Abstract
The short-lived radionuclide 234Th is widely used to study particle scavenging and transport from the upper ocean to deeper waters. This manuscript optimizes, reviews and validates the collection, processing and analyses of total 234Th in seawater and suggests areas of further improvements. The standard 234Th protocol method consists of scavenging 234Th from seawater via a MnO2 precipitate, beta counting, and using chemical recoveries determined by adding 230Th. The revised protocol decreases sample volumes to 2 L, shortens wait times between steps, and simplifies the chemical recovery process, expanding the ability to more rapidly and safely apply the 234Th method.
Keywords: Thorium-234 analysis, 234Th particle flux, Biological carbon pump, Particle scavenging
Introduction
Thorium-234 (t1/2 = 24.1 days) is used to examine particle scavenging, residence times, and particle export at high spatial and temporal resolution, providing insights into the biogeochemical cycling of carbon (C), nutrients, trace elements, and pollutants in the ocean. The 234Th approach to measuring sinking particle export is based on the disequilibrium between the particle reactive radiogenic decay product 234Th, and its soluble parent, 238U (t1/2 = 4.5 × 109 years). In oxygenated seawater, 238U exists predominantly as dissolved UO2(CO3)34−, with ≤ 0.1% of 238U scavenged onto particles [1]. The radioactive progeny 234Th exists in seawater as Th(OH)n(4−n)+ [1, 2]. When no particles are present in seawater, 238U and 234Th are in secular equilibrium, meaning activities are equal. When particles are present, such as those resulting from biological activity, 234Th is rapidly scavenged (particle-water partition coefficient, Kd = 105 cm3 g−1; [3, 4]). When those particles sink, they preferentially remove 234Th from the water column, causing disequilibrium with 238U. The deficit of 234Th (234Th < 238U) can therefore be used to measure the net flux of 234Th on sinking particles out of a given depth interval. The 234Th flux is subsequently used to derive a C flux by multiplying a known C:234Th ratio of sinking particles, often collected by sediment traps or in situ pumps [e.g., 5–8]. This approach has since been expanded to other elements and compounds, such as particle reactive organic contaminants and trace metals [e.g., 9–13].
234Th has been used as a particle scavenging tracer since as early as the late 1960’s, when Bhat et al. [14] used iron oxide (Fe(OH)3) to scavenge and concentrate 234Th from seawater, finding an increase in scavenging and export from open to coastal waters. Since then, the application of 234Th has become increasingly more widespread, especially after its application to quantifying C fluxes in the early 1990’s [15–22]. Methods of collection and analysis of 234Th in seawater have undergone significant changes. Early studies involved formation of a Fe(OH)3 precipitate, extensive anion-exchange purification to separate thorium from uranium and other beta emitters, and electroplating thorium onto metal planchets prior to beta counting. Other isotopes of thorium, first 228Th and then 229Th and 230Th, were used to trace recoveries resulting from losses associated with radiochemical processing, and allowed for a more accurate determination of 234Th activities [2, 14, 23]. Further development of the method led to 234Th analysis at sea via non-destructive gamma counting using large volumes (> 1000 L) of water pumped through manganese dioxide (MnO2) cartridges [e.g., 15, 18]. This reduced the need for chemical purification since uranium was separated from thorium during the scavenging step and 234Th is quantified uniquely by its gamma emissions at 63 keV. Rutgers van der Loeff and Moore [24] developed the MnO2 coprecipitation method using 20 L samples followed by direct beta counting that allowed for higher resolution sampling. Improvements in the method allowed for use of volumes as low as 2–4 L [e.g., 25]. Pike et al. [26] refined the protocol by adding 230Th as a yield monitor to correct for sample losses throughout processing. A history of 238U-234Th disequilibrium applications for ocean sciences are described in Cochran and Masque [27], and reviews of 234Th use specifically are available in Waples et al. [28], and Le Moigne et al. [29].
Revised 2 L method overview
The 2 L total 234Th method discussed here is adapted largely from methods described in previous work [e.g., 25–26, 30]. A 2 L sample volume was originally suggested by Benitez-Nelson et al. [25], but 4 L sample sizes continued to be popular because of the lower beta counting time required with larger volumes. The 2 L method detailed here, however, has proven to produce similarly high-quality results [31], and is manageable when sufficient beta counting capacity is available at-sea or on-land shortly after collection. This 2 L method is based upon the formation of a MnO2 precipitate (Fig. 1). Briefly, unfiltered 2 L water samples are collected, immediately acidified, and a 230Th yield monitor is added. Samples are allowed to equilibrate, pH is raised and potassium permanganate (KMnO4) and manganese chloride (MnCl2) are added to create a MnO2 precipitate. Once the precipitate fully forms, samples are filtered, dried and then counted twice using an anti-coincidence, 5 sample, low-level Risø beta counter. Samples are then allowed to decay for at least 6 half-lives (144 days) before a final beta count that quantifies the non-234Th background activities. Filters are then digested, spiked with 229Th as a secondary yield monitor, and analyzed directly by inductively coupled plasma mass spectrometry (ICP-MS) to correct for chemical recovery of the entire process based upon the initial 230Th added. This is a significant difference from the original method developed by Pike et al. [26] as it does not include anion exchange purification before ICP-MS measurement and removes the use of the hydrofluoric acid (HF), one of the most dangerous inorganic acids known.
Fig. 1.
Schematic of the 2 L protocol presented in this manuscript. Data obtained from experiments unique to this manuscript are denoted with blue symbols, while changes that were carried out by other groups but presented here as part of this review are denoted with red symbols
This manuscript is organized following the steps shown in Fig. 1. Some of the steps include novel experiments conducted to improve upon the protocols of the Benitez-Nelson et al. [25] and Pike et al. [26] and to validate the use of 2 L samples (steps I, II, III, IV and V from Fig. 1).
