can be seen interacting with the S3 surface depression, similarly to the binding mode of GC373 (PDB 7LCS). (B) 1i bound to the active site of SARS-CoV-2 Mpro. The presence of a fluorine atom at the 3-position on the benzyl ring directs the aromatic moiety into the S4 binding pocket (PDB 7LCO). (C) 1f bound to the active site of SARS-CoV-2 Mpro. Substitution of the benzyloxy group with a 4-methoxyindole prompts binding of the P3 portion of the inhibitor to the S4 pocket of the enzyme. This is a result of favorable interactions between the indole nitrogen and the carbonyl of Glu166 as well as that of the methoxy group with the binding pocket itself (PDB 7LDL). (D) 1g bound to the active site of SARS-CoV-2 Mpro. The phenyl ring of (S)-methyl benzyl group can be seen being directed towards the S4 site of the enzyme via the presence of the additional methyl group (PDB 7LCT).
Variations in the P3 site of the inhibitor were also made based on our previous work on co-crystallization of Mpro with the parent aldehyde GC373 [6]. We noticed that the location in Mpro at which the carboxybenzyl (Cbz) group binds (designated as S3) may not be the optimal position. A deeper pocket (designated as S4) can be observed in the vicinity of the Cbz group that may better accommodate the P3 position of the inhibitor, contrasting S3 which appears as a small concave depression pointing towards the surface of Mpro (Fig. 2). Therefore, we based further modifications of the P3 position of the inhibitor on two factors: enhancing favorable dipole interactions and inducing strategic conformations of the bound inhibitor.
In order to make improvements at the P3 position based on enhancing dipole interactions, we synthesized a number of structural variants containing polar groups at the benzyl ring of the Cbz group. One variant included a 3-fluorobenzyl group (1d) to evaluate the possibility of H-bond formation. Another replaced the benzyl group with a 3-chlorophenylethyl group (1e) to evaluate the effect of increased length and flexibility via the introduction of an additional methylene. Selection of a 4-methoxyindole (1f) for evaluation was based on previously reported high affinity of this functionality in binding to SARS-CoV Mpro [28]. The second parameter, inducing advantageous conformations, was evaluated via stereospecific installation of a methyl group (1g and 1h) at the methylene position of the Cbz group in the parent compound. This methyl group may be able to induce an insertion of the phenyl group into the nearby S4 position of Mpro. FRET substrate-enzyme kinetic assays showed that all of these modifications at the P3 position lead to improved IC50 values over GC373, indicating that both of the aforementioned factors played a role in the binding and interactions found at that position (Table 1). The greatest increases in binding affinity resulted from modification of the benzyl group to a 4-methoxyindole variant (1f), followed by a 3-fluorobenzyl (1d) and 3-chlorophenylethyl variant (1e). These were then followed by installation of a methyl group, with the (S) absolute configuration (1g) outperforming the (R) variant (1h). As noted in Table 1, 1h does not exhibit substantially better IC50 values than the parent compound, providing evidence that the absolute stereochemistry at this position plays a modest role in the degree of binding improvement. Taken together, it appears that while both electronic and steric factors play a role, dipole-dipole interactions have a larger effect on improvements in IC50 than that of initial conformation.
2.2. Combination of most potent P2/P3 modifications
After identifying a number of variations in the P2 and P3 site that lead to improved inhibitor binding to Mpro, we combined these modifications to synthesize analogs with potentially improved properties. The optimal modification for the P2 site of the inhibitor was a cyclopropyl moiety, and we therefore combined this with variations at the P3 site. Four additional analogs were obtained (1i, 1j, 1k, and 1l), as documented in Table 2 and Fig. S1. Surprisingly, it appeared that there was little or no improvement in IC50 values with these analogs as compared to their singly modified variants (1d, 1e, 1f, 1g, Table 1).
Table 2.
Doubly modified aldehyde derivatives of GC373. GC373 and aldehyde derivatives structures containing modifications at both the P2 and P3 positions are shown, along with SARS-CoV-2 Mpro IC50 and SARS-CoV-2 antiviral EC50 values, both with and without co-administration of efflux inhibitor CP-100356 (+CP). Cytotoxicity assays showed CC50 values of >200 μM for all compounds shown.
| Entry | Structure | IC50 (μM) | EC50 (μM) | EC50 (μM) +CP |
|---|---|---|---|---|
| 1i (PDB 7LCO) | ![]() |
0.14 ± 0.04 | 1.1 ± 0.2 | 0.25 ± 0.1 |
| 1j | ![]() |
0.24 ± 0.09 | 0.8 ± 0.2 | 0.28 ± 0.02 |
| 1k | ![]() |
0.05 ± 0.01 | 0.7 ± 0.1 | 0.27 ± 0.4 |
| 1l | ![]() |
0.43 ± 0.03 | 2.0 ± 0.5 | 1.2 ± 0.8 |
In order to improve selectivity, we further transformed a number of these analogs into the bisulfite adduct prodrug versions. In our previous work we found that transformation of the parent aldehyde to the bisulfite adduct resulted in improved IC50 and EC50 values [6], likely a result of increased hydrophilicity and generally improved solubility. The most potent analog from the singular P2 and P3 rounds of modification (1a and 1f) as well as the four combination analogs (1i—1l) were transformed to the sodium bisulfite adducts in order to see whether this improved binding would take place in this instance as well (Table 3 ). Interestingly, singularly modified compounds 1a and 1f displayed slightly increased IC50 values upon transformation to bisulfite adducts 2a and 2b. However, doubly modified compounds 2c, 2d, 2e, and 2f (Table 3, Fig. S2) showed the expected decreases in IC50 values as compared to the parent aldehydes (1i, 1j, 1k, and 1l, Table 2). As such, it appears that in many cases, bisulfite adducts of the parent aldehydes indeed lead to improved IC50 values. Of note is that each combination analog as a bisulfite adduct displayed a higher binding affinity for Mpro compared to GC376, ranging from a 2.5–5.0-fold improvement. Testing of variants of GC376 in which the Na+ cation was replaced with a K+ cation (3a) or choline (3b) was also conducted, showing very similar IC50 values to that of the parent Na + form (Table 3, Fig. S3), and demonstrating retained effectiveness combined with increased aqueous solubility (discussed below).
