Abstract
Little is known about whether early-phase PET images of 18F-FP-CIT match those of amyloid PET. Here, we compared early-phase 18F-FP-CIT and 18F-flutemetamol PET images in patients who underwent both within a 1-month interval. The SUVR on early-phase 18F-FP-CIT PET (median, 0.86) was significantly lower than that of 18F-flutemetamol PET (median, 0.91, p < 0.001) for total brain regions including all cerebral lobes and central structures. This significant difference persisted for each brain region except central structures (p = 0.232). The SUVR of total brain regions obtained from early 18F-FP-CIT PET showed a very strong correlation with that of 18F-flutemetamol PET (rho = 0.80, p < 0.001). Among the kinetic parameters, only R1 showed a statistically significant correlation between the two techniques for all brain regions (rho = 0.89, p < 0.001). R1 from 18F-FP-CIT (median, 0.77) was significantly lower in all areas of the brain compared to R1 from 18F-flutemetamol PET (median, 0.81, p < 0.001).18F-FP-CIT demonstrated lower uptake in cortical brain regions than 18F-flutemetamol on early-phase PET. However, both early-phase PETs demonstrated significant correlation of uptake.
Subject terms: Molecular medicine, Neurology
Introduction
Parkinson's disease (PD) and Alzheimer's dementia (AD) are representative neurodegenerative diseases, and the number of patients afflicted is rapidly increasing in aging societies1,2. In the field of positron emission tomography (PET), dopamine transporter PET and amyloid PET are widely used in clinical practice to evaluate PD3,4 and for differential diagnosis of AD5, respectively. In addition, brain perfusion imaging could provide complementary information when evaluating these patients6–8. However, oxygen-15-labeled water for cerebral perfusion PET image has a short half-life (2.04 min), this technique is limited to institutions that have a cyclotron. Although brain perfusion single photon emission computed tomography using 99mTc-ethyl cysteinate dimer or 99mTc-hexamethylpropylene amine oxime exists, it offers lower resolution than PET9. 18F-fluorodeoxyglucose (FDG) brain PET could be used based on the fact that brain blood flow and glucose metabolism are well coupled10,11, but it also has limitations in that dual-biomarker positron PET can lead to increased costs, radiation exposure, longer scanning time and patient discomfort12.
To address these issues, dual-phase imaging has been attempted with N-(3-fluoropropyl)-2β carboxymethoxy-3β-(4-iodophenyl) nortropane (18F-FP-CIT) and amyloid PET, and the usefulness of this approach has been demonstrated by several previous studies13–17. In the dual-phase protocol, early-phase images taken 10–15 min after injection of the radiopharmaceutical are obtained in addition to the usual delayed image. This method is used under the assumption that the early-phase images can reflect brain perfusion13,14,18. Since the dual-phase protocol is advantageous in that two functional images can be obtained with a single injection of radiopharmaceuticals, many institutions obtain an additional early-phase scan during routine 18F-FP-CIT or amyloid PET. Whether early-phase images from 18F-FP-CIT and amyloid PET would exhibit similar uptake remains unclear. Assuming that early-phase PET images commonly reflect perfusion, both early PET images would have to be closely matched. However, no previous studies have directly compared early-phase uptake between these techniques.
The aim of this study was to investigate whether 18F-FP-CIT uptake in the early phase correlated with early amyloid PET, and whether there were any differences between these techniques.
Results
Early-phase standardized uptake value ratios (SUVRs) from 18F-FP-CIT and 18F-flutemetamol PET
The SUVR obtained from 18F-FP-CIT PET (median [interquartile range (IQR)], 0.86 [0.79 to 0.89]) was significantly lower than that obtained from 18F-flutemetamol PET (0.91 [0.85–0.95], p < 0.001) for overall total brain regions including all cerebral lobes and central structures. In the results for each brain area, the SUVR from 18F-FP-CIT PET for cortical brain regions (i.e., frontal, occipital, parietal and temporal lobes) showed a significantly lower value than 18F-flutemetamol PET (all p < 0.05), with the exception of the central structures (p = 0.232). The detailed results for SUVR are presented in Table 1 and representative images that support these results are shown in Fig. 1.
Table 1.
