Abstract
Among the outbreak of influenza and other pandemics such as SARS-CoV-2 recently over the globe, antiviral drugs were significantly concerned with controlling the disease and these pandemics. They have been developed for seven decades around more than 90 drugs categorized licensed to treat nine human infectious diseases. Based on their functional group, antiviral compounds will mitigate infectivity and symptoms and reduce the illness period by arresting the viral replication cycle at different stages. Antiviral drugs have been developed complexly and met many biothreat challenges due to their high biosafety level requirement. In recent years, the spreading of novel virus strains that are a threat to human life, the development in researching and manufacturing new types of antiviral drugs increases and the use by patients and clinicians have increased. Antiviral compounds have been reported only partly removed during wastewater treatment. They were available in wastewater treatment plant effluents and found in surface water from rivers and streams, underground water, and even in drinking water. Photocatalytic degradation of antiviral drugs was exploding to clear the environmental waters from the antiviral drugs. The principle of photocatalysis is based on the excitation of the catalyst material by irradiation of light. The catalyst produces free radicals under the action of photons, which will destroy the pollutants adsorbed on its surface. The photocatalytic degradation mechanism of antiviral drugs can be understood through decomposing in a heterogeneous photocatalytic system and which species are involved in the active decomposition of the drug and then photocatalytically degrading into intermediates or mineralization products. The intermediates and the reaction pathway of antiviral compound photocatalytic degradation are complicated. However, some of the degradation processes are complete, and inorganic compounds (CO2 and H2O) are their final products.
Keywords: Antiviral drugs, Photocatalysts, Degradation, Mineralization, Reaction pathways
17.1. Introduction
Antiviral drugs are a specific class of medications used to treat a selective or broad spectrum of viral infections. Usually, viral infections resolve themselves if the virus that attacked humans is immune competent. However, incessantly, the world is witnessing the surge of viral infections ending up as either an epidemic or a pandemic. Among the outbreak of influenza and other pandemics such as SARS-CoV-2 recently over the globe, viral infections have been known as a significant reason for one group of death worldwide (Beck et al., 2020; Vahidnia et al., 2017). The development of antiviral drugs was significantly concerned with controlling the disease due to viral infections. In 1963, idoxuridine was recognized as the first antiviral compound by the US Food and Drug Administration (FDA) for the treatment of herpes simplex virus (HSV) keratitis (Weiner and Mason, 2019; Clercq, 2007; De Clercq and Li, 2016). Antiviral drugs were then developed to treat various viral infections, including influenza, HSV, hepatitis, human immunodeficiency virus (HIV), and coxsackievirus (Akram et al., 2018; He, 2013). However, antiviral drugs were also recognized as an emerging anthropogenic pollutant reaching the environment similar to other allied compositions such as personal care products (PCPs), pharmaceuticals, cosmeceuticals, biomedical, endocrine-disrupting chemicals (EDCs), and flame retardants (Bilal et al., 2019). The contamination of various classes of pharmaceuticals is raising concerns due to their effect on human health (Nannou et al., 2020). These compounds may cause harm to humans if they have been observed in the aqueous body (Ebele et al., 2017; Gogoi et al., 2018; Nannou et al., 2019, Nannou et al., 2020; Peng et al., 2014). It notes that these compounds have an ineffective degradation efficiency in wastewater treatment plants (WWTPs) due to their hydrophilic character (Kosma et al., 2019). Therefore, antiviral contamination into aquatic systems could be easy to happen through WWTPs effluents (Funke et al., 2016). Among antiviral drugs degradation, advanced oxidation processes (AOPs) are a potential option for the elimination of antiviral drugs with greater efficiency. Heterogeneous photocatalysis is particularly advantageous because of the stability of the photocatalyst, recoverability and reusability of photocatalyst, no requirement of additional chemicals, low energy consumption, mild operating conditions, and cost-effectiveness (Hoffmann et al., 1995). Taking advantage of photocatalysis, many types of photocatalytic materials have been developed and exhibited potential photocatalytic activity. This chapter discusses the principles, mechanisms, as well as the pathway reaction and intermediates of antiviral drugs degradation by heterogeneous photocatalysis. Besides, the potential for real application of photocatalysis degradation of antiviral drugs is also discussed in this chapter.
17.2. Situation of usage of antiviral drugs
17.2.1. Types of antiviral drugs
Antiviral drugs play a role in mitigating infectivity, syndrome, and minimizing the illness period. Antiviral drugs act by arresting the viral replication cycle at different stages (Bagga and Bouchard, 2014). Meanwhile, many antiviral infections are self-limited illnesses by the individual immunocompetent system (Arruda et al., 1997; Boppana et al., 1992); they could be solved without any medical care (Jin et al., 2018; Razonable, 2011). Nevertheless, viral infections have led to an increasing rate of deaths more and more. The development of antiviral drugs to control viral infection is necessary. Since 1963, there have been nine types of human infectious diseases such as HIV, hepatitis B virus (HBV), hepatitis C virus (HCV), herpesvirus, influenza virus, human cytomegalovirus, varicella-zoster virus, respiratory syncytial virus, and human papillomavirus, which could be treated by 90 antiviral drugs (De Clercq and Li, 2016). Based on the FDA database, there are 179 antiviral medications approved in the United States over the 30 years (1987–2017) (Chaudhuri et al., 2018).
Currently, antiviral drugs are categorized into three primary virus groups, including herpes, hepatitis, and influenza viruses (Razonable, 2011), and other antiviral drugs for HIV and coxsackievirus treatment. The notable antiviral drugs are listed in Fig. 17.1 . The antiviral drugs are divided into 13 functional groups with their mechanism to limit the virus (De Clercq and Li, 2016). For 5-substituted 2′-deoxyuridine analogs, such as 5-trifluoromethyl-2′-deoxyuridine, the antiviral activity can result from the inhibition of thymidylate synthase after phosphorylation in the infected cells (Bernaerts, 1987). Other antivirals contained nucleoside analogs group that inhibit viral proliferation by entering cells through specific nucleoside transporters. Nucleoside analogs are phosphorylated by kinases such as deoxycytidine kinase (DCK) or nucleoside monophosphate kinase (NMPK) and nucleoside diphosphate kinase (NDPK) to the active 5′-triphosphate derivatives; or nucleoside analogs can integrate with the synthesized DNA leading the chain termination and cell death. Nucleoside analogs also block DNA replication by preventing the reduction of ribonucleotide diphosphates (NDPs) to deoxyribonucleotide diphosphates (dNDPs). These functional groups have their important role in therapeutic mechanisms to mitigate infectivity and symptoms and minimize the illness period. Accompanied by the spreading of novel virus strains that are a threat to human life, the development in researching and manufacturing new types of antiviral is essential. Therefore the number of antiviral drugs has increased day-to-day.
Fig. 17.1.

Main types of antiviral drugs.
17.2.2. Development and usage of antiviral drugs
Antiviral drugs have been developed complexly. In comparison with antibiotics, they have been advanced slowly. Currently, nearly more than 90 kinds of antiviral drugs are available in the market for human use against viruses (Nannou et al., 2020). However, according to EvaluatePharma, antivirals are among the top five worldwide prescription drugs and over-the-counter sales by evaluating the therapy area from 2018 to 2024. The worldwide antiviral market was estimated at $38.9 billion in 2018, and it could reach $42.2 billion by 2024, the annual growth rate at 1.4% (Urquhart, 2019). HIV medications were predicted to be placed in the top 10 selling products worldwide in 2024, including bictegravir sodium, emtricitabine, and tenofovir alafenamide fumarate antiretrovirals drugs. Otherwise, flu season is a recurring period every year indicated by the prevalence of outbreaks of influenza (flu); the outbreaks of influenza occur annually and reach epidemic levels at some part of the season. According to the WHO data, there are around 650,000 deaths annually related to respiratory diseases from seasonal influenza, and more than 3 million are severely infected (WHO, 2017). Therefore influenza antiviral drugs are an equally important group, playing the critical component of an influenza epidemic preparation plan.
However, the development of antivirals has been met with biothreat challenges. First, the virus infection disease is endemic; some of the information about these exotic pathogens is not available. It notes that there is relatively little considerable attention, and funding has been paid to them until recently. Second, high biosafety level has been required for virus research, and the biosafety level 4 (BSL-4) containment is necessary, but it has limited access and short supply. Third, high mutation rates of RNA viruses result in potential antiviral drug resistance. The final challenge is the development of antiviral products after researching. The “Valley of Death” is the crucial middle phase of drug development between fundamental research and final products; it lacks available funding to develop final drugs.
17.3. Antiviral drugs contamination
Antiviral drugs are a category of emerging contaminants used to treat various kinds of viral infections such as HIV, hepatitis, influenza A and B, herpes, Ebola, and others (Nannou et al., 2020). The antiviral drugs metabolize in the human body and after their intended use are mostly excreted through urine or feces as active metabolites, thus entering into WWTPs (Nannou et al., 2020; Prasse et al., 2010, Prasse et al., 2011). The possible sources of antiviral drugs released to the environment are from WWTPs effluents, hospital wastes, pharmaceutical industrial effluents, disposal of unused drugs or expire-dated drugs, and animal excrements (An et al., 2011; Jain et al., 2013). Many studies have found antiviral drugs on the surface and groundwaters of the aquatic environment (Jain et al., 2013; Nannou et al., 2020).
