Abstract
Background
Nucleos(t)ide analogues (NAs) cessation is not widely practiced and remains a controversial, but highly relevant subject in patients infected with hepatitis B virus (HBV). We aimed to explore the related factors for safe NAs cessation.
Methods
This is a multicenter prospective cohort study. Overall, 139 initially HBV e antigen (HBeAg)-positive patients meeting the stopping criteria were included in 12 hospitals in China. Enrolled patients ceased NAs and were followed up every 3 months for 24 months or until clinical relapse (CR).
Results
The 24 month cumulative rates of virological relapse (VR), CR, HBeAg reversion and HBV surface antigen (HBsAg) loss were 50.4, 24.5, 11.5 and 9.4%, respectively. Patients with end of treatment (EOT) HBsAg < 100 IU/mL plus negative HBV RNA had the lowest 24 month cumulative VR rate (5 vs 58%, p < 0.001). EOT HBsAg ≥ 2 log10 IU/mL [odds ratio (OR) = 6.686, p = 0.006], EOT positive HBV RNA (OR = 3.453, p = 0.008) and EOT hepatitis B core-related antigen (HBcrAg) ≥ 4log U/mL (OR = 3.702, p = 0.002) were found to independently predict the risk of VR. To predict VR, the area under the receiver-operating characteristic (AUROC) value of the EOT HBsAg < 100 IU/mL plus EOT HBV RNA negative was 0.698 (p < 0.001), which was higher than other parameters alone or combinations.
Conclusions
NAs cessation is suitable only for a small and selected patients. An EOT HBsAg < 100 IU/mL and EOT negative HBV RNA identified a patient with low risk of off-treatment VR.
Keywords: Cessation, HBV RNA, HBcrAg, Virological relapse, HBsAg loss
Introduction
Long-term nucleos(t)ide analogue (NAs) treatment has been proven to delay disease progression in patients infected with hepatitis B virus (HBV) [1]. As viral polymerase inhibitors, NAs inhibit only viral replication, but they could not completely eradicate the stably existing covalently closed circular DNA (cccDNA) [2]. Therefore, life-long NAs treatment is necessary, but causes a financial burden and potential drug toxicity [3]. NAs withdrawal remains controversial. Some studies suggested high rates of virological relapse (VR) after NAs cessation [4, 5], whereas other studies found sustained virological response and hepatitis B surface antigen (HBsAg) loss in some patients who ceased NAs [6, 7]. Therefore, it is meaningful to identify factors associated with safe NAs discontinuation.
Some factors associated with relapse after NAs cessation have been reported, including baseline HBV DNA level, HBV genotype [8], treatment and consolidation duration [9] and end-of-treatment (EOT) HBsAg level [8]. Some studies found that serum HBsAg loss rate was increased significantly after NAs cessation [10, 11]. A low serum quantitative EOT HBsAg level < 100 IU/mL, recently proposed for possible NAs treatment cessation in both HBeAg-positive and HBeAg-negative chronic hepatitis B (CHB) patients [12, 13]. Long-term NAs treatment can suppress transcriptional activity of cccDNA, but a dichotomous separation of HBV DNA and HBsAg levels occurs. HBsAg may correlate with intrahepatic cccDNA, but is encoded both by cccDNA and from integrated viral genomes.
Serum HBV RNA transcribed from cccDNA and presented as encapsidated virion-containing pregenomic RNA (pgRNA) [15]. Although HBV is an enveloped DNA virus, the serum viral population contain virion-like particles containing HBV RNA and an empty viral envelope containing capsid without genomes [16]. Therefore, serum HBV RNA is another considerable biomarker for cccDNA activity. Since serum HBV RNA can be quantified recently, few studies have researched the association between EOT HBV RNA level and relapse after NAs cessation [17, 18].
Serum hepatitis B core-related antigen (HBcrAg), including the hepatitis B core antigen, hepatitis B e antigen (HBeAg) and the 22 kd precore protein, has been found as another potential marker because of its association with cccDNA level [19]. Previous studies suggested that serum HBcrAg level had predictive value for sustained response to NAs treatment, HBeAg seroconversion, the risk of hepatocellular carcinoma (HCC) development [19]. However, whether serum HBcrAg alone or combining HBV RNA and HBcrAg could predictive relapse after NAs cessation is still unclear.
In this study, we established a multicenter prospective cohort of initially HBeAg-positive CHB patients who discontinued NAs treatment, to observe the relapse and HBsAg loss rates and explore the related factors, especially the EOT HBsAg, HBV RNA and HBcrAg levels, for successful NAs cessation.
Methods
Patients
Initially HBeAg-positive CHB patients who met the stopping criteria ceased NAs and were followed up from January 2017 to December 2020 in 12 hospitals of Beijing, Tianjin and Hebei province in China. The stopping criteria was defined as undetectable serum HBV DNA, normal serum alanine aminotransferase (ALT) levels and HBeAg seroconversion for at least 3 years, meanwhile, the NAs therapy duration more than 4 years, according to the Chinese guidelines of prevention and treatment for chronic hepatitis B [20].
Patients with cirrhosis, HCC, human immunodeficiency virus coinfection, hepatitis C virus coinfection, autoimmune liver diseases, genetic metabolic liver disease, chronic alcoholism and history of immunosuppressive therapy or organ transplantation were excluded.
Enrolled patients were followed up with clinical and laboratory assessments every 3 months for 24 months after NAs cessation or until clinical relapse (CR). In case of VR or CR, more frequent ALT and HBV DNA assay(s) were performed. Retreatment was started if clinical relapse was observed.
This is a multicenter prospective cohort study, which was registered in the system of Chinese Clinical Trail Registry (registration number: ChiCTR1900020836). The study was approved by the Institutional Review Board of Peking University People’s Hospital (2017PHB001‐01). Written informed consent was obtained from all patients.
Definitions
VR was defined as an HBV DNA > 2000 IU/mL. CR was defined as VR plus ALT > 2 ULN. Consolidation therapy was defined as duration of treatment after the first report of HBeAg seroconversion and lasted until NAs cessation. Liver cirrhosis was diagnosed by ultrasonography, computerised tomography or Magnetic Resonance Imaging findings and supplemented with the decompensation presence of ascites, splenomegaly, varices and/or thrombocytopenia.
