Abstract
Background/aims
Optic nerve sheath fenestration (ONSF) is a surgical intervention in the management of idiopathic intracranial hypertension (IIH) infrequently performed in the United Kingdom. Numerous surgical approaches have been described, including medial transconjunctival, lateral and endoscopic. We describe our outcomes and complications from ONSF via a supero-medial eyelid skin crease incision in patients with IIH.
Methods
We performed a retrospective review of consecutive patients undergoing ONSF for IIH between January 2011 and December 2017 by a single surgeon.
Results
Thirty patients were included in the analysis with a median follow-up of 14.5 months. Bilateral ONSFs were undertaken in 27 (90%). The data from one eye per patient were analysed. The mean kinetic perimetry score in mean radial degrees of the I4e isopter improved from 27.3° to 35.7°, p = 0.04. After removing cases with optic atrophy, the median modified Frisén grade of papilloedema improved from 2.5 to 1.0, p = 0.007. A total of 5/30 (17%) patients had complications: two (7%) had recurrence/late failure (one managed medically and one with cerebrospinal fluid [CSF] diversion surgery), one had transient cotton wool spots post-operatively, one had transient retinal haemorrhages and one patient had a transiently oval pupil. No patients had repeat ONSF, but CSF diversion surgery was subsequently carried out in 4/30 (13%) patients.
Conclusions
ONSF via a supero-medial eyelid skin crease approach is effective at improving visual function in patients with IIH. The complication rates are low when compared with CSF diversion surgery and other surgical approaches for ONSF.
Subject terms: Outcomes research, Visual system
Introduction
Idiopathic intracranial hypertension (IIH) is a syndrome of raised intracranial pressure in the absence of any structural cause or other recognised aetiology [1]. It predominantly affects young, obese women. The reported IIH incidence rates range between 0.03 and 4.7 per 100,000 and are increasing in line with rising obesity rates [2, 3]. The prevalence in our local United Kingdom (UK) population is estimated at 11/100,000, or 86/100,000 in obese females [4]. It is important to manage IIH appropriately, because as well as causing significant morbidity due to headache, in some cases, it can lead to irreversible visual loss [5].
In 2015, a Cochrane review concluded that there is no current consensus on best management strategy for IIH [6]. However, widely recognised treatment strategies can include weight loss, medications and surgery [7]. Common drug treatments include acetazolamide and topiramate [8, 9], whilst surgical options include bariatric surgery [10], cerebrospinal fluid (CSF) diversion procedures, venous sinus stenting and optic nerve sheath fenestration (ONSF) [11]. The recently published consensus guidance on IIH suggests that ONSF can be carried out as an alternative to CSF diversion surgery for those with vision-threatening IIH [12]. These recommendations were based on a meta-analysis of case series and a comparative case series [11, 13].
To date, there have been no published randomised control trials of ONSF vs CSF diversion procedures or venous sinus stenting. Such a surgical treatment trial for IIH did begin in the United States (comparing ONSF vs CSF shunting vs medical treatment alone), but had to be terminated due to failure to recruit enough patients (16 of the required 180 patients were recruited in the first year) [14]. Whilst observational studies seem favourable for ONSF, both in terms of visual outcomes and complication rates, treatment choice remains dependent on the expertise and experience available locally, and neurosurgical CSF diversion remains the preferred surgical choice in the UK [12, 13].
Options for CSF diversion procedures include those that drain the lateral ventricles or those that drain the lumbar CSF space. These procedures can be complicated by stroke, intracranial haemorrhage, CSF infection, catheter malposition, CSF overdrainage and secondary Chiari malformations [15]. Up to 50% of patients having CSF shunting procedures will require a revision [16]. A case series from our own unit showed that 60% patients having CSF diversion surgery for IIH experienced some kind of complication; this included 6% patients with intracranial haemorrhage and 14% with infections [17]. Similarly, a meta-analysis of CSF diversion surgery for IIH showed re-operation rates of 43%, major complications in 7.6% and minor complications in 32.9% [11].
ONSF offers an alternative to CSF diversion procedures for IIH with the potential for less serious or life-threatening complication rates. It involves making an opening in the meninges surrounding the optic nerve in order to directly reduce the effects of raised CSF pressure on the optic nerve head. The initial challenge is access to the optic nerve, and a number of surgical approaches have been described. These include medial transconjunctival [18], lateral [19] and endoscopic [20], with the medial transconjunctival approach probably being the most widely used in current surgical practice. Minor complications are reported in 16% of patients undergoing ONSF using these techniques, whilst major complications (esotropia, exotropia, retrobulbar haemorrhage, orbital haematoma, orbital apex syndrome and traumatic optic neuropathy) are rare in ONSF with a reported rate of 1.5% [11]. At our institution in Sheffield, UK, we have been using an upper eyelid supero-medial skin crease approach for ONSF. This approach gives safe access to the optic nerve sheath without the need for conjunctival peritomy, detachment of extra-ocular muscles or removal of bone. We describe our outcomes and complications from ONSF via this surgical approach in patients with IIH.
