Abstract
COVID-19 is a new communicable disease with a widespread outbreak that affects all populations worldwide triggering a rush of scientific interest in coronavirus research globally. In silico molecular docking experiment was utilized to determine interactions of available compounds with SARS-CoV-2 and angiotensin-converting enzyme 2 (ACE2) complex. Chimera and AutoDock Vina were used for protein–ligand interaction structural analysis. Ligands were chosen based on the known characteristics and indications of the drugs as ACE inhibitors (captopril, enalapril, quinapril, moexipril, benazepril, ramipril, perindopril, zofenopril, fosinopril), as ACE2 blockers (losartan, olmesartan), as blood thinning agent (clopidogrel), as cholesterol-lowering prescriptions (simvastatin, atorvastatin), repurposed medications (dexamethasone, hydroxychloroquine, chloroquine), and as investigational drug (remdesivir). Experimental ACE/ACE2 inhibitors are also included: Sigma ACEI, N-(2-aminoethyl)-1-aziridine-ethanamine (NAAE), nicotianamine (NAM), and MLN-4760 (ACE2 inhibitor). The best docked conformations were all located in the ACE2 protein, 50% docked at the interface with lower scores and only clopidogrel and hydroxychloroquine docked at the spike protein. Captopril, moexipril, benazepril, fosinopril, losartan, remdesivir, Sigma ACEI, NAA, and NAM interacted and docked at the interface of ACE2 and SARS-CoV-2 spike protein complex. This may have significant implication in enhancing our understanding of the mechanism to hinder viral entry into the host organism during infection.
Supplementary Information
The online version contains supplementary material available at 10.1007/s40203-021-00114-w.
Keywords: COVID-19, ACE2-SARS-CoV-2 spike protein complex, ACE2 ligands, Molecular modeling
Introduction
The current outbreak of COVID-19 (Coronavirus Infectious Disease 2019) caused by the novel coronavirus SARS-CoV-2 (severe acute respiratory syndrome coronavirus 2) has posed an urgent need to address a devastating global pandemic. Preventive vaccines have been developed with surprising speed and are now available to the public to curtail the spread of COVID-19 providing a sense of normalcy to the general public (Teijaro and Farber 2021; Forni and Farber 2021; Hodgson 2021). However, the emergence of variants to the virus coupled with the global pervasiveness of viral infections is a cause for concern and could limit vaccine efficiency. The lack of effective antiviral medications against the coronavirus compel the identification of drug treatment options as a critical factor to diminish the effects of the COVID-19 pandemic and potential future outbreaks.
The pathogen SARS-CoV-2 causes acute respiratory infection with common symptoms of fever, dry cough, sore throat, fatigue, headache, hemoptysis, vomiting, and diarrhea (Sheeren et al. 2020; Wy et al. 2020; El-Aziz and Stockand 2020). Severe conditions include shortness of breath, moist rales in the lungs, weakened breath sounds or tactile speech tremor leading to complications such as bacterial infections, pneumonia, respiratory distress, and acute heart injury that could be fatal (Poolanda et al. 2020; Peng et al. 2020). As of July 27, 2021 a year after WHO (World Health Organization) declared COVID-19 as a global pandemic, the number of positive cases in the US is 34,589,719 with 611,251 fatalities (https://coronavirus.jhu.edu.map.html). The extremely contagious nature and the rapid spread of COVID-19 prompted scientists, researchers and medical doctors to frantically and endlessly work to find a cure to slow down or mitigate proliferation of the infection.
Coronaviruses are grouped into four classes: alpha (α), beta (β), gamma (γ) and delta (δ), based on serological pattern. SARS-CoV-2 is a beta coronavirus believed to have its origin from bats and is capable of infecting both animals and humans (Zhou et al. 2020). The cross-species barrier jumps from their natural animal hosts allowed the CoVs to exhibit as virulent zoonotic pathogens in humans. SARS-CoV-2 has a structural spike (S) protein (outer spiky glycoprotein), membrane (M) protein (a transmembrane glycoprotein), envelope (E) protein (small integral protein), and a nucleocapsid (N) protein (which is within the phospholipid bilayer holding the viral genome). The viral genome is relatively large containing approximately 26–32 kb pairs (Schoeman and Fielding 2019). The novel coronavirus is an enveloped positive-sense single-stranded RNA virus that shares 82 and 89% nucleotide identity with the human SARS-CoV-1 and the bat SARS-like CoVZXC21, respectively (Chan et al. 2019). The previous SARS-CoV-1 is also caused by zoonotic coronaviruses that started as an outbreak in China in 2002 ending in 2003 affecting 37 countries. Human-to-human transmission through airborne droplets or direct contact is the possible cause of the virus outbreak in 2019 (Li et al. 2020a; Kaul 2020).
Currently, vaccinations are in full speed globally. However, no current antiviral medication has been demonstrated against COVID-19. Health-care providers utilize oxygen therapy, endotracheal intubation and mechanical ventilation to treat symptoms for severe infection that can lead to multiple organ failure. Additional treatments include research and repurposed drugs to alleviate the effects of this infectious disease (Fan et al. 2020; Sanders et al. 2020; Kakodkar et al. 2020; Martinez 2020; Kumar et al. 2020; WHO Solidarity Trial Consortium 2021). The elderly and populations with underlying illness are at high risk and fatalities are still on the rise due to development of variants that can cause more lethal effects than the original strain. Viruses are here to stay, and will become a part of our lives. Thus, the urgent need to vigorously develop antiviral therapeutics specifically for COVID-19 cannot be overstated to save humanity and get back to a state of normalcy.
Studies have shown that the novel coronavirus and related coronaviruses interact directly via their spike S proteins with angiotensin-converting enzyme-2 (ACE2), a host cell exopeptidase and metallocarboxypeptidase that catalyzes the conversion of angiotensin I to the nonapeptide angiotensin (1–9) and the conversion of angiotensin II to angiotensin (1–7) initiating spike protein-mediated viral entry (Hoffmann et al. 2020; Li et al. 2003). Studies indicated that SARS-CoV-2, as with the previous SARS-CoV-1, utilizes the ACE2 receptor to enter host organisms (Chen et al. 2020). Approximately 85% of alveolar epithelial type II cells are ACE2-expressing cells which explain the high concentration of COVID-19 viral infection in pneumocytes as demonstrated by immunostaining study (Zhang et al. 2020a). ACE2 (about 120 kDa) contains 4 parts: an N-terminal signal peptide, a C-terminal intracellular domain, a transmembrane domain, and a catalytic extracellular domain having a single metalloproteinase active site with a consensus HEXXH zinc-binding domain in which two histidine residues chelate a catalytic zinc ion (Warner et al. 2004). ACE2 is an essential component of the neuroendocrine renin-angiotensin-aldosterone system (RAAS) which function to maintain cardiovascular homeostasis, blood pressure regulation, electrolyte balance and proper organ function. ACE2-expressing cells also possess high levels of multiple genes closely related to viral assembly and viral replication (Li et al. 2020b). ACE2 is then a viable therapeutic target to block SARS-CoV-2 viral intrusion into host cells (Sivaraman et al. 2021; Yan et al. 2020a; Li et al. 2020c).
Potent non-peptide human ACE2 inhibitors including N-(2-aminoethyl)-1-aziridine-ethanamine (NAAE) (Huentelmann et al. 2004; Tong 2009), the phytochemical nicotianamine (NAM) (Takahashi et al. 2015), MLN-4760 (McKee et al. 2020), and small peptide angiotensin-converting enzyme inhibitor (Sigma ACEI) can block SARS-CoV S protein-induced cell-cell fusion by shifting spike-binding residues. Peptides effectively cleaved by ACE2 possess the amino acid proline at the penultimate position or a phenylalanine at the C-terminus. Thus, the ACE inhibitors (ACEI) captopril (Smith and Vane 2003; Erdös 2006), enalapril (Borek et al. 1987), quinapril (Kaplan et al. 1990; Cetnarowski-Cropp 1991), moexipril (Pines and Fisman 2003), benazepril (Li and Wanchun 1997), ramipril (Mills 1992), zofenopril (Borghi et al. 2004, 2017) and fosinopril (Murdoch and Fosinopril 1992; Duchin et al. 1991), and ACE2 blockers (ACE2B) (Danser et al. 2020) losartan (Johnston 1995; Ishiyama et al. 2004) and olmesartan (Wang et al. 2012) are composed of proline with phenyl moieties in their structures. Included are chloroquine and hydroxychloroquine (HQ), antimalarial and broad-spectrum antiviral drugs now being considered for COVID-19 (Tsitoura et al. 2020; Wang et al. 2020a). As weak bases and zinc ionophores (Gautret et al. 2020; Xue et al. 2014), chloroquine and HQ can change endosomal pH affecting fusion of viral proteins inhibiting viral entry and disrupting acidic hydrolases, which affect post-translational modification of synthesized proteins, and subsequently reduces ACE2 glycosylation obstructing spike protein binding into ACE2 receptors (Schrezenmeier and Dörner 2020; Vincent et al. 2005). Chloroquine and hydroxychloroquine can be considered fusion or ACE2 inhibitors. Statins, namely, simvastatin (Zocor) and atorvastatin (Lipitor), also known as HMG-CoA (β-hydroxy-β-methylglutaryl Coenzyme A) reductase inhibitors and cholesterol-lowering medications, have been shown to reduce mortality rates of COVID-19 patients (Dashti-Khavidaki and Hossein 2020; Lee et al. 2020; Wu et al. 2021). Clopidogrel is a blood-thinning remedy to prevent blood clots, and is now part of a randomized clinical trial that also includes atorvastatin to understand the role of cardioprotective medications in the management of COVID-19 disease (Library of Medicine (US) 2020).
In the in silico molecular modeling study presented here, 22 ligands were docked into a SARS-CoV-2 spike glycoprotein complexed with ACE2 transmembrane protein to determine their binding energies and the location of the highest score or binding affinity. These 22 ligands were chosen based on their current use for cardiovascular diseases and on a previous review study on candidate drugs that can be repurposed against SARS-CoV-2 (McKee et al. 2020).
Methods
3D structure of receptors and ligands
The 3D crystal structure of ACE2 receptor and SARS-CoV-2 spike S glycoprotein was obtained from the Protein Data Bank (PDB). PDB files [PDB ID:6LZG (Wang et al. 2020b) and PDB ID:6m0j (Lan et al. 2020)] were fetched into Chimera (Pettersen et al. 2004), and energy minimization of the proteins was performed. PDB ID:6LZG (https://www.rcsb.org/structure/6LZG) and PDB ID:6m0j (https://www.rcsb.org/structure/6M0J), which were deposited in February 2020, are both crystal structures of the original strain of the novel SARS-CoV-2 spike receptor-binding domain complexed with its receptor ACE2. Available toxicity data for the compounds or ligands utilized in this study are listed in Table S1 (Supporting Information). Except for NAAE and NAM, all compounds are commercially-available with certain restrictions especially for remdesivir. Ligands were built in ChemDraw and the corresponding SMILES code was used to generate a 3D structure stored as a pdb file. PDB files of both the proteins and the ligands were utilized in the docking experiment to determine the differences in the binding affinity.