Table 3.
Bisulfite adduct derivatives of GC373. GC376 and bisulfite adduct derivatives singly (2a, 2b) or doubly (2c—2f) modified at the P2 or P3 positions, or with variations in counter ion (3a, 3b) are shown, along with SARS-CoV-2 Mpro IC50 and SARS CoV-2 antiviral EC50 values, both with and without co-administration of efflux inhibitor CP-100356 (+CP). Cytotoxicity assays showed CC50 values of >200 μM for all compounds shown. ND indicates that value was not determined.
| Entry | Structure | IC50 (μM) | EC50 (μM) | EC50 (μM) +CP |
|---|---|---|---|---|
| GC376 [6] | ![]() |
0.19 ± 0.04 | 0.9 ± 0.2 | 0.25 ± 0.02 |
| 2a | ![]() |
0.08 ± 0.03 | 0.9 ± 0.3 | 0.27 ± 0.2 |
| 2b | ![]() |
0.07 ± 0.02 | 1.7 ± 0.3 | 0.32 ± 0.04 |
| 2c | ![]() |
0.07 ± 0.01 | 0.57 ± 0.07 | 0.19 ± 0.06 |
| 2d | ![]() |
0.08 ± 0.02 | 0.7 ± 0.2 | 0.18 ± 0.04 |
| 2e | ![]() |
0.04 ± 0.01 | 1.8 ± 0.4 | 0.29 ± 0.03 |
| 2f | ![]() |
0.05 ± 0.03 | 1.2 ± 0.2 | 0.5 ± 0.1 |
| 3a | ![]() |
0.20 ± 0.04 | 0.8 ± 0.3 | ND |
| 3b | ![]() |
0.18 ± 0.04 | 1.2 ± 0.2 | ND |
2.3. Structural analysis by X-Ray crystallography
In order to better understand interactions of our new inhibitors with the Mpro active site, crystal structures were concurrently obtained throughout the inhibitor development process (Table S1). As previously demonstrated [6], these new structures confirm the formation of a covalent bond between the aldehyde warhead and the active site cysteine of Mpro (Cys145, C–S bond lengths 1.8–2.0 Å). The carbinol hydroxyl maintains favorable hydrogen bonds with the amide NH from both Cys145 and Gly143 of the protease with (1a, 1f, 1g) or without (1i) the coordination of an additional water molecule (Fig. 3A—3D). In accordance with the parent GC373, the lactam carbonyl of the Gln surrogate forms a strong hydrogen bond with the side chain of His163 in the S1 site in all four structures (Fig. 3A—3D). Meanwhile, the lactam NH is also engaged in hydrogen bonds with the side chain oxygen of Glu166 and the backbone oxygen of Phe140, as well as interactions with the N-terminal serine from the other Mpro protomer [26]. Similarly to the Leu-containing analogs 1f and 1g, the cyclopropylalanine-bearing compounds 1a and 1i (Fig. 3A and B) maintain close C–H … π contacts between His41 and the cyclopropyl group, filling the S2 pocket in a more compact fashion than the parent GC373-Mpro structure (PDB 6WTM) where the P2 position does not extend as deeply into the S2 binding pocket [6]. An interesting feature was observed upon examination of the P3 substituent. In the case of a bare Cbz group (i.e. GC373 and 1a), the P3 residue assumes a tilted conformation pointing towards S3 and the solvent exposed surface of the protease (Fig. 3A). In contrast, substitution of Cbz by a 3-fluorobenzyl group (1i, Fig. 3B) or a 4-methoxyindole group (1f, Fig. 3C), or by installation of an (S)-methyl group at the benzyl methylene (1g, Fig. 3D), forces a relocation of the P3 substituent into the S4 pocket, allowing for additional interactions with that side of the protease. Consequently, in the crystal structure of 1g, the S–Me group points towards S3 (protease surface), thus defining the attached methylene group as a bifurcation point in inhibitor design (Fig. 3D). Such a space-filling expansion towards both S3 (protease surface) and S4 (binding pocket) has so far not been reported and suggests a promising approach to seal the entrance of the catalytic cleft with a hydrophobic lid. Simultaneously, the N-terminal head group is shown to maintain interactions with Ala188 and Pro168. Of additional note, substitution of the Cbz group with the 4-methoxyindole amide moiety in 1f (Fig. 3C) leads to a tighter fit in the S4 pocket of Mpro and does not require the coordination of any additional solvent molecules, contrasting a related SARS-CoV-2 Mpro inhibitor structure wherein an indole required the presence of DMSO (PDB 6M0K) [29]. In addition to the NH…O hydrogen bond between the backbone of Glu166 and the terminal inhibitor amide carbonyl O atom, another hydrogen bond between the backbone carbonyl O atom of Glu166 and the indole NH stabilizes the inhibitor in its position.
2.4. Assessment of inhibitory activity and cytotoxicity: plaque reduction and viral assays
While IC50 values provide a drug potency in vitro and aid in inhibitor design, EC50 values provide information regarding the drug-potential of the molecule in a living system. We therefore tested our compounds in a viral plaque reduction assay using Vero E6 mammalian cells. In order to assess possible cytotoxic effects, the compounds were also tested using a CellTiter-Glo assay in the same cell line and were found to display therapeutic indices of >200. All inhibitor variants containing lone P2 site modifications (1a—1c), with the exception of 1c, exhibited lower EC50 values as compared to the parent GC373, with the cyclopropyl modification (1a) appearing to perform the best. Replicating this, lone P3 site modifications also led to a number of compounds with universally improved EC50 values, with the best performers being 1f and 1g (Table 1). Combining the best-performing modifications at each site in the molecule then furnished a number of doubly modified inhibitors (1i—1l), with two (1j and 1k) demonstrating a further increase in potency and analogous decrease in EC50 values (Table 2). The corresponding sodium bisulfite adducts were derived from the most potent compound from each singly modified group (2a and 2b from 1a and 1f, respectively). While 2a exhibited comparable EC50 values to GC376, indicating similar potential as a drug candidate, 2b displayed a distinctly higher EC50 value, hinting at possible efflux effects (Table 3). Sodium bisulfite adducts that combined a cyclopropyl group at the P2 position along with P3 substitutions (2c—2f), had lower EC50 values in two out of four cases, 2c and 2d. Based on a recent report in the literature, it was noted that related compounds may be susceptible to cellular efflux, leading to increased EC50 values [30]. In order to determine if this was the case, the EC50 values for a number of our candidates (1a, 1f, 1i—1l, and 2a—2f) were reevaluated in the presence of CP-100356, a P-gp efflux inhibitor (Table 1, Table 2, and Table 3). When administered together with CP-100356, all but three (1l, 2b, and 2f) of the tested derivatives performed on par or better than the analogous parent GC373 or GC376. Furthermore, the presence of an indole moiety may contribute to efflux, as noted by the comparatively high initial EC50 values of 2b and 2e coupled with a significant decrease upon administration of CP-100356, though not to the same extent as reported for related substances [30]. This drop was less significant for the remaining analogs, especially for 2c and 2d (Table 3), indicating that while there are some cellular efflux effects present, these new compounds possess the advantage of not requiring the co-administration of efflux inhibitors to be effective, thereby potentially simplifying pharmaceutical development. The results indicate 2c and 2d are the most promising inhibitors reported herein (Fig. 4 ), exhibiting both IC50 and EC50 values that are superior to those of GC376, even in the absence of efflux inhibitors. Replacement of the indole with a 3-fluorobenzyl or 3-chlorophenylethyl group provides the added benefit of increased synthetic yields, contrasting previously described indole-containing inhibitors [2,30], which may facilitate reaction scale-up during process development.
