Abstract
Probiotics have attracted considerable attention because of their ability to ameliorate disease and prevent cancer. In this study, we examined the immunomodulatory effects of a Streptococcus thermophilus probiotic on the intestinal mucosa azoxymethane-induced colon cancer. Sixty female mice were divided into four groups (n = 15 each). One group of untreated mice was used as a control (C group). Another mouse group was injected with azoxymethane once weekly for 8 weeks to induce colon cancer (CC group). Finally, two groups of mice were continuously treated twice per week from week 2 to 16 with either the Lactobacillus plantarum (Lac CC group) or S. thermophilus (Strep CC group) bacterial strain pre-and post-treatment as performed for the CC group. Remarkably, Tlr2, Ifng, Il4, Il13, Il10, and Tp53 transcription were significantly downregulated in the Strep CC intestinal mucosa group. Additionally, IL2 expression was decreased significantly in the Strep CC mouse serum, whereas TNFα was remarkably elevated compared to that in the CC, Lac CC, and untreated groups. This study suggested that Streptococcus thermophilus did not interrupt or hinder colon cancer development in mice when administered as a prophylactic.
Keywords: Mucosal immune responses, Colon cancer, TLRs, Repression, Cytokines, Probiotics, Streptococcus thermophilus
Abbreviations: S, Streptococcus; L, Lactobacillus; AOM, Azoxymethane; TLR, Toll-Like receptor; IFNγ, interform gamma; TNFα, Tumor necrosis alpha; IL, interleukin; Th1, T helper lymphocyte; Treg, T regulatory lymphocyte
1. Introduction
Colon cancer (CC) or colorectal cancer (CRC) is one of the most prevalent cancers worldwide, with approximately 1.085 million cases annually followed by lung and breast cancers with 2.09 million and 2.08 million cases, respectively. The global rate of CRC is expected to reach approximately 2.2 million reported cases each year by 2030 (Arnold et al., 2017). CRC is more common among males than females and three to four times more prevalent in both sexes in developed than in developing countries (Shaukat et al., 2013, Smyth et al., 2018). Adenocarcinomas comprise the most common types of colorectal cancers; however, mucinous carcinomas and adenosquamous carcinomas are also common (Bray et al., 2013). CRC treatments have expanded beyond 5-fluorouracil-based chemotherapy to other tailored systemic treatment regimens, which include anti-angiogenic treatment, targeted therapy, and immunotherapy (Pallag et al., 2015, Wu, 2018)
Probiotics are useful nutritional supplements to reduce cancer risk, improve chemotherapy (Hadad et al., 2019) and radiotherapy outcomes, and reduce post-surgery side effects (Legesse Bedada et al., 2020). The efficacy of probiotics for preventing and treating different forms of cancer is influenced by factors such as the bacterial or fungal strains used, administered dose, and treatment duration (Legesse Bedada et al., 2020; El Hadad et al., 2019). Certain Lactobacillus strains have shown anti-mutagenic activity by binding carcinogenic heterocyclic amines (Górska et al., 2019). A study in rats showed that lactic acid bacteria (LAB) protected against CC development. Clinical experiments also indicated that several LAB strains are anti-carcinogenic, as they can suppress β-glucuronidase enzymes that produce carcinogenic compounds in the digestive tract (Iqbal et al., 2014).
Streptococcus thermophilus is a gram-positive bacterium with paired oval or short-chained cells, and it is a thermophilic and aerotolerant anaerobe. It is a member of the salivarius group, along with Streptococcus salivarius and Streptococcus vestibularis (Facklam, 2002, Gao et al., 2014). Streptococcus thermophilus has been identified as an LAB, and it is useful as a starter in dairy products, making it the second most common industrial LAB species after Lactococcus lactis (Iyer et al., 2010). Because it has been consumed by humans for decades without any evidence of causing disease, S. thermophilus is widely known as a safe Streptococcus species (Hols et al., 2005). The S. thermophilus genome is 1.8 Mb in length (Bai et al., 2016), making it one of the smallest genomes among LAB and Streptococci (Rasmussen et al., 2008, Delorme et al., 2010). Streptococcus thermophilus differs from its pathogenic ancestors because it has lost genes conferring pathogenicity and gained genes beneficial to survival in dairy products (Hols et al., 2005).
Several studies in humans and animals have demonstrated that S. thermophilus can benefit the host health, particularly in chronic gastric diseases (Uriot et al., 2017). Streptococcus thermophilus can stimulate the production of innate and adaptive mediators, including IL-12, IFNγ, TNFα (Kekkonen et al., 2008), and IL-6 (Latvala et al., 2008, Latvala et al., 2011). This probiotic strain can also induce the production of anti-inflammatory IL-10 in macrophages (Junjua et al., 2016), and is recognized as an immune stimulator. Under certain conditions, it has similar probiotic proprieties to the very well-known available commercial probiotic strain of Lactobacillus rhamnosus GG. Because they synthesize lactic acid, both strains exert strong anti-proliferative effects on the HT-29 cancer cell line (Tarrah et al., 2018). Previous studies predicted that S. thermophilus can reduce the risk of CRC in mice. The tumor-suppressive activity of S. thermophilus is related to its production of β-galactosidase, which leads to the release of galactose that eliminates Hippo signaling and alters the Warburg effect (Li et al., 2020).
Streptococcus thermophilus and Lactobacillus acidophilus equally ameliorate the immune response in mice by activating murine immune cells, such as macrophages and lymphocytes, whether administered orally or intraperitoneally (Perdigon et al., 1987). Streptococcus thermophilus supernatant media can strengthen the intestinal mucosal capacity of colitis-prone C57BL/6 IL10-deficient mice infected with Helicobacter bacteria by activating the Th1 lymphocyte immune response (Ménard et al., 2005). Moreover, Wasilewska et al. confirmed the therapeutic effects of S. thermophilus on dextran sodium sulfate-induced colitis in mice. They observed immunomodulatory effects on all subsets of T helper cell activity and Treg response in mice suffering from colitis, as evidenced by improvement in colonic healing and regulation of T lymphocyte markers (Wasilewska et al., 2019).
In the present study, we evaluated the in vivo antitumor activity of S. thermophilus. Immunological, and molecular investigations of the mouse intestinal mucosa were evaluated during and after CC induction. We validated our results by comparing the same parameters in untreated (negative) control, positive control, and mice dosed with L. plantarum.
2. Materials and methods
2.1. Bacterial strains
Two bacterial strains, L. plantarum ATCC = 8014 and S. thermophilus ATCC = BAA-250, were obtained from the Egyptian Laboratory for Microbiology. Both obtained strains were grown in sterile de Man, Rogosa and Sharpe Agar (BioLab, Naples, Italy) and incubated at 37 °C (pH 6.8) for 24 h. Bacterial cultures were performed twice. Each bacterium strain was transferred individually into de Man, Rogosa and Sharpe Agar broth medium (BioLab model No. EMRB20500-M) and incubated at 37 °C for 24 h. The cultures were then centrifuged at 5000 × g for 10 min at 4 °C. The cell pellets were washed twice with sterile phosphate-buffered saline (Cat no. MT21040CV; Thermo Fisher Scientific, Waltham, MA, USA) at pH 7.4 before centrifugation at 5000 × g for 10 min at 40 °C. Finally, the cell pellets were re-suspended in two different tubes containing 10% nonfat milk and phosphate-buffered saline. The final concentration obtained for S. thermophilus equaled 108 cells/mL, whereas that of L. plantarum was 109 cells/mL. The number of cells was valued using 1 mL of 10% nonfat milk. Bacteria were serially diluted 1:10 nonfat milk, and absorption was measured with a spectrophotometer at 600 nm (Spectro23, Labomed, Inc., Los Angeles, CA, USA) (Minelli and Benini, 2008, Xia et al., 2011, Stofilova et al., 2017).