Early-phase parameters of 18F-FP-CIT PET and 18F-flutemetamol PET.
| SUVR (median, IQR*) | R1 (median, IQR*) | |||||
|---|---|---|---|---|---|---|
| 18F-FP-CIT PET | 18F-flutemetamol PET | p-value† | 18F-FP-CIT PET | 18F-flutemetamol PET | p-value† | |
| Central structures (n = 10) | 0.83 (0.78–0.96) | 0.88 (0.84–0.93) | 0.232 | 0.63 (0.61–0.68) | 0.69 (0.67–0.75) | 0.027 |
| Frontal lobe (n = 10) | 0.86 (0.82–0.90) | 0.91 (0.88–0.95) | 0.002 | 0.81 (0.80–0.84) | 0.88 (0.82–0.91) | 0.004 |
| Occipital lobe (n = 10) | 0.89 (0.87–0.95) | 0.99 (0.95–1.02) | 0.002 | 0.82 (0.80–0.90) | 0.94 (0.91–0.00) | 0.004 |
| Parietal lobe (n = 10) | 0.83 (0.80–0.87) | 0.92 (0.86–0.95) | 0.002 | 0.78 (0.71–0.87) | 0.84 (0.78–0.91) | 0.014 |
| Temporal lobe (n = 10) | 0.79 (0.78–0.82) | 0.83 (0.82–0.85) | 0.016 | 0.71 (0.67–0.77) | 0.75 (0.73–0.78) | 0.019 |
| Total brain regions‡ (n = 50) | 0.86 (0.82–0.87) | 0.91 (0.85–0.95) | < 0.001 | 0.77 (0.68–0.83) | 0.81 (0.74–0.91) | < 0.001 |
*Interquartile range, †p-value from the Wilcoxon test for paired samples, ‡regions including central structures and all cerebral lobes.
Figure 1.

Representative images of early-phase PETs. The 18F-FP-CIT SUVR image showed less uptake in cortical areas (white arrowheads in A) than the 18F-flutemetamol SUVR image (grey arrowheads in B), while the central structures showed similar activity in the two PETs (white arrows in A and grey arrows in B).
In total brain regions, the SUVRs obtained from 18F-FP-CIT PET showed a very strong correlation with those from 18F-flutemetamol PET (rho = 0.80, p < 0.001, Fig. 2A). There was a moderate degree of significant correlation of SUVRs from the two PETs in the frontal (rho = 0.69, p = 0.026), occipital (rho = 0.74, p = 0.014) and temporal lobes (rho = 0.78, p = 0.008), and very strong correlation in the central structures (rho = 0.85, p = 0.002) and parietal lobe (rho = 0.89, p < 0.001).
Figure 2.
Scatter diagram of the correlation of parameters between 18F-FP-CIT PET and 18F-flutemetamol PET in the early phase. The early-phase SUVR obtained from 18F-FP-CIT PET showed a very strong correlation with that from 18F-flutemetamol PET in total brain regions including all cerebral lobes and central structures (rho = 0.80, p < 0.001, A). A very strong correlation of R1 was also observed between the two PETs in total brain area (rho = 0.89, p < 0.001, B). The trend line is drawn with the local weighted regression smoothing span (100%) in each diagram.
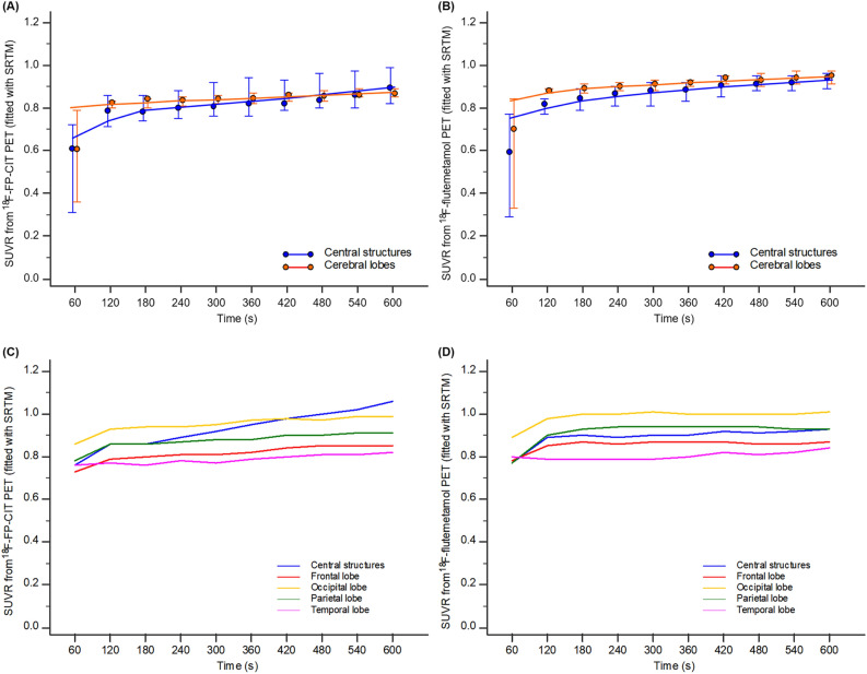
Time-activity curves (TACs) from early-phase 18F-FP-CIT and 18F-flutemetamol PET scans
The SUVR TACs from early-phase 18F-FP-CIT and 18F-flutemetamol PET fitted using a simplified reference tissue model (SRTM) are shown in Fig. 3. From 9 min onward, the 18F-FP-CIT SUVR of the central structures was higher than that of the cerebral lobes (Fig. 3A). However, this pattern was not observed until 10 min in the SUVR TACs from 18F-flutemetamol PET (Fig. 3B). Representative and typical SRTM fitting for SUVR TACs of a patient are shown in Fig. 3C,D. The individual SUVR TACs fitted using SRTM from 10 patients were provided in Supplementary Fig. 1.