Fig. 4.
Key lead compounds identified as improved SARS-CoV-2 Mproinhibitors. Both structures contain a cyclopropyl group at the P2 position. Differentiation occurs at the P3 position, where 2c contains a 3-fluorobenzyl group and 2d contains a 3-chlorophenylethyl group. Both inhibitors show substantially improved potency as demonstrated by IC50 and EC50 values, both with and without CP-100356, as compared to the parent compound GC376.
2.5. NMR studies with 13C-labelled GC373 and GC376: formation of a dynamic equilibrium of stereoisomeric mixtures in aqueous media
As the mechanism of GC373 and GC376 involves binding of a defined stereoisomer [6], we investigated the properties of GC373 and isomer distribution of both GC373 and GC376 in aqueous media. Versions of GC373 and GC376 having a13C-label at the carbonyl carbon (Fig. S4) were synthesized. An initial HSQC NMR experiment of GC373 in CDCl3 showed a single prominent signal in the aldehyde region corresponding to the 13C-label (Fig. S5A). A second HSQC NMR experiment wherein GC373 was dissolved in aqueous solution (0.5% DMSO‑d 6 in D2O) showed that the single aldehyde peak disappeared. It was replaced by 2 signals at ppm values corresponding to formation of two hydrate diastereomers (Fig. S5B) [31], indicating that GC373 epimerizes rapidly and exists almost entirely as the hydrated form in aqueous media [6]. Loss of stereochemical integrity at the α-carbon adjacent to the 13C-label in aqueous media is facile for aldehydes of amino acids. Comparison of peak areas reveals a hydrate diastereomer distribution of ca. 7:3. In the presence of Mpro, there is appearance of an additional peak due to a hemithioacetal formed by binding of a single stereoisomer in the active site of the enzyme. The hydrate diastereomer distribution remained the same as a result of interconversion between the remaining diastereomeric unbound species, suggesting that this equilibrium is dynamic (Fig. S5C). Analogous HSQC NMR experiments with GC376 13C-labelled at the carbonyl carbon also demonstrated a distribution of diastereomers, but only 3 distinct signals were observed at a ratio of 36:46:18 (Fig. S5D). There are 4 different stereochemical permutations possible (Fig. S4), but the range over which their chemical shift values in HSQC spectra may be distributed is limited (Fig. S5E). Hence, it appears that the middle signal is likely an aggregate resulting from spectral overlap of 2 distinct stereochemical species. This study supports the proposal that in aqueous solution, diastereomers of GC373, its hydrate, and GC376, exist in a dynamic stereochemical equilibrium, with only the correct aldehyde isomer binding as a single hemithioacetal in the active site of Mpro.
2.6. Increasing solubility by counter ion variation and investigating aggregation phenomena
In order to help assess the potential of GC376 for administration to humans, a number of solubility experiments were undertaken. We sought to increase the aqueous solubility of GC376 and hypothesized that the cation counterpart to the bisulfite adduct could be replaced with alternative species that exhibited better properties. Potassium and choline were selected as possible candidates owing to larger solvation radii and the generally regarded as safe (GRAS) nature of choline [32]. The potassium and choline counterparts to GC376 (designated as GC376-K (3a) and GC376-Cho (3b)) were synthesized from GC373 using solutions of potassium or choline bisulfite. Both derivatives demonstrated better solubility in aqueous media, with increases in molar solubility of approximately 30% for GC376-K (3a) and over 90% for GC376-Cho (3b) compared to GC376. Additionally, GC376-Cho did not appear to form the same turbid solution as GC376 at 50 mM in water (see below). Furthermore, for inhibitors 3a and 3b, cellular plaque reduction assays with live virus revealed no significant difference in inhibitory activity as compared to the parent compound GC376 (Table 3), demonstrating that cation replacement is a viable strategy to significantly increase aqueous solubility while retaining activity. This approach represents an attractive general avenue for obtaining more favorable solubility profiles in ion-paired drugs and prodrugs.
It was observed that addition of H2O or D2O to powdered GC376 (sodium salt) initially formed clear, transparent solutions at a concentration of ca. 440 mM (Fig. S6A). Further dilution of these transparent solutions resulted in the formation of cloudy colloidal suspensions (Fig. S6B) that eventually became transparent again at sufficiently high dilutions (Fig S6C). While initially unexpected, this led us to hypothesize that GC376 was forming micelles – a possibility owing to the amphipathic nature of the compound. The bisulfite moiety may function as a polar head group while the largely non-polar peptide backbone and associated side chains may function as a hydrophobic tail, akin in structure to that of a fatty acid. To test this hypothesis, we conducted diffusion-ordered spectroscopy (DOSY) experiments [33] in D2O at concentrations of 440 mM and 5 mM (Fig. S7), as these concentrations both resulted in the formation of clear solutions. Based on these experiments, a clear difference in diffusion coefficients could be observed, corresponding to 1.2 × 10−10 m2/s at 440 mM and 4.0 × 10−10 m2/s at 5 mM. Accordingly, these diffusion order values correspond to hydrodynamic radii of 20.6 Å and 6.2 Å (41.2 Å and 12.4 Å in diameter) respectively [34] – a distinct difference suggesting the formation of micelles at 440 mM. For comparison, the particle size of extensively studied dodecyl phosphocholine (DPC) micelles in water are noted to be on the order of 64 Å to 72 Å in diameter [35].