2.2. Mouse model and CC induction
Sixty female Swiss mice (6–8 weeks old) weighing approximately 25–30 g were obtained from King Fahad Research Center and maintained in the animal research facility at King Abdulaziz University, Faculty of Science. Mice were maintained under normal laboratory conditions: standard room temperature 27 ± 2 °C with a 12-h light/12-h dark cycle and given a laboratory pelleted formula diet and water ad libitum. The Institutional Animal Care and Use Committee (IACUC No. 2019/4320656/2) of King Abdulaziz University, Faculty of Science approved all animal protocols.
Azoxymethane (AOM) (Cat No. A5486, Sigma-Aldrich, St. Louis, MO, USA) is commonly used to induce CC in mammals. After dissolving 50 mg of AOM in 0.9% NaCl, a 10 mg/kg dose of AOM was injected into the mice intraperitoneally (IP) to induce CC as described by Bissahoyo et al. (2005).
2.3. In vivo experimental design
All mice were randomly categorized into four main groups (n = 15/group), with no exclusion criteria, thus ensuring that the median of each animal group was similar to those of prior experiments. The groups were as follows: mice used as a healthy control group (Group C, negative control); mice injected IP with 10 mg/kg AOM once per week for 8 weeks starting from week 0 until week 8 (group CC); mice orally administered 108 CFU S. thermophilus suspended in 10% nonfat milk twice weekly by gavage pre/post the weekly IP injection as in group CC (positive control); and mice continually administered L. plantarum twice weekly suspended in nonfat milk (from weeks 2 to 16) by gavage pre/post-treatment with AOM as in group CC. For the experiment, each set of three mice was housed in individual standard plastic mouse cages. Cages were filled with aspen chip bedding substrate (Tapvei, Harjumaa, Estonia) and had an enriched environment. Five mice from each group were anesthetized and sacrificed (Jaykaran and Kantharia, 2011) at weeks 8, 12, and 16 from CC induction. All efforts were made to minimize animal suffering during the experiment steps. Mouse colon and blood sera were harvested from all treated and untreated groups and stored at − 80 °C for further examinations. (Fig. 1).
Fig. 1.
Diagram scheme of the in vivo experimental design.
2.4. Intestinal mucosa RNA extraction and gene transcriptions
RNA was extracted from the colon of the untreated and treated mice groups using the RNeasy Maxi kit (Cat no. 75162, QIAGEN, Hilden, Germany) according to the manufacturer’s instructions. Pure eluted mouse intestinal RNA concentrations were calculated using a nano-drop instrument (DS-11, DeNovix. Wilmington, DE, USA) and subjected to amplification and quantification using Verso SYBR Green 1-Step qRT-PCR Master Mix (Cat no. AB-4104/C, Thermo Fisher Scientific) reagents. Supplementary Table 1 shows the specific primers used for amplification and relative ratio quantification of our target gene transcripts (Tlr2, Ifng, Il4, Il13, Il10, and Tp53) and the β-actin gene (ACTB), which was utilized as the housekeeping reference gene. Each PCR sample was adjusted to a final volume of 25 µL, and the concentration of each RNA sample was approximately 500 ng/total volume. The PCR profiles of the current target gene expression have previously been described in El Hadad et al., 2019, El Hadad et al., 2019.
2.5. Assay of total TNFα and IL2 in mouse blood sera by capture ELISA
TNFα and IL2 screening was performed using pre-coated micro-titer polystyrene plates, mouse TNFα ELISA Kit (ab208348, Abcam, Cambridge, UK), and mouse IL2 ELISA Kit (ab46096, Abcam) as per the manufacturer’s instructions.
2.6. Statistical methods
All data were statistically analyzed using MegaStat software (Version 10.2 release 2.1). One-way analysis of variance was used to determine the statistical significance of the variations within the untreated control group and significant differences between the treated and untreated groups. P < 0.05 was considered to indicate statistically significant differences.
3. Results
3.1. Effects of S. Thermophilus at 8 weeks from CC induction
Tlr2 transcription was significantly upregulated in the Strep CC mouse intestinal mucosa compared to that in the untreated control (P = 0.0042) and significantly downregulated compared to that in the Lac CC group (P = 0.0001). This receptor transcription was increased to a non-significant degree in the Strep CC group relative to that in the CC group (Fig. 2A). For Th1 cytokine transcription, we observed non-significant downregulation in IFNg transcription in the Strep CC intestinal mucosa compared with in the C mouse group (P > 0.05); the increase was not significant compared to that in the CC group (P = 0.092). Ifng transcription significantly decreased in Strep CC mucosal cells compared to that in the Lac CC group (P = 0.0063) (Fig. 2A). Transcription levels of Il4 were highly significantly increased in the mucosa of the Strep CC mouse group compared to those in the untreated, CC, and Lac CC mouse groups (P-values = 0.000, 0.025, and 0.0000, respectively) (Fig. 2A). After week 8, Il13 transcription levels were highly significantly upregulated in the Strep CC mouse intestinal mucosa compared to that in the untreated control group (P = 0.003); however, it decreased significantly compared to that in the CC intestinal mucosa (P = 0.025). No significant alteration was observed in the Il13 transcription levels in the Strep CC and Lac CC mouse groups (P > 0.05) (Fig. 2A). Transcription of Il10-mRNA post-exposure to S. thermophilus showed a non-significant increase in the mouse intestinal mucosa cells compared to that in the untreated group (P = 0.104); however, this anti-inflammatory cytokine decrease was not significant compared to that of the Lac CC group (P > 0.05). Additionally, Il10-mRNA transcription decreased significantly (P = 0.017) in mucosal cells of the Strep CC mice group after the same period compared with the CC group (P = 0.015) (Fig. 2A). Tp53 tumor suppressor transcription was significantly inhibited in Strep CC mouse intestinal mucosa relative to that in the untreated group (P = 0.0013) and Lac CC group (P = 0.0011). The level of Tp53 expression in the Strep CC intestinal mucosa group was similar to that in the CC group (P > 0.05) (Fig. 2A)
Fig. 2.
Effects of Streptococcus thermophilus on the development after 8 weeks from the induction of mouse colon cancer. (A) Relative ratios of TLR2, IFNγ, IL4, IL13, IL 10, and P53 transcription levels in mouse intestinal mucosa cells. (B) TNFα and IL2 levels in mouse sera. Group C represents untreated, group CC represents mice injected with AOM, Lac CC mice administered with 109 CFU Lactobacillus strain and injected with AOM, and group Strep CC mice treated with 108 CFU Streptococcus strains and injected with AOM. Significance was set at P < 0.05 as determined by one-factor analysis of variance for comparison. (*) Comparison between controls and Strep CC group. (*) Comparison between Strep CC group and CC group. (#) Comparison between Strep CC group and Lac CC group. Every point represents the mean value of three separate tests, and vertical bars denote 5% around the mean.
TNFα proinflammatory cytokine levels in the mouse sera collected from the Strep CC group revealed significant elevation compared to that in the untreated and Lac CC groups (P = 0.0424 and 0.048, respectively), despite a non-significant increase compared to that in the CC mice group (P > 0.05) (Fig. 2B). IL2 was highly significantly elevated in the sera of the Strep CC group compared to that in the sera of untreated control mice (P = 0.0072), whereas it was reduced significantly compared to that in the sera of CC and Lac CC mouse groups (P = 0.0005 and 0.0192, respectively) (Fig. 2B).