Updated method: Results and discussion for method improvements
Step I: Sample collection and 230Th yield monitor
The sample collection protocol remains largely unchanged, except for the reduction in sample volume, motivated primarily by a want for more efficient sample collection and processing at sea. For open ocean samples, 2 L of unfiltered water is collected into 2 L fluorinated polyethylene (FPE) Teflon-coated bottles. Bottles are marked with a fill line that allows approximately 20 mL of headspace and pre-calibrated by weight for a more precise volume estimate. Sample volumes of 2 L are sufficient when the time period between collection and analysis is less than 1 week, otherwise, a larger volume may be needed to obtain a sufficient beta count signal. After collection, water is acidified to pH of 1–2 with ~ 3.5 mL concentrated nitric acid (HNO3). A known volume of 230Th (1 mL by weight, ~ 50 dpm g−1; or well above the ICP-MS detection limit) is added to serve as a yield monitor. Given the highly particle reactive nature of thorium, it may become adsorbed to bottle walls, which can decrease the ultimate 234Th signal by as much as 25% if samples are not acidified within 6 h of collection [25]. Acidification also assists in the breakdown of organic matter. After acidification and 230Th addition, samples are allowed to equilibrate for at least 6 h, but may be stored for up to several days prior to additional processing. Note that the 6-h equilibration time is less than the 8–12 h suggested in initial method development [25, 30], but no significant difference is found in the 234Th signal or 230Th yield from equilibration time reduction [31]. Using a smaller volume not only reduces filtration time (~ 9 h average for 4 L samples, ~ 2 h average for 2 L samples in offshore water), but it is also advantageous when multiple groups are sharing water collected from a standard 10–12 L Niskin bottle. Updated recommendations for this step are using 2 L of unfiltered seawater, and decreasing equilibration time to 6 h.
Test of the efficacy of 230Th as a Tracer of 234Th
In order to assess the efficacy of the 2 L protocol and 230Th recovery method detailed above, ten 2 L seawater samples collected from the Woods Hole Oceanographic Institution (WHOI) dock (41.52°, -70.67°) were spiked with a high activity SPEX CertiPrep 238U solution (~ 100 dpm L−1) and 230Th solution. Each water sample had separate subsamples collected during processing – the Main, Filtrate, Bottle Rinse, and Filterhead Rinse – which allowed for tracking of both 234Th (in equilibrium with 238U), and 230Th tracer through the Main sample and the 3 potential components of sample loss (Fig. 2b). Ideally, the 230Th yield monitor tracks 234Th through all potential losses. The Main samples refer to the thorium species initially scavenged by the MnO2 precipitate and captured by the filter. While filtering the Main samples, the filtrate was collected, and the Filtrate samples refer to the thorium species scavenged by measuring thorium in the collected filtrate. The Bottle Rinse samples refer to the thorium scavenged on the bottle walls. Bottles from the original filtration are rinsed with an 8 M HNO3/10% H2O2 solution, H2O2 is then removed via boiling, and the remaining solution is added to 2 L of Milli-Q water and treated as a new sample. Similarly, the filterheads are rinsed and a new subsample is collected—the Filterhead sample.
Fig. 2.
Schematic of the updated 2 L protocol presented in this manuscript (a), as well as overview of the protocol validation experiment (b), and overview of the experiment varying precipitate reagent amounts (c), introduced in “Step II: Formation of MnO2 Precipitate”
The resulting 40 samples were analyzed for both 234Th and 230Th specific activities, resulting in 80 total data points. Thorium isotopes for each sample were compared to ensure that they were tracking each other after equilibration in all four components of the original sample. The data are averaged for each sample component and summarized in Fig. 3 with the exception of data from one sample likely compromised by an incorrectly mounted or torn filter. The key result is that 234Th and 230Th in the Main sample tracked each other remarkably well, with an identical yield of 90% ± 3 and 90% ± 1 (see Fig. 3 for significant figures), respectively, of the thorium specific activities added to the original sample (n = 9).
Fig. 3.

Percentages of total signal represented by each of the four sample components: Main, Filtrate, Bottle Rinse, and Filterhead Rinse. Columns represent average values (n = 9) from both 234Th and 230Th analysis
The Bottle Rinse and Filtrate data, however, suggests that 234Th (experimentally added here by ingrowth from 238U) and 230Th (always added as a thorium tracer in acidic solution) do behave differently, with more of the 234Th losses associated with the filtrate and more 230Th losses to the bottle walls. Thorium speciation has been studied in seawater and reported in publications such as Santschi et al. [1], Somayajulu and Goldberg [32], and Hirose and Sagimura [33]. While it is clear that thorium isotopes in general have varying binding coefficients to different types of matter [1], the distinction between binding coefficients of 234Th and 230Th on the same material is less clear. It has been shown that different thorium nuclides (e.g., 228Th, 230Th, 232Th) can have varying binding strengths to the same organic material, resulting in different 230Th /232Th ratios in different minerals from the same sediment samples [32, 33]. A possible explanation for the lack of consistent tracking in Filtrate and Bottle Rinse data is that 230Th, added in pure ionic form, is more susceptible to bottle wall adsorption, while 234Th, produced here from added 238U more readily forms complexes with low molecular weight dissolved organic matter that is able to pass through the 1 µm QMA filter pores. In other words, differences in 234Th and 230Th activities during sample processing are driven by nuclide source versus mass fractionation. These differences in 234Th and 230Th behavior in the Bottle Rinse and Filtrate samples present an interesting area for further study.
The finding of identical recovery on the Main sample MnO2 precipitate validates the use of 230Th as a tracer of naturally occurring 234Th in the 2 L method.