Further support of this phenomenon is found when examining the 1D 1H NMR spectra for these two solutions, with the 440 mM sample producing a spectrum with a number of broad peaks, a known phenomenon in samples exhibiting aggregation (Fig. S8A). Contrasting this, much sharper peaks are observed in the 5 mM sample (Fig. S8B), hinting at dispersed molecules in solution. Expanding upon this, further DOSY experiments were conducted with serially diluted samples of GC376 in D2O (Table S2). These experiments showed that GC376 possessed a critical micelle concentration of approximately 96.7 mM (Fig. S9A), establishing a new parameter of interest for the development of GC376 and related bisulfite adduct prodrugs. This experiment was repeated with the choline version of GC376 (GC376-Cho, 3b), and a corresponding critical micellar concentration of 91.1 mM was observed (Fig. S9B). Previously reported effective dosages of GC376 for felines are established at 5–10 mg/kg/day, twice daily [14]. In humans general volume limits of subcutaneous injection are about 1.5 mL [36]. Administration of a micellar solution of GC376 is a possible method for circumventing solubility issues and volume limits when considering GC376 for use in human trials. Use of GC376-Cho, with volume requirements as low as 0.11 mL per injection (calculated for a 62 kg human, 5.66 M concentration, 360 mg per injection, MW = 588 g/mol), twice daily, could help to increase patient acceptance. Administration of GC376 or related drugs as a concentrated micellar or colloid suspension along with the increased solubility resulting from the use of an alternative counterion may allow for significant improvements in the drug profile of these types of peptide-aldehyde inhibitors.
3. Discussion
One of our objectives was to identify new drug candidates for possible treatment of acute COVID-19 based on the antiviral peptide aldehyde GC373 and its bisulfite prodrug GC376. A key goal was to improve on inhibition of the essential viral main protease, SARS-CoV-2 Mpro, and on antiviral effects in mammalian cells while maintaining low toxicity [6]. The parent compounds are non-toxic to mammals and effective in curing coronaviral infection in cats [14] and more recently demonstrated, in mouse models [24,25]. A number of new dipeptide derivatives were designed and synthesized with improved IC50 enzyme inhibition and EC50 antiviral values. Inhibitors 2c and 2d emerged as key compounds for Mpro enzyme inhibition with better IC50 and cellular EC50 values compared to the parent inhibitor GC376. Both 2c and 2d are also easier to synthesize in high yield compared to related N-acyl indole derivatives and also out-performs them in EC50 metrics. We note at this point that emerging evidence indicates GC376 and related compounds may exhibit a secondary mechanism of action resulting from the inhibition of cathepsin L, a host-cell protease involved in viral entry [37,38]. Taking this into account, and as a result of Vero E6 cells lacking expression of TMPRSS2 (involved in an alternative viral entry pathway), observed EC50 values may in part be the result of inhibited viral entry, though this remains beyond the scope of this study. X-ray crystallographic studies of four enzyme-inhibitor complexes with SARS-CoV-2 Mpro suggest an unexplored avenue for the design of inhibitors with bifurcations at the P3 position to assist in capping the active site. Employment of this strategy may facilitate further development of an additional family of new, potent inhibitors.
Another goal was to examine the properties of GC376 and GC373 in preparation for human clinical trials. Although the prodrug GC376 has worked effectively to treat feline infectious peritonitis (FIP) caused by a coronavirus in cats [14], there are issues that were not reported in detail previously. These include limited aqueous solubility of prodrug GC376 and its tendency to self-aggregate in water, its occurrence as a mixture of stereoisomers, and the tendency of the derived parent aldehyde inhibitor GC373 to isomerize under aqueous conditions. Multidimensional NMR studies (HSQC) of GC373 (aldehyde) and GC376 (bisulfite adduct) with a13C-label at the C-terminal carbons indicate that they form a variety of species in water, some of which are in a dynamic equilibrium with each other. The stereochemically pure GC373 rapidly epimerizes in water due to the acidity of the α-hydrogen adjacent to the aldehyde carbonyl. This then forms a dynamic mixture of two diastereomeric hydrates that predominate in water, but the stereochemically correct aldehyde form, which is one of the equilibrium structures, is selectively captured as a hemithioacetal by the Mpro enzyme in the inhibition process. This can be seen as a single species in the enzyme active site both by NMR spectroscopy and protein X-ray crystallography. Formation of bisulfite GC376, which is done under aqueous conditions, can proceed from either the re or si faces of the carbonyl for each of the aldehyde diastereomers. This nominally results in formation of four diastereomeric bisulfite adducts, with at least three being observed by HSQC NMR (chemical shifts for two appear to overlap). However, in water the bisulfite adducts readily revert to the aldehyde forms, which being readily epimerized, provide the active inhibitory stereoisomer.
In humans, weight-adjusted dosage for subcutaneous injections of GC376 is higher than in cats, and therefore aqueous solubility and injection volume is an important issue. Our work has revealed previously unreported self-aggregation and colloidal properties of the compound. High concentrations (440 mM) of GC376 in water form a clear, viscous solution. Upon dilution, the solution becomes a cloudy colloidal dispersion and ultimately becomes fully homogeneous at sufficiently low concentrations (5 mM). Replacement of the sodium counterion of GC376 with potassium or choline enhances solubility considerably. As the more potent analogs that were synthesized for enzyme inhibition studies are structurally related, they are likely to share many of these physical properties. We believe that micellar administration of bisulfite adducts in combination with cation replacement could enable the pharmaceutical development of a large number of inhibitors previously limited by solubility issues. In conclusion, a number of alternative compounds with more favorable drug-like properties were designed and tested with desirable therapeutic indices of over 200. The results of this study present insights and tools for drug development based on cysteine protease inhibitors with implications not limited to just SARS-CoV-2.
