Abstract
Marine and terrestrial environments are rich sources of various bioactive substances, which have been used by humans since prehistoric times. Nowadays, due to advances in chemical sciences, new substances are still discovered, and their chemical structures and biological properties are constantly explored. Drugs obtained from natural sources are used commonly in medicine, particularly in cancer and infectious diseases treatment. Naphthyridines, isolated mainly from marine organisms and terrestrial plants, represent prominent examples of naturally derived agents. They are a class of heterocyclic compounds containing a fused system of two pyridine rings, possessing six isomers depending on the nitrogen atom’s location. In this review, biological activity of naphthyridines obtained from various natural sources was summarized. According to previous studies, the naphthyridine alkaloids displayed multiple activities, i.a., antiinfectious, anticancer, neurological, psychotropic, affecting cardiovascular system, and immune response. Their wide range of activity makes them a fascinating object of research with prospects for use in therapeutic purposes.
Keywords: natural compounds, alkaloids, naphthyridines, heterocyclic compounds, canthin-6-one, aaptamine, pyridoacridines, biological activity
1. Introduction
The natural environment abounds in substances with multiple biological properties that have become an inspiration and basis for modern drugs. Since prehistoric times, secondary metabolites especially in the form of plant materials have been used for therapeutic purposes [1]. Nowadays, thanks to chemical sciences development, natural derivatives can be isolated from terrestrial and marine sources as multi-component extracts or single compounds. This provides a possibility to explore their properties, from chemical structures and general mechanisms of action to more specialized molecular targets.
Naphthyridines are a class of heterocyclic compounds that are also referred to in the chemical literature as “benzodiazines” or “diazanaphthalenes”, due to possessing a fused system of two pyridine rings. There are six positional isomers with different locations of nitrogen atoms (Figure 1).
Figure 1.
Isomeric forms of naphthyridines.
The compounds containing the naphthyridine scaffold are found in natural products (plants and marine organisms) or can be obtained synthetically. The properties and synthesis of 1,8-isomer derivatives were most often described, mainly due to nalidixic acid (1-ethyl-7-methyl-4-oxo-1,8-naphthyridine-3-carboxylic acid), which was discovered by G. Lesher in 1962 [2] and introduced into treatment in 1967 as an antibacterial drug. In the last several decades, scientists’ interest in naphthyridines has been growing due to their broad spectrum of biological activity. In this review, biological activity of naphthyridines derived exclusively from the natural environment is presented. Many of them revealed significant bioactivity and this article may encourage researchers to further the investigation of these chemical compounds.
2. Naturally Occurring Naphthyridine Derivatives
2.1. 1,5-Naphthyridine Derivatives
1,5-Naphthyridine natural products are represented primarily by canthinone-type alkaloids. A major member of the group, canthin-6-one 1 (Figure 2), is isolated primarily from plants—the Rutaceae and Simaroubaceae families, but also from fungi [3]. The immunomodulatory activity of the compound has been determined. In rats with drug-induced colitis, canthin-6-one 1 reduced the production of pro-inflammatory mediators TNF-α (tumor necrosis factor α), IL-1β (interleukin-1β), IL-12p70 (interleukin-12p70), and VEGF (vascular endothelial growth factor). Moreover, it diminished oxidative stress in colon tissues [4].
Figure 2.
Structure of canthin-6-one derivatives.
Moreover, canthin-6-one 1 has been studied for its anticancer properties. Normally, cell death determines system homeostasis and prevents excessive proliferation and accumulation of defective cells. Major mechanisms of cell death comprise programmed apoptosis and autophagy, and traumatic necrosis. In cancer cells, cell death is disturbed due to genetic abnormalities. Restoration of a proper cell cycle together with generating cell damage in tumor tissues are key targets for anticancer compounds.
Canthin-6-one 1 was shown to activate apoptosis and necrosis in Kasumi-1human myeloid leukemia cells, with cell cycle arrest at G0/G1 and G2, respectively, at 7 μM and 45 μM. The agent also induced cancer cells differentiation, a process which could potentially lead to the conversion of neoplastic cells into normal [5].
1,5-Naphthyridine representatives were also obtained from Zanthoxylum paracanthum Kokwaro—an endemic, tropical plant, native to Kenya and Tanzania. Canthin-6-one and 10-methoxycanthin-6-one 2 (Figure 2), isolated from the species, have been regarded as promising antibacterial and antifungal substances [6]. They displayed strong inhibitory activity against Staphylococcus aureus and Escherichia coli (MIC values respectively of 0.49 and 3.91 µg/mL), and importantly also against methicillin-resistant Staphylococcus aureus strain (MIC values respectively 0.98, 3.91 µg/mL). The results of stronger canthin-6-one 1 were similar to that of reference omacilin. Antifungal effects of the compounds 1–2 were presented with MIC values, respectively, of 3.91 and 7.81 µg/mL for canthin-6-one 1 and 10-methoxycanthin-6-one 2. The compounds 1–2 also exerted significant anticancer effects against DU145 prostate and HCC 1395 human breast cancer cell lines, with the most impressive activity of 10-methoxycanthin-6-one 2 against DU145 (IC50 = 1.58 µg/mL, and SI = 34.15) [6].
Ailanthus altissima Swingle has been considered as another natural source of 1,5-naphthyridines. It is a genus of tree distributed primarily in China, but is now widespread in Europe and North America. Healing properties of the plant are known in traditional medicine, and it is used i.a. in treating bacterial infections, fever and diarrheas. Kim et al. isolated six canthinone-type compounds, containing the 1,5-naphthyridine ring, from the bark of Ailanthus altissima Swingle [7]. The derivatives were determined as (R)-5-(1-hydroxyethyl)-canthine-6-one 3, canthin-6-one 1, 4-hydroxycanthin-6-one 4, 10-hydroxycanthin-6-one 5, 9-hydroxycanthin-6-one 6, and 11-hydroxycanthin-6-one 7 (Figure 2). The compounds 1 and 3–7 were tested for their anti-inflammatory properties. Derivatives 1–5 showed strong inhibitory effect on LPS (lipopolysaccharides)-induced NO (nitric oxide) production in RAW 264.7 murine macrophage cell line (IC50 = 7.73–15.09 μM). Moreover, 10-hydroxycanthin-6-one showed antifungal activity against Fusarium graminearum and Fusarium solani (growth inhibition rates respectively of 74.5% and 57.9%), and antibacterial effect against Bacillus cereus (MIC = 15.62 µg/mL) [8]. Canthin-6-one displayed antiparasitic effect in mice infected with Trypanosoma cruzi, both in acute and chronic infection. Due to its low toxicity, it is considered a promising candidate in Chagas disease therapy [9]. Canthin-6-one and 8-hydroxy-canthin-6-one 8 were also shown to exert antimycobacterial effects [10].
1,5-Naphthyridine alkaloids were isolated also from Leitneria floridana, a species of shrub, commonly known as corkwood, which is distributed in the southern regions of the United States. Leitneria floridana-derived 1-methoxycanthin-6-one 9 appeared to exert an effect against HIV (Human Immunodeficiency Virus) with an EC50 value of 0.26 g/mL [11]. Beside antiviral properties, the compound displayed anticancer potency and was shown to induce cellular apoptosis by activation of c-Jun N-terminal kinase [12].
The protein complex NF-κB (nuclear factor kappa B) plays a key role in pro-inflammatory mechanisms and has been found chronically active in various types of tumors and autoimmune diseases. A study performed by Tran et al. showed that Eurycoma longifolia-derived alkaloids: 9-hydroxycanthin-6-one 6, 9-methoxycanthin-6-one 10 and 9,10-dimethoxycanthin-6-one 11 (Figure 2) significantly inhibited NF-κB transcription with IC50 values in the range of 3.8–19.5 μM [13]. In another study, Brucea mollis-isolated 9-methoxycanthin-6-one 10 exerted strong cytotoxic properties against KB epidermoid carcinoma, LU-1 lung adenocarcinoma, LNCaP prostate adenocarcinoma, and HL-60 leukemia human cell lines with IC50 values in the range of 0.91–3.73 μM [14].
Picrasma quassioides, a genus of tree commonly growing in temperate regions of southern Asia, revealed to be the source of another natural naphthyridine agents. Jiao et al. isolated novel 1,5-naphthyridine alkaloids from Picrasma quassioides Bennet [15]. The compounds were determined as quassidine E 12 and canthin-16-one-14-butyric acid 13 (Figure 3). The novel agents 12 and 13 reduced the production of pro-inflammatory mediators: NO, IL-6, and TNF-α in LPS-induced RAW 264.7 cells, with IC50 values in the range of 20.51–66.96 μM [15].
Figure 3.
Structures of quassidine E 12 and canthin-16-one-14-butyric acid 13.
Natural products—cimiciduphytine 14 and eburnane derivatives 15 (Figure 4)—were evaluated as natural painkillers and antihypertensive agents, which could be used in cerebral circulation disturbance therapy [16].
Figure 4.
Structures of cimiciduphytine 14 and eburnane derivatives 15.
2.2. 1,6-Naphthyridine Derivatives
Aaptos, a widely-known genus of marine sponges, is considered as a prominent natural source of 1,6-naphthyridines. Aaptos was firstly described by Gray in 1867 [17]. The genus is represented by nearly 29 species that can be found in shallow waters of coastal areas all over the world. Since the 1980s, Aaptos has been extensively researched due to being the source of at least 62 secondary metabolites with diverse biological activities [18].
Aaptamine (8,9-dimethoxy-1H-benzo[de][1,6]naphthyridine) 16 (Figure 5) isolated by Nakamura et al. [19] in 1982 from Aaptos aaptos became the first, maternity representative of aaptamines family. The anticancer activity of the compound 16 has been extensively researched. Aaptamine exhibited notable cytotoxic effects in vitro against H1299 and A549 non-small cell lung cancer [20], HeLa cervical cancer [21], and CEM-SS T-lymphoblastic leukemia cell lines [22], with IC50 values ranging from 10.47 to 15.03 μg/mL. Moreover, aaptamine 16 displayed a potent anticancer effect in mice carrying human hepatocellular carcinoma HCC-LM3 xenografts with downregulation of SOX9 and Ki67 expression [23]. The agent 16 has been detected to intercalate into DNA [24], upregulate p21 expression, and induce apoptosis in cancer cells in a p53-independent manner [23,25]. Aaptamine 16 expressed the ability to interfere specifically with p53 and c-myc network in NT2 human embryonal carcinoma cell line [26]. Gong et al. [20] performed further investigation of the mechanism of aaptamine 16 action in non-small cell lung cancer cell lines. The agent 16 displayed antiproliferative properties with inhibition of cancer cells growth and clonogenicity in a dose-dependent manner. Aaptamine induced G1 cell cycle arrest with a reduction of CDK2 (Cyclin-dependent kinase 2), CDK4 (Cyclin-dependent kinase 4), Cyclin D1, and Cyclin E levels, and also interfered with the PI3K/AKT/GSK3b (phosphatidylinositol-3 kinase/protein kinase B/glycogen synthase kinase 3 beta) axis. It could potentially diminish the process of metastasis and tumor invasion due to downregulation of MMP-7 (matrix metalloproteinase-7) and MMP-9 (matrix metalloproteinase-9) expression [20]. Beside anticancer activity, aaptamine 16 was shown to block α-adrenoceptors in vascular smooth muscles [27]. Hence, it could be considered a antihypertensive agent. Moreover, the compound 16 has been reported to display antiviral activity against HIV-1 [24] and anti-amoebic effect towards Acanthamoeba castellanii [28]. Aaptamine 16 selectively blocked the type A MAO (Monoamine Oxidase) [29], an enzyme which is overexpressed in the brain during major depression episodes. Therefore, aaptamine 16 could be useful in depression therapy. Aaptamine 16 demonstrated a wide range of activity, nevertheless its derivatives surpassed the effect of parental agent.
Figure 5.
Aaptamine derivatives 16–18.
There are several studies comparing properties of parent aaptamine 16 with its derivatives demethyl(oxy)aaptamine 17 and isoaaptamine 18 (Figure 5). Dyshlovoy et al. [30] investigated anticancer properties of these compounds 16–18, isolated from Aaptos. Evaluation of cytotoxicity on human cancer cell lines (THP-1 human leukemia monocytic, HeLa cervical cancer, SNU-C4 colorectal carcinoma, SK-MEL-28 human melanoma, MDA-MB-231 breast cancer) in MTS assay confirmed significant anticancer potency of aaptamines 16–18, and aaptamine analogues exerted impressively higher activity than the parent compound. All the agents 16–18 induced apoptosis in THP-1 cell line, and the effect was also more significant for demethyl(oxy)aaptamine 17 and isoaaptamine 18. The study confirmed p53-independent cell cycle arrest induced by these compounds 16–18. The agents 16–18 were also shown to prevent cancerogenesis induced by epidermal growth factor at low, non-toxic concentrations in the JB6 P+ Cl41 murine epidermal cell line. The mechanism of prevention is independent from the transcription of AP-1 (activator protein-1) and NF-ϰB.
Wu et al. [31] investigated the cytotoxicity of aaptamine 16, demethyl(oxy)aaptamine 17, and isoaaptamine 18 on breast cancer cell lines. The derivatives 17 and 18 also presented higher activity than parent compound 16. Isoaaptamine 18 exerted the highest effect on T-47D (IC50 = 30.13 µM), meanwhile demethyl(oxy)aaptamine 17 was the most potent on MCF-7 (IC50 = 23.11 µM) and MDA-MB-231 (IC50 = 19.34 µM) cell lines. Isoaaptamine 18, chosen for further research as the most prominent alkaloid (84.74%) in the active fraction isolated from sponge Aaptos sp., presented short-term and long-term antiproliferative properties. The compound 18 inhibited XIAP (X-linked inhibitor of apoptosis protein) expression, and due to caspases 3 and 7 activation and cleavage of PARP (Poly ADP-ribose polymerase), induced apoptotic cell death in cancer cells. Cytotoxic properties of isoaaptamine 18 have also been based on autophagy induction, disruption to mitochondrial function, and over-generating reactive oxygen species. The role of isoaaptamine 18 as a significant apoptosis inducer on THP-1 cells was confirmed by Shubina et al. [32]. The compound 18 exerted the highest activity among tested aaptamine analogues.
Beside aaptamine 16 and its major analogues demethyl(oxy)aaptamine 17 and isoaaptamine 18, other 1,6-naphthyridines have been successfully isolated from marine sponge Aaptos. Liu et al. [33] obtained four novel 1,6-naphthyridine alkaloids, suberitine A-D 19–22 (Figure 6), and two known alkaloids, demethyl(oxy)aaptamine 17 (Figure 5) and 8,9,9-trimethoxy-9H-benzo[de][1,6]naphthyridine 23 (Figure 7), from the Aaptos suberitoides.
Figure 6.
Structures of suberitines A-D 19–22.
Figure 7.
Structure of 8,9,9-trimethoxy-9H-benzo[de][1,6]naphthyridine 23 and 1,3-dioxolo[4,5-d]benzo[de][1,6]naphthyridine 24.
Cytotoxic evaluation of the compounds revealed significant antitumor activity of 20 and 22 against P388 cell line with IC50 values, respectively, of 1.8 and 3.5 μM [33].
Toshiyuki Hamada et al. [34] isolated 8,9,9-trimethoxy-9H-benzo[de][1,6]naphthyridine 23 and 1,3-dioxolo[4,5-d]benzo[de][1,6]naphthyridine 24 (Figure 7) from the Bornean Aaptos aaptos and tested their cytotoxicity against adult T-cell leukemia cells. Compound 24 revealed a significant antitumor effect with an IC50 value of 0.29 µM, while alkaloid 23 remained inactive.
Yu et al. [35] isolated nine novel and three previously-known aaptamine derivatives from the South China Sea sponge Aaptos aaptos. Four of the compounds: 9-Amino-2-ethoxy-8-methoxy-3H-benzo[de][1,6]naphthyridin-3-one 25, 3-isobutylaminodemethyl(oxy)aaptamine 26, 3-(isopentylamino)demethyl(oxy)aaptamine 27, and 3-(phenethylamino)demethyl(oxy)aaptamine 28 (Figure 8) revealed potent anticancer activity with IC50 values in the range of 0.03–8.5 μM against human cancer cell lines: HL60 leukemia, K562 erythroleukemia, MCF-7 breast cancer, KB epidermoid carcinoma, HepG2 hepatocellular carcinoma, and HT-29 colon adenocarcinoma [35].