Step II: Formation of MnO2 precipitate
After 6 h of equilibration, the pH is increased to between 8.3 and 8.5 using ~ 3 mL concentrated ammonium hydroxide (NH4OH) in order to allow for precipitate formation. Creating the MnO2 precipitate includes the addition of 100 µL each of first a KMnO4 solution (7.5 g L−1 H2O) and then a MnCl2 solution (20 g L−1 H2O), shaking well between each reagent addition. Samples are allowed to sit for 8 h before filtration. Previous publications have recommended longer wait times between precipitation and filtration [e.g., 26], but 8 h has been found to be sufficient based upon consistent and high chemical yields, while maintaining reasonable filtration times, based on analysis of the authors’ previous thorium datasets [e.g., 31]. The updated recommendation for this step is decreasing precipitation holding time to 8 h.
Test for optimization of the MnO2 precipitation
Precipitation reagents of 100 µL (at the concentrations of the solutions described previously, this is 750 µg KMnO4 and 2000 µg MnCl2) are used, which are 1/20th of the amount originally recommended by Rutgers van der Loeff and Moore [24] for 20 L samples [24]. We tested whether the amount of reagents added may be decreased even further, with a goal of increasing sample throughput by reducing filtration times, and potentially increasing counting efficiency by reducing adsorption of beta emissions due to a thinner MnO2 precipitate. To determine if 100 µL (hereafter referred to in µg units) reagent solutions amounts are optimal, ten 2 L samples of coastal water collected from the WHOI dock were filtered through a 0.45 µm polyethersulfone (PES) filter, spiked with a SPEX CertiPrep 238U solution (~ 150 dpm L−1) immediately after collection, and then acidified. Similar to the experiments described in Step I, sufficient 238U was added such that the amount of 238U dominates any naturally occurring 238U (and thus 234Th), and samples were processed to account for components of loss (protocol described in Fig. 2c).
Each original 238U sample ultimately consisted of 3 fractions: Main, Filtrate, and Bottle Rinse samples. No Filterhead sample was collected in this experiment. Varying amounts of both reagents, KMnO4 and MnCl2 solutions, were tested in replicated samples: 187.5 µg KMnO4 & 500 µg MnCl2 (n = 3), 375 & 1000 µg (n = 2), 750 & 2000 µg (n = 3), and 1500 & 4000 µg (n = 2). Note that the standard amount used in the protocol detailed above is 750 & 2000 µg KMnO2 and MnCl2, respectively. A larger amount, 1500 & 4000 µg, was tested to confirm that the overall MnO2 precipitate scavenging efficiency would not be improved by increasing the amount of reagents used.
There is no significant difference between the average 234Th recovery in the Main sample across the range of reagent amounts added (Fig. 4), with recoveries ranging from 91% ± 3 to 93% ± 3. In contrast, average 234Th within the Filtrate decreases with increasing reagent amount, by close to 50% when increasing from 187.5 & 500 µg to the standard amount and 1500 & 4000 µg. This is likely because the precipitate formed by higher amounts of reagents leads to either more efficient co-precipitation, and/or a thicker layer of precipitate on the filter, which helps increase filtration efficiency. An eightfold increase in reagent amount leads to a > 20% increase in 234Th activity associated with the Bottle Rinse. At the same time, however, the highest amount (1500 & 4000 µg) of precipitate reagents formed quantitatively more precipitate, which was observed to adhere to bottle walls. Variations in Filtrate and Bottle Rinse 234Th activities balanced, such that the relative activity in the Main sample, across all amounts of reagent tested, remained the same across all volumes tested.
Fig. 4.
Percentages of total 234Th signal represented by each of the three sample components: Main, Filtrate, and Bottle Rinse. Columns are average data values for groups of samples using a range of MnO2 reagent amounts
Doubling the reagent volume does not increase 234Th recovery. Reducing reagents decreases the amount of time needed to filter samples (average filter times: 187.5 & 500 µg = 0.14 h, 375 & 1000 µg = 1.13 h, 750 & 2000 µg = 7.4 h, 1500 & 4000 µg = 11.5 h), a significant bottle neck in processing. In a natural setting, however, the magnitude of detrital or biogenic particles may have the greatest impact on filtration times, hence longer filtration times may be unavoidable, for example in surface versus deep waters and coastal versus open ocean samples, etc. Interestingly, the absolute 234Th count rate also did not vary across reagent amount, suggesting that the amount of precipitate does not significantly impact detector efficiencies (Main sample counts varied by ≤ 2.5%). The sums of the total counts of the three components of each original sample (consisting of Main, Filtrate, and Bottle Rinse samples) vary by ≤ 4.0%. Similar tests should include samples from other types of environments (e.g., open ocean). These results confirm that an eightfold reduction in precipitate amount via a decrease in reagent volume, effectively scavenges 234Th from 2 L samples.
Step III: Sample filtration
Samples are filtered using custom filterheads, which thread directly onto a narrow-mouth 2 L bottle, hold a filter, and attach to a vacuum manifold. These filter holders are designed to support 25 mm diameter filters. Bottles are then inverted for filtration. Care should be taken to record filtration times since the time difference between the mid-point of filtration and sample collection is needed to correct for in-growth of 234Th from 238U within the sample solution in the collection bottle. Minimizing the time between collection and filtration reduces the correction for 234Th ingrowth from 238U. Recorded filtration times also assist in quality control, as samples that filter faster than others are likely candidates for low 230Th recoveries due to a cracked or misaligned filter, imperfect addition of precipitate reagents, or improper pH adjustment. Once filtration is complete, filters are rinsed inside of the filter head 2–3 times with a small amount of pH 9 water (created from NH4OH drops added to distilled water) to ensure that no precipitate is lost to the filterhead walls. Lower pH water would dissolve the precipitate and is thus not recommended. Filters are then placed in a petri dish and dried at 50–60 °C for 1–4 h.