Antiviral drugs have been reported only partly removed during wastewater treatment (Fick et al., 2007). Owing to the increasing consumption of antiviral and other PCPs, releasing them into the environment is inevitable. Antiviral drugs were available in WWTPs effluents in Germany. Acyclovir, lamivudine, and abacavir in treated wastewater were substantially removed in WWTPs, whereas nevirapine, zidovudine, and oseltamivir were found in similar concentrations in raw and treated wastewater (Prasse et al., 2010). They were detected in surface water from rivers and streams, underground water, and even drinking water. Table 17.1 lists the contamination of the antiviral drugs in the water body in the world.
Table 17.1.
Antiviral drugs contamination in the aquatic environment worldwide.
| Antiviral drugs |
Concentration ng/L(min-max) |
Country |
References |
|
|---|---|---|---|---|
| Wastewater treatment plant | ||||
| Influent | Effluent | |||
| Abacavir | ND | ND | Germany | Prasse et al. (2010) |
| Acyclovir | 1780–1990 | 27–53 | ||
| Lamivudine | 210–720 | ND | ||
| Nevirapine | 4.8–21.8 | 7–32 | ||
| Oseltamivir | 0–11.9 | 9–16 | ||
| Oseltamivir carboxylate | 29.7–42.7 | 12–17 | ||
| Penciclovir | 19.5–42.8 | ND | ||
| Ribavirin | ND | ND | ||
| Stavudine | 11.6–22.8 | ND | ||
| Zidovudine | 310–380 | 98–564 | ||
| Abacavir | ND | ND | Boulard et al. (2018) | |
| Abacavir carboxylate | ND | 20–170 | ||
| Acyclovir | ND | 0–250 | ||
| Emtricitabine | ND | 130 | ||
| Emtricitabine carboxylate | ND | 120–1000 | ||
| Emtricitabine S-oxide | ND | 0–380 | ||
| Lamivudine | ND | 0–58 | ||
| Abacavir | 60–140 | 0 | Funke et al. (2016) | |
| Abacavir carboxylate | 180–500 | 100–280 | ||
| Descyclopropylabacavir | 0–80 | ND | ||
| Emtricitabine | 100–980 | 59–170 | ||
| Emtricitabine carboxylate | 24–25 | 140–480 | ||
| Emtricitabine S-oxide | 0–68 | ND | ||
| Ganciclovir | 0–72 | 0–27 | ||
| Acyclovir | 520–4980 | 0–270 | ||
| Acyclovir carboxylate | 100–4150 | 490–3420 | ||
| Lamivudine | 180–370 (n = 5) | 0–48 | ||
| Lamivudine carboxylate | 75–220 | 0–84 | ||
| Lamivudine S-oxide | ND | ND | ||
| Zidovudine | 82–390 | 76–150 | ||
| Zidovudine carboxylate | ND | ND | ||
| Abacavir | 0–14,000 | ND | KwaZulu-Natal, South Africa | Abafe et al. (2018) |
| Maraviroc | 82–320 | 0–39 | ||
| Zidovudine | 6900–53,000 | 87–500 | ||
| Nevirapine | 670–2800 | 540–1900 | ||
| Raltegravir | 61–17,000 | 0–3500 | ||
| Darunavir | 69–43,000 | 130–17,000 | ||
| Saquinavir | 0–180 | ND | ||
| Atazanavir | 64–1400 | 78–740 | ||
| Indinavir | 260–590 | 25–42 | ||
| Ritonavir | 1600–3200 | 460–1500 | ||
| Lopinavir | 1200–2500 | 1900–3800 | ||
| Lamivudine | 840–2200 | 0–130 | ||
| Efavirenz | 24,000–34,000 | 20,000–34,000 | ||
| Efavirenz | 17,400 | 7100 | Gauteng, South Africa | Schoeman et al. (2015) |
| Nevirapine | 2100 | 350 | ||
| Acyclovir | 0–406 | 0–205 | Guangzhou, China | Peng et al. (2014) |
| Ganciclovir | ND | ND | ||
| Ribavirin | ND | ND | ||
| Stavudine | ND | ND | ||
| Zidovudine | ND | ND | ||
| Oseltamivir | ND | ND | ||
| Oseltamivir carboxylate | ND | ND | ||
| Atazanavir | ND | ND | Norway | Ferrando-Climent et al. (2016) |
| Oseltamivir | 75–346 | 54–266 | ||
| Oseltamivir carboxylate | 47–240 | 42–233 | ||
| Underground water | |||
|---|---|---|---|
| Concentration ng/L (min-max) | |||
| Abacavir | ND | Germany | Boulard et al. (2018) |
| Abacavir carboxylate | 0–11 | ||
| Emtricitabine | 0–3.9 | ||
| Emtricitabine carboxylate | 5–370 | ||
| Emtricitabine S-oxide | 0–23 | ||
| Lamivudine | 0–1.8 | ||
| Acyclovir | ND | ||
| Abacavir | ND | South Africa | Swanepoel et al. (2015) |
| Didanosine | ND | ||
| Lopinavir | ND | ||
| Nelfinavir | 0–0.9 | ||
| Nevirapine | 20–1600 | ||
| Saquinavir | 0–1.3 | ||
| Stavudine | 0–0.9 | ||
| Tenofovir | 0–2.4 | ||
| Efavirenz | 2–5 | Rimayi et al. (2018) | |
| Lamivudine | 22.5 | United States | Fisher et al. (2016) |
| Nevirapine | 27.73 | ||
| Surface water | ||||
|---|---|---|---|---|
| Concentration ng/L(min-max) | Water type | |||
| Abacavir | 0–1.4 | River | Germany | Prasse et al. (2010) |
| Lamivudine | ND | |||
| Nevirapine | 0–3.8 | |||
| Zidovudine | 0–170 | |||
| Oseltamivir | 0–17 | |||
| Oseltamivir carboxylate | 0–21 | |||
| Acyclovir | 2.6–190 | |||
| Penciclovir | 0–7 | |||
| Efavirenz | 3–354 | South Africa | Rimayi et al. (2018) | |
| Emtricitabine | 1–45 | |||
| Indinavir | ND | Wood et al. (2015) | ||
| Acyclovir | 0–112 | Guangzhou, China | Peng et al. (2014) | |
| Drinking water | ||||
|---|---|---|---|---|
| Concentration ng/L (min-max) | Water type | |||
| Abacavir | ND | Treated drinking water | Germany | Boulard et al. (2018) |
| Abacavir carboxylate | ND | |||
| Acyclovir | ND | |||
| Lamivudine | ND | |||
| Emtricitabine | ND | |||
| Emtricitabine carboxylate | ND | |||
| Emtricitabine S-oxide | ND | |||
| Acyclovir carboxylate | 41 | Funke et al. (2016) | ||
| Emtricitabine carboxylate | 80 | |||
| Lamivudine carboxylate | 84 | |||
| Abacavir | 0.5 | Municipal tap water | South Africa | Schoeman et al. (2015) |
| Didanosine | 3.3 | |||
| Lopinavir | ND | |||
| Nelfinavir | 1.1 | |||
| Nevirapine | 3.5 | |||
| Acyclovir | 0–25 | The reservoirs | Guangzhou, China | Peng et al. (2014) |
ND, not detected.
Prasse et al. (2010) discovered antiviral drugs, including acyclovir, abacavir, lamivudine, nevirapine, oseltamivir, penciclovir, ribavirin, stavudine, zidovudine, and oseltamivir carboxylate, in influent and effluent streams of WWTPs as well as in surface water of Ruhr River, Germany. Some antiviral drugs were removed by WWTPs such as acyclovir, lamivudine, and abacavir, whereas the others (nevirapine, zidovudine, and oseltamivir) were nonremovable by WWTPs. They also found contamination of antiviral drugs in river waters with a range in the lower ng/L to a maximum of 190 and 170 ng/L for acyclovir and zidovudine, respectively. Antiviral drugs were found in raw and treated water in other countries such as Germany (Boulard et al., 2018; Prasse et al., 2010), South Africa (Abafe et al., 2018; Mosekiemang et al., 2019; Schoeman et al., 2015), China (Peng et al., 2014), and Norway (Ferrando-Climent et al., 2016). Antiviral drugs are not removed entirely in WWTPs; thus they can enter the environment through WWTPs discharges. This finding indicates that they will be presenting in aquatic environments in areas where they are used by patients for therapeutic purposes. The environmental release of antiviral drugs is a serious concern because of the potential ecosystem alterations and the development of viral resistance. As described by Gogoi et al., Fig. 17.2 shows the pathway of antiviral drugs from domestic wastes to the drinking water sources (Gogoi et al., 2018). An antiviral drug, one of the emerging pollutants, is used for a patient in therapeutic. They have been discharged from the pharmaceutical industry, hospitals, and other unwanted or out-of-date medicines to sewage treatment plants. As mentioned earlier, drugs have been partly removed by WWTPs; they would release to the environment by WWTPs effluents. Drugs then would leak and infiltrate the soil, underground water, and surface water.
Fig. 17.2.

Pathways of emerging pollutants, including antiviral drugs from wastes to the drinking water sources (Gogoi et al., 2018).