Figure 3.
The SUVR time-activity curves (TACs) fitted using the simplified reference tissue method (SRTM) obtained from early-phase 18F-FP-CIT (A) and 18F-flutemetamol PET (B) images. The SUVR of 18F-FP-CIT in the central structure rose relatively steeply compared to other brain regions after 9 min (blue connecting line in A). Error bars represent the interquartile range of the median. Typical example of SUVR TACs using SRTM fitting in a patient (C,D).
Kinetic parameters from early-phase 18F-FP-CIT and 18F-flutemetamol PET scans
The delivery rate of 18F-FP-CIT in total brain regions relative to the rate of delivery in the cerebellum (0.77 [0.68–0.83]), represented as R1, was significantly lower than that of 18F-flutemetamol (0.81 [0.74–0.91], p < 0.001). This significant difference in R1 between the two PETs was consistent across all brain areas even when dividing by each region (all p < 0.05, Table 1). There was a very strong correlation in R1 between 18F-FP-CIT and 18F-flutemetamol PET in total brain regions (rho = 0.89, p < 0.001, Fig. 2B). A very strong correlation of R1 between the two PETs was seen in the central structures (rho = 0.87, p = 0.001), frontal (rho = 0.91, p < 0.001), temporal (rho = 0.91, p < 0.001) and parietal lobes (rho = 0.88, p < 0.001). The occipital lobe demonstrated a moderate degree of significant correlation (rho = 0.65, p = 0.040). There were no significant differences or correlations in the efflux rate constant (k2) or binding potential (BPND) between the two PETs for any brain regions (Supplementary Table 1).
Discussion
We hypothesized at the beginning of this study that 18F-FP-CIT and 18F-flutemetamol activity in early-phase PET would be similar. However, comparing the two PETs showed that the cortical SUVR of 18F-FP-CIT was significantly lower than that of 18F-flutemetamol in the early phase, whereas there was no difference in SUVR in the central structures. To the best of our knowledge, no previous studies have compared early-phase PET using 18F-FP-CIT and 18F-flutemetamol. Therefore, it was difficult to find a precedent in the previous literature for the reasons underlying our results. The difference in SUVR between the two early-phase PET techniques is probably due to differences in their pharmacokinetic characteristics, and the apparently different shapes of TACs between the two PETs obtained in our study support this hypothesis. The SUVR of 18F-FP-CIT in the central structures does not differ from that of 18F-flutemetamol seems likely because of a steep increase in the activity of the central structures compared to other cortical regions on TACs. The central structures include the basal ganglia, the main target of 18F-FP-CIT, so this is not surprising. Although cortical SUVRs varied between the two PETs, they showed a moderate or very strong correlation in all brain regions.
Most previous studies that reported the usefulness of early-phase 18F-FP-CIT or amyloid PET performed validation with 18F-FDG PET15,19–23 or 15O-water perfusion PET24, but our study did not. Patients included in our retrospective study did not undergo 18F-FDG or perfusion PET imaging, so we cannot validate that early-phase PETs in our study reflect true brain perfusion. Further well-designed prospective studies including 18F-FDG PET or perfusion PET are needed to validate the current study. However, based on our results, we suggest that if both 18F-FP-CIT and 18F-flutemetamol PETs are scheduled within a short period of time, early-phase imaging from only one technique would be sufficient because of the significant correlation in their uptake. In addition, it may be helpful if clinicians keep in mind that 18F-FP-CIT may show lower uptake in cortical brain regions on early PET than 18F-flutemetamol.