4. Materials and methods
4.1. FRET peptide substrate synthesis
The FRET substrate Abz-SVTLQSG-Y(NO2)-R used was synthesized according to the methods previously described in literature [6]. Characterization data was in accordance as described.
4.2. Isolation and purification of SARS-CoV-2 Mpro
Pure SARS-CoV-2 Mpro was obtained as described previously and confirmed according to established data [6].
4.3. Inhibition assay and determination of IC50 values
IC50 values for each inhibitor tested was determined via the methods described previously in literature [6].
4.4. Crystallization of Mpro
The purified SARS-CoV-2 Mpro was dialyzed against buffer containing 10 mM NaCl and 5 mM Tris HCl pH 8.0 overnight at 4 °C. Protein was concentrated with a Millipore centrifugal filter (10 kDa MW cutoff) to a concentration of 8 mg/mL. Protein was incubated with 5 mM excess of inhibitor at 4 °C for 1 h prior to crystallization. The SARS-CoV-2 Mpro, the protein was subjected to the JCSG plus and PACT crystallization screen (Molecular Dimensions), with hits identified in several conditions for all inhibitors. Best crystals were observed with hanging drop trays at room temperature at a ratio of 1:1 with mother liquor 0.2 M Sodium chloride, 0.1 M HEPES pH 7.0, 20% w/v PEG 6000. Prior to freezing, crystals were incubated with 19% glycerol as a cryoprotectant. Data collection was take place at SSRL, beamline 12-2 with Blu-Ice using the Web-Ice interface and Canadian Light Source beamline 08B1-1 using MxDC.
4.5. Diffraction data collection, phase determination, model building, and refinement
X-ray diffraction data sets for SARS-CoV-2 Mpro and inhibitor complex were collected at 100 K in a cold nitrogen stream using beamlines at 12-2 at Stanford Synchrotron Radiation Lightsource (SSRL) California, USA, of wavelength 0.97946, equipped with Dectris PILATUS 6 M detector and Canadian light Source, CLSI BEAMLINE 08B1-1 coupled with PILUUS 6 M. More than 80 data sets were collected for all the five inhibitors, all of them processed and the best ones selected based on data statistics. XDS and Scala were used for processing of the data sets. The diffraction data set of the Lig124 (XU4) SARS-CoV-2 Mpro was processed at a resolution of 1.93 Å, in an orthorhombic space group P21212 (Supplementary Table 1). For the complex of SARS-CoV-2 Mpro with ligand 180 (XTJ), the data set collected, was processed at a resolution of 1.90 Å in a space group C2, Ligand 182 (XV4) processed at resolution of 2.0 Å in a monoclinic space group P1. The data set collected for Lig128 (XTP) at resolution 1.85 Å, processed in a space group C2. The data set collected for Lig132 (XTM) in an orthorhombic space group P212121 refined at resolution 1.95 Å. (Table S1). All the five structures were determined by molecular replacement with the crystal structure of the free enzyme of the SARS-CoV-2 Mpro (PDB entry 6WTM) [6] as a search model, using the Phaser program from Phenix, version v1.18.1–3855). Ligand was fit using Coot manually for all the inhibitors in the density of pre-calculated map from Phenix refinment. Refinement of all the structures was performed with phenix.refine in Phenix software. The structure refinement yielded final Rwork and Rfree of reasonable values. Statistics of diffraction, data processing and model refinement are given in the supplementary materials (Table S1). The model was inspected with Ramachandran plots and all show good stereochemistry. Final models displayed using PyMOL molecular graphics software (Version 2.0 Schrödinger, LLC).
4.6. Plaque reduction assay and EC50 determination
Plaque reduction assay for EC50 determination was carried out with live virus in Vero cells using the methods that we have previously described [6].
4.7. Evaluation of inhibitor cytotoxicity
Cytotoxicity of inhibitors was determined using the methods that we have previously described [6].
4.8. Population distribution studies
13C-labelled substrate was prepared in accordance with procedures documented in the supplemental materials. NMR samples of GC373 were prepared by dissolving the sample in CDCl3 or in the case of D2O, as a solution in DMSO‑d 6 that was subsequently diluted to a final concentration of 1% DMSO‑d 6 in D2O. Preparation of GC376 samples omitted the use of DMSO‑d 6 as a co-solvent. Additional information and protocols for samples containing Mpro enzyme can be found previously documented in literature [6]. Experiments were executed on a 700 MHz Agilent VNMRS spectrometer equipped with a cryo-cooled HCN triple resonance Z-gradient probe.
4.9. Solubility studies
Solubility studies were carried out by depositing 10 mg of bisulfite prodrug (differing in cation – Na, K, or choline) in a small conical vial and sequentially adding H2O in 0.5 μL increments at 25 °C. These mixtures were then alternately vortexed using a desktop instrument (30 s) and sonicated in a water bath (30 s) 3x each. The mixtures were then observed to see if and solids remained. Additional volumes of H2O (in 0.5 μL increments) were added followed by vortexing and sonication steps until a clear, transparent mixture was obtained. Back calculation then allowed for determination of upper solubility limits for each variant of bisulfite salt.
4.10. DOSY experiments
Diffusion Ordered Spectroscopy (DOSY) measurements were performed on a 600 MHz four-channel Varian VNMRS spectrometer equipped with a HCN Z-gradient probe using OpenVNMRJ 2.1A as the acquisition and processing software. The Oneshot45 DOSY pulse sequence [39,40]was used for all diffusion measurements. All experiments were done at 27 °C. The 90° pulse was optimized for each sample using a simple pulse acquire NMR experiment with presaturation of the residual HOD during the relaxation delay. The diffusion delay was optimized for each sample using the Oneshot45 pulse sequence using 5 different pulsed field gradient strengths from 2.4 G/cm to 59.5 G/cm. Based on the optimized diffusion delay, for GC376 and 3b diffusion delays of 50 ms–200 ms were used, the final DOSY experiment was acquired using 15 different pulsed field gradient strengths from 2 G/cm to 59.5 G/cm with 12 scans for each value of gradient strength. The DOSY data were base line corrected and then processed using a two component fit, were corrected for non-uniform pulsed field gradient shapes and plotted using the DOSY module in OpenVNMRJ 2.1A.
