Abstract
Catechol-O-methyl transferase (COMT) enzyme catalyzes the metabolism of dopamine and other catechols in the brain. Several articles investigated catechol-O-methyltransferase (COMT) Val158Met polymorphism as risk factor for alcohol dependence (AD) but the results were inconclusive. The aim of present meta-analysis was to evaluate the association of Val158Met (COMT) polymorphism with AD. Authors performed keyword search of the 4 electronic databases—Pubmed, Google Scholar, Springer Link and Science Direct databases up to December 31, 2019. Total eighteen studies that investigated the association of Val158Met polymorphism with AD were retrieved. The pooled results from the meta-analysis (2278 AD cases and 3717 healthy controls) did not show association with AD using all 5 genetic models (allele contrast model: OR = 1.02, 95% CI = 0.90–1.14, p = 0.03; homozygote model: OR = 1.06, 95% CI = 0.81–1.38, p = 0.69; dominant model: OR = 0.99, 95% CI = 0.85–1.14, p = 0.87; co-dominant model: OR = 0.97, 95% CI = 0.86–1.11, p = 0.71; recessive model: OR = 1.05;95% CI = 0.85–1.29, p = 0.61). Results of subgroup analysis showed that Val158Met is not risk for AD in Asian and Caucasian population. In conclusion, COMT Val158Met is not a risk factor for alcohol dependence.
Keywords: Alcohol dependence, AD, COMT, Val158Met, Meta-analysis, Polymorphism
Introduction
Alcohol dependence (AD) is a common, chronic, relapsing neuropsychiatric disorder and isone of the leading causes of the global burden of disease [1–3]. It has been demonstrated that among those who drink alcohol, only a minority (~ 15%) eventually become dependent on it [4] (Hasin et al. 2007). Heritability estimates are as high as 40–60%, with involvement of multiple genes [5, 6] (Stacey et al. 2009; Bienvenu et al. 2010). Chronic alcoholics have suffered with different psychiatric comorbidities, such as antisocial personality disorder, anxiety, depression, and attention deficit hyperactivity disorder [7] (Ducci et al. 2007).
Dopamine is a main neurotransmitter in the development of addiction behaviour [8] (Hyman et al. 2006). Catechol-O-methyl transferase (COMT) enzyme catalyzes the metabolism of dopamine and other catechols in the brain [9, 10]. In the striatum and nucleus accumbens, dopamine is removed from the synaptic cleft by reuptake through dopamine transporter (DAT) and subsequent oxidation by monoamine oxidase [11]. In prefrontal cortex (PF), COMT mainly controls the dopaminergic transmission, because DAT density is low in PF [12, 13]. So, the gene repeatedly implicated in PFC dopamine function is COMT. COMT enzyme metabolizes dopamine, adrenalin and noradrenalin, and is the main factor controlling dopamine levels in the PFC.
COMT gene is present on chromosome 22q11.2, contains 6 exons, and expresses at high levels in many tissues including the brain, liver, kidney, and breast etc. Several polymorphisms are reported in the COMT gene, but the most studied and cinicay significant is a single base pair G–A substitution at position 472 in exon 4 (G472A), results in substitution of valine by methionine (Val158Met) in COMT enzyme [14–16]. This substitution reduced the COMT enzyme activity. The 2 alleles are referred to as Val(G) and Met(A). Val allele encodes the thermostable high activity COMT enzyme and Met allele encodes the thermolabile low activity COMT enzyme [14, 17, 18]. Both the alleles are co-dominant, i.e. heterozygous individuals (Val/Met) have an intermediate level of COMT activity [14]. COMT gene Val158Met is a clinically functional polymorphism, and reported as risk factor for several disorders/diseases like schizophrenia [19], Autism [20], bipolar disorder [15], unipolar disorder [21], obsessive–compulsive disorder [22], attention-deficit hyperactivity disorder [23] and Posttraumatic stress disorder [24]. The first study that reported an association between the COMT Val108/158Met polymorphism and substance abuse was by Vandenbergh et al. [25]. They suggested that the high COMT activity allele (Val) was linked to polysubstance abuse in Caucasians. After that several articles reported the influence of the human COMT polymorphism on alcohol/substance addiction but results remains unclear. Hence, in present study authors carried out a meta-analysis to evaluate association between COMT Val108/158Met polymorphism and alcohol dependence/addiction.
Method
Meta-analysis was carried out according to meta-analysis of observational studies in epidemiology (MOOSE) guidelines [26].
Retrieval Strategy and Selection Criteria
Articles were retrieved through Pubmed, Springer Link, Google Scholar and Science Direct databases up to December 31, 2019, using following key words: ‘Catecho-O-methyltransferase’ or ‘COMT’ or ‘Val158Met’ and ‘Alcohol dependence’ or ‘AD’ or ‘Addiction’.
Inclusion and Exclusion Criteria
Studies were included if they met the following criteria: (1) investigate the association between COMT Val158Met polymorphism and alcohol dependence risk, (2) studies with complete information of COMT Val158Met genotype/ allele numbers in alcohol dependence cases and controls and (3) sufficient information for calculating the odds ratio (OR) with 95% confidence interval (CI). Major reasons for studies exclusion were as follows: (1) no alcohol dependence cases analyzed, (2) the Val158Met polymorphism details information missing, and (3) duplicate article.