Figure 8.
Structures of aaptamine derivatives 25–28.
RANKL (Receptor Activator for Nuclear Factor κB Ligand) is a transmembrane protein that controls bone regeneration and remodeling. Wang et al. [36] performed biological examination of four 1,6-naphthyridines analogues, aaptodine A–D 29 (Figure 9), derived from Aaptos suberitoide. Aaptodine A–D 29 inhibited impressively RANKL-induced osteoclast formation and resorption, with the strongest effect for aaptodine D 29D. Hence, aaptodines could be considered as candidates for drugs used in treating osteoporosis and hormone therapy-induced bone loss.
Figure 9.
Structures of aaptodine A-D 29.
Another rich source of 1,6-naphthyridine is constituted by Sophora derivatives. Trees and shrubs from genus Sophora, comprising approximately 62 species, are distributed in tropical and temperate zones in Eastern Europe; Asia; Australia; Pacific islands; and western, North, and South America. Natural alkaloids have been isolated from roots, seeds and epigeal parts of the plant. Sophora extracts have been used in traditional Chinese medicine [37].
Matrine 30 (Figure 10) is considered as one of the most principal and widely studied Sophora alkaloid, and the number of publications regarding the compound are constantly growing. Molecular mechanisms of matrine 30 antitumor activity have been considerably researched. Recent studies confirmed the antineoplasm effect of matrine on MCF-7 breast cancer and A549 non-small cell lung cancer cell lines by inhibiting AKT/mTOR axis [38,39]. Additionally, it reduced tumor growth of ovarian cancer cells in vivo by inducing the expression of ERK and JNK (c-Jun N-terminal kinase) pathways [40]. Matrine 30 also exerted a significant effect in drug-resistant tumors by inducing apoptosis and inhibiting efflux-pump activity [41,42]. Beside anticancer properties, matrine 30 exerted cardioprotective effects towards cardiomyocyte damage during hyperglycemia and sepsis [43,44]. Moreover, matrine 30 properties of protecting liver function resulted in several clinical trials. Intramuscular injections of matrine 30 caused improvement of condition in patients treated for chronic Hepatitis type B and patients suffering from primary hepatic carcinoma after trans-artery chemo-embolization [45,46]. Compound 30 was also reported to decrease total bilirubin level and improve survival rates in liver transplant recipients [47]. Matrine 30 is also considered a promising candidate as an immunosuppressive drug due to inhibiting autoimmune response in experimental models of multiple sclerosis [48,49]. It also exerts antiviral activity [50,51].
Figure 10.
Structures of the Sophora alkaloids 30–33.
Extract isolated from the seeds of Sophora alopecuroides matrine 30, sophocarpine 31 and sophoramine 32 (Figure 10), with contents, respectively, of 32.85%, 26.55%, and 6.91%, have alleviated morphine withdrawal in patients [52]. Moreover, these alkaloids 30–33 displayed strong antitumor properties. Matrine 30, sophoridine 33 (Figure 10), and sophocarpine 31 exerted potent cytotoxic activity against HL-60 human leukemia, U937 human myeloid leukemia, K562 human erythroleukemia, EC109 esophageal squamous cell carcinoma, A549 non-small cell lung cancer, and HepG2 hepatocellular carcinoma cell lines, with IC50 values in the range of 1.21–12.86 mM [53]. Matrine 30 and sophocarpine 31 decreased cachexia symptoms (induced by colon carcinoma) in mice, and the mechanism of action was related to the suppression of TNF-α and IL-6 production [54]. Additionally, sophoramine 32 and sophocarpine 31 displayed antinematicidal activity against Bursaphelenchus xylophilus, pine trees parasite, and it was observed that degree of unsaturation in the -lactam ring correlated with the strength of antinematicidal activity [55].
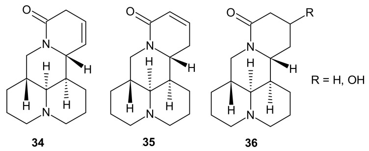
Sophora alkaloids have been tested worldwide for their anti-inflammatory properties. Tang et al. [56] evaluated the activity of five 1,6-naphthyridines analogues 34–36 (Figure 11), derived from roots of Sophora tonkinesis. The agents 34–36 significantly reduced the secretion of cytokines TNF-α and IL-6 in LPS-stimulated murine macrophages RAW 264.7. The most potent effect, higher than that of matrine 30, was exerted by 12,13-dehydrosophoridine 34 (TNF-α and IL-6 levels were 56.82% and 65.21%, respectively) [56].
Figure 11.
Sophoridine derivatives 34–36.
Li et al. [57] isolated 43 natural alkaloids from the seeds of Sophora alopecuroides. Assessment of anti-inflammatory efficacy was measured as suppression of NO production in LPS-activated RAW 264.7 cells. Among Sophora alkaloids, 5,6-dehydrolupanine 37 (Figure 12) exerted the most potent effect (IC50 value of 25.86 μM), higher than that of matrine. On the other hand, another 1,6-naphthrydidine derivative sophalode K 38 (Figure 12) decreased significantly the secretion of enzymes playing crucial role in development of inflammation: iNOS (inducible nitric oxide synthase) and COX-2 (cyclooxygenase 2).
Figure 12.
Structures of 5,6-dehydrolupanine 37 and sophalode K 38.
Fan et al. [58] obtained five novel 1,6-naphthyridine alkaloid dimers, alopecuroides A−E 39–43 (Figure 13), from the aerial parts of Sophora alopecuroides. The study revealed strong anti-inflammatory properties of alopecuroides B 40 and C 41. TNF-α and IL-6 levels were, respectively, 50.05% and 52.87% for alopecuroide B 35b and 49.59% and 73.90% for alopecuroide C 41 in LPS-induced RAW 264.7 cells [58].
Figure 13.
Alopecuroides A−E 39–43.
Sophora alkaloids were also reported to exhibit immunosuppressive properties. Alopecines A-E 44–48 (Figure 14), isolated from the seeds of Sophora alopecuroides, were assessed toward inhibiting proliferation of Concanavalin A-induced T lymphocytes and LPS-induced B cells [59]. Alopecine D 47 exerted the most potent effect, with IC50 = 3.98 μM for inhibiting proliferation of T lymphocytes and 3.74 μM for B lymphocytes (SI ratios respectively 8.0 and 8.5).
Figure 14.
Alopecines A-E 44–48.
Pan et al. [60] evaluated antiviral activity of 16 natural alkaloids, obtained from rhizomes of Sophora tonkinensis. 12α-Hydroxysophocarpine 49 (Figure 15), 12β-hydroxysophocarpine 50, and sophoranol 52 inhibited Influenza Virus A/Hanfang/359/95 replication with IC50 values in the range of 63.07–242.46 μM (SI ratios 3.1–5.7). 12β-Hydroxyoxysophocarpine 50, 9α-hydroxysophocarpine 51, sophoranol 52, and 14β-hydroxymatrine 53 (Figure 15) exerted the most potent activity against Coxsackie Virus B3 with IC50 values in the range of 26.62–252.18 μM (SI ratios 3.0–6.8) [60].
Figure 15.
Structures of 12-hydroxyoxysophocarpine 49–50, 9α-hydroxysophocarpine 51, sophoranol 52, and 14β-hydroxymatrine 53.
2.3. 1,7-Naphthyridine Derivatives
Bisleuconothine A 54 (Figure 16), determined as 1,7-naphthyridine alkaloid, was derived from the bark of Leuconotis griffithii—a species of plant with native distribution in southern Asia [61]. The agent 54 was shown to exert antineoplasm potency by inhibiting WNT signaling pathway, and to induce G0/G1 cell cycle arrest in cancer cells. It displayed significant antiproliferative properties against SW480, HCT116, HT29, and SW620 colon cancer cells in vitro (IC50 values respectively 2.74, 3.18, 1.09, and 3.05 μM), and reduced tumor growth in mice carrying HCT116 Xenograft [62]. Research conducted by Wong et al. [63] in A549 non-small cell lung cancer and MCF-7 breast cancer cell lines showed that bisleuconothine A 54 ows its cytostatic properties to inducing autophagosome formation. Additionally, the compound 54 could also play a protective role in periodontitis. Bisleuconothine A 54 was determined to reduce RANKL expression and diminish periodontal tissue infiltration by pro-inflammatory polymorphonuclear cells [64].
Figure 16.
Bisleuconothine A 54 and 1-N-methyl-3-methylamino-[N-butanoicacid-3-(9-methyl-8-propen-7-one)-amide]-benzo[f][1,7]naphthyridine-2-one 55.
Streptomyces albogriseolus is a mangrove bacterium species, widely known for producing aminoglycoside antibiotics neomycin B and neomycin C. Streptomyces albogriseolus has also been reported to be the source of 1,7-naphthyridine compound, 1-N-methyl-3-methylamino-[N-butanoic acid-3′-(9′-methyl-8′-propen-7′-one)-amide]-benzo[f][1,7]naphthyridine-2-one 55 (Figure 16) [65]. Cytotoxic evaluation performed by Tian et al. revealed that 55 displayed anticancer potency against HGC-27 human stomach carcinoma cell line [66].
2.4. 2,6-Naphthyridine Derivatives
4-Methyl-2,6-naphthyridine 56 (Figure 17) is an alkaloid isolated from the dried plant of Antirrhinum majus by Harkiss and Swift in 1970 [67].
Figure 17.

4-Methyl-2,6-naphthyridine 56.
Some indolo[2,6]naphthyridine alkaloids were obtained from plants of Erythrina spp. The seeds of these tropical trees contain erythrina alkaloids of varying degrees of toxicity. Some of them are used by indigenous peoples for medicinal purposes. They have an effect on the central nervous system and exhibit hypnotic, curare-like effects and neuromuscular inhibition, as well as sedative and hypotensive activity [68,69].
Erymelanthine-methyl(2R,13bS)-2-methoxy-2,6,8,9-tetrahydro-1H-indolo[7a,1a][2,6]naphthyridine-12-carboxylate 57 (Figure 18) was isolated from Erythrina melanacantha and E. velutina [70]. This alkaloid 57 was also obtained from Erythrina merilliana seeds by Jackson et al. [71]. Erymelanthine 57 was evaluated regarding its TRAIL (tumor necrosis factor-related apoptosis-inducing ligand) enhanced activity, and this alkaloid showed no cytotoxicity [72].
Figure 18.
Erymelanthine 57 and melanacanthine 58.
An example of Erythrina alkaloid containing indolo[2,6]naphthyridine scaffold is also 8-oxoerymelanthine 58, known as melanacanthine (methyl (2R,13bS)-2-methoxy-6-oxo-1,2,8,9-tetrahydroindolo[7a,1a][2,6]naphthyridine-12-carboxylate) 58 (Figure 18). This alkaloid 58 was isolated from E. melanacantha by Redha in 1983 [73]. Melanacanthine 58 inhibits thrombocyte agglutination and can be used in the treatment of hypertonia. The erythrina alkaloids 57–58 exhibited paralyzing activity [70,74].
Calycanthine 59 (Figure 19) was the first alkaloid isolated from the plants Calycanthaceae [75]. Calycanthine 59 was also isolated from Meratia praecox [76]. Toxic doses of calycanthine 59 cause excitation in mice, rats, and rabbits. After injection, calycanthine hydrochloride induces hyperglycaemia in rabbits and lowers blood pressure in cats or dogs [77]. Calycanthine 59 acts on peripheral motor nerves to cause muscle weakness associated in lower animals. In mammals, calycanthine causes seizures. The alkaloid 59 is also a strong depressant on the heart. It was reported that the anticonvulsant effect of calycanthine 59 is mainly caused by the inhibition of the release of the inhibitory neurotransmitter GABA (gamma-aminobutyric acid) [78].
Figure 19.
Calycanthine 59, isocalycanthine 60, and calycanine 61.
Gordin [75] isolated a second alkaloid, isocalycanthine 60 (Figure 19), from the seeds of Chimonanthus genus. This tetradehydroisomer of calycanthine was also isolated from the leaves of Psychotria colorata, the plant used in folk medicine to relieve pain [79], and from Psychotria forsteriana [80].
Dibenzo[c,h][2,6]naphthyridine named calycanine 61 (Figure 19) was isolated from the seeds of Chimonanthus praecox [81]. This alkaloid 61 was also obtained by Zn dehydrogenation of calycanthine 59 [82]. Calycanthine 59 and calycanine 61 were evaluated for their antifungal activities. Bipolaris maydis was susceptible to calycanthine (EC50 = 29.3 μg/mL) [83]. Calycanthine 59 was evaluated for its potent melanogenesis inhibitory activity, but showed cytotoxicity at 10 µM [84].
2.5. 2,7-Naphthyridine Derivatives
Compounds containing the 2,7-naphthyridine scaffold were isolated from plants and various marine organisms. Naturally occurring bicyclic 2,7-naphthyridine derivatives are known as polycyclic compounds with the 2,7-naphthyridine ring in their structures.
2.5.1. Bicyclic Alkaloids
Some of the monoterpenoid alkaloids of 2,7-naphthyridine structure were isolated from Oleaceae species [85]. Jasminine 62 (Figure 20) was obtained from the leaf of Ligustrum novoguineense by Hart et al. [86]. Jasminine 62 at a dose of 300 mg/kg causes a slight decrease in motor activity in mice. Cardiovascular activity of this alkaloid 62 was also evaluated, but it showed no significant effects [87].
Figure 20.
Jasminine 62, jasminidine 63, and dihydrojasminine 64.
Jasminidine 63 was isolated from Syringa Vulgaris [88], and dihydrojasminine 64 (Figure 20) was isolated from Osmanthus austrocaledonica [89,90].
Benkrief et al. [89] also isolated jasminine 62, dihydrojasminine 64, and a new copyrine alkaloid—austrodimerine 65 (Figure 21) from O. austrocaledonica.
Figure 21.
Austrodimerine 65.
Powel et al. [91] reported antileukemic activity of extracts from seeds of Sesbania drummondii. Three years later, scientists described the isolation of alkaloid sesbanine—(3’R,4R)-3’-hydroxyspiro[2,7]naphthyridine-4,1’-cyclopentane-1,3-dione 66 (Figure 22) from the ethanol extract of Sesbania drummondii seeds, which are poisonous [92]. The extract containing sesbanine 66 showed cytotoxic activity (KB assay) and was active in vivo in the P-388 lymphocytic leukemia system [93].
Figure 22.
Sesbanine 66, 3-acetyl-2,7-naphthyridine 67, and neozeylancine 68.
3-Acetyl-2,7-naphthyridine 67 (Figure 22) was isolated by Janot et al. [94] from the roots and rhizomes of Valeriana officinalis. This compound 67 exhibited sedative and tranquilizer activity [94].
Neozeylancine 68 (Figure 22) was isolated in 1988 from Neonauclea zeylanica by Atta-ur-Rahman [95].
Bioactive alkaloids Lophocladine A 69 and lophocladine B 70 (Figure 23) were isolated from the marine red alga Lophocladia sp. by Gross et al. [96]. 4-Phenyl-2,7-naphthyridin-1-one 69 exhibited antagonistic activity against δ-opioid receptors, and 1-amino-4-phenyl-2,7-naphthyridine 70 showed cytotoxic activity against human lung tumor and breast cancer cell lines [96].
Figure 23.
Structure of lophocladines 69–70.
2.5.2. Tricyclic Alkaloids
Some alkaloids containing a diazaphenanthrene (benzo[2,7]naphthyridine) scaffold were discovered in some plants and marine organisms. 8-Bromo-4,5,5-trimethyl-5,6-dihydrobenzo[c][2,7]naphthyridine named Veranamine 71 (Figure 24) was isolated from the ethanol extract of the marine sponge Verongula rigida. Veranamine 71 had a moderate affinity for serotonin receptors and was therefore assessed for antidepressant activity in mice using the forced swim test. This alkaloid 71 showed antianxiety and antidepressant activity and selective affinity for 5HT2B and sigma-1 receptors [97].
