Abstract
Vacuum packaging (VP) is used to reduce exposure of retail meat samples to ambient oxygen (O2) and preserve their quality. A simple sensor system produced from commercial components is described, which allows for non-destructive monitoring of the O2 concentration in VP raw meat samples. Disposable O2 sensor inserts were produced by spotting small aliquots of the cocktail of the Pt–benzoporphyrin dye and polystyrene in ethyl acetate onto pieces of a PVDF membrane and allowing them to air-dry. These sensor dots were placed on top of the beef cuts and vacuum-packed. A handheld reader, FirestinGO2, was used to read nondestructively the sensor phase shift signals (dphi°) and relate them to the O2 levels in packs (kPa or %). The system was validated under industrial settings at a meat processing plant to monitor O2 in VP meat over nine weeks of shelf life storage. The dphi° readings from individual batch-calibrated sensors were converted into the O2 concentration by applying the following calibration equation: O2 (%) = 0.034 * dphi°2 − 3.413 * dphi° + 85.02. In the VP meat samples, the O2 levels were seen to range between 0.12% and 0.27%, with the sensor dphi signals ranging from 44.03° to 56.02°. The DIY sensor system demonstrated ease of use on-site, fast measurement time, high sample throughput, low cost and flexibility.
Keywords: phosphorescence-based oxygen sensor, nondestructive oxygen measurement, food packaging, residual oxygen levels, vacuum-packed meat
1. Introduction
Rising global production and consumption of meat over the past decade has introduced new challenges in the meat supply chain [1]. Like all perishable foods of animal origin, fresh meat is susceptible to microbial contamination and spoilage and related processes like lipid oxidation, sensory and quality degradation, which occur at different stages of the production chain including preparation, storage and distribution [2]. Therefore, quality control and safety assurance of foods of animal origin are necessary for reducing the losses, mitigating health risks and ensuring consumers’ safety. Consequently, new packaging and monitoring technologies are actively being deployed to support shelf life extension of products, improve and maintain their quality and safety [3,4,5,6,7].
By reducing the exposure of meat to ambient oxygen, vacuum packaging (VP) helps to preserve the organoleptic properties of the product and reduce microbial growth and other spoilage-related degradative processes [8]. VP is therefore a common packaging method in the meat industry, especially for the transport and sale of fresh meat products, preservation of quality and extension of their shelf life up to 55 days. [9]. VP can extend the storage period of raw meat samples by 40–55 days [10,11,12]. In addition, VP helps preserve colour, which is an important visual quality of raw meat used by consumers at the point of sale [13], and oxygen-dependent meat browning leads to significant rejection of the product by consumers [14,15].
At the same time, VP does not mean full removal of all the residual O2 from individual packs as it can be trapped within the food and the packaging material or permeate from air atmosphere into the packaging material during product storage depending on the barrier properties of the packaging material [16]. Therefore, smart VP systems which can nondestructively determine and monitor the residual O2 levels in packaged products at different stages of their shelf life are of high importance for the food production chain, especially for raw meat products. Monitoring of O2 inside the package can also be used to predict the growth of microbiota in packs [17,18,19].
Smart packaging with nondestructive O2 sensors can reduce the risk of recalls, with the consequent benefits for the company’s reputation [17]. However, for the O2 sensors to be commercially viable and adoptable by the food industry, their benefits must outweigh the additional costs associated with this technology [20]. Some O2 sensors are commercially available or can be manufactured on a large scale using relatively inexpensive materials and equipment [8]. Robust, long-term and periodic monitoring of the residual O2 levels in packs with disposable O2 sensors has been demonstrated in various food and nonfood applications [17,19,21,22,23]. Optical O2 sensing systems have previously been applied using commercial O2 sensors to monitor the evolution of meat spoilage in VP samples of raw beef and to analyse the efficiency of different vacuum packaging machines [24]. At the same time, very few studies have been performed with O2 sensor systems applied on-site to monitor the quality of the VP meat produced under large-scale industrial settings.
We present a simply constructed O2 sensor system designed for monitoring the residual O2 in VP raw beef cuts and quality assessment of these products during their shelf life by means of disposable, low-cost, in-house-made sensors. The application of the sensor system was performed directly at the meat packaging line, where fresh beef cuts were produced and vacuum-packed together with disposable O2 sensors placed in every pack. Then, the samples were transported to a research meat processing plant and the following quality parameters were analysed over nine weeks of storage: (i) residual O2 measured nondestructively in each pack with in-house-made disposable O2 sensors interrogated with a handheld FiresingGO2 reader, (ii) microbial load (total viable count, Enterobacteriaceae, lactic acid bacteria and psychrotrophic bacteria) determined by the standard plate counting method, (iii) pH values of the meat samples and (iv) colour changes of meat assessed using the colorimetric analysis.