Materials and methods
We carried out a retrospective review of the case notes for consecutive patients undergoing ONSF for IIH at the Royal Hallamshire Hospital, Sheffield, UK, between January 2011 and December 2017. Patients were identified from operative records. IIH was diagnosed according to the Friedman–Jacobson criteria [21]. From the case notes we recorded, indication for surgery, body mass index, medication history, co-morbidities, symptoms of IIH, Snellen visual acuity pre- and post-operatively, colour vision pre- and post-operatively, data from kinetic perimetry preoperatively and at the latest follow-up, patient-reported symptom of headache pre- and post-operatively, intraoperative or post-operative complications and the requirement for any further surgeries or procedures.
Data were analysed to aid comparison with the previously published series from our unit looking at CSF diversion surgery for IIH [17]. Snellen visual acuities were converted into decimal acuities. The mean radial degrees (MRD) of the I4e isopter from Goldmann or Octopus perimetry (Haag-Streit, Köniz, Switzerland) [22] were measured according to the method outlined by Newman et al. [23]. Significant vision loss preoperatively was defined as having an MRD ≤ 30° [23]. Digital colour optic disc photographs (pre-operative and 1 month post-operative) were randomised and graded by two consultant neuro-ophthalmologists masked to the clinical details, and as to whether the photographs were taken pre- or post operation. They were graded according to the modified Frisén grade [24]. When there was discordance between the two grades, the photographs were graded by both together and a consensus was reached.
Data were analysed for one eye per patient. For unilateral surgery, the operated eye was chosen; for patients with an amblyopic eye, the non-amblyopic eye was chosen. For all other patients with bilateral/sequential surgery, the eye with the poorer preoperative VA, or if VA equal in both eyes, the lower MRD score was chosen. For ease of comparison with the literature, we also analysed all operated eyes together [11].
Statistical analysis was performed using IBM SPSS statistics for Windows, Version 25.0 (IBM Corp., Armonk, NY, USA). Data approximating to a normal distribution were described using means and standard deviations, whereas non-normal data were described using medians and interquartile ranges. Comparisons were made using paired t-tests or Wilcoxon signed-rank test as appropriate.
Surgical methods
Our patient information leaflet can be viewed in the online Supplemental material. Informed consent was obtained from all patients. All ONSF procedures were carried out under general anaesthesia by a single orbital surgeon (see Supplemental video file and Fig. 1). Access to the intraconal space was via a supero-medial eyelid skin crease approach, as described by Pelton and Patel [25]. An initial cut of ~5 mm in length was made in the optic nerve sheath parallel to the nerve fibres using a 23-gauge MVR blade. A second cut was then made parallel and ~2 mm away from the first. A rectangle of optic nerve sheath was removed, and the opening extended with the aid of a Kelly glaucoma punch to create an opening ~7 mm × 3 mm. Any intraoperative bleeding was addressed carefully, firstly with neuropatties soaked in adrenaline. If this was insufficient, transmitted heat was used by applying quatery in its lowest setting to the surrounding fatty tissue (away from the optic nerve sheath). The eyelid skin crease incision was closed with 6.0 vicryl and a pressure dressing applied for 1 h post-operatively. Bilateral surgery was the norm, but in the event of any surgical difficulties or intraoperative bleeding from the first side, a decision was taken at the time to delay the second eye surgery for 6 weeks or to only perform unilateral surgery.
Fig. 1. Surgical method for optic nerve sheath fenestration via the supero-medial skin crease approach.
a An incision is made along the supero-medial eyelid skin crease and orbicularis followed by dissection between orbicularis and septum almost to the orbital rim. b A 3-0 silk traction suture is placed at each of the four corners of the open wound, and a 6-0 silk limbal stay suture is placed supero-medially to apply minimal traction infero-laterally. c Stevens tenotomy scissors and a malleable retractor are used to dissect bluntly between the medial and middle upper lid fat pads. d Under the operating microscope, a clear length of optic nerve sheath is exposed, and an MVR blade makes the first cut. e The opening is extended with a Kelly glaucoma punch. f The opening has been made and marked here with arrows.
Acetazolamide was routinely stopped post-operatively with the theory being that this increases the flow of CSF through the windows created, helping to prevent failure.
Results
During the study period, 33 patients underwent ONSF for IIH. Three of these patients were excluded from analysis due to significant ocular co-pathology (one each with keratoconus, congenital cataract and myopic choroidal neovascular membrane). The demographics for the remaining 30 patients are shown in Table 1.
Table 1.
Demographics, baseline vision and symptoms.
| Gender, n (%) female | 28 (93%) |
| Age at the time of surgery (years), mean (std) | 30.4 (9.6) |
| BMI (kg/m2), mean (std) | 39.6 (7.9) |
| Length of follow-up (months), median (IQR) | 14.5 (8.0–29.3) |
| Previous treatments for IIH | |
| Acetazolaminde, n (%) | 27 (90.0%) |
| Topiramate, n (%) | 15 (50.0%) |
| CSF diversion surgery, n (%) | 3 (10.0%) |
| Preoperative VA in the study eye | |
| Better or equal to 1.0 (6/6), n (%) | 7 (23.3%) |
| Better or equal to 0.5 (6/12), n (%) | 21 (70.0%) |
| Better or equal to 0.25 (6/24), n (%) | 28 (93.3%) |
| Recorded preoperative symptoms | |
| Headache, n (%) | 28 (93.3%) |
| TVOs, n (%) | 12 (40.0%) |
| Pulsatile tinnitus, n (%) | 8 (26.7%) |
| Diplopia, n (%) | 6 (20.0%) |
BMI body mass index, std standard deviation, IQR interquartile range, CSF cerebrospinal fluid, VA visual acuity, TVO transient visual obscuration.