Serological and virological test
Serum ALT levels were tested at local laboratories with the ULN of 40 U/L. HBV DNA, HBsAg were assessed in the central laboratory located in Peking University People’s Hospital. HBV DNA was assayed using the Roche COBAS TaqMan HBV test with a lower detection limit of 20 IU/mL. Serum HBsAg was quantified by the Architect I2000SR (Abbott) with the range of 0.05–250 IU/mL. If the HBsAg level was > 250 IU/mL, serial 1:100–1:1000 dilution was performed.
Serum HBV RNA assay
HBV RNA was isolated from 200 μL serum using the Diagnostic kit for Hepatitis B virus pgRNA (PCR-fluorescence probing) (Hotgen Biotech, Beijing, China) according to the manufacturer’s protocol and treated with DNase I. Isolated HBV RNA was reverse transcribed and detected by quantitative real-time polymerase chain reaction in ABI Prism 7500 Real-time PCR System (ABI, USA). The results are presented as copies/mL.
Serum HBcrAg assay
The serum HBcrAg level was tested using a chemiluminescent enzyme immunoassay (Lumipulse G HBcrAg assay) by Lumipulse G1200 analyser (Fujirebio, Japan), with a lower limit of quantification of 3 logU/mL. If samples with concentration > 7 logU/mL, dilution and retest were performed.
Statistical analysis
The data are expressed as median (interquartile range) for continuous variables and as numbers (percentages) for categorical variables. The HBsAg, HBV DNA and HBV RNA levels were logarithmically transformed for statistical analysis. Differences between groups were analysed using the χ2 test or the student’s t test. The cumulative rates of VR, CR, HBeAg reversion and HBsAg loss were calculated using Kaplan–Meier analyses and compared by the log-rank test. Multivariable logistic regression analysis was used to assess predictors of off-treatment relapse and HBsAg loss. The correlation between two variables was compared using the regression and Pearson’s correlation coefficients (r). The statistical analysis was conducted using IBM SPSS software version 26.0 and GraphPad Prism 7.0 software. A two-tailed p value < 0.05 was considered statistically significant.
Results
A total of 139 initially HBeAg-positive CHB patients without cirrhosis treated with NAs for at least 4 years and who had HBeAg seroconversion for at least 3 years were included in this study. They all discontinued NAs when attended this study and were followed up each 3 months for 24 months. During follow-up, none of the patients experienced hepatic decompensation, cirrhosis, HCC or died.
Clinical and serological characteristics at end of treatment
All patients (58.3% male, median age, 36 years) were treated for a duration of 6.4 (4.7–8.6) years with NAs, and most of them were treated with entecavir (71.2%). The duration of undetectable HBV DNA and HBeAg seroconversion before end of treatment was 5.8 (4.3–7.8) years and 4 (3.5–5.8) years, respectively. All subjects had detectable serum HBsAg in a range from 0.05 to 18,512.6 IU/mL, with 22 (15.8%) patients < 100 IU/mL and 39 (28.1%) patients between 100 and 1000 IU/mL. Significant differences of the EOT HBsAg and HBV RNA levels were observed between patients with VR and non-VR. When comparing with VR, those without VR had lower EOT HBsAg levels (median 3.4 vs 2.9 log10 IU/mL, p < 0.001) and HBcrAg levels (median 4 vs 3.5 logU/mL, p < 0.001), simultaneously, more frequently negative HBV RNA (55.7 vs 87%, p < 0.001). Clinical and serological characteristics of patients before antiviral treatment initiation and at end of treatment are shown in Table 1.
Table 1.
Characteristics of patients at start of treatment, end of treatment and after withdrawal
| All (n = 139) | VR (n = 70) | Non-VR (n = 69) | p value | |
|---|---|---|---|---|
| Start of treatment | ||||
| HBV DNA, log10 IU/mL | 5.9 (5.4–6.8) | 5.8 (5–6.7) | 5.9 (5.4–6.9) | 0.779 |
| HBsAg, log10 IU/mL | 3.5 (3.1–3.8) | 3.5 (3.1–3.8) | 3.5 (3.1–4.1) | 0.494 |
| Family history of HBsAg positive | 70 (50.4%) | 37 (52.9%) | 33 (47.8%) | 0.553 |
| Family history of HCC | 13 (9.4%) | 9 (12.9%) | 4 (5.8%) | 0.313 |
| End of treatment | ||||
| Age, y | 36 (31–45) | 36 (32–41.3) | 37 (31–46.5) | 0.773 |
| Male gender | 81 (58.3%) | 34 (48.6%) | 47 (68.1%) | 0.019 |
| Body mass index, kg/m2 | 23 (21.1–24.8) | 22.7 (21–24.8) | 23.4 (21.6–25.1) | 0.298 |
| Current antiviral treatment | 0.182 | |||
| Entecavir | 99 (71.2%) | 53 (75.7%) | 46 (66.7%) | |