2. Materials and Methods
2.1. Materials
The maximum recovery diluent (MRD), plate count agar (PCA), nutrient broth (NB), de Man, Rogosa and Sharpe agar, MRSA and PVDF membranes were from Sigma-Aldrich (Dublin, Ireland). The Enterobacteriaceae RAPID’Chromogenic Medium was from Bio-Rad Laboratories (United Kingdom). All the other chemicals and solvents were of analytical grade; the solutions were prepared using Milli-Q water.
2.2. O2 Sensor Preparation and Calibration
One milligram of the Pt–benzoporphyrin dye (Frontier Scientific) was dissolved in 2.0 mL 5% (w/w) solution of polystyrene in ethyl acetate (Sigma-Aldrich). This cocktail was spotted in 3.0-µL aliquots onto sheets of 0.45-µm PVDF membrane (Millipore) using a DistrimanTM repetitive pipette (Gilson) and allowed to air-dry for 30 min under a laminar flow hood to ensure sterility. After this, the sensors were incubated for 24 h in a dry oven at 70 °C. Thus, arrays of O2 sensor dots (approx. 5 mm in diameter) were produced. The quality of sensor dots was assessed by measuring their intensity (mV) and phase shift (dphi°) signals in the air atmosphere using a FireStingGO2 reader (PyroScience, Germany). Batches of 50–100 disposable sensor dots thus produced (Figure 1A) were cut into individual pieces (approx. 10 × 10 mm each, Figure 1C) and stored in a dark place at room temperature until further use (for up to 12 months).
Figure 1.
The low-cost O2 sensor system and measurement setup. (A) The array of sensor dots on the PVDF membrane. (B) The FirestingGo2 handheld reader used to measure sensor signals (dphi°) and convert them into the O2 concentration (kPa or %). (C) A disposable sensor dot placed on a meat cut prior to vacuum packaging.
The O2 calibration was carried out by placing one sensor dot in a 10-mL testing vial on a water bath equilibrated at 4 °C and purging the vial sequentially with the standard O2/N2 gas mixtures produced using an LNI precision gas mixer/tonometer (Switzerland) and humidified by bubbling them through distilled water, gradually changing the O2 content from 21.0 kPa (21%) to 0.00 kPa (0%). After the O2 equilibration of the vial (stable dphi° readings), steady-state dphi° signals were recorded with FireStingGO2, plotted as the function of the O2 concentration and fitted with a mathematical function. Two sensors from each batch were calibrated, and an average calibration for one batch was used to work out the analytical equation relating the O2 concentration in VP samples and the sensor dphi° signals. This is described in more detail in Section 3.2.
2.3. Preparation and Testing of Vacuum-Packed Meat Samples
Processing and packaging of fresh beef samples (boned out 48 h after slaughtering, stored at 0 °C) was carried out directly at the processing line of a large Irish export meat processing factory using its standard packaging equipment, packaging materials and process settings. Following the routine procedures for meat packaging at the production plant, boneless beef cuts (called chuck1, chuck2, knuckle, silverside and topside) were divided into smaller pieces of approximately 200 g each. One O2 dot sensor was applied on the surface of each piece of meat (Figure 1C) placed in a vacuum-packaging pouch, and then the pouches were sealed on a VP machine according to the established procedure. The VP fresh meat samples were transported in polystyrene boxes containing ice to the research meat processing plant at University College Cork where they were stored in a dark cold room at 1 ± 0.5 °C. All the packaged samples were analysed periodically for the residual O2 immediately after VP (day 0) and then weekly over a period of nine weeks. At each timepoint, O2 was measured nondestructively in all the VP samples; after this, several VP samples (one from each group) were opened and analysed for the other quality attributes (i.e., by destructive sampling).
2.4. Microbiological Analysis
For microbiological analyses of the VP meat samples, a 10-g sample was weighted, transferred into a stomacher bag containing 90 mL Maximum Recovery Diluent (Sigma-Aldrich, Dublin, Ireland), homogenized on Stomacher 400 (Stomacher Lab System, United Kingdom) for 2.5 min and plated on agar media in several 1:10 serial dilutions. Parallel to this, the MRS agar was used for colony counts of lactic acid bacteria (LAB) (ISO 15214, 1998), PCA was used for total mesophilic aerobic bacteria (TMAB), and the results were presented in log CFU (colony-forming units)/g values.
2.5. Meat pH Measurement
The pH of the VP meat cuts was measured with a digital pH-meter (Mettler-Toledo, Switzerland) by inserting its glass probe directly into the meat. Each pH value represents an average of three measurements per sample.
2.6. Measurement of the Meat Colour
The colour of the VP meat (CIELAB colour space) was measured on a Chromameter CR-400 system (Konica Minolta Camera Co., Osaka, Japan), taking nine measurements for each sample or condition. Before the measurement, the instrument was calibrated according to the manufacturer’s instructions [25]. CIELAB colour space data with the L*, a* and b* values (lightness, redness and yellowness, respectively) were downloaded from the instrument and analysed.