Vision-threatening IIH was the indication for ONSF surgery in 22/30 patients. Vision-threatening IIH was classified as aggressive disc swelling with rapid visual deterioration at presentation unlikely to be amenable to medical treatment alone (nine patients), progressive visual deterioration despite maximal medical treatment (six patients) or persistent/worsening papilloedema despite maximal medical treatment (seven patients). Other indications were intolerance of medical therapy (four patients), failed previous CSF diversion surgery (one patient) and headache (three patients). For all patients, the decision to operate was made by a multidisciplinary team, including neuro-ophthalmologists, the orbital surgeon and where applicable, neurosurgeons. For the three patients where headache was the principal indication, patients were extensively counselled about the risks and benefits of the surgery and alternative surgical options. Significant vision loss preoperatively (defined as an MRD score ≤30°) was present in 15 (50.0%) cases.
Of the 30 patients, 25 (83.3%) had bilateral ONSF and two (6.7%) had sequential surgeries due to intraoperative posterior ciliary vessel bleeding during the first operation (surgeries separated by 6 weeks). The reasons for unilateral surgery in the remaining three patients were asymmetrical optic disc swelling (two patients), and persistent capillary ooze intra-operatively in the context of systemic hypertension (one patient).
Table 2 shows the visual acuity, colour vision, MRD, acetazolamide dose and modified Frisén scores preoperatively and post-operatively for the 30 patients. Post-operative optic disc photos and fields were unavailable for two patients.
Table 2.
Visual acuity, colour vision and modified Frisén grades compared pre- and 1 month post-operatively.
| n | Pre-operatively | Post-operatively | ||
|---|---|---|---|---|
| Decimal VA, median (IQR) | 30 | 0.63 (0.32, 0.63) | 0.63 (0.5,1.0) | 0.035* (Wilcoxon signed rank) |
| Ishihara score (0–17), median (IQR) | 30 | 16 (5,17) | 17 (10,17) | 0.016* (Wilcoxon signed rank) |
| Modified Frisén grade (0–6), median (IQR) | 28 | 3 (1, 4) | 2 (1, 5) | 0.38 (Wilcoxon signed rank) |
| MRD, mean (std) | 28 | 27.3° (20.4°) | 35.7° (19.8°) | 0.007* (paired t-test) |
| MRD in those with severe vision loss preoperatively, mean (std) | 15 | 10.4° (8.9°) | 21.5° (16.7°) | 0.038* (paired t-test) |
| Daily acetazolamide dose (g), median (IQR) | 29 | 1.5 (1.0, 1.5) | 0 (0, 0.5) | p < 0.001* (Wilcoxon signed rank) |
MRD and acetazolamide dose compared preoperatively and at the latest follow-up.
VA visual acuity, IQR interquartile range, std standard deviation, MRD mean radial degrees.
*p < 0.05 considered significant.
When all the optic discs with a modified Frisén grade of ‘6’ (optic atrophy without swelling) either preoperatively or post-operatively were removed from the analysis, then for the remaining 20 patients, median (IQR) preoperative modified Frisén grade was 2.5 (1, 3.3), and post-operative was 1 (0, 2) (Wilcoxon signed rank, p = 0.007*). Of the eight eyes that had a Frisén grade of 6 either pre- or post-operatively, two had a pre- and post-operative Frisén grade of 6, four had a preoperative Frisén grade of 3 or 4 and a post-operative grade of 6 and one had a preoperative Frisén grade of 6 and a post-operative grade of 2.
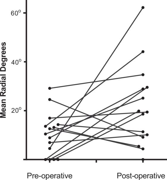
Figure 2 shows the preoperative, and the latest follow-up MRD scores for those who had severe visual loss (MRD ≤ 30°) preoperatively. Figure 3 shows the preoperative and post-operative modified Frisén grading after excluding all patients with a score of ‘6’ either pre- or post-operatively.
Fig. 2. Pre-operative and post-operative visual field scores.

Spaghetti plot showing preoperative and the latest follow-up mean radial degrees (MRD) of the I4e isopter for the 15 patients who had severe vision loss preoperatively (defined as an MRD score ≤30°).
Fig. 3. Pre-operative and post-operative optic disc swelling.

Spaghetti plot showing preoperative and post-operative modified Frisén grading for patients after excluding all patients with a grading of ‘6' (atrophy) either pre- or post-operatively.
When looking at the available data for the 56 operated eyes of the 30 patients, visual acuity improved in 26/56 (46.4%, 95% CI: 33–59%) eyes, visual acuity improved or remained stable in 52/56 (92.9%, 95% CI: 86–100%) eyes, MRD scores improved in 37/52 (71.2%, 95% CI: 59–83%) eyes, and papilloedema grade improved in 31/52 (59.6%, 95% CI: 46–73%). When all eyes with a papilloedema grade of 6 pre- or post-operatively were excluded, papilloedema grade improved in 29/36 (80.6%, 95% CI: 68–93%) eyes and improved or remained the same in 33/36 (91.7%, 95% CI: 83–100%) eyes.