| Tenofovir | 16 (11.5%) | 9 (12.9%) | 7 (10.1%) | |
| Others | 24 (17.3%) | 8 (11.4%) | 16 (23.2%) | |
| Treatment duration,y | 6.4 (4.7–8.6) | 6 (4.7–8.7) | 6.8 (4.4–8.8) | 0.502 |
| Undetectable HBV DNA duration,y | 5.8 (4.3–7.8) | 5.7 (4.3–7.7) | 5.8 (4.5–7.9) | 0.435 |
| HBeAg seroconversion duration, y | 4 (3.5–5.8) | 3.9 (3.5–5.6) | 4.3 (3.5–6.2) | 0.524 |
| Liver stiffness, kPa | 4.8 (4.1–5.8) | 4.6 (3.9–5.9) | 4.8 (4.2–5.6) | 0.409 |
| CAP, dB/m | 218 (191–258) | 211 (180.5–242.5) | 234 (194–262.8) | 0.284 |
| HBsAg, log10 IU/mL | 3.2 (2.6–3.6) | 3.4 (2.9–3.7) | 2.9 (2–3.3) | < 0.001 |
| < 2 log10 IU/mL | 22 (15.8%) | 3 (4.3%) | 19 (27.5%) | < 0.001 |
| HBV RNA,log10 copies/mL | 0 (0–2) | 0 (0–2.5) | 0 (0–0) | < 0.001 |
| Negative HBV RNA | 99 (71.2%) | 39 (55.7%) | 60 (87%) | < 0.001 |
| HBcrAg, logU/mL | 3.8 (3.3–4.2) | 4 (3.6–4.3) | 3.5 (3–3.9) | < 0.001 |
| < 4 logU/mL | 88 (63.3%) | 32 (45.7%) | 56 (81.2%) | < 0.001 |
| After withdrawal | ||||
| 6 months after withdrawal | ||||
| HBsAg, log10 IU/mL | 3.2 (2.5–3.6) | 3.5 (3–3.7) | 2.9 (1.7–3.3) | < 0.001 |
| HBV RNA, log10 copies/mL | 0 (0–2.4) | 2.4 (0–3.5) | 0 (0–0) | 0.015 |
| HBcrAg, log U/mL | 3.7 (3.3–4.3) | 4.2 (3.6–4.8) | 3.4 (2.8–3.8) | 0.001 |
| 12 months after withdrawal | ||||
| HBsAg, log10 IU/mL | 3 (2.4–3.5) | 3.3 (2.9–3.6) | 2.8 (1.7–3.3) | 0.001 |
| HBV RNA, log10 copies/mL | 0 (0–2.4) | 2.3 (0–3.6) | 0 (0–0) | 0.019 |
| HBcrAg, logU/mL | 3.6 (3.0–4.1) | 4 (3.5–5) | 3.2 (2.7–3.6) | < 0.001 |
| 24 months after withdrawal | ||||
| HBsAg, log10 IU/mL | 2.9 (2.1–3.3) | 3.1 (2.7–3.5) | 2.7 (1.6–3.2) | 0.015 |
| HBV RNA, log10 copies/mL | 0 (0–1.9) | 1.9 (0–2.7) | 0 (0–0) | 0.006 |
| HBcrAg, log U/mL | 3.4 (2.7–3.9) | 3.9 (3.3–4.2) | 3.2 (2.5–3.6) | 0.001 |
The data are expressed as median values (interquartile ranges) or no. (%) of individuals
VR virological relapse, HCC hepatocellular carcinoma, CAP the controlled attenuation parameter
VR, CR and HBeAg reversion after NAs cessation
After NAs cessation, patients were followed up for 12 (9–24) months. The 12 month cumulative rates of VR, CR and HBeAg reversion were 38.8, 15.1 and 8.6%, respectively, and the corresponding 24 month cumulative rates were 50.4, 24.5 and 11.5%, respectively (Table 2).
Table 2.
VR, CR, HBeAg seroconversion and HBsAg loss in patients after NAs cessation
| 3 months (%) | 6 months (%) | 9 months (%) | 12 months (%) | 15 months (%) | 18 months (%) | 21 month (%) | 24 month (%) | In total (%) | |
|---|---|---|---|---|---|---|---|---|---|
| VR | 9 (6.5) | 21 (21.6) | 15 (32.4) | 9 (38.8) | 5 (42.4) | 4 (45.3) | 2 (46.8) | 5 (50.4) | 70 (50.4) |
| CR | 2 (1.4) | 6 (5.8) | 9 (12.2) | 4 (15.1) | 5 (18.7) | 5 (22.3) | 3 (24.5) | 0 (24.5) | 34 (24.5) |
| HBeAg reversion | 1 (1) | 6 (5) | 3 (7.2) | 2 (8.6) | 1 (9.4) | 1 (10.1) | 0 (10.1) | 2 (11.5) | 16 (11.5) |
| HBsAg loss | 2 (1.4) | 2 (2.9) | 0 (2.9) | 2 (4.3) | 2 (5.8) | 1 (6.5) | 1 (7.2) | 3 (9.4) | 13 (9.4) |
The data are expressed as number of new cases per visit (cumulative incidence)
VR virological relapse, CR clinical relapse
The majority of VR and CR occurred within 12 months, especially between 6 and 9 months after NAs cessation (Table 2). The median level of elevated HBV DNA was 4.8 (3.8–6.6) log10 IU/mL. HBV DNA was transiently elevated in 29 (20.9%) patients (data not shown). The median level of elevated ALT was 247 (172–484) U/L. There are 36 patients only developed VR without subsequently CR. Patients with VR only had significantly more frequent of EOT HBsAg < 100 IU/mL (5.6 vs 2.9%, p = 0.017) and EOT negative HBV RNA (23.5 vs 8.3%, p = 0.021) than patients with both VR and CR (data not shown).
Cumulative rates of VR stratified by EOT HBsAg, HBV RNA or HBcrAg levels are depicted in Fig. 1. Up to 24 months, cumulative incidence of VR in EOT HBsAg < 100 IU/mL and ≥ 100 IU/mL were 13.6 and 57.3%, respectively (p < 0.001, Fig. 1A). Cumulative rates of VR as stratified by EOT HBsAg < 1000 IU/mL and ≥ 1000 IU/mL were 36.6 and 61.8%, respectively (p < 0.001, Fig. 1B). Patients with negative EOT HBV RNA had significantly lower rate of VR (39.4 vs 77.5%, p < 0.001, Fig. 1C). The cumulative incidence of VR was significantly lower in patients with lower HBcrAg levels (< 4 logU/mL) than in those with higher HBcrAg levels (≥ 4 logU/mL) (36.3 vs 74.5%, p < 0.001, Fig. 1D).
Fig. 1.