Figure 24.
Structures of benzo[2,7]naphthyridine alkaloids 71–74.
Alkaloids: 6-(3,4-dimethoxyphenyl)-3H-benzo[f][2,7]naphthyridin-6-ium-4-one called Perloline 72 and benzo[f][2,7]naphthyridin-4(3H)-one called perlolidine 73 (Figure 24) were isolated from the perennial rye grass Lolium perenne [98]. These alkaloids 72–73 inhibit in vitro cellulose digestion. Perloline 72 is slightly toxic after oral administration to mice and sheep [99].
Subarine-methyl 2-(5-oxo-6H-benzo[f][2,7]naphthyridin-4-yl)pyridine-3-carboxylate 74 (Figure 24) was isolated from Singaporean ascidian by Nilar et al. [100]. This marine alkaloid 74 was evaluated by in vitro screening against yeast and many Gram-positive and Gram-negative bacteria, but it exhibited no significant activity. Subarine 74 was also tested for in vitro cytotoxic activity on 60 human tumor cell lines, but did not show antiproliferative effect [101,102].
2.5.3. Tetracyclic Alkaloids
The extract of the plant Alangium lamarckii has been used by Indians to treat many human disorders [103]. In Thailand, it is useful in the treatment of asthma, coughs, hemorrhoids, diarrhea; and in India to treat leprosy, fever, or as an anthelmintic agent [104,105]. Pakrashi et al. [106,107] isolated tetracyclic alkaloids from the seeds of A. lamarckii. This alangium alkaloids namely: alamaridine 75, alangimaridine 76, dihydroalamarine 77, alangimarine 78, alamarine 79, alangimarinone 80, isoalangimarine 81 isoalamarine 82, and dihydroisoalamarine 83 (Figure 25) contain the isoquino[2,1-b][2,7]naphthyridine scaffold [108,109].
Figure 25.
Structures of alangium alkaloids 75–83.
Some tetracyclic alkaloids possess 2,7-naphthyridine ring in the structure of azaaporphine: eupomatidines 1–3 84–86 and imbilines 1–3 87–89 (Figure 26) were isolated from Eupomatia bennettii and E. laurina [110].
Figure 26.
Eupomatidines 1–3 84–86 and imbilines 1–3 87–89.
Kitahara et al. [111] synthesized eupomatidines 1–3 84–86 and evaluated their antifungal activity against Candida albicans, Paecilomyces variotii, and Trichophyton mentagrophytes. Eupomatidine-1 84 exhibited activity against those tree fungi with EC50 values of 50 μg/mL, 6.25 μg/mL, and 0.4 μg/mL, respectively. Eupomatidine-2 85 and eupomatidine-3 86 were active only toward T. mentagrophytes with EC50 values 3.1 μg/mL and 6.25 μg/mL, respectively. Khan et al. [112] evaluated eupomatidine-1 84 against over a dozen Gram-positive and Gram-negative bacteria strains, a protozoan and nine fungi. This alkaloid 84 turned out to be much better than the applied standard (ketoconazole and griseofulvin), both in terms of scope and level of antifungal activity. Eupomatidine-1 84 showed comparable antimicrobial activity to chloramphenicol.
Imbiline-1 87 (Figure 26) was also isolated from a large tree Duguetia hadrantha and then evaluated for its antimalarial and antimicrobial activity [113]. Imbiline-1 87 showed a weak antimalarial potency, but it was more active against chloroquine-resistant than chloroquine-sensitive Plasmodium falciparum clones. Imbiline-1 87 was found to be inactive against C. albicans, C. neoformans, and S. aureus. This alkaloid 87 exhibited cytotoxic activity in vitro against human malignant melanoma and human ovary carcinoma cell lines with IC50 values of 2 μg/mL and 5 μg/mL, respectively [113].
The scientists [113] isolated also new imbiline-type alkaloids: hadranthine A 90a and hadranthine B 90b from the ethanolic extract of Duguetia hadrantha (Figure 27).
Figure 27.
Hadrantines A 90 and hadranthine B 91, and sampangines 92–96.
Hadranthine A (7,10-dimethoxy-6-methyl-4,5-dihydronaphthol[1,2,3-ij][2,7]naphthyridine-4,5-(6H)-dione) 90 showed in vitro antimalarial activity against chloroquine-resistant P. falciparum with IC50 = 120 ng/mL. This alkaloid was active against C. albicans with MIC = 20 μg/mL. Hadranthine B (7-methoxy-4,5-dihydronaphthol[1,2,3-ij][2,7]naphthyridine-4,5-(6H)-dione) 91 did not show antimalarial activity, but it exhibited in vitro cytotoxic activity against human malignant melanoma, epidermoid carcinoma, ductal carcinoma, and ovary carcinoma cell lines with IC50 values between 3–6 μg/mL [113]. This alkaloid 91 was also evaluated for its in vitro effects on immune response and inflammation, but did not show significant potency [113].
Sampangines 92–96 (Figure 27) also are tetracyclic alkaloids containing the 2,7-naphthyridine scaffold. Sampangine 92 was isolated first from the stem bark of plant Cananga odorata by Rao et al. [114]. 3-Methoxy derivative 93 was isolated from Cleistopholis patens by Liu et al. [115].
Sampangine 92 and 3-methoxysampangine 93 were also isolated from Duguetia hadrantha and then evaluated for their antimalarial, antifungal, and cytotoxic potency [115]. Both alkaloids 92–93 exhibited activity against P. falciparum with no cytotoxicity toward VERO cells. Sampangine 92 showed cytotoxicity to human malignant melanoma with IC50 = 0.37 μg/mL and inhibited cell aggregation (MIC < 0.15 μg/mL) [113]. Sampangine 92 isolated from the stem bark of Anaxagorea dolichocarpa by Lucio et al. [116] demonstrated antitumor activity against human leukemic strains with IC50 values of 10.15–11.80 μg/mL. Sampangine 92 and 11-methoxysampangine 94 isolated from the roots of Ambavia gerrardii were evaluated for their antiproliferative activity [117]. Alkaloids 92 and 94 showed strong activity against human non-small cell lung cancer cell line with IC50 values of 0.57–0.58 μM, but sampangine 92 was more active against human ovarian cancer cell line (IC50 = 0.60 μM) than its 11-methoxy derivative 94 (IC50 = 10.30 μM) [117]. Research by scientists under Kluza [118] directions has shown that sampangine 92 induces apoptosis in HL-60 cells. In low concentrations, it caused G1 arrest and at the same time induced mitochondrial hyperpolarization. At higher concentrations, it elicited mitochondrial depolarization [118]. The treatment of human leukemia cells with sampangine 92 (40 μM) induced apoptosis due to an oxidative stress [119]. The ability of sampangine 92 to produce reactive oxygen species was confirmed by using an in vitro biochemical assay, and the participation of this alkaloid 92 in binding and damaging DNA was excluded [120].
Sampangine 92, and two derivatives: 9-methoxysampangine 95 and 8,9-dimethoxysampangine 96, were isolated from the barks of Polyalthia nemoralis [121] and evaluated for their cytotoxic activity. Obtained alkaloids 92, 94, 95 exhibited significant cytotoxicity against human carcinoma in the mouth, human breast cancer, human lung cancer, human hepatoma cancer, human prostate cancer, human ovarian adenocarcinoma, and human colon adenocarcinoma [121].
Sampangines 92–93 exhibited antimicrobial activity against C. albicans, C. neoformans, and S. aureus [113,122]. Sampangine 92 was found to be a strong antifungal agent against Paecilomyces variotii, and Trichophyton mentagrophytes with EC50 = 0.2 μg/mL [111]. Scientists reported that the antifungal activity of sampangine 92 may be due to perturbations in heme biosynthesis or metabolism [123].
3-Methoxysampangine 93 showed significant in vitro antifungal activity against C. albicans and C. neoformans and A. fumigatus, better than amphotericin B [115]. These alkaloids 92–93 also showed excellent antimycobacterial activity against Mycobacterium intracellulare, comparable to rifampin [124]. The dependence of the activity of sampangine derivatives 92–96 on the type of substituents in the naphtho[1,2,3-ij][2,7]naphthyridine scaffold is presented in Table 1.
Table 1.
The dependence of the activity of alkaloids 92–96 on the types of substituents.
| Activity | Substituents | |||
|---|---|---|---|---|
| R | R1 | R2 | R3 | |
| anticancer | H | H, OCH3 | H, OCH3 | H, OCH3 |
| antimalarial | H, CH3 | H | H | H |
| antifungal | H, CH3 | H | H | H |
| antibacterial | H, CH3 | H | H | H |
Eupolauridines are tetracyclic alkaloids containing the 2,7-naphthyridine scaffold condensed with an indene ring (Figure 28).
Figure 28.
Structures of eupolauridine analogs 97–101.
Eupolauridine (indeno[1,2,3-ij][2,7]naphthyridine) 97 was isolated from Cananga odorata [125] and from Eupomatia laurina [126]. Pan et al. [117] isolated eupolauridine 97, 8-hydroxyeupolauridine 98, 9-methoxyeupolauridine-1-oxide 100, and eupolauridine N-oxide 101 from Ambavia gerrardii. Alkaloids were screened for their in vitro antiproliferative activity. Among eupolauridine analogues, compound 101 was the most active against human ovarian cancer cell line with IC50 = 3.5 μM, and only this derivative 101 showed antitumor activity against non-small-cell lung cancer cell line (IC50 = 1.77 μM) [117]. 7-Methoxy-8-hydroxyeupolauridine 99 isolated from Polyalthia nemoralis by Oanh et al. [121] did not show cytotoxicity against seven tested cancer cell lines (human carcinoma in the mouth, human breast cancer, human lung cancer, human hepatoma cancer, human prostate cancer, human ovarian adenocarcinoma, and human colon adenocarcinoma). Eupolauridine 97 extracted from the root bark of Cleistopholis patens by Hufford et al. [127] exhibited a significant activity against C. albicans with MIC = 1.56 μg/mL.
2.5.4. Pentacyclic Alkaloids
Pentacyclic derivatives of indolo[2′3′:3,4]pyrido[1,2-b][2,7]naphthyridine (Figure 29) were isolated from different plants. Alkaloids: nauclefine 102, naucletine 103, angustine 105, angustoline 106, and angustidine 107 isolated from Neuclea officinalis [128], and neonaucline 104 and cadamine 109 isolated from Ochreinauclea maingayii exhibited potent vasorelaxant activity on isolated rat aorta [129]. Neuclefine 102 isolated from the bark of Nauclea subdita also induced apoptosis of diverse cancer cells and inhibited tumor xenograft growth [130]. Normalindine 111 and norisomalindine 110 were isolated from Strychnos johnsonii [131]. Isomalindine 113 and normalindine 111 were isolated from Ophiorrhiza sp. [132]. 19-O-ethylangustoline 99 and other alkaloids were isolated from the stem bark of Sarcocephalus latifolius [133]. Malindine 112 and isomalindine 113 were isolated from the stem bark of Strychnos usambarensis [134].
Figure 29.
Structures of indolo[2′3′:3,4]pyrido[1,2-b][2,7]naphthyridine derivatives 102–113.
2.5.5. Polycyclic Alkaloids—Pyridoacridine Analogs
Pyridoacridines are polyheterocyclic compounds containing pyrido[4,3,2-mn]acridine skeleton (Figure 30) and are a large number of marine-derived alkaloids.
Figure 30.

Structure of pyrido[4,3,2-mn]acridine.
Pyridoacridine alkaloids possess 2,7-naphthyridine scaffold in their structures and can be classified into tetracyclic, pentacyclic, hexacyclic, heptacyclic, and octacyclic compounds due to the number of rings attached to the pyrido[4,3,2-mn]acridine skeleton.
Calliactine 114 (Figure 31) was the first pyridoacridine derivative that was obtained. This alkaloid 114 was isolated from the sea anemone Calliactis parasitica in 1940 by E. Lederer et al. [135].
Figure 31.
Calliactine 114.
Since then, about a 100 pyridoacridine analogs have been found in many marine organisms. They have been isolated from ascidians, sponges, anemone, and certain mollusks. Most pyridoacridine derivatives were reported to possess significant pharmacological activities, including anticancer, antimicrobial, and antiparasitic activities [136,137,138,139].
Tetracyclic Pyridoacridine Derivatives
The first tetracyclic members of pyridoacridines were cystodytines 115–125 (Figure 32). These alkaloids 115–125 were isolated from the yellow tunicate Cystodytes dellechiajei by Kobayashi et al. [140,141]. Cystodytines A–K 115–125 were found to be cytotoxic. Cystodytine A–C 115–117 showed in vitro potent cytotoxicity against mouse leukemia cell lines with IC50 values of 0.22–0.24 μg/mL [140] and Cystodytines D–I 118–123 against murine lymphoma and human epidermoid carcinoma KB cells with IC50 values of 0.068–1.4 μg/mL [141]. Cystodytine J 124 isolated from Cystodytes sp. exhibited cytotoxic activity in vitro against the human colon tumor cell line with IC50 = 1.6 μM and inhibited the topoisomerase II with IC50 = 8.4 μM. The DNA binding ability of Cytodytine J 124 has also been reported [142]. 12-Methoxy derivatives 125 of cytodytine J were isolated from the ascidian Lissoclinum notti. Cystodytine K 125 showed cytotoxic activity in vitro against a murine leukemia cell line (IC50 = 1.3 μM) [143].
Figure 32.
Cystodytines A–K 115–125.
Styelsamines A–D 126–129 (Figure 33) were isolated from the ascidian Eusynstyela latericius [144]. Obtained alkaloids 126–129 showed cytotoxicity toward the human colon tumor cell line with IC50 values of 33, 89, 2.6, and 1.6 μM, respectively [144]. Styelsamines C 129 and D 128 were also isolated from the purple morph of the ascidian Cystodytes dellechiajei [145].
Figure 33.
Styelsamines A–D 126–129.
Fong and Copp [146] evaluated styelsamines 126–129 and cystodytines 115–125 for their DNA binding affinity and cytotoxic activity towards a panel of human tumor cell lines. Tested compounds showed moderate antiproliferative activity. Styelsamines B 127 and D 128 have particularly high affinity for calf thymus (CT)DNA, but cystodytines exhibited lower affinity [146].
Methylsulfanyl derivative of cystodytine J was isolated from the tunicate Diplosoma sp. by Charyulu et al. and named diplamine 130 [147]. Diplamine 130 and its isomer isodiplamine 131 (Figure 34) were also isolated from the ascidian Lissoclinum notti and were tested for their cytotoxicity against murine leukemia, human colon tumor, and non-malignant African Green Monkey kidney cell lines. Diplamine 130 was more cytotoxic towards BSC-1 cells than isodilamine 131. Diplamine 130 turned out to be a stronger topoisomerase II inhibitor than etoposide and showed the ability to intercalate into DNA [142].
Figure 34.
Diplamines 130–132.
Diplamines 130–131 also exhibited moderate antimicrobial activity towards Bacillus subtilis, Escherichia coli, Candida albicans, and Trichophyton mentagrophytes [143]. Diplamine B 132 was isolated from the ascidian Lissoclinum badium and tested by immunoblotting for its effects on cellular p53 and Hdm2 in the tert-immortalized human retinal pigment epithelial cells (the potency was similar to proteasome inhibitor N-acetyl-leucyl-leucyl-norleucinal) [148].
The dependence of the activity of diplamine derivatives 130–132 on the type of substituents in the pyridoacridine scaffold is presented in Table 2.
Table 2.
The dependence of the activity of alkaloids 130–132 on the type of substituents.
| Activity | Substituent | ||
|---|---|---|---|
| R | R1 | R2 | |
| anticancer | H, COCH3 | SCH3 | H |
| antimicrobial | COCH3 | H, SCH3 | H, SCH3 |
Another pyridoacridine alkaloid containing thiomethyl substituents—varamine A 133, veramine B 134, lissoclin A 135, and lissoclin B 136 (Figure 35)—was isolated from the ascidian Lissoclinum sp. [149,150]. Varamines 133–134 showed cytotoxicity towards L-1210 murine leukemia cells with IC50 values of 0.03 and 0.05 μg/mL, so they proved to be more toxic than cystoditines, which have the same skeleton but without the thiomethyl group [150].