Data Extraction
The following information was extracted for each eligible study using standard protocols: (1) first author’s name, (2) country name, (3) year of publication, (4) journal name, (5) number of cases and controls, and (6) number of genotypes in cases and controls.
Statistical Analysis
All analysis were done according to the method given in Rai et al. [27]. Pooled ORs with 95% confidence intervals (CIs) were calculated using different genetic models. Heterogeneity was investigated using Q test and quantified by I2 statistic [28]. Both fixed effect and random effect models were used to calculate ORs with their 95% CIs [29, 30], but model adopted on the basis of heterogeneity in this meta-analysis. Chi-squared analysis was used to determine whether the genotype distribution of control group was in Hardy–Weinberg equilibrium or not. Subgroup analysis was conducted by ethnicity. Publication bias was investigated by using the funnel plot of precision (1/standard error) by log odds ratio and also by Egger’s regression intercept test [31]. p value < 0.05 was considered statistically significant. All statistical analyses were done using MIX version 1.7 [32] and MetaAnalyst [33] program.
Results
Initial search of 4 databases, 45 articles were retrieved, but 16 articles did not meet the inclusion criteria after reviewing abstract. The excluded articles include results of drug treatments of AD, book chapters, reviews, and articles investigated other genes. Out of remaining 29 articles, we also excluded fourteen articles (duplicate articles, meta-analysis and only case studied). After applying inclusion/exclusion criteria, total 15 articles (Fig. 1) were suitable for the present meta-analysis [34–48] (Table 1). One author [36] has studied cases from two population (Turku and Kuopio) and also one case group of type I alcoholics, so we included a these three case groups separate in the meta-analysis. Hence, in present meta-analysis, total number of included studies are seventeen. Figure 1 showed the flow diagram of study selection.
Fig. 1.
Flow diagram of study search and selection process
Table 1.
Details of seventeen included studies in the present meta-analysis
| Studies | Country | Number of cases | Number of controls | Case val allele | Case met allele | Control val allele | Control met allele |
|---|---|---|---|---|---|---|---|
| [34] | Japan | 175 | 346 | 244 | 106 | 480 | 212 |
| [35] | Finland | 123 | 267 | 97 | 149 | 264 | 270 |
| [36], Type 2alcoholism | Finland | 62 | 267 | 64 | 60 | 264 | 270 |
| [36], Turku | Finland | 67 | 267 | 55 | 79 | 264 | 270 |
| [36], Kuopio | Finland | 56 | 267 | 42 | 70 | 264 | 270 |
| [37] | Japan | 91 | 112 | 132 | 50 | 153 | 71 |
| [38] | Germany | 100 | 100 | 96 | 104 | 93 | 107 |
| [39] | Korea | 97 | 94 | 144 | 50 | 132 | 56 |
| [40] | USA | 82 | 86 | 118 | 46 | 110 | 62 |
| [41] | Czech Republic | 399 | 400 | 413 | 385 | 389 | 411 |
| [42] | Australia | 226 | 240 | 319 | 133 | 304 | 176 |
| [43] | China | 107 | 214 | 162 | 52 | 308 | 120 |
| [44] | Turkey | 110 | 330 | 139 | 81 | 399 | 261 |
| [45] | Netherland | 110 | 98 | 99 | 121 | 96 | 100 |
| [46] | Germany | 125 | 296 | 122 | 128 | 283 | 309 |
| [47] | India | 210 | 200 | 214 | 206 | 237 | 163 |
| [48] | Italy | 28 | 34 | 31 | 25 | 42 | 26 |
In all 17 studies, total cases were 2278 with GG (766), AG (1056) and AA (456), and controls were 3717 with GG (1206), AG (1767), and AA (744) genotypes. In controls genotypes, percentage of GG, AG and AA were 32.45, 47.54, and 20.01% respectively (Fig. 2). In total cases, genotype percentage of GG, AG, and AA was 33.62, 46.36 and 20.02% respectively. In controls, the percentage of G and A alleles was 56.21 and 43.78 respectively (Fig. 3). In seventeen studies included in the present meta-analysis, the highest sample size was 399 [41] and smallest case sample size was 28 [48].
Fig. 2.

Bar diagram showing genotype percentage in control group of total studies, Asian studies and Caucasian studies
Fig. 3.