Another notable result in our study is that R1 obtained from dynamic data demonstrated a significant correlation between the two PETs. The R1 also showed a significantly lower value in 18F-FP-CIT than in 18F-flutemetamol PET, similar to SUVR, but there was a very strong correlation for most brain regions. The R1, which represents the delivery rate of radiopharmaceuticals to the regional brain, has recently been used as a proxy for measuring cerebral blood flow in early-phase PET with 18F-flutemetamol25. In the central structures, SUVR showed no significant difference between the two PETs, but R1 was significantly different. It is difficult to clearly explain this discrepancy, but it is probably because the SUVR was obtained as the average value of the sum of the radiopharmaceutical activity over a 10 min duration, while the R1 value represents the delivery rate of radiopharmaceutical to the regional brain. On the other hand, k2 and BPND obtained failed to show any significant correlation between the two early PET techniques. It could be that our early-phase scan time of 10 min was not sufficient to estimate k2 and BPND. In fact, Heeman et al.26 reported that a 60 min dual-time-window protocol of 0–30 and 90–110 min is needed to accurately estimate BPND in 18F-flutemetamol PET. Nevertheless, a strength of our study is that it demonstrated a significant correlation in the early phase of the two PETs with regard to the kinetic parameter R1 as well as SUVR. We would like to recommend pharmacokinetic modeling analysis in evaluating early phase PET images. Based on our results, it seems that it is necessary to evaluate early phase images to use pharmacokinetic modeling rather than simply to obtain SUVR.
In our study, 18F-flutemetamol was used as a radiopharmaceutical for amyloid PET. Previous studies that reported the usefulness of early-phase imaging with amyloid PET have used 11C-Pittsburgh Compound B19,22,24,27,28, 18F-florbetapir20,23, or 18F-florbetaben15,18,28,29, and we could find only single previous report using 18F-flutemetamol26. Since this study was carried out retrospectively, we could not select the radiopharmaceuticals used for amyloid PET. 18F-flutemetamol was simply the main radiopharmaceutical used in our institution, so this study dealt with 18F-flutemetamol. Thus, another strength of our study is that previous research reporting 18F-flutemetamol early-phase PET is very rare.
There is not yet a clear consensus on the optimal acquisition time for early-phase brain PET for 18F-FP-CIT and 18F-flutemetamol. Jin et al.17 conducted a study on the optimal time frame for 18F-FP-CIT early-phase PET, and reported that the 10 min image was the most useful, whereas the quality of the image was too poor at the 5 min or 7 min time points. Heeman et al.26 suggested the initial 30 min as the optimal time for early-phase 18F-flutemetamol PET imaging. At our institution, obtaining an initial 10 min image from both PETs is a routine protocol. Since our method has not been proven, this was an obvious limitation of this study. Therefore, further research to determine the image acquisition time that best reflects the brain perfusion status of each radiopharmaceutical is needed.
There are several limitations to this study and they are as follows. First, the number of subjects included in this study is small. The statistical sample size was indeed satisfied, but we admit that 10 subjects was small. Due to the cost burden, it was not easy to find patients who needed both 18F-FP-CIT PET and amyloid PET within the same month in our retrospective study. We look forward to future studies that will involve more subjects in order to validate our results. The second limitation was that we were unable to collect blood samples when acquiring dynamic images due to the retrospective research design. Therefore, we used SRTM, a kinetic model that can be used without blood sampling, which was also used in previous dynamic brain imaging studies25,26,30. In order to obtain results for other kinetic parameters that cannot be obtained from SRTM such as k1, future studies with blood sampling are warranted. The final limitation was that we could not enroll a homogeneous disease group. This study included patients with various diseases such as PD, PD with dementia (PDD), progressive supranuclear palsy (PSP), dementia with Lewy bodies (DLB), and AD. Although the disease groups varied, this should not present a major obstacle to comparing early uptake on PET performed at short intervals in the same patient, which was the goal of this study. However, studies in homogenous disease groups along with normal groups are needed to validate our results.
In conclusion, 18F-FP-CIT exhibited a lower level of cortical uptake than 18F-flutemetamol on early-phase PET, but uptake of both was significantly correlated.