Modeling of interaction of ligands with ACE2–SARS-CoV-2 spike protein complex
Molecular modeling was performed using open access software Chimera. The automated built-in engine AutoDock Vina contained a Surface/Binding Analysis Tool to screen for the composed docking library of the ligand to the receptor using a gradient optimization method to rank conformations with the highest score. Typical search volume size is about 62 × 73 × 114, the number of binding modes was set to 6, and the maximum energy difference is 3 kcal/mol. Scores with the lowest value (more negative) was referred to as the best docked structural pose, and the best interaction of the ligand to the protein. Ranking of the best binding was based on AutoDock Vina empirical scoring function which approximates the ligand binding affinity to the protein or enzyme in kcal/mol. Docking was repeated three times using either PDB ID:6M0J or PDB ID:6LZG, three highest scores were averaged and standard errors were calculated. Hydrogen bonding and other protein-ligand interactions were determined for the best scoring pose and for the docked conformation of the ligand located specifically at the interface, at the spike protein or at the ACE2 alone. H-bonding and other noncovalent interactions at approximately 2.5 Å from the ligand or residue were generated from the Structural Analysis Tool in AutoDock Vina.
Results and discussion
Structures of SARS-CoV-2 spike receptor-binding domain complexed with ACE2
There are 2 PDB file structures of the original strain of SARS-CoV-2 spike receptor-binding domain (RBD) bound to ACE2, namely, PDB ID:6M0J and PDB ID:6LZG, available online. Both contain 2 chains represented by 2 sequence unique entities (Fig. 1). A slight difference exists between these 2 structures. In 6M0J, the ACE2 A chain and the spike glycoprotein E chain contain 603 and 229 residues in length, respectively. However, in 6LZG, the ACE2 A chain and the spike glycoprotein B chain contain 596 and 209 residues in length, respectively. The secondary structure for both are similar: 6M0J for chain A has 62% helical (33 helices; 377 residues) and 3% beta sheets (9 strands; 24 residues), and for chain E has 14% helical (8 helices; 34 residues) and 24% beta sheets (17 strands; 55 residues); and, 6LZG for chain A has 62% helical (33 helices; 372 residues) and 4% beta sheets (9 strands; 24 residues), and for chain B has 14% helical (7 helices; 30 residues) and 26% beta sheets (17 strands; 56 residues). Subtle variation in the secondary structures in Chain A and Chain B/E are in residues 193 and in 66–71, respectively (see Figs. 2, 3). Difference in primary structure is mainly due to additional residues in 6M0J located at the end of the C termini in Chains A and E. The complete sequence and chain view for both structures are included in the Supporting Information Figs. S1–S2.
Fig. 1.

PDF files ID6M0J and ID6LZG retrieved from PDB website showing ACE2–SARS-CoV-2 spike protein complex. Blue refers to ACE2, and magenta refers to SARS-CoV-2 spike protein
Fig. 2.
Secondary structures of chain A in 6M0J and 6LZG
Fig. 3.
Secondary structures of chain E in 6M0J and chain B in 6LZG
Molecular docking of ligands into the SARS-CoV-2 spike protein and ACE2 complex
ACE2 is one of the key enzymes involved in the renin-angiotensin-aldosterone system (RAAS) which is a cascade of vasoactive proteins involved in human physiological processes. ACE2, which is located at and bound to the plasma membrane of the alveolar lung epithelia, renal tubular epithelium, testicular Leydig cells, and gastrointestinal tract, converts Ang II to Ang (1–7) and Ang I to Ang (1–9). Conversion of Ang II to Ang (1–7) terminates the Ang II-induced proinflammatory response. Consequentially, Ang II stimulates cellular internalization of ACE2 by endocytosis and its degradation in lysosomes. Thus, ACE2 is responsible for regulating and antagonizing Ang II mechanistic processes, while Ang II simultaneously reduces the expression of membrane-bound ACE2. The exact regulatory mechanism of ACE2–Ang II interaction towards a healthy equilibrium, rather than an exacerbation of inflammation, is still not fully understood (Deshotels et al. 2014).
Recent evidence provided new insights into the complexity of virus–host interactions. SARS-CoV-2 interacts with RAAS network through ACE2 which functions as SARS (SARS-CoV-1 and -2) viral entry point into the host organism. Initially, the spike S protein of SARS-CoV-2 is activated or primed by proteolytic cleavage with furin and Type II transmembrane serine protease (TMPRSS2) producing S1 (for receptor binding) and S2 (for membrane fusion) subunits of the S protein. The S1 subunit containing the RBD then attaches to the ACE2 causing endocytosis and translocation of both the virus and the enzyme into the intracellular endosomes. This ACE2-S protein interaction results in increased sheddase or ADAM17 (Adamylysin Metallopeptidase Domain 17) activity releasing or shedding the extracellular soluble ACE2 (sACE2) fragment. Enhanced host ACE2 receptor shedding contributes to loss of ACE2 function and reduces its availability on the cell surface leading to accumulation of Ang II followed by massive release of cytokines. This cytokine storm induces uncontrolled immune response and organ damage (Aleksova et al. 2021; Samavati and Uhal 2020). Thus, exposure to SARS-CoV2 has been associated with downregulation of ACE2 receptors, and the imbalance of RAAS-ACE2/Angiotensin axis leads to subsequent increase in Ang II resulting in inflammation, vasoconstriction, increase in blood pressure, acute lung injury and pulmonary edema (Ni et al. 2020; Mehta et al. 2020; Zhang et al. 2020b).
ACE2 inhibitors and Ang II receptor blockers (ARBs) are prescribed to treat patients with acute myocardial infarction, hypertension, heart failure and diabetes (Ponikowski et al. 2016). ACEI and ARB prevents ACE/Ang II pathway limiting Ang II production and increasing ACE2 expression. Concerns regarding the use of ACEIs and ARBs among COVID-19 adult patients and children have been raised based on the hypothesis that such medications may enhance ACE2 expression exacerbating viral infections (Sriram and Insel 2020; South et al. 2020). Results from BRACE clinical trial indicated treatment interruptions of ACEIs/ARBs did not positively affect survival rate of COVID-19 patients (Lopes et al. 2021). Additionally, studies in rats using the ACE2 inhibitor therapy (such as losartan) indicated increased plasma Ang II and the vasodilator heptapeptide angiotensin (1–7) levels, as well as cardiac ACE2 activity (Ferrario et al. 2005). Thus, the use of renin inhibitors, ACEIs and ARBs, and angiotensin (1–7) analogs may help regulate the RAAS pathway by increasing the angiotensin (1–7) levels (Gurwitz 2020; Offringa et al. 2020). Inhibition and blockage of virus-ACE2 interaction utilizing antiviral peptides or peptides mimicking human ACE2 using computational modeling studies can offer potential use in prophylactic or therapeutic tools to fight against COVID-19 (Vaduganathan et al. 2020; Karoyan et al. 2021; Rathod et al. 2020; Yang et al. 2020; Sakkiah et al. 2021; Han and Král 2020).
Despite the rapid vaccine development and mass vaccinations, the emergence of COVID-19 variants poses additional challenge and threat in this pandemic as the seemingly relentless virus is still wreaking havoc globally. During the early stages of the pandemic, the dominant variant referred to as the D614G was associated with high pathogenicity but without significant severity from its ancestral strain (Giovanetti et al. 2021). The genetic evolution of the COVID-19 virus was initially slow, but started to accelerate towards the end of 2020. Several variants of concerns (VOCs) have surfaced composed of the lineages B.1.1.7 (Alpha variant with 17 mutations initially detected in the United Kingdom), B.1.351 (Beta variant with 9 mutations as a result of the second wave of COVID-19 infections in South Africa), and B.1.1.28.1 (Gamma variant with 10 mutations originating from Brazil) (Aleem et al. 2021). All of these variants harbor mutations in the N-terminal and receptor-binding domains of the spike protein in which N501Y in the RBD is a common mutation to all variants (Bakhshandeh et al. 2021a, b; Walensky et al. 2021).
Viral mutation is associated with changes that may cause increased virulence or transmissibility, reduction in neutralization by antibodies obtained from vaccination or natural immunization or infection, and decreased effectiveness of vaccination or drug therapeutics. The Delta variant, also known as the B.1.617.2, is first detected in India during the devastating wave of viral infection in April-May 2021 (Vaidyanathan 2021; Callaway 2021). Delta variant, the current circulating dominant variant in the US and in some other countries at this time, seems to be 60% more transmissible than the Alpha variant (Aleem et al. 2021).
The point of entry for the ancestral strain for SARS-CoV-2 at the early phase of the pandemic and the various variants that emerged remains the same at this point. The viral particles of SARS-CoV-2 variant is still accessing the host organism via ACE2-mediated infection. Genomic studies have identified with high degree of accuracy mutations in the virus providing specific characteristics to the virus. Typically, viruses undergo numerous mutations but may not significantly alter their biological behavior and does not necessarily change the structure and components of the virus. Thus, it was hypothesized that current vaccine will still work against the SARS-CoV-2 variant, i.e. Alpha variant from UK (Conti et al. 2021).
Results from a mass immunization campaign conducted in Qatar indicated that the Pfizer-BioNTech (BNT162b2) and Moderna (mRNA1273) vaccines against COVID-19 have 95% and 94.1% efficacy, respectively (Abu-Raddad et al. 2021). A follow-up study demonstrated that the Moderna vaccine against the Alpha and Beta variants was 88.1 and 100% effective after the first and second dose, respectively (Chemaitelly et al. 2021). Recent data regarding vaccine effectiveness against the Delta variant suggested that BNT162b2 and ChAdOx1 nCoV-19 (Astra Zeneca AZD1222) vaccines after two doses are still effective against the variant (Bernal et al. 2021).
The Lambda variant first reported in Peru has recently emerged (lineage C.37). It is now classified as virus of interest (VOI) by WHO and is becoming widespread in South America and other countries. The Lambda spike protein contains L452Q and F490S mutations in the RBD, as the other previous variants, that may contribute to increased viral infectivity. Preliminary studies demonstrated that currently approved vaccines and antibody therapies can still protect against COVID-19 caused by the Lambda variant (Tada et al. 2021).
ACE inhibitors are one of the most widely prescribed medications for cardiovascular and chronic kidney diseases. Even though these drugs are considered to be relatively safe, administration of these drugs is monitored carefully by medical professionals for optimum treatment outcomes. In addition to efficacy, ACE inhibitors and blockers are particularly well tolerated because they produce few idiosyncratic side effects and do not have adverse side effects associated with glucose and lipid metabolism observed with diuretics or beta blockers (Izzo and Weir 2011; Taylor et al. 2011; Morales et al. 2021). The most common side effects of ACE inhibitors and blockers are cough, elevated blood potassium levels, low blood pressure, dizziness, headache, drowsiness, fatigue, abnormal taste (metallic or salty taste), rash, chest pain, increased uric acid levels, and sun sensitivity. The most serious, but rare, side effects of ACE inhibitors are allergic reactions, kidney failure, pancreatitis, liver dysfunction and swelling of tissues (angioedema) (Herman et al. 2020; Hill and Vaidya 2021).