Bar diagram showing allele percentage in control group of total studies, Asian studies and Caucasian studies
Meta-Analysis
All 5 genetic models; allele contrast (A vs. G) homozygote (AA vs. GG), co-dominant (AG vs. GG), dominant (AA + AG vs. GG) and recessive (AA vs. AG + GG) models were used to evaluate Val158Met (G A) polymorphism as AD risk. Meta-analysis with allele contrast (A vs. G) did not show association with both fixed effect (A vs. G: OR = 1.007; 95%CI = 0.93–1.09; p = 0.84) and random effect model (A vs. G: OR = 1.02; 95%CI = 0.90–1.14; p = 0.003) (Table 2, Fig. 4). There was observed no increased risk of AD using homozygote model (AA vs. GG), with both fixed (AA vs GG: OR = 1.03; 95%CI = 0.87–1.21; p = 0.71) and random (AA vs GG: OR = 1.06; 95%CI = 0.81–1.38; p = 0.69) effect models with high statistical heterogeneity between studies (Table 2). Association of mutant heterozygous genotype (AG vs. GG) was not observed significant with both fixed (AGvs.GG: OR = 0.98; 95%CI = 0.86–1.11; p = 0.80) and random (AG vs.GG: OR = 0.97; 95%CI = 0.86–1.11; p = 0.71) effect models. Combined mutant genotypes (AA + AG vs. GG; dominant model) showed no positive association with AD using fixed (AA + AG vs. GG: OR = 0.98; 95%CI = 0.87–1.10; p = 0.76) effect model (Table 2). Similarly the recessive genotypes model (AA vs. AG + GG) also did not show significant association with AD using both fixed (AA vs. AG + GG: OR = 1.4; 95%CI = 0.91–1.20; p = 0.49) and random (AA vs. AG + GG: OR = 1.04; 95%CI = 0.85–1.29; p = 0.61) effect models (Table 2).
Table 2.
Summary estimates for the odds ratio (OR) in various allele/genotype contrasts, the significance level (p value) of heterogeneity test (Q test), and the I2 metric: overall analysis
| Genetic Models | Fixed effect OR (95% CI), p | Random effect OR (95% CI), p | Heterogeneity p-value (Q test) | I2 (%) | Publication bias (p of Egger’s test) |
|---|---|---|---|---|---|
| Total 18 studies | |||||
| Allele Contrast (A vs. G) | 1.007(0.93–1.09),0.84 | 1.02(0.90–1.14),0.03 | 0.004 | 52.69 | 0.55 |
| Co-dominant (AG vs. GG) | 0.98(0.86–1.11),0.80 | 0.97(0.86–1.11),0.71 | 0.49 | 0 | 0.21 |
| Homozygote (AA vs. GG) | 1.03(0.87–1.21),0.71 | 1.06(0.81–1.38),0.69 | 0.001 | 56.17 | 0.63 |
| Dominant (AA + AG vs. GG) | 0.98(0.87–1.10),0.76 | 0.99(0.85–1.14),0.87 | 0.13 | 27.35 | 0.08 |
| Recessive ( AA vs. GG + AG) | 1.4(0.91–1.20),0.49 | 1.05(0.85–1.29),0.61 | 0.01 | 48.5 | 0.76 |
Fig. 4.
Random effect forest plot of allele contrast model (AA vs. GG) of total 18 studies of COMT Val158Met (G472A) polymorphism
Subgroup Analysis and Heterogeneity
Subgroup analysis was done on the basis of ethnicity. The allele contrast meta-analysis of Asian studies did not show any significant association between COMT Val158Met polymorphism and AD (A vs. G: OR = 0.99; 95%CI = 0.86–1.13; p = 0.90; I2 = 43.43%) (Fig. 5) and meta-analysis of 11 Caucasian population based studies also did not show any association (A vs. G: OR = 1.02; 95%CI = 0.92–1.12; p = 0.75; I2 = 59.18%) (Fig. 6).
Fig. 5.
Random effect forest plot of allele contrast model (A vs. G) of total 6 Asian studies of COMT Val158Met (G472A) polymorphism
Fig. 6.
Random effect Forest plot of allele contrast model (A vs. G) of total 12 Caucasian studies of COMT Val158Met (G472A) polymorphism
A true heterogeneity existed between studies for allele contrast model (Pheterogeneity = 0.004, Q = 35.85, df = 17, I2 = 52.69%, t2 = 0.033) and homozygote model (Pheterogeneity = 0.001, Q = 38.78, df = 17, I2 = 56.17%, t2 = 0.177) comparisons. The ‘I2′ value of more than 50% for between studies comparison in both allele contrast model and homozygote model shows high level of true heterogeneity. In Asian allele contrast meta-analysis showed low heterogeneity (Pheterogeneity = 0.11, Q = 8.83, df = 5, I2 = 43.43%, t2 = 0.023), whereas Caucasian allele contrast meta-analysis showed significant high heterogeneity (Pheterogeneity = 0.004, Q = 26.94, df = 11, I2 = 59.187%, t2 = 0.044).
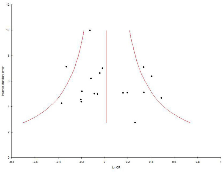
Publication Bias
Publication bias was absent in all five genetic models and P value of Egger’s test was greater than 0.05 (A vs. G, p = 0.55; AG vs. GG, p = 0.21; AA vs. GG, p = 0.63; AA + AG vs GG, p = 0.08; AA vs. AG + GG, p = 0.76). Funnel plots using standard error and precision were also symmetrical (Fig. 7).
Fig. 7.
Funnel plot-precision by log odds ratio for allele contrast model (A vs. G) of total 18 studies of COMT Val158Met (G472A) polymorphism
Discussion
Current meta-analysis, which included 2278 AD cases and 3717 healthy controls, explored the associations between the maternal COMT Va158Met polymorphism and susceptibility to AD. Overall, we did not find any association between AA or AG genotypes with AD susceptibility. However, earlier COMT Val158Met (rs4680) genotype has been reported as risk factor for alcohol dependence, with a higher frequency of the Met allele in Type I alcohol-dependent patients [35, 39]. However, also negative association results have been reported [36, 49].