Until now, the environmental fate data of antiviral compounds in soil and living being are little, so the ecotoxicological risks associated with antiviral drugs in the environment have not been assessed fully. As mentioned earlier, some antiviral drugs were removed by WWTPs such as acyclovir, lamivudine, and abacavir, whereas others (nevirapine, zidovudine, and oseltamivir) were nonremovable by WWTPs. They would contribute to pharmaceutical contamination in the soil environment after discharging from the effluent of WWTPs. Al-Rajab et al. evaluated the fate of the antiretroviral drug tenofovir in agricultural soil (Al-Rajab et al., 2010). The selected agricultural soils were applied to soils varying widely in texture. Contaminated soils were mineralized in a 2-months incubation under laboratory conditions. The higher the content of soil moisture, the more mineralization rates increased. In summary, the results concluded that tenofovir is not amendable in soils for several weeks under conditions of mesophilic aerobic microbial activity (Al-Rajab et al., 2010).
Potential contamination of antiviral drugs in aquatic organisms has been of considerable concern. Pharmaceuticals are a potential hazard for the living organisms and ecosystem because they can interact with and be ingested by living beings. However, the data of the harmful effects on the living organisms and the persistence of antiviral compounds are still limited. Antiviral drugs and other pharmaceuticals were suggested as the predicted most hazardous therapeutic classes concerning their toxicity toward daphnids, algae, and fish by using quantitative structure–activity relationship (QSAR) modeling of almost 3000 different compounds (Sanderson et al., 2004).
The antibiotics resistance, as well as antiviral resistance, has been concerned recently (Foll et al., 2014; Irwin et al., 2016; Söderström et al., 2009). Despite the limit in the bioavailability of antiviral drugs, some studies have shown that most oseltamivir-resistant strains are detected so far. They have been detected in patients not treated with oseltamivir (Hatakeyama et al., 2007; Monto et al., 2006). The humans may uptake drug remains through drinking water and lead to antiviral resistance in the future.
The outbreak of the current pandemic COVID-19 caused by the new coronavirus 2019-nCoV is called in official terms severe acute respiratory syndrome-related coronavirus SARS-CoV-2 (Gorbalenya et al., 2020). This pandemic is continuing to cause a threat to public health worldwide. To date, no particular therapeutic antiviral drugs are available specifically for SARS-CoV-2, although much research is going on for developing preventive or therapeutic drugs for COVID-19. Because half a million of the world's population is being affected with the novel virus to date (as of May 24, 2020), it is of relevance to focus on the available literature survey the potential therapeutic candidates for the treatment of COVID-19 patients under use at present and their history of occurrence and removal from the water/wastewater matrices using AOPs. Existing therapeutic drugs for treating a similar kind of viral infection were repurposed as an alternative and emergency strategy toward COVID-19. The list of such antiviral therapeutic drugs used at present is tabulated in Table 17.2 .
Table 17.2.
The list of potential antiviral therapeutic drugs used for the treatment of COVID-19 patients.
| S·No | Antiviral drugs | CAS number | Chemical formula (Mol. weight g/mol) | Chemical structure | Target |
|---|---|---|---|---|---|
| 1 | Lopinavir | 192,725–17-0 | C37H48N4O5 (628.81) |
![]() |
HIV/AIDS |
| 2 | Remdesivir | 1,809,249–37-3 | C27H35N6O8P (602.585) |
![]() |
Hepatitis C and Ebola virus |
| 3 | Ribavirin | 36,791–04-5 | C8H12N4O5 (244.206) |
![]() |
Hepatitis C |
| 4 | Baricitinib | 1,187,594–09-7 | C16H17N7O2S (371.42) |
![]() |
Rheumatoid arthritis |
| 5 | Ritonavir | 155,213–67-5 | C37H48N6O5S2 (720.946) |
![]() |
HIV |
| 6 | Darunavir | 206,361–99-1 | C27H37N3O7S (547.665) |
![]() |
HIV |
| 7 | Favipiravir | 259,793–96-9 | C5H4FN3O2 (157.104) |
Influenza | |
| 8 | Galidesivir | 249,503–25-1 | C11H15N5O3 (265.268) |
![]() |
Hepatitis C, Ebola, and Marburg virus |
| 9 | Arbidol | 131,707–23-8 | C22H25BrN2O3S (477.41) |
![]() |
Influenza |
| 10 | Chloroquine | 54–05-7 | C18H26ClN3 (319.872) |
![]() |
Malaria |
| 11 | Nitazoxanide | 55,981–09-4 | C12H9N3O5S (307.283) |
![]() |
Helminthic, protozoal, and viral infection-caused diarrhea |
Antiviral drugs such as darunavir, ritonavir, and lopinavir used to treat HIV/AIDS; remdesivir, ribavirin, and galidesivir used for Hepatitis C cure; nitazoxanide used for the treatment of helminthic, protozoal, and other rotaviral infections; arbidol and favipiravir used for the treatment of influenza; chloroquine used for treating malarial parasite; baricitinib used to treat rheumatoid fevers; and antiviral drugs such as galidesivir and remdesivir used for Ebola viral infections are now being under trials for the treatment of COVID-19 patients around the world (Liu et al., 2020).
Darunavir was found in the influents and effluents of WWTPs in South Africa. Effluent concentrations ranged from 130 to 17,000 ng/L, whereas the removal rates were significantly less in WWTPs. Other antiretroviral drugs such as lopinavir and ritonavir were found at concentrations ranging from 1900 to 3800 ng/L and 90 to 1500 ng/L in WWTP effluents, respectively (Abafe et al., 2018), whereas ribavirin was below detection limits in the samples from China and Germany WWTPs (Peng et al., 2014; Prasse et al., 2010). Some of these drugs were seen in surface waters; for example, darunavir was detected in the river waters of Poland at a concentration of 72.7 ng/L (Giebułtowicz and Nałęcz-Jawecki, 2016) and lopinavir in the waters of South Africa at a maximum concentration of 305 ng/L (Wood et al., 2015). Ritonavir occurred in French surface waters in a few ng/L (Aminot et al., 2016), whereas it was not quantified in South African waters (Wood et al., 2015). The low occurrence of these drugs in surface waters was found to be due to their preferable partition on to the solid matter. Despite several conventional and advanced unit treatment processes, few antiviral drugs were detected in the drinking waters: darunavir (169 ng/L) in the tap water of Poland and lopinavir (117.2 ng/L) in South Africa's dam water (Wood et al., 2015). The existence of these antiviral drugs in the various water matrices indicates the need of the hour to study and design the advanced treatment options for their removal or elimination.
17.4. Photocatalytic degradation of antiviral drugs
As an emerging pollutant, antiviral drug contamination is a global issue nowadays. It may affect human health through water pollution. Hence advanced treatment options need to be explored to clear the environmental waters from the antiviral drugs. In the aquatic environment, the natural attenuation of antiviral drugs happens because of photolysis, hydrolysis, sorption, or biodegradation. However, the continuous release of these drugs may pose a risk to the organisms by ecosystem alterations and the development of antiviral-resistant strains (Jain et al., 2013). Therefore, it is a significant challenge to remove antiviral drugs from the water matrix. It was documented that the conventional WWTPs do not effectively remove antiviral drugs by the existing treatment technologies in WWTPs (Jain et al., 2013; Prasse et al., 2010, Prasse et al., 2011). Hence, advanced treatment options need to be explored to clear the environmental waters from the antiviral drugs. AOPs are a potential option for the elimination of antiviral drugs with greater efficiency. Among the several available AOPs, heterogeneous photocatalysis offers an excellent opportunity for the removal of antiviral drugs and other emerging contaminants with the synergistic effect of catalyst and light irradiation. Heterogeneous photocatalysis is particularly advantageous because of the stability of the photocatalyst, recoverability and reusability of photocatalyst, no requirement of additional chemicals, low energy consumption, mild operating conditions, and cost-effectiveness (Hoffmann et al., 1995). Taking advantage of photocatalysis, many types of photocatalytic materials have been developed and proved potential photocatalytic activity.
17.4.1. Principle of photocatalytic degradation
The principle of photocatalysis is based on the excitation of the catalyst material by the irradiation of light. The catalyst produces free radicals under the action of photons, which will destroy the pollutants adsorbed on its surface. The sequence of steps that usually occur in a heterogeneous photocatalysis begins with the excitation of the catalyst material. In the activation step on irradiation, electrons are promoted from the valence band to the conduction band, thereby producing electron–hole pair, as shown in Eq. (17.1) (Hoffmann et al., 1995).
| (17.1) |
where e cb − and h vb + are conduction band electrons and valence band electron vacancy, respectively. The life span of the electron/hole pair is extremely short, about a few nanoseconds, and hence shall undergo recombination if they are not separated. The separation is possible in the presence of electron donors and acceptors. Both the conduction band electrons and valence band holes migrate onto the surface of the catalyst from where they involve in the redox reactions. Valence band hole reacts with water molecules in most of the cases to produce hydroxyl radicals (OH•) (Eq. 17.2), whereas conduction band electrons are accepted by oxygen if present to form superoxide radicals (O2 •–) (Eq. 17.3).
| (17.2) |
| (17.3) |
These radicals then react with the organic pollutant (OP) to decompose it, as shown in Eq. (17.4), or they might continue the chain of reactions to produce more number of radicals (Eqs. (17.5), (17.6)). In a few cases, the adsorbed pollutant molecules might get reduced directly because of the conduction band electrons (Eq. 17.7).
| (17.4) |
| (17.5) |
| (17.6) |
| (17.7) |
The other possible reactions during degradation of OPs by photocatalysis following Eqs. (17.2), (17.3) include the generation of radical species in an indirect path, as shown in the following Eqs. (17.8), (17.9), (17.10).
| (17.8) |
| (17.9) |
| (17.10) |
These hydroxyl radicals again oxidize OP following Eq. (17.4) to generate intermediate degradation products and finally mineralize. In some cases, the decomposition of OPs occurs on the surface of the catalyst or in the bulk solution.