Figure 35.
Veramines 133, 134 and lissoclins 135 and 136.
Norsegoline 137 (Figure 36) was isolated from tunicate Eudistoma sp. [151,152]. Einat et al. [153] evaluated the inhibitory effect of norsegoline on the growth of myeloid progenitors obtained from bone marrow and peripheral blood of chronic myelogenous leukemia (CML) patients. Norsegoline 137 showed antiproliferative activity and may be an effective agent for use in removing ex vivo Philadelphia-positive cells from peripheral blood of CML patients in conjunction with autologous bone marrow transplantation [153].
Figure 36.
Norsegoline 137 and Pantherinine 138.
Kim et al. [154] isolated a brominated alkaloid pantherinine 138 (Figure 36) from the ascidian Aplidium pantherinum, which showed cytotoxic activity against murine leukemia cells (ED50 = 4.5 µg/mL).
Penta- and Hexacyclic Pyridoacridine Derivatives
Lissoclinidine 139 (Figure 37) was isolated from the ascidian Lissoclinum notti [143]. This pentacyclic alkaloid 139 is a product of diplamine photoreduction, where the thiomethyl group is cyclised into a 1,3-oxathiolane ring. Lissoclinidine 139 showed moderate antiproliferative activity [143].
Figure 37.
Lissoclinidines 139–140.
Deacetyl derivative, lissoclinidine B 140, was isolated from Lissoclinum cf. badium [155]. Lissoclinidine B 140 selectively induces cell apoptosis in a p53-dependent manner with IC50 values of 98.1 ± 6 μM and a dose-dependent increase in luciferase activity. The results of the studies showed that lissoclinidin B 140 is an inhibitor of Hdm2 auto-ubiquitylation and stabilizes p53 and Hdm2 in cells [148].
Kuanoniamine alkaloids 141–149 contain a thiazole ring fused to pyridoacridine scaffold (Figure 38). Kuanoniamines A–D 141–144 were first isolated from the mollusk Chelynotus semperi [156], and kuanoniamines E–F 145–146 were isolated by Nilar et al. [100] from Singaporean ascidians. N-Deacetylkuanoniamine C 147 was isolated from the Micronesian sponge Oceanapia sp [157]. Dehydrokuanoniamine B 148 and F 149 were isolated from South-Pacific Ocean ascidian Cystodytes violatinctus [158].
Figure 38.
Kuanoniamines 141–149.
Cytotoxicity of kuanoniamines C 143 and D 144, and N-deacetylkuanoniamine C 147 were studied in vitro, using two human cell lines (HeLa cells and MONO-MAC 6 cells) and exhibited similar activity with IC50 values of 1.2–2.0 μg/mL [157].
Kuanoniamine D 144 exhibited affinity to A1- and A2A-adenosine receptors (Ki values of 2.94 and 13.7 μM, respectively), and all derivatives showed moderate affinity to benzodiazepine binding sites of GABA-A receptors [157]. Dehydrokuanoniamine F 149 showed cytotoxic activity toward the SW480 colon cancer cell line with IC50 values of 3.30 μM [158].
Sagitols are hydroxy analogs of kuanoniamines (Figure 39). Sagitol 150 and sagitol C 151 were isolated from the Indonesian sponge Oceanapia sp. [159,160]. Sagitol C 151 exhibited antiproliferative activity towards mouse lymphoma, human cervix carcinoma, and rats brain tumor cell lines in MTT (the microculture tetrazolium) assay [161]. Sagitol D 152 was isolated from Vietnamese ascidians and showed a weak antioxidant activity with IC50 values of 92 μM in the DPPH (2,2-diphenyl-1-picryl-hydrazyl-hydrate) assay [160].
Figure 39.
Sagitols 150–152.
Other pyridoacridine alkaloids containing a thiazole ring fused with pyridoacridine skeleton are Dercitin 153 isolated from Dercitus sp. sponges and its analogs isolated from Stelletta sp. sponges (Figure 40) [162,163,164]. Dercitin 153 exhibited in vivo antitumor activity. This alkaloid 153 inhibited the proliferation of murine leukemia and human leukemia, and lung, melanoma, and colon tumor cells with IC50 values of 63–150 nM. Dercitin 153 was a potent inhibitor of DNA polymerase I and showed an effect on the stabilization of protein–DNA complexes [165]. Dercitine analogs: nordecitine 154, dercitamide 155, dercitamine 156, cyclodercitine 157, dehydrocyclodercitine 158, and stellettamine 159 also showed antiproliferative activity, but were less potent than dercitine 153 (Table 3) [166].
Figure 40.
Dercitin analogs 153–159.
Table 3.
Antiproliferative activity of dercitine analogs 153–159.
| Alkaloid | Activity | IC50 |
|---|---|---|
| 153 | antiproliferative inhibition of polymerase I stabilization of protein-DNA complexes |
63–150 nM |
| 154 | antiproliferative | 4.8 μM |
| 155 | antiproliferative | 26.7 μM |
| 156 | antiproliferative | 12.0 μM |
| 157 | antiproliferative | 1.9 μM |
| 158 | antiproliferative | 9.9 μM |
| 159 | antiproliferative | 60.0 μM |
Sebastianine A 160 has a pyrrole ring and sebastianine B 161 has a pyrrolidine ring fused with the pyridoacridine scaffold (Figure 41). These alkaloids 160–161 were isolated from the ascidian Cystodytes dellechiajei and showed cytotoxic activity against the HCT-116 colon carcinoma cells, indicating a p53-dependent mechanism [167].
Figure 41.
Sebastianine A 160 and B 161.
Arnoamines 162–165 have a pyrrole ring fused to the pyridoacridine scaffold (Figure 42). These cytotoxic alkaloids 162–165 were isolated from the ascidian Cystodytes sp. [158,168]. Arnoamine A 162 showed good antitumor activity against breast cancer cell lines with GI50 value of 0.3 μg/mL and weak activity against lung and colon cell lines with GI50 of 2.0 and 4.0 μg/mL, respectively. Arnoamine B 163 exhibited weak antiproliferative activity against the same cancer cell lines (GI50 of 2.0–3.0 μg/mL) [168]. Cytotoxic activity of arnoamine C 164 and arnoamine D 165 were evaluated against melanoma and colon cancer cell lines. Arnoamine D 165 was found to be more active than arnoamine C 164 (with IC50 values of 4.32–8.48 μM) [158].
Figure 42.
Arnoamines 162–165.
The first analog of pyridoacridine obtained from marine organisms was amphimedine 166. This alkaloid 166 containing a pyridoquinoline skeleton was isolated from an Amphimedon sp. sponge [169]. Later, more amphinedine-type alkaloids (Figure 43) 166–178 were isolated from the marine sponge Xestospongia sp. and the ascidian Cystodytes dellechiajei [145,155].
Figure 43.
Alkaloids 166–178.
Amphimedine analogs: amphimedine 166, neoamphimedine 168, deoxyamphimedine 170, 1-hydroxy-deoxyamphimedine 171, 3-hydroxy-deoxyamphimedine 172, and debromopetrosamine 176 were evaluated in a zebrafish phenotype-based assay and only amphimedine 166 caused embryo necrosis, pericardial edema, and an enlarged yolk with a thin extension at 30 μM [170]. Amphimedine 166 exhibited cytotoxic activity toward P388 murine leukemia cells, but it did not inhibit topoisomerase II [169,171,172]. Neoamphimedine 168 was cytotoxic toward normal CHOAA8 cells and deoxyamphemidine 170 against human colon tumor cells [173]. Neoamphimedine 168 also showed antitrypanosomal activity against T. brucei with IC50 = 0.21 μM, but amphimedine 166 was inactive [171,173]. Demethyldeoxyamphimedine 173 showed antibacterial activity against L. anguillarum and M. luteus [145].
The presence of a bromine atom on the benzene ring determines the activity of these derivatives (Table 4). Petrosamine 177 isolated from Petrosia sp. sponge was found to be about six times more potent an AChE inhibitor than galanthamine (IC50 = 0.091 μM) [174]. Petrosamine B 178 weakly inhibited the Helicobacter pylori aspartyl semialdehyde dehydrogenase (IC50 = 306 μM) [175].
Table 4.
The dependence of the activity of petrosamine analogs 176–178 on the type of substituents.
| Activity | Substituent | |
|---|---|---|
| R | R1 | |
| AChE inhibitor | H | Br |
| antibacterial (H. pylori) | Br | H |
| inactive | H | H |
Ascididemin analogs also possess a pyridine ring fused to the pyridoacridine scaffold (Figure 44). Ascididemin 179 was isolated from the tunicate Didemnum sp. and the ascidian Cystodytes dellechiajei [155], and later with 12-deoxyascididemin 181 from the ascidian Polysyncraton echinatum [176]. These alkaloids 179 and 181 showed potent activity against T. brucei with IC50 values of 0.077 and 0.032 μM, respectively [176]. Ascididemin 179 also exhibited antimicrobial activity against C. resinae, E. coli, and B. subtilis [177], and very good potency against M. tuberculosis (MIC = 0.35 μM) [178]. Ascididemin 179 causes release of calcium ions in the sarcoplasmic reticulum seven times more than caffeine [140]. Ascididemine analogs showed cytotoxic activities. Ascididemin 179 and 12-deoxyascididemin 181 exhibited cytotoxic activity toward the human embryonic kidney cell line with IC50 values of 1.48 and 7.63 μM, respectively [176]. Ascididemin 179 showed cytotoxic effects against murine leukemia cells (IC50 = 0.39 μg/mL) [140]. 11-Hydroxyascididemin 180 showed cytotoxic activity against the human prostate cancer (PC3) cell line with IC50 = 1.9 μM [179].
Figure 44.
Structures of ascididemin analogs 179–186.
Meridine 182 (Figure 44) isolated from the ascidian Amphicarpa meridiana [180] and from the marine sponge Ecionemia geodides [181] also showed cytotoxic activity against the invasive bladder cancer cell lines (IC50 values of 3.76–4.56 μM) [181].
Ecionines A 183 and B 184 (Figure 44) possessing an imine moiety were isolated from Ecionemia geodides sponge [181]. Ecionine A 183 showed moderate cytotoxic activity against a panel of human bladder cancer cell lines with IC50 values of 3–7 μM [181].
Ancorine 185 and cnemidine A 186 are analogs of hydroxyascididemines (Figure 44). Ancorine 185 was isolated from the sponge Ancorina geodides, and cnemidine A 186 was isolated from the tunicate Cnemidocarpa stolonifera [182]. Cnemidine A 186 selectively inhibited PC3 with IC50 = 1.1 μM [182].
Shermilamines are alkaloids with the 3-thiomorpholinone ring fused to pyridoacridine scaffold (Figure 45). These alkaloids 187–190 were first isolated from the tunicate Trididemnum sp. [183,184], and later also from the ascidian Cystodytes sp. [142,185]. Shermilamines A 187 and B 188 exhibited cytotoxicity to murine leukemia cells. Shermilamine B 188 showed in vitro cytotoxic activity against KB cells with IC50 = 5 μg/mL, and human colon tumor cells with IC50 = 13.8 μM [156]. Shermilamines B and C 188–189 inhibit topoisomerase II and have the ability to intercalate into calf thymus DNA [142]. Shermilamine B 188 and N-deacetylshermilamine 190 were evaluated for their antibacterial activity against E. coli and M. luteus, but they were found to be less potent than reference gentamicin [138].
Figure 45.
Shermilamines 187–190.
Hepta- and Oxacyclic Pyridoacridine Derivatives
Eilatin 191 is a symmetrical, heptacyclic alkaloid containing two pyridoacridine moieties (Figure 46). This alkaloid 191 was isolated from the tunicate Eudistoma sp. [151,152] and also from the ascidians Cystodytes sp. and Polysyncraton echinatum [142,169]. Eilatin 191 showed in vitro antiproliferative activity against the human colon tumor cell line and the human embryonic kidney cell line [176]. It also inhibited topoisomerase II and intercalated into DNA [142]. Eilatin 191 has two sets of nitrogen atoms capable of metal ion chelation. Complexes of eilatin–Ru(II) exhibited strong anti-HIV activity [186].
Figure 46.
Eilatin 191 and biemnadin 192.
Biemnadin 192 is the octacyclic alkaloid containing the 2,7-naphthyridine ring in its skeleton (Figure 46). This alkaloid 192 was isolated from Biemna sp. sponges [187]. Biemnadin 192 showed weak cytotoxic activity toward the superficial bladder cancer cell line [181] and induced multipolar neuritogenesis [188].
2.6. Naphthyridines Molecular Mechanisms of Action—What Do We Know?
Naturally occurring naphthyridines are characterized by diverse mechanisms of action. Some of their biomolecular activities have been discovered, nevertheless there is still much to explore in this field.
Naphthyridines obtained from natural sources are characterized by anticancer potency. The compounds exhibit features of topoisomerase inhibitors and DNA intercalators [142]. They were documented to induce apoptosis in cancer cells in both p53-dependent and p53-independent manner [23,25,148,167]. Moreover, the compounds interfere with procytotoxic signaling pathways, i.a., AKT/mTOR, ERK, JNK, WNT [38,39,40,62]. Antineoplasm properties against drug-resistant tumors could be elucidated by inhibiting efflux-pumps activity, however, this topic requires further study [41,42].
Anti-inflammatory activity of naphthyridines is based on reducing iNOS and COX-2 release, decrease in NO production, and IL-6 and TNF-α secretion [7,15,54,56,57]. They suppress autoimmunity reactions through an IFN-β/IL-27/IL-10 pathway, and by targeting proautoimmunity gene expression including angiogenin and stratifin [48,49].
The compounds modulate neurotransmission by affinity to GABA A and MAO A receptors, and inhibiting AchE activity [29,157,174].
Natural naphthyridines antiinfectious properties were widely screened against many infectious species [6,8,111,112,178]. However, molecular mechanisms of their action are still poorly researched and described. This issue is an interesting target for deeper research.
Natural naphthyridines have an extensive background of preliminary research, which is a solid foundation for molecular studies. Further investigations are still needed.
3. Conclusions
The natural environment, including marine and terrestrial organisms, should be considered as a rich source of bioactive substances. Naturally-derived naphthyridines, isolated mostly from sea species and terrestrial plants, have been shown as potent chemical compounds with multidirectional activity. Natural naphthyridines are most abundantly represented by 1,6- and 2,7-naphthyridine isomeric forms. Until now, research studies revealed their impressive antimicrobial [6,8,177], antifungal [6,8,111,112], and antimycobacterial [10,178] effects, and some of them displayed activity superior or comparable to those presented by chloramphenicol [112], amphotericin B [115], and rifampin [124]—drugs used in standard therapeutic regimens. Moreover, naphthyridines were shown to present significant properties including antiinfectious: antiviral [11,24,50,51], antiparasitic [9,176], and antimalarial [113]; anticancer [5,6,23,35]; influencing cardiovascular system: hypotensive [16,27], cardioprotective [43,44]; neurological: sedative [94], analgesic [15], anticonvulsant [78], stimulating neuritogenesis [188]; psychotropic: antianxiety [97], antidepressant [29,97]; and affecting immune system: anti-inflammatory [7,56,57], immunosuppressant [48,49,50]. The spectrum of activity of naturally-derived naphthyridines is wide, thus these compounds are undeniably fascinating subjects of research. An undoubted advantage of naphthyridines is their wide availability thanks to the possibility of obtaining them both from natural sources and synthetically. The versatility of naphthyridines is expressed by the occurrence of multiple activities within a single compound. Moreover, many of the representatives are considered as safe and nontoxic, and constitute a great alternatives for standard therapies [9,48]. We strongly believe that this work will contribute to further exploration of naphthyridine derivatives—their natural sources and bioactive properties—and will result in the use of these chemical compounds for therapeutic purposes in the future.
Author Contributions
Conceptualization, G.C. and A.W.; investigation, G.C. and A.W.; writing—original draft preparation, G.C. and A.W.; writing—review and editing, G.C., A.W. and E.B.; visualization, G.C., E.B. and A.W.; supervision, E.B. All authors have read and agreed to the published version of the manuscript.