Meta-analysis is a statistical tool, which overcome deficiencies of small studies/small sample analysis by combining data from several small studies and increasing the statistical power (lower type II error rate) [50]. Several meta-analysis are published, which evaluated effects of polymorphism in susceptibility of diseases/disorders-down syndrome [51–53], cleft lip and palate [54, 55], Glucose-6-phosphate dehydrogenase deficiency [56], male infertility [57], schizophrenia [58, 59], obsessive compulsive disorder [60] (Kumar and Rai 2019), depression [61, 62], epilepsy [63], Alzheimers disease [64, 65], esophageal cancer [66], prostate cancer [67] (Yadav et al. 2016), breast cancer [68] (Rai et al. 2017), digestive tract cancer [69], ovary cancer [70], endometrial cancer [71], uterine leiomyioma [72], MTHFR gene frequency [73], and MTRR gene frequency [74].
Present meta-analysis has several strength such as large number of studies (17 studies) along with larger sample size and absence of publication bias etc. Along with strength, meta-analysis has few imitations also, which should be acknowledged. like (1) unadjusted OR was estimated, (2) significant between-study heterogeneity was detected, (3) single gene polymorphism (COMT Val158Met) was considered, (4) there might be gene-environment interaction for AD, however, we did not perform subgroup analysis due to lack of data on environmental factors.
Pooled analysis of data from 18 separate studies from different ethnicities indicates that the COMT Val158Met polymorphism is not risk factor for AD. This association was complicated by higher between study heterogeneity. Future large-scale, different population-based association studies are required to investigate gene–environment interactions involving the COMT Val158Met polymorphism in determining AD risk.
Compliance with Ethical Standards
Conflict of interest
None.
Human and Animals Participants
Informed consent and Ethical Clearance is not required, as there was no human or animal involvent in the study.
Footnotes
Publisher's Note
Springer Nature remains neutral with regard to jurisdictional claims in published maps and institutional affiliations.
References
- 1.Koob GF. Alcoholism: allostasis and beyond. Alcohol Clin Exp Res. 2003;27:232–243. doi: 10.1097/01.ALC.0000057122.36127.C2. [DOI] [PubMed] [Google Scholar]
- 2.Volkow ND, Fowler JS, Wang GJ, Baler R, Telang F. Imaging dopamine’s role in drug abuse and addiction. Neuropharmacology. 2009;56:3–8. doi: 10.1016/j.neuropharm.2008.05.022. [DOI] [PMC free article] [PubMed] [Google Scholar]
- 3.World Health Organization . Global health risks: mortality and burden of disease attributable to selected major risks. Geneva: WHO; 2009. [Google Scholar]
- 4.Hasin DS, Stinson FS, Ogburn E, Grant BF. Prevalence, correlates, disability, and comorbidity of DSM-IV alcohol abuse and dependence in the United States: results from the National Epidemiologic Survey on Alcohol and Related Conditions. Arch Gen Psychiatry. 2007;64:830–842. doi: 10.1001/archpsyc.64.7.830. [DOI] [PubMed] [Google Scholar]
- 5.Stacey D, Clarke TK, Schumann G. The genetics of alcoholism. Curr Psychiatry Rep. 2009;11:364–369. doi: 10.1007/s11920-009-0055-4. [DOI] [PubMed] [Google Scholar]
- 6.Bienvenu OJ, Davydow DS, Kendler KS. Psychiatric ‘diseases’ versus behavioral disorders and degree of genetic influence. Psychol Med. 2010;4:1–8. doi: 10.1017/S003329171000084X. [DOI] [PMC free article] [PubMed] [Google Scholar]
- 7.Ducci F, Enoch MA, Funt S, Virkkunen M, Albaugh B, Goldman D. Increased anxiety and other similarities in temperament of alcoholics with and without antisocial personality disorder across three diverse populations. Alcohol. 2007;41:3–12. doi: 10.1016/j.alcohol.2007.02.005. [DOI] [PMC free article] [PubMed] [Google Scholar]
- 8.Hyman SE, Malenka RC, Nestler EJ. Neural mechanisms of addiction: The role of reward-related learning and memory. Annu Rev Neurosci. 2006;29:565–598. doi: 10.1146/annurev.neuro.29.051605.113009. [DOI] [PubMed] [Google Scholar]
- 9.Guldberg HC, Marsden CA. Catechol-O-methyl transferase: pharmacological aspects and physiological role. Pharmacol Rev. 1975;27:135–206. [PubMed] [Google Scholar]