It has been demonstrated that heating 2–5 L samples post-precipitation in a water bath (> 80 °C) and then cooling, a process that takes 3–5 h, can decrease filtration time to as low as 30 min [34]. However, reducing sample volumes from 4 to 2 L decreases average filtration time of offshore waters from ~ 9 to ~ 2 h. Coastal water samples, with higher organic matter content, still only have filter times of ~ 5 h. Therefore, reducing sample volumes, without the added step of sample heating, is an effective and less labor-intensive method to decrease sample filtration time.
Test of potential artifacts due to airborne radioactivity
Radioactive beta emitting isotopes occur naturally in the atmosphere throughout the world. An example pertinent to the 238U decay series is the emission of 222Rn from soils, rocks and building materials such as concrete, which decays to 214Bi in a matter of days. Further, more relevant to at-sea work, 222Rn is exhaled from ocean surface waters into the air where it decays to 214Bi. During filtration, it is possible that air flows through the MnO2 precipitate as it sits unattended and for variable amounts of time in the filtration rack once the sample is done filtering. This air may contain atmospheric radionuclides with a high enough beta decay energy to be detected.
To assess the potential for this process to impact the background count rate, 2 L samples of unspiked Milli-Q water were acidified and precipitated with manganese reagents according to the 2 L protocol presented here. Samples were kept in place with continued air flow being drawn through the filter for 0, 1, 2, 4, 6, and 8 h (n = 5 replicated for each set) and then beta counted.
No statistically significant trend was found with filtration time, indicating that ambient beta emitting isotope signals are minimal (Fig. 5). It is important to note that this experiment was done on land, in a concrete building that is assumed to have a higher ambient level of 222Rn than at sea. Thus, airborne radioactivity contamination is likely even more negligible at sea than it has proven to be in this experiment.
Fig. 5.
Results of un-spiked Milli-Q water samples over-filtered by varying times. Groups of 5 samples were over-filtered by the same number of hours
Step IV: Beta counting
Initial counting: Prior to beta counting, dry filters are mounted on custom beta mounts for use in low-level beta counters (DTU Risø Laboratories), covered with one layer of mylar and two layers of aluminum foil (2.24 g cm−3 per foil). The MnO2 precipitate can carry several non-thorium radionuclides present in seawater. The aluminum foil is thus added to block low-energy beta emitters, such as the isotopes of radium (e.g., 226Ra) and their short-lived daughters, reducing their contributions to the beta count rate [15]. As such, this foil also blocks the low energy level beta decay of 234Th itself (reaching no more than 0.19 MeV). As a result, the signal that beta counters detect is primarily the beta decay of 234mPa, which, given its 1.2-min half-life, is in secular equilibrium with 234Th. With ~ 90% of the 234mPa beta emission energy reaching 2.31 MeV, 234mPa penetrates the double aluminum foil layer that many of the downstream 238U series daughter beta emitters cannot. The most likely contributor to additional activity is 214Bi, with multiple beta decays having an energy above 1.0 MeV, including ~ 19% of its beta emission energy reaching 3.26 MeV. This is one of the main reasons why 234Th samples must be counted more than 6 half-lives after initial collection in order to quantify the non-234Th signal naturally found in seawater and recovered by the same Mn precipitate that carries 234Th.
Once samples are prepared for counting, they are inserted into the 5 place anti-coincidence, low-level Risø beta counters. Each beta counter should be surrounded by 8 cm of lead to minimize natural background activity (average of 0.26 counts per minute (cpm) at sea, 0.21 cpm in lab). Individual detector background count rates should be determined wherever counters are used. For the Risø counters, the two outermost detectors (1 and 5) have a 0.05 cpm increase in background count rate due to comparative lack of shielding and the configuration of the Risø anti-coincidence technology.
When beta counting, the order of samples is randomized such that systematic biases are minimized. For example, in depth profiles, the same detector is not always used for a single depth. As soon as possible after samples are prepared, they are counted until they reach < 3% one sigma counting uncertainty (error = 1/). With an initial activity around 2 dpm L−1, and an average 40% detector efficiency, count rates typically range between 2 and 3 cpm, or ~ 1000 to 1500 counts in 8 h. A second beta count is completed within a few days to a week after. The second count is not essential, but it is useful as a quality control, if time and counting ability allows. First and second counts differing by > 0.2 dpm L−1 is often indicative of spreadsheet or data entry errors, or in some cases detector malfunctions. Previous publications have called for as many as 6 recounts within a few half-lives after collection and using the calculated 234Th decay to separate initial count rates from background activities [14, 32]. This is unnecessary; one to two counts when first collected, and one final recount suffice to obtain an accurate dataset. All counts are then corrected for 234Th in-growth from 238U between sampling and filtration, and 234Th decay since initial collection.
Final count: All 234Th samples must be recounted after at least 6 half-lives (144 days) to account for background beta signals. Background count rates average approximately 0.50 cpm (e.g., 0.48 ± 0.24 cpm, n = 950; [31]). After 6 half-lives, only ~ 1.6% of the initial 234Th activity remains, or ~ 0.03 to 0.05 cpm for an average initial count rate of 2–3 cpm. Aside from a small residual 234Th signal, the background consists of primarily two components. Approximately 0.20 cpm is natural detector background. The remaining ~ 0.25 to 0.30 cpm is hypothesized to be caused by non-234Th but high energy beta emitters present in seawater that are also scavenged by the MnO2 precipitate (See Step II).