17.4.2. Photocatalytic degradation of antiviral drugs
Antiviral drugs are widespread and are of concern due to their potential impact on the environment and human (Nannou et al., 2020) and the fact that they are not efficiently removed from the WWTPs. The lack of focus on the treatment of these drugs is to be noted. More particularly, in the light that AOPs based on hydroxyl radical mechanisms is a potential choice for the decomposition of pharmaceuticals, only a few studies have been reported to date. Heterogeneous photocatalytic decomposition of antiviral drugs is limited, and the list of the drugs studied is shown in Table 17.3 .
Table 17.3.
A list of antiviral drugs has been studied by photocatalytic decomposition.
| S·No | CAS No | Name of the antiviral drug | Structure | Molecular formula | Molecular weight (g/mol) | pKa |
|---|---|---|---|---|---|---|
| 1 | 204,255–11-8 | Oseltamivir | ![]() |
C16H28N2O4 | 284.35 | 3.6 and 8.9 |
| 2 | 59,277–89-3 | Acyclovir | ![]() |
C8H11N5O3 | 225.20 | 2.27 and 9.25 |
| 3 | 134,678–17-4 | Lamivudine | ![]() |
C8H11N3O3S | 229.25 | − 0.26 and 14.29 |
| 4 | 665–66-7 | 1-amantadine | C10H17N | 151.25 | 10.8 | |
| 5 | 2-amantadine | ![]() |
C10H17N | 151.25 | 10.8 | |
| 6 | 13,392–28-4 | Rimantadine | ![]() |
C12H21N | 251.77 | 10.4 |
| 7 | 139,110–80-8 | Zanamivir | ![]() |
C12H20N4O7 | 332.31 | 3.8 and 11.3 |
| 8 | 30,516–87-1 | Zidovudine | ![]() |
C10H13N5O4 | 267.24 | 9.96 |
Among a plethora of studied photocatalysts, TiO2 was the most popular candidate not only for organic pollutants but also for antiviral drugs (An et al., 2015b, An et al., 2011; Wang et al., 2015; Woche et al., 2016). Another photocatalyst that was studied was based on graphitic-carbon nitride and TiO2 (g-CN/TiO2) (Li et al., 2016) to harvest light more efficiently. The photocatalytic studies should not only focus on the degradation of parent compound but also on the improvement of mineralization efficiencies. Photocatalytic treatment might generate some intermediate compounds that are more harmful to the ecosystem and humans than their parent compounds (Vogna et al., 2004).
According to the literature on photocatalytic decomposition of antiviral drugs (Table 17.4 ), except in one study (Li et al., 2016), all other studies employed P25 from different suppliers and irradiation in the visible range. High degradation efficiencies > 95% in all the cases with P25 and g-CN/TiO2 were achieved. However, mineralization efficiencies varied in the reported literature. Acyclovir (Li et al., 2016) and oseltamivir (Wang et al., 2015) mineralization are very less (< 10%) to negligible when compared with nearly 100% degradation of the parent compound. These reports showed the resistance of the intermediates toward photocatalytic decomposition. An et al. (2011) reported about 20% mineralization efficiency for 100% degradation of Lamivudine in 1 h within the experimental conditions. When the experiment was prolonged, mineralization reached 83% in 6 h, indicating that, provided enough degradation time, lamivudine and other early degradation intermediates would be completely mineralized. In the case of oseltamivir, while > 95% was degraded in the first 50 min of the experiment, even after 360 min irradiation, 46%–57% TOC remained in the solution, indicating a large number of intermediate species during the photocatalytic process (Wang et al., 2015). The antiviral drugs such as 1-amantadine, 2-amantadine, rimantadine (An et al., 2015a), and acyclovir (An et al., 2015b) were mineralized to a large extent (> 80%), exhibiting readiness to degradation and mineralization using photocatalysis. Zanamivir has degraded completely within 1 min in the presence of AEROIXE TiO2 P25; however, its primary degradation product guanidine has shown extreme resistance to degradation in the same system (Woche et al., 2016). It is, therefore, understandable that the response of antiviral drugs toward photocatalytic treatment is specific to the experimental conditions, and at this point, comparison cannot be drawn because of a lack of similarities in the studies.
Table 17.4.
Photocatalytic degradation of antiviral drugs reported in the literature.
| S·No | Compound | Initial concentration (μM) | Catalyst | Catalyst dose (mg/L) | UV range (nm) | Intensity (mW/cm2) | pH | Removal | Mineralization (%) | Rate constant (min− 1) | References |
|---|---|---|---|---|---|---|---|---|---|---|---|
| 1 | Oseltamivir | 24 | P25 | 20 | 365 | 1.8 | 5.8–5.6 | 96% | – | 0.040 | Wang et al. (2015) |
| 2 | 24 | ST-01 | 20 | 365 | 1.8 | 5.8–5.6 | 45% | – | 0.0072 | ||
| 3 | 24 | ATO | 20 | 365 | 1.8 | 5.8–5.6 | 24% | – | 0.0034 | ||
| 4 | 21 | P25 | 20 | 365 | 1.8 | 5.8 | > 95% | < 10 | – | ||
| 5 | 21 | P25 | 100 | 365 | 1.8 | 5.8 | > 95% | < 10 | – | ||
| 6 | Acyclovir | 50 | P25 | 500 | 365 | 2.0 | 6.37 | 100 | 80 | – | An et al. (2015b) |
| 7 | 100 | P25 | 500 | 365 | 0.38 | – | 100 | – | 0.0263 | ||
| 9 | 45 | g-CN/TiO2 | 300 | > 420 | 30 | – | 100 | Negligible | 0.0157 | Li et al. (2016) | |
| 10 | Lamivudine | 100 | P25 | 1000 | 365 | 0.38 | 7 | > 95 | 20 | 0.0542 | An et al. (2011) |
| 11 | 1-amantadine | 100 | P25 | 1000 | 365 | 0.36 | – | 100 | 88.7 | 0.076 | An et al. (2015a) |
| 12 | 2-amantadine | 100 | P25 | 1000 | 365 | 0.36 | – | 100 | 90.8 | 0.084 | |
| 13 | Rimantadine | 100 | P25 | 1000 | 365 | 0.36 | – | 100 | 91.7 | 0.102 | |
| 14 | Zanamivir | 0.3 | AEROIXE TiO2 P25 | 17.7 | 380–420 | 49.5 | – | 100 | – | – | Woche et al. (2016) |
In any photocatalytic treatment system, operational parameters play an important role in the degradation of pollutants and influence the determination of optimum parameters. Operational parameters such as type and dose of photocatalyst, initial concentration of antiviral drugs, the intensity of light irradiation, pH of the solution, and influence of matrix are studied in various researches. For example, Wang et al. (2015) studied the degradation of oseltamivir with three different TiO2 samples (1) P25 purchased from Degussa (Germany), (2) ST-01 purchased from Ishihara Sangyo (Japan), and (3) ATO from Sigma-Aldrich (Germany). Photocatalytic degradation of oseltamivir was high with 20 mg/L of P25 with 96% elimination in 80 min, whereas the degradation efficiencies were 45% and 24% with ST-01 and ATO kind of TiO2 powders within 80 min. Despite varying specific surface areas of the TiO2 powders, authors proposed that the highest efficiency of P25 is due to the slower recombination of e−/h+ pair with mixed anatase (20%) and rutile phases (80%) in P25 compared with complete anatase phases in both ST-01 and ATO. For the degradation of acyclovir, Li et al. (2016) employed TiO2, graphitic g-CN, and a hybrid of g-CN and TiO2 (g-CN/TiO2). Consequently, acyclovir degradation was nearly negligible under irradiation for 5 h with TiO2 as a photocatalyst, whereas g-CN improved the degradation efficiency. Complete degradation of acyclovir was achieved within 4 h with g-CN/TiO2 as a photocatalyst. This was proposed to be because of the small bandgap of the hybrid catalyst. These two studies exemplify the influence of the type of photocatalyst on the degradation of antiviral drugs in a specific photocatalytic system.
It is noted that the photodegradation of antiviral drugs is influenced by the dose of a photocatalyst. Characteristically in a heterogeneous photocatalytic system, increasing the amount of catalyst increases the degradation efficiency due to the increasing number of available active sites on the surface of the photocatalyst until an optimum. Besides the optimum dose of photocatalyst, the degradation efficiency reduces because the solution becomes turbid and blocks the irradiation or scatters the light. Typical examples can be seen from the studies of An et al. (2011), Wang et al. (2015), and Woche et al. (2016). An et al. (2011) studied the degradation of 100 μM of lamivudine with a varying dose of P25 catalyst from 0.25 to 3.0 g/L, and 1.0 g/L is the optimum dose. Wang et al. (2015) degraded 24 μM of oseltamivir with a P25 dose ranging from 5 to 200 mg/L with 100–150 mg/L as an optimum dose. Woche et al. (2016) optimized the dose of AETOIXE TiO2 P25 as 7 mg (range of dose: 1–10 mg) for the degradation of 100 μg/L of zanamivir.
Another important parameter that influences photocatalytic degradation is the initial concentration of antiviral drugs. Typically, when the initial concentration of antiviral drugs increases, its degradation efficiency decreases and vice versa for a fixed amount of catalyst. This is because of the increased absorption of the drug onto the surface of the catalyst and less number of photons available for the formation of OH•, resulting in a decrease in degradation efficiency. This kind of phenomenon was reported during the degradation of lamivudine (An et al., 2011) and oseltamivir (Wang et al., 2015).