- 10.Mannisto PT, Kaakkola S. Catechol-O-methyltransferase (COMT): biochemistry, molecular biology, pharmacology, and clinical efficacy of the new selective COMT inhibitors. Pharmacol Rev. 1999;51:593–628. [PubMed] [Google Scholar]
- 11.Eisenhofer G, Kopin IJ, Goldstein DS. Catecholamine metabolism: a contemporary view with implications for physiology and medicine. Pharmacol Rev. 2004;56:331–349. doi: 10.1124/pr.56.3.1. [DOI] [PubMed] [Google Scholar]
- 12.Moron JA, Brockington A, Wise RA, Rocha BA, Hope BT. Dopamine uptake through the norepinephrine transporter in brain regions with low levels of the dopamine transporter: evidence from knock-out mouse lines. J Neurosci. 2002;22:389–395. doi: 10.1523/JNEUROSCI.22-02-00389.2002. [DOI] [PMC free article] [PubMed] [Google Scholar]
- 13.Yavich L, Forsberg M, Gogos JA, Karayiorgou M, Mannisto PT. Site specific role of catechol-O-methyltransferase in dopamine overflow within prefrontal cortex and dorsal striatum. J Neurosci. 2007;27:10196–10202. doi: 10.1523/JNEUROSCI.0665-07.2007. [DOI] [PMC free article] [PubMed] [Google Scholar]
- 14.Lotta T, Vidgren J, Tilgmann C, Ulmanen I, Melen K, Julkunen I, Taskinen J. Kinetics of human soluble and membraneboundcatechol O-methyltransferase: a revised mechanism anddescription of the thermolabile variant of the enzyme. Biochemistry. 1995;34:4202–4210. doi: 10.1021/bi00013a008. [DOI] [PubMed] [Google Scholar]
- 15.Lachman HM, Morrow B, Shprintzen R, Veit S, Parsia SS, Faedda G, Goldberg R, Kucherlapati R, Papolos DF. Association of codon 108/158catechol-O-methyltransferase gene polymorphism with the psychiatric manifestations of velo-cardio-facial syndrome. Am J Med Genet. 1996;67:468–472. doi: 10.1002/(SICI)1096-8628(19960920)67:5<468::AID-AJMG5>3.0.CO;2-G. [DOI] [PubMed] [Google Scholar]
- 16.Kumar P, Yadav U, Rai V. Prevalence of COMT Val158Met polymorphism in Eastern UP population. Cell Mol Biol. 2017;63(6):21–24. doi: 10.14715/cmb/2017.63.6.5. [DOI] [PubMed] [Google Scholar]
- 17.Nobile M, Rusconi M, Bellina M, Marino C, Giorda R, Carlet O, Vanzin L, Molteni M, Battaglia M. COMT Val158Met polymorphism and socioeconomic status interact to predict attention deficit/hyperactivity problems in children aged 10–14. Eur Child Adolesc Psychiatry. 2010;19:549–557. doi: 10.1007/s00787-009-0080-1. [DOI] [PubMed] [Google Scholar]
- 18.Spielman RS, Weinshilboum RM. Genetics of red cell COMT activity: analysis of thermal stability and family data. Am J Med Genet. 1981;10:279–290. doi: 10.1002/ajmg.1320100311. [DOI] [PubMed] [Google Scholar]
- 19.Chen CH, Lee YR, We FC, Koong FJ, Hwu HG, Hsiao KJ. Association study of NlaIII and MspI genetic polymorphisms of catechol-O-methyltransferase gene and susceptibility to schizophrenia. Biol Psychiatry. 1997;41:985–987. doi: 10.1016/S0006-3223(97)00045-0. [DOI] [PubMed] [Google Scholar]
- 20.Gadow KD, Roohi J, DeVincent CJ, Kirsch S, Hatchwell E. Association of COMT (Val158Met) and BDNF (Val66Met) gene polymorphisms with anxiety, ADHD and tics in childrenwith autism spectrum disorder. J Autism Dev Disord. 2009;39:1542–1551. doi: 10.1007/s10803-009-0794-4. [DOI] [PMC free article] [PubMed] [Google Scholar]
- 21.Ohara K, Nagai M, Suzuki Y, Ohara K. Low activityallele of catechol-O-methyltransferase gene and Japaneseunipolar depression. Neuroreport. 1998;9:1305–1308. doi: 10.1097/00001756-199805110-00009. [DOI] [PubMed] [Google Scholar]
- 22.Karayiorgou M, Altemus M, Galke BL, Goldman D, Murphy DL, Ott J, Gogos JA. Genotype determining low catechol-O-methyltransferase activity as a risk factor for obsessive-compulsive disorder. Proc Natl Acad Sci USA. 1997;94:4572–4575. doi: 10.1073/pnas.94.9.4572. [DOI] [PMC free article] [PubMed] [Google Scholar]
- 23.Retz W, Reosler M, Kissling C, Wiemann S, Hunnerkopf R, Coogan A, Thome J, Freitag C. Norepinephrine transporter and catecholamine-O-methyltransferase gene variants and attention-deficit/hyperactivity disorder symptoms in adults. J Neural Transm. 2008;115:323–329. doi: 10.1007/s00702-007-0822-5. [DOI] [PubMed] [Google Scholar]