3.2. Effects of S. Thermophilus 12 weeks from CC induction
Histological sections of the intestinal mucosa from the positive control (CC group) showed enlargement of glandular elements associated with a mild increase in nuclear staining (hyperchromatosis). The Tlr2 transcription level showed similar expression to that detected at week 8, where it was significantly higher than that in the untreated mouse group (P = 0.039) and significantly lower than that in the Lac CC mouse group (P = 0.0000). Additionally, Tlr2 transcription showed non-significant differences in the Strep CC group compared to that in the CC group (Fig. 3A). Further analysis of the Ifng/Th1 transcription level showed non-significant diversity in the Strep CC mouse intestinal mucosa compared to those in the C, CC, and Lac CC mouse groups (P > 0.05) (Fig. 3A). Completing transcription level analysis of Il4 verified a non-significant increase in the Strep CC mouse intestinal mucosa cells compared to that in the CC or untreated groups (P > 0.05) but was significantly decreased compared to those in the Lac CC mice group (P = 0.0081) (Fig. 3A). Additionally, the Strep CC mouse intestinal mucosa showed non-significant regulation of Il13 expression compared to the Lac CC, CC, and untreated control groups (P > 0.05) (Fig. 3A). Mouse intestinal mucosa exposed continuously to S. thermophilus showed significant downregulation of the Il10 transcription level compared to the untreated and Lac CC mouse groups (P = 0.0011 and 0.0208, respectively). Furthermore, Il10 transcription was not significantly decreased in the Strep CC group compared to that in the CC mouse group (P > 0.05) (Fig. 3A). Continuous administration of S. thermophilus probiotics to mice bearing CC for 12 weeks significantly downregulated Tp53 transcription in the intestinal mucosa compared to that in the untreated group (C group) and Lac CC group (P = 0.0038, and 0.0135, respectively). The level of Tp53 expression of the Strep CC group remained similar to that in the CC group (Fig. 3A).
Fig. 3.
Effects of Streptococcus thermophilus on the development after 12 weeks from the induction of mouse colon cancer. (A) Relative ratios of TLR2, IFNγ, IL4, IL13, IL 10, and P53 transcription levels in mouse intestinal mucosa cells, (B) TNFα and IL2 in mouse sera. Group C represents untreated mice, group CC represents mice injected with AOM, group Lac CC represents mice administered 109 CFU Lactobacillus strain and injected with AOM. Group Strep CC represents mice treated with 108 CFU Streptococcus strain and injected with AOM. Significance was set at P < 0.05 as determined by one-factor analysis of variance. (*) Comparison between controls and Strep CC group. (*) Comparison between Strep CC group and CC group. (#) Comparison between Strep CC group and Lac CC group. Each point represents the mean value of three separate tests, and vertical bars denote 5% around the mean.
TNFα levels were significantly increased in the mouse sera collected from the Strep CC group compared to that in the sera from untreated and Lac CC groups (P = 0.000, and 0.000, respectively). This cytokine was increased non-significantly compared to that in the mouse sera of the CC groups (P > 0.05), and both levels were similar (Fig. 3B). Although the IL2 serum level of the Strep CC group increased significantly compared to that in the untreated and Lac CC groups (P = 0.0314 and 0.0131, respectively), it did not increase significantly compared to that in the CC group (P > 0.05). Additionally, this proinflammatory T cell cytokine showed no significant differences in the mouse sera of the Strep CC group compared to that in the sera of the CC group (P > 0.05) (Fig. 3B).
3.3. Effects of S. Thermophilus after 16 weeks of mouse CC induction
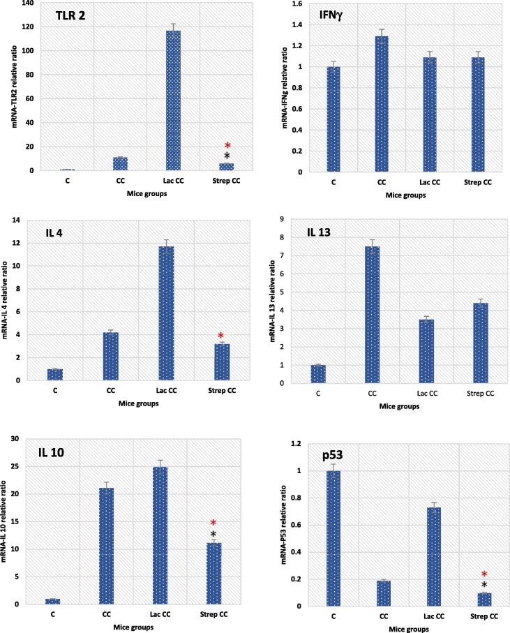
The Tlr2 transcription level was increased significantly in the intestinal mucosa of the Strep CC mouse group compared to that in the untreated mice group (P = 0.0369), whereas this decrease was not significant compared to those of the Lac CC mouse intestinal mucosa (P > 0.05). The Tlr2 mRNA level showed highly significant downregulation in the Strep CC group compared to that in the CC mouse group (P = 0.0020) (Fig. 4A). Regarding Ifng transcription levels, the Strep CC mouse intestinal mucosa exhibited non-significant differences compared to that in the C and Lac CC groups (P > 0.05). The Ifng-mRNA transcription level showed a highly significant decrease in the intestinal mucosa of the Strep CC mouse group compared to that of the CC group (P = 0.001) (Fig. 4A). Il4 transcription in the Strep CC intestinal mucosa was similar to those detected in either the untreated control or the Lac CC group (P > 0.05). Furthermore, Il4 transcription was highly significantly decreased in the Strep CC mouse group compared to that in the CC mice group (P = 0.0173) (Fig. 4A). The Il13 transcription level was elevated to a non-significant degree in the mouse intestinal mucosa of the Strep CC mouse group compared to that in the untreated and Lac CC groups (P > 0.05). The Strep CC mouse group showed an extremely significant decrease in Il13 transcription compared to the CC group (P = 0.0199) (Fig. 4A). After 16 weeks of continuous S. thermophilus administration, Strep CC mucosa cells still showed very highly significant elevation of Il10 transcription compared to the untreated and Lac CC mouse groups (P = 0.003 and 0.0056, respectively). No significant differences were observed in the expression of these cytokines in the intestinal mucosa of the Strep CC group relative to that in the CC group (P > 0.05) (Fig. 4A). Tp53 expression was reduced significantly in mouse intestine cells extracted from the Strep CC group compared to those from either the untreated or CC group (P = 0.0011 and 0.0002, respectively). The Strep CC group showed a non-significant increase in this tumor suppressor gene compared to the Lac CC group (Fig. 4A).
Fig. 4.
Effects of Streptococcus thermophilus on the development after 16 weeks from the induction of mouse colon cancer. (A) Relative ratios of TLR2, IFNγ, IL4, IL13, IL10, and P53 transcription levels in mouse intestinal mucosa cells, (B) TNFα and IL2 in mouse sera. Group C represents untreated, group CC mice injected with AOM, group Lac CC mice administered 109 CFU Lactobacillus strain and injected with AOM. Group Strep CC represents mice treated with 108 CFU Streptococcus strain and injected with AOM. Significance was set at P < 0.05 as determined by one-factor analysis of variance. (*) Comparison between controls and Strep CC group. (*) Comparison between Strep CC group and CC group. (#) Comparison between Strep CC group and Lac CC group. Each point represents the mean value of three separate tests, and vertical bars denote 5% around the mean.