As mentioned previously, there are several other beta emitters in the ocean, with some of the most abundant coming from the 238U decay series [27]. The most likely non-234Th signal in seawater that is collected by the MnO2 precipitate is from 214Bi, a product of 226Ra decay. Beta decay of 214Bi is of sufficient energy to penetrate the foil filter cover as it emits several beta decays with energies > 1 MeV. Radium-226 has low activities in seawater (0.07–0.34 dpm kg−1), but it is also efficiently scavenged along with thorium by the MnO2 precipitate. If it is assumed that 214Bi is in secular equilibrium with 226Ra (given the short half-life of the intermediate decay product, 222Rn (t1/2 = 3.8 days)) and 100% recovery of 226Ra by the MnO2 precipitate, the amount of 226Ra on the MnO2 filter, and hence 214Bi, would be equivalent to 0.14–0.68 dpm per 2 L sample. While the exact 214Bi counting efficiency is unknown, it is unlikely to be higher than 50%, as the average efficiency for 234Th/234mPa is ~ 40%. This would result in a beta count rate of 0.07 to 0.34 cpm. The observed non-234Th background count rate of 0.25–0.3 cpm is thus consistent with this range. It should also be noted that 222Rn is part of 226Ra decay chain, and losses of 222Rn gas could reduce the 214Bi signal by as much as 80% [25].
By halving the volume from 4 to 2 L, the non-234Th background signal is similarly reduced by half [25]. It is advised that final counts should be made on the same counter and detector that the original first counts were made on. However, since the final count is a small fraction of the original count rate, small variations in detector efficiencies and backgrounds do not impact final numbers significantly.
Test of sample orientation on counting efficiencies
To test whether imperfect sample mounting, i.e. a non-evenly distributed precipitate, might influence the count rates, we examined if sample orientation within the beta counter influences counting efficiency. To test this, five 2 L samples from the Bermuda Atlantic Time Series (BATS, 31.4º, -64.1º) were processed according to the 2 L protocol presented here, with count rates ranging from 0.7 to 1.5 cpm. Foil covers were marked to indicate direction within detector to ensure precise rotation. Each sample was then counted 4 times until errors reached < 3%, rotating exactly 90° between each count. The average variance of sample rotations is 0.03 cpm (Fig. 6). Based on this data, there is no significant difference in counts, within 95% confidence limit, when samples are rotated in the beta counter.
Fig. 6.

Five samples each rotated 90° 4 times. Variation would signal that sample orientation affects signal, but there is no significant difference within 95% confidence limit
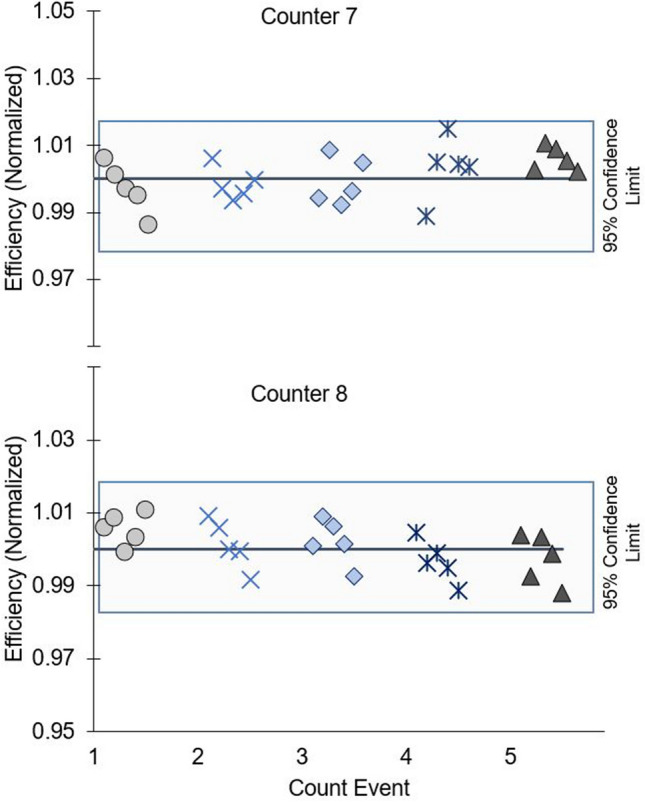
Investigation into detector stability
Cross-calibration between detectors and counters is essential to ensure that individual detector efficiencies are accounted for in the final results. At sea during the 2018 Export Processes in the Ocean from Remote Sensing (EXPORTS) field campaign each of the 6 Risø detectors was calibrated twice using uranium standards: once at the beginning and again at the end of the cruise, ~ 30 days apart. Detector efficiencies varied by < 2% in 24 of the 30 detectors, and by < 5% in the remaining detectors between the beginning and end of the cruise [31] (Fig. 7). When Risø counters were calibrated again ~ 6 months later on shore, they showed, on average, a 4% lower efficiency. Note that this does not impact data significantly as this correction to the final count rate (0.48 ± 0.24 cpm) is small. However, this data supports the recommendation that detector efficiencies should be reassessed between counter uses, especially at sea.
Fig. 7.
Standardized efficiency of 6 Risø counters used at-sea, with 238U standards counted 3 times. Data from the 2018 EXPORTS cruise [31]. Numbers above the data refer to Risø counter ID. Counter 1 is missing data from the end of the cruise, and 5 is missing post-cruise data
The same type of Risø detectors used during the EXPORTS campaign were further assessed for efficiency variability on land. Less drift was observed between two different Risø detectors over a 60-day period when counted every 2 weeks (Fig. 8), with on-land efficiencies varying by < 1.8% among the 10 detectors and 50 238U standard measurements. This higher variability in detector efficiency at-sea may be related to using a larger dataset with 6 counters of varying ages, and other factors such as the power supply at sea being less stable than in the lab.
Fig. 8.

Standardized efficiency of 2 Risø counters used in-lab, with 238U standards counted 5 times. Data is shown by detector; count event is clustered by detector and staggered
Considering the possibility of variations in detector efficiency both at-sea and on land, it is recommended that 238U standards be counted more frequently than just at the beginning and end of a cruise. After an initial cross-calibration using 5 238U standards rotated through each detector, individual detector efficiency drift should be monitored throughout a period of extended use. For the sake of counting time, rather than rotating through each of the 5 238U standards per detector per counter multiple times, one 238U standard can be assigned to one detector and recounted on that detector multiple times throughout a period of extended use. Implementing this change would allow for tracking of individual detector efficiency drift.