- 24.Valente NLM, Vallada H, Cordeiro Q, Bressan RA, Andreoli SB, Mari JJ, Mello MF. Catechol-O-methyltransferase (COMT) val158met polymorphism as a risk factor for PTSD after Urban Violence. J Mol Neurosci. 2011;43:516–523. doi: 10.1007/s12031-010-9474-2. [DOI] [PubMed] [Google Scholar]
- 25.Vandenbergh DJ, Rodriguez LA, Miller IT, Uhl GR, Lachman HM. High activity catechol-O-methyltransferase allele is more prevalent in polysubstance abusers. Am J Med Genet. 1997;74:439–442. [PubMed] [Google Scholar]
- 26.Stroup DF, Berlin JA, Morton SC, Olkin I, Williamson GD, Rennie D, Moher D, Becker BJ, Sipe TA, Thacker SB. Meta-analysis of observational studies in epidemiology: a proposal for reporting—meta-analysis of observational studies in epidemiology (MOOSE) group. JAMA. 2000;283(15):2008–2012. doi: 10.1001/jama.283.15.2008. [DOI] [PubMed] [Google Scholar]
- 27.Rai V, Yadav U, Kumar P, Yadav SK, Mishra OP. Maternal methylenetetrahydrofolate reductase C677T polymorphism and down syndrome risk: a meta-analysis from 34 studies. PLoS ONE. 2014;9(9):e108552. doi: 10.1371/journal.pone.0108552. [DOI] [PMC free article] [PubMed] [Google Scholar]
- 28.Higgins JP, Thompson SE. Quantifying heterogeneity in a meta-analysis. Stat Med. 2002;21:1539–1558. doi: 10.1002/sim.1186. [DOI] [PubMed] [Google Scholar]
- 29.Mantel N, Haenszel W. Statistical aspects of the analysis of data from retrospective studies of disease. J Natl Cancer Inst. 1959;22(4):719–748. [PubMed] [Google Scholar]
- 30.DerSimonian R, Laird N. Meta-analysis in clinical trials. Controll Clin Trials. 1986;7:177–188. doi: 10.1016/0197-2456(86)90046-2. [DOI] [PubMed] [Google Scholar]
- 31.Egger M, Dave Smith G, Schneider M, Minde C. Bias in meta-analysis detected by a simple, graphical test. BMJ. 1997;315:629–634. doi: 10.1136/bmj.315.7109.629. [DOI] [PMC free article] [PubMed] [Google Scholar]
- 32.Bax L, Yu LM, Ikeda N, Tsuruta H, Moons KG. Development and validation of MIX: comprehensive free software for meta-analysis of causal research data. BMC Med Res Methodol. 2012;6:50. doi: 10.1186/1471-2288-6-50. [DOI] [PMC free article] [PubMed] [Google Scholar]
- 33.Wallace BC, Dahabreh IJ, Trikalinos TA, Lau J, Trow P, Schmid CH. Closing the gap between methodologists and end-users: R as a computational back-end. J Stat Softw. 2013;49:1–5. [Google Scholar]
- 34.Ishiguro H, Haruo ST, Toru M, Saito T, Arinami T. Association study between high and low activity polymorphism of catechol-O-methyl transferase gene and alcoholism. Psychiatr Genet. 1999;9:135–138. doi: 10.1097/00041444-199909000-00004. [DOI] [PubMed] [Google Scholar]
- 35.Tiihonen J, Hallikainen T, Lachman H, Saito T, Volavka J, Kauhanen J, Salonen JT, Ryynanen OP, Koulu M, Karvonen MK, Pohjalainen T, Syvalahti E, Hietala J. Association between the functional variant of the catechol-Omethyltransferase (COMT) gene and type 1 alcoholism. Mol Psychiatry. 1999;4:286–289. doi: 10.1038/sj.mp.4000509. [DOI] [PubMed] [Google Scholar]
- 36.Hallikainen T, Lachman H, Saito T, Volavka J, Kauhanen J, Salonen JT, Ryynanen OP, Koulu M, Karvonen MK, Pohjalainen T, Syvalahti E, Hietala J, Tiihonen J. Lack of association between the functional variant of the catechol-O-methyltransferase (COMT) gene and early-onset alcoholism associated with severe antisocial behavior. Am J Med Genet. 2000;96:348–352. doi: 10.1002/1096-8628(20000612)96:3<348::aid-ajmg22>3.0.co;2-z. [DOI] [PubMed] [Google Scholar]
- 37.Nakamura A, Inada T, Kita Y, Katayama Y. Association between catechol-O-methyltransferase (COMT) polymorphism and severe alcoholic withdrawal symptoms in male Japanese alcoholics. Addict Biol. 2001;6:233–238. doi: 10.1080/13556210120056562. [DOI] [PubMed] [Google Scholar]
- 38.Kohnke MD, Wiatr G, Kolb W, Kohnke AM, Schick S, Lutz U, Vonthein R, Gaertner I. Plasma homovanillic acid: a significant association with alcoholism is independent of a functional polymorphism of the human catechol-O-methyltransferase gene. Neuropsychopharmacology. 2003;28:1004–1010. doi: 10.1038/sj.npp.1300107. [DOI] [PubMed] [Google Scholar]
- 39.Kweon YS, Lee HK, Lee CT. Pae CU (2005) Association study of catechol-O-methyltransferase gene polymorphism in Korean male alcoholics. Psychiatr Genet. 2015;15:151–154. doi: 10.1097/00041444-200506000-00014. [DOI] [PubMed] [Google Scholar]