Methods
Subjects
This study was conducted retrospectively. From September 2017 to September 2020, 15 patients were identified as having undergone both 18F-FP-CIT PET and 18F-flutemetamol PET from among the patient population at our single institution. All patients were clinically accompanied by cognitive impairment with parkinsonism symptoms, so both 18F-FP-CIT PET and 18F-flutemetamol PET were required. Of these, three patients who did not undergo early-phase PET imaging and two patients who did not have the magnetic resonance (MR) image data necessary for quantitative PET analysis were excluded. Finally, 10 patients (male/female = 6/4, median age 68 [IQR: 56–74] years, three patients with PD, three patients with PDD, two patients with PSP, one patient with DLB, and one patient with AD) were included. The interval between PETs for each patient was < 1 month (median 9 [IQR: 8–12] days). Also, MR images were acquired within 1 month of the PET images (median 6 [IQR: 5–11] days).
The clinical design of this retrospective study was approved by the Institutional Review Board of Ajou University (MED-MDB-20-511). The need for informed consent was waived.
Brain PET/CT acquisition
PET/computed tomography (CT) data were acquired on a Discovery ST scanner (GE Healthcare, Milwaukee, WI, USA). All patients were forbidden to take neurology- or psychiatric-related drugs for 24 h before PET examination. The radiopharmaceuticals were purchased from commercial companies [18F-FP-CIT from DuChemBio (DuChemBi Co., Ltd., Seoul, South Korea) and 18F-flutemetamol from GE Healthcare (Vizamyl, GE Healthcare, Seoul, South Korea)]. Their radiochemical purity was confirmed and specific activity at the end of synthesis was sufficiently satisfactory to be used for PET imaging before daily use. For early-phase imaging, brain CT (100 kV, 95 mA; section width = 3.75 mm) was obtained, then 10 min dynamic PET data [60 s per frame, three-dimensional (3D) mode] were acquired immediately after intravenous injection of each radiopharmaceutical (median 201.83 [IQR: 191.66–207.20] MBq for 18F-FP-CIT and median 212.75 [IQR: 202.76–215.71] MBq for 18F-flutemetamol). Routine delayed-image acquisition was started 90 min after injection of radiopharmaceuticals. The delayed PET data [10 min per frame of 1 bed duration for 18F-FP-CIT and 20 min (4 × 5 min frames) for 18F-flutemetamol, 3D mode] were obtained after brain CT (same parameters as early phase). All PET images were iteratively reconstructed (i.e., ordered subsets of expectation maximization with two iterations and 21 subsets, Gaussian filter (full width at half maximum = 2.14 mm), with a 128 × 128 matrix) from CT data for attenuation correction.
Quantitative analysis of early-phase PET images
All images were analyzed using Maximum Probability Atlas application in PMOD Neuro Tool (version 3.802, PMOD Technologies Ltd., Zurich, Switzerland). First, the averaged PET image was generated by averaging the frames from 0 to 10 min on the dynamic series. Then, the individual gray matter probability map was calculated by segmentation of each patient’s T1-weighted MR image. The brain was split into left and right hemispheres and the cerebellum. MR images were spatially normalized to the Montreal Neurological Institute (MNI) T1 template. The segmented and normalized MR images were rigidly matched to the averaged PET image, and their alignments were visually checked by a specialist in nuclear medicine with 13 years of brain PET experience (YS An). The automated anatomic labeling (AAL)-merged atlas31 was transformed to MR space and cortical structures were intersected with the gray matter probability map (mask threshold of 0.3). The final VOIs applied to the matched PET series for calculating average regional uptake, represented as the standardized uptake value (SUV), were based on body weight. The VOIs of central structures, frontal, occipital, parietal and temporal lobe regions were selected. Averaged SUVs from each brain region were divided by averaged cerebellar SUV to obtain SUVR, and SUVR images were generated based on the method published by Peretti et al.32.
Also, the TAC of each region was obtained, and TACs were transferred to the kinetic modeling tool [PMOD Kinetic Modeling (PKIN)]. SRTM was developed with the cerebellum as a reference tissue. TACs fitted with SRTM and kinetic parameters including relative R1, k2, and BPND were obtained using a coupled fit across the VOIs33. The detailed structures constituting each brain area are shown in Table 2, and the representative outline contours of VOIs for selected areas are shown in Fig. 4.
Table 2.
The structures included in each brain region.
| Regions | Central structures | Frontal lobe | Occipital lobe | Parietal lobe | Temporal lobe | Cerebellum |
|---|---|---|---|---|---|---|
| Structures | Caudate nucleus | Precentral gyrus | Calcarine fissure and surrounding cortex | Postcentral gyrus | Temporal, superior, mid, inferior, poles | Vermis |
| Putamen Pallidum | Rolandic operculum | Cuneus | Supramarginal gyrus | Amygdala | Cerebellum crus | |
| Thalamus | Supplementary motor area | Lingual gyrus | Angular gyrus | Hippocampus and parahippocampus | Cerebellum | |
| Olfactory cortex | Lateral remainder of occipital lobe | Precuneus | Fusiform gyrus | |||
| Superior frontal gyrus | Parietal, superior and inferior | Heschl’s gyrus | ||||
| Middle frontal gyrus | ||||||
| Inferior frontal gyrus | ||||||
| Gyrus rectus | ||||||
| Paracentral lobule |
Figure 4.