Intraoperative complications included bleeding (6/30 patients, 20%), which in all cases was controlled by the methods described above. One patient was noted to have an oval-shaped pupil at the end of surgery, but this had recovered by the post-operative visit (felt to be due to adrenaline used intra-operatively).
Early post-operative complications included one patient with transient retinal haemorrhages and one with transient retinal cotton wool spots (both assumed to be due to minor surgical optic nerve trauma). The patient with transient retinal haemorrhages was treated with iv methylprednisolone (based on the experience of the treating clinician) and maintained stable visual function. The patient with retinal cotton wool spots had vision that deteriorated from 6/5 to 6/9 in one eye, and MRD reduced from 14.3° to 11.4° with a new relative afferent pupillary defect (the fellow eye retained 6/5 vision). One patient complained of eye pain and dizziness post-operatively and one patient had upper lid swelling. Both of these symptoms settled spontaneously.
In addition to the above-mentioned patient with transient retinal cotton wool spots, two further patients, who had bilateral surgeries, experienced deterioration in their measured visual acuity post-operatively. In one patient, this was in both eyes (6/12 and 6/9 preoperatively and 6/18 and 6/18 3 months post-operatively). She had pre- and post-operative MRD scores of 0°, and was lost to follow-up after 3 months. The other patient had deterioration in one eye visual acuity from 6/6 to 6/9, but the MRD score improved from 52.9° to 55.0°. Therefore, two patients had a clinically significant reduction in post-operative vision.
A total of four patients (13.3%) went on to have CSF diversion surgery after ONSF. In three cases, the indication was headache and not visual failure (one lumbo-peritoneal shunt and two ventriculo-peritoneal [VP] shunts). The other patient had a late failure of her ONSF. She had a lumbo-pleural shunt 4 years prior to ONSF. ONSF was carried out during pregnancy for vision loss, but she required a VP shunt 17 months post ONSF for ongoing headaches and progressive visual loss.
One further patient had a late recurrence of papilloedema and headache 22 months post-operatively. She was managed with medical treatment alone (acetazolamide 250 mg twice per day and topiramate 25 mg twice per day). Her optic disc swelling resolved and she maintained 6/5 vision in both eyes with MRDs of 16.5° OD and 29.5° OS (having been unable to complete a visual field test preoperatively).
Two patients with severe pre-existing psychiatric disorders died during the follow-up period from unrelated causes.
At the final follow-up, 20 (66.7%, 95% CI: 50–84%) patients continued to experience headache, but 15 (50.0%, 95% CI: 32–68%) patients described some improvement in headache. Of the three patients who had ONSF for the primary indication of headache, all continued to experience headache with one having an improvement and one going on to have a VP shunt, which helped with her headache.
Discussion
This retrospective review of patients undergoing ONSF via the supero-medial eyelid skin crease approach for IIH at a single centre in Sheffield, UK, shows positive visual outcomes and limited complications. There were significant improvements in visual acuity, colour vision, medication use and visual field scores for patients following surgery (Table 2). There were also significant improvements in visual field scores in those with severe vision loss preoperatively (defined as an MRD score ≤30° [23]). There were significant improvements in the modified Frisén disc grades when cases of optic atrophy were removed.
None of the patients in this series had repeat ONSF surgery, but 13% patients went on to have CSF diversion surgery, the main indication being persistent headache. The IIH consensus guidance states that headache alone should not generally be an indication for CSF diversion surgery; this should only be carried out in a multidisciplinary team setting where there is agreement that the patient has exhausted all other medical options [12].
The outcomes in terms of visual acuity and visual field improvement are equivalent to the outcomes previously published from our unit in a cohort of patients with IIH treated with CSF diversion surgery [17].