Cumulative incidences of virological relapse (VR) stratified by end of treatment (EOT) hepatitis B surface antigen (HBsAg), HBV RNA and hepatitis B core-related antigen (HBcrAg). A and B 12 month and 24 month off-therapy VR in patients by EOT HBsAg titer. C 12 month and 24 month off-therapy VR in patients by EOT HBV RNA status. D 12 month and 24 month off-therapy VR in patients by EOT HBcrAg titer. E 12 month and 24 month off-therapy VR in patients by EOT HBsAg titer and HBV RNA status. F, 12 month and 24 month off-therapy VR in patients by EOT HBsAg and HBcrAg titers. G 12 month and 24 month off-therapy VR in patients by EOT HBV RNA status and HBcrAg titer. H, 12 month and 24 month off-therapy VR in patients by EOT HBV RNA status, HBsAg and HBcrAg titers
When compared with each variable alone, combining these three factors could have better predictive ability. Patients with EOT HBsAg < 100 IU/mL plus EOT negative HBV RNA had the lowest 24 month cumulative VR rate (5 vs 58%, p < 0.001, Fig. 1E). EOT HBsAg < 100 IU/mL with EOT HBcrAg < 4 logU/mL demonstrated 24 month cumulative VR rate of 10.5%, significantly lower than the remaining patients (56.7%) (p < 0.001, Fig. 1F). Patients with EOT negative HBV RNA plus EOT HBcrAg < 4 logU/mL also has a decrease 24 month cumulative incidence of VR (31 vs 70.6%, p < 0.001, Fig. 1G). Combining the EOT HBsAg < 100 IU/mL, EOT negative HBV RNA and EOT HBcrAg < 4 logU/mL demonstrated 24 month cumulative rate of 5.6% (Fig. 1H), not showed obvious superiority for EOT HBsAg < 100 IU/mL plus EOT negative HBV RNA (5%).
Correlation between serum HBV markers in patients with VR
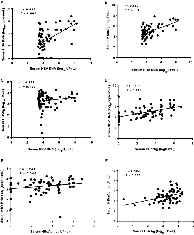
Regression and Pearson’s correlation coefficients (r) were used to evaluate the correlation among serum HBsAg, HBV RNA, HBcrAg and HBV DNA in patients with VR after NAs cessation. As shown in Fig. 2, there were positive correlations between serum HBV DNA levels with HBV RNA (r = 0.485, p < 0.001, Fig. 2A) and HBcrAg (r = 0.602, p < 0.001, Fig. 2B). Serum HBV DNA and HBsAg did not have good relevancy (r = 0.196, p = 0.156, Fig. 2C). In addition, positive correlation between serum HBV RNA and HBcrAg was found (r = 0.505, p < 0.001, Fig. 2D). Serum HBsAg titer had a very weak correlation with both serum HBV RNA and HBcrAg titers (r = 0.157 and 0.123, respectively, Fig. 2E, F).
Fig. 2.
Correlation between serum hepatitis B virus (HBV) markers in patients with virological relapse. A Correlation between HBV RNA and HBV DNA. B Correlation between hepatitis B core-related antigen (HBcrAg) and HBV DNA. C Correlation between hepatitis B surface antigen (HBsAg) and HBV DNA. D Correlation between HBV RNA and HBcrAg. E Correlation between HBV RNA and HBsAg. F Correlation between HBcrAg and HBsAg
Changes in HBsAg after NAs cessation
The 12 month and 24 month cumulative rates of HBsAg loss were 4.3 and 9.4%, respectively (Table 2). Among these 13 (9.4%) patients achieved HBsAg loss during the follow up, 6 (46.2%) patients with EOT HBsAg < 1 mIU/mL, 2 (15.4%) patients with EOT HBsAg between 1 and 10 mIU/mL, 3 (23.1%) patients with EOT HBsAg between 10 and 100 mIU/mL and 2 (15.4%) patients with EOT HBsAg > 100 mIU/mL. Only 1 patient had CR at 3 months with HBsAg decreased significantly and then subsequently had HBsAg loss at 6 months after NAs cessation. The other 12 patients with HBsAg loss did not have VR or CR. Except these 13 patients with HBsAg loss, there are 5 (3.6%) patients had a decline in HBsAg of > 1 log10 IU/mL after NA cessation (Fig. 3).
Fig. 3.
Serial hepatitis B surface antigen (HBsAg) levels in patients with HBsAg loss during follow-up after end of treatment (EOT)
Predictors for VR, CR and HBsAg loss
To identify predictors for VR, CR and HBsAg loss, the univariable and multivariable logistic regression analysis were conducted. Neither of the treatment duration and the duration of consolidation treatment were associated with VR, CR or HBsAg loss. The following three variables were found to be independently significant in predicting the risk of VR: EOT HBsAg ≥ 2 log10IU/mL [odds ratio (OR) 6.686, 95% confidence interval (CI) 1.703–26.255, p = 0.006], EOT HBV RNA positive [OR 3.453, 95% CI, 1.387–8.597, p = 0.008] and EOT HBcrAg ≥ 4 logU/mL (OR 3.702, 95% CI 1.614–8.488, p = 0.002). In addition, EOT HBV RNA positive (OR 4.782, 95% CI 1.968–11.621, p = 0.001) was associated with higher risk of CR. Age ≥ 40 years (OR 0.867, 95% CI 0.809–0.928, p < 0.001) and EOT HBsAg < 2 log10 IU/mL (OR 0.025, 95% CI 0.005–0.134, p < 0.001) were also independent predictors for HBsAg loss (Table 3).
Table 3.