The photocatalytic degradation efficiency of antiviral drugs has a profound effect on the pH of the system. Specifically, TiO2 (pKa = 6.3) surface charge is pH dependent. In the acidic conditions, the surface of TiO2 remains protonated whereas that in the alkaline condition is deprotonated. In addition, the pK a value of the antiviral drug is important for its speciation. In a catalytic system, either the adsorption process or the surface reaction is a rate-determining step. Lamivudine (pK a = 4.4) exists in positive form when the pH of the solution is less than 4.4 and in the neutral form if pH is higher than 4.4. Accordingly, An et al. observed increasing degradation efficiency with increasing pH from 5.0 to 9.0 and later decreased when the pH was 11 (An et al., 2011). This was hypothesized because of the increased adsorption of lamivudine on the surface of TiO2 at basic pH. An et al. studied the effect of pH (8.6–11.1) on the degradation of 1- and 2-amantadine and rimantadine, which exist in the protonated form at pH < 6.8 (An et al., 2015b). In the case of three drugs, rate constants decreased when pH rose from 8.6 until 10.6 (near to their pK a values) and then increased up to pH 11. Protonated and neutral forms of antiviral drugs influenced the degradation efficiency up to pH 10.6, after which the increase in the rate constant value at pH 11.1 was attributed to the increase in the OH• in the system (An et al., 2015a). The intensity of light affects the photocatalytic treatment of antiviral drugs. An et al. had reported that the contribution of light intensity was 43.17% in the degradation of acyclovir, whereas the contribution of light intensity was 8.42% in the mineralization besides the influence of initial concentration and pH (An et al., 2015a).
With relevance to the potential therapeutic medications (as referred to in the Section 17.1) for the treatment of COVID-19, some of the drugs are surveyed for their photocatalytic removal in the literature. However, up to our knowledge, such studies are meager. The available single report discusses solar photocatalytic treatment of quinolones (Sirtori et al., 2009). Chloroquine, belonging to the quinolone family, was originally used for the treatment of malaria. Sirtori et al. conducted studies on NXA, which is an impurity of chloroquine, and FLU, which is a second-generation quinolone derivative (Sirtori et al., 2009). However, NXA is used as human medicine, whereas FLU is used in aquaculture. Heterogeneous photocatalysis was conducted with Degussa P25 TiO2 in a pilot Compound Parabolic Collector under solar light irradiation. The initial concentration of NXA was 20 mg/L and that of TiO2 was 200 mg/L. NXA was eliminated in 25 min with a degradation rate constant of 0.098 min− 1 and a half-life of 7.10 min with less mineralization efficiency of 71% after 137 min of illumination.
17.4.3. Mechanism of photocatalytic degradation of antiviral drugs
The photocatalytic degradation mechanism of antiviral drugs can be understood in two dimensions: first, the way an antiviral drug is decomposed in a heterogeneous photocatalytic system and which species are involved in the active decomposition of the drug; second, after the initiation of decomposition of the parent compound, in which pathway it is photocatalytically degraded into intermediates or mineralization products.
As explained in Section 17.4.1, during the photocatalytic treatment process, several active species such as h+, OH•, O2 •–, H2O2 (Eqs. 17.2, 17.3, 17.5, 17.6, 17.8–17.10) might get involved in the degradation of antiviral drugs. The contribution of individual species depends on the antiviral drug and the system. Several studies reported the contribution of various radical species by the use of scavengers (Table 17.5 ). In a heterogeneous photocatalytic system, the degradation of antiviral drugs occurs either on the surface of the catalyst or in the bulk solution. Owing to the excitation of the semiconductor, h+ and e− (Eq. 17.1) are generated on the surface of the catalyst, which is expected to attack the adsorbed pollutant molecule. Radical scavengers help to identify the critical reactive species involved in the degradation of the antiviral drug. Potassium iodide (KI) was used by many studies as both h+ and OH• scavenger (An et al., 2015a, An et al., 2011; Wang et al., 2015) because I− can capture both photogenerated holes and OH•. An et al. used methanol as a scavenger of h+ and OH• during the degradation of acyclovir (An et al., 2015a). Isopropanol (ISO) scavenge OH• generated from direct oxidation by positively charged holes in the bulk solution. ISO was used to find the contribution of OH• during the photocatalytic degradation of oseltamivir (Wang et al., 2015), acyclovir (An et al., 2015a; Li et al., 2016), and lamivudine (An et al., 2011). The photogenerated e− contribution was estimated using K2Cr2O7 as a scavenger for the degradation of acyclovir (An et al., 2015b; Li et al., 2016). These photogenerated electrons react with the oxygen in the system to generate H2O2 (Eq. 17.5) and O2 •–/HO2 • (Eqs. (17.3), (17.8), respectively). The involvement of these species can be excluded by purging nitrogen. An et al. studied the contribution of e− alone for the degradation of lamivudine (An et al., 2011). Li et al. (2016) accomplished the same by adding ISO and Na2C2O4 degassed with nitrogen for the degradation of acyclovir. The role of h+ alone was estimated by employing Na2Cr2O7.
Table 17.5.
Effect of scavengers on photocatalysis of antiviral drugs.
| Antiviral drug | Scavenger | Radical species scavenged | Inhibition (%) | Rate constant (min− 1) | Comment | References |
|---|---|---|---|---|---|---|
| Oseltamivir | KI | h+ and OH• | 98.8 | 0.001 | Dominant species | Wang et al. (2015) |
| ISO | OH• | 80 | 0.013 | Contribution of h+ is 18.8% | ||
| Acyclovir | ISO | OH• | 90.1 | 0.0035 | Major role | An et al. (2015a) |
| MeOH | h+ and OH• | 91.7 | 0.0031 | Contribution of h+ is 1.6% | ||
| K2Cr2O7 | e− | – | 0.0213 | e− are not important | ||
| Fe(II)-EDTA | H2O2 | – | 0.0262 | Negligible role | ||
| Na2C2O4 | h+ | – | 0.0083 | Major role | Li et al. (2016) | |
| K2Cr2O7 | e− | – | 0.0073 | Major role | ||
| ISO | OH• | – | – | Minor role | ||
| Na2Cr2O4+ ISO + N2 | H2O2 and O2•– | – | – | H2O2 and O2•– played not direct e− | ||
| Lamivudine | KI | h+ and OH• | 99.3 | 0.0004 | Major role | An et al. (2011) |
| ISO | OH• | 95 | 0.0027 | Contribution of h+ is 4.3% | ||
| N2 + K2Cr2O7 | H2O2 and O2•– | 37.6 | 0.0338 | H2O2 and O2•– played not direct e− | ||
| 1-amantadine | ISO | OH• | 83.16 | – | Major role | An et al. (2015b) |
| KI | h+ and OH• | 94.84 | – | Contribution of h+ is 3.16% | ||
| 2-amantadine | ISO | OH• | 88.24 | – | Major role |
During the photocatalytic degradation with P25 as a photocatalyst (Table 17.3) and irradiation at 365 nm wavelength, oxidation of the antiviral drugs oseltamivir, acyclovir, lamivudine, 1-amantadine, 2-amantadine, and rimantadine were predominantly oxidized by hydroxyl radicals with more than 80% contribution. The contribution of the photogenerated hole was, in most cases, less than 10%. The role of e− was mostly negligible; however, in the case of lamivudine, a contribution of 37.6% was estimated but attributed to the involvement of other radical species (Eqs. 17.3, 17.5, 17.6, 17.8, 17.10) generated from e− rather than itself (An et al., 2011). Alternatively, the mechanism was different when g-CN/TiO2 was employed as a photocatalyst for the degradation of acyclovir. Both h+ and e− played an essential role in the degradation of acyclovir in this system (Li et al., 2016). Unlike TiO2 as a catalyst, in this system, OH• played a minor role. However, the involvement of e− was not direct but attacked the acyclovir from derived radical species. These studies highlight the fact that different catalysts undertake the task of degradation in a different mechanistic way.
Hydroxyl radical–mediated degradation of antiviral drugs being the most predominant in the photocatalytic system with TiO2 P25 as a photocatalyst, the degradation pathway of the parent compound into either persistent intermediates or mineralization products can be expected to happen through OH• (Fig. 17.3 ). Usually, OH•-initiated or mediated decomposition follows the addition of OH• radicals, H-atom abstraction, or OH• direct attack. Here, in the system with P25, hydroxylation was the most preferred path for oseltamivir (Wang et al., 2015), acyclovir (An et al., 2015b), and lamivudine (An et al., 2011). Even when g-CN/TiO2 was used as a photocatalyst, hydroxylation of acyclovir was observed (Li et al., 2016). The other pathways during decomposition of oseltamivir were hydration and OH substitution (Wang et al., 2015), whereas acyclovir underwent H-atom abstraction and OH• direct attack (An et al., 2015b). Lamivudine was oxidized at photohole on the surface of P25 (An et al., 2011). These reports signify that the degradation of antiviral drugs is preferentially OH• mediated. If more OH• can be harvested in the photocatalytic system with modifications, mineralization efficiency can be improved in conjunction with the degradation efficiency.
Fig. 17.3.

Mechanism of antiviral drugs decomposition in TiO2 (P25) dispersions.