A systematic review and meta-analysis of ONSF for IIH has previously been conducted [11]. In it, Satti et al. reviewed 18 published series of ONSF with between 6 and 86 patients in each. Different surgical approaches were used in the 18 studies, including medial transconjunctival, lateral orbitotomy and endoscopic, but none of them used the supero-medial eyelid skin crease approach described here. Their meta-analysis looked at eyes as opposed to patients (i.e. analysed all operated eyes independently) and showed that following ONSF, visual acuity improved in 59% of eyes and improved or remained stable in 95% of eyes. Visual field scores improved in 68% of eyes and papilloedema improved in 80% of eyes. The fact that we had less eyes improving in visual acuity (46%, 95% CI: 33–59%) could be because a significant proportion of our patients had excellent starting visual acuities (and hence no room for improvement), with almost a quarter having vision of 6/6 or better at baseline (see Table 1). The number of eyes with visual acuity better or stable was similar (93% in our series) as were the number with improved visual field scores (71% in our series). The meta-analysis only had information on papilloedema improvement for 95 eyes, and this was based on whether they had papilloedema before (yes/no) and after (yes/no). We, however, have used the modified Frisén grading system and an eye with severe papilloedema preoperatively, which then resolves leaving some pallor goes from a grading of 4–6 (i.e. has a worse grade). If just looking at papilloedema as a dichotomous variable (yes/no), a grade changing from 4 to 6 would therefore count as an improvement (grade 6 being pale but not swollen). In our series, when all of the optic discs with a modified Frisén grading of 6 (pallor) either pre- or post-operatively were removed from analysis, 81% had improved papilloedema grades and 92% had improved or stable papilloedema grades. It seems therefore that our outcome data are in line with previously published series within this meta-analysis. The results in Table 2 further confirm that our methods are effective in improving vision, colour vision, visual field scores and in reducing the need for acetazolamide. The median visual acuity score did not change preoperatively to post-operatively (Table 2), but the Wilcoxon signed-rank test shows an improvement in the mean rank for visual acuity (the improvement is reflected in the interquartile ranges); the clinical significance of this is difficult to ascertain, given the very good starting visual acuities for most of our patients (Table 1). The improvement in modifed Frisén grade with all data taken together was insignificant, but this is again for the reasons mentioned above, and when the patients with a Frisén grade of 6 are removed, this becomes highly significant (p = 0.007).
The total rate of complications in this study was 5/30 (17%), including pupil complications (3%), transient retinal haemorrhage or cotton wool spots (7%) and late failure (7%). The total rate of complications in the meta-analysis by Satti et al. was 18%, with minor complications, including diplopia (8%), pupillary complications (4%), late failure (2%) and dellen (1%) [11]. The vast majority of the studies reviewed in the meta-analysis used the medial transconjunctival approach where the medial rectus is disinserted and the eye abducted maximally to obtain access to the optic nerve [26–29]. As our approach requires no muscle disinsertion, this explains why we had no diplopia complications. Furthermore, we suspect that the supero-medial upper lid skin crease approach used in the current series places less tension on the optic nerve (the eye is not put in extreme abduction as it is when the medial rectus is disinserted), and this reduces the risk of pupillary complications, which occur as a result of damage to the short ciliary nerves. A series using a lateral orbitotomy approach had higher rates again of atonic pupils because the lateral approach risks damaging the ciliary ganglion [30]. ONSF using an endoscopic approach, which like our approach, puts less tension on the optic nerve and involves no muscle disinsertion, does not cause diplopia or pupil complications [31, 32].
We had two patients with clinically significant reduction in post-operative visual acuity. Both had severe vision loss preoperatively, with MRDs of 14 and 0, respectively. We feel that the reduction in vision was as a result of an inadequate response to treatment and worsening of IIH, as opposed to a consequence of ONSF. These cases highlight the need for timely surgery. ONSF may not have been performed early enough in the disease process. Pineles et al. suggest that there is a ‘golden window’ in which treatment with ONSF is effective, and that early intervention leads to better outcomes [33]. We have found in our practice that the timing and length of this ‘golden window’ varies from patient to patient. In those with aggressive disc swelling and rapidly deteriorating visual fields, or poor vision from macular exudation, the optimum window is probably within 72 h [34]. For patients with persistent/worsening papilloedema despite maximum medical treatment who are maintaining good visual function, the window for ONSF is probably 2–3 weeks. Other patients would fall within this spectrum. Where there is no availability for urgent ONSF within the optimum treatment window, a temporising lumbar drain can be used, but only for a maximum of 5 days, as it carries significant risk of infection [12]. Therefore, our usual choice for patients when ONSF is unavailable within the treatment window is for an urgent, alternative definitive procedure (i.e. a shunt).
Re-operation rates in the meta-analysis of Satti et al. were 15% (9% repeat ONSF and 6% CSF diversion surgery) [11]. These rates were, however, hugely variable across studies with some studies reporting up to 46% repeat ONSF [35] and 34% subsequent CSF diversion surgery [36]. In our study, no patients had repeat ONSF and 4/30 (13%) had CSF diversion surgery. In one patient, this was for progressive visual loss as part of her IIH, but for the other 3/4 (75%) patients, the primary indication was headache. It is important to bear in mind that headache often remains in patients even after CSF diversion surgery [17], and patients with IIH frequently have other types of headache not related to their IIH disorder [37]. This can make management decisions for this group of patients difficult, particularly as there is fear from both the patient and the clinician about the potentially aggressive nature of IIH, and there may be considerable variability between clinicians (even within units) on decisions about CSF diversion surgery.
If we compare our outcomes from the current series with those of the previously published outcomes from CSF diversion procedures for IIH, we see similar gains in visual acuity and visual field scores, but less complications and re-operation rates in those having ONSF compared with shunting [17]. The rates of improved headache are, however, probably better with shunting procedures than ONSF [11, 17]. Dural venous sinus stenting may offer superior outcomes in terms of visual and headache improvement, but carries a 3% risk of subdural haematoma [11].
The reporting of headache in this current study and the previous shunt study from our unit [17] was crude, subjective and retrospective. We know that headache outcomes are difficult to quantify and prone to placebo/nocebo [38]. We are in need of a prospective trial to ascertain headache outcomes of IIH treatments, which would need to include more accurate measures of headache, such as monthly headache days, monthly migraine days, presence/absence of medication overuse and use of headache preventives and abortives.