2.7. Data Analysis
The calibration equations relating the dphi° values measured from individual sensors/meat samples to the O2 concentration were obtained by fitting the calibration datapoints with the polynomial function. Data analysis and statistics were performed using Minitab 19 (Minitab Ltd., Coventry, UK).
3. Results
3.1. Assembling a Low-Cost O2 Sensor System for Food Packaging Applications
The modular system for non-destructive sensing of the residual O2 levels in packaged food products was constructed on the basis of commercially available components, namely, (i) the phosphorescent O2-sensitive dye, Pt–benzoporphyrin (PtBP, Frontier Scientific), (ii) the sensor substrate/support material, a PVDF filter membrane (Millipore-Sigma), (iii) the sensor coatings, PtBP–polystyrene (Sigma) composite material dissolved in ethyl acetate and applied as discrete spots on the PVDF substrate (see Methods and [23]) and (iv) the FireStingGO2 sensor reader (Pyrosciences, www.pyroscience.com/en/products/all-meters/fsgo2, accessed 21 June 2021). The system setup is shown in Figure 1.
The sensor dye PtBP features high brightness and photostability, longwave excitation and emission bands in the red and near-infrared spectral range, near-optimal sensitivity to O2 in polymers such as polyolefines, and is affordable in price. For these reasons, PtBP is utilised by several vendors including PreSens, Mocon and Pyroscience [26]. However, commercial O2 sensors are expensive (€5–50 apiece), which prevents their use on the disposable basis and scale required by food packaging applications (dozens and hundreds of samples per trial).
The same vendors also offer optical readers for PtBP-based sensors, which differ in their operational principles (phase or time domain), format (micro/macro sensors), flexibility (detachable/nondetachable/contactless) and other capabilities (temperature compensation, recalibration, etc.). Their general operational principles can be found in [26] or on the vendor’s website. The instrument price also varies from €1.5k to €15k, and they are usually marketed and bundled with the vendor’s own sensors. For our system, we selected the FireStingGO2 reader from Pyroscience (www.pyroscience.com/en/products/all-meters/fsgo2, accessed 21 June 2021) which features excellent optical performance, compact size, autonomous operation, open architecture and software along with an affordable price (€4.5k). The most affordable and more basic reader Piccolo2 (USB dongle, Pyroscience), which costs ~€1.5k, was also used in this study and found to provide similar results as FireStingGO2.
Altogether, the above components gave us a low-cost DIY system alternative to the commercial O2 sensor systems [8] which can be used to assess the quality of VP meat cuts produced in small research labs and at large-scale industrial meat processing facilities. All the materials used to manufacture the DIY sensors did not require any modifications and were used as the manufacturer provided them.
3.2. Preparation and Characterization of Disposable O2 Sensor Dots
Commercial O2 sensors normally function efficiently in the 0–21 kPa (0–21%) O2 range and have detection limits of 0.01–0.1 kPa [26], so their characteristics are appropriate for the standard meat packaging applications [6,23]. We produced in our lab multiple batches of disposable sensor dots (90–100 sensors in each batch) by spotting 3-µL aliquots of the cocktail containing sensor ingredients in ethyl acetate onto sheets of a PVDF filter membrane (Figure 1A). Prior to their use in VP meat samples, the uniformity and performance of these sensor dots was assessed with a FireStingGO2 reader (Figure 1B). The phase (dphi°) and intensity (mV) signals were measured in the air atmosphere (20.86% O2) at room temperature (22 °C) under the instrument’s default settings: LED intensity: 100%, amplification: 400×, frequency: 4 kHz. Three different batches of sensor dots, each batch consisting of 95 sensors, were analysed, measuring each sensor dot three times with ~3 s intervals between the readings. The measured data were downloaded from FireStingGO2 to a PC and analysed using the Minitab 19 software.
The results of the quality check analysis of one batch of sensors are shown in Figure 2A,B. The mean sensor dphi° signal was 24.02 ± 0.29°, with the minimum value of 23.15° and the maximum value of 25.13°. The median value was 23.95° in the 95% confidence interval of 23.93–23.94°. The mean sensor intensity signal was 381.46 ± 34.40 mV, with the minimum value of 273.70 mV, the maximum value of 487.40 mV and the median value of 381.20 mV in the 95% interval confidence of 376.57 mV–383.96 mV. The ANOVA analysis for the three different batches of sensors indicated that there were no significant differences between the batches (Figure 2C,D). Thus, in-house-made O2 sensor dots can be produced in bulk and the manufcatured sensors provide consistent dphi° (and intensity) readings, which make them suitable for use in VP meat applications. Unlike the dphi° signals, sensor intensity signals in VP meat can be strongly influenced by the sample and measurement geometry, food color, etc. [26] so they cannot be used for accurate quantification of O2 in food packs.