TNFα levels were significantly elevated in the mouse blood sera of the Strep CC group compared to that in the untreated, CC, and Lac CC groups, with each group showing P-values of 0.0000 (Fig. 4B). Although the serum IL2 level was elevated to a non-significant degree in the Strep CC mouse group compared to that in the Lac CC group and reached the same level (P > 0.05), the decrease in this T cell cytokine was not significant in the Strep CC group sera compared to those in either untreated or CC group sera (P > 0.05) (Fig. 4B).
4. Discussion
The impact of the microbiota on cancer progression has attracted considerable attention since the first local bacterial injection to treat sarcomas in the late 19th century (Raj et al., 2018). Probiotics are important constituents in many traditional foods, which have been successfully used to cure lethal intestinal disorders (Patel and Goyal, 2013, Terpou et al., 2019), and play a role in preventing and altering cancer growth (Louis et al., 2014). As with many other tumors, dietary habits, lifestyle, and alterations in the gut microflora play a key role in CRC pathogenesis (Wang et al., 2012, Louis et al., 2014). We evaluated the safety of S. thermophilus as an antitumor agent with anti-inflammatory properties in mice with chemically induced CC.
TLR2 is a unity of the pattern-recognition receptors (Beutler, 2009), and probiotics mainly act as general immune enhancers (El Hadad et al., 2019). TLR2 facilitates the recognition of commensal or pathogenic organisms, playing a pivotal role in the immunomodulatory effect of probiotics (Llewellyn and Foey, 2017). Mice in the Strep CC group showed an early significant increase in Tlr2 transcription starting from weeks 8 to 16 after CC induction compared to the untreated control mice. These results contrast those in the mouse mucosa exposed to L. plantarum for the same periods, in which Tlr2 transcription decreased significantly. Notably, in our study, Strep CC Tlr2 transcription in the mouse intestinal mucosa showed non-significant improvement compared to that in the CC group at weeks 8 and 12. The same receptor was highly significantly downregulated in the Strep CC group compared to that in the CC mouse group. The main membrane structural constituent of both studied probiotics is peptidoglycan (Bernard et al., 2011, Layec et al., 2009). Our results suggest that Streptococcus has a smaller impact on the expression of Tlr2, an innate immunity mediator, than Lactobacillus during CC induction in mice. This peptidoglycan component interacts with TLR2 and TLR4 to stimulate several cytokine-secreting immune cells (Haller et al., 2002). Additionally, our Tlr2 transcription results coincided with the species and strain-specificity hypothesis of Tlr2 interactions, wherein it is important to select specific strains for promoting specific immune effects (Ren et al., 2016) that instantly affect epithelial cell activation (Yan, and Polk, 2011).
TLRs augment inflammatory reactions, which are considered the most vital innate (Roberts-Thomson et al., 2011), and adaptive immune mediators (Naglik 2014). Oral probiotic regimens are significantly correlated with cytokine stimulation in the intestinal mucosa, serum, or even in remote mucosal sites (Villena et al., 2012). For the past three decades, IFNγ has been considered an immunological antitumor agent. It plays a key role in combating the escape of the tumor oncogenic machinery from the body’s tumor surveillance (Schreiber et al., 2011). Generally, Strep CC/Ifng transcription was non-significantly downregulated compared to that in the untreated, Lac CC, and CC mouse groups in all experiment periods, except for a significant decline compared to that in the Lac CC (week 8) and CC mouse groups (week 16). Notably, Ifng transcription shows significant tumor inhibitory activity, although its extent of growth inhibition is inconsistent (Kortylewski et al., 2004).
Continuous administration of the Streptococcus strain failed to activate Th1 by stimulating Ifng transcription in mouse intestinal mucosa during CC induction. Growth inhibition is dependent on STAT1 activation (Kortylewski et al., 2004). Notably, the STAT1 signal is typically stimulated by a decreased concentration of IFNγ, but growth inhibition was only apparent at a considerably higher concentration (Ramana et al., 2001). IL10 is categorized as a Th2 CD4 cytokine that affects the proliferation of Th1 CD4 T cells and their secretions, specifically IFNγ (Ejrnaes et al., 2006). Notably, IL10 decreases inflammation by inhibiting proinflammatory cytokine expression from T cells and macrophages (Ouyang et al., 2011). It may also suppress antitumor activity by suppressing tumor-promoting inflammation and activation of cytotoxic CD8 T cells (Oft, 2014).
Continuous administration of S. thermophilus caused non-significant alterations in Il10 transcription in the mouse intestinal mucosa compared to that in the untreated, Lac CC (at week 8), and CC mouse groups (at weeks 12 and 16). Il10 transcription was downregulated significantly compared to in the CC (at week 8), untreated, and Lac CC groups (at week 12), and increased significantly compared to that in the untreated and Lac CC groups (at week 16). The late increase in Strep CC/Il10 transcription may be related to the significant upregulation of Treg and Th1-mediated IL12 (Ozdemir, 2010). Furthermore, this upregulation in Strep CC/Il10 transcription suppresses MHC class II expression in antigen-presenting cells by promoting alternative macrophage activation (Nakamura et al., 2015) but may also be essential for stimulation of T cytotoxic cells (Oft, 2014). Further analysis of Th2 cytokines IL4 and IL13 showed that they regulate immune responses and the immune microenvironment, not only under normal physiological conditions but also in cancer, where they are structurally and functionally related (Suzuki et al., 2015). Previous studies showed that probiotics can stimulate Th2′s anticancer immune surveillance by generating IL4 and IL13 cytokines (Coussens et al., 2013, de Araújo et al., 2017). These previous studies conflict with the current Il4 and Il13 transcription results from the Strep CC mouse mucosa. In the current study, Strep CC Il4 transcription in the intestinal mucosa showed early elevation compared to all other untreated and treated mice groups, but this increase was not significant compared to those in the untreated and CC mouse groups, and was significantly decreased compared to that in Lac CC after 12 and 16 weeks from CC induction. Blocking of Strep CC Il4 transcription may affect tumor inhibition, leading to increased proliferation of CC cells (Mager et al., 2016). In the present study, Strep CC Il13 transcription increased significantly after 8 weeks compared to that in the untreated mouse intestinal mucosa, before it decreased significantly after 12 and 16 weeks compared to that in the CC mouse group. Both current probiotics caused non-significant differences in Il13 transcription in mouse intestinal mucosa following CC induction. Additionally, IL4Rα and IL13Rα1 chain receptors of IL4 and IL13 cytokines are considered as functional receptors in cancer cells and may act as biomarkers of tumor aggressiveness (Suzuki et al., 2015).
TNFα influences the pathogenesis of intestinal inflammation disease (Ruder et al., 2019). Several probiotics known to be immune stimulators can induce systemic proinflammatory cytokines such as TNFα (Castillo et al., 2011). Most probiotics interact with immune cells at the mucosal interface, stimulating the generation of proinflammatory cytokines, including TNFα (Lee et al., 1993) and activating lymphocyte cells (Borruel et al., 2002). Several studies showed that TNFα was decreased significantly after using probiotic strains on patients with intestinal inflammatory diseases (Breese et al., 1994, Reimund et al., 1996, Woywodt et al., 1999, Plaza-Díaz et al., 2017), particularly CRC (Lenoir et al., 2016). The present Tnfa transcription increased significantly in the Strep CC mouse sera compared to that in the untreated and Lac CC groups throughout the experiment. The Strep-TNFα level did not increase significantly in the mouse sera at weeks 8 and 12 but showed significant elevation after 16 weeks compared to that in the CC mouse group. Indeed, low concentrations improve CC prognosis by increasing TROP-2 and ERK1/2 signaling transcription (Zhang et al., 2019).