Our study is not without limitations. It is retrospective and represents the results from a single surgeon at a single unit. There is the potential for bias derived from practice within an individual centre with a dedicated surgeon, potentially improving the outcomes of surgery. There is a clear need for a well-designed, prospective, randomised control trial comparing surgical treatment options (including ONSF, shunting and stenting) for IIH. However, given that the SIGHT trial, which was to compare medical treatment, CSF diversion surgery or ONSF for IIH, has been halted due to poor recruitment [14], the results from case series such as this are still needed to help inform best practice. We believe our results show that in the right context, and with appropriate surgical expertise, ONSF via the supero-medial eyelid skin crease approach can be effective and safe in patients with sight-threatening IIH. It is important to optimise the timing of surgery before vision is lost irrecoverably (the ‘golden window’) [33]. Furthermore, patients should be counselled that though ONSF can help with stabilising vision, it may not be effective in controlling headaches. ONSF is now our preferred treatment method for patients with vision-threatening IIH in Sheffield, UK, where we find it superior compared with other CSF diversion procedures because of its high success rate, reduced re-operation rates and reduced risks of severe complications. There may be a need to develop centres of expertise in ONSF surgery elsewhere in the UK (and in other countries) where patients with sight-threatening IIH can be safely and successfully managed.
Summary
What was known before
Surgical treatments for visual-threatening idiopathic intracranial hypertension (IIH) include CSF diversion procedures, optic nerve sheath fenestration (ONSF) and venous sinus stenting. The choice of surgical intervention is largely directed by expertise available locally.
A meta-analysis of CSF diversion procedures for IIH showed major and minor complication rates of 8% and 33%, respectively, and re-operation rates of 43%.
A meta-analysis of ONSF for IIH showed major and minor complication rates of 1.5% and 16.4%, respectively, and re-operation rates of 15%. This meta-analysis did not include studies using the supero-medial eyelid skin crease approach that we have adopted as our preferred surgical method in Sheffield, UK.
What this study adds
ONSF via the supero-medial eyelid skin crease approach can improve visual acuity, visual fields, colour vision and papilloedema in patients with IIH.
Major and minor complication rates were 0% and 17%, respectively, and subsequent CSF diversion surgery was carried out in 13%.
We conclude that ONSF via the supero-medial eyelid skin crease approach is both effective and safe for managing vision-threatening IIH.
Supplementary information
Optic nerve sheath fenestration via a supero-medial eyelid skin crease approach
Compliance with ethical standards
Conflict of interest
The authors declare that they have no conflict of interest.
Footnotes
Publisher’s note Springer Nature remains neutral with regard to jurisdictional claims in published maps and institutional affiliations.
Supplementary information
The online version of this article (10.1038/s41433-020-1024-8) contains supplementary material, which is available to authorized users.
References
- 1.Markey KA, Mollan SP, Jensen RH, Sinclair AJ. Understanding idiopathic intracranial hypertension: mechanisms, management, and future directions. Lancet Neurol. 2016;15:78–91. doi: 10.1016/S1474-4422(15)00298-7. [DOI] [PubMed] [Google Scholar]
- 2.Mollan SP, Aguiar M, Evison F, Frew E, Sinclair AJ. The expanding burden of idiopathic intracranial hypertension. Eye. 2019;33:478–85. doi: 10.1038/s41433-018-0238-5. [DOI] [PMC free article] [PubMed] [Google Scholar]
- 3.McCluskey G, Doherty-Allan R, McCarron P, Loftus AM, McCarron LV, Mulholland D, et al. Meta-analysis and systematic review of population-based epidemiological studies in idiopathic intracranial hypertension. Eur J Neurol. 2018;25:1218–27. doi: 10.1111/ene.13739. [DOI] [PubMed] [Google Scholar]
- 4.Raoof N, Sharrack B, Pepper IM, Hickman SJ. The incidence and prevalence of idiopathic intracranial hypertension in Sheffield, UK. Eur J Neurol. 2011;18:1266–8. doi: 10.1111/j.1468-1331.2011.03372.x. [DOI] [PubMed] [Google Scholar]