Step V: Sample digestion and Th recovery
Once the final beta count is completed, the sample is prepared for inductively coupled plasma mass spectrometry (ICP-MS) analysis in order to determine the 230Th spike recovery and correct for any missing 234Th lost during processing. As detailed in Pike et al. [26], an unmounted filter is placed in a 50 mL beaker, and the precipitate is dissolved upon the addition of 10 mL of an 8 M HNO3/10% H2O2 “recovery solution.” The beaker is immediately covered with a watch glass to prevent evaporation. Next, a 1 mL aliquot of 229Th (~ 70 dpm g−1) is added to track the amount of 230Th present that may have been lost due to MnO2 digestion and processing prior to ICP-MS analysis. The exact amount of 229Th added must be recorded in order to establish a ratio of atoms of 230Th to 229Th that should be present in a sample, although the ratio itself is arbitrary. The filters in solution are then sonicated for 20 min and allowed to sit overnight. Sitting overnight is a longer wait time than previous publications have used [e.g., 26], but reduces instances of clogging of ICP-MS lines.
Test of MnO2 precipitate digestion
Experiments were completed to quantify the effectiveness of digestion of the MnO2 precipitate to ensure that no 234Th remains on the filter post-digestion. This is important because the assumption is that the material that is beta counted is removed completely from the filter, and represents the chemical yield, as quantified by the 230Th yield monitor. If, for example, 10% of the thorium remained associated with the filter, then the chemical yield determined from 230Th analysis would be 10% lower than what it actually was when the filter was beta counted. Thorium-234 and 230Th are typically digested from the MnO2 precipitate filter with a recovery solution that uses strong acid and hydrogen peroxide, as mentioned above. Experiments were done with varying concentrations of the recovery solution used to digest the MnO2 precipitates after the initial beta count to determine optimal solution conditions. Based on safety and environmental concerns, the solutions tested were: 1 M HNO3/10% H2O2 (n = 3), 8 M HNO3/10% H2O2 (n = 4), and 15.9 M HNO3/10% H2O2 (n = 3). In this experiment, 20 L of surface seawater were collected off of the coast of New Jersey (~ 450 km offshore; 38.27°, − 70.02°) and spiked with SPEX CertiPrep 238U solution (~ 100 dpm L−1). The sample was then split into 10 different 2 L samples, which were processed and counted in accordance with the 2 L protocol detailed here. Samples were then sonicated for 20 min and allowed to sit overnight, covered with a watch glass. Filters were subsequently removed from the solution, rinsed gently with Milli-Q water, and allowed to dry on a clean watch glass. Filters were then remounted and recounted to quantify any remaining 234Th on the now visibly clean filter. This experiment was replicated with 10 samples using coastal water from the Woods Hole Oceanographic Institution (WHOI) dock (41.52°, − 70.67°) using only the 8 M HNO3/10% H2O2 solution to check if particle loads influence the efficiency of extraction at the 8 M HNO3 concentration.
Results from off the coast of New Jersey suggest that the 8 M HNO3/10% H2O2 solution is highly effective at digesting the MnO2 precipitate and removing 234Th from the filter, with ~ 1% of the original 234Th signal remaining. Using a 1 M HNO3/10% H2O2 solution (n = 3) resulted in 12% ± 7 remaining on the filter, a 8 M HNO3/10% H2O2 solution (n = 4) resulted in 1% ± 0.5, and 15.9 M HNO3/10% H2O2 solution (n = 3) resulted in 1% ± 0.1. Therefore, higher acid concentrations than 8 M do not need to be used. Using a 1 M HNO3 recovery solution is not recommended, as 12% ± 7 remained on the filter. However, in coastal samples from WHOI dock, 7% ± 1 (n = 10) of the original 234Th signal remained on the filter with an 8 M HNO3/10% H2O2 solution. These differences are likely to be due to increased organic matter content in coastal versus offshore waters. In order to apply this protocol to coastal environments, further research should be conducted to better elucidate the conditions required for complete thorium extraction from filters.
Based on these results, it is recommended that precipitate digestion solution molarity is not decreased from 8 to 1 M HNO3. Further tests must be run to determine if acid strengths between 1 and 8 M are effective.
Step VI: Inductively coupled plasma mass spectrometry (ICP-MS) analysis
After digestion of the MnO2 precipitate, 229Th spiking, and sonication, a 0.5 mL aliquot of each sample is filtered through a 0.2 µm PES filter, into standard plastic 2 mL ICP-MS sample vials, then diluted with 1.5 mL Milli-Q water. Samples are then ready for ICP-MS analysis.
This is a significant simplification of the protocol developed in Pike et al. [26] as it omits the need for anion-exchange column purification and the use of HF. These simplifications are primarily made possible by improvement in mass spectrometry technology. Anion-exchange column purification was originally necessary to remove manganese from the solution, which negatively impacted the performance of the mass spectrometer. Similarly, HF was added to the sample solution to aid in rinsing of the capillary lines. Puigcorbé [35] compared results obtained with and without using anion-exchange columns, and found no significant differences between the two methods (Fig. 9). Previous studies [e.g., 36–37] have omitted both anion-exchange columns and HF. This chemical recovery method was conducted on the 2018 EXPORTS campaign and resulted in average recoveries of 88 ± 9% (n = 950; [31]). These results are comparable to recoveries typically found in studies following the widely used method detailed in Pike et al. [26]. Foregoing anion-exchange column purification and omission of HF from the recovery solution allows for more expedient, lower cost sample analysis at less environmental and physical risk.
Fig. 9.