IL2 functions as a T cell growth factor (Zhu et al., 2010), modulator of T helper cell differentiation (Yu et al., 2009), promoter of Treg cell development (Cheng et al., 2011), and augmenter of cytolytic activity of natural killer and lymphokine-activated killer cells (Liao et al., 2013). At week 8, the IL2 level showed a significant decrease in the Strep CC mouse serum compared to that in the Lac CC and CC groups, whereas at week 12, this increase was significant compared to that in the Lac CC group and not significant compared to that in the CC group. Additionally, at week 16, IL2 in the Strep CC sera group showed non-significant differences compared to that in all other groups. This result confirmed that Lactobacillus probiotics elevated proinflammatory cytokines to develop an extra efficient immune response against cancer (Yazdi et al., 2012), whereas S. thermophilus did not.
Mutations in nucleotide sequences and epigenetic variations in normal colon epithelium lead to the development of CC. The loss of genomic stability generates an agreeable environment for tumor suppressor gene alterations. Tp53 transcription showed unrestricted inhibition in Strep CC intestinal mucosa compared to that in the untreated and Lac CC mouse groups at 8, 12, and 16 weeks after CC induction. Additionally, the same tumor suppressor gene transcription of the Strep CC intestinal mucosa showed a non-significant difference compared to that of the CC mice group in all experiment periods. Remarkably, inactivation of the tumor suppressor gene Tp53 is one of the most critical determinants of CRC tumor induction and progression (Kinzler and Vogelstein, 1996). The exceptional inhibition of Tp53 transcription in the Strep CC group indicates that S. thermophilus cannot protect against CC (Kumar et al., 2010a, Kumar et al., 2010b).
5. Conclusions
The extent of immunomodulatory effects of S. thermophilus is controversial and varies between studies and strains being evaluated. We demonstrated the negative immunomodulatory impacts of S. thermophilus on the mouse intestine, a part of the mucosal immunity, during CC induction using AOM. At the molecular and immunological levels, S. thermophilus significantly repressed all studied immunological markers except for Tnfa, which appeared to increase the rate of CC progression compared to that in the L. plantarum group or AOM-injected group. We observed weak antitumor activity of S. thermophilus probiotics during CC progression. Our results suggest that not all probiotics have equivalent activity in cancer prophylaxis. Finally, further studies should be performed to determine the mechanism of S. thermophilus bacteria on CC by determining its effects at the epigenetic level.
Declaration of Competing Interest
The authors declare that they have no known competing financial interests or personal relationships that could have appeared to influence the work reported in this paper.
Acknowledgments
Acknowledgments
All the authors would like to acknowledge the King Fahad Center for Medical Research for aiding in the conduction of this study.
Authors’ contributions
Conceived the idea of this paper: SLH. Conceived and designed the experiments: SLH, AD and MAS. Animal treatment and sacrifice supervision: MAS, JA, FB, and SH. Performed the experiments: MAS. Analyzed the data: SLH, AD and MAS. Wrote and edited the paper: SLH, MAS, JA, and SH. Reviewed the paper: SLH, AD, FB, and HA. All authors have read and approved the manuscript.
Funding
This work was funded by King Abdulaziz City for Science and Technology, Jeddah, Saudi Arabia. The grant number is (AT/37/963).
Consent for publication
Not applicable.
Availability of data and materials
The dataset supporting the conclusions of this article is included within the article and its additional files.
Footnotes
Peer review under responsibility of King Saud University.
Supplementary data to this article can be found online at https://doi.org/10.1016/j.sjbs.2021.04.090.
Appendix A. Supplementary data
The following are the Supplementary data to this article:
References
- Arnold M., Sierra M.S., Laversanne M., Soerjomataram I., Jemal A., Bray F. Global patterns and trends in colorectal cancer incidence and mortality. Gut. 2017 doi: 10.1136/gutjnl-2015-310912. [DOI] [PubMed] [Google Scholar]
- Bai Y., Sun E., Shi Y., Jiang Y., Chen Y., Liu S., Zhao L., Zhang M., Guo H., Zhang H. Complete genome sequence of Streptococcus thermophilus MN-BM-A01, a strain with high exopolysaccharides production. J. Biotechnol. 2016 doi: 10.1016/j.jbiotec.2016.03.003. [DOI] [PubMed] [Google Scholar]
- Bray F., Ren J.S., Masuyer E., Ferlay J. Global estimates of cancer prevalence for 27 sites in the adult population in 2008. Int. J. Cancer. 2013;132(5):1133–1145. doi: 10.1002/ijc.27711. [DOI] [PubMed] [Google Scholar]
- Bernard E., Rolain T., Courtin P., Guillot A., Langella P., Hols P., Chapot-Chartier M.P. Characterization of O-Acetylation of N-Acetylglucosamine A NOVEL STRUCTURAL VARIATION OF BACTERIAL PEPTIDOGLYCAN. J. Biol. Chem. 2011 doi: 10.1074/jbc.M111.241414. [DOI] [PMC free article] [PubMed] [Google Scholar]
- Beutler B.A. TLRs and innate immunity. Blood. 2009 doi: 10.1182/blood-2008-07-019307. [DOI] [PMC free article] [PubMed] [Google Scholar]
- Bissahoyo A., Pearsall R.S., Hanlon K., Amann V., Hicks D., Godfrey V.L., Threadgill D.W. Azoxymethane is a genetic background-dependent colorectal tumor initiator and promoter in mice: Effects of dose, route, and diet. Toxicol. Sci. 2005 doi: 10.1093/toxsci/kfi313. [DOI] [PubMed] [Google Scholar]
- Borruel N., Carol M., Casellas F., Antolin M., de Lara F., Espin E., Naval J., Guarner F., Malagelada J.R. Increased mucosal tumour necrosis factor alpha production in Crohn's disease can be downregulated ex vivo by probiotic bacteria. Gut. 2002 doi: 10.1136/gut.51.5.659. [DOI] [PMC free article] [PubMed] [Google Scholar]
- Breese E.J., Michie C.A., Nicholls S.W., Murch S.H., Williams C.B., Domizio P., Walkersmith J.A., Macdonald T.T. TUMOR-NECROSIS-FACTOR ALPHA-PRODUCING CELLS IN THE INTESTINAL-MUCOSA OF CHILDREN WITH INFLAMMATORY BOWEL-DISEASE. Gastroenterology. 1994 doi: 10.1016/0016-5085(94)90398-0. [DOI] [PubMed] [Google Scholar]