Funding
This research was funded by the Ministry of Health subvention according to the numbers SUB.D.130.19.040 and SUB.D140.21.113 from the IT Simple system of Wroclaw Medical University.
Institutional Review Board Statement
Not applicable.
Informed Consent Statement
Not applicable.
Conflicts of Interest
The authors declare no conflict of interest.
Footnotes
Publisher’s Note: MDPI stays neutral with regard to jurisdictional claims in published maps and institutional affiliations.
References
- 1.Hardy K. Paleomedicine and the evolutionary context of medicinal plant use. Rev. Bras. Farm. 2021;31:1–15. doi: 10.1007/s43450-020-00107-4. [DOI] [PMC free article] [PubMed] [Google Scholar]
- 2.Lesher G.Y., Froelich E.J., Gruett M.D., Bailey J.H., Brundage R.P. 1,8-naphthyridine derivatives. A new class of chemotherapeutic agents. J. Med. Chem. 1962;5:1063–1065. doi: 10.1021/jm01240a021. [DOI] [PubMed] [Google Scholar]
- 3.Showalter H.D.H. Progress in the synthesis of canthine alkaloids and ring-truncated congeners. J. Nat. Prod. 2012;76:455–467. doi: 10.1021/np300753z. [DOI] [PubMed] [Google Scholar]
- 4.Arunachalam K., Damazo A.S., Macho A., Matchado M.S., Pavan E., Figueiredo F.D.F., Oliveira D.M., Duckworth C.A., Thangaraj P., Leonti M., et al. Canthin-6-one ameliorates TNBS-induced colitis in rats by modulating inflammation and oxidative stress. An in vivo and in silico approach. Biochem. Pharmacol. 2021;186:114490. doi: 10.1016/j.bcp.2021.114490. [DOI] [PubMed] [Google Scholar]
- 5.Torquato H.F.V., Ribeiro-Filho A.C., Buri M., Júnior R.T.A., Pimenta R., de Oliveira J.S.R., Filho V.O., Macho A., Paredes-Gamero E.J., Martins D.T.D.O. Canthin-6-one induces cell death, cell cycle arrest and differentiation in human myeloid leukemia cells. Biochim. Biophys. Acta Gen. Subj. 2017;1861:958–967. doi: 10.1016/j.bbagen.2017.01.033. [DOI] [PubMed] [Google Scholar]
- 6.Kaigongi M.M., Lukhoba C.W., Yaouba S., Makunga N.P., Githiomi J., Yenesew A. In vitro antimicrobial and antiproliferative activities of the root bark extract and isolated chemical constituents of Zanthoxylum paracanthum Kokwaro (Rutaceae) Plants. 2020;9:920. doi: 10.3390/plants9070920. [DOI] [PMC free article] [PubMed] [Google Scholar]
- 7.Kim H.M., Lee J.S., Sezirahiga J., Kwon J., Jeong M., Lee D., Choi J.-H., Jang D.S. A new canthinone-type alkaloid isolated from ailanthus altissima swingle. Molecules. 2016;21:642. doi: 10.3390/molecules21050642. [DOI] [PMC free article] [PubMed] [Google Scholar]
- 8.Zhao F., Dai J.-K., Liu D., Wang S.-J., Wang J.-R. Synthesis and evaluation of ester derivatives of 10-hydroxycanthin-6-one as potential antimicrobial Agents. Molecules. 2016;21:390. doi: 10.3390/molecules21030390. [DOI] [PMC free article] [PubMed] [Google Scholar]
- 9.Ferreira M.E., Nakayama H., de Arias A.R., Schinini A., de Bilbao N.V., Serna E., Lagoutte D., Soriano-Agatón F., Poupon E., Hocquemiller R., et al. Effects of canthin-6-one alkaloids from Zanthoxylum chiloperone on trypanosoma cruzi-infected mice. J. Ethnopharmacol. 2007;109:258–263. doi: 10.1016/j.jep.2006.07.028. [DOI] [PubMed] [Google Scholar]
- 10.O’Donnell G., Gibbons S. Antibacterial activity of two canthin-6-one alkaloids from Allium neapolitanum. Phytotherapy Res. 2007;21:653–657. doi: 10.1002/ptr.2136. [DOI] [PubMed] [Google Scholar]
- 11.Xu Z., Chang F.-R., Wang H.-K., Kashiwada Y., McPhail A.T., Bastow K.F., Tachibana Y., Cosentino M., Lee K.-H. Anti-HIV agents 451and antitumor agents 205.2 two new sesquiterpenes, leitneridanins A and B, and the cytotoxic and anti-HIV principles from Leitneria floridana. J. Nat. Prod. 2000;63:1712–1715. doi: 10.1021/np000260u. [DOI] [PubMed] [Google Scholar]
- 12.Ammirante M., Di Giacomo R., De Martino L., Rosati A., Festa M., Gentilella A., Pascale M.C., Belisario M.A., Leone A., Turco M.C., et al. 1-methoxy-canthin-6-one induces c-Jun NH2-terminal kinase–dependent apoptosis and synergizes with tumor necrosis factor–related apoptosis-inducing ligand activity in human neoplastic cells of hematopoietic or endodermal origin. Cancer Res. 2006;66:4385–4393. doi: 10.1158/0008-5472.CAN-05-3895. [DOI] [PubMed] [Google Scholar]
- 13.Tran T.V.A., Malainer C., Schwaiger S., Atanasov A.G., Heiss E., Dirsch V.M., Stuppner H. NF-κB inhibitors from Eurycoma longifolia. J. Nat. Prod. 2014;77:483–488. doi: 10.1021/np400701k. [DOI] [PMC free article] [PubMed] [Google Scholar]
- 14.Tung M.H.T., Đuc H.V., Huong T.T., Duong N.T., Phuong D.T., Thao D.T., Tai B.H., Kim Y.H., Bach T.T., Cuong N.M. Cytotoxic compounds from Brucea mollis. Sci. Pharm. 2013;81:819–831. doi: 10.3797/scipharm.1206-02. [DOI] [PMC free article] [PubMed] [Google Scholar]
- 15.Jiao W.-H., Gao H., Zhao F., Lin H.-W., Pan Y.-M., Zhou G.-X., Yao X.-S. Anti-inflammatory alkaloids from the stems of Picrasma quassioides Bennet. Chem. Pharm. Bull. 2011;59:359–364. doi: 10.1248/cpb.59.359. [DOI] [PubMed] [Google Scholar]
- 16.Masdeu C., Fuertes M., Martin-Encinas E., Selas A., Rubiales G., Palacios F., Alonso C. Fused 1,5-naphthyridines: Synthetic tools and applications. Molecules. 2020;25:3508. doi: 10.3390/molecules25153508. [DOI] [PMC free article] [PubMed] [Google Scholar]
- 17.Gray J. Notes on the arrangement of sponges, with the descriptions of some new genera. Proc. Zool. Soc. Lond. 1867;1867:492–558. [Google Scholar]
- 18.He Q., Miao S., Ni N., Man Y., Gong K. A review of the secondary metabolites from the marine sponges of the genus aaptos. Nat. Prod. Commun. 2020;15 doi: 10.1177/1934578x20951439. [DOI] [Google Scholar]
- 19.Nakamura H., Kobayashi J., Ohizumi Y., Hirata Y. Isolation and structure of aaptamine a novel heteroaromatic substance possessing α-blocking activity from the sea sponge. Tetrahedron Lett. 1982;23:5555–5558. doi: 10.1016/S0040-4039(00)85893-1. [DOI] [Google Scholar]
- 20.Gong K., Miao S., Yang L., Wu Y., Guo J., Chen W., Dai J., Du J., Xi S. Aaptamine attenuates the proliferation and progression of non-small cell lung carcinoma. Pharm. Biol. 2020;58:1044–1054. doi: 10.1080/13880209.2020.1822420. [DOI] [PMC free article] [PubMed] [Google Scholar]
- 21.Tsukamoto S., Yamanokuchi R., Yoshitomi M., Sato K., Ikeda T., Rotinsulu H., Mangindaan R.E., de Voogd N., van Soest R.W., Yokosawa H. Aaptamine, an alkaloid from the sponge Aaptos suberitoides, functions as a proteasome inhibitor. Bioorg. Med. Chem. Lett. 2010;20:3341–3343. doi: 10.1016/j.bmcl.2010.04.029. [DOI] [PubMed] [Google Scholar]
- 22.Shaari K., Ling K.C., Rashid Z.M., Jean T.P., Abas F., Raof S.M., Zainal Z., Lajis N.H., Mohamad H., Ali A.M. Cytotoxic aaptamines from malaysian Aaptos aaptos. Mar. Drugs. 2008;7:1–8. doi: 10.3390/md7010001. [DOI] [PMC free article] [PubMed] [Google Scholar]
- 23.Li Q.-L., Zhang P.-P., Wang P.-Q., Yu H.-B., Sun F., Hu W.-Z., Wu W.-H., Zhang X., Chen F., Chu Z.-Y., et al. The cytotoxic and mechanistic effects of aaptamine on hepatocellular carcinoma. Anti Cancer Agents Med. Chem. 2015;15:291–297. doi: 10.2174/1871520614666141114201027. [DOI] [PubMed] [Google Scholar]
- 24.Bowling J.J., Pennaka H.K., Ivey K., Wahyuono S., Kelly M., Schinazi R.F., Valeriote F.A., Graves D.E., Hamann M.T. Antiviral and anticancer optimization studies of the DNA-binding marine natural product aaptamine. Chem. Biol. Drug Des. 2008;71:205–215. doi: 10.1111/j.1747-0285.2008.00628.x. [DOI] [PMC free article] [PubMed] [Google Scholar]
- 25.Aoki S., Kong D., Suna H., Sowa Y., Sakai T., Setiawan A., Kobayashi M. Aaptamine, a spongean alkaloid, activates p21 promoter in a p53-independent manner. Biochem. Biophys. Res. Commun. 2006;342:101–106. doi: 10.1016/j.bbrc.2006.01.119. [DOI] [PubMed] [Google Scholar]
- 26.Dyshlovoy S., Venz S., Shubina L.K., Fedorov S.N., Walther R., Jacobsen C., Stonik V.A., Bokemeyer C., Balabanov S., Honecker F. Activity of aaptamine and two derivatives, demethyloxyaaptamine and isoaaptamine, in cisplatin-resistant germ cell cancer. J. Proteom. 2014;96:223–239. doi: 10.1016/j.jprot.2013.11.009. [DOI] [PubMed] [Google Scholar]
- 27.Ohizumi Y., Kajiwara A., Nakamura H., Kobayashi J. α-Adrenoceptor blocking action of aaptamine, a novel marine natural product, in vascular smooth muscle. J. Pharm. Pharmacol. 2011;36:785–786. doi: 10.1111/j.2042-7158.1984.tb04876.x. [DOI] [PubMed] [Google Scholar]
- 28.Amin N.M., Hamdin M.S., Amir M., Azarnudin T., Asari A., Nur F., Rashid A.A., Mariam S., Nor M. Cytotoxicity effect of Aaptamine and its derivatives on Acanthamoeba castellanii (IMR isolate) Sci. Int. 2018;30:309–313. [Google Scholar]
- 29.Loffina D.I., Volkovitskaya O.É., Utkina N.K., Fedoreev S.A. Aaptamine—New selective inhibitor of type A monoamine oxidase. Pharm. Chem. J. 1990;24:456–458. [Google Scholar]
- 30.Dyshlovoy S.A., Fedorov S.N., Shubina L.K., Kuzmich A.S., Bokemeyer C., Amsberg G.K.-V., Honecker F. Aaptamines from the marine sponge Aaptos sp. Display anticancer activities in human cancer cell lines and modulate AP-1-, NF-κB-, and p53-dependent transcriptional activity in mouse JB6 Cl41 cells. BioMed Res. Int. 2014;8:469309. doi: 10.1155/2014/469309. [DOI] [PMC free article] [PubMed] [Google Scholar]
- 31.Wu C.-F., Lee M.-G., El-Shazly M., Lai K.-H., Ke S.-C., Su C.-W., Shih S.-P., Sung P.-J., Hong M.-C., Wen Z.-H., et al. Isoaaptamine induces T-47D cells apoptosis and autophagy via oxidative stress. Mar. Drugs. 2018;16:18. doi: 10.3390/md16010018. [DOI] [PMC free article] [PubMed] [Google Scholar]
- 32.Shubina L.K., Makarieva T.N., Dyshlovoy S., Fedorov S., Dmitrenok P.S., Stonik V. Three new aaptamines from the marine sponge Aaptos sp. and their proapoptotic properties. Nat. Prod. Commun. 2010;5:1881–1884. doi: 10.1177/1934578X1000501208. [DOI] [PubMed] [Google Scholar]
- 33.Liu C., Tang X., Li P., Li G. Suberitine A–D, Four new cytotoxic dimeric aaptamine alkaloids from the marine sponge Aaptos suberitoides. Org. Lett. 2012;14:1994–1997. doi: 10.1021/ol3004589. [DOI] [PubMed] [Google Scholar]
- 34.Hamada T., Matsumoto Y., Phan C.-S., Kamada T., Onitsuka S., Okamura H., Iwagawa T., Arima N., Tani F., Vairappan C.S. Aaptamine-related alkaloid from the marine sponge Aaptos aaptos. Nat. Prod. Commun. 2019;14 doi: 10.1177/1934578X19863935. [DOI] [Google Scholar]
- 35.Yu H.-B., Yang F., Sun F., Ma G.-Y., Gan J.-H., Hu W.-Z., Han B.-N., Jiao W.-H., Lin H.-W. Cytotoxic aaptamine derivatives from the South China sea sponge Aaptos aaptos. J. Nat. Prod. 2014;77:2124–2129. doi: 10.1021/np500583z. [DOI] [PubMed] [Google Scholar]
- 36.Wang P., Huang J., Kurtán T., Mándi A., Jia H., Cheng W., Lin W. Aaptodines A–D, Spiro naphthyridine–furooxazoloquinoline hybrid alkaloids from the Sponge Aaptos suberitoides. Org. Lett. 2020;22:8215–8218. doi: 10.1021/acs.orglett.0c02645. [DOI] [PubMed] [Google Scholar]
- 37.Aly S., Elissawy A.M., Eldahshan O.A., Elshanawany M.A., Efferth T., Singab A.N.B. The pharmacology of the genus Sophora (Fabaceae): An updated review. Phytomedicine. 2019;64:153070. doi: 10.1016/j.phymed.2019.153070. [DOI] [PubMed] [Google Scholar]
- 38.Du J., Li J., Song D., Li Q., Li L., Li B. Matrine exerts anti-breast cancer activity by mediating apoptosis and protective autophagy via the AKT/mTOR pathway in MCF-7 cells. Mol. Med. Rep. 2020;22:3659–3666. doi: 10.3892/mmr.2020.11449. [DOI] [PMC free article] [PubMed] [Google Scholar]
- 39.Wan Q., Du Z., Fang Z., Cheng H., Li C., Zhou X. Matrine induces apoptosis and autophagy in human lung adenocarcinoma Cells via upregulation of Cavin3 and suppression of PI3K/AKT pathway. J. BUON. 2020;25:1512–1516. [PubMed] [Google Scholar]
- 40.Liang X., Ju J. Matrine inhibits ovarian cancer cell viability and promotes apoptosis by regulating the ERK/JNK signaling pathway via p38MAPK. Oncol. Rep. 2021;45:1–10. doi: 10.3892/or.2021.8033. [DOI] [PMC free article] [PubMed] [Google Scholar] [Retracted]
- 41.Zhao B., Li B., Liu Q., Gao F., Zhang Z., Bai H., Wang Y. Effects of matrine on the proliferation and apoptosis of vincristine-resistant retinoblastoma cells. Exp. Ther. Med. 2020;20:2838–2844. doi: 10.3892/etm.2020.8992. [DOI] [PMC free article] [PubMed] [Google Scholar]