Funding
These investigations were supported by the Natural Sciences and Engineering Research Council of Canada (NSERC) and the Canadian Institutes of Health Research (COVID-19 SOF-549297-2019 and VR3-172655).
Author contributions
W.V., C.F., J.A.N. and J.C.V. contributed to inhibitor design. W.V. and C.F. contributed to inhibitor synthesis. T.L. and K.W. contributed to FRET substrate synthesis. C.F. contributed to FRET assay studies. W.V. and C.F. contributed to solubility studies. W.V. contributed to NMR studies. C.F. and M.J.v.B. contributed to purified protein. M.B.K. and M.J.L. contributed to protein crystallography. M.A.J., H.A.S, J.A.S, and D.L.T. contributed to viral and toxicity studies. W.V. wrote the initial draft. All authors read and approved the manuscript.
Declaration of competing interest
The authors declare no competing interests.
Acknowledgments
General: The authors thank Mark Miskolzie and Ryan McKay for help with NMR analyses and assistance in DOSY experiments. We are grateful to Randy Whittal, Jing Zheng, Angelina Morales-Izquierdo, and Béla Reiz for assistance with mass spectrometry. We also thank Wayne Moffatt and Jennifer Jones for assistance in compound characterization. Helpful discussions with David Bruyette (Anivive Lifesciences Inc., Long Beach CA) are gratefully acknowledged.
Footnotes
Supplementary data to this article can be found online at https://doi.org/10.1016/j.ejmech.2021.113584.
Appendix A. Supplementary data
The following is the Supplementary data to this article:
References
- 1.Wang H., Li X., Li T., Zhang S., Wang L., Wu X., Liu J. The genetic sequence, origin, and diagnosis of SARS-CoV-2. Eur. J. Clin. Microbiol. Infect. Dis. 2020:1–7. doi: 10.1007/s10096-020-03899-4. [DOI] [PMC free article] [PubMed] [Google Scholar]
- 2.Zhang L., Lin D., Sun X., Curth U., Drosten C., Sauerhering L., Becker S., Rox K., Hilgenfeld R. Crystal structure of SARS-CoV-2 main protease provides a basis for design of improved a-ketoamide inhibitors. Science. 2020;368:409–412. doi: 10.1126/science.abb3405. [DOI] [PMC free article] [PubMed] [Google Scholar]
- 3.COVID-19 map, johns hopkins coronavirus resource center. https://coronavirus.jhu.edu/map.html (n.d.)
- 4.A contemporary view of coronavirus transcription | J. Virol., (n.d.). https://jvi.asm.org/content/81/1/20 (accessed February 6, 2021). [DOI] [PMC free article] [PubMed]
- 5.Pillaiyar T., Manickam M., Namasivayam V., Hayashi Y., Jung S.-H. An overview of severe acute respiratory syndrome–coronavirus (SARS-CoV) 3CL protease inhibitors: peptidomimetics and small molecule chemotherapy. J. Med. Chem. 2016;59:6595–6628. doi: 10.1021/acs.jmedchem.5b01461. [DOI] [PMC free article] [PubMed] [Google Scholar]
- 6.Vuong W., Khan M.B., Fischer C., Arutyunova E., Lamer T., Shields J., Saffran H.A., McKay R.T., van Belkum M.J., Joyce M.A., Young H.S., Tyrrell D.L., Vederas J.C., Lemieux M.J. Feline coronavirus drug inhibits the main protease of SARS-CoV-2 and blocks virus replication. Nat. Commun. 2020;11:4282. doi: 10.1038/s41467-020-18096-2. [DOI] [PMC free article] [PubMed] [Google Scholar]
- 7.Otto H.-H., Schirmeister T. Cysteine proteases and their inhibitors. Chem. Rev. 1997;97:133–172. doi: 10.1021/cr950025u. [DOI] [PubMed] [Google Scholar]
- 8.Drag M., Salvesen G.S. Emerging principles in protease-based drug discovery. Nat. Rev. Drug Discov. 2010;9:690–701. doi: 10.1038/nrd3053. [DOI] [PMC free article] [PubMed] [Google Scholar]
- 9.Patick A.K., Binford S.L., Brothers M.A., Jackson R.L., Ford C.E., Diem M.D., Maldonado F., Dragovich P.S., Zhou R., Prins T.J., Fuhrman S.A., Meador J.W., Zalman L.S., Matthews D.A., Worland S.T. In vitro antiviral activity of AG7088, a potent inhibitor of human rhinovirus 3C protease. Antimicrob. Agents Chemother. 1999;43:2444–2450. doi: 10.1128/AAC.43.10.2444. [DOI] [PMC free article] [PubMed] [Google Scholar]
- 10.Rocha-Pereira J., Nascimento M.S.J., Ma Q., Hilgenfeld R., Neyts J., Jochmans D. The enterovirus protease inhibitor rupintrivir exerts cross-genotypic anti-norovirus activity and clears cells from the norovirus replicon. Antimicrob. Agents Chemother. 2014;58:4675–4681. doi: 10.1128/AAC.02546-13. [DOI] [PMC free article] [PubMed] [Google Scholar]
- 11.Westerik J.O., Wolfenden R. Aldehydes as inhibitors of papain. J. Biol. Chem. 1972;247:8195–8197. [PubMed] [Google Scholar]
- 12.Malcolm B.A., Lowe C., Shechosky S., McKay R.T., Yang C.C., Shah V.J., Simon R.J., Vederas J.C., Santi D.V. Peptide aldehyde inhibitors of hepatitis A virus 3C proteinase. Biochemistry. 1995;34:8172–8179. doi: 10.1021/bi00025a024. [DOI] [PubMed] [Google Scholar]