- Cheng G.Y., Yu A.X., Malek T.R. T-cell tolerance and the multi-functional role of IL-2R signaling in T-regulatory cells. Immunol. Rev. 2011 doi: 10.1111/j.1600-065X.2011.01004.x. [DOI] [PMC free article] [PubMed] [Google Scholar]
- Coussens L.M., Zitvogel L., Palucka A.K. Neutralizing tumor-promoting chronic inflammation: a magic bullet? Science (New York, N.Y.) 2013 doi: 10.1126/science.1232227. [DOI] [PMC free article] [PubMed] [Google Scholar]
- Castillo N.A., Perdigon G., de LeBlanc A.D. Oral administration of a probiotic Lactobacillus modulates cytokine production and TLR expression improving the immune response against Salmonella enterica serovar Typhimurium infection in mice. BMC Microbiol. 2011 doi: 10.1186/1471-2180-11-177. [DOI] [PMC free article] [PubMed] [Google Scholar]
- de Araújo E.F., Feriotti C., Galdino N.A.L., Preite N.W., Calich V.L.G., Loures F.V. The IDO-AhR Axis Controls Th17/Treg Immunity in a Pulmonary Model of Fungal Infection. Front. Immunol. 2017 doi: 10.3389/fimmu.2017.00880. [DOI] [PMC free article] [PubMed] [Google Scholar]
- Delorme C., Bartholini C., Bolotine A., Ehrlich S.D., Renault P. Emergence of a Cell Wall Protease in the <em>Streptococcus thermophilus</em> Population. Appl. Environ. Microbiol. 2010 doi: 10.1128/AEM.01018-09. [DOI] [PMC free article] [PubMed] [Google Scholar]
- Ejrnaes M., Filippi C.M., Martinic M.M., Ling E.M., Togher L.M., Crotty S., von Herrath M.G. Resolution of a chronic viral infection after interleukin-10 receptor blockade. J. Exp. Med. 2006 doi: 10.1084/jem.20061462. [DOI] [PMC free article] [PubMed] [Google Scholar]
- El Hadad S., Zakareya A., Al-Hejin A., Aldahlawi A., Alharbi M. Sustaining exposure to high concentrations of bifidobacteria inhibits gene expression of Mouse's mucosal immunity. Heliyon. 2019 doi: 10.1016/j.heliyon.2019.e02866. [DOI] [PMC free article] [PubMed] [Google Scholar]
- Facklam R. What Happened to the Streptococci: Overview of Taxonomic and Nomenclature Changes. Clin. Microbiol. Rev. 2002 doi: 10.1128/CMR.15.4.613-630.2002. [DOI] [PMC free article] [PubMed] [Google Scholar]
- Gao X.-Y., Zhi X.-Y., Li H.-W., Klenk H.-P., Li W.-J. Comparative Genomics of the Bacterial Genus Streptococcus Illuminates Evolutionary Implications of Species Groups. PLoS ONE. 2014 doi: 10.1371/journal.pone.0101229. [DOI] [PMC free article] [PubMed] [Google Scholar]
- Górska A., Przystupski D., Niemczura M.J., Kulbacka J. Probiotic Bacteria: A Promising Tool in Cancer Prevention and Therapy. Curr. Microbiol. 2019 doi: 10.1007/s00284-019-01679-8. [DOI] [PMC free article] [PubMed] [Google Scholar]
- Hadad S.E., Hazmi B.A., Alhebshi A., Aldahlawi A.M., Bassam R.A. Lactobacillus rhamnosus Enhances the Immunological Antitumor Effect of 5-Fluorouracil against Colon Cancer. Pakistan journal of biological sciences : PJBS. 2019 doi: 10.3923/pjbs.2019.597.606. [DOI] [PubMed] [Google Scholar]
- Haller D., Russo M.P., Sartor R.B., Jobin C. IKK beta and phosphatidylinositol 3-kinase/Akt participate in non-pathogenic Gram-negative enteric bacteria-induced RelA phosphorylation and NF-kappa B activation in both primary and intestinal epithelial cell lines. The Journal of biological chemistry. 2002 doi: 10.1074/jbc.M205737200. [DOI] [PubMed] [Google Scholar]
- Hols P., Hancy F., Fontaine L., Grossiord B., Prozzi D., Leblond-Bourget N., Decaris B., Bolotin A., Delorme C., Dusko Ehrlich S. New insights in the molecular biology and physiology of Streptococcus thermophilus revealed by comparative genomics. FEMS Microbiol. Rev. 2005 doi: 10.1016/j.femsre.2005.04.008. [DOI] [PubMed] [Google Scholar]
- Iqbal M.Z., Qadir M.I., Hussain T., Janbaz K.H., Khan Y.H., Ahmad B. Review: probiotics and their beneficial effects against various diseases. Pakistan journal of pharmaceutical sciences. 2014;27(2):405–415. [PubMed] [Google Scholar]
- Iyer R., Tomar S.K., Uma Maheswari T., Singh R. Streptococcus thermophilus strains: Multifunctional lactic acid bacteria. Int. Dairy J. 2010 doi: 10.1016/j.idairyj.2009.10.005. [DOI] [Google Scholar]
- Jaykaran Yadav P, Kantharia N.D. Reporting of method of animal sacrifice in articles published in Indian journals. J Pharmacol Pharmacother. 2011 doi: 10.4103/0976-500X.81912. [DOI] [PMC free article] [PubMed] [Google Scholar]
- Junjua M., Kechaou N., Chain F., Awussi A.A., Roussel Y., Perrin C., Roux E., Langella P., Bermúdez-Humarán L.G., Le Roux Y., Chatel J., Dary-Mourot A. A large scale in vitro screening of Streptococcus thermophilus strains revealed strains with a high anti-inflammatory potential. LWT. 2016 doi: 10.1016/j.lwt.2016.02.006. [DOI] [Google Scholar]
- Kekkonen R.A., Kajasto E., Miettinen M., Veckman V., Korpela R., Julkunen I. Probiotic Leuconostoc mesenteroides ssp. cremoris and Streptococcus thermophilus induce IL-12 and IFN-gamma production. World J. Gastroenterol. 2008 doi: 10.3748/wjg.14.1192. [DOI] [PMC free article] [PubMed] [Google Scholar]
- Kinzler K.W., Vogelstein B. Lessons from hereditary colorectal cancer. Cell. 1996 doi: 10.1016/s0092-8674(00)81333-1. [DOI] [PubMed] [Google Scholar]
- Kortylewski M., Komyod W., Kauffmann M.-E., Bosserhoff A., Heinrich P.C., Behrmann I. Interferon-gamma-mediated growth regulation of melanoma cells: involvement of STAT1-dependent and STAT1-independent signals. J, Invest. Dermatol. 2004 doi: 10.1046/j.0022-202x.2004.22237.x. [DOI] [PubMed] [Google Scholar]
- Kumar A., Singh N.K., Sinha P.R., Kumar R. Intervention of Acidophilus-casei dahi and wheat bran against molecular alteration in colon carcinogenesis. Mol. Biol. Rep. 2010 doi: 10.1007/s11033-009-9649-5. [DOI] [PubMed] [Google Scholar]
- Kumar M., Kumar A., Nagpal R., Mohania D., Behare P., Verma V., Kumar P., Poddar D., Aggarwal P.K., Henry C.J. Cancer-preventing attributes of probiotics: an update. Int. J. Food Sci. Nutr. 2010 doi: 10.3109/09637480903455971. [DOI] [PubMed] [Google Scholar]
- Layec S., Gérard J., Legué V., Chapot-Chartier M.P., Courtin P., Borges F., Decaris B., Leblond-Bourget N. The CHAP domain of Cse functions as an endopeptidase that acts at mature septa to promote Streptococcus thermophilus cell separation. Mol. Microbiol. 2009 doi: 10.1111/j.1365-2958.2009.06595.x. [DOI] [PubMed] [Google Scholar]