In this context, molecular modeling remains relevant as a predictor to evaluate binding of ligands such as ACE inhibitors or other current medications as potential repurposed therapeutics to target proteins or enzymes involved during viral infection caused by the emerging variants (Xu et al. 2020; Nayak 2021; Suryamohan et al. 2021; Smith and Smith 2020; Acharya et al. 2020; Narkhede et al. 2020).
Binding affinity scores
ACE2 binds to the surface of the virus through the S protein. Investigation of the interaction of the receptor binding on the surface of the protein is important in fully understanding the mechanism of viral attachment and in designing drug therapeutics as potential inhibitors. Inhibition of spike-ACE2 protein–protein interaction using small molecules or peptides is the most logical and straightforward strategy to block viral cellular entry.
The spike glycoprotein construct plays a critical for the SARS-CoV2 viral entry and infection. The S-protein consists of 1273 residues containing 5 regions: receptor binding domain or RBD (residues 319–541), receptor binding motif or RBM (residues 437–508) that binds to ACE2, fusion peptide (residues 788–806), heptad repeat-1 (residues 920–970), and heptad repeat-2 (residues 1163–1202).
ACE2 has 2 extracellular domains consisting of the zinc metallopeptidase domain (residues 19–611) and the C-terminal domain (residues 612–740). Three regions of the zinc metallopeptidase domain consisted of residues positioned at 30–41, 82–84, and 353–357 (Yan et al. 2020b). Due to the availability of the binding domains of each structure in ACE2 and in spike glycoprotein, the affinity of the interaction of the whole complex can be measured by molecular modeling. Molecular dynamics simulation performed on the crystal structure of the SARS-CoV2 RBD bound to ACE2 (PDB code: 6M0J) demonstrated that the maximum number of hydrogen bonds was observed between the receptor binding motif of the spike and the residues located at 35–54 and 325–331 from ACE2 binding domain (Jafary et al. 2021). In silico computational approaches have been utilized in this regard as the first step to screen potential inhibitors such as small organic molecules, natural products, peptide mimics or miniproteins to block spike-ACE2 intermolecular interactions (Prashantha et al. 2021; Ribaudo et al. 2021; Schütz et al. 2020). Published PDB crystal structures were then extensively used by previous investigators to study and analyze spike S-glycoprotein and ACE2 receptor interactions (Day et al. 2021; Akachar et al. 2020).
For the computer simulation utilized in our study, H-bonds and other non-covalent interactions were analyzed to determine ligand–protein interactions. Table 1 shows docked conformations of ACE2-SARS-CoV2 S spike complex (PDB ID:6M0J) with representative ligands (Sigma ACEI, remdesivir, losartan, moexipril, hydroxychloroquine, and clopidogrel). The highest scoring binding affinities are listed in Table 2 determined for both PDB structural files 6M0J and 6LZG. The values are close to each other considering the fact that the only difference between these 2 protein structural complexes are the primary structures at the end of the C-terminus and an insignificant secondary structure close to the N-terminus of the E chain. These portions of the E chain were not observed to be positions at which the ligands prefer to dock.
Table 1.
Docked conformation of ACE2–SARS-CoV2 S spike complex (PDB ID:6M0J) with different ligands
| ACE inhibitor | Remdesivir | |
|---|---|---|
| Docked conformation |
|
|
| Structures |
|
|
| ΔG (kcal/mol) | − 9.4 ± 0.088 | − 8.0 ± 0.033 |
|
H bonding Ligand–protein |
C=O(4)–Arg403(E) |
NH2(1)–Lys417(E) OH(2)–His34(A) O(3)–Arg403(E) |
|
Other noncovalent interactions Ligand–protein |
OH (1)–Arg408(E) Pro(2)–Asp405/Glu406(E) Ile(3)–Ala387(A) Gln(4)–Asn33/Glu37(A Pro(5)–Pro389(A) Arg(6)–Gln409(E) Pro(7)–Tyr421(E) Trp(8)–Lys26/Gln96(A) |
Ph–Asn33(A) |
| Losartan | Moexipril | |
|---|---|---|
| Docked conformation |
|
|
| Structures |
|
|
| ΔG (kcal/mol) | − 7.6 ± 0.041 | − 7.1 ± 0.11 |
|
H bonding Ligand–protein |
N(1)–Lys417(E) |
O(1)–Asn33(A) O(3)–Arg403(E) O(5)–Arg408(E) OH(4)–Ala387(A) C=O(4)–Arg393(A) |
|
Other noncovalent interactions Ligand–protein |
Cyc(1)–Lys417 Ph2–Glu23(A) Ph3–Lys26(A) Alkyl(4)–Leu29/Val93/Gln96(A) |
Ph–His34(A)/Glu406(E) |
| Hydroxychloroquine | Clopidogrel | |
|---|---|---|
| Docked conformation |
|
|
| Structures |
|
|
| ΔG (kcal/mol) | − 6.3 ± 0.09 | − 5.8 ± 0.00 |
|
H bonding Ligand–protein |
NH(1)–Tyr385(A) | C=O–Gly339(E) |
|
Other noncovalent interactions Ligand–protein |
OH–Arg393(A) Pyr N–His378(A) N2–Arg393/Asp350(A) |
Cyc(amine)–Phe342/Leu368 E) Ph–Asp364/Phe338(E) Thiphenyl–Ser371/Val367(E) |
A refers to chain A designated as the ACE2 receptor (blue); E refers to the SARS-CoV-2 spike protein as chain E (magenta); Ph: phenyl or benzene ring; Pyr: pyridine; Cyc: cyclic chain
Table 2.
Highest scoring docked conformations of ACE2–SARS-CoV2 S spike glycoprotein complexed with different ligands
| Ligands | Molecular structure | ΔGa (kcal/mol) | ΔGb (kcal/mol) | H bonding Ligand–protein |
Non-covalent interactions Ligand–protein |
|
|---|---|---|---|---|---|---|
| ACE inhibitor (Sigma) |
|
− 10.0 ± 0.033 | − 9.2 ± 0.033 |
C=O(1)–Lys74(A) C=O(5)–Trp69(A) C=O(9)–Trp349(A) Arg(6)NH2–Met62(A) Arg(6)NH–Ser43(A) |
Pro(1)–Ser70(A) Pro(2)–Leu100(A) Ile(3)–Gln102(A) Pro(5)–Leu73(A) Pro(7)–Trp349(A) Trp(8)–Phe40/Tyr385(A) Cyc(10)-Ala348(A) |
|
| Remdesivir |
|
− 8.1 ± 0.15 | − 7.9 ± 0.070 |
NH2(1)–Glu398(A) NH(3)–Asp350(A) |
Alkyl(4)–Phe390/Phe40(A) Phe–Ser47(A) OH(2)–His378(A) |
|
| Hydoxychloroquine |
|
− 6.3 ± 0.09 | − 6.3 ± 0.22 | NH(1)–Tyr385(A) |
OH–Arg393(A) Pyr N–His378(A) N2–Arg393/Asp350(A) |
|
| Chloroquine |
|
− 6.1 ± 0.07 | − 6.1 ± 0.22 | NH(1)–Tyr385(A) |
OH–Arg393 Pyr N–His378(A) N2–Arg393/Asp350/Phe40(A) |
|
| Dexamethasone |
|
− 7.2 ± 0.00 | − 7.3 ± 0.00 | C=O(3)–Ser47/Trp349(A) |
OH(2)–Asp350(A) OH(3)–Asp382/Tyr385(A) |
|
| Losartan |
|
− 7.6 ± 0.19 | − 7.2 ± 0.088 | None |
OH–His378/Ala348(A) Het(1)–Asn394(A) Phe(2)–Phe40/Arg393(A) Alkyl(4)–Try349(A) |
|
| Olmesartan |
|
− 7.7 ± 0.033 | − 7.4 ± 0.033 |
N(1)–Asp350(A) C=O(6)–Ala348(A) |
Ph(2)–Trp349/Phe40(A) Alkyl(4)–Thr347(A) Cyc(7)–His401(A) |
|
| Atorvastatin |
|
− 8.1 ± 0.067 | − 8.0 ± 0.058 |
OH(3)–His378(A) OH(5)–Pro346(A) C=O()–Asp350(A) |
Ph(1)–Tyr385(A) Ph(F)–Trp349/Phe40(A) |
|
| Simvastatin |
|
− 6.5 ± 0.00 | − 6.7 ± 0.00 | OH–Asp382(A) |
Cyc(1)–Phe40(A) Cyc(2)–Trp69/Phe390(A) Cyc(3)–Asp350(A) |
|
| Clopidogrel |
|
− 6.9 ± 0.00 | − 6.7 ± 0.067 | None |
Ph(Cl)–Phe40(A) Thiphenyl–Asp350(A) |
|
| Quinapril |
|
− 8.4 ± 0.033 | − 8.1 ± 0.23 | C=O(3)–Gln98(A) |
O(1)–Gln102(A)/Tyr202(A) OH(4)–Leu95(A) Bn–Asn194(A) Fused Ph–Leu95/Lys562(A) |
|
| Ramepril |
|
− 7.7 ± 0.14 | − 8.0 ± 0.14 | C=O(2)–Lys441(A) |
Bn–Phe438/Pro415(A) OH(4)–Ser405/Leu370(A) Cp–Leu410(A) O(1)–Asp292(A) |
|
| Benazepril |
|
− 7.6 ± 0.10 | − 7.3 ± 0.27 | C=O(3)–Asp350(A) |
Fused Ph–Phe40/Trp349(A) C=O(2)–Arg393(A) Bn–Leu391(A) |
|
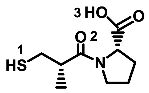
| Moexipril |
|
− 7.5 ± 0.00 | − 7.6 ± 0.088 |
C=O(2)–Try349 (A) C=O(4)–Try349(A) OH(4)–Asp350(A) |
O(5)–Ser47/Met62(A) Fused Ph–Phe40(A) Bn–Phe390(A) C=O(4)–Try349(A) EtO(1)–His378/His401(A) |
|
| Zofenopril |
|
− 7.4 ± 0.033 | − 7.6 ± 0.12 | None |
PhS–Ser47/Ser44(A) C=O(3)–Asn394(A) OH(4)–Tyr385(A) PhC=O(2)–Arg393(A) |
|
| Enalapril |
|
− 7.1 ± 0.20 | − 7.4 | C=O(2)–Lys441(A) |
Bn–Phe438/Ile291/Met366(A) OH(4)–Ser405/Leu370(A) Pyr–Leu410(A) O(1)–Asp292/Asp367(A) |
|
| Fosenopril |
|
− 7.3 ± 0.00 | − 7.5 ± 0.11 | P=O–Asp350(A) |
iPr–His401(A) Ph–Tyr385/Phe40(A) Cyc–Thr347Trp349(A) P=O–Asp382(A) |
|
| MLN-4760 |
|
− 6.9 ± 0.12 | − 7.3 ± 0.067 |
OH(1)–Ala348(A) NH(2)–Ala348(A) OH(3)–Asp340(A) |
iBut–His401(A) Ph–Asp350/Arg393(A) |
|
| Perindopril |
|
− 6.3 ± 0.00 | − 6.2 ± 0.15 | None |
OH(4)–Gln81/Asn103(A) C=O(3)–Gln98(A) Cyc–Leu95(A) O(1)–His195/Tyr196(A) |
|
| Nicotianamine (NAM) |
|
− 5.9 ± 0.088 | − 6.2 ± 0.14 |
C=O(5)–Trp566(A) OH(5)–Asn210(A) OH(1)–Gly205(A) NH(2)–Gly205(A) |
Cyc–Leu95(A) CycN–Lys562(A) NH(4)–Gln98(A) C=O(1)–Tyr196(A) |
|
| Captopril |
|
− 4.8 ± 0.00 | − 5.4 ± 0.033 | C=O(3)–Met270(A) |
SH–Thr276(A) Met–Phe274(A) OH(1)–Ala153(A) CycPro–Met270/Trp271(A) |
|
| N-(2-aminoethyl)-1-aziridine-ethanamine (NAAE) |
|
− 3.8 ± 0.12 | − 3.8 ± 0.033 | None |
Cyc–Glu435/Phe438(A) NH(2)–Ile291/Thr434(A) NH2(1)–Asn290/Asn437(A) |
|
ΔGa and ΔGb were determined using PDB ID:6M0J and PDB ID:6LZG, respectively. Ligand-protein interactions were derived from PDB ID:6M0J
A chain A or ACE2 receptor, E SARS-CoV-2 spike protein or chain E, Ph benzene ring, Pyr pyridine, Cyc cyclic chain, Bn benzyl ring, Cp cyclopentyl, Et ethyl, iPr isopropyl, iBut isobutyl
Table 2 also lists the structures of the ligands used in this study including the binding energies or docking scores and ligand–protein interactions (hydrogen bonding and other noncovalent interactions) determined from AutoDock Vina. The ligand–protein interactions of the superimposed ligand with the closest residues in the protein were determined using PDB ID: 6M0J. Both pdb files can be used and a very small variation of about 0–0.8 in the affinity scores was observed.