Figure 2.
Initial quality check and O2 calibration for the disposable sensor dots. Quality check on sensor dots prior to use. The box plots show the distribution of the measured values. Histograms of the data (n = 137) show the distribution of the measured sensor dphi° (A) and intensity (mV) signals (B), and their corresponding box plots. Box plots (C,D) show the dphi° and mV values for the three batches (95 dots each) produced on three different days. The boxes show the interquartile data ranges (n = 100). The horizontal line in each of the boxes represents the median value. The whiskers represent the ranges for the bottom 25% and the top 25% of the data values, and
represent outliers. (E) The O2 calibration curve for sensor dots; the red line indicates the polynomial fitting curve.
Potentially, reproducibility of individual sensors in the final packaging application can be further improved by excluding those sensors which give either very high or very low dphi° readings in the QC test (i.e., on both tails in Figure 2A). However, in this study, the exclusion of sensors with very high or very low dphi° readings was not carried out, and all the sensors from each batch were used.
Next, we performed the O2 calibration for the combined batch of sensors (Figure 2E). For that, we randomly chose one sensor dot, equilibrated it at 4 °C, purged it with the standard O2/N2 gas mixtures with known O2 content (from 21.0 kPa (21%) to zero kPa). At each O2 concentration, when sensor equilibration was achieved, dphi° signals were recorded with FireStingGO2, plotted vs. the O2 concentration and fitted with a mathematical model. Phosphorescence lifetime measurements with instruments like Firesting are robust and stable in the measurement geometry and sensor environment [26]. The sensors responded to the partial pressure of O2, therefore, the dphi° signal at 0 kPa O2 corresponded to vacuum. Sensor response to pO2 changes was much greater than signal variability between individual sensors (Figure 2). Therefore, measurement accuracy was high, especially at low O2, as is the case with VP.
The following analytical equation (once-off calibration) was obtained, which relates the sample’s O2 concentration and the sensor dphi° signals:
| O2 (%) = 0.034 ∗ dphi°2 − 3.413 ∗ dphi° + 85.02 | (1) |
This equation was used in this study to convert the dphi° readings measured nondestructively in the individual meat packs into the O2 (%) values. R2 for the fitting was 99.76% (p < 0.001).
3.3. Measurement of the Residual O2 Content in VP Meat Samples during Chilling Storage
The O2 sensors were intended for off-line testing of batches of packaged meat samples which were discarded after testing. In this case, sensor toxicity was not an issue, also considering that high safety and stability and low toxicity had been demonstrated for similar types of sensors [22,23,26].
Initially, sensor signals in all the individual VP meat packs were measured on the day of their packaging at the meat plant (day 1, week 0). The VP meat samples with enclosed sensors were incubated for 20 min in a cold room at 4 °C to equilibrate their temperature, and the sensor signals were measured with FireStingGO2 in a nondestructive contactless manner through the packaging material. The measured dphi° values and the calculated O2 content values are presented in Figure 3. The mean sensor dphi° value was 47.24 ± 2.74°, with individual readings ranging from 39.73 to 51.32 and the median of 47.85°. The calculated O2 concentration values ranged from 0.12% to 3.57%, with the mean value of 0.60 ± 0.75%. The coefficient of variation for the sensor dphi° signal was 5.8°, for the calculated O2 concentration—125.90%. However, the O2 data were distributed uniformly around the median value of 0.25%, with 10 samples out of 137 with values in the 1.93–3.57% range.
Figure 3.
Initial screening of the VP meat samples for the residual O2 levels on the day of packaging. Histograms of the data (n = 137) show the distribution of the measured dphi° signals and the calculated O2 concentrations (%). The box plots show the interquartile data range, the vertical line and λ in the boxes represent the median values and ⊕ represents the mean. The whiskers represent the ranges for the bottom 25% and the top 25% of the data values, excluding the outliers (
).
Consistently with the previous studies [8], the residual O2 levels in the majority of the VP meat samples were much lower than 21% but still significantly higher than 0%. This could be due to possible package damage, some air trapped in the packs near the sensor or slow gas equilibration in the VP samples [23]. The optical O2 sensing technique can shed light on these issues as it allows VP meat samples to be measured repetitively and over time without affecting their integrity. Time profiles of the O2 concentration generated for each sample are much more informative than the conventional once-off destructive testing techniques [23].
After the initial testing of all the meat packs on day 1, measurements were taken every seven days for a total of nine weeks. Each of the five different types of meat samples was assessed individually for their residual O2 content (Figure 4). At each timepoint, the residual O2 content was measured nondestructively in the cold room for all the remaining samples. For each VP meat sample, the dphi° signals were read three times with 1-s intervals and then converted into the O2 concentrations using the abovementioned calibration equation.