- Latvala S., Miettinen M., Kekkonen R.A., Korpela R., Julkunen I. Lactobacillus rhamnosus GG and Streptococcus thermophilus induce suppressor of cytokine signalling 3 (SOCS3) gene expression directly and indirectly via interleukin-10 in human primary macrophages. Clin. Exp. Immunol. 2011 doi: 10.1111/j.1365-2249.2011.04408.x. [DOI] [PMC free article] [PubMed] [Google Scholar]
- Latvala S., Pietila T.-E., Veckman V., Kekkonen R.-A., Tynkkynen S., Korpela R., Julkunen I. Potentially probiotic bacteria induce efficient maturation but differential cytokine production in human monocyte-derived dendritic cells. World J. Gastroenterol. 2008 doi: 10.3748/wjg.14.5570. [DOI] [PMC free article] [PubMed] [Google Scholar]
- Lee S.C., Dickson D.W., Liu W., Brosnan C.F. Induction of nitric oxide synthase activity in human astrocytes by interleukin-1 beta and interferon-gamma. J. Neuroimmunol. 1993 doi: 10.1016/0165-5728(93)90229-r. [DOI] [PubMed] [Google Scholar]
- Legesse Bedada T., Feto T.K., Awoke K.S., Garedew A.D., Yifat F.T., Birri D.J. Probiotics for cancer alternative prevention and treatment. Biomed. Pharmacother. 2020 doi: 10.1016/j.biopha.2020.110409. [DOI] [PubMed] [Google Scholar]
- Lenoir M., Del Carmen S., Cortes-Perez N.G., Lozano-Ojalvo D., Muñoz-Provencio D., Chain F., Langella P. de Moreno de LeBlanc, A., LeBlanc, J.G., Bermúdez-Humarán, L.G. Lactobacillus casei BL23 regulates Treg and Th17 T-cell populations and reduces DMH-associated colorectal cancer. J. Gastroenterol. 2016 doi: 10.1007/s00535-015-1158-9. [DOI] [PubMed] [Google Scholar]
- Li Q., Hu W., Liu W.-X., Zhao L.-Y., Huang D., Liu X.-D., Chan H., Zhang Y., Zeng J.-D., Coker O.O. Streptococcus thermophilus inhibits colorectal tumorigenesis through secreting β-galactosidase. Gastroenterology. 2020 doi: 10.1053/j.gastro.2020.09.003. [DOI] [PubMed] [Google Scholar]
- Liao W., Lin J.X., Leonard W.J. Interleukin-2 at the crossroads of effector responses, tolerance, and immunotherapy. Immunity. 2013 doi: 10.1016/j.immuni.2013.01.004. [DOI] [PMC free article] [PubMed] [Google Scholar]
- Llewellyn A., Foey A. Probiotic Modulation of Innate Cell Pathogen Sensing and Signaling Events. Nutrients. 2017 doi: 10.3390/nu9101156. [DOI] [PMC free article] [PubMed] [Google Scholar]
- Louis P., Hold G.L., Flint H.J. The gut microbiota, bacterial metabolites and colorectal cancer. Nat. Rev. Microbiol. 2014 doi: 10.1038/nrmicro3344. [DOI] [PubMed] [Google Scholar]
- Mager L.F., Wasmer M.H., Rau T.T., Krebs P. Cytokine-Induced Modulation of Colorectal Cancer. Front. Oncol. 2016 doi: 10.3389/fonc.2016.00096. [DOI] [PMC free article] [PubMed] [Google Scholar]
- Ménard S., Laharie D., Asensio C., Vidal-Martinez T., Candalh C., Rullier A., Zerbib F., Mégraud F., Matysiak-Budnik T., Heyman M. Bifidobacterium breve and Streptococcus thermophilus secretion products enhance T helper 1 immune response and intestinal barrier in mice. Exp Biol Med (Maywood). 2005 doi: 10.1177/153537020523001008. [DOI] [PubMed] [Google Scholar]
- Minelli E.B., Benini A. Relationship between number of bacteria and their probiotic effects. Microbial Ecology in Health and Disease. 2008 doi: 10.1080/08910600802408095. [DOI] [Google Scholar]
- Naglik J.R. <i>Candida</i> Immunity. New Journal of Science. 2014 doi: 10.1155/2014/390241. [DOI] [Google Scholar]
- Nakamura R., Sene A., Santeford A., Gdoura A., Kubota S., Zapata N., Apte R.S. IL10-driven STAT3 signalling in senescent macrophages promotes pathological eye angiogenesis. Nat. Commun. 2015 doi: 10.1038/ncomms8847. [DOI] [PMC free article] [PubMed] [Google Scholar]
- Oft M. IL-10: master switch from tumor-promoting inflammation to antitumor immunity. Cancer immunology research. 2014 doi: 10.1158/2326-6066.Cir-13-0214. [DOI] [PubMed] [Google Scholar]
- Ouyang W., Rutz S., Crellin N.K., Valdez P.A., Hymowitz S.G. Regulation and functions of the IL-10 family of cytokines in inflammation and disease. Annu. Rev. Immunol. 2011 doi: 10.1146/annurev-immunol-031210-101312. [DOI] [PubMed] [Google Scholar]
- Ozdemir O. Various effects of different probiotic strains in allergic disorders: an update from laboratory and clinical data. Clin. Exp. Immunol. 2010 doi: 10.1111/j.1365-2249.2010.04109.x. [DOI] [PMC free article] [PubMed] [Google Scholar]
- Pallag A., Roşca E., Tit D.M., Mutiu G., Bungău S.G., Pop O.L. Monitoring the effects of treatment in colon cancer cells using immunohistochemical and histoenzymatic techniques. Rom. J. Morphol. Embryol. 2015;56(3):1103–1109. PMID: 26662146. [PubMed] [Google Scholar]
- Patel S., Goyal R. Biotransformation of Gallotannins From Fresh Fruit Juice of Emblica officinalis in In-vitro System. Research Journal of Phytochemistry. 2013 doi: 10.3923/rjphyto.2013.18.23. [DOI] [Google Scholar]
- Perdigon G., Nader de Macias M.E., Alvarez S., Oliver G., de Ruiz Pesce, Holgado A.A. Enhancement of immune response in mice fed with Streptococcus thermophilus and Lactobacillus acidophilus. J. Dairy Sci. 1987 doi: 10.3168/jds.S0022-0302(87)80095-4. [DOI] [PubMed] [Google Scholar]
- Plaza-Díaz J., Ruiz-Ojeda F.J., Vilchez-Padial L.M., Gil A. Evidence of the Anti-Inflammatory Effects of Probiotics and Synbiotics in Intestinal Chronic Diseases. Nutrients. 2017 doi: 10.3390/nu9060555. [DOI] [PMC free article] [PubMed] [Google Scholar]
- Ramana C.V., Gil M.P., Han Y., Ransohoff R.M., Schreiber R.D., Stark G.R. Stat1-independent regulation of gene expression in response to IFN-gamma. PNAS. 2001 doi: 10.1073/pnas.111164198. [DOI] [PMC free article] [PubMed] [Google Scholar]
- Raj S., Miller L.D., Triozzi P.L. Addressing the Adult Soft Tissue Sarcoma Microenvironment with Intratumoral Immunotherapy. Sarcoma. 2018 doi: 10.1155/2018/9305294. [DOI] [PMC free article] [PubMed] [Google Scholar]
- Rasmussen T.B., Danielsen M., Valina O., Garrigues C., Johansen E., Pedersen M.B. <em>Streptococcus thermophilus</em> Core Genome: Comparative Genome Hybridization Study of 47 Strains. Appl. Environ. Microbiol. 2008 doi: 10.1128/AEM.00132-08. [DOI] [PMC free article] [PubMed] [Google Scholar]
- Reimund J.M., Wittersheim C., Dumont S., Muller C.D., Kenney J.S., Baumann R., Poindron P., Duclos B. Increased production of tumour necrosis factor-alpha interleukin-1 beta, and interleukin-6 by morphologically normal intestinal biopsies from patients with Crohn's disease. Gut. 1996 doi: 10.1136/gut.39.5.684. [DOI] [PMC free article] [PubMed] [Google Scholar]