Representative images for outline contours of volumes of interest (VOIs). The VOIs for central structures (A), frontal (B), occipital (C), parietal (D), temporal (E) lobes, and cerebellum (F) with colored outline contours were automatically set in co-registered PET-MR images by the AAL-merged atlas provided by PMOD.
Statistical analysis
All statistical analyses were performed using MedCalc software (version 19.3.1; MedCalc Software bvba, Ostend, Belgium). Power analysis was used to calculate the sample size required for this study using a significance (α) level of 5% and statistical power (1 − β) of 80%. A sample size of five for paired samples t test and nine for correlation coefficient test was required to obtain an appropriate confidence level; thus, our final enrolled number of subjects (n = 10) satisfied these requirements.
Data in our study did not follow a normal distribution as assessed by the Kolmogorov–Smirnov test. Therefore, all continuous variables are presented as the median and IQR, and appropriate nonparametric statistical methods were used to analyze the data. The Wilcoxon test for paired samples was used to determine whether a difference existed between the parameters (i.e., SUVRs and kinetic parameters) obtained from 18F-FP-CIT and 18F-flutemetamol PET. The Spearman’s coefficient for the ranked correlation test was used to assess the correlation of parameters between 18F-FP-CIT and 18F-flutemetamol PET. The magnitude of the correlation was interpreted as poor (|rho| < 0.3), fair (|rho| = 0.30–0.59), moderate (|rho| = 0.60–0.79), or very strong (|rho| ≥ 0.80)34. A p-value of less than 0.05 was considered statistically significant.
Ethics declarations
This retrospective study was conducted in accordance to the guidelines of the Declaration of Helsinki and approved by the Institutional Review Board of Ajou University (MED-MDB-20-511), through which informed consent was waived.
Supplementary Information
Author contributions
Y.S.A. conceived the research. Y.S.A. analyzed the imaging data. J.H.Y., S.J.S. and C.H.H. designed the study. Y.S.A. and J.H.Y. drafted the manuscript. S.J.L. and J.K.Y. conducted the statistical analysis. Y.S.A. reviewed the final manuscript. All authors read and approved the final manuscript.
Data availability
The datasets used and/or analyzed during the current study are available from the corresponding author on reasonable request.
Competing interests
The authors declare no competing interests.
Footnotes
Publisher's note
Springer Nature remains neutral with regard to jurisdictional claims in published maps and institutional affiliations.
Supplementary Information
The online version contains supplementary material available at 10.1038/s41598-021-91891-z.
References
- 1.Mhyre TR, Boyd JT, Hamill RW, Maguire-Zeiss KA. Parkinson's disease. Subcell Biochem. 2012;65:389–455. doi: 10.1007/978-94-007-5416-4_16. [DOI] [PMC free article] [PubMed] [Google Scholar]
- 2.2020 Alzheimer's disease facts and figures. Alzheimers Dement. 10.1002/alz.12068 (2020).