- 5.Best J, Silvestri G, Burton B, Foot B, Acheson J. The incidence of blindness due to idiopathic intracranial hypertension in the UK. Open Ophthalmol J. 2013;7:26–9. doi: 10.2174/1874364101307010026. [DOI] [PMC free article] [PubMed] [Google Scholar]
- 6.Piper RJ, Kalyvas AV, Young AM, Hughes MA, Jamjoom AA, Fouyas IP. Interventions for idiopathic intracranial hypertension. Cochrane Database Syst Rev. 2015;8:CD003434. doi: 10.1002/14651858.CD003434.pub3. [DOI] [PMC free article] [PubMed] [Google Scholar]
- 7.Mollan SP, Ali F, Hassan-Smith G, Botfield H, Friedman DI, Sinclair AJ. Evolving evidence in adult idiopathic intracranial hypertension: pathophysiology and management. J Neurol, Neurosurg, Psychiatry. 2016;87:982–92. doi: 10.1136/jnnp-2015-311302. [DOI] [PMC free article] [PubMed] [Google Scholar]
- 8.Wall M, McDermott MP, Kieburtz KD, Corbett JJ, Feldon SE, Friedman DI, et al. Effect of acetazolamide on visual function in patients with idiopathic intracranial hypertension and mild visual loss: the idiopathic intracranial hypertension treatment trial. JAMA. 2014;311:1641–51. doi: 10.1001/jama.2014.3312. [DOI] [PMC free article] [PubMed] [Google Scholar]
- 9.Ball AK, Howman A, Wheatley K, Burdon MA, Matthews T, Jacks AS, et al. A randomised controlled trial of treatment for idiopathic intracranial hypertension. J Neurol. 2011;258:874–81. doi: 10.1007/s00415-010-5861-4. [DOI] [PubMed] [Google Scholar]
- 10.Okoroafor F, Karim MA, Ali A. Idiopathic intracranial hypertension and bariatric surgery: a literature review and a presentation of two cases. Br J Neurosurg. 2019;33:112–14. doi: 10.1080/02688697.2018.1427211. [DOI] [PubMed] [Google Scholar]
- 11.Satti SR, Leishangthem L, Chaudry MI. Meta-analysis of CSF diversion procedures and dural venous sinus stenting in the setting of medically refractory idiopathic intracranial hypertension. AJNR Am J Neuroradiol. 2015;36:1899–904. doi: 10.3174/ajnr.A4377. [DOI] [PMC free article] [PubMed] [Google Scholar]
- 12.Mollan SP, Davies B, Silver NC, Shaw S, Mallucci CL, Wakerley BR, et al. Idiopathic intracranial hypertension: consensus guidelines on management. J Neurol, Neurosurg, Psychiatry. 2018;89:1088–100. doi: 10.1136/jnnp-2017-317440. [DOI] [PMC free article] [PubMed] [Google Scholar]
- 13.Fonseca PL, Rigamonti D, Miller NR, Subramanian PS. Visual outcomes of surgical intervention for pseudotumour cerebri: optic nerve sheath fenestration versus cerebrospinal fluid diversion. Br J Ophthalmol. 2014;98:1360–3. doi: 10.1136/bjophthalmol-2014-304953. [DOI] [PubMed] [Google Scholar]
- 14.Jaeb Center for Health Research. Surgical Idiopathic Intracranial Hypertension Treatment Trial (SIGHT). Secondary Surgical Idiopathic Intracranial Hypertension Treatment Trial (SIGHT) 2018. https://clinicaltrials.gov/ct2/show/NCT03501966. Accessed March 2020.
- 15.Moza K, McMenomey SO, Delashaw JB., Jr Indications for cerebrospinal fluid drainage and avoidance of complications. Otolaryngol Clin North Am. 2005;38:577–82. doi: 10.1016/j.otc.2005.01.001. [DOI] [PubMed] [Google Scholar]
- 16.Pickard J, Richards H, Seeley H, Mendez RF, Joannides A. UK Shunt registry, draft report 2017: The Society of British Neurological Surgeons, 2017. https://www.sbns.org.uk/index.php/audit/shunt-registry/. Accessed November 2019.
- 17.Hickman SJ, Raoof N, Panesar H, McMullan JM, Pepper IM, Sharrack B. Visual outcomes from shunting for idiopathic intracranial hypertension. Neuroophthalmology. 2014;38:310–19. doi: 10.3109/01658107.2014.956183. [DOI] [PMC free article] [PubMed] [Google Scholar]
- 18.Vaidya NS, Mahmoud AM, Buzzacco D, Katz SE. Visual outcomes following optic nerve sheath fenestration via the medial transconjunctival approach. Orbit. 2016;35:271–7. doi: 10.1080/01676830.2016.1193530. [DOI] [PubMed] [Google Scholar]
- 19.Blessing NW, Tse DT. Optic nerve sheath fenestration: a revised lateral approach for nerve access. Orbit. 2019;38:137–43. doi: 10.1080/01676830.2018.1452949. [DOI] [PMC free article] [PubMed] [Google Scholar]
- 20.Tarrats L, Hernandez G, Busquets JM, Portela JC, Serrano LA, Gonzalez-Sepulveda L, et al. Outcomes of endoscopic optic nerve decompression in patients with idiopathic intracranial hypertension. Int Forum Allergy Rhinol. 2017;7:615–23. doi: 10.1002/alr.21927. [DOI] [PMC free article] [PubMed] [Google Scholar]
- 21.Friedman DI, Jacobson DM. Diagnostic criteria for idiopathic intracranial hypertension. Neurology. 2002;59:1492–5. doi: 10.1212/01.WNL.0000029570.69134.1B. [DOI] [PubMed] [Google Scholar]