Comparison of samples analyzed using the standard anion-exchange column method versus the updated method omitting columns; adapted from data in [35]
Validation of the updated 2 L protocol
The 2 L method presented here represents a significant improvement in the analysis of 234Th in seawater. The 2018 EXPORTS campaign used the 2 L method described here [31] and processed 950 samples over the course of 5 weeks at sea using a team of 4 people. Using these improved techniques, remarkably high resolution 234Th data can now be obtained, an example of which is shown in Fig. 10.
Fig. 10.

Example data of 15 out of 66 thorium profiles taken on a 2018 cruise to the NE Pacific (50°, -145°); data can be found at [31]. Round symbols are thorium-234 activities, while the dashed line indicates uranium-238 activity
Deep-sea water calibration
Calibration against deep water samples (ideally ≥ 2000 m, but above any bottom nepheloid layers) can confirm the accuracy of the 2 L protocol described here and is often used as an external check on detector calibration. At this depth, 234Th should be in equilibrium with 238U. During the 2018 EXPORTS cruise [31], 10 deep water samples were collected (2 casts of n = 5 samples; 3000 m), and analyzed via the 2 L protocol detailed here. 238U activity is calculated using its conservative relationship with salinity, as measured using the CTD and the following equation [38]:
| 1 |
In this case, mean and standard deviation of the 5 sample pairs for 234Th activities were 2.40 ± 0.14 and 2.42 ± 0.15 dpm L−1, which is identical within errors to the corresponding 238U activity of 2.41 dpm L−1 [31]. This correlation to within 0.5% between deep water sample 234Th activity and the calculated 238U activity suggests that the updated 234Th protocol yields high accuracy results, within counting statistics. In fact, the ultimate calibration of any 234Th method, including detectors, yield monitor and all calculations will be captured by this method. If one does not have access to deep ocean samples, an equilibrium check could similarly be conducted using aged seawater from any depth. Water stored for 6–10 234Th half-lives will have returned to secular equilibrium.
Conclusions
This paper has reviewed and presented an improved method for the analyses of 234Th in 2 L seawater samples. Experiments conducted here validate the efficacy of the method, and suggest further areas of possible methods development. The improved 2 L protocol is characterized by a decrease in sample volume, decreased waiting times between steps, and a significantly pared down recovery process. These changes have been proven to produce high-recovery samples with decreased overall processing time. Suggestions for future improvement are a decrease in precipitate reagents, and an increased attention to counter cross-calibration and detector drift.
Continued review of and improvement on the classic thorium analysis method is important for expanding the use of this integral tool in oceanography. Producing higher spatial, vertical and temporal resolution measurements expands the scientific community’s ability to understanding of the oceanic processes that control the fate of carbon associated with sinking particles and the biological carbon pump. In addition, new applications include studies of the fate and transport of organic pollutants and metals that are carried by these same particles.
Author contributions
Conceptualization: SJC, KOB; Methodology: SJC, KOB, CRB-N, SP; Formal analysis and investigation: SJC, KOB, SP; Writing—original draft preparation: SJC; Writing—review and editing: SJC, KOB, CRB-N, VP, SP, JD; Funding acquisition: KOB, CRB-N. Literature search and data analyses: SJC, KOB.
Funding
The authors would like to acknowledge support from the National Aeronautics and Space Administration (NASA) as part of the EXport Processes in the Ocean from RemoTe Sensing (EXPORTS) program awards 80NSSC17K0555; and the Woods Hole Oceanographic Institution’s Ocean Twilight Zone study for KOB and SJC.
Data availability
Data from EXPORTS can be found at: https://seabass.gsfc.nasa.gov/search/archive/WHOI/buesseler/EXPORTS/EXPORTSNP/archive.
Declarations
Conflict of interest
The authors have no relevant financial or non-financial interests to disclose.
Footnotes
Publisher's Note
Springer Nature remains neutral with regard to jurisdictional claims in published maps and institutional affiliations.
References
- 1.Santschi PH, Murray JW, Baskaran M, Benitez-Nelson CR, Guo LD, Hung C-C, Lamborg C, Moran SB, Passow U, Roy-Barman M. Thorium speciation in seawater. Mar Chem. 2006;100:250–268. doi: 10.1016/j.marchem.2005.10.024. [DOI] [Google Scholar]
- 2.Coale KH, Bruland KW. 234Th:238U disequilibria within the California Current. Limnol Oceanogr. 1985;30(1):22–33. doi: 10.4319/lo.1985.30.1.0022. [DOI] [Google Scholar]
- 3.Hirose K, Tanoue E. Thorium-particle matter interaction. Thorium complexing capacity of oceanic particulate matter: theory. Geochim Cosmochim Acta. 1994;58:1–7. doi: 10.1016/0016-7037(94)90441-3. [DOI] [Google Scholar]