Figure 4.
Variation in the residual O2 concentration in the VP meat during storage for up to nine weeks at 1 ± 0.5 °C. The data represent the mean value of 15 measurements (three replicates for each of the five samples at each timepoint), and error bars represent thestandard error.
Overall, the packaged samples did not change significantly in their O2 levels during the nine weeks of shelf life compared to week 1 as assessed by the ANOVA analysis (p-value ≤ 0.005, α = 0.05). Similarly, differences in the O2 concentration between the different meat cuts were not significant. The minimal value measured for the O2 concentration was 0.12 ± 0.001% for chuck1 on week 7 and 0.27 ± 0.001% was the maximal value for topside on week 9. The median O2 value was 0.13 ± 0.001%. Sensor dphi° signals ranged from 48.28 ± 0.04° (chuck2, week 6) to 51.80 ± 0.006° (topside, week 9), with the median value of 51.80°. It is worth noting that, according to the industry standards, the residual O2 levels in commercial VP meat packs should be maintained below 0.3–0.5% [2,3,6]. The results also reflect good stability of sensors in such applications [22,23,26].
To demonstrate that the O2 sensor system provided meaningful information about the quality of the individual packaged meat samples in a simple and nondestructive manner, we measured several conventional parameters and readouts of meat quality and analysed and compared them to each other.
3.4. Microbiological Analysis during Refrigerated Storage
Raw beef is a highly perishable product; its spoilage due to microbial growth and lipid oxidation during processing and storage are the major factors that cause reduction in the shelf life and foodborne illnesses [27]. Vacuum packaging extends the shelf life of beef eliminating the surrounding air and largely reducing the residual O2 levels [28]. Additional benefits include reducing weight loss from evaporation and trimming, preservation of colour, improved hygienic control and palatability due to controlled aging [29]. The dominant bacteria associated with spoilage in VP and cold-stored beef are lactic acid bacteria (LAB), Enterobacteriaceae and Brochothrix thermosphacta. Psychrophilic and psychrotrophic species growth produces gas at the temperatures of 1–2 °C, causing the swelling of vacuum packages after 14 days [30].
The development of meat microbiota during the shelf life storage of our samples was followed by destructive weekly sampling of 10 g from one of each of the five types of VP meats for each bacterial population assayed over nine weeks. The data of the microbiological analysis during the shelf life of VP meat (Figure 5) showed a steady increase in LAB, TMAB and psychrotrophic bacteria. Typically, psychrotrophic bacteria initially dominate the microbiota of VP meat, with the initial value of 3.59 ± 2.83 log CFU/g after packaging to 5.08 ± 0.91 log CFU/g at the end of nine weeks of storage. The TMAB changed from 2.72 ± 0.23 log CFU/g on the packing day (day 1, week 0) to 5.09 ± 0.91 log CFU/g on week 9. The population of LAB was generally low, ranging from 1.02 ± 0.69 to 2.54 ± 1.12 log CFU/g in the first seven weeks and reaching 3.13 ± 1.2 log CFU/g nine weeks after packaging.
Figure 5.
Changes in the microflora in the different VP meats over the nine weeks of their storage. The datapoints represent the mean values for three replicates, the bars represent the standard errors. LAB: lactic acid bacteria; TMAB: total mesophilic aerobic bacteria.
The microbiota developing in meat during the shelf life can cause the variation of its pH values [31]. For VP meats, decreases in pH values may be due to low O2 levels favouring the growth of facultative anaerobic bacteria such as LAB [32]. In this study, the meat samples’ pH values of around 5.72 ± 0.18 at the start of the storage decreased to 5.14 ± 0.13 after nine weeks of storage. Such decreases in meat pH values were observed for all the meat cuts assayed (Figure 6).
Figure 6.
Changes in pH in the VP meats over the nine weeks of their storage. The datapoints represent the means for three replicates. The bars represent the standard error of the means.