- 22.Rowe FJ, Rowlands A. Comparison of diagnostic accuracy between Octopus 900 and Goldmann kinetic visual fields. BioMed Res Int. 2014;2014:214829. doi: 10.1155/2014/214829. [DOI] [PMC free article] [PubMed] [Google Scholar]
- 23.Newman WD, Tocher K, Acheson JF. Vigabatrin associated visual field loss: a clinical audit to study prevalence, drug history and effects of drug withdrawal. Eye. 2002;16:567–71. doi: 10.1038/sj.eye.6700168. [DOI] [PubMed] [Google Scholar]
- 24.Scott CJ, Kardon RH, Lee AG, Frisen L, Wall M. Diagnosis and grading of papilledema in patients with raised intracranial pressure using optical coherence tomography vs clinical expert assessment using a clinical staging scale. Arch Ophthalmol. 2010;128:705–11. doi: 10.1001/archophthalmol.2010.94. [DOI] [PubMed] [Google Scholar]
- 25.Pelton RW, Patel BC. Superomedial lid crease approach to the medial intraconal space: a new technique for access to the optic nerve and central space. Ophthalmic Plast Reconstr Surg. 2001;17:241–53. doi: 10.1097/00002341-200107000-00003. [DOI] [PubMed] [Google Scholar]
- 26.Kelman SE, Sergott RC, Cioffi GA, Savino PJ, Bosley TM, Elman MJ. Modified optic nerve decompression in patients with functioning lumboperitoneal shunts and progressive visual loss. Ophthalmology. 1991;98:1449–53. doi: 10.1016/S0161-6420(91)32113-4. [DOI] [PubMed] [Google Scholar]
- 27.Acheson JF, Green WT, Sanders MD. Optic nerve sheath decompression for the treatment of visual failure in chronic raised intracranial pressure. J Neurol, Neurosurg, Psychiatry. 1994;57:1426–9. doi: 10.1136/jnnp.57.11.1426. [DOI] [PMC free article] [PubMed] [Google Scholar]
- 28.Banta JT, Farris BK. Pseudotumor cerebri and optic nerve sheath decompression. Ophthalmology. 2000;107:1907–12. doi: 10.1016/S0161-6420(00)00340-7. [DOI] [PubMed] [Google Scholar]
- 29.Moreau A, Lao KC, Farris BK. Optic nerve sheath decompression: a surgical technique with minimal operative complications. J Neuropphthalmol. 2014;34:34–8. doi: 10.1097/WNO.0000000000000065. [DOI] [PubMed] [Google Scholar]
- 30.Corbett JJ, Nerad JA, Tse DT, Anderson R. Results of optic nerve sheath fenestration for pseudotumor cerebri. The lateral orbitotomy approach. Arch Ophthalmol. 1988;106:1391–7. doi: 10.1001/archopht.1988.01060140555022. [DOI] [PubMed] [Google Scholar]
- 31.Gupta AK, Gupta A, Kumar S, Lal V. Endoscopic endonasal management of pseudotumor cerebri: is it effective? Laryngoscope. 2007;117:1138–42. doi: 10.1097/MLG.0b013e31805c9a7a. [DOI] [PubMed] [Google Scholar]
- 32.Sencer A, Akcakaya MO, Basaran B, Yorukoglu AG, Aydoseli A, Aras Y, et al. Unilateral endoscopic optic nerve decompression for idiopathic intracranial hypertension: a series of 10 patients. World Neurosurg. 2014;82:745–50. doi: 10.1016/j.wneu.2014.03.045. [DOI] [PubMed] [Google Scholar]
- 33.Pineles SL, Volpe NJ. Long-term results of optic nerve sheath fenestration for idiopathic intracranial hypertension: earlier intervention favours improved outcomes. Neuroophthalmology. 2013;37:12–19. doi: 10.3109/01658107.2012.757787. [DOI] [PMC free article] [PubMed] [Google Scholar]
- 34.Thambisetty M, Lavin PJ, Newman NJ, Biousse V. Fulminant idiopathic intracranial hypertension. Neurology. 2007;68:229–32. doi: 10.1212/01.wnl.0000251312.19452.ec. [DOI] [PubMed] [Google Scholar]
- 35.Spoor TC, Ramocki JM, Madion MP, Wilkinson MJ. Treatment of pseudotumor cerebri by primary and secondary optic nerve sheath decompression. Am J Ophthalmol. 1991;112:177–85. doi: 10.1016/S0002-9394(14)76698-X. [DOI] [PubMed] [Google Scholar]
- 36.Chandrasekaran S, McCluskey P, Minassian D, Assaad N. Visual outcomes for optic nerve sheath fenestration in pseudotumour cerebri and related conditions. Clin Exp Ophthalmol. 2006;34:661–5. doi: 10.1111/j.1442-9071.2006.01301.x. [DOI] [PubMed] [Google Scholar]
- 37.Friedman DI, Rausch EA. Headache diagnoses in patients with treated idiopathic intracranial hypertension. Neurology. 2002;58:1551–3. doi: 10.1212/WNL.58.10.1551. [DOI] [PubMed] [Google Scholar]
- 38.Zis P, Mitsikostas DD. Nocebo responses in brain disease: a systematic review of the current literature. Int Rev Neurobiol. 2018;139:443–62. doi: 10.1016/bs.irn.2018.07.025. [DOI] [PubMed] [Google Scholar]
Associated Data
This section collects any data citations, data availability statements, or supplementary materials included in this article.
Supplementary Materials
Optic nerve sheath fenestration via a supero-medial eyelid skin crease approach