- 3.Yang Y, Cheon M, Kwak YT. 18F-FP-CIT positron emission tomography for correlating motor and cognitive symptoms of Parkinson's disease. Dement. Neurocogn. Disord. 2017;16:57–63. doi: 10.12779/dnd.2017.16.3.57. [DOI] [PMC free article] [PubMed] [Google Scholar]
- 4.Wang J, et al. 18F-FP-CIT PET imaging and SPM analysis of dopamine transporters in Parkinson's disease in various Hoehn & Yahr stages. J. Neurol. 2007;254:185–190. doi: 10.1007/s00415-006-0322-9. [DOI] [PubMed] [Google Scholar]
- 5.Yeo JM, Waddell B, Khan Z, Pal S. A systematic review and meta-analysis of (18)F-labeled amyloid imaging in Alzheimer's disease. Alzheimers Dement. (Amst.) 2015;1:5–13. doi: 10.1016/j.dadm.2014.11.004. [DOI] [PMC free article] [PubMed] [Google Scholar]
- 6.Song IU, Yoo I, Chung YA, Jeong J. The value of brain perfusion SPECT for differentiation between mildly symptomatic idiopathic Parkinson's disease and the Parkinson variant of multiple system atrophy. Nucl. Med. Commun. 2015;36:1049–1054. doi: 10.1097/MNM.0000000000000354. [DOI] [PubMed] [Google Scholar]
- 7.Matsuda H. Role of neuroimaging in Alzheimer's disease, with emphasis on brain perfusion SPECT. J. Nucl. Med. 2007;48:1289–1300. doi: 10.2967/jnumed.106.037218. [DOI] [PubMed] [Google Scholar]
- 8.Borghammer P, et al. Cerebral oxygen metabolism in patients with early Parkinson's disease. J. Neurol. Sci. 2012;313:123–128. doi: 10.1016/j.jns.2011.09.010. [DOI] [PubMed] [Google Scholar]
- 9.Rahmim A, Zaidi H. PET versus SPECT: Strengths, limitations and challenges. Nucl. Med. Commun. 2008;29:193–207. doi: 10.1097/MNM.0b013e3282f3a515. [DOI] [PubMed] [Google Scholar]
- 10.Tatlidil R, Luther S, West A, Jadvar H, Kingman T. Comparison of fluorine-18 deoxyglucose and O-15 water PET in temporal lobe epilepsy. Acta Neurol. Belg. 2000;100:214–220. [PubMed] [Google Scholar]
- 11.Wong CY, et al. A statistical investigation of normal regional intra-subject heterogeneity of brain metabolism and perfusion by F-18 FDG and O-15 H2O PET imaging. BMC Nucl. Med. 2006;6:4. doi: 10.1186/1471-2385-6-4. [DOI] [PMC free article] [PubMed] [Google Scholar]
- 12.Teipel S, et al. Multimodal imaging in Alzheimer's disease: Validity and usefulness for early detection. Lancet Neurol. 2015;14:1037–1053. doi: 10.1016/S1474-4422(15)00093-9. [DOI] [PubMed] [Google Scholar]
- 13.Jin S, et al. Differential diagnosis of parkinsonism using dual-phase F-18 FP-CIT PET imaging. Nucl. Med. Mol. Imaging. 2013;47:44–51. doi: 10.1007/s13139-012-0182-4. [DOI] [PMC free article] [PubMed] [Google Scholar]
- 14.Hong CM, Ryu HS, Ahn BC. Early perfusion and dopamine transporter imaging using (18)F-FP-CIT PET/CT in patients with parkinsonism. Am. J. Nucl. Med. Mol. Imaging. 2018;8:360–372. [PMC free article] [PubMed] [Google Scholar]
- 15.Son SH, et al. Early-phase 18F-florbetaben PET as an alternative modality for 18F-FDG PET. Clin. Nucl. Med. 2020;45:e8–e14. doi: 10.1097/RLU.0000000000002768. [DOI] [PubMed] [Google Scholar]
- 16.Segovia F, et al. Usefulness of dual-point amyloid PET scans in appropriate use criteria: A multicenter study. J. Alzheimers Dis. 2018;65:765–779. doi: 10.3233/JAD-180232. [DOI] [PubMed] [Google Scholar]
- 17.Jin S, et al. Additional value of early-phase 18F-FP-CIT PET image for differential diagnosis of atypical parkinsonism. Clin. Nucl. Med. 2017;42:e80–e87. doi: 10.1097/RLU.0000000000001474. [DOI] [PubMed] [Google Scholar]
- 18.Daerr S, et al. Evaluation of early-phase [(18)F]-florbetaben PET acquisition in clinical routine cases. Neuroimage Clin. 2017;14:77–86. doi: 10.1016/j.nicl.2016.10.005. [DOI] [PMC free article] [PubMed] [Google Scholar]
- 19.Oliveira FPM, et al. Can 11C-PiB-PET relative delivery R1 or 11C-PiB-PET perfusion replace 18F-FDG-PET in the assessment of brain neurodegeneration? J. Alzheimers Dis. 2018;65:89–97. doi: 10.3233/JAD-180274. [DOI] [PMC free article] [PubMed] [Google Scholar]