The highest scoring molecule is the ACE inhibitor (Sigma ACEI) commercially available from Sigma Aldrich (Cat #A0773). Remdesivir, hydroxychloquine, chloroquine and dexamethasone are therapeutics used for treatment or are being investigated against COVID-19. ACE2 blockers losartan and olmesartan are prescribed as high-blood pressure medications. Quinapril, benazepril, ramepril, moexipril, zofenopril, enalapril, fosinopril, perindopril and captopril are ACE inhibitors and used therapeutically as antihypertensive medications. MLN4760, nicotinanamine, and N-(2-aminoethyl)-1-aziridine-ethanamine (NAAE) were demonstrated to be ACE2 inhibitors in experimental in vitro cell-based assays (McKee et al. 2020).
Only 9 ligands, namely, Sigma ACEI, remdesivir, losartan, moexipril, benazepril, captopril, fosinopril, NAA, and NAM showed docked interaction at the interface of the ACE2-spike complex. This could be a significant observation as an indication that these ligands could potentially block viral entry into the host. Residues Arg403 and Lys417 in the spike protein appear to be involved in the H-bonding interaction with either a C=O, oxygen, or NH in Sigma ACEI, remdesivir, losartan and moexipril upon being bound at the interface of both proteins. The docked superimposed conformations at the interface for Sigma ACEI, remdesivir, losartan, moexipril, benazepril, captopril, fosinopril, NAAE, and NAM were not the highest scores for these ligands but are within the 6 binding modes set as a default during the experiment. Clopidogrel and hydroxychloroquine were the only ligands observed to also dock at the SARS-CoV-2 spike protein as shown in Table 1 and in Supporting Information Table S2, respectively. Hydroxychloroquine docked at the spike protein only when PDB ID:6LZG was used.
The binding affinities of the best docked conformations as listed in Table 2 are ranked in the order from highest to lowest:
Sigma ACEI > quinapril > remdesivir ~ atorvastatin > ramepril > olmesartan > losartan > benazepril > moexipril > zofenopril > fosinopril > dexamethasone > enalapril > clopidogrel ~ MLN4760 > simvastatin > perindopril ~ hydroxychloroquine > chloroquine > NAM > captopril > NAAE.
The binding affinities of the docked conformations at the interface of the SARS-CoV-2 spike protein and ACE2 are ranked in the order from highest to lowest (with the corresponding scores):
Sigma ACEI (− 9.4) > remdesivir (− 8.0) > losartan (− 7.6) > moexipril (− 7.1) > fosinopril ~ benazepril (− 6.9) > NAM (− 5.7) > captopril (− 4.6) > NAAE (− 3.5).
In general, the highest scoring conformations for all the ligands are shown with the ligands binding to the ACE2 (except for benazepril) and not to the spike protein nor at the interface using PDB ID:6M0J. Additional docked images for the ligands benazepril, fosinopril, quinapril, dexamethasone and atorvastatin are shown in Table S2 (Supporting Information).
Previous investigators have demonstrated the use of molecular docking in silico to study the interaction of 24 ligands with four SARS-CoV-2 receptors, namely, Nsp9 replicase, main protease (Mpro), NSP15 ribonuclease, and spike protein (S-protein) interacting with human ACE2 using several PDB database crystal structures (6W4B, 6Y84, 6VWW, and 2AJF) (Barros et al. 2020). In this study, the antimalarial drug Metaquine and anti-HIV drug Saquinavir interacted by hydrogen bonding and hydrophobic contacts with all the receptors suggesting their potential as candidate or repurposed drugs against COVID-19. The same study showed the calculated ΔG value of − 5.4 kcal/mol for hydroxychloroquine docked on the ACE2-spike complex comparable to ΔG value of − 6.3 kcal/mol determined in our modeling experiment. Another study using simulation technique to repurpose existing small molecules for potential COVID-19 therapeutics indicated that amongst the 37 molecules investigated (out of 61), HIV protease inhibitors and RNA-dependent RNA polymerase (RdRP) inhibitors showed promising features of binding to COVID-19 enzyme (Shah et al. 2020). In this in silico approach, the antiviral drug Methisazone (an inhibitor of mRNA and protein synthesis) and CGP42112A (an Ang AT2 receptor agonist) were suggested as COVID-19 treatment options based on the docking score (using protein crystal structure PDB ID: 5R81) of − 6.928 kcal/mole and − 7.521 kcal/mol for Methisazone and CGP42112A, respectively.
The aforementioned results from other investigators illustrated that docking scores obtained in our molecular modeling experiments are comparable, and can be used as the initial screening tool for potential drug therapeutics for COVID-19.
Protein–ligand interactions
Several hydrogen bonding interactions were observed between spike protein and ACE2 at the interface: Asp30(A)-Lys417(E), Gly354(A)-Gly502(E) and Glu37(A)-Tyr505(E). Tables 1 and 2 list the hydrogen bonding interaction of the docked ligands with the protein complex. Out of the 18 ligands tested, 4 did not exhibit hydrogen bonding interactions with either ACE2 or the spike protein.
Other noncovalent intermolecular interactions at the boundary of both proteins involve polar hydroxyl or carbonyl (C=O) groups with polar amino acid residues such as Arg, Asp and Glu in either proteins. Aromatic functionality and hydrophobic alkyl chains in the ligands are observed to interact also with aromatic Phe, Tyr, and His, and with hydrophobic Ala, Val, Leu and Ile side chains of either the spike protein or the ACE2 receptor, respectively.
Conclusion
Despite the plethora of potential inhibitors targeting every stage of the viral life processes, no effective drug has obtained approval for COVID-19 or SARS treatment. Current therapeutics provided by health-care personnel involves antiviral, antimalarial, anti-inflammatory, herbal medicines (Jan et al. 2021; Alrasheid et al. 2021), and active plasma antibodies (Nadeem et al. 2020; Vijayvargiya et al. 2020). The current global outbreak is a vivid reminder that new viruses will emerge and mutate, and infectious pathogens will resurface prompting active robust research approaches that must be implemented as countermeasures to save human lives (Fauci et al. 2020).
Results presented in this study indicated that available medications captopril, moexipril, benazepril, fosinopril, and losartan prescribed for other indications interacted at the interface of SARS-CoV-2 spike protein and ACE2 receptor. Remdesivir, Sigma ACEI, NAA, and NAM are investigational and research drugs that also exhibited interactions at the boundary of the 2 protein complex. These observations can be an important parameter to consider as a viral entry blockage. Molecular modeling techniques may provide valuable information to enhance our current understanding of available therapeutics to treat the viral outbreak the world faces in our current unprecedented times. Thus, as the entire world watches the continuous evolution of the virus shaped and controlled by natural selection, novel variants will emerge that are more resistant to the current vaccines which should prompt everyone to be vigilant.
Supplementary Information
Below is the link to the electronic supplementary material.
Acknowledgements
The author gratefully acknowledges Son Tai Lam for his technical assistance in computer modeling and in downloading all the necessary software needed for this project.
Footnotes
Publisher's Note
Springer Nature remains neutral with regard to jurisdictional claims in published maps and institutional affiliations.