- 13.Mandadapu S.R., Gunnam M.R., Tiew K.-C., Uy R.A.Z., Prior A.M., Alliston K.R., Hua D.H., Kim Y., Chang K.-O., Groutas W.C. Inhibition of norovirus 3CL protease by bisulfite adducts of transition state inhibitors. Bioorg. Med. Chem. Lett. 2013;23:62–65. doi: 10.1016/j.bmcl.2012.11.026. [DOI] [PMC free article] [PubMed] [Google Scholar]
- 14.Kim Y., Liu H., Galasiti Kankanamalage A.C., Weerasekara S., Hua D.H., Groutas W.C., Chang K.-O., Pedersen N.C. Reversal of the progression of fatal coronavirus infection in cats by a broad-spectrum coronavirus protease inhibitor. PLoS Pathog. 2016;12 doi: 10.1371/journal.ppat.1005531. [DOI] [PMC free article] [PubMed] [Google Scholar]
- 15.Perera K.D., Galasiti Kankanamalage A.C., Rathnayake A.D., Honeyfield A., Groutas W., Chang K.-O., Kim Y. Protease inhibitors broadly effective against feline, ferret and mink coronaviruses. Antivir. Res. 2018;160:79–86. doi: 10.1016/j.antiviral.2018.10.015. [DOI] [PMC free article] [PubMed] [Google Scholar]
- 16.Kim Y., Lovell S., Tiew K.-C., Mandadapu S.R., Alliston K.R., Battaile K.P., Groutas W.C., Chang K.-O. Broad-spectrum antivirals against 3C or 3C-like proteases of picornaviruses, noroviruses, and coronaviruses. J. Virol. 2012;86:11754–11762. doi: 10.1128/JVI.01348-12. [DOI] [PMC free article] [PubMed] [Google Scholar]
- 17.Sacco M.D., Ma C., Lagarias P., Gao A., Townsend J.A., Meng X., Dube P., Zhang X., Hu Y., Kitamura N., Hurst B., Tarbet B., Marty M.T., Kolocouris A., Xiang Y., Chen Y., Wang J. Structure and inhibition of the SARS-CoV-2 main protease reveal strategy for developing dual inhibitors against Mpro and cathepsin L. Science Advances. 2020;6 doi: 10.1126/sciadv.abe0751. [DOI] [PMC free article] [PubMed] [Google Scholar]
- 18.Fu L., Ye F., Feng Y., Yu F., Wang Q., Wu Y., Zhao C., Sun H., Huang B., Niu P., Song H., Shi Y., Li X., Tan W., Qi J., Gao G.F. Both Boceprevir and GC376 efficaciously inhibit SARS-CoV-2 by targeting its main protease. Nat. Commun. 2020;11:4417. doi: 10.1038/s41467-020-18233-x. [DOI] [PMC free article] [PubMed] [Google Scholar]
- 19.Ma C., Sacco M.D., Hurst B., Townsend J.A., Hu Y., Szeto T., Zhang X., Tarbet B., Marty M.T., Chen Y., Wang J. Boceprevir, GC-376, and calpain inhibitors II, XII inhibit SARS-CoV-2 viral replication by targeting the viral main protease. Cell Res. 2020:1–15. doi: 10.1038/s41422-020-0356-z. [DOI] [PMC free article] [PubMed] [Google Scholar]
- 20.Iketani S., Forouhar F., Liu H., Hong S.J., Lin F.-Y., Nair M.S., Zask A., Huang Y., Xing L., Stockwell B.R., Chavez A., Ho D.D. Lead compounds for the development of SARS-CoV-2 3CL protease inhibitors. BioRxiv. 2020 doi: 10.1101/2020.08.03.235291. [DOI] [PMC free article] [PubMed] [Google Scholar]
- 21.Hung H.-C., Ke Y.-Y., Huang S.Y., Huang P.-N., Kung Y.-A., Chang T.-Y., Yen K.-J., Peng T.-T., Chang S.-E., Huang C.-T., Tsai Y.-R., Wu S.-H., Lee S.-J., Lin J.-H., Liu B.-S., Sung W.-C., Shih S.-R., Chen C.-T., Hsu J.T.-A. Discovery of M Protease inhibitors encoded by SARS-CoV-2. Antimicrob. Agents Chemother. 2020;64 doi: 10.1128/AAC.00872-20. [DOI] [PMC free article] [PubMed] [Google Scholar]
- 22.Wang Y.-C., Yang W.-H., Yang C.-S., Hou M.-H., Tsai C.-L., Chou Y.-Z., Hung M.-C., Chen Y. Structural basis of SARS-CoV-2 main protease inhibition by a broad-spectrum anti-coronaviral drug. Am J Cancer Res. 2020;10:2535–2545. [PMC free article] [PubMed] [Google Scholar]
- 23.Qiao J., Li Y.-S., Zeng R., Liu F.-L., Luo R.-H., Huang C., Wang Y.-F., Zhang J., Quan B., Shen C., Mao X., Liu X., Sun W., Yang W., Ni X., Wang K., Xu L., Duan Z.-L., Zou Q.-C., Zhang H.-L., Qu W., Long Y.-H.-P., Li M.-H., Yang R.-C., Liu X., You J., Zhou Y., Yao R., Li W.-P., Liu J.-M., Chen P., Liu Y., Lin G.-F., Yang X., Zou J., Li L., Hu Y., Lu G.-W., Li W.-M., Wei Y.-Q., Zheng Y.-T., Lei J., Yang S. SARS-CoV-2 Mpro inhibitors with antiviral activity in a transgenic mouse model. Science. 2021;371:1374–1378. doi: 10.1126/science.abf1611. [DOI] [PMC free article] [PubMed] [Google Scholar]
- 24.Cáceres C.J., Cardenas-Garcia S., Carnaccini S., Seibert B., Rajao D.S., Wang J., Perez D.R. Efficacy of GC-376 against SARS-CoV-2 virus infection in the K18 hACE2 transgenic mouse model. BioRxiv. 2021 doi: 10.1101/2021.01.27.428428. 2021.01.27.428428. [DOI] [PMC free article] [PubMed] [Google Scholar]
- 25.Shi Y., Shuai L., Wen Z., Wang C., Yan Y., Jiao Z., Guo F., Fu Z.F., Chen H., Bu Z., Peng G. The preclinical inhibitor GS441524 in combination with GC376 efficaciously inhibited the proliferation of SARS-CoV-2 in the mouse respiratory tract. Emerg. Microb. Infect. 2021;10:481–492. doi: 10.1080/22221751.2021.1899770. [DOI] [PMC free article] [PubMed] [Google Scholar]