3.5. Colorimetric Analysis
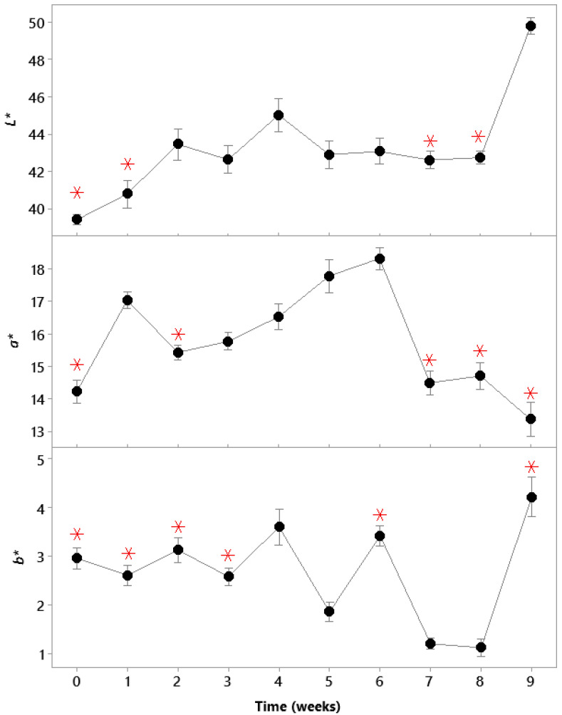
Changes in the surface L*, a* and b* (lightness, redness and yellowness, respectively) values of the samples during storage are shown in Figure 7. The CIE L* values increased significantly (p < 0.001) during storage, changing from 39.43 ± 1.46 on the packing day to 49.81 ± 1.40 on week 9, thus indicating the meat samples were lighter at the end of storage. The a* values of the samples decreased from 14.23 ± 1.97 on week 1 to 13.36 ± 1.65 on week 9, with a significant increase (p < 0.001) in weeks 3–6 and a peak of 18.32 ± 2.39 on week 6. The decrease in a* may have been due to oxidation of myoglobin in VP meat [33], while water loss by meat might have also led to the accumulation of myoglobin at the surface [34]. The b* values of the samples changed from 2.96 ± 1.19 on the packing day to 4.22 ± 1.26 on week 9, with the minimal value of 1.13 ± 0.55 on week 8 and the maximal value of 22 ± 1.26 at the end of the storage period. The variations in b* over the storage period could have been related to the intensity of the oxidation process that takes place during storage, which may increase the yellowness of samples via rancidity [33].
Figure 7.
Changes in the CIE L*, a* and b* values of the VP meat during nine weeks of storage. The means labelled with the red asterisk symbols (
) were not significantly different from the control level mean at time 0 (day 1, week 1) according to the ANOVA test (Dunnet comparisons, α = 0.05). The error bars represent the standard errors of the means.
4. Conclusions
Elevated O2 concentration in packaged foods can facilitate the growth of aerobic bacteria and oxidative reactions which induce the development of off-odours, undesirable colour, deterioration and reduction of the nutritional value of the product. Sensors for nondestructive monitoring of the residual O2 in packaged meat products are useful for assessing their quality and process optimization [17]. Sensors can easily be employed in the meat industry for nondestructive, fast, quantitative and real-time monitoring of the residual O2 levels in packaged products [2,8,17]. In this research, we modified the previous version of this method, which used commercial sensor stickers [8], by producing low-cost in-house-made disposable sensor dots in large quantities. The production of such O2 sensors is facile, easy and reproducible. The manufactured sensor dots were used on the disposable basis in an industrial trial conducted at an industrial meat processing plant. The sensor dots were applied directly on meat cuts prior to their packaging on an industrial vacuum packaging machine.
The sensor dots produced allowed for nondestructive and repetitive measurements of the residual O2 levels in VP fresh meat products using an inexpensive autonomous handheld reader, FireStingGO2. The measurements took just a few seconds per sample, and they were performed on-site, in a cold room without altering the temperature and storage conditions of the food samples. Several other established destructive quality tests for VP meat samples were also carried out and showed the anticipated results and time profiles.
Author Contributions
Conceptualization, D.B.P. and J.P.K.; methodology, E.S. and S.E.; validation, S.E., E.S. and M.C.C.-R.; formal analysis, E.S.; investigation, E.S. and S.E.; resources, D.B.P. and G.D.; data curation, J.P.K.; writing—original draft preparation, E.S.; writing—review and editing, D.B.P., S.E., G.D. and M.C.C.-R.; visualization, E.S.; supervision, D.B.P.; funding acquisition, D.B.P. All authors have read and agreed to the published version of the manuscript.
Funding
This research was funded by the Irish Department of Agriculture, Food and Marine, grant number DAFM 17/F/222.
Institutional Review Board Statement
Not applicable.
Informed Consent Statement
Not applicable.
Data Availability Statement
The data supporting the reported results can be obtained from the corresponding author upon reasonable request.
Conflicts of Interest
The authors declare no conflict of interest.
Footnotes
Publisher’s Note: MDPI stays neutral with regard to jurisdictional claims in published maps and institutional affiliations.