References
- Abu-Raddad LJ, Chemaitelly H, Butt AA. Effectiveness of the BNT162b2 Covid-19 vaccine against the B.1.1.7 and B.1.351 variants. N Engl J Med. 2021;385:187–189. doi: 10.1056/NEJMc2104974. [DOI] [PMC free article] [PubMed] [Google Scholar]
- Acharya A, Agarwal R, Baker MB, Baudry J, Bhowmik D, Boehm S, Byler KG, Chen SY, Coates L, Cooper CJ, Demerdash O, Daidone I, Eblen JD, Ellingson S, Forli S, Glaser J, Gumbart JC, Gunnels J, Hernandez O, Irle S, Kneller DW, Kovalevsky A, Larkin J, Lawrence TJ, LeGrand S, Liu SH, Mitchell JC, Park G, Parks JM, Pavlova A, Petridis L, Poole D, Pouchard L, Ramanathan A, Rogers DM, Santos-Martins D, Scheinberg A, Sedova A, Shen Y, Smith JC, Smith MD, Soto C, Tsaris A, Thavappiragasam M, Tillack AF, Vermaas JV, Vuong VQ, Yin J, Yoo S, Zahran M, Zanetti-Polzi L. Supercomputer-based ensemble docking drug discovery pipeline with application to Covid-19. J Chem Inf Model. 2020;60(12):5832–5852. doi: 10.1021/acs.jcim.0c01010. [DOI] [PMC free article] [PubMed] [Google Scholar]
- Akachar J, Bouricha EM, Hakmi M, Belyamani L, Jaoudi RE, Ibrahimi A. Identifying epitopes for cluster of differentiation and design of new peptides inhibitors against human SARS-CoV-2 spike RBD by an in-silico approach. Heliyon. 2020;6(12):e05739. doi: 10.1016/j.heliyon.2020.e05739. [DOI] [PMC free article] [PubMed] [Google Scholar]
- Aleem A, Akbar Samad AB, Slenker AK (2021) Emerging variants of SARS-CoV-2 and novel therapeutics against coronavirus (COVID-19). 2021. In: StatPearls [Internet]. StatPearls Publishing, Treasure Island [PubMed]
- Aleksova A, Gagno G, Sinagra G, Beltrami AP, Janjusevic M, Ippolito G, Zumla A, Fluca AL, Ferro F. Effects of SARS-CoV-2 on cardiovascular system: the dual role of angiotensin-converting enzyme 2 (ACE2) as the virus receptor and homeostasis regulator-review. Int J Mol Sci. 2021;22(9):4526. doi: 10.3390/ijms22094526. [DOI] [PMC free article] [PubMed] [Google Scholar]
- Alrasheid AA, Babiker MY, Awad TA. Evaluation of certain medicinal plants compounds as new potential inhibitors of novel corona virus (COVID-19) using molecular docking analysis. In Silico Pharmacol. 2021;9(10):1–7. doi: 10.1007/s40203-020-00073-8. [DOI] [PMC free article] [PubMed] [Google Scholar]
- Bakhshandeh B, Jahanafrooz Z, Abbasi A, Goli MB, Sadeghi M, Mottaqi MS, Zamani M. Mutations in SARS-CoV-2; consequences in structure, function, and pathogenicity of the virus. Microb Pathog. 2021;154:104831. doi: 10.1016/j.micpath.2021.104831. [DOI] [PMC free article] [PubMed] [Google Scholar]
- Bakhshandeh B, Sorboni SG, Javanmard AR, Mottaghi SS, Mehrabi MR, Sorouri F, Abbasi A, Jahanafrooz Z. Variants in ACE2; potential influences on virus infection and COVID-19 severity. Infect Genet Evol. 2021;90:104773. doi: 10.1016/j.meegid.2021.104773. [DOI] [PMC free article] [PubMed] [Google Scholar]
- Barros RO, Junior FLCC, Pereira WS, Oliveira NMN, Ramos RM. Interaction of drug candidates with various SARS-CoV-2 receptors: an in silico study to combat COVID-19. J Proteome Res. 2020;19(11):4567–4575. doi: 10.1021/acs.jproteome.0c00327. [DOI] [PubMed] [Google Scholar]
- Bernal JL, Andrews N, Gower C, Gallagher E, Simmons R, Thelwall S, Stowe J, Tessier E, Groves N, Dabrera G, Myers R, Campbell CNJ, Amirthalingam G, Edmunds M, Zambon M, Brown KE, Hopkins S, Chand M, Ramsay M. Effectiveness of Covid-19 vaccines against the B.1.617.2 (Delta) variant. N Engl J Med. 2021 doi: 10.1056/NEJMoa2108891. [DOI] [PMC free article] [PubMed] [Google Scholar]
- Borek M, Charlap S, Frishman W. Enalapril: a long-acting angiotensin converting enzyme inhibitor. Pharmacother. 1987;7(5):133–148. doi: 10.1002/j.1875-9114.1987.tb04039.x. [DOI] [PubMed] [Google Scholar]
- Borghi C, Bacchelli S, Esposti DD, Ambrosioni E. A review of the angiotensin-converting enzyme inhibitor, zofenopril, in the treatment of cardiovascular diseases. Exp Opin Pharmacother. 2004;5(9):1965–1977. doi: 10.1517/14656566.5.9.1965. [DOI] [PubMed] [Google Scholar]
- Borghi C, Omboni S, Reggiardo G, Bacchelli S, Degli E, Ambrosioni E. Efficacy of zofenopril compared with placebo and other angiotensin-converting enzyme inhibitors in patients with acute myocardial infarction and previous cardiovascular risk factors: a pooled individual data analysis of 4 randomized, double-blind, controlled, prospective studies. J Cardiovasc Pharmacol. 2017;69(1):48–54. doi: 10.1097/FJC.0000000000000440. [DOI] [PMC free article] [PubMed] [Google Scholar]
- Callaway E. Delta coronavirus variant: scientists brace for impact. Nature. 2021;595:17–18. doi: 10.1038/d41586-021-01696-3. [DOI] [PubMed] [Google Scholar]
- Cetnarowski-Cropp AB. Quinapril: a new second-generation ACE inhibitor. DICP. 1991;25(5):499–504. doi: 10.1177/106002809102500510. [DOI] [PubMed] [Google Scholar]
- Chan JF-W, Kok K-H, Zhu Z, Chu H, To KK-W, Yuan S, Yuen K-Y. Genomic characterization of the 2019 novel human pathogenic coronavirus isolated from a patient with atypical pneumonia after visiting Wuhan. Emerg Microbiol Infect. 2020;9(1):221–236. doi: 10.1080/22221751.2020.1719902. [DOI] [PMC free article] [PubMed] [Google Scholar]
- Chemaitelly H, Yassine HM, Benslimane FM, Al Khatib HA, Tang P, Hasan MR, Malek JA, Coyle P, Ayoub HH, Kanaani ZA, Al Kuwari E, Jeremijenko A, Kaleeckal AH, Latif AN, Shaik RM, Rahim HFA, Nasrallah GK, Al Kuwari MG, Al Romaihi HE, Al-Thani MH, Al Khal A, Butt AA, Bertollini R, Abu-Raddad LJ. mRNA-1273 COVID-19 vaccine effectiveness against the B.1.1.7 and B.1.351 variants and severe COVID-19 disease in Qatar. Nat Med. 2021 doi: 10.1038/s41591-021-01446-y. [DOI] [PubMed] [Google Scholar]
- Chen Y, Guo Y, Pan Y, Zhao ZJ. Structure analysis of the receptor binding of 2019-nCoV. Biochem Biophys Res Commun. 2020;525:135–140. doi: 10.1016/j.bbrc.2020.02.071. [DOI] [PMC free article] [PubMed] [Google Scholar]
- Conti P, Caraffa A, Gallenga CE, Kritas SK, Frydas I, Younes A, Di Emidio P, Tetè G, Pregliasco F, Ronconi G. The British variant of the new coronavirus-19 (SARS-Cov-2) should not create a vaccine problem. J Biol Regul Homeost Agents. 2021;35(1):1–4. doi: 10.23812/21-3-E. [DOI] [PubMed] [Google Scholar]
- Danser AHJ, Epstein M, Batlle D. Renin-angiotensin system blockers and the COVID019 pandemic. Hypertension. 2020;75(6):1382–1385. doi: 10.1128/JVI.01542-10. [DOI] [PMC free article] [PubMed] [Google Scholar]
- Dashti-Khavidaki S, Hossein KH. Consideration for statin therapy in patients with COVID-19. Pharmacotherapy. 2020;40(5):484–486. doi: 10.1002/phar.2397. [DOI] [PMC free article] [PubMed] [Google Scholar]
- Day CJ, Bailly B, Guillon P, Dirr L, Jen FE, Spillings BL, Mak J, von Itzstein M, Haselhorst T, Jennings MP. Multidisciplinary approaches identify compounds that bind to human ACE2 or SARS-CoV-2 spike protein as candidates to block SARS-CoV-2-ACE2 receptor interactions. Mbio. 2021;12(2):e03681–e3720. doi: 10.1128/mBio.03681-20. [DOI] [PMC free article] [PubMed] [Google Scholar]
- Deshotels MR, Xia H, Sriramula S, Lazartigues E, Filipeanu CM. Angiotensin II mediates angiotensin converting enzyme type 2 internalization and degradation through an angiotensin II type I receptor-dependent mechanism. Hypertension. 2014;64(6):1368–1375. doi: 10.1161/HYPERTENSIONAHA.114.03743. [DOI] [PMC free article] [PubMed] [Google Scholar]
- Duchin KL, Waclawski AP, Tu JI, Manning J, Frantz M, Willard DA. Pharmacokinetics, safety, and pharmacologic effects of fosinopril sodium, an angiotensin-converting enzyme inhibitor in healthy subjects. J Clin Pharmacol. 1991;31(1):58–64. doi: 10.1002/j.1552-4604.1991.tb01887.x. [DOI] [PubMed] [Google Scholar]
- El-Aziz TMA, Stockand JD. Recent progress and challenges in drug development against COVID-19 coronavirus (SARS-CoV-2)—an update on the status. Inf Genet Evol. 2020;83:104327. doi: 10.1016/j.meegid.2020.104327. [DOI] [PMC free article] [PubMed] [Google Scholar]
- Erdös EG. The ACE and I: how ACE inhibitors came to be. FASEB J. 2006;20:1034–1038. doi: 10.1096/fj.06-0602ufm. [DOI] [PubMed] [Google Scholar]
- Fan HH, Wang LQ, Liu WL, An XP, Liu ZD, He XQ, Song L-H, Tong Y-G. Repurposing of clinically approved drugs for treatment of coronavirus disease 2019 in a 2019-novel coronavirus (2019-nCoV) related coronavirus model. Chin Med J. 2020;133(9):1051–1056. doi: 10.1097/CM9.0000000000000797. [DOI] [PMC free article] [PubMed] [Google Scholar]
- Fauci AS, Lane HC, Redfield RR. COVID-19—navigating the uncharted. Editorial. N Eng J Med. 2020;382(13):1268–1269. doi: 10.1056/NEJMe2002387. [DOI] [PMC free article] [PubMed] [Google Scholar]