17.4.4. Intermediates and proposed possible reaction pathways
The intermediates of photocatalysis antiviral drugs reaction play an essential role in identifying the reaction pathway. Following the mass spectrum obtained by HPLC/MS/MS instrument (An et al., 2015b; Wang et al., 2015) provided possible reaction pathways for the photodegradation of antiviral drugs. Wang et al. (2015) proposed the reaction pathway of oseltamivir in Fig. 17.4 . In typical, their products are listed as follows: (1) the formation of the hydration product (P330) and its further oxidation products (P260 and P276), (2) the formation of hydroxylated oseltamivir derivatives, including mono-(P328), di-(P344), tri-(P360), and tetra (P376) hydroxylated derivatives, (3) the formation of oseltamivir carboxylate, the metabolite of oseltamivir (P284), and (4) the formation of OH substitutes and cleaved or keto derivatives of several functional groups (P256, P226 and P223).
Fig. 17.4.

Proposed photocatalytic degradation pathway of oseltamivir phosphate by P25 (Wang et al., 2015).
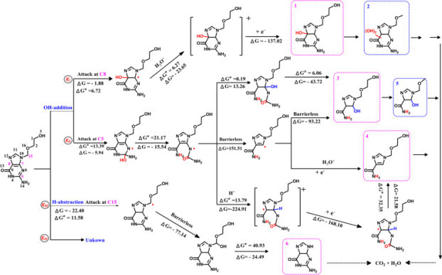
Photocatalytic degradation of antivirus drug acyclovir can be discussed in three predominant degradation pathways (An et al., 2015b). Fig. 17.5 illustrated these pathways as follows: (1) •OH radical reacted with acyclovir at C8 to form •OH-adduct radical, then produced monohydroxylated product 1 and dihydroxylation product 2; (2) the formation of some cleavage products of the isocytosine moieties (such as products 3 and 4), the further oxidized may form the daughter product 5; and (3) •OH radical attacks acyclovir through H abstraction at C15, resulting in the formation of guanine (product 6). As the irradiation time prolongs, acyclovir and formed products could be further completely mineralized into CO2 and H2O.
Fig. 17.5.

Proposed photocatalytic degradation pathway of acyclovir (An et al., 2015b).
As shown in Fig. 17.6 , three degradation intermediates were detected in acyclovir photocatalytic degradation under the g-C3N4/TiO2 hybrid photocatalyst (Li et al., 2016). They were P1 with tR3.4 min, P2 with tR 3.0 min, and P3 with tR 2.8 min). The primary intermediate, P1 (m/z = 214), was first obtained during the photocatalytic degradation process. This result might correspond with the monohydroxylation of the purine ring and the breakdown of the C-C bond from the side chain. The intermediate P2 (m/z = 205) resulted from the breakdown of the acyclovir purine ring. By prolonging the irradiation time, P3 (m/z = 152) was identified as guanine; this was produced through the loss of the side chain.
Fig. 17.6.

Proposed photocatalytic degradation pathway of acyclovir in water by g-C3N4/TiO2 hybrid photocatalyst (Li et al., 2016).
The pathway reaction of lamivudine photocatalytic degradation may propose in Fig. 17.7 (An et al., 2011). Lamivudine should be attacked by •OH radical (pathway 1) or by photohole h + (pathway 2). The intermediates were product C (m/z = 136) and product B (m/z = 112) through photohole attacking at N3 site. Then the intermediate D was further oxidized to (E) (m/z = 129) by •OH radical and to F (m/z = 69) by photohole attack with the opening of the aromatic ring. After 6 h irradiation, more than 83% of carbon contents in lamivudine was mineralized and completely converted intoCO2, H2O, NH3/NH4 +, NO3 −, SO4 2 −, etc.
Fig. 17.7.

Proposed photocatalytic degradation mechanism of lamivudine in TiO2 suspension (An et al., 2011).
During photocatalytic decomposition of NXA with TiO2 under solar irradiation, Sirtori et al. detected several intermediates and suggested hydroxylation of the pyridine ring in compounds P6-P14 as the dominant degradation pathway (Fig. 17.8 ) (Sirtori et al., 2009). Hydroxylation of the methyl group was seen in intermediate P9. OH• attack was not identified and was usually considered a secondary pathway owing to the stability of the quinolone moiety. The degradation mechanism consists of the opening of the quinolone structure by oxidation of the double bond in position C2 C3, as shown in Fig. 17.8.
Fig. 17.8.

NXA intermediates and proposed degradation pathway during photocatalysis with TiO2 under solar light irradiation (Sirtori et al., 2009).
17.5. Practical application and future prospects
During every epidemic, pandemic, or outbreak, large quantities of medications are used for the arrest of the disease in the affected or vulnerable population. A large number of drugs are entering into the environmental waters after they are metabolized by a human or as a parental compound. Although a significant amount of literature on a cradle to the grave of antibiotics is available, a similar trend in the availability of scientific literature on antiviral drugs is a little. Within the available literature, antiviral drugs are showing up in the various environmental waters, including influents and effluents of WWTPs, groundwaters, surface waters, and drinking waters in considerable quantities ranging from ng/L to μg/L, indicating the inefficiency of conventional or in certain cases advanced treatment options to treat wastewater or drinking water. Toxicity patterns are also not ignorable. Therefore it can be construed that there is a potential gap in the literature regarding the occurrence, fate, and treatment of these antiviral compounds. A large scientific fraternity needs to contribute to making a database in this direction. The emergence of the current pandemic COVID-19 alerts us to this situation to avoid further loss because of insufficiency in treating the used waters or their spread in the various environmental matrices.
Photocatalysis has a proven track record for several environmental applications (Byrne et al., 2018). Photocatalysis is a process in which a higher decomposition of contaminants is achieved by modification of reaction rate in the presence of light and a photocatalyst. Remarkably, the mild and conducive conditions such as room temperature and pressure and natural or neutral pH without need for modification make the process much more exciting and desirable. The versatility of photocatalysis has been reported in the literature; however, the challenging part is to bring this system into a commercial scale. Furthermore, bringing the best reaction conditions into larger scale faces challenges in the practical manifestation of light, intimate contact between photocatalyst and the contaminant molecule by maintaining required turbulence, versatile reactor design, etc. It is important to note that, before taking a big step, it is necessary to have a handful of research data to understand the behavior of the antiviral drugs toward the photocatalytic treatment system in achieving full degradation and mineralization efficiencies. It is imperative to perform research meticulously and observe the degradation kinetics, mechanisms, treatment parameters, and interaction details that will enable to modify the treatment system toward achieving higher efficiency. This is where the degradation of antiviral drugs lacks in literature. Only a few studies are available on the topic of interest. More studies have to be focused on the photocatalytic degradation of antiviral drugs. Although nearly more than 90 kinds of antiviral drugs are available in the market (Nannou et al., 2020), researchers were interested more in oseltamivir, followed only by acyclovir, lamivudine, zidovudine, and amantadine drugs. Photocatalysis is efficient for the degradation of hydrophilic compounds such as antiviral drugs (Kosma et al., 2019), which will probably selectively get adsorbed on to the relatively polar catalytic surfaces. Knowing the fact that antiviral drugs are more vulnerable to degradation by hydroxyl radicals, AOPs, particularly heterogeneous photocatalysis, are an excellent option. More and more researches are required on almost all the antiviral drugs because every drug does not respond in the same way. Second, most of the available studies have been focused on the degradation of the parent compound and were successful in achieving high degradation efficiencies. However, the same reports warn on the persistence of the photocatalytic degradation intermediates or products in the same system (An et al., 2015b; Woche et al., 2016) or maybe more toxic than its parent compound (Li et al., 2016; Wang et al., 2015). This flags us that attaining complete mineralization should be the sole goal of antiviral degradation. An et al. have shown that complete mineralization of three amantadine drugs has resulted in a rapid decrease in toxicity (An et al., 2015a).
17.6. Conclusions
To date, the developments of antiviral drugs are significantly concerned with controlling the disease due to viral infections. However, antiviral drugs have also been recognized as an emerging anthropogenic pollutant reaching the environment. Thus it would be desirable to develop an effective method that could eliminate antiviral drugs with greater efficiency. Among antiviral drugs degradation, heterogeneous photocatalysis is a potential option. Many types of photocatalytic materials have been developed and exhibited potential photocatalytic activity. With the knowledge that the photocatalytic treatment is greatly affected because of the operational conditions, more body of work is needed in this direction to optimize the treatment system. The photocatalytic degradation of antiviral drug contaminants is influenced by the matrix. There is a dearth in the literature for these kinds of data. Heterogeneous photocatalysis using TiO2 for the degradation of zanamivir was shown to be not expensive, considering energy expenses and the overall process. Hybrid processes may be another interesting option owing to their synergistic behavior, such as sonolysis and photocatalysis. It is suggested to conduct more research on the photocatalytic degradation of antiviral drugs to add to the body of the work. Overall, further studies are required to build proper treatment design strategies and scale them to the working levels.