- 40.Enoch MA. Genetic and environmental influences on the development of alcoholism: resilience vs. risk. Ann N Y Acad Sci. 2006;1094:193–201. doi: 10.1196/annals.1376.019. [DOI] [PubMed] [Google Scholar]
- 41.Sery L. Alcoholism and suicidal behaviour: a clinical overview. Acta Psychiatr Scand. 2006;113:13–22. doi: 10.1111/j.1600-0447.2005.00643.x. [DOI] [PubMed] [Google Scholar]
- 42.Voisey J, Swagell CD, Hughes IP, Lawford BR, Ross MD, Young RMD, Morris CP. A novel SNP in COMT is associated with alcohol dependence but not opiate or nicotine dependence: a case control study. Behav Brain Funct. 2011;7:51. doi: 10.1186/1744-9081-7-51. [DOI] [PMC free article] [PubMed] [Google Scholar]
- 43.Wang T, Franke P, Neidt H, Cichon S, Knapp M, Lichtermann D, Maier W, Propping P, Nothen MM. Association study of the low-activity allele of catechol-O-methyl transferase and alcoholism using a family based approach. Mol Psychiatry. 2001;6:109–111. doi: 10.1038/sj.mp.4000803. [DOI] [PubMed] [Google Scholar]
- 44.Altintoprak AE, Kayahan B, Kaymaz BT, Tezkanli B, Kosova B, Coskunol H. Catechol-O-methyltransferase Val108/158Met gene and alcoholism in Turkish subjects. Turk J Med Sci. 2012;42:289–297. [Google Scholar]
- 45.Schellekens AF, Franke B, Ellenbroek B, Cools A, de Jong CA, Buitelaar JK, Verkes RJ. Reduced dopamine receptor sensitivity as an intermediate phenotype in alcohol dependence and the role of the COMT Val158Met and DRD2 Taq1A genotypes. Arch Gen Psychiatry. 2012;69:339–348. doi: 10.1001/archgenpsychiatry.2011.1335. [DOI] [PubMed] [Google Scholar]
- 46.Soyka M, Zill P, Koller G, Samochowiec A, Grzywacz A, Preuss UW. Val158Met COMT polymorphism and risk of aggression in alcohol dependence. Addict Biol. 2013;20:197–204. doi: 10.1111/adb.12098. [DOI] [PubMed] [Google Scholar]
- 47.Malhotra S, Basu D, Khullar M, Ghosh A, Chugh N. Candidate genes for alcohol dependence: a genetic association study from India. Indian J Med Res. 2016;144(5):689–696. doi: 10.4103/ijmr.IJMR_1018_14. [DOI] [PMC free article] [PubMed] [Google Scholar]
- 48.Carrà G, Johnson S, Crocamo C, Angermeyer MC, Brugha T, Azorin JM, Bebbington PE. Psychosocial functioning, quality of life and clinical correlates of comorbid alcohol and drug dependence syndromes in people with schizophrenia across Europe. Psychiatry Res. 2017;239:301–307. doi: 10.1016/j.psychres.2016.03.038. [DOI] [PubMed] [Google Scholar]
- 49.Samochowiec J, Kucharska-Mazur J, Grzywacz A, Jabłonski M, Rommelspacher H, Samochowiec A, Sznabowicz M, Horodnicki J, Sagan L, Pełka-Wysiecka J. Family-based and case-control study of DRD2, DAT, 5HTT, COMT genes polymorphisms in alcohol dependence. Neurosci Lett. 2006;410:1–5. doi: 10.1016/j.neulet.2006.05.005. [DOI] [PubMed] [Google Scholar]
- 50.Ioannidis JP, Trikalinos TA, Ntzani EE, Contopoulos-Ioannidis DG. Genetic associations in large versus small studies: an empirical assessment. Lancet. 2003;361:567–571. doi: 10.1016/S0140-6736(03)12516-0. [DOI] [PubMed] [Google Scholar]
- 51.Rai V. Polymorphism in folate metabolic pathway gene as maternal risk factor for down syndrome. Int J Biol Med Res. 2011;2(4):1055–1060. [Google Scholar]
- 52.Rai V, Kumar P. Fetal MTHFR C677T polymorphism confers no susceptibility to down syndrome: evidence from meta-analysis. Egypt J Med Hum Genet. 2018;2018(19):53–58. [Google Scholar]
- 53.Rai V, Yadva U, Kumar P. Null association of maternal MTHFR A1298C polymorphism with Down syndrome pregnancy: an updated meta-analysis. The Egypt J Med Hum Genet. 2017;18(1):9–18. [Google Scholar]
- 54.Rai V. Maternal methylenetetrahydrofolate reductase (MTHFR) gene A1298C polymorphism and risk of nonsyndromic Cleft lip and/or Palate (NSCL/P) in offspring: a meta-analysis. Asian J Med Sci. 2014;6(1):16–21. [Google Scholar]
- 55.Rai V. Strong association of C677T polymorphism of methylenetetrahydrofolate reductase gene with nosyndromic cleft lip/palate (nsCL/P) Ind J Clin Biochem. 2017;33:5–15. doi: 10.1007/s12291-017-0673-2. [DOI] [PMC free article] [PubMed] [Google Scholar]
- 56.Kumar P, Yadav U, Rai V. Prevalence of glucose 6-pohsphate dehydrogenase deficiency in India: an updated meta-analysis. Egypt J Med Hum Genet. 2016;17:295–302. [Google Scholar]