- 26.Arutyunova E., Khan M.B., Fischer C., Lu J., Lamer T., Vuong W., van Belkum M.J., McKay R.T., Tyrrell D.L., Vederas J.C., Young H.S., Lemieux M.J. N-Terminal finger stabilizes the reversible feline drug GC376 in SARS-CoV-2 Mpro. BioRxiv. 2021 doi: 10.1101/2021.02.16.431021. 2021.02.16.431021. [DOI] [PMC free article] [PubMed] [Google Scholar]
- 27.Hoffman R.L., Kania R.S., Brothers M.A., Davies J.F., Ferre R.A., Gajiwala K.S., He M., Hogan R.J., Kozminski K., Li L.Y., Lockner J.W., Lou J., Marra M.T., Mitchell L.J., Murray B.W., Nieman J.A., Noell S., Planken S.P., Rowe T., Ryan K., Smith G.J., Solowiej J.E., Steppan C.M., Taggart B. Discovery of ketone-based covalent inhibitors of coronavirus 3CL proteases for the potential therapeutic treatment of COVID-19. J. Med. Chem. 2020;63:12725–12747. doi: 10.1021/acs.jmedchem.0c01063. [DOI] [PMC free article] [PubMed] [Google Scholar]
- 28.Thanigaimalai P., Konno S., Yamamoto T., Koiwai Y., Taguchi A., Takayama K., Yakushiji F., Akaji K., Chen S.-E., Naser-Tavakolian A., Schön A., Freire E., Hayashi Y. Development of potent dipeptide-type SARS-CoV 3CL protease inhibitors with novel P3 scaffolds: design, synthesis, biological evaluation, and docking studies. Eur. J. Med. Chem. 2013;68:372–384. doi: 10.1016/j.ejmech.2013.07.037. [DOI] [PMC free article] [PubMed] [Google Scholar]
- 29.Dai W., Zhang B., Jiang X.-M., Su H., Li J., Zhao Y., Xie X., Jin Z., Peng J., Liu F., Li C., Li Y., Bai F., Wang H., Cheng X., Cen X., Hu S., Yang X., Wang J., Liu X., Xiao G., Jiang H., Rao Z., Zhang L.-K., Xu Y., Yang H., Liu H. Structure-based design of antiviral drug candidates targeting the SARS-CoV-2 main protease. Science. 2020;368:1331–1335. doi: 10.1126/science.abb4489. [DOI] [PMC free article] [PubMed] [Google Scholar]
- 30.Discovery of a novel inhibitor of coronavirus 3CL protease as a clinical candidate for the potential treatment of COVID-19 | bioRxiv, (n.d.). https://www.biorxiv.org/content/10.1101/2020.09.12.293498v2 (accessed December 11, 2020).
- 31.Malcolm B.A., Lowe C., Shechosky S., McKay R.T., Yang C.C., Shah V.J., Simon R.J., Vederas J.C., Smith D.V. Peptide aldehyde inhibitors of hepatitis A virus 3C proteinase. Biochemistry. 1995;34:8172–8179. doi: 10.1021/bi00025a024. [DOI] [PubMed] [Google Scholar]
- 32.Cfr - code of federal regulations title 21. https://www.accessdata.fda.gov/scripts/cdrh/cfdocs/cfcfr/CFRSearch.cfm?fr=182.8252 (n.d.)
- 33.Bakkour Y., Darcos V., Li S., Coudane J. Diffusion ordered spectroscopy (DOSY) as a powerful tool for amphiphilic block copolymer characterization and for critical micelle concentration (CMC) determination. Polym. Chem. 2012;3:2006–2010. doi: 10.1039/c2py20054f. [DOI] [Google Scholar]
- 34.Costigliola L., Heyes D.M., Schrøder T.B., Dyre J.C. Revisiting the Stokes-Einstein relation without a hydrodynamic diameter. J. Chem. Phys. 2019;150 doi: 10.1063/1.5080662. [DOI] [PubMed] [Google Scholar]
- 35.Sikorska E., Wyrzykowski D., Szutkowski K., Greber K., Lubecka E.A., Zhukov I. Thermodynamics, size, and dynamics of zwitterionic dodecylphosphocholine and anionic sodium dodecyl sulfate mixed micelles. J. Therm. Anal. Calorim. 2016;123:511–523. doi: 10.1007/s10973-015-4918-0. [DOI] [Google Scholar]
- 36.Mathaes R., Koulov A., Joerg S., Mahler H.-C. Subcutaneous injection volume of biopharmaceuticals—pushing the boundaries. JPharmSci. 2016;105:2255–2259. doi: 10.1016/j.xphs.2016.05.029. [DOI] [PubMed] [Google Scholar]
- 37.Steuten K., Kim H., Widen J.C., Babin B.M., Onguka O., Lovell S., Bolgi O., Cerikan B., Neufeldt C.J., Cortese M., Muir R.K., Bennett J.M., Geiss-Friedlander R., Peters C., Bartenschlager R., Bogyo M. Challenges for targeting SARS-CoV-2 proteases as a therapeutic strategy for COVID-19. ACS Infect. Dis. 2021 doi: 10.1021/acsinfecdis.0c00815. [DOI] [PMC free article] [PubMed] [Google Scholar]
- 38.Hu Y., Ma C., Szeto T., Hurst B., Tarbet B., Wang J. Boceprevir, calpain inhibitors II and XII, and GC-376 have broad-spectrum antiviral activity against coronaviruses. ACS Infect. Dis. 2021;7:586–597. doi: 10.1021/acsinfecdis.0c00761. [DOI] [PMC free article] [PubMed] [Google Scholar]
- 39.Pelta M.D., Morris G.A., Stchedroff M.J., Hammond S.J. A one-shot sequence for high-resolution diffusion-ordered spectroscopy. Magn. Reson. Chem. 2002;40:S147–S152. doi: 10.1002/mrc.1107. [DOI] [Google Scholar]
- 40.Botana A., Aguilar J.A., Nilsson M., Morris G.A. J-modulation effects in DOSY experiments and their suppression: the Oneshot45 experiment. J. Magn. Reson. 2011;208:270–278. doi: 10.1016/j.jmr.2010.11.012. [DOI] [PubMed] [Google Scholar]
Associated Data
This section collects any data citations, data availability statements, or supplementary materials included in this article.


