Predictors for VR, CR and HBsAg loss in patients by multivariable logistic regression
| Variable | VR | CR | HBsAg loss | |||
|---|---|---|---|---|---|---|
| OR (95% CI) | p value | OR (95% CI) | p value | OR (95% CI) | p value | |
| Age (< 40 vs ≥ 40 y) | 2.218 (0.812–5.581) | 0.125 | 1.640 (0.225–4.818) | 0.402 | 0.867 (0.809–0.928) | < 0.001 |
| Gender (male vs female) | 1.827 (0.795–4.197) | 0.156 | 2.203 (0.797–6.092) | 0.128 | 0.172 (0.028–1.039) | 0.050 |
| Treatment duration (< 6 vs ≥ 6 y) | 1.001 (0.984–1.019) | 0.884 | 1.006 (0.982–1.030) | 0.636 | 1.005 (0.976–1.035) | 0.721 |
| Consolidation treatment duration (< 5 vs ≥ 5 y) | 1.994 (0.970–4.019) | 0.652 | 0.988 (0.957–1.019) | 0.435 | 0.996 (0.958–1.036) | 0.843 |
| HBV DNA before antiviral treatment initiation, log10 IU/mL | 1.367 (0.952–1.963) | 0.091 | 1.314 (0.845–2.046) | 0.226 | 0.886 (0.466–1.683) | 0.712 |
| EOT HBsAg (≥ 2 vs < 2 log10 IU/mL) | 6.686 (1.703–26.255) | 0.006 | 4.537 (0.542–38.002) | 0.163 | 0.025 (0.005–0.134) | < 0.001 |
| EOT HBV RNA (positive vs negative) | 3.453 (1.387–8.597) | 0.008 | 4.782 (1.968–11.621) | 0.001 | 0.416 (0.036–4.827) | 0.483 |
| EOT HBcrAg (≥ 4 vs < 4 log U/mL) | 3.702 (1.614–8.488) | 0.002 | 2.230 (0.932–5.331) | 0.071 | 0.856 (0.117–6.237) | 0.878 |
Note: consolidation treatment duration was defined as the treatment duration after achieving hepatitis B e antigen seroconversion
VR virological relapse, CR clinical relapse, EOT end of treatment, OR odds ratio, 95% CI confidence interval
To further assess the value of EOT HBsAg, HBV RNA, HBcrAg and their combination in predicting VR, the area under the receiver-operating characteristic (AUROC) values of each parameter were calculated. The results showed that the AUROC value of the EOT HBsAg < 100 IU/mL plus EOT HBV RNA negative was 0.698 (p < 0.001), which was higher than other parameters alone or combinations (HBV RNA 0.656, p = 0.001, HBcrAg 0.616, p = 0.018, HBsAg plus HBcrAg 0.609, p = 0.027, HBV RNA plus HBcrAg 0.631, p = 0.008, HBsAg plus HBV RNA plus HBcrAg 0.616, p = 0.018, Fig. 4).
Fig. 4.
Area under the receiver-operating characteristic curves (AUROC) of end of treatment (EOT) hepatitis B surface antigen (HBsAg), hepatitis B virus (HBV) RNA, hepatitis B core-related antigen (HBcrAg) and their combination for predicting virological relapse in the cohort
Discussion
This prospective multicenter cohort study, including initially HBeAg-positive CHB patients who discontinued NAs treatment, found that the 12 month cumulative rates of VR, CR, HBeAg reversion and HBsAg loss were 38.8, 15.1, 8.6 and 4.3%, respectively, and the corresponding 24 month cumulative rates were 50.4, 24.5, 11.5 and 9.4%, respectively. We explored the predicting factors for safely off-treatment, especially the EOT HBsAg, HBV RNA and HBcrAg. The results showed that the combination of EOT HBsAg and HBV RNA was better for successful NAs cessation.
In our study, after a median treatment duration of 6.4 years and consolidation treatment duration of 4 years, half of patients experienced VR within 24 months after NAs cessation. The majority of VR and CR occurred within 12 months, especially between 6 and 9 months after NAs cessation. On the other hand, 4.3 and 9.4% of patients had HBsAg loss at the 12 and 24 months after end of treatment, respectively. These results suggested that safely NAs cessation might be feasible in some patients, which need a close monitoring, especially the first 12 months, during EOT follow-up. Remarkable variations of VR rates across previous studies were found, since variations of the study design (prospective or retrospective), NAs stopping rule, duration of NAs treatment and off-NAs follow-up, duration of virological response before NAs cessation, definition of VR, and other clinical factors.
Because of the stability of cccDNA in the hepatic nuclei and the difficulty of eradicating it by NAs, a high rate of VR was observed in patients after NAs cessation. Identifying the useful factors to predict VR after NAs cessation remained to be a challenge for CHB patients management. In previous studies, some factors were associated with VR after treatment cessation, including age, gender, baseline ALT, baseline HBV DNA, treatment duration and consolidated therapy duration [8, 11, 21, 22]. However, the results of this study showed no relationship between these factors and EOT VR. Obviously, there are some discrepancies among current studies, as to these parameters are not practical for determining when to stop antiviral therapy.
Considering the correlation between serum HBV RNA and intrahepatic pregenomic RNA [23], HBV RNA was suggested as a serum marker for elimination or transcriptional silencing of cccDNA [24]. After long-term NAs treatment, reverse transcription is blocked by NAs, leading to undetectable blood HBV DNA. Since serum HBV RNA becoming the predominant type of HBV virion produced, a positive HBV RNA can be indicative of continued viral transcriptional activity [23]. Several studies researched the value of serum HBV RNA for the safe NAs cessation [17, 23]. Wang et al. [17] found that all EOT serum HBV RNA positive patients (21/21) occurred VR, whereas VR only occurred in 25% (3/12) of EOT serum HBV RNA negative patients during the 24 weeks off treatment (p < 0.01). Meanwhile, some studies reported no difference between patients with and without off-treatment VR in the EOT HBV RNA level [25, 26]. The results of this study showed patients without VR had more frequently negative HBV RNA (55.7 vs 87%, p < 0.001). When cumulative rates of VR were stratified by EOT HBV RNA, patients with negative EOT HBV RNA had significantly lower rate of VR (39.4 vs 77.5%, p < 0.001, Fig. 1C). In the multivariable logistic regression analysis, EOT HBV RNA positive (OR 3.453, 95% CI 1.387–8.597, p = 0.008) was found to be independently significant in predicting the risk of VR. All of the above results support the predictive value of HBV RNA for safe NAs cessation in initially HBeAg-positive patients. Meanwhile, automated and high-throughput methods for HBV RNA detection facilitate the expanded use of this marker in clinical practice.