- 57.Rai V, Kumar P. Methylenetetrahydrofolate reductase C677T polymorphism and risk of male infertility in Asian population. Ind J Clin Biochem. 2017;32(3):253–260. doi: 10.1007/s12291-017-0640-y. [DOI] [PMC free article] [PubMed] [Google Scholar]
- 58.Yadav U, Kumar P, Gupta S, Rai V. Role of MTHFR C677T gene polymorphism in the susceptibility of schizophrenia: an updated meta-analysis. Asian J Psychiatry. 2016;20:41–51. doi: 10.1016/j.ajp.2016.02.002. [DOI] [PubMed] [Google Scholar]
- 59.Rai V, Yadav U, Kumar P, Yadav SK, Gupta S. Methylenetetrahydrofolate Reductase A1298C genetic variant and risk of schizophrenia: an updated meta-analysis. Indian J Med Res. 2017;145(4):437–447. doi: 10.4103/ijmr.IJMR_745_14. [DOI] [PMC free article] [PubMed] [Google Scholar]
- 60.Kumar P, Rai V. Catechol-O-methyltransferase gene Val158Met polymorphism and obsessive compulsive disorder susceptibility: a meta-analysis. Metab Brain Dis. 2020;35:242–251. doi: 10.1007/s11011-019-00495-0. [DOI] [PubMed] [Google Scholar]
- 61.Rai V. Genetic polymorphisms of methylenetetrahydrofolate reductase (MTHFR) gene and susceptibility to depression in Asian population: a systematic meta-analysis. Cell Mol Biol. 2014;60(3):29–36. [PubMed] [Google Scholar]
- 62.Rai V. Association of C677T polymorphism (rs1801133) in MTHFR gene with depression. Cell Mol Biol. 2017;63(6):60–67. doi: 10.14715/cmb/2017.63.6.13. [DOI] [PubMed] [Google Scholar]
- 63.Rai V, Kumar P. Methylenetetrahydrofolate reductase C677T polymorphism and susceptibility to epilepsy. Neurol Sci. 2018;39(12):2033–2041. doi: 10.1007/s10072-018-3583-z. [DOI] [PubMed] [Google Scholar]
- 64.Rai V. Folate pathway gene methylenetetrahydrofolate reductase C677T polymorphism and Alzheimer disease risk in Asian population. Indian J Clin Biochem. 2016;31(3):245–252. doi: 10.1007/s12291-015-0512-2. [DOI] [PMC free article] [PubMed] [Google Scholar]
- 65.Rai V. Methylenetetrahydrofolate Reductase (MTHFR) C677T polymorphism and alzheimer disease risk: a meta-analysis. Mol Neurobiol. 2017;2017(54):1173–1186. doi: 10.1007/s12035-016-9722-8. [DOI] [PubMed] [Google Scholar]
- 66.Kumar P, Rai V. MTHFR C677T polymorphism and risk of esophageal cancer: an updated meta-analysis. Egypt J Med Hum Genet. 2018;19:273–284. [Google Scholar]
- 67.Yadav U, Kumar P, Rai V. Role of MTHFR A1298C gene polymorphism in the etiology of prostate cancer: a systematic review and updated meta-analysis. Egypt J Med Hum Genet. 2016;17(2):141–148. [Google Scholar]
- 68.Rai V, Yadav U, Kumar P. Impact of Catechol-O-Methyltransferase Val 158Met (rs4680) polymorphism on breast cancer susceptibility in asian population. Asian Pac J Cancer Prev. 2017;18(5):1243–1250. doi: 10.22034/APJCP.2017.18.5.1243. [DOI] [PMC free article] [PubMed] [Google Scholar]
- 69.Yadav U, Kumar P, Rai V. NQO1 gene C609T polymorphism (dbSNP: rs1800566) and digestive tract cancer risk: a meta-analysis. Nutr Cancer. 2018;70:557–568. doi: 10.1080/01635581.2018.1460674. [DOI] [PubMed] [Google Scholar]
- 70.Rai V. Methylenetetrahydrofolate reductase Gene C677T polymorphism and its association with ovary cancer. J Health Med Inf. 2016;7:3–9. [Google Scholar]
- 71.Kumar P, Singh G, Rai V. Evaluation of COMT Gene rs4680 polymorphism as a risk factor for endometrial cancer. Ind J Clin Biochem. 2020;35:63–71. doi: 10.1007/s12291-018-0799-x. [DOI] [PMC free article] [PubMed] [Google Scholar]
- 72.Kumar P, Rai V. Catechol-O-Methyltransferase Val158Met polymorphism and susceptibility to Uterine Leiomyoma. Jacobs J Gynecol Obstet. 2018;5(1):043–47. [Google Scholar]
- 73.Yadav U, Kumar P, Gupta S, Rai V. Distribution of MTHFR C677T gene polymorphism in healthy North Indian population and an updated meta-analysis. Ind J Clin Biochem. 2017;32(4):399–410. doi: 10.1007/s12291-016-0619-0. [DOI] [PMC free article] [PubMed] [Google Scholar]
- 74.Yadav U, Kumar P, Rai V. Distribution of methionine synthase reductase (MTRR) gene A66G polymorphism in Indian population. Ind J Clin Biochem. 2019 doi: 10.1007/s12291-019-00862-9. [DOI] [PMC free article] [PubMed] [Google Scholar]