- 42.Chen Z., Nishimura N., Okamoto T., Wada K., Naora K. Molecular mechanism of matrine from Sophora alopecuroides in the reversing effect of multi-anticancer drug resistance in K562/ADR cells. BioMed Res. Int. 2019;2019:1269532. doi: 10.1155/2019/1269532. [DOI] [PMC free article] [PubMed] [Google Scholar]
- 43.Xiao T., Huang J., Liu Y., Zhao Y., Wei M. Matrine protects cardiomyocytes against hyperglycemic stress by promoting mitofusin 2-induced mitochondrial fusion. Front. Physiol. 2021;11:597429. doi: 10.3389/fphys.2020.597429. [DOI] [PMC free article] [PubMed] [Google Scholar] [Retracted]
- 44.Liu Y., Liu L., Zhang J. Protective role of matrine in sepsis-associated cardiac dysfunction through regulating the lncRNA PTENP1/miR-106b-5p axis. Biomed. Pharmacother. 2021;134:111112. doi: 10.1016/j.biopha.2020.111112. [DOI] [PubMed] [Google Scholar]
- 45.Long Y., Lin X.-T., Zeng K.-L., Zhang L. Efficacy of intramuscular matrine in the treatment of chronic hepatitis B. Hepatobil. Pancreat. Dis. Int. 2004;3:69–72. [PubMed] [Google Scholar]
- 46.Lao Y. Clinical study on effect of matrine injection to protect the liver function for patients with primary hepatic carcinoma after trans-artery chemo-embolization (TAE) J. Chin. Med. Mater. 2005;28:637–638. [PubMed] [Google Scholar]
- 47.Xu X., Ling Q., Gao F., He Z.-L., Xie H.-Y., Zheng S.-S. Hepatoprotective effects of marine and kuhuang in liver transplant recipients. Am. J. Chin. Med. 2009;37:27–34. doi: 10.1142/S0192415X09006643. [DOI] [PubMed] [Google Scholar]
- 48.Chu Y.-J., Ma W.-D., Thome R., Ping J.-D., Liu F.-Z., Wang M.-R., Zhang M.-L., Zhang G., Zhu L. Matrine inhibits CNS autoimmunity through an IFN-β-dependent mechanism. Front. Immunol. 2020;11:11. doi: 10.3389/fimmu.2020.569530. [DOI] [PMC free article] [PubMed] [Google Scholar]
- 49.Dou M., Zhou X., Li L., Zhang M., Wang W., Wang M., Jing Y., Ma R., Zhao J., Zhu L. Illumination of molecular pathways in multiple sclerosis lesions and the immune mechanism of matrine treatment in EAE, a mouse model of MS. Front. Immunol. 2021;12:1137. doi: 10.3389/fimmu.2021.640778. [DOI] [PMC free article] [PubMed] [Google Scholar]
- 50.Sun N., Zhang H., Sun P., Khan A., Guo J., Zheng X., Sun Y., Fan K., Yin W., Li H. Matrine exhibits antiviral activity in a PRRSV/PCV2 co-infected mouse model. Phytomedicine. 2020;77:153289. doi: 10.1016/j.phymed.2020.153289. [DOI] [PubMed] [Google Scholar]
- 51.Sun N., Sun P., Lv H., Sun Y., Guo J., Wang Z., Luo T., Wang S., Li H. Matrine displayed antiviral activity in porcine alveolar macrophages co-infected by porcine reproductive and respiratory syndrome virus and porcine circovirus type. Sci. Rep. 2016;6:24401. doi: 10.1038/srep24401. [DOI] [PMC free article] [PubMed] [Google Scholar]
- 52.Kianbakht S., Hajiaghaee R., Akhondzadeh S. Efficacy and safety of Sophora alopecuroides var. alopecuroides seed extract for opioid detoxification: A randomized, double-blind, and placebo-controlled clinical trial. Phytotherapy Res. 2019;34:1108–1113. doi: 10.1002/ptr.6578. [DOI] [PubMed] [Google Scholar]
- 53.Lin Z., Huang C.-F., Liu X.-S., Jiang J. In vitro anti-tumour activities of quinolizidine alkaloids derived from Sophora flavescens ait. Basic Clin. Pharmacol. Toxicol. 2010;108:304–309. doi: 10.1111/j.1742-7843.2010.00653.x. [DOI] [PubMed] [Google Scholar]
- 54.Zhang Y., Wang S., Li Y., Xiao Z., Hu Z., Zhang J. Sophocarpine and matrine inhibit the production of TNF-α and IL-6 in murine macrophages and prevent cachexia-related symptoms induced by colon26 adenocarcinoma in mice. Int. Immunopharmacol. 2008;8:1767–1772. doi: 10.1016/j.intimp.2008.08.008. [DOI] [PubMed] [Google Scholar]
- 55.Matsuda K., Yamada K., Kimura M., Hamada M. Nematicidal activity of matrine and its derivatives against pine wood nematodes. J. Agric. Food Chem. 1991;39:189–191. doi: 10.1021/jf00001a038. [DOI] [Google Scholar]
- 56.Tang Q., Luo D., Lin D.-C., Wang W.-Z., Li C.-J., Zhuo X.-F., Wu Z.-N., Zhang Y.-B., Wang G.-C., Li Y.-L. Five matrine-type alkaloids from Sophora tonkinensis. J. Nat. Med. 2021;75:682–687. doi: 10.1007/s11418-021-01498-x. [DOI] [PubMed] [Google Scholar]
- 57.Li J.-C., Dai W.-F., Liu D., Zhang Z.-J., Jiang M.-Y., Rao K.-R., Li R.-T., Li H.-M. Quinolizidine alkaloids from Sophora alopecuroides with anti-inflammatory and anti-tumor properties. Bioorg. Chem. 2021;110:104781. doi: 10.1016/j.bioorg.2021.104781. [DOI] [PubMed] [Google Scholar]
- 58.Fan C.-L., Zhang Y.-B., Chen Y., Xie P., Wang G.-C., Tian H.-Y., Li Y.-L., Huang X.-J., Zhang X.-Q., Li Z.-Y., et al. Alopecuroides A–E, matrine-type alkaloid dimers from the aerial parts of Sophora alopecuroides. J. Nat. Prod. 2019;82:3227–3232. doi: 10.1021/acs.jnatprod.8b01081. [DOI] [PubMed] [Google Scholar]
- 59.Wang X.-F., Zhu Z., Hao T.-T., Fang Q.-Q., Jiang K., Qu S.-J., Zuo J.-P., Zhu W., He S.-J., Tan C.-H. Alopecines A–E, five chloro-containing matrine-type alkaloids with immunosuppressive activities from the seeds of Sophora alopecuroides. Bioorg. Chem. 2020;99:103812. doi: 10.1016/j.bioorg.2020.103812. [DOI] [PubMed] [Google Scholar]
- 60.Pan Q.-M., Li Y.-H., Hua J., Huang F.-P., Wang H.-S., Liang D. Antiviral matrine-type alkaloids from the rhizomes of Sophora tonkinensis. J. Nat. Prod. 2015;78:1683–1688. doi: 10.1021/acs.jnatprod.5b00325. [DOI] [PubMed] [Google Scholar]
- 61.Hirasawa Y., Shoji T., Arai T., Nugroho A.E., Deguchi J., Hosoya T., Uchiyama N., Goda Y., Awang K., Hadi A.H.A., et al. Bisleuconothine A, an eburnane–aspidosperma bisindole alkaloid from Leuconotis griffithii. Bioorg. Med. Chem. Lett. 2010;20:2021–2024. doi: 10.1016/j.bmcl.2010.01.051. [DOI] [PubMed] [Google Scholar]
- 62.Kong L.-M., Feng T., Wang Y.-Y., Li X.-Y., Ye Z., An T., Qing C., Luo X.-D., Li Y. Bisleuconothine A, a bisindole alkaloid, inhibits colorectal cancer cell in vitro and in vivo targeting Wnt signaling. Oncotarget. 2016;7:10203–10214. doi: 10.18632/oncotarget.7190. [DOI] [PMC free article] [PubMed] [Google Scholar]
- 63.Wong C.P., Seki A., Horiguchi K., Shoji T., Arai T., Nugroho A.E., Hirasawa Y., Sato F., Kaneda T., Morita H. Bisleuconothine A induces autophagosome formation by interfering with AKT-mTOR signaling pathway. J. Nat. Prod. 2015;78:1656–1662. doi: 10.1021/acs.jnatprod.5b00258. [DOI] [PubMed] [Google Scholar]
- 64.Wang F., Sun P., Sun Q. Bisleuconothine A protects periodontal tissue via the regulation of RANKL expression and infiltration of inflammatory cells. Trop. J. Pharm. Res. 2020;19:497–503. doi: 10.4314/tjpr.v19i3.6. [DOI] [Google Scholar]
- 65.Li X.-L., Xu M.-J., Zhao Y.-L., Xu J. A Novel Benzo[f][1,7]Naphthyridine Produced by Streptomyces Albogriseolus from Mangrove Sediments. Molecules. 2010;15:9298–9307. doi: 10.3390/molecules15129298. [DOI] [PMC free article] [PubMed] [Google Scholar]
- 66.Tian C., Jiao X., Liu X., Li R., Dong L., Liu X., Zhang Z., Xu J., Xu M., Xie P. First total synthesis and determination of the absolute configuration of 1-N-methyl-3-methylamino-[N-butanoicacid-3-(9-methyl-8-propen-7-one)-amide]-benzo[f][1,7]naphthyridine-2-one, a novel benzo naphthyridine alkaloid. Tetrahedron Lett. 2012;53:4892–4895. doi: 10.1016/j.tetlet.2012.07.011. [DOI] [Google Scholar]
- 67.Harkiss K., Swift D. 4-methyl-2, 6-naphthyridine, a new plant constituent from antirrhinum majus. Tetrahedron Lett. 1970;11:4773–4774. doi: 10.1016/S0040-4039(00)89342-9. [DOI] [Google Scholar]
- 68.Padwa A., Hennig R., Kappe A.C.O., Reger T.S. A triple cascade sequence as a strategy for the construction of the erythrinane skeleton. J. Org. Chem. 1998;63:1144–1155. doi: 10.1021/jo9716183. [DOI] [Google Scholar]
- 69.Tsuda Y., Sano T. Alkaloids: Chemistry and Pharmacology. Academic Press Inc.; Cambridge, MA, USA: 1996. Chapter 4 erythrina and related Alkaloids. [Google Scholar]
- 70.Dagne E., Steglich W. Erymelanthine, a new type of erythrina alkaloid containing a 16-azaerythrinane skeleton. Tetrahedron Lett. 1983;24:5067–5070. doi: 10.1016/S0040-4039(00)94042-5. [DOI] [Google Scholar]
- 71.Jackson A.H. In: The Chemistry and Biology of Isoquinoline Alkaloids. Phillipson J.D., Roberts M.F., Zenk M.H., editors. Springer; Berlin, Germany: 1985. p. 75. [Google Scholar]
- 72.Ozawa M., Etoh T., Hayashi M., Komiyama K., Kishida A., Ohsaki A. TRAIL-enhancing activity of erythrinan alkaloids from Erythrina velutina. Bioorg. Med. Chem. Lett. 2009;19:234–236. doi: 10.1016/j.bmcl.2008.10.111. [DOI] [PubMed] [Google Scholar]
- 73.Redha F.J.M. Ph.D. Thesis. University of Wales Cardiff; Cardiff, UK: 1983. Chromatographic and Spectroscopic Studies of Erythrina Alkaloids. [Google Scholar]
- 74.Chawla A.S., Kapoor V.K. Erythrina Alkaloids. Alkaloids Chem. Biol. Perspect. 1995;9:85–153. doi: 10.1016/b978-0-08-042089-9.50010-3. [DOI] [Google Scholar]
- 75.Gordin H.M. On the crystalline alkaloid of calycanthus glaucus. Third paper—On isocalycanthine, isomeric with calycanthine. J. Am. Chem. Soc. 1909;31:1305–1312. doi: 10.1021/ja01942a007. [DOI] [Google Scholar]
- 76.Manske R.H.F. Calycanthine I. the isolation of calycanthine from meratia praecox. J. Am. Chem. Soc. 1929;51:1836–1839. doi: 10.1021/ja01381a034. [DOI] [Google Scholar]
- 77.Chen A.L., Powell C.E., Chen K.K. The action of calycanthine. J. Am. Pharm. Assoc. 1942;31:513–516. doi: 10.1002/jps.3030311202. [DOI] [Google Scholar]
- 78.Chebib M. Convulsant actions of calycanthine. Toxicol. Appl. Pharmacol. 2003;190:58–64. doi: 10.1016/S0041-008X(03)00149-2. [DOI] [PubMed] [Google Scholar]
- 79.Verotta L., Pilati T., Tatò M., Elisabetsky E., Amador T.A., Nunes D.S. Pyrrolidinoindoline alkaloids from Psychotria colorata. J. Nat. Prod. 1998;61:392–396. doi: 10.1021/np9701642. [DOI] [PubMed] [Google Scholar]
- 80.Adjibade Y., Weniger B., Quirion J.C., Kuballa B., Cabalion P., Anton R. Dimeric alkaloids from Psychotria forsteriana. Phytochemistry. 1992;31:317–319. doi: 10.1016/0031-9422(91)83062-P. [DOI] [Google Scholar]
- 81.Kitajima M., Mori I., Arai K., Kogure N., Takayama H. Two new tryptamine-derived alkaloids from Chimonanthus praecox f. concolor. Tetrahedron Lett. 2006;47:3199–3202. doi: 10.1016/j.tetlet.2006.03.047. [DOI] [Google Scholar]
- 82.Woodward R.B., Yang N.C., Katz T.J., Clark V.M., Harley-Mason J., Ingleby R.F.J. Calycanthine: The structure of the alkaloid and its degradation product, calycanine. Proc. Chem. Soc. 1960;2:76–78. [Google Scholar]
- 83.Zhang J.-W., Gao J.-M., Xu T., Zhang X.-C., Ma Y.-T., Jarussophon S., Konishi Y. Antifungal activity of alkaloids from the seeds of Chimonanthus praecox. Chem. Biodivers. 2009;6:838–845. doi: 10.1002/cbdv.200800089. [DOI] [PubMed] [Google Scholar]
- 84.Morikawa T., Nakanishi Y., Ninomiya K., Matsuda H., Nakashima S., Miki H., Miyashita Y., Yoshikawa M., Hayakawa T., Muraoka O. Dimeric pyrrolidinoindoline-type alkaloids with melanogenesis inhibitory activity in flower buds of Chimonanthus praecox. J. Nat. Med. 2014;68:539–549. doi: 10.1007/s11418-014-0832-1. [DOI] [PubMed] [Google Scholar]
- 85.Bennasar M.-L., Roca T., Zulaica E., Monerris M. Total synthesis of the naphthyridine alkaloid jasminine. Tetrahedron. 2004;60:6785–6789. doi: 10.1016/j.tet.2004.06.027. [DOI] [Google Scholar]
- 86.Hart N.K., Johns S.R., Lamberton J.A. The isolation of the alkaloid jasminixe from Olea paniculata (Oleaceae) Aust. J. Chem. 1971;24:1739–1740. doi: 10.1071/CH9711739. [DOI] [Google Scholar]
- 87.Collins D.J., Culvenor C.C.J., Lamberton J.A., Loder J.W., Price J.R. Plants for Medicines: A Chemical and Pharmacological Survey of Plants in the Australian Region. CSIRO Australia; Melbourne, Australia: 1990. [Google Scholar]
- 88.Ripperger H. Jasminidin, ein neues monoterpene alkaloid aus Syringa vulgaris. Phytochemistry. 1978;17:1069. doi: 10.1016/S0031-9422(00)94288-2. [DOI] [Google Scholar]
- 89.Benkrief R., Ranarivelo Y., Skaltsounis A.-L., Tillequin F., Koch M., Pusset J., Sévenet T. Monoterpene alkaloids, iridoids and phenylpropanoid glycosides from Osmanthus austrocaledonica. Phytochemistry. 1998;47:825–832. doi: 10.1016/S0031-9422(97)00994-1. [DOI] [Google Scholar]
- 90.Tiwara K.P., Minocha P.K., Masood M.A. Closely related alkaloid, acanthicifoline, was isolated from Acanthus ilicifolius (Acanthaceae) Pol. J. Chem. 1980;54:857–858. [Google Scholar]