The results of Jung et al. study [22] found that an EOT HBcrAg level > 3.7 log10 IU/mL predicted VR in one year after NAs cessation. The Japan Society of Hepatology divided patients with HBcrAg < 3 log10 U/mL and HBsAg < 80 IU/mL into low risk group, for which NAs cessation may be considered, with predicted success rate 80–90% [27]. In the present study, patients without VR had lower EOT HBcrAg levels (median, 4 vs 3.5 logU/mL, p < 0.001). when cumulative rates of VR were stratified by EOT HBcrAg level, the cumulative incidence of VR was significantly lower in patients with lower HBcrAg levels (< 4 log U/mL) than in those with higher HBcrAg levels (≥ 4 log U/mL) (36.3 vs 74.5%, p < 0.001, Fig. 1D). In the multivariable logistic regression analysis, EOT HBcrAg ≥ 4 logU/mL (OR 3.702, 95% CI 1.614–8.488, p = 0.002, Table 3) was found to be independently significant in predicting the risk of VR. All the above results confirmed the value of EOT HBcrAg for safe NAs cessation. However, the role of HBcrAg may be limited by the relative insensitive lower limit of quantitation, i.e. 1 KU/mL in which a large proportion (42.1%) of patients with HBeAg-negative CHB would be tested negative [28].
Quantification of serum HBsAg is pivotal in the management CHB. The results of studies showed that lower EOT HBsAg levels predict off-treatment durability. An EOT HBsAg level < 100 IU/mL is verified to be good value for NAs cessation in both HBeAg-positive and HBeAg-negative CHB patients [13]. In this study, when cumulative rates of VR were stratified by EOT HBsAg level, the 24 months off-treatment cumulative incidence of VR in EOT HBsAg < 100 IU/mL was 13.6%, but in EOT HBsAg < 1000 IU/mL was 36.6%. We also confirmed that the EOT HBsAg level is an independent predictor for safe NAs cessation in HBeAg-positive CHB patients by multivariable logistic regression analysis.
It is known that HBsAg loss is the ultimate goal of CHB treatment, but it is too difficult to achieve. Recently, some studies reported that HBsAg clearance after NAs discontinuation because of the host immune activation [10, 11]. In this study, 24 month rate of HBsAg loss was high and most of these patients had EOT HBsAg level < 100 IU/mL. For patients with EOT HBsAg level < 100 IU/mL, a recent study reported a higher 5 year rate of HBsAg loss (47%) [29]. Yao et al. reported the 6 year cumulative rate of HBsAg loss was 61.2% in 74 HBeAg-negative patients [11]. Another study found that rates of HBsAg loss at 3 years after NAs cessation were 9 and 14% in HBeAg-positive and HBeAg-negative patients respectively [6]. Because NAs do not have direct immunomodulatory effect, HBsAg loss is rare during NAs treatment. During the long period of HBV suppression by NA treatment, the host immune mechanisms react effectively to the resumed HBV replication. But the immune system needs to be re-exposed to the replicating virus to occur immune clearance. Therefore, NAs cessation might more often lead to HBsAg loss than maintaining NAs treatment.
Recently more studies focused on combining these serum HBV markers to predict safe NAs cessation [18, 22, 25, 30]. In this study, we successively combined EOT HBsAg and HBV RNA, EOT HBsAg and HBcrAg, EOT HBV RNA and HBcrAg, and EOT HBsAg, HBV RNA and HBcrAg to stratify the off-treatment VR rates. Results showed that patients with EOT HBsAg < 100 IU/mL plus EOT negative HBV RNA had the lowest 24 month VR rate (5%, Fig. 1E). Meanwhile, the AUROC value of the EOT HBsAg < 100 IU/mL plus EOT HBV RNA negative was the highest (0.698, p < 0.001) to predict VR. Because of the significant high off-treatment VR, NAs cessation is suitable only for a small and selected patients. Based on the above results, we proposed that patients with EOT HBsAg < 100 IU/mL and EOT negative HBV RNA could try to end of NAs treatment, as lower rate of VR during the 24 month follow-up after NAs cessation.
Liver cirrhosis and HCC development may be a concern after NAs cessation. However, due to the short duration of follow-up after NAs cessation in most studies, the data on the occurrence of cirrhosis and HCC are particularly scarce. In Jeng’s study, they reported 21/691 patients developed HCC at a median of 2.04 (0.18–6.73) years after EOT. The annual incidence, 3 and 6 year cumulative incidence was 0.69, 2 and 4% (0.15, 1 and 1% for noncirrhotic patients, 1.3, 4 and 9% for cirrhotic patients), respectively [11]. The incidence rate was not higher than that during treatment of the patients with or without cirrhosis [31]. For the same reason, too few data to analyse the factors related to progression to liver cirrhosis and HCC in CHB patients after NAs cessation. Long-term follow-up studies are needed to determine the risk of liver cirrhosis and HCC development after NAs cessation.
There are some strengths in our study. First, this is a prospective multicenter cohort with comprehensive data collection, increasing the reliability of the results. Second, most studies only provide results of EOT HBV RNA and HBcrAg, in contrast, we supplied serial results of HBV RNA and HBcrAg at each 3 months after NAs cessation, making the consecutive data for analysis. Third, one important reason for the heterogeneity of studies is the difference in NAs withdrawal criteria. Although few studies used the criteria of Asian-Pacific Association for the Study of the Liver (APASL) [22], this study used the Chinese NAs cessation criteria, which limited longer treatment time and consolidation treatment time, so as to provide more research data for discussing different NAs withdrawal criteria. To date, none of the previous studies investigated the role of the Chinese stopping rule in a CHB cohort. Nonetheless, there are some limitations. First, all patients included were initially HBeAg positive. Whether the study results could apply to initially HBeAg-negative patients need further investigation. Second, since enrolled patients with undetectable HBV DNA, we did not get HBV genotype result. Although prior studies including Asian patients with genotype B or C did not find HBV genotype to be associated with off-treatment relapse [12].