- Ferrario CM, Jessup J, Chappell MC, Averill DB, Brosnihan KB, Tallant EA, Diz DI, Gallagher PE. Effect of angiotensin-converting enzyme inhibition and angiotensin II receptor blockers on cardiac angiotensin-converting enzyme 2. Circulation. 2005;111:2605–2610. doi: 10.1161/CIRCULATIONAHA.104.510461. [DOI] [PubMed] [Google Scholar]
- Forni G, Farber DL. COVID-19 vaccines: where we stand and challenges ahead. Cell Death Diff. 2021;28:626–639. doi: 10.1038/s41418-020-00720-9. [DOI] [PMC free article] [PubMed] [Google Scholar]
- Gautret P, Lagier JC, Parola P, Hoang VT, Meddeb L, Mailhe M, Doudier B, Courjon J, Giordanengo V, Vieira VE, Tissot Dupont H, Honoré S, Colson P, Chabrière E, La Scola B, Rolain JM, Brouqui P, Raoult D. Hydroxychloroquine and azithromycin as a treatment of COVID-19: results of an open-label non-randomized clinical trial. Int J Antimicrob Agents. 2020;56(1):105949. doi: 10.1016/j.ijantimicag.2020.105949. [DOI] [PMC free article] [PubMed] [Google Scholar] [Retracted]
- Giovanetti M, Benedetti F, Campisi G, Ciccozzi A, Fabris S, Ceccarelli G, Tambone V, Caruso A, Angeletti S, Zella D, Ciccozzi M. Evolution patterns of SARS-CoV-2: snapshot on its genome variants. Biochem Biophys Res Commun. 2021;538:88–91. doi: 10.1016/j.bbrc.2020.10.102. [DOI] [PMC free article] [PubMed] [Google Scholar]
- Gurwitz D. Angiotensin receptor blockers as tentative SARS-CoV-2 therapeutics. Drug Dev Res. 2020;81(5):537–540. doi: 10.1002/ddr.21656. [DOI] [PMC free article] [PubMed] [Google Scholar]
- Han Y, Král P. Computational design of ACE2-based peptide inhibitors of SARS-CoV-2. ACS Nano. 2020;14(4):5143–5147. doi: 10.1021/acsnano.0c02857. [DOI] [PMC free article] [PubMed] [Google Scholar]
- Herman LL, Padala SA, Annamaraju P, Bashir K (2021) Angiotensin converting enzyme inhibitors (ACEI). [Updated 2020 Dec 14]. In: StatPearls [Internet]. StatPearls Publishing, Treasure Island. https://www.ncbi.nlm.nih.gov/books/NBK431051/ [PubMed]
- Hill RD, Vaidya PN (2021) Angiotensin II receptor blockers (ARB). [Updated 2021 Apr 14]. In: StatPearls [Internet]. StatPearls Publishing, Treasure Island. https://www.ncbi.nlm.nih.gov/books/NBK537027/ [PubMed]
- Hodgson SH. What defines an efficacious COVID-19 vaccine? A review of the challenges assessing the clinical efficacy of vaccines against SARS-CoV-2. Lancet. 2021;21:e26–e35. doi: 10.1016/S1473-3099(20)30773-8. [DOI] [PMC free article] [PubMed] [Google Scholar]
- Hoffmann M, Kleine-Weber H, Schroeder S, Krüger N, Herrler T, Erichsen S, Erichsen S, Schiergens TS, Herrier G, Wu N-H, Nitsche A, Müller MA, Drosten C, Pöhlmann S. SARS-CoV-2 cell entry depends on ACE2 and TMPRSS2 and is blocked by a clinically proven protease receptor. Cell. 2020;181(2):271–280. doi: 10.1016/j.cell.2020.02.052. [DOI] [PMC free article] [PubMed] [Google Scholar]
- https://coronavirus.jhu.edu/map.html. Last accessed: 7/27/21
- https://www.rcsb.org/structure/6LZG. Deposited 2020-02-19. Last accessed: 7/23/21
- https://www.rcsb.org/structure/6M0J. Deposited 2020-02-21. Last accessed: 7/23/21
- Huentelmann MJ, Zubcevic J, Hernandez Prada JA, Xiao X, Dimitrov DS, Raizada MK, Ostrov DA. Structure-based discovery of a novel angiotensin-converting enzyme 2 inhibitor. Hypertension. 2004;44(6):903–906. doi: 10.1161/01.HYP.0000146120.29648.36. [DOI] [PubMed] [Google Scholar]
- Ishiyama Y, Gallagher PE, Averill DB, Tallant EA, Brosnihan KB, Ferrario CM. Upregulation of angiotensin-converting enzyme 2 after myocardial infarction by blockade of angiotensin II receptors. Hypertension. 2004;43:970–976. doi: 10.1161/01.HYP.0000124667.34652.1a. [DOI] [PubMed] [Google Scholar]
- Izzo JL, Jr, Weir MR. Angiotensin-converting enzyme inhibitors. J Clin Hypertens (Greenwich) 2011;13:667–675. doi: 10.1111/j.1751-7176.2011.00508.x. [DOI] [PMC free article] [PubMed] [Google Scholar]
- Jafary F, Jafari S, Ganjalikhany MR. In silico investigation of critical binding pattern in SARS-CoV-2 spike protein with angiotensin-converting enzyme 2. Sci Rep. 2021;11(1):6927. doi: 10.1038/s41598-021-86380-2. [DOI] [PMC free article] [PubMed] [Google Scholar]
- Jan J-T, Cheng T-JR, Juang Y-P, Ma H-H, Wu Y-T, Yang W-B, Cheng C-W, Chen X, Chou T-H, Shie J-J, Cheng W-C, Chein R-J, Mao S-S, Liang P-H, Ma C, Hung S-C, Wong C-H. Identification of existing pharmaceuticals and herbal medicines as inhibitors of SARS-CoV-2 infection. Proc Natl Acad Sci. 2021;118(5):e20201579118. doi: 10.1073/pnas.20201579118. [DOI] [PMC free article] [PubMed] [Google Scholar]
- Johnston CI. Angiotensin receptor antagonists: focus on losartan. Lancet. 1995;346:1403–1407. doi: 10.1016/S0140-6736(95)92411-6. [DOI] [PubMed] [Google Scholar]
- Kakodkar P, Kaka N, Baig MN. A comprehensive literature review on the clinical presentation, and management of the pandemic coronavirus disease 2019 (COVID-19) Cureus. 2020;12(4):e7560. doi: 10.7759/cureus.7560. [DOI] [PMC free article] [PubMed] [Google Scholar]
- Kaplan HR, Taylor DG, Olson SC. Quinapril: overview of preclinical data. Clin Cardiol. 1990;VII:6–12. doi: 10.1002/clc.4960131403. [DOI] [PubMed] [Google Scholar]
- Karoyan P, Vieillard V, Gómez-Morales L, Odile E, Guihot A, Luyt C-E, Denis A, Grondin P, Lequin O. Human ACE2 peptide-mimics block SARS-CoV-2 pulmonary cells infection. Commun Biol. 2021;4:197. doi: 10.1038/s42003-021-01736-8. [DOI] [PMC free article] [PubMed] [Google Scholar]
- Kaul D. An overview of coronaviruses including the SARS-2 coronavirus—Molecular biology, epidemiology and clinical implications. Curr Med Res Pract. 2020;10:54–64. doi: 10.1016/j.cmrp.2020.04.001. [DOI] [PMC free article] [PubMed] [Google Scholar]
- Kumar S, Zhi K, Mukherji A, Gerth K. Repurposing antiviral protease inhibitors using extracellular vesicles for potential therapy of COVID-19. Viruses. 2020;12(486):1–15. doi: 10.3390/v12050486. [DOI] [PMC free article] [PubMed] [Google Scholar]
- Lan J, Ge J, Wu J, Shan S, Zhou H, Fan S, Zhang Q, Shi X, Wang Q, Zhang L, Wang X. Structure of the SARS-CoV-2 spike receptor-binding domain bound to the ACE2 receptor. Nature. 2020;581:215–221. doi: 10.1038/s41586-020-2180-5. [DOI] [PubMed] [Google Scholar]
- Lee KCHL, Sewa DW, Phua GC. Potential role of statins in COVID-19. Int J Infect Dis. 2020;96:615–617. doi: 10.1016/j.ijid.2020.05.115. [DOI] [PMC free article] [PubMed] [Google Scholar]
- Li J, Wanchun C. Benazepril on tissue angiotensin-converting enzyme and cellular proliferation in restenosis after experimental angioplasty. J Cardiovasc Pharmacol. 1997;30(6):790–797. doi: 10.1097/00005344-199712000-00014. [DOI] [PubMed] [Google Scholar]
- Li W, Moore MJ, Vasilieva N, Sui J, Wong SK, Berne MA, Somasundaran M, Sullivan JL, Luzuriaga K, Greenough TC, Choe HC, Farzan M. Angiotensin-converting enzyme 2 is a functional receptor for the SARS coronavirus. Nature. 2003;426(6965):450–454. doi: 10.1038/nature02145. [DOI] [PMC free article] [PubMed] [Google Scholar]
- Li Q, Guan X, Wu P, Wang X, Zhou L, Tong Y, Ren R, Leung KSM, Lau EHY, Wong JY, Xing X, Xiang N, Wu Y, Li C, Chen Q, Li D, Liu T, Zhao J, Liu M, Tu W, Chen C, Jin L, Yang R, Wang Q, Zhou S, Wang R, Liu H, Luo Y, Liu Y, Shao G, Li H, Tao Z, Yang Y, Deng Z, Liu B, Ma Z, Zhang Y, Shi G, Lam TTY, Wu JT, Gao GF, Cowling BJ, Yang B, Leung GM, Feng G. Early transmission dynamics in Wuhan, China, of novel coronavirus-infected pneumonia. N Engl J Med. 2020;382(13):1199–1207. doi: 10.1056/NEJMoa2001316. [DOI] [PMC free article] [PubMed] [Google Scholar]
- Li G, Hu R, Zhang X. Antihypertensive treatment with ACEI/ARB of patients with COVID-19 complicated by hypertension. Hyper Res. 2020;43:588–590. doi: 10.1038/s41440-020-0433-1. [DOI] [PMC free article] [PubMed] [Google Scholar]
- Li S-R, Tang Z-J, Li Z-H, Liu X. Searching therapeutic strategy of new coronavirus pneumonia from angiotensin-converting enzyme 2: the target of COVID-19 and SARS-CoV. Eur J Clin Microbiol Infect Dis. 2020;39:1021–1026. doi: 10.1007/s10096-020-03883-y. [DOI] [PMC free article] [PubMed] [Google Scholar]
- Lopes RD, Macedo AVS, de Barros E Silva PGM, Moll-Bernardes RJ, Dos Santos TM, Mazza L, Feldman A, Arruda GAS, De Albuquerque DC, Camiletti AS, De Sousa AS, De Paula TC, Giusti KGD, Domiciano RAM, Noya-Rabelo MM, Hamilton AM, Loures VA, Dionísio RM, Furquim TAB, De Luca FA, Dos Santos IN, Bandeira BS, Zukowski CN, De Oliveira RGG, Ribeiro NB, De Moraes JL, Petriz JLF, Pimentel AM, Miranda JS, De Jesus Abufaiad BE, Gibson CM, Christopher B, Granger CB, Alexander JH, De Souza OF. Effect of discontinuing vs continuing angiotensin-converting enzyme inhibitors and angiotensin II receptor blockers on days alive and out of the hospital in patients admitted with COVID-19: a randomized clinical trial. JAMA. 2021;325(3):254–264. doi: 10.1001/jama.2020.25864. [DOI] [PMC free article] [PubMed] [Google Scholar]