- 91.Powell R.G., Smith C.R., Madrigal R.V. Antitumor activity of Sesbania vesicaria, S. punicea, and S. drummondii seed extracts. Planta Med. 1976;30:1–8. doi: 10.1055/s-0028-1097684. [DOI] [PubMed] [Google Scholar]
- 92.Powell R.G., Smith C.R., Weisleder D., Muthard D.A., Clardy J. Sesbanine, a novel cytotoxic alkaloid from Sesbania drummondii. J. Am. Chem. Soc. 1979;101:2784–2785. doi: 10.1021/ja00504a074. [DOI] [Google Scholar]
- 93.Powell R.G., Smith C.R., Jr. An investigation of the antitumor activity of Sesbania drummondii. J. Nat. Prod. 1981;44:86–90. doi: 10.1021/np50013a015. [DOI] [PubMed] [Google Scholar]
- 94.Janot M.M., Guilhem J., Contz O., Venera E. Contribution to the study of valerian alcaloids (Valeriana officinalis, L.): Actinidine and naphthyridylmethylketone, a new alkaloid. Ann. Pharm. Fr. 1979;37:413–420. [PubMed] [Google Scholar]
- 95.Rahman A., Vohra I.I., Choudhary M.I., de Silva L.B., Herath W.H.M.W., Navaratne K.M. Neozeylanicine: A novel alkaloid from the timber of Neonauclea zeylanica. Planta Med. 1988;54:461–462. doi: 10.1055/s-2006-962502. [DOI] [PubMed] [Google Scholar]
- 96.Gross H., Goeger D.E., Hills P., Mooberry S.L., Ballantine D.L., Murray T.F., Valeriote F.A., Gerwick W.H. Lophocladines, bioactive alkaloids from the red Alga lophocladia sp. J. Nat. Prod. 2006;69:640–644. doi: 10.1021/np050519e. [DOI] [PMC free article] [PubMed] [Google Scholar]
- 97.Kochanowska-Karamyan A.J., Araujo H.C., Zhang X., El-Alfy A., Carvalho P., Avery M.A., Holmbo S.D., Magolan J., Hamann M.T. Isolation and synthesis of veranamine, an antidepressant lead from the marine sponge Verongula rigida. J. Nat. Prod. 2020;83:1092–1098. doi: 10.1021/acs.jnatprod.9b01107. [DOI] [PMC free article] [PubMed] [Google Scholar]
- 98.Reifer I., White E.P. Studies on perloline; Perlolidine and some fluorescent derivatives of perloline. N. Z. J. Sci. Technol. B Gen. Sect. 1945;27:242–247. [PubMed] [Google Scholar]
- 99.Rizk A.-F. Poisonous Plant Contamination of Edible Plants. CRC Press; Boca Raton, FL, USA: 1990. [Google Scholar]
- 100.Nilar N., Sidebottom P.J., Carté B.K., Butler M.S. Three new pyridoacridine type alkaloids from a Singaporean ascidian. J. Nat. Prod. 2002;65:1198–1200. doi: 10.1021/np010629v. [DOI] [PubMed] [Google Scholar]
- 101.Lotter M. Short total synthesis of the marine alkaloid subarine. Sci. Pharm. 2009;77:1–7. doi: 10.3797/scipharm.0901-14. [DOI] [Google Scholar]
- 102.Bijeire L., Legentil L., Bastide J., Darro F., Rochart C., Delfourne E. A total synthesis of subarine, a marine alkaloid related to the pyridoacridine family. Eur. J. Org. Chem. 2004;2004:1891–1893. doi: 10.1002/ejoc.200400043. [DOI] [Google Scholar]
- 103.Chopra R.N., Nayar S.L., Chopra I.C. Glossary of Indian Medicinal Plants. Council of Scientific & Industrial Research; East Lansing, MI, USA: 1956. [Google Scholar]
- 104.Shravya S., Vinod B.N., Sunil C. Pharmacological and phytochemical studies of Alangium salvifolium Wang.—A review. Bull. Fac. Pharm. Cairo Univ. 2017;55:217–222. doi: 10.1016/j.bfopcu.2017.07.001. [DOI] [Google Scholar]
- 105.Wiart C. Lead Compounds from Medicinal Plants for the Treatment of Cancer. Academic Press Inc.; Cambridge, MA, USA: 2012. [Google Scholar]
- 106.Pakrashi S., Achari B., Ali E., Dastidar P.G., Sinha R. Novel benzopyridoquinolizine bases from Alangium lamarckii Thw. Tetrahedron Lett. 1980;21:2667–2670. doi: 10.1016/S0040-4039(00)92835-1. [DOI] [Google Scholar]
- 107.Jahangir , Brook M.A., MacLean D.B., Holland H.L. 8H-Isoquino[2,1-b][2,7]naphthyridin-8-ones: Synthesis of the alangium alkaloids, alangimaridine and alangimarine. Can. J. Chem. 1987;65:2362–2368. doi: 10.1139/v87-394. [DOI] [Google Scholar]
- 108.Jahangir , Maclean D.B., Holland H.L. Preparation of 8-methylberberines and Aza analogues: Synthesis of alamaridine. Can. J. Chem. 1987;65:727–733. doi: 10.1139/v87-123. [DOI] [Google Scholar]
- 109.Bhattacharjya A., Mukhopadhyay R., Pakrashi S. Structure and synthesis of alamaridine, a novel benzopyridoquinolizine alkaloid from Alangium lamarck II. Tetrahedron Lett. 1986;27:1215–1216. doi: 10.1016/S0040-4039(00)84220-3. [DOI] [Google Scholar]
- 110.Carroll A., Taylor W., Carroll A. Constituents of eupomatia species. XIII. The structures of new lignans From the tubers and aerial parts of Eupomatia bennettii. Aust. J. Chem. 1991;44:1627–1633. doi: 10.1071/CH9911627. [DOI] [Google Scholar]
- 111.Kitahara Y., Onikura H., Shibano Y., Watanabe S., Mikami Y., Kubo A. Synthesis of eupomatidines 1, 2 and 3 and related compounds including amino-quinoline-quinone structure. Tetrahedron. 1997;53:6001–6010. doi: 10.1016/S0040-4020(97)00293-7. [DOI] [Google Scholar]
- 112.Khan M., Kihara M., Omoloso A. Antimicrobial activity of the alkaloidal constituents of the root bark of Eupomatia laurina. Pharm. Biol. 2003;41:277–280. doi: 10.1076/phbi.41.4.277.15671. [DOI] [Google Scholar]
- 113.Muhammad I., Dunbar D.C., Takamatsu S., Walker L.A., Clark A.M. Antimalarial, cytotoxic, and antifungal alkaloids from Duguetia hadrantha. J. Nat. Prod. 2001;64:559–562. doi: 10.1021/np000436s. [DOI] [PubMed] [Google Scholar]
- 114.Rao J.U.M., Giri G.S., Hanumaiah T., Rao K.V.J. Sampangine, a New Alkaloid from Cananga odorata. J. Nat. Prod. 1986;49:346–347. doi: 10.1021/np50044a029. [DOI] [Google Scholar]
- 115.Liu S.C., Oguntimein B., Hufford C.D., Clark A.M. 3-Methoxysampangine, a novel antifungal copyrine alkaloid from Cleistopholis patens. Antimicrob. Agents Chemother. 1990;34:529–533. doi: 10.1128/AAC.34.4.529. [DOI] [PMC free article] [PubMed] [Google Scholar]
- 116.Lúcio A.S.S.C., Almeida J.R.G.D.S., Barbosa-Filho J.M., Pita J.C.L.R., Branco M.V.S.C., Diniz M.D.F.F.M., Agra M.D.F., Da-Cunha E.V., da Silva M.S., Tavares J.F. Azaphenanthrene alkaloids with antitumoral activity from Anaxagorea dolichocarpa sprague & sandwith (Annonaceae) Molecules. 2011;16:7125–7131. doi: 10.3390/molecules16087125. [DOI] [PMC free article] [PubMed] [Google Scholar]
- 117.Pan E., Cao S., Brodie P.J., Callmander M.W., Randrianaivo R., Rakotonandrasana S., Rakotobe E., Rasamison V.E., TenDyke K., Shen Y., et al. Isolation and synthesis of antiproliferative eupolauridine alkaloids of Ambavia gerrardiifrom the madagascar dry forest(1) J. Nat. Prod. 2011;74:1169–1174. doi: 10.1021/np200093n. [DOI] [PMC free article] [PubMed] [Google Scholar]
- 118.Kluza J., Clark A.M., Bailly C. Apoptosis induced by the alkaloid sampangine in HL-60 leukemia cells: Correlation between the effects on the cell cycle progression and changes of mitochondrial potential. Ann. N. Y. Acad. Sci. 2003;1010:331–334. doi: 10.1196/annals.1299.059. [DOI] [PubMed] [Google Scholar]
- 119.Kluza J., Mazinghien R., Degardin K., Lansiaux A., Bailly C. Induction of apoptosis by the plant alkaloid sampangine in human HL-60 leukemia cells is mediated by reactive oxygen species. Eur. J. Pharmacol. 2005;525:32–40. doi: 10.1016/j.ejphar.2005.09.050. [DOI] [PubMed] [Google Scholar]
- 120.Nasiri H.R., Hohmann K., Hatemler M.G., Plodek A., Bracher F., Schwalbe H. In vitro production of reactive oxygen species (ROS) by sampangine. Med. Chem. Res. 2017;26:1170–1175. doi: 10.1007/s00044-017-1835-8. [DOI] [Google Scholar]
- 121.Oanh N.T.T., Tung T.H., Hue C.T., Thanh L.N., Thao D.T., Hang N.T.M. Two new alkaloids from Polyalthia nemoralis. Nat. Prod. Commun. 2017;12:1025–1027. doi: 10.1177/1934578X1701200706. [DOI] [Google Scholar]
- 122.Orabi K.Y., Clark A.M., Hufford C.D. Microbial transformation of benzosampangine. J. Nat. Prod. 2000;63:396–398. doi: 10.1021/np990493p. [DOI] [PubMed] [Google Scholar]
- 123.Agarwal A.K., Xu T., Jacob M.R., Feng Q., Lorenz M.C., Walker L.A., Clark A.M. Role of heme in the antifungal activity of the azaoxoaporphine alkaloid sampangine. Eukaryot. Cell. 2007;7:387–400. doi: 10.1128/EC.00323-07. [DOI] [PMC free article] [PubMed] [Google Scholar]
- 124.Peterson J.R., Zjawiony J., Liu S., Hufford C.D., Clark A.M., Rogers R.D. Copyrine alkaloids: Synthesis, spectroscopic characterization, and antimycotic/antimycobacterial activity of A- and B-ring-functionalized sampangines. J. Med. Chem. 1992;35:4069–4077. doi: 10.1021/jm00100a012. [DOI] [PubMed] [Google Scholar]
- 125.Leboeuf M., Cavé A. Alkaloids of annonaceae. XIV. Identification of canangine and eupolauridine, new alkaloids with a naphthyridine nucleus. Lloydia. 1976;39:459–460. [PubMed] [Google Scholar]
- 126.Bowden B., Ritchie E., Taylor W. Constituents of eupomatia species. II. isolation and structure determination of further eupomatenoid lignans from the bark of Eupomatia laurina. Aust. J. Chem. 1972;25:2659–2669. doi: 10.1071/CH9722659. [DOI] [Google Scholar]
- 127.Hufford C.D., Liu S., Clark A.M., Oguntimein B.O. Anticandidal activity of eupolauridine and onychine, alkaloids from Cleistopholis patens. J. Nat. Prod. 1987;50:961–964. doi: 10.1021/np50053a037. [DOI] [PubMed] [Google Scholar]
- 128.Liew S.Y., Mukhtar M.R., Hadi A.H.A., Awang K., Mustafa M.R., Zaima K., Morita H., Litaudon M. Naucline, a new indole alkaloid from the bark of Nauclea officinalis. Molecules. 2012;17:4028–4036. doi: 10.3390/molecules17044028. [DOI] [PMC free article] [PubMed] [Google Scholar]
- 129.Mukhtar M.R., Osman N., Awang K., Hazni H., Qureshi A.K., Hadi A.H.A., Zaima K., Morita H., Litaudon M. Neonaucline, a new indole alkaloid from the leaves of Ochreinauclea maingayii (Hook. f.) Ridsd. Molecules. 2011;17:267–274. doi: 10.3390/molecules17010267. [DOI] [PMC free article] [PubMed] [Google Scholar]
- 130.Ai Y., He H., Chen P., Yan B., Zhang W., Ding Z., Li D., Chen J., Ma Y., Cao Y., et al. An alkaloid initiates phosphodiesterase 3A–schlafen 12 dependent apoptosis without affecting the phosphodiesterase activity. Nat. Commun. 2020;11:1–10. doi: 10.1038/s41467-020-17052-4. [DOI] [PMC free article] [PubMed] [Google Scholar]
- 131.Massiot G., Thépenier P., Jacquier M.-J., Le Men-Olivier L., Verpoorte R., Delaude C. Alkaloids of Strychnos johnsonii. Phytochemistry. 1987;26:2839–2846. doi: 10.1016/S0031-9422(00)83601-8. [DOI] [Google Scholar]
- 132.Taher M., Shaari S.S., Susanti D., Arbain D., Zakaria Z.A. Genus ophiorrhiza: A review of its distribution, traditional uses, phytochemistry, biological activities and propagation. Molecules. 2020;25:2611. doi: 10.3390/molecules25112611. [DOI] [PMC free article] [PubMed] [Google Scholar]
- 133.Abreu P., Pereira A. A new indole alkaloid from Sarcocephalus latifolius. Heterocycles. 1998;48:885. doi: 10.3987/COM-97-8091. [DOI] [PubMed] [Google Scholar]
- 134.Caprasse M., Houssier C. Do planar alkaloids from Strychnos usambarensis intercalate into the DNA helix? Biochimie. 1983;65:157–167. doi: 10.1016/S0300-9084(83)80187-4. [DOI] [PubMed] [Google Scholar]
- 135.Lederer E., Teissier G., Huttrer C. The isolation and chemical composition of calliactine, pigment of the sea anemone “Sagartia parasitica” (Calliactis effoeta) Bull. Soc. Chim. Fr. 1940;7:608–615. [Google Scholar]
- 136.Molinski T.F. Marine pyridoacridine alkaloids: Structure, synthesis, and biological chemistry. Chem. Rev. 1993;93:1825–1838. doi: 10.1021/cr00021a009. [DOI] [Google Scholar]
- 137.Delfourne E., Kiss R., Le Corre L., Dujols F., Bastide J., Collignon F., Lesur B., Frydman A., Darro F. Synthesis and in vitro antitumor activity of ring C and D-substituted phenanthrolin-7-one derivatives, analogues of the marine pyridoacridine alkaloids ascididemin and meridine. Bioorg. Med. Chem. 2004;12:3987–3994. doi: 10.1016/j.bmc.2004.06.006. [DOI] [PubMed] [Google Scholar]
- 138.Bontemps N., Bry D., Lopez-Legentil S., Simon-Levert A., Long C., Banaigs B. Structures and antimicrobial activities of pyridoacridine alkaloids isolated from different chromotypes of the ascidian Cystodytes dellechiajei. J. Nat. Prod. 2010;73:1044–1048. doi: 10.1021/np900751k. [DOI] [PubMed] [Google Scholar]
- 139.Skyler D., Heathcock C.H. The pyridoacridine family tree: A useful scheme for designing synthesis and predicting undiscovered natural products. J. Nat. Prod. 2002;65:1573–1581. doi: 10.1021/np020016y. [DOI] [PubMed] [Google Scholar]
- 140.Kobayashi J., Cheng J., Wálchli M.R., Nakamura H., Hirata Y., Takuma Sasaki L., Ohizumi Y. Cystodytins A, B, and C, novel tetracyclic alkaloids with potent antineoplastic from the Okinawan tunicate Cystodytes dellechiajei. J. Org. Chem. 1988;53:1800–1804. doi: 10.1021/jo00243a038. [DOI] [Google Scholar]