- 20.Ottoy J, et al. (18)F-FDG PET, the early phases and the delivery rate of (18)F-AV45 PET as proxies of cerebral blood flow in Alzheimer's disease: Validation against (15)O-H2O PET. Alzheimers Dement. 2019;15:1172–1182. doi: 10.1016/j.jalz.2019.05.010. [DOI] [PubMed] [Google Scholar]
- 21.Peretti DE, et al. Relative cerebral flow from dynamic PIB scans as an alternative for FDG scans in Alzheimer's disease PET studies. PLoS One. 2019;14:e0211000. doi: 10.1371/journal.pone.0211000. [DOI] [PMC free article] [PubMed] [Google Scholar]
- 22.Rostomian AH, Madison C, Rabinovici GD, Jagust WJ. Early 11C-PIB frames and 18F-FDG PET measures are comparable: A study validated in a cohort of AD and FTLD patients. J. Nucl. Med. 2011;52:173–179. doi: 10.2967/jnumed.110.082057. [DOI] [PMC free article] [PubMed] [Google Scholar]
- 23.Hsiao IT, et al. Correlation of early-phase 18F-florbetapir (AV-45/Amyvid) PET images to FDG images: Preliminary studies. Eur. J. Nucl. Med. Mol. Imaging. 2012;39:613–620. doi: 10.1007/s00259-011-2051-2. [DOI] [PubMed] [Google Scholar]
- 24.Chen YJ, et al. Relative 11C-PiB delivery as a proxy of relative CBF: Quantitative evaluation using single-session 15O-water and 11C-PiB PET. J. Nucl. Med. 2015;56:1199–1205. doi: 10.2967/jnumed.114.152405. [DOI] [PMC free article] [PubMed] [Google Scholar]
- 25.Heeman F, et al. Simulating the effect of cerebral blood flow changes on regional quantification of [(18)F]flutemetamol and [(18)F]florbetaben studies. J. Cereb. Blood Flow Metab. 2021;41:579–589. doi: 10.1177/0271678X20918029. [DOI] [PMC free article] [PubMed] [Google Scholar]
- 26.Heeman F, et al. Optimized dual-time-window protocols for quantitative [(18)F]flutemetamol and [(18)F]florbetaben PET studies. EJNMMI Res. 2019;9:32. doi: 10.1186/s13550-019-0499-4. [DOI] [PMC free article] [PubMed] [Google Scholar]
- 27.Rodriguez-Vieitez E, et al. Comparability of [(18)F]THK5317 and [(11)C]PIB blood flow proxy images with [(18)F]FDG positron emission tomography in Alzheimer's disease. J. Cereb. Blood Flow Metab. 2017;37:740–749. doi: 10.1177/0271678X16645593. [DOI] [PMC free article] [PubMed] [Google Scholar]
- 28.Tiepolt S, et al. Early [(18)F]florbetaben and [(11)C]PiB PET images are a surrogate biomarker of neuronal injury in Alzheimer's disease. Eur. J. Nucl. Med. Mol. Imaging. 2016;43:1700–1709. doi: 10.1007/s00259-016-3353-1. [DOI] [PubMed] [Google Scholar]
- 29.Martinez G, et al. 18F PET with florbetaben for the early diagnosis of Alzheimer's disease dementia and other dementias in people with mild cognitive impairment (MCI) Cochrane Database Syst. Rev. 2017;11:012883. doi: 10.1002/14651858.CD012883. [DOI] [PMC free article] [PubMed] [Google Scholar]
- 30.Yaqub M, et al. Quantification of dopamine transporter binding using [18F]FP-beta-CIT and positron emission tomography. J. Cereb. Blood Flow Metab. 2007;27:1397–1406. doi: 10.1038/sj.jcbfm.9600439. [DOI] [PubMed] [Google Scholar]
- 31.Tzourio-Mazoyer N, et al. Automated anatomical labeling of activations in SPM using a macroscopic anatomical parcellation of the MNI MRI single-subject brain. Neuroimage. 2002;15:273–289. doi: 10.1006/nimg.2001.0978. [DOI] [PubMed] [Google Scholar]
- 32.Peretti DE, et al. Diagnostic performance of regional cerebral blood flow images derived from dynamic PIB scans in Alzheimer's disease. EJNMMI Res. 2019;9:59. doi: 10.1186/s13550-019-0528-3. [DOI] [PMC free article] [PubMed] [Google Scholar]
- 33.Nelissen, N., Warwick, J., Dupont, P. & Leuven, K. U. Kinetic modelling in human brain imaging. Positron Emission Tomography-Current Clinical and Research Aspects, 978–953 (2012).
- 34.Chan YH. Biostatistics 104: Correlational analysis. Singapore Med. J. 2003;44:614–619. [PubMed] [Google Scholar]
Associated Data
This section collects any data citations, data availability statements, or supplementary materials included in this article.
Supplementary Materials
Data Availability Statement
The datasets used and/or analyzed during the current study are available from the corresponding author on reasonable request.