References
- 1.OECD-FAO . Agricultural Outlook 2015. OECD; Paris, France: 2015. OECD-FAO Agricultural Outlook. [Google Scholar]
- 2.Ahmed I., Lin H., Zou L., Li Z., Brody A.L., Qazi I.M., Lv L., Pavase T.R., Khan M.U., Khan S., et al. An overview of smart packaging technologies for monitoring safety and quality of meat and meat products. Packag. Technol. Sci. 2018;31:449–471. doi: 10.1002/pts.2380. [DOI] [Google Scholar]
- 3.Ahmed I., Lin H., Zou L., Brody A.L., Li Z., Qazi I.M., Pavase T.R., Lv L. A comprehensive review on the application of active packaging technologies to muscle foods. Food Control. 2017;82:163–178. doi: 10.1016/j.foodcont.2017.06.009. [DOI] [Google Scholar]
- 4.Chen J., Brody A.L. Use of active packaging structures to control the microbial quality of a ready-to-eat meat product. Food Control. 2013;30:306–310. doi: 10.1016/j.foodcont.2012.07.002. [DOI] [Google Scholar]
- 5.Corradini M.G. Shelf Life of Food Products: From Open Labeling to Real-Time Measurements. Annu. Rev. Food Sci. Technol. 2018;9:251–269. doi: 10.1146/annurev-food-030117-012433. [DOI] [PubMed] [Google Scholar]
- 6.Kerry J., O’Grady M., Hogan S. Past, current and potential utilisation of active and intelligent packaging systems for meat and muscle-based products: A review. Meat Sci. 2006;74:113–130. doi: 10.1016/j.meatsci.2006.04.024. [DOI] [PubMed] [Google Scholar]
- 7.Sardarodiyan M., Mahdian E. Active packaging systems for a modern society. Int. J. Pharm. Tech. Res. 2016;9:357–363. [Google Scholar]
- 8.Cummins E.J., Lyng J. Emerging Technologies in Meat Processing. John Wiley & Sons, Ltd; Chichester, UK: 2016. [Google Scholar]
- 9.Jeremiah L. Packaging alternatives to deliver fresh meats using short- or long-term distribution. Food Res. Int. 2001;34:749–772. doi: 10.1016/S0963-9969(01)00096-5. [DOI] [Google Scholar]
- 10.Fregonesi R., Portes R., Aguiar A., Figueira L., Gonçalves C., Arthur V., Lima C., Fernandes A., Trindade M. Irradiated vacuum-packed lamb meat stored under refrigeration: Microbiology, physicochemical stability and sensory acceptance. Meat Sci. 2014;97:151–155. doi: 10.1016/j.meatsci.2014.01.026. [DOI] [PubMed] [Google Scholar]
- 11.Polkinghorne R., Philpott J., Perovic J., Lau J., Davies L., Mudannayake W., Watson R., Tarr G., Thompson J. The effect of packaging on consumer eating quality of beef. Meat Sci. 2018;142:59–64. doi: 10.1016/j.meatsci.2018.04.002. [DOI] [PubMed] [Google Scholar]
- 12.Sun Q., Sun F., Zheng D., Kong B., Liu Q. Complex starter culture combined with vacuum packaging reduces biogenic amine formation and delays the quality deterioration of dry sausage during storage. Food Control. 2019;100:58–66. doi: 10.1016/j.foodcont.2019.01.008. [DOI] [Google Scholar]
- 13.Greene B.E., Hsin I.-M., Zipser M.Y.W. Retardation of Oxidative Color Changes in Raw Ground Beef. J. Food Sci. 1971;36:940–942. doi: 10.1111/j.1365-2621.1971.tb15564.x. [DOI] [Google Scholar]
- 14.Font-I-Furnols M., Guerrero L. Consumer preference, behavior and perception about meat and meat products: An overview. Meat Sci. 2014;98:361–371. doi: 10.1016/j.meatsci.2014.06.025. [DOI] [PubMed] [Google Scholar]
- 15.Issanchou S. Consumer expectations and perceptions of meat and meat product quality. Meat Sci. 1996;43:5–19. doi: 10.1016/0309-1740(96)00051-4. [DOI] [PubMed] [Google Scholar]
- 16.Cruz-Romero M.C., Kelly C.A., Papkovsky D.B., Kerry J.P. RSC Detection Science. Vol. 2018. Royal Society of Chemistry; Cambridge, UK: 2018. Applications of phosphorescent O2 Sensors in food and bev-erage packaging systems; pp. 335–360. [Google Scholar]
- 17.Cruz-Romero M.C., Santovito E., Kerry J.P., Papkovsky D. Oxygen Sensors for Food Packaging. Innov. Food Process. Technol. 2019;2019:507–522. doi: 10.1016/b978-0-12-815781-7.22944-2. [DOI] [Google Scholar]
- 18.Kelly C., Toncelli C., Cruz-Romero M., Arzhakova O., Kerry J., Papkovsky D. Phosphorescent O2 sensors integrated in polymeric film materials by local solvent crazing. Mater. Des. 2015;77:110–113. doi: 10.1016/j.matdes.2015.03.045. [DOI] [Google Scholar]