References
- Abafe O.A., Späth J., Fick J., Jansson S., Buckley C., Stark A., Pietruschka B., Martincigh B.S. LC-MS/MS Determination of Antiretroviral Drugs in Influents and Effluents from Wastewater Treatment Plants in KwaZulu-Natal. South Africa. Chemosphere. 2018;200:660–670. doi: 10.1016/j.chemosphere.2018.02.105. [DOI] [PubMed] [Google Scholar]
- Akram M., Tahir I.M., Shah S.M.A., Mahmood Z., Altaf A., Ahmad K., Munir N., Daniyal M., Nasir S., Mehboob H. Antiviral Potential of Medicinal Plants against HIV, HSV, Influenza, Hepatitis, and Coxsackievirus: a Systematic Review. Phytother. Res. 2018;32:811–822. doi: 10.1002/ptr.6024. [DOI] [PubMed] [Google Scholar]
- Al-Rajab A.J., Sabourin L., Chapman R., Lapen D.R., Topp E. Fate of the Antiretroviral Drug Tenofovir in Agricultural Soil. Sci. Total Environ. 2010;408:5559–5564. doi: 10.1016/j.scitotenv.2010.07.074. [DOI] [PubMed] [Google Scholar]
- Aminot Y., Le Menach K., Pardon P., Etcheber H., Budzinski H. Inputs and Seasonal Removal of Pharmaceuticals in the Estuarine Garonne River. Mar. Chem. 2016;185:3–11. [Google Scholar]
- An T., An J., Yang H., Li G., Feng H., Nie X. Photocatalytic Degradation Kinetics and Mechanism of Antivirus Drug-Lamivudine in TiO2 Dispersion. J. Hazard. Mater. 2011;197:229–236. doi: 10.1016/j.jhazmat.2011.09.077. [DOI] [PubMed] [Google Scholar]
- An J., Li G., An T., Song W., Feng H., Lu Y. Photocatalytic Degradation of Three Amantadine Antiviral Drugs As Well as their Eco-Toxicity Evolution. Catal. Today. 2015;258:602–609. [Google Scholar]
- An T., An J., Gao Y., Li G., Fang H., Song W. Photocatalytic Degradation and Mineralization Mechanism and Toxicity Assessment of Antivirus Drug Acyclovir: Experimental and Theoretical Studies. Appl. Catal. B. 2015;164:279–287. [Google Scholar]
- Arruda V.R., Rossi C.L., Nogueira E., Annicchino-Bizzacchi J.M., Costa F.F., Costa S.C. Cytomegalovirus Infection as Cause of Severe Thrombocytopenia in a Nonimmunosuppressed Patient. Acta Haematol. 1997;98:228–230. doi: 10.1159/000203630. [DOI] [PubMed] [Google Scholar]
- Bagga S., Bouchard M.J. Cell Cycle Regulation during Viral Infection. Methods Mol. Biol. 2014;1170:165–227. doi: 10.1007/978-1-4939-0888-2_10. [DOI] [PMC free article] [PubMed] [Google Scholar]
- Beck B.R., Shin B., Choi Y., Park S., Kang K. Predicting Commercially Available Antiviral Drugs that May Act on the Novel Coronavirus (SARS-CoV-2) through a Drug-Target Interaction Deep Learning Model. Comput. Struct. Biotechnol. J. 2020 doi: 10.1016/j.csbj.2020.03.025. [DOI] [PMC free article] [PubMed] [Google Scholar]
- Bernaerts R., Verbruggen A. In: Frontiers in Microbiology. New Perspectives in Clinical Microbiology. De Clercq E., De Clercq E., editors. Vol. 13. Springer; Dordrecht: 1987. Mechanism of Antiviral Action of 5-Substituted 2′-Deoxyuridines: (E)-5-(2-Iodovinyl)-2′-Deoxyuridine (IVDU) as Compared to its Carbocyclic Analogue (C-IVDU) [Google Scholar]
- Bilal M., Adeel M., Rasheed T., Zhao Y., Iqbal H.M.N. Emerging Contaminants of High Concern and their Enzyme-Assisted Biodegradation – a Review. Environ. Int. 2019;124:336–353. doi: 10.1016/j.envint.2019.01.011. [DOI] [PubMed] [Google Scholar]
- Boppana S.B., Pass R.F., Britt W.J., Stagno S., Alford C.A. Symptomatic Congenital Cytomegalovirus Infection: Neonatal Morbidity and Mortality. Pediatr. Infect Dis. J. 1992;11:93–99. doi: 10.1097/00006454-199202000-00007. [DOI] [PubMed] [Google Scholar]
- Boulard L., Dierkes G., Ternes T. Utilization of Large Volume Zwitterionic Hydrophilic Interaction Liquid Chromatography for the Analysis of Polar Pharmaceuticals in Aqueous Environmental Samples: Benefits and Limitations. J. Chromatogr. A. 2018;1535:27–43. doi: 10.1016/j.chroma.2017.12.023. [DOI] [PubMed] [Google Scholar]
- Byrne C., Subramanian G., Pillai S.C. Recent Advances in Photocatalysis for Environmental Applications. J. Environ. Chem. Eng. 2018;6:3531–3555. [Google Scholar]
- Chaudhuri S., Symons J.A., Deval J. Innovation and Trends in the Development and Approval of Antiviral Medicines: 1987-2017 and beyond. Antiviral Res. 2018;155:76–88. doi: 10.1016/j.antiviral.2018.05.005. [DOI] [PMC free article] [PubMed] [Google Scholar]
- Clercq E.D. Three Decades of Antiviral Drugs. Nat. Rev. Drug Discov. 2007;6:941. [Google Scholar]
- De Clercq E., Li G. Approved Antiviral Drugs over the Past 50 Years. Clin. Microbiol. Rev. 2016;29:695–747. doi: 10.1128/CMR.00102-15. [DOI] [PMC free article] [PubMed] [Google Scholar]
- Ebele A.J., Abou-Elwafa Abdallah M., Harrad S. Pharmaceuticals and Personal Care Products (PPCPs) in the Freshwater Aquatic Environment. Emerg. Contam. 2017;3:1–16. [Google Scholar]
- Ferrando-Climent L., Reid M.J., Rodriguez-Mozaz S., Barceló D., Thomas K.V. Identification of Markers of Cancer in Urban Sewage through the Use of a Suspect Screening Approach. J. Pharm. Biomed. Anal. 2016;129:571–580. doi: 10.1016/j.jpba.2016.08.001. [DOI] [PubMed] [Google Scholar]
- Fick J., Lindberg R.H., Tysklind M., Haemig P.D., Waldenström J., Wallensten A., Olsen B. Antiviral Oseltamivir Is Not Removed or Degraded in Normal Sewage Water Treatment: Implications for Development of Resistance by Influenza a Virus. PLoS One. 2007;2 doi: 10.1371/journal.pone.0000986. [DOI] [PMC free article] [PubMed] [Google Scholar]
- Fisher I.J., Phillips P.J., Colella K.M., Fisher S.C., Tagliaferri T., Foreman W.T., Furlong E.T. The Impact of Onsite Wastewater Disposal Systems on Groundwater in Areas Inundated by Hurricane Sandy in New York and New Jersey. Mar. Pollut. Bull. 2016;107:509–517. doi: 10.1016/j.marpolbul.2016.04.038. [DOI] [PubMed] [Google Scholar]
- Foll M., Poh Y.P., Renzette N., Ferrer-Admetlla A., Bank, C, Shim H., Malaspinas A.S., Ewing G., Liu P., Wegmann D., Caffrey D.R., Zeldovich K.B., Bolon D.N., Wang J.P., Kowalik T.F., Schiffer C.A., Finberg R.W., Jensen J.D. Influenza Virus Drug Resistance: a Time-Sampled Population Genetics Perspective. PLoS Genet. 2014;10 doi: 10.1371/journal.pgen.1004185. [DOI] [PMC free article] [PubMed] [Google Scholar]
- Funke J., Prasse C., Ternes T.A. Identification of Transformation Products of Antiviral Drugs Formed during Biological Wastewater Treatment and their Occurrence in the Urban Water Cycle. Water Res. 2016;98:75–83. doi: 10.1016/j.watres.2016.03.045. [DOI] [PubMed] [Google Scholar]
- Giebułtowicz J., Nałęcz-Jawecki G. Occurrence of Immunosuppressive Drugs and their Metabolites in the Sewage-Impacted Vistula and Utrata Rivers and in Tap Water from the Warsaw Region (Poland) Chemosphere. 2016;148:137–147. doi: 10.1016/j.chemosphere.2015.12.135. [DOI] [PubMed] [Google Scholar]
- Gogoi A., Mazumder P., Tyagi V.K., Tushara Chaminda G.G., An A.K., Kumar M. Occurrence and Fate of Emerging Contaminants in Water Environment: a Review. Groundw. Sustain. Dev. 2018;6:169–180. [Google Scholar]
- Gorbalenya A.E., Baker S.C., Baric R.S., de Groot R.J., Drosten C., Gulyaeva A.A., Haagmans B.L., Lauber C., Leontovich A.M., Neuman B.W., Penzar D., Perlman S., Poon L.L.M., Samborskiy D.V., Sidorov I.A., Sola I., Ziebuhr J. Coronaviridae Study Group of the International Committee on Taxonomy of, V. The species Severe acute respiratory syndrome-related coronavirus: classifying 2019-nCoV and naming it SARS-CoV-2. Nat Microbiol. 2020;5:536–544. doi: 10.1038/s41564-020-0695-z. [DOI] [PMC free article] [PubMed] [Google Scholar]
- Hatakeyama S., Sugaya N., Ito M., Yamazaki M., Ichikawa M., Kimura K., Kiso M., Shimizu H., Kawakami C., Koike K., Mitamura K., Kawaoka Y. Emergence of Influenza B Viruses with Reduced Sensitivity to Neuraminidase Inhibitors. JAMA. 2007;297:1435–1442. doi: 10.1001/jama.297.13.1435. [DOI] [PubMed] [Google Scholar]