In conclusion, the results of this study suggested NAs cessation is suitable only for a small and selected patients. Serum HBV markers will be helpful for selecting optimal candidates to stop NAs treatment. An EOT HBsAg < 100 IU/mL and EOT negative HBV RNA identified a patient with low risk of off-therapy rebound, facilitating the risk stratification of off-therapy relapse.
Acknowledgements
We are grateful to Dr. Xiajie Wen for her help in statistical analysis methods.
Abbreviations
- ALT
Alanine aminotransferase
- cccDNA
Covalently closed circular DNA
- CHB
Chronic hepatitis B
- CI
Confidence interval
- CR
Clinical relapse
- EOT
End of treatment
- HBcrAg
Hepatitis B core-related antigen
- HBeAg
Hepatitis B e antigen
- HBV
Hepatitis B virus
- HBsAg
Hepatitis B surface antigen
- HCC
Hepatocellular carcinoma
- NAs
Nucleos(t)ide analogues
- OR
Odds ratio
- pgRNA
Pregenomic RNA
- VR
Virological relapse
Author contributions
Conceptualisation: BF, MHL and SJZ. Methodology: XYD, MHL and SJZ. Formal analysis: YDX. Investigation: BF, MHL, YJG and YMN. Resources: YDX, MHL, XJO, SJZ, YJG, XYX, YY, ALM, JL, YH, YMN, HWZ and BF. Writing (original draft preparation): YDX. Writing (review and editing): MHL and BF. Funding acquisition: YDX and BF.
Funding
The work was supported by the National Major Science and Technology Project of China (No. 2017ZX10302201-004–001, No. 2017ZX10203202-003), Beijing Municipal Science and Technology Commission of Major Projects (No. D161100002716002), National Natural Science Foundation of China (No. 82000557) and the Peking University People’s Hospital Research and Development Funds (RDY2020-12).
Declarations
Conflicts of interest
The authors report no conflict of interest.
Footnotes
Publisher's Note
Springer Nature remains neutral with regard to jurisdictional claims in published maps and institutional affiliations.
References
- 1.Indolfi G, Easterbrook P, Dusheiko G, et al. Hepatitis B virus infection in children and adolescents. The Lancet Gastroenterol Hepatol. 2019;4:466–476. doi: 10.1016/S2468-1253(19)30042-1. [DOI] [PubMed] [Google Scholar]
- 2.Honer ZSC, Rinker F, Maasoumy B, et al. Viral and host responses after stopping long-term nucleos(t)ide analogue therapy in HBeAg-negative chronic hepatitis B. J Infect Dis. 2016;214:1492–1497. doi: 10.1093/infdis/jiw412. [DOI] [PubMed] [Google Scholar]
- 3.Gill US, Zissimopoulos A, Al-Shamma S, et al. Assessment of bone mineral density in tenofovir-treated patients with chronic hepatitis B: can the fracture risk assessment tool identify those at greatest risk? J Infect Dis. 2015;211:374–382. doi: 10.1093/infdis/jiu471. [DOI] [PubMed] [Google Scholar]
- 4.Chaung KT, Ha NB, Trinh HN, et al. High frequency of recurrent viremia after hepatitis B e antigen seroconversion and consolidation therapy. J Clin Gastroenterol. 2012;46:865–870. doi: 10.1097/MCG.0b013e31825ceed9. [DOI] [PubMed] [Google Scholar]
- 5.Seto WK, Hui AJ, Wong VW, et al. Treatment cessation of entecavir in Asian patients with hepatitis B e antigen negative chronic hepatitis B: a multicentre prospective study. Gut. 2015;64:667–672. doi: 10.1136/gutjnl-2014-307237. [DOI] [PubMed] [Google Scholar]
- 6.Chi H, Hansen BE, Yim C, et al. Reduced risk of relapse after long-term nucleos(t)ide analogue consolidation therapy for chronic hepatitis B. Aliment Pharmacol Ther. 2015;41:867–876. doi: 10.1111/apt.13150. [DOI] [PubMed] [Google Scholar]
- 7.Hadziyannis SJ, Sevastianos V, Rapti I, et al. Sustained responses and loss of HBsAg in HBeAg-negative patients with chronic hepatitis B who stop long-term treatment with adefovir. Gastroenterology. 2012;143:629–636. doi: 10.1053/j.gastro.2012.05.039. [DOI] [PubMed] [Google Scholar]
- 8.Chen CH, Hung CH, Hu TH, et al. association between level of hepatitis B surface antigen and relapse after entecavir therapy for chronic hepatitis B virus infection. Clin Gastroenterol Hepatol. 2015;13:1984–1992. doi: 10.1016/j.cgh.2015.06.002. [DOI] [PubMed] [Google Scholar]
- 9.Papatheodoridis G, Vlachogiannakos I, Cholongitas E, et al. Discontinuation of oral antivirals in chronic hepatitis B: a systematic review. Hepatology. 2016;63:1481–1492. doi: 10.1002/hep.28438. [DOI] [PubMed] [Google Scholar]
- 10.Berg T, Simon K, Mauss S, et al. Long-term response after stopping tenofovir disoproxil fumarate in non-cirrhotic HBeAg-negative patients–FINITE study. J Hepatol. 2017;67:918–924. doi: 10.1016/j.jhep.2017.07.012. [DOI] [PubMed] [Google Scholar]
- 11.Jeng WJ, Chen YC, Chien RN, et al. Incidence and predictors of hepatitis B surface antigen seroclearance after cessation of nucleos(t)ide analogue therapy in hepatitis B e antigen-negative chronic hepatitis B. Hepatology. 2018;68:425–434. doi: 10.1002/hep.29640. [DOI] [PubMed] [Google Scholar]
- 12.Wang CC, Tseng KC, Hsieh TY, et al. Assessing the durability of entecavir-treated hepatitis B using quantitative HBsAg. Am J Gastroenterol. 2016;111:1286–1294. doi: 10.1038/ajg.2016.109. [DOI] [PubMed] [Google Scholar]