- 19.Papkovsky D.B., Dmitriev R.I. Biological detection by optical oxygen sensing. Chem. Soc. Rev. 2013;42:8700–8732. doi: 10.1039/c3cs60131e. [DOI] [PubMed] [Google Scholar]
- 20.Vanderroost M., Ragaert P., Devlieghere F., De Meulenaer B. Intelligent food packaging: The next generation. Trends Food Sci. Technol. 2014;39:47–62. doi: 10.1016/j.tifs.2014.06.009. [DOI] [Google Scholar]
- 21.Elisseeva S., Kelly C., Cruz-Romero M., Zhdanov A.V., Kerry J.P., Papkovsky D.B. The use of optical oxygen sensing and respirometry to quantify the effects of antimicrobials on common food spoilage bacteria and food samples. Sens. Actuators B Chem. 2020;322:128572. doi: 10.1016/j.snb.2020.128572. [DOI] [Google Scholar]
- 22.Kelly C.A., Cruz-Romero M., Kerry J.P., Papkovsky D.B. Stability and Safety Assessment of Phosphorescent Oxygen Sensors for Use in Food Packaging Applications. Chemosensors. 2018;6:38. doi: 10.3390/chemosensors6030038. [DOI] [Google Scholar]
- 23.Papkovsky D., Smiddy M., Papkovskaia N., Kerry J. Nondestructive Measurement of Oxygen in Modified Atmosphere Packaged Hams Using a Phase-Fluorimetric Sensor System. J. Food Sci. 2002;67:3164–3169. doi: 10.1111/j.1365-2621.2002.tb08877.x. [DOI] [Google Scholar]
- 24.Kelly C., Santovito E., Cruz-Romero M., Kerry J., Papkovsky D. Application of O2 sensor technology to monitor performance of industrial beef samples packaged on three different vacuum packaging machines. Sens. Actuators B Chem. 2020;304:127338. doi: 10.1016/j.snb.2019.127338. [DOI] [Google Scholar]
- 25.O’Flynn C.C., Cruz-Romero M.C., Troy D., Mullen A.M., Kerry J.P. The application of high-pressure treatment in the reduction of salt levels in reduced-phosphate breakfast sausages. Meat Sci. 2014;96:1266–1274. doi: 10.1016/j.meatsci.2013.11.010. [DOI] [PubMed] [Google Scholar]
- 26.Banerjee S., Kelly C., Kerry J.P., Papkovsky D.B. High throughput non-destructive assessment of quality and safety of packaged food products using phosphorescent oxygen sensors. Trends Food Sci. Technol. 2016;50:85–102. doi: 10.1016/j.tifs.2016.01.021. [DOI] [Google Scholar]
- 27.Rao M.S., Chander R., Sharma A. Synergistic effect of chitooligosaccharides and lysozyme for meat preservation. LWT-Food Sci. Technol. 2008;41:1995–2001. doi: 10.1016/j.lwt.2008.01.013. [DOI] [Google Scholar]
- 28.Lagerstedt Å., Ahnström M.L., Lundström K. Vacuum skin pack of beef—A consumer friendly alternative. Meat Sci. 2011;88:391–396. doi: 10.1016/j.meatsci.2011.01.015. [DOI] [PubMed] [Google Scholar]
- 29.Seideman S.C., Durland P.R. Vacuum Packaging of Fresh Beef: A Review. J. Food Qual. 1983;6:29–47. doi: 10.1111/j.1745-4557.1983.tb00755.x. [DOI] [Google Scholar]
- 30.Broda D.M., Delacy K.M., Bell R., Braggins T.J., Cook R.L. Psychrotrophic Clostridium spp. associated with ‘blown pack’ spoilage of chilled vacuum-packed red meats and dog rolls in gas-impermeable plastic casings. Int. J. Food Microbiol. 1996;29:335–352. doi: 10.1016/0168-1605(95)00070-4. [DOI] [PubMed] [Google Scholar]
- 31.Duran A., Kahve H.I. The effect of chitosan coating and vacuum packaging on the microbiological and chemical properties of beef. Meat Sci. 2020;162:107961. doi: 10.1016/j.meatsci.2019.107961. [DOI] [PubMed] [Google Scholar]
- 32.Conte-Junior C.A., Monteiro M.L.G., Patrícia R., Mársico E.T., Lopes M.M., Alvares T.S., Mano S.B. The Effect of Different Packaging Systems on the Shelf Life of Refrigerated Ground Beef. Foods. 2020;9:495. doi: 10.3390/foods9040495. [DOI] [PMC free article] [PubMed] [Google Scholar]
- 33.Jouki M., Khazaei N. Lipid oxidation and color changes of fresh camel meat stored under different atmosphere packaging systems. J. Food Process. Technol. 2012;3:189. [Google Scholar]
- 34.Hui Y.H., Nip W.K., Rogers R. Meat Science and Applications. Taylor & Francis; Abingdon, UK: 2001. [Google Scholar]
Associated Data
This section collects any data citations, data availability statements, or supplementary materials included in this article.
Data Availability Statement
The data supporting the reported results can be obtained from the corresponding author upon reasonable request.