- 141.Kobayashi J., Tsuda M., Tanabe A., Ishibashi M., Cheng J.-F., Yamamura S., Sasaki T. Cystodytins D-I, new cytotoxic tetracyclic aromatic alkaloids from the Okinawan marine tunicate Cystodytes dellechiajei. J. Nat. Prod. 1991;54:1634–1638. doi: 10.1021/np50078a022. [DOI] [PubMed] [Google Scholar]
- 142.McDonald L.A., Eldredge G.S., Barrows L.R., Ireland C.M. Inhibition of topoisomerase II catalytic activity by pyridoacridine alkaloids from a Cystodytes sp. ascidian: A mechanism for the apparent intercalator-induced inhibition of topoisomerase II. J. Med. Chem. 1994;37:3819–3827. doi: 10.1021/jm00048a017. [DOI] [PubMed] [Google Scholar]
- 143.Appleton D.R., Pearce A., Lambert G., Babcock R.C., Copp B.R. Isodiplamine, cystodytin K and lissoclinidine: Novel bioactive alkaloids from the New Zealand ascidian Lissoclinum notti. Tetrahedron. 2002;58:9779–9783. doi: 10.1016/S0040-4020(02)01296-6. [DOI] [Google Scholar]
- 144.Copp B.R., Jompa J., Tahir A., Ireland C.M. Styelsamines A—D: New tetracyclic pyridoacridine alkaloids from the Indonesian ascidian Eusynstyela Latericius. J. Org. Chem. 1998;63:8024–8026. doi: 10.1021/jo980905j. [DOI] [Google Scholar]
- 145.Bry D., Banaigs B., Long C., Bontemps N. New pyridoacridine alkaloids from the purple morph of the ascidian Cystodytes dellechiajei. Tetrahedron Lett. 2011;52:3041–3044. doi: 10.1016/j.tetlet.2011.04.005. [DOI] [Google Scholar]
- 146.Fong H.K.H., Copp B.R. Synthesis, DNA Binding and Antitumor Evaluation of Styelsamine and Cystodytin Analogues. Mar. Drugs. 2013;11:274–299. doi: 10.3390/md11020274. [DOI] [PMC free article] [PubMed] [Google Scholar]
- 147.Charyulu G.A., McKee T.C., Ireland C.M. Diplamine, a cytotoxic polyaromatic alkaloid from the tunicate Diplosoma sp. Tetrahedron Lett. 1989;30:4201–4202. doi: 10.1016/S0040-4039(01)80689-4. [DOI] [Google Scholar]
- 148.Clement J.A., Kitagaki J., Yang Y., Saucedo C.J., O’Keefe B.R., Weissman A.M., McKee T.C., McMahon J.B. Discovery of new pyridoacridine alkaloids from Lissoclinum c F. Badium that inhibit the ubiquitin ligase activity of Hdm2 and stabilize p53. Bioorg. Med. Chem. 2008;16:10022–10028. doi: 10.1016/j.bmc.2008.10.024. [DOI] [PMC free article] [PubMed] [Google Scholar]
- 149.Searle P.A., Molinski T.F. Five new alkaloids from the tropical ascidian, Lissoclinum sp. lissoclinotoxin A is chiral. J. Org. Chem. 1994;59:6600–6605. doi: 10.1021/jo00101a018. [DOI] [Google Scholar]
- 150.Molinski T.F., Ireland C.M. Varamines A and B, new cytotoxic thioalkaloids from Lissoclinum vareau. J. Org. Chem. 1989;54:4256–4259. doi: 10.1021/jo00278a058. [DOI] [Google Scholar]
- 151.Rudi A., Benayahu Y., Goldberg I., Kashmana Y. Alkaloid metabolites of the marine tunicate: Segoline A, isosegoline A and nor-segoline. Tetrahedron Lett. 1988;29:3861–3862. doi: 10.1016/S0040-4039(00)82134-6. [DOI] [Google Scholar]
- 152.Rudi A., Kashman Y. Six new alkaloids from the purple Red Sea tunicate Eudistoma sp. J. Org. Chem. 1989;54:5331–5337. doi: 10.1021/jo00283a029. [DOI] [Google Scholar]
- 153.Einat M., Nagler A., Lishner M., Amiel A., Yarkoni S., Rudi A., Gellerman G., Kashman Y., Fabian I. Potent antileukemic activity of the novel agents norsegoline and dibezine. Clin. Cancer Res. 1995;1:823–829. [PubMed] [Google Scholar]
- 154.Kim J., Pordesimo E.O., Toth S.I., Schmitz F.J., Van Altena I. Pantherinine, a cytotoxic aromatic alkaloid, and 7-deazainosine from the ascidian Aplidium pantherinum. J. Nat. Prod. 1993;56:1813–1816. doi: 10.1021/np50100a023. [DOI] [PubMed] [Google Scholar]
- 155.Kim S.K. Handbook of Anticancer Drugs from Marine Origin. Springer; Berlin, Germany: 2015. [Google Scholar]
- 156.Carrol A.R., Scheuer P.J. Kuanoniamines A, B, C, and D: Pentacyclic alkaloids from a tunicate and its prosobranch mollusk predator Chelynotus semperi. J. Org. Chem. 1990;55:4426–4431. doi: 10.1021/jo00301a040. [DOI] [Google Scholar]
- 157.Eder C., Schupp P., Proksch P., Wray V., Steube K., Muller C.E., Frobenius W., Herderich M., Van Soest R.W.M. Bioactive pyridoacridine alkaloids from the Micronesian sponge Oceanapia sp. J. Nat. Prod. 1998;61:301–305. doi: 10.1021/np9702704. [DOI] [PubMed] [Google Scholar]
- 158.Bontemps N., Gattacceca F., Long C., Thomas O.P., Banaigs B. Additional cytotoxic pyridoacridine alkaloids from the ascidian Cystodytes violatinctus and biogenetic considerations. J. Nat. Prod. 2013;76:1801–1805. doi: 10.1021/np400284z. [DOI] [PubMed] [Google Scholar]
- 159.Salomon C.E., Faulkner D.J. Sagitol, a pyridoacridine alkaloid from the sponge Oceanapia sagittaria. Tetrahedron Lett. 1996;37:9147–9148. doi: 10.1016/S0040-4039(96)02163-6. [DOI] [Google Scholar]
- 160.Utkina N.K. Sagitol D, a new thiazole containing pyridoacridine alkaloid from a vietnamese ascidian. Nat. Prod. Commun. 2015;10:1547–1548. doi: 10.1177/1934578X1501000915. [DOI] [PubMed] [Google Scholar]
- 161.Ibrahim S.R., Mohamed G.A., Elkhayat E.S., Fouad M.A., Proksch P. Sagitol C, a new cytotoxic pyridoacridine alkaloid from the sponge Oceanapia sp. Bull. Fac. Pharm. Cairo Univ. 2013;51:229–232. doi: 10.1016/j.bfopcu.2013.05.004. [DOI] [Google Scholar]
- 162.Gunawardana G.P., Koehn F.E., Lee A.Y., Clardy J., He H.Y., Faulkner D.J. Pyridoacridine alkaloids from deep-water marine sponges of the family Pachastrellidae: Structure revision of dercitin and related compounds and correlation with the kuanoniamines. J. Org. Chem. 1992;57:1523–1526. doi: 10.1021/jo00031a035. [DOI] [Google Scholar]
- 163.Gunawardana G.P., Kohmoto S., Gunasekera S.P., McConnell O.J., Koehn F.E. Dercitine, a new biologically active acridine alkaloid from a deep water marine sponge, Dercitus sp. J. Am. Chem. Soc. 1988;110:4856–4858. doi: 10.1021/ja00222a071. [DOI] [Google Scholar]
- 164.Gunawardana G.P., Kohmoto S., Burres N.S. New cytotoxic acridine alkaloids from two deep water marine sponges of the family. Tetrahedron Lett. 1989;30:4359–4362. doi: 10.1016/S0040-4039(00)99360-2. [DOI] [Google Scholar]
- 165.Burres N.S., Sazesh S., Gunawardana G.P., Clement J.J. Antitumor activity and nucleic acid binding properties of dercitin, a new acridine alkaloid isolated from a marine Dercitus species sponge. Cancer Res. 1989;49:5267–5274. [PubMed] [Google Scholar]
- 166.Gullo V.P. Discovery of Novel Natural Products with Therapeutic Potential. Newnes; Oxford, UK: 2013. [Google Scholar]
- 167.Torres Y.R., Bugni T.S., Berlinck R.G.S., Ireland C.M., Ferreira A.G., da Rocha R.M. Sebastianines A and B, novel biologically active pyridoacridine alkaloids from the Brazilian ascidian Cystodytes dellechiajei. J. Org. Chem. 2002;67:5429–5432. doi: 10.1021/jo011174h. [DOI] [PubMed] [Google Scholar]
- 168.Plubrukarn A., Davidson B.S. Arnoamines A and B, new cytotoxic pentacyclic pyridoacridine alkaloids from the ascidian Cystodytes sp. J. Org. Chem. 1998;63:1657–1659. doi: 10.1021/jo9719721. [DOI] [Google Scholar]
- 169.Schmitz F.J., Agarwal S.K., Gunasekera S.P., Schmidt P.G., Shoolery J.N. Amphimedine, new aromatic alkaloid from a pacific sponge, Amphimedon sp. Carbon connectivity determination from natural abundance carbon-13-carbon-13 coupling constants. J. Am. Chem. Soc. 1983;105:4835–4836. doi: 10.1021/ja00352a052. [DOI] [Google Scholar]
- 170.Wei X., Bugni T.S., Harper M.K., Sandoval I.T., Manos E.J., Swift J., Van Wagoner R.M., Jones D.A., Ireland C.M. evaluation of pyridoacridine alkaloids in a zebrafish phenotypic assay. Mar. Drugs. 2010;8:1769–1778. doi: 10.3390/md8061769. [DOI] [PMC free article] [PubMed] [Google Scholar]
- 171.De Guzman F.S., Carte B., Troupe N., Faulkner D.J., Harper M.K., Concepcion G.P., Mangalindan G.C., Matsumoto S.S., Barrows L.R., Ireland C.M. Neoamphimedine: A new pyridoacridine topoisomerase II inhibitor which catenates DNA. J. Org. Chem. 1999;64:1400–1402. doi: 10.1021/jo982047x. [DOI] [Google Scholar]
- 172.Tasdemir D., Marshall K.M., Mangalindan G.C., Concepcion G.P., Barrows L.R., Harper M.K., Ireland C.M. Deoxyamphimedine, a New pyridoacridine alkaloid from two tropical Xestospongia sponges. J. Org. Chem. 2001;66:3246–3248. doi: 10.1021/jo010153k. [DOI] [PubMed] [Google Scholar]
- 173.Marshall K., Barrows L.R. Biological activities of pyridoacridines. Nat. Prod. Rep. 2004;21:731–751. doi: 10.1039/b401662a. [DOI] [PubMed] [Google Scholar]
- 174.Nukoolkarn V.S., Saen-Oon S., Rungrotmongkol T., Hannongbua S., Ingkaninan K., Suwanborirux K. Petrosamine, a potent anticholinesterase pyridoacridine alkaloid from a Thai marine sponge Petrosia n. sp. Bioorg. Med. Chem. 2008;16:6560–6567. doi: 10.1016/j.bmc.2008.05.027. [DOI] [PubMed] [Google Scholar]
- 175.Carroll A.R., Ngo A., Quinn R.J., Redburn J., Hooper J.N.A. Petrosamine B, an Inhibitor of the helicobacte rpylori enzyme aspartyl semialdehyde dehydrogenase from the Australian sponge Oceanapia sp. J. Nat. Prod. 2005;68:804–806. doi: 10.1021/np049595s. [DOI] [PubMed] [Google Scholar]
- 176.Feng Y., Davis R., Sykes M.L., Avery V., Carroll A., Camp D., Quinn R.J. Antitrypanosomal pyridoacridine alkaloids from the Australian ascidian Polysyncraton echinatum. Tetrahedron Lett. 2010;51:2477–2479. doi: 10.1016/j.tetlet.2010.02.161. [DOI] [Google Scholar]
- 177.Lindsay B.S., Barrows L.R., Copp B. Structural requirements for biological activity of the marine alkaloid ascididemin. Bioorg. Med. Chem. Lett. 1995;5:739–742. doi: 10.1016/0960-894X(95)00106-4. [DOI] [Google Scholar]
- 178.Appleton D.R., Pearce A.N., Copp B.R. Anti-tuberculosis natural products: Synthesis and biological evaluation of pyridoacridine alkaloids related to ascididemin. Tetrahedron. 2010;66:4977–4986. doi: 10.1016/j.tet.2010.05.033. [DOI] [Google Scholar]
- 179.Delfourne E., Bastide J. Marine pyridoacridine alkaloids and synthetic analogues as antitumor agents. Med. Res. Rev. 2002;23:234–252. doi: 10.1002/med.10032. [DOI] [PubMed] [Google Scholar]
- 180.Schmitz F.J., DeGuzman F.S., Hossain M.B., Van der Helm D. Cytotoxic aromatic alkaloids from the ascidian Amphicarpa meridiana and Leptoclinides sp.: Meridine and 11-hydroxyascididemin. J. Org. Chem. 1991;56:804–808. doi: 10.1021/jo00002a055. [DOI] [Google Scholar]
- 181.Barnes E.C., Said N.A.B., Williams E., Hooper J., Davis R.A. Ecionines A and B, two new cytotoxic pyridoacridine alkaloids from the Australian marine sponge, Ecionemia geodides. Tetrahedron. 2010;66:283–287. doi: 10.1016/j.tet.2009.10.109. [DOI] [Google Scholar]
- 182.Tran T., Pham N.B., Quinn R.J. Structure determination of pentacyclic pyridoacridine alkaloids from the Australian marine organisms Ancorina geodides and Cnemidocarpa stolonifera. Eur. J. Org. Chem. 2014;2014:4805–4816. doi: 10.1002/ejoc.201402372. [DOI] [Google Scholar]
- 183.Carroll A.R., Cooray N.M., Poiner A., Scheuer P.J. A second shermilamine alkaloid from a tunicate Trididemnum sp. J. Org. Chem. 1989;54:4231–4232. doi: 10.1021/jo00278a048. [DOI] [Google Scholar]
- 184.Cooray N.M., Scheuer P.J., Parkanyi L., Clardy J. Shermilamine A: A pentacyclic alkaloid from a tunicate. J. Org. Chem. 1988;53:4619–4620. doi: 10.1021/jo00254a049. [DOI] [Google Scholar]
- 185.Koren-Goldshlager G., Aknin M., Gaydou E.M., Kashman Y. Three new alkaloids from the marine tunicate Cystodytes violatinctus. J. Org. Chem. 1998;63:4601–4603. doi: 10.1021/jo9721453. [DOI] [PubMed] [Google Scholar]
- 186.Luedtke N.W., Hwang J.S., Glazer E., Gut D., Kol M., Tor Y. Eilatin Ru(II) complexes display anti-HIV activity and enantiomeric diversity in the binding of RNA. ChemBioChem. 2002;3:766–771. doi: 10.1002/1439-7633(20020802)3:8<766::AID-CBIC766>3.0.CO;2-X. [DOI] [PubMed] [Google Scholar]
- 187.Zeng C.-M., Ishibashi M., Matsumoto K., Nakaike S., Kobayashi J. Two new polycyclic aromatic alkaloids from the Okinawan marine sponge Biemna sp. Tetrahedron. 1993;49:8337–8342. doi: 10.1016/S0040-4020(01)81917-7. [DOI] [Google Scholar]
- 188.Aoki S., Wei H., Matsui K., Rachmat R., Kobayashi M. Pyridoacridine alkaloids inducing neuronal differentiation in a neuroblastoma cell line, from marine sponge Biemna fortis. Bioorg. Med. Chem. 2003;11:1969–1973. doi: 10.1016/S0968-0896(03)00086-5. [DOI] [PubMed] [Google Scholar]












