- 13.Liu J, Li T, Zhang L, et al. The role of hepatitis B surface antigen in nucleos(t)ide analogues cessation among asian patients with chronic hepatitis B: a systematic review. Hepatology. 2019;70:1045–1055. doi: 10.1002/hep.30474. [DOI] [PubMed] [Google Scholar]
- 14.Werle-Lapostolle B, Bowden S, Locarnini S, et al. Persistence of cccDNA during the natural history of chronic hepatitis B and decline during adefovir dipivoxil therapy. Gastroenterology. 2004;126:1750–1758. doi: 10.1053/j.gastro.2004.03.018. [DOI] [PubMed] [Google Scholar]
- 15.Mak LY, Seto WK, Fung J, et al. New biomarkers of chronic hepatitis B. Gut Liver. 2019;13:589–595. doi: 10.5009/gnl18425. [DOI] [PMC free article] [PubMed] [Google Scholar]
- 16.Butler EK, Gersch J, McNamara A, et al. Hepatitis B virus serum DNA and RNA Levels in nucleos(t)ide analog-treated or untreated patients during chronic and acute infection. Hepatology. 2018;68:2106–2117. doi: 10.1002/hep.30082. [DOI] [PubMed] [Google Scholar]
- 17.Wang J, Shen T, Huang X, et al. Serum hepatitis B virus RNA is encapsidated pregenome RNA that may be associated with persistence of viral infection and rebound. J Hepatol. 2016;65:700–710. doi: 10.1016/j.jhep.2016.05.029. [DOI] [PubMed] [Google Scholar]
- 18.Fan R, Zhou B, Xu M, et al. Association between negative results from tests for HBV DNA and RNA and durability of response after discontinuation of nucles(t)ide analogue therapy. Clin Gastroenterol Hepatol. 2020;18:719–727. doi: 10.1016/j.cgh.2019.07.046. [DOI] [PubMed] [Google Scholar]
- 19.Mak LY, Wong DK, Cheung KS, et al. Review article: hepatitis B core-related antigen (HBcrAg): an emerging marker for chronic hepatitis B virus infection. Aliment Pharmacol Ther. 2018;47:43–54. doi: 10.1111/apt.14376. [DOI] [PubMed] [Google Scholar]
- 20.Chinese Society of Hepatology and Chinese Society of Infectious Diseases. Chinese Medical Association The guideline of prevention and treatment for chronic hepatitis B: a 2015 update. Zhonghua Gan Zang Bing Za Zhi. 2015 doi: 10.3760/cma.j.issn.1007-3418.2015.12.002. [DOI] [PMC free article] [PubMed] [Google Scholar]
- 21.Hsu Y, Nguyen MH, Mo L, et al. Combining hepatitis B core-related and surface antigens at end of nucleos(t)ide analogue treatment to predict off-therapy relapse risk. Aliment Pharmacol Ther. 2019;49:107–115. doi: 10.1111/apt.15058. [DOI] [PubMed] [Google Scholar]
- 22.Jung KS, Park JY, Chon YE, et al. Clinical outcomes and predictors for relapse after cessation of oral antiviral treatment in chronic hepatitis B patients. J Gastroenterol. 2016;51:830–839. doi: 10.1007/s00535-015-1153-1. [DOI] [PubMed] [Google Scholar]
- 23.Wang J, Yu Y, Li G, et al. Relationship between serum HBV-RNA levels and intrahepatic viral as well as histologic activity markers in entecavir-treated patients. J Hepatol. 2017;S0168–8278(17):32261–32264. doi: 10.1016/j.jhep.2017.08.021. [DOI] [PubMed] [Google Scholar]
- 24.Giersch K, Allweiss L, Volz T, et al. Serum HBV pgRNA as a clinical marker for cccDNA activity. J Hepatol. 2017;66:460–462. doi: 10.1016/j.jhep.2016.09.028. [DOI] [PubMed] [Google Scholar]
- 25.Liu Y, Xue J, Liao W, et al. Serum HBV RNA dynamic and drug withdrawal predictor value in patients with chronic HBV infection on long-term nucleos(t)ide analogue (NA) therapy. J Clin Gastroenterol. 2020;54:e73–82. doi: 10.1097/MCG.0000000000001376. [DOI] [PMC free article] [PubMed] [Google Scholar]
- 26.Tsuge M, Murakami E, Imamura M, et al. Serum HBV RNA and HBeAg are useful markers for the safe discontinuation of nucleotide analogue treatments in chronic hepatitis B patients. J Gastroenterol. 2013;48:1188–1204. doi: 10.1007/s00535-012-0737-2. [DOI] [PubMed] [Google Scholar]
- 27.Drafting committee for hepatitis management guidelines and the Japan Society of Hepatology JSH guidelines for the management of hepatitis B virus infection. Hepatol Res. 2014;44(1):1–58. doi: 10.1111/hepr.12269. [DOI] [PubMed] [Google Scholar]
- 28.Mak LY, Seto WK, Fung J, et al. Use of HBsAg quantification in the natural history and treatment of chronic hepatitis B. Hepatol Int. 2020;14:35–46. doi: 10.1007/s12072-019-09998-5. [DOI] [PubMed] [Google Scholar]
- 29.Tseng TN, Hu TH, Wang JH, et al. Incidence and factors associated with HBV Relapse of after cessation entecavir or tenofovir in patients With HBsAg Below 100 IU/mL. Clin Gastroenterol Hepatol. 2020;18:2803–2812. doi: 10.1016/j.cgh.2020.04.037. [DOI] [PubMed] [Google Scholar]
- 30.Carey I, Gersch J, Wang B, et al. Pregenomic HBV RNA and hepatitis B Core-related antigen predict outcomes in hepatitis B e antigen-negative chronic hepatitis B patients suppressed on nucleos(t)ide analogue therapy. Hepatology. 2020;72:42–57. doi: 10.1002/hep.31026. [DOI] [PubMed] [Google Scholar]
- 31.Raffetti E, Fattovich G, Donato F. Incidence of hepatocellular carcinoma in untreated subjects with chronic hepatitis B: a systematic review and meta-analysis. Liver Int. 2016;36:1239–1251. doi: 10.1111/liv.13142. [DOI] [PubMed] [Google Scholar]