- Ren C., Zhang Q., de Haan B.J., Zhang H., Faas M.M., de Vos P. Identification of TLR2/TLR6 signalling lactic acid bacteria for supporting immune regulation. Sci. Rep. 2016 doi: 10.1038/srep34561. [DOI] [PMC free article] [PubMed] [Google Scholar]
- Roberts-Thomson I.C., Fon J., Uylaki W., Cummins A.G., Barry S. Cells, cytokines and inflammatory bowel disease: a clinical perspective. Expert review of gastroenterology & hepatology. 2011 doi: 10.1586/egh.11.74. [DOI] [PubMed] [Google Scholar]
- Ruder B., Atreya R., Becker C. Tumour Necrosis Factor Alpha in Intestinal Homeostasis and Gut Related Diseases. Int. J. Mol. Sci. 2019 doi: 10.3390/ijms20081887. [DOI] [PMC free article] [PubMed] [Google Scholar]
- Schreiber R.D., Old L.J., Smyth M.J. Cancer immunoediting: integrating immunity's roles in cancer suppression and promotion. Science (New York, N.Y.) 2011 doi: 10.1126/science.1203486. [DOI] [PubMed] [Google Scholar]
- Shaukat A., Mongin S.J., Geisser M.S., Lederle F.A., Bond J.H., Mandel J.S., Church T.R. Long-term mortality after screening for colorectal cancer. The New England journal of medicine. 2013 doi: 10.1056/NEJMoa1300720. [DOI] [PubMed] [Google Scholar]
- Smyth E., Khan K., Valeri N. Translational research and application of basic biology to clinical trial development in GI cancers. Ann Transl Med. 2018 doi: 10.21037/atm.2018.05.05. [DOI] [PMC free article] [PubMed] [Google Scholar]
- Stofilova, J.; Langerholc, T.; Botta, C.; Treven, P.; Gradišnik, L.; Salaj, R.; Soltesova, A.; Bertková, I.; Hertelyová, Z.; Bomba, A. Cytokine production in vitro and in rat model of colitis in response to Lactobacillus plantarum LS/07. Biomedicine & pharmacotherapy = Biomedecine & pharmacotherapie 2017, doi:10.1016/j.biopha.2017.07.138. [DOI] [PubMed]
- Suzuki A., Leland P., Joshi B.H., Puri R.K. Targeting of IL-4 and IL-13 receptors for cancer therapy. Cytokine. 2015 doi: 10.1016/j.cyto.2015.05.026. [DOI] [PubMed] [Google Scholar]
- Tarrah A., de Castilhos J., Rossi R.C., Duarte V.D.S., Ziegler D.R., Corich V., Giacomini A. In vitro Probiotic Potential and Anti-cancer Activity of Newly Isolated Folate-Producing Streptococcus thermophilus Strains. Front. Microbiol. 2018 doi: 10.3389/fmicb.2018.02214. [DOI] [PMC free article] [PubMed] [Google Scholar]
- Terpou A., Papadaki A., Lappa I.K., Kachrimanidou V., Bosnea L.A., Kopsahelis N. Probiotics in Food Systems: Significance and Emerging Strategies Towards Improved Viability and Delivery of Enhanced Beneficial Value. Nutrients. 2019 doi: 10.3390/nu11071591. [DOI] [PMC free article] [PubMed] [Google Scholar]
- Uriot O., Denis S., Junjua M., Roussel Y., Dary-Mourot A., Blanquet-Diot S. Streptococcus thermophilus: From yogurt starter to a new promising probiotic candidate? J. Funct. Foods. 2017 doi: 10.1016/j.jff.2017.07.038. [DOI] [Google Scholar]
- Villena J., Suzuki R., Fujie H., Chiba E., Takahashi T., Tomosada Y., Shimazu T., Aso H., Ohwada S., Suda Y. Immunobiotic Lactobacillus jensenii modulates the Toll-like receptor 4-induced inflammatory response via negative regulation in porcine antigen-presenting cells. Clinical and vaccine immunology : CVI. 2012 doi: 10.1128/cvi.00199-12. [DOI] [PMC free article] [PubMed] [Google Scholar]
- Wang Y., Zhang X., Zhang H., Lu Y., Huang H., Dong X., Chen J., Dong J., Yang X., Hang H. Coiled-coil networking shapes cell molecular machinery. Mol. Biol. Cell. 2012 doi: 10.1091/mbc.E12-05-0396. [DOI] [PMC free article] [PubMed] [Google Scholar]
- Wasilewska E., Zlotkowska D., Wroblewska B. Yogurt starter cultures of Streptococcus thermophilus and Lactobacillus bulgaricus ameliorate symptoms and modulate the immune response in a mouse model of dextran sulfate sodium-induced colitis. J. Dairy Sci. 2019 doi: 10.3168/jds.2018-14520. [DOI] [PubMed] [Google Scholar]
- Woywodt A., Ludwig D., Neustock P., Kruse A., Schwarting K., Jantschek G., Kirchner H., Stange E.F. Mucosal cytokine expression, cellular markers and adhesion molecules in inflammatory bowel disease. Eur. J. Gastroenterol. Hepatol. 1999 doi: 10.1097/00042737-199903000-00010. [DOI] [PubMed] [Google Scholar]
- Wu C. Systemic Therapy for Colon Cancer. Surg. Oncol. Clin. N. Am. 2018 doi: 10.1016/j.soc.2017.11.001. [DOI] [PubMed] [Google Scholar]
- Xia Y., Chen H.Q., Zhang M., Jiang Y.Q., Hang X.M., Qin H.L. Effect of Lactobacillus plantarum LP-Onlly on gut flora and colitis in interleukin-10 knockout mice. J. Gastroenterol. Hepatol. 2011 doi: 10.1111/j.1440-1746.2010.06498.x. [DOI] [PubMed] [Google Scholar]
- Yan F., Polk D.B. Probiotics and immune health. Curr Opin Gastroenterol. 2011 doi: 10.1097/MOG.0b013e32834baa4d. [DOI] [PMC free article] [PubMed] [Google Scholar]
- Yazdi M.H., Mahdavi M., Varastehmoradi B., Faramarzi M.A., Shahverdi A.R. The immunostimulatory effect of biogenic selenium nanoparticles on the 4T1 breast cancer model: an in vivo study. Biol. Trace Elem. Res. 2012 doi: 10.1007/s12011-012-9402-0. [DOI] [PubMed] [Google Scholar]
- Yu A., Zhu L., Altman N.H., Malek T.R. A low interleukin-2 receptor signaling threshold supports the development and homeostasis of T regulatory cells. Immunity. 2009 doi: 10.1016/j.immuni.2008.11.014. [DOI] [PMC free article] [PubMed] [Google Scholar]
- Zhu J., Yamane H., Paul W.E. Differentiation of effector CD4 T cell populations (*) Annu. Rev. Immunol. 2010 doi: 10.1146/annurev-immunol-030409-101212. [DOI] [PMC free article] [PubMed] [Google Scholar]
- Zhang W., Zhao Y., Zhang F., Wang Q., Li T., Liu Z., Wang J., Qin Y., Zhang X., Yan X. The use of anti-inflammatory drugs in the treatment of people with severe coronavirus disease 2019 (COVID-19): The Perspectives of clinical immunologists from China. Clin Immunol. 2019;2020 doi: 10.1016/j.clim.2020.108393. [DOI] [PMC free article] [PubMed] [Google Scholar]
Associated Data
This section collects any data citations, data availability statements, or supplementary materials included in this article.
Supplementary Materials
Data Availability Statement
The dataset supporting the conclusions of this article is included within the article and its additional files.