- He H. In: Current Issues in Molecular Virology-Viral Genetics and Biotechnological Applications. Romanowski V., editor. 2013. Vaccines and antiviral agents. [Google Scholar]
- Hoffmann M.R., Martin S.T., Choi W., Bahnemann D.W. Environmental Applications of Semiconductor Photocatalysis. Chem. Rev. 1995;95:69–96. [Google Scholar]
- Irwin K.K., Renzette N., Kowalik T.F., Jensen J.D. Antiviral drug resistance as an adaptive process. Virus Evol. 2016;2 doi: 10.1093/ve/vew014. [DOI] [PMC free article] [PubMed] [Google Scholar]
- Jain S., Kumar P., Vyas R.K., Pandit P., Dalai A.K. Occurrence and Removal of Antiviral Drugs in Environment: a Review. Water Air Soil Pollut. 2013;224:1410. [Google Scholar]
- Jin M.J., Kim Y., Choi E.M., Shim Y.J., Kim H.S., Suh J.K., Kim J.Y., Lee K.S., Park S.Y., Lee J.M., Hah J.O. Clinical Characteristics and Treatment Courses for Cytomegalovirus-Associated Thrombocytopenia in Immunocompetent Children after Neonatal Period. Blood Res. 2018;53:110–116. doi: 10.5045/br.2018.53.2.110. [DOI] [PMC free article] [PubMed] [Google Scholar]
- Kosma C.I., Nannou C.I., Boti V.I., Albanis T.A. Psychiatrics and Selected Metabolites in Hospital and Urban Wastewaters: Occurrence, Removal, Mass Loading, Seasonal Influence and Risk Assessment. Sci. Total Environ. 2019;659:1473–1483. doi: 10.1016/j.scitotenv.2018.12.421. [DOI] [PubMed] [Google Scholar]
- Li G., Nie X., Gao Y., An T. Can Environmental Pharmaceuticals Be Photocatalytically Degraded and Completely Mineralized in Water Using g-C3N4/TiO2 under Visible Light Irradiation?—Implications of Persistent Toxic Intermediates. Appl. Catal., B. 2016;180:726–732. [Google Scholar]
- Liu C., Zhou Q., Li Y., Garner L.V., Watkins S.P., Carter L.J., Smoot J., Gregg A.C., Daniels A.D., Jervey S., Albaiu D. Research and Development on Therapeutic Agents and Vaccines for COVID-19 and Related Human Coronavirus Diseases. ACS Cent. Sci. 2020;6:315–331. doi: 10.1021/acscentsci.0c00272. [DOI] [PMC free article] [PubMed] [Google Scholar]
- Monto A.S., McKimm-Breschkin J.L., Macken C., Hampson A.W., Hay A., Klimov A., Tashiro M., Webster R.G., Aymard M., Hayden F.G., Zambon M. Detection of Influenza Viruses Resistant to Neuraminidase Inhibitors in Global Surveillance during the First 3 Years of their Use. Antimicrob. Agents Chemother. 2006;50:2395–2402. doi: 10.1128/AAC.01339-05. [DOI] [PMC free article] [PubMed] [Google Scholar]
- Mosekiemang T.T., Stander M.A., de Villiers A. Simultaneous Quantification of Commonly Prescribed Antiretroviral Drugs and their Selected Metabolites in Aqueous Environmental Samples by Direct Injection and Solid Phase Extraction Liquid Chromatography - Tandem Mass Spectrometry. Chemosphere. 2019;220:983. doi: 10.1016/j.chemosphere.2018.12.205. [DOI] [PubMed] [Google Scholar]
- Nannou C., Ofrydopoulou A., Evgenidou E., Heath D., Heath E., Lambropoulou D. Analytical Strategies for the Determination of Antiviral Drugs in the Aquatic Environment. Trends Environ. Anal. Chem. 2019;24 [Google Scholar]
- Nannou C., Ofrydopoulou A., Evgenidou E., Heath D., Heath E., Lambropoulou D. Antiviral Drugs in Aquatic Environment and Wastewater Treatment Plants: a Review on Occurrence, Fate, Removal and Ecotoxicity. Sci. Total Environ. 2020;699:134322. doi: 10.1016/j.scitotenv.2019.134322. [DOI] [PubMed] [Google Scholar]
- Peng X., Wang C., Zhang K., Wang Z., Huang Q., Yu Y., Ou W. Profile and Behavior of Antiviral Drugs in Aquatic Environments of the Pearl River Delta. China. Sci. Total Environ. 2014;466-467:755–761. doi: 10.1016/j.scitotenv.2013.07.062. [DOI] [PubMed] [Google Scholar]
- Prasse C., Schlüsener M.P., Schulz R., Ternes T.A. Antiviral Drugs in Wastewater and Surface Waters: a New Pharmaceutical Class of Environmental Relevance? Environ. Sci. Technol. 2010;44:1728–1735. doi: 10.1021/es903216p. [DOI] [PubMed] [Google Scholar]
- Prasse C., Wagner M., Schulz R., Ternes T.A. Biotransformation of the Antiviral Drugs Acyclovir and Penciclovir in Activated Sludge Treatment. Environ. Sci. Technol. 2011;45:2761–2769. doi: 10.1021/es103732y. [DOI] [PubMed] [Google Scholar]
- Razonable R.R. Antiviral Drugs for Viruses Other than Human Immunodeficiency Virus. Mayo. Clin. Proc. 2011;86:1009–1026. doi: 10.4065/mcp.2011.0309. [DOI] [PMC free article] [PubMed] [Google Scholar]
- Rimayi C., Odusanya D., Weiss J.M., de Boer J., Chimuka L. Contaminants of Emerging Concern in the Hartbeespoort Dam Catchment and the uMngeni River Estuary 2016 Pollution Incident. South Africa. Sci. Total Environ. 2018;627:1008–1017. doi: 10.1016/j.scitotenv.2018.01.263. [DOI] [PubMed] [Google Scholar]
- Sanderson H., Johnson D.J., Reitsma T., Brain R.A., Wilson C.J., Solomon K.R. Ranking and Prioritization of Environmental Risks of Pharmaceuticals in Surface Waters. Regul. Toxicol. Pharmacol. 2004;39:158–183. doi: 10.1016/j.yrtph.2003.12.006. [DOI] [PubMed] [Google Scholar]
- Schoeman C., Mashiane M., Dlamini D., Okonkwo O.J. Quantification of Selected Antiretroviral Drugs in a Wastewater Treatment Works in South Africa Using GC-TOFMS. J. Chromatogr. Sep. Tech. 2015:06. [Google Scholar]
- Sirtori C., Zapata A., Malato S., Gernjak W., Fernández-Alba A.R., Agüera A. Solar Photocatalytic Treatment of Quinolones: Intermediates and Toxicity Evaluation. Photochem. Photobiol. Sci. 2009;8:644–651. doi: 10.1039/b817247a. [DOI] [PubMed] [Google Scholar]
- Söderström H., Järhult J.D., Olsen B., Lindberg R.H., Tanaka H., Fick J. Detection of the Antiviral Drug Oseltamivir in Aquatic Environments. PLoS One. 2009;4 doi: 10.1371/journal.pone.0006064. [DOI] [PMC free article] [PubMed] [Google Scholar]
- Swanepoel C., Bouwman H., Pieters R., Bezuidenhout C. 2015. Presence, Concentrations and Potential Implications of HIV-ARVs in Selected Water Sources in South Africa. [Google Scholar]
- Urquhart, L., 2019. World Preview 2019, Outlook to 2024, 12 Ed. EvaluatePharma®.
- Vahidnia F., Stramer S.L., Kessler D., Shaz B., Leparc G., Krysztof D.E., Glynn S.A., Custer B. Recent Viral Infection in US Blood Donors and Health-Related Quality of Life (HRQOL) Qual. Life Res. 2017;26:349–357. doi: 10.1007/s11136-016-1392-5. [DOI] [PubMed] [Google Scholar]
- Vogna D., Marotta R., Andreozzi R., Napolitano A., d’Ischia M. Kinetic and Chemical Assessment of the UV/H2O2 Treatment of Antiepileptic Drug Carbamazepine. Chemosphere. 2004;54:497–505. doi: 10.1016/S0045-6535(03)00757-4. [DOI] [PubMed] [Google Scholar]
- Wang W.L., Wu Q.Y., Wang Z.M., Hu H.Y., Negishi N., Torimura M. Photocatalytic Degradation of the Antiviral Drug Tamiflu by UV-A/TiO2: Kinetics and Mechanisms. Chemosphere. 2015;131:41–47. doi: 10.1016/j.chemosphere.2015.02.032. [DOI] [PubMed] [Google Scholar]
- Weiner C.P., Mason C. Drugs for Pregnant and Lactating Women. Third ed. 2019. Idoxuridine; pp. 378–429. Current issue in. [Google Scholar]
- WHO . 2017. Up to 650 000 people die of respiratory diseases linked to seasonal flu each year. [Google Scholar]
- Woche M., Scheibe N., von Tümpling W., Schwidder M. Degradation of the Antiviral Drug Zanamivir in Wastewater – the Potential of a Photocatalytic Treatment Process. Chem. Eng. J. 2016;287:674–679. [Google Scholar]
- Wood T.P., Duvenage C.S.J., Rohwer E. The Occurrence of Anti-Retroviral Compounds Used for HIV Treatment in South African Surface Water. Environ. Pollut. 2015;199:235–243. doi: 10.1016/j.envpol.2015.01.030. [DOI] [PubMed] [Google Scholar]

