- Martinez MA. Compounds with therapeutic potential against novel respiratory 2019 coronavirus. Antimicrob Agents Chemother. 2020;64(5):e00399–e420. doi: 10.1128/AAC.00399-20. [DOI] [PMC free article] [PubMed] [Google Scholar]
- McKee DL, Sternberg A, Stange U, Laufer S, Naujokat C. Candidate drugs against SARS-CoV-2 and COVID-19. Pharm Res. 2020;157:104859. doi: 10.1016/j.phrs.2020.104859. [DOI] [PMC free article] [PubMed] [Google Scholar]
- Mehta N, Kalra A, Nowacki AS, Anjewierden S, Han Z, Bhat P, Carmona-Rubio AE, Jacob M, Procop GW, Harrington S, Milinovich A, Svensson LG, Jehi L, Young JB, Chung MK. Association of use of angiotensin-converting enzyme inhibitors and angiotensin II receptor blockers with testing positive for coronavirus disease 2019 (COVID-19) JAMA Cardiol. 2020 doi: 10.1001/jamacardio.2020.1855. [DOI] [PMC free article] [PubMed] [Google Scholar]
- Mills TP. Ramipril: a review of the new ACE inhibitor. J Ark Med Soc. 1992;88(9):437–440. [PubMed] [Google Scholar]
- Morales DR, Conover MM, You SC, Pratt N, Kostka K, Duarte-Salles T, Fernández-Bertolín S, Aragón M, DuVall SL, Lynch K, Falconer T, Van Bochove K, Sung C, Matheny ME, Lambert CG, Nyberg F, Alshammari TM, Williams AE, Park RW, Weaver J, Sena AG, Schuemie MJ, Rijnbeek PR, Williams RD, Lane JCE, Prats-Uribe A, Zhang L, Areia C, Krumholz HM, Prieto-Alhambra D, Ryan PB, Hripcsak G, Suchard MA. Renin–angiotensin system blockers and susceptibility to COVID-19: an international, open science, cohort analysis. Lancet Digit Health. 2021;3(2):e98–e114. doi: 10.1016/S2589-7500(20)30289-2. [DOI] [PMC free article] [PubMed] [Google Scholar]
- Murdoch S, Fosinopril MD. A review of its pharmacodynamic and pharmacokinetic properties, and therapeutic potential in essential hypertension. Drugs. 1992;43(1):123–140. doi: 10.2165/00003495-199243010-00009. [DOI] [PubMed] [Google Scholar]
- Nadeem MS, Zamzami MA, Choudhry H, Murtaza BN, Kazmi I, Ahmad H, Shakoori AR. Origin, potential therapeutic targets and treatment for coronavirus disease (COVID-19) Pathogens. 2020;9(307):1–13. doi: 10.3390/pathogens9040307. [DOI] [PMC free article] [PubMed] [Google Scholar]
- Narkhede R, Cheke R, Ambhore J, Shinde S. The molecular docking study of potential drug candidates showing anti-COVID-19 activity by exploring of therapeutic targets of SARS-CoV-2. EJMO. 2020;4(3):185–195. doi: 10.14744/ejmo.2020.31503. [DOI] [Google Scholar]
- National Library of Medicine (US) (2020) Preventing cardiac complication of covid-19 disease with early acute coronary syndrome therapy: a randomized controlled trial. C-19-ACS. Identifier NCT04333407. https://www.clinicaltrials.gov/ct2/show/NCT04333407
- Nayak SK. Inhibition of S-protein RBD and hACE2 interaction for control of SARSCoV-2 infection (COVID-19) Mini Rev Med Chem. 2021;21(6):689–703. doi: 10.2174/1389557520666201117111259. [DOI] [PubMed] [Google Scholar]
- Ni W, Yang X, Yang D, Bao J, Li R, Xiao Y, Hou C, Wang H, Liu J, Yang D, Xu Y, Cao Z, Gao Z. Role of angiotensin-converting enzyme 2 (ACE2) in COVID-19. Crit Care. 2020;24:422. doi: 10.1186/s13054-020-03120-0. [DOI] [PMC free article] [PubMed] [Google Scholar]
- Offringa A, Montijn R, Singh S, Paul M, Pinto YM, Pinto-Sietsma S-J. The mechanistic overview of SARS-CoV-2 using angiotensin-converting enzyme 2 to enter the cell for replication: possible treatment options related to the renin–angiotensin system. Eur Heart J Cardiovasc Pharmacother. 2020;6(5):317–325. doi: 10.1093/ehjcvp/pvaa053. [DOI] [PMC free article] [PubMed] [Google Scholar]
- Peng F, Tu L, Yang Y, Hu P, Wang R, Hu Q, Cao F, Jiang T, Sun J, Xu G, Chang C. Management and treatment of COVID-19: the Chinese experience. Can J Cardiol. 2020;36:915–930. doi: 10.1016/j.cjca.2020.04.010. [DOI] [PMC free article] [PubMed] [Google Scholar]
- Pettersen EF, Goddard TD, Huang CC, Couch GS, Greenblatt DM, Meng EC, Ferrin TE. UCSF Chimera—a visualization system for exploratory research and analysis. J Comput Chem. 2004;25(13):1605–1612. doi: 10.1002/jcc.20084. [DOI] [PubMed] [Google Scholar]
- Pines A, Fisman EZ. ACE inhibition with moexipril: a review of potential effects beyond blood pressure control. Am J Cardiolvasc Drugs. 2003;3(5):351–360. doi: 10.2165/00129784-200303050-00006. [DOI] [PubMed] [Google Scholar]
- Ponikowski P, Voors AA, Anker SD, Bueno H, Cleland JGF, Coats AJS, Falk V, González-Juanatey JR, Harjola VP, Jankowska EA, Jessup M, Linde C, Nihoyannopoulos P, Parissis JT, Pieske B, Riley JP, Rosano GMC, Ruilope LM, Ruschitzka F, Rutten FH, van der Meer P. 2016 ESC guidelines for the diagnosis and treatment of acute and chronic heart failure. Rev Esp Cardiol (Engl Ed) 2016;69(12):1167. doi: 10.1016/j.rec.2016.11.005. [DOI] [PubMed] [Google Scholar]
- Poolanda V, Thatikonda S, Godugu C. The current understanding and potential options to combat COVID-19. Life Sci. 2020;254:117765. doi: 10.1016/j.lfs.2020.117765. [DOI] [PMC free article] [PubMed] [Google Scholar]
- Prashantha CN, Gouthami K, Lavanya L, Bhavanam S, Jakhar A, Shakthiraju RG, Suraj V, Sahana KV, Sujana HS, Guruprasad NM, Ramachandra R. Molecular screening of antimalarial, antiviral, anti-inflammatory and HIV protease inhibitors against spike glycoprotein of coronavirus. J Mol Graph Model. 2021;102:107769. doi: 10.1016/j.jmgm.2020.107769. [DOI] [PMC free article] [PubMed] [Google Scholar]
- Rathod SB, Prajapati PB, Punjabi LB, Prajapati KN, Chauhan N, Mansuri MF. Peptide modelling and screening against human ACE2 and spike glycoprotein RBD of SARS-CoV-2. In Silico Pharmacol. 2020;8(1):3. doi: 10.1007/s40203-020-00055-w. [DOI] [PMC free article] [PubMed] [Google Scholar]
- Ribaudo G, Coghi P, Yang LJ, Ng JPL, Mastinu A, Memo M, Wong VKW, Gianoncelli A. Computational and experimental insights on the interaction of artemisinin, dihydroartemisinin and chloroquine with SARS-CoV-2 spike protein receptor-binding domain (RBD) Nat Prod Res. 2021 doi: 10.1080/14786419.2021.1925894. [DOI] [PMC free article] [PubMed] [Google Scholar]
- Sakkiah S, Guo W, Pan B, Ji Z, Yavas G, Azevedo M, Hawes J, Patterson TA, Hong H. Elucidating interactions between SARS-CoV-2 trimeric spike protein and ACE2 using homology modeling and molecular dynamics simulations. Front Chem. 2021;8:1247. doi: 10.3389/fchem.2020.622632. [DOI] [PMC free article] [PubMed] [Google Scholar]
- Samavati L, Uhal BD. ACE2, much more than just a receptor for SARS-COV-2. Front Cell Infect Microbiol. 2020;10:317. doi: 10.3389/fcimb.2020.00317. [DOI] [PMC free article] [PubMed] [Google Scholar]
- Sanders JM, Monogue ML, Jodlowski TZ, Cutrell JB. Pharmacologic treatments for coronavirus disease 2019 (COVID-19) a review. J Am Med Assoc. 2020;323(18):1824–1836. doi: 10.1001/jama.2020.6019. [DOI] [PubMed] [Google Scholar]
- Schoeman D, Fielding BC. Coronavirus envelope protein: current knowledge. Virol J. 2019;16(69):1–22. doi: 10.1186/s12985-019-1182-0. [DOI] [PMC free article] [PubMed] [Google Scholar]
- Schrezenmeier E, Dörner T. Mechanisms of action of hydroxychloroquine and chloroquine: implications for rheumatology. Nat Rev Rheumatol. 2020;16(3):155–166. doi: 10.1038/s41584-020-0372-x. [DOI] [PubMed] [Google Scholar]
- Schütz D, Ruiz-Blanco YB, Münch J, Kirchhoff F, Sanchez-Garcia E, Müller JA. Peptide and peptide-based inhibitors of SARS-CoV-2 entry. Adv Drug Deliv Rev. 2020;167:47–65. doi: 10.1016/j.addr.2020.11.007. [DOI] [PMC free article] [PubMed] [Google Scholar]
- Shah B, Modi P, Sagar SR. In silico studies on therapeutic agents for COVID-19: drug repurposing approach. Life Sci. 2020;252:117652. doi: 10.1016/j.lfs.2020.117652. [DOI] [PMC free article] [PubMed] [Google Scholar]
- Sheeren MA, Khan S, Kazmi A, Bashir N, Siddique R. COVID-19 infection: origin, transmission, and characteristics of human coronaviruses. J Adv Res. 2020;9:91–98. doi: 10.1016/j.jare.2020.03.005. [DOI] [PMC free article] [PubMed] [Google Scholar]
- Sivaraman H, Er SY, Choong YK, Gavor E, Sivaraman J. Structural basis of SARS-CoV-2- and SARS-CoV-receptor binding and small-molecule blockers as potential therapeutics. Ann Rev Pharm Toxicol. 2021;61:465–493. doi: 10.1146/annurev-pharmtox-061220-093932. [DOI] [PubMed] [Google Scholar]
- Smith M, Smith JC. Repurposing therapeutics for COVID-19: supercomputer-based docking to the SARS-CoV-2 viral spike protein and viral spike protein–human ACE2 interface. ChemRxiv. 2020 doi: 10.26434/chemrxiv.11871402.v4. [DOI] [Google Scholar]
- Smith CG, Vane JR. The discovery of captopril. FASEB J. 2003;17:788–789. doi: 10.1096/fj.03-0093life. [DOI] [PubMed] [Google Scholar]
- South AM, Tammy M, Brady TM, Flynn JT. ACE2 (angiotensin-converting enzyme 2), COVID-19, and ACE inhibitor and Ang II (Angiotensin II) receptor blocker use during the pandemic. Hypertension. 2020;76:16–22. doi: 10.1161/HYPERTENSIONAHA.120.15291. [DOI] [PMC free article] [PubMed] [Google Scholar]
- Sriram K, Insel PA. Risks of ACE inhibitor and ARB usage in COVID-19: evaluating the evidence. Clin Pharmacol Ther. 2020;108(2):236–241. doi: 10.1002/cpt.1863. [DOI] [PMC free article] [PubMed] [Google Scholar]
- Suryamohan K, Diwanji D, Stawiski EW, Gupta R, Miersch S, Liu J, Chen C, Jiang YP, Fellouse FA, Sathirapongsasuti JF, Albers PK, Deepak T, Saberianfar R, Ratan A, Washburn G, Mis M, Santhosh D, Somasekar S, Hiranjith GH, Vargas D, Mohan S, Phalke S, Kuriakose B, Antony A, Ustav M, Jr, Schuster SC, Sidhu S, Junutula JR, Jura N, Seshagiri S. Human ACE2 receptor polymorphisms and altered susceptibility to SARS-CoV-2. Commun Biol. 2021;4(1):475. doi: 10.1038/s42003-021-02030-3. [DOI] [PMC free article] [PubMed] [Google Scholar]
- Tada T, Zhou H, Dcosta BM, Samanovic MI, Mulligan MJ, Landau NR. SARS-CoV-2 lambda variant remains susceptible to neutralization by mRNA vaccine-elicited antibodies and convalescent serum. BioRxiv. 2021 doi: 10.1101/2021.07.02.450959. [DOI] [Google Scholar]
- Takahashi S, Yoshiya T, Yoshizawa-Kumagaye K, Sugiyama T. Nicotianamine is a novel angiotensin-converting enzyme 2 inhibitor in soybean. Biomed Res. 2015;36(3):219–224. doi: 10.2220/biomedres.36.219. [DOI] [PubMed] [Google Scholar]
- Taylor AA, Siragy H, Nesbitt S. Angiotensin receptor blockers: pharmacology, efficacy, and safety. J Clin Hypertens (Greenwich) 2011;13:677–686. doi: 10.1111/j.1751-7176.2011.00518.x. [DOI] [PMC free article] [PubMed] [Google Scholar]
- Teijaro JR, Farber DL. COVID-19 vaccines: modes of immune activation and future challenges. Nat Rev Immunol. 2021;9:91–98. doi: 10.1038/s41577-021-00526-x. [DOI] [PMC free article] [PubMed] [Google Scholar]
- Tong TR. Therapies for coronaviruses. Part I of II—viral entry inhibitors. Expert Opin Ther Patents. 2009;19(3):357–367. doi: 10.1517/13543770802609384. [DOI] [PubMed] [Google Scholar]
- Tsitoura E, Bibaki E, Bolaki M, Vasarmidi E, Trachalaki A, Symvoulakis EK, Spandidos DA, Antoniou KM. Treatment strategies to fight the new coronavirus SARS-CoV-2: a challenge for a Rubik’s cube solver. Exp Ther Med. 2020;20:147–150. doi: 10.3892/etm.2020.8692. [DOI] [PMC free article] [PubMed] [Google Scholar]
- Vaduganathan M, Vardeny O, Michel T, McMurray JJV, Pfeffer MA, Solomon SD. Renin-angiotensin-aldosterone inhibitors in patients with Covid-19. N Eng J Med. 2020;382(17):1653–1659. doi: 10.1056/NEJMsr2005760. [DOI] [PMC free article] [PubMed] [Google Scholar]
- Vaidyanathan G. Coronavirus variants are spreading in India—what scientists know so far. Nature. 2021;593:321–322. doi: 10.1038/d41586-021-01274-7. [DOI] [PubMed] [Google Scholar]
- Vijayvargiya P, Gamgos ZE, Almeida NEC, Gumam PR, Stevens RW, Razonable RR. Treatment considerations for COVID-19: a critical review of the evidence (or lack thereof) Mayo Clin Proc. 2020;95(7):1454–1466. doi: 10.1016/j.mayocp.2020.04.027. [DOI] [PMC free article] [PubMed] [Google Scholar]
- Vincent MJ, Bergeron E, Benjannet S, Erickson BR, Rollin PE, Ksiazek TG, Seidah NG, Nichol ST. Chloroquine is a potent inhibitor of SARS coronavirus infection and spread. Virol J. 2005;2(69):1–10. doi: 10.1186/1743-422X-2-69. [DOI] [PMC free article] [PubMed] [Google Scholar]
- Walensky RP, Walke HT, Fauci AS. SARS-CoV-2 variants of concern in the United States—challenges and opportunities. JAMA. 2021;325(11):1037–1038. doi: 10.1001/jama.2021.2294. [DOI] [PMC free article] [PubMed] [Google Scholar]
- Wang L, Zhao J-W, Liu B, Shi D, Zou Z, Shi X-Y. Antihypertensive effects of olmesartan compared with other angiotensin receptor blockers: a meta-analysis. Am J Cardiovasc Drugs. 2012;12(5):335–344. doi: 10.1007/BF03261842. [DOI] [PubMed] [Google Scholar]
- Wang M, Cao R, Zhang L, Yang X, Liu J, Xu M, Shi Z, Hu Z, Zhong W, Xiao G. Remdesivir and chloroquine effectively inhibit the recently emerged novel coronavirus (2019-nCoV) in vitro. Cell Res. 2020;30:269–271. doi: 10.1038/s41422-020-0282-0. [DOI] [PMC free article] [PubMed] [Google Scholar]
- Wang Q, Zhang Y, Wu L, Niu S, Song C, Zhang Z, Lu G, Qiao C, Hu Y, Yuen K-Y, Wan Q, Zhou H, Yan J, Qi J. Structural and functional basis of SARS-CoV-2 entry by using human ACE2. Cell. 2020;181:894–904. doi: 10.1016/j.cell.2020.03.045. [DOI] [PMC free article] [PubMed] [Google Scholar]
- Warner FJ, Smith AI, Hooper NM, Turner AJ. Angiotensin-converting enzyme-2: a molecular and cellular perspective. Cell Mol Life Sci. 2004;61:2704–2713. doi: 10.1007/s00018-004-4240-7. [DOI] [PMC free article] [PubMed] [Google Scholar]
- WHO Solidarity Trial Consortium Repurposed antiviral drugs for COVID-19—interim WHO solidarity trial results. N Engl J Med. 2021;384:497–511. doi: 10.1056/NEJMoa2023184. [DOI] [PMC free article] [PubMed] [Google Scholar]
- Wu K-S, Lin P-C, Chen Y-S, Pan T-C, Tang P-L. The use of statins was associated with reduced COVID-19 mortality: a systematic review and meta-analysis. Ann Med. 2021;53(1):874–884. doi: 10.1080/07853890.2021.1933165. [DOI] [PMC free article] [PubMed] [Google Scholar]
- Wy D, Wu T, Liu Q, Yang Z. The SARS-COV-2 outbreak: what we know. Int J Infect Dis. 2020;94:44–48. doi: 10.1016/j.ijid.2020.03.004. [DOI] [PMC free article] [PubMed] [Google Scholar]
- Xu X, Chen P, Wang J, Feng J, Zhou H, Li X, Zhong W, Hao P. Evolution of the novel coronavirus from the ongoing Wuhan outbreak and modeling of its spike protein for risk of human transmission. Sci China Life Sci. 2020 doi: 10.1007/s11427-020-1637-5. [DOI] [PMC free article] [PubMed] [Google Scholar]
- Xue J, Moyer A, Peng B, Wu J, Hannafon BN, Ding W-Q. Chloroquine is a zinc ionophore. PLoS ONE. 2014;9(10):e109180. doi: 10.1371/journal.pone.0109180. [DOI] [PMC free article] [PubMed] [Google Scholar]
- Yan T, Xiao R, Lin G. Angiotensin-converting enzyme 2 in severe acute respiratory syndrome coronavirus and SARS-CoV-2: a double-edged sword? FASEB J. 2020;34:6017–6026. doi: 10.1096/fj.202000782. [DOI] [PMC free article] [PubMed] [Google Scholar]
- Yan R, Zhang Y, Li Y, Xia L, Guo Y, Zhou Q. Structural basis for the recognition of SARS-CoV-2 by full-length human ACE2. Science. 2020;367(6485):1444–1448. doi: 10.1126/science.abb2762. [DOI] [PMC free article] [PubMed] [Google Scholar]
- Yang J, Petitjean SJL, Koehler M, Zhang Q, Dumitru AC, Chen W, Derclaye S, Vincent SP, Soumillion P, Alsteens D. Molecular interaction and inhibition of SARS-CoV-2 binding to the ACE2 receptor. Nat Commun. 2020;11:4541. doi: 10.1038/s41467-020-18319-6. [DOI] [PMC free article] [PubMed] [Google Scholar]
- Zhang H, Penninger JM, Li Y, Zhong N, Slutsky AS. Angiotensin-converting enzyme 2 (ACE2) as a SARS-CoV-2 receptor: molecular mechanisms and potential therapeutic target. Intens Care Med. 2020;46:586–590. doi: 10.1007/s00134-020-05985-9. [DOI] [PMC free article] [PubMed] [Google Scholar]
- Zhang P, Zhu L, Cai J, Lei F, Qin JJ, Xie J, Liu Y-M, Zhao Y-C, Huang X, Lin L, Xia M, Chen M-M, Cheng X, Zhang X, Guo D, Peng Y, Ji Y-X, Chen J, She Z-G, Yibin Wang Y, Xu Q, Tan R, Wang H, Lin J, Luo P, Fu S, Cai H, Ping Ye P, Xiao B, Mao W, Liu L, Yan Y, Liu M, Chen M, Zhang X-J, Wang X, Touyz RH, Xia J, Zhang B-H, Huang X, Yuan Y, Loomba R, Liu PP, Hongliang L. Association of inpatient use of angiotensin converting enzyme inhibitors and angiotensin II receptor blockers with mortality among patients with hypertension hospitalized with COVID-19. Circ Res. 2020 doi: 10.1161/CIRCRESAHA.120.317134. [DOI] [PMC free article] [PubMed] [Google Scholar]
- Zhou P, Yang X-L, Wang X-G, Hu B, Zhang L, Zhang W, Si H-R, Zhu Y, Li B, Huang C-L, Chen H-D, Chen J, Luo Y, Hua G, Jiang R-D, Liu M-Q, Chen Y, Shin X-R, Wang X, Zheng X-S, Zhao K, Chen Q-J, Deng F, Liu L-L, Yan B, Zhan F-X, Wang Y-Y, Xiao G-F, Shi Z-L. A pneumonia outbreak associated with a new coronavirus of probable bat origin. Nature. 2020;579:270–273. doi: 10.1038/s41586-020-2012-7. [DOI] [PMC free article] [PubMed] [Google Scholar]
Associated Data
This section collects any data citations, data availability statements, or supplementary materials included in this article.