- 4.Hirose K, Tanoue E. The vertical distribution of the strong ligand in particulate organic matter in the North Pacific. Mar Chem. 1998;59:235–252. doi: 10.1016/S0304-4203(97)00095-9. [DOI] [Google Scholar]
- 5.Buesseler KO, Bacon MP, Cochran JK, Livingston HD. Carbon and nitrogen export during the JGOFS North Atlantic Bloom Experiment estimated from 234Th:238U disequilibria. Deep-Sea Res. 1992;39(7/8):115–1137. [Google Scholar]
- 6.Cochran JK, Buesseler KO, Bacon MP, Wang HW, Hirschberg DJ, Ball L, Andrews J, Crossin G, Fleer A. Short-lived thorium isotopes (234Th, 228Th) as indicators of POC export and particle cycling in the Ross Sea, Southern Ocean. Deep Sea Res Part II. 2000;47:3451–3490. doi: 10.1016/S0967-0645(00)00075-8. [DOI] [Google Scholar]
- 7.Rutgers van der Loeff M, Cai PH, Stimac I, Bracher A, Middag R, Klunder MB, van Heuven SMAC. 234Th in surface waters: distribution of particle export flux across the Antarctic Circumpolar Current in the Weddell Sea during the GEOTRACES expedition ZERO and DRAKE. Deep-Sea Res Part II. 2011;58:2749–2766. doi: 10.1016/j.dsr2.2011.02.004. [DOI] [Google Scholar]
- 8.Puigcorbe V, Masque P, Le Moigne FAC. Global database of ratios of particulate organic carbon to thorium-234 in the ocean: improving estimates of the biological carbon pump. Earth Syst Sci Data. 2020;12:1267–1285. doi: 10.5194/essd-12-1267-2020. [DOI] [Google Scholar]
- 9.Gustafsson O, Gschwend PM, Buesseler KO. Using 234Th disequilibria to estimate the vertical removal rates of polycyclic aromatic hydrocarbons from the surface ocean. Mar Chem. 1997;57(1–2):11–23. doi: 10.1016/S0304-4203(97)00011-X. [DOI] [Google Scholar]
- 10.Weinstein SE, Moran SB. Vertical flux of particulate Al, Fe, Pb and Ba from the upper ocean estimated from 234Th/238U disequilibria. Deep Sea Res Part I. 2005;52:1477–1488. doi: 10.1016/j.dsr.2005.03.008. [DOI] [Google Scholar]
- 11.Black EE, Lam PJ, Lee J-M, Buesseler KO. Insights from the 238U–234Th method into the coupling of biological export and the cycling of cadmium, cobalt, and manganese in the Southeast Pacific Ocean. Global Biogeochem Cycles. 2018;33:15–36. doi: 10.1029/2018GB005985. [DOI] [Google Scholar]
- 12.Black EE, Kienast SS, Lemaitre N, Lam PJ, Anderson RF, Planquette H, Planchon F, Buesseler KO. Ironing out Fe residence time in the dynamic upper ocean. Global Biogeochem Cycles. 2020 doi: 10.1029/2020GB006592. [DOI] [Google Scholar]
- 13.Tesan Onrubia JA, Petrova MV, Puigcorbe V, Black EE, Valk O, Dufour A, Hamelin B, Buesseler KO, Masque P, Le Moigne FAC, Sonke JE, Rutgers van der Loeff M, Heimburger-Boavida L-E. Mercury export flux in the Arctic Ocean estimated from 234Th/238U disequilibria. ACS Earth Space Chem. 2020;4:795–801. doi: 10.1021/acsearthspacechem.0c00055. [DOI] [Google Scholar]
- 14.Bhat S, Krishnaswamy S, Lal D, Rama MW. 234Th/238U ratios in the ocean. Earth Planet Sci Lett. 1969;5:483–491. doi: 10.1016/S0012-821X(68)80083-4. [DOI] [Google Scholar]
- 15.Buesseler KO, Cochran JK, Bacon MP, Livingston HD, Casso SA, Hirschberg D, Hartman MC, Fleer AP. Determination of thorium isotopes in seawater by non-destructive and radiochemical procedures. Deep Sea Res. 1992;39(7–8):1103–1114. doi: 10.1016/0198-0149(92)90059-3. [DOI] [Google Scholar]
- 16.Li Y-H, Feely HW, Santschi PH. 228Th:228Ra radioactive disequilibrium in the New York Bight and its implications for coastal pollution. Earth Planet Sci Lett. 1979;42:13–26. doi: 10.1016/0012-821X(79)90186-9. [DOI] [Google Scholar]
- 17.Kaufman A, Li Y-H, Turekian KK. The removal rates of 234Th and 228Th from waters of the New York Bight. Earth Planet Sci Lett. 1981;54:385–392. doi: 10.1016/0012-821X(81)90054-6. [DOI] [Google Scholar]
- 18.Bacon MP, Anderson RF. Distribution of thorium isotopes between dissolved and particulate forms in the deep sea. J Geophys Res. 1982;87:2045–2056. doi: 10.1029/JC087iC03p02045. [DOI] [Google Scholar]
- 19.Bacon MP, Huh C-A, Fleer AP, Deuser WG. Seasonality in the flux of natural radionuclides and plutonium in the deep Sargasso Sea. Deep Sea Res Part A. 1985;32:273–286. doi: 10.1016/0198-0149(85)90079-2. [DOI] [Google Scholar]
- 20.Coale KH, Bruland KW. Oceanic stratified euphotic zone as elucidated by 234Th:238U disequilibria. Limnol Oceanogr. 1987;32(1):189–200. doi: 10.4319/lo.1987.32.1.0189. [DOI] [Google Scholar]
- 21.Nozaki Y, Yang H-S, Yamada M. Scavenging of thorium in the ocean. J Geophys Res. 1987;92:772–778. doi: 10.1029/JC092iC01p00772. [DOI] [Google Scholar]
- 22.Huh C-A, Moore WS, Kadko DC. Oceanic 232Th: A reconnaissance and implications of global distribution from manganese nodules. Geochim Cosmochim Acta. 1989;53:1357–1366. doi: 10.1016/0016-7037(89)90068-9. [DOI] [Google Scholar]
- 23.Rodriguez y Baena AM, Miquel JC, Masque P, Povinec PP, La Rosa J. A single vs. double spike approach to improve the accuracy of 234Th measurements in small-volume seawater samples. Mar Chem. 2006;100:269–281. doi: 10.1016/j.marchem.2005.10.015. [DOI] [Google Scholar]
- 24.Rutgers van der Loeff M, Moore WS (1999) Determination of natural radioactive tracers. In: Grasshoff K, Ehrardt M, Kremling K (Eds) Methods of seawater analysis, 3rd edn. Verlag Chemie, Weinham
- 25.Benitez-Nelson CR, Buesseler KO, Rutgers van der Loeff M, Andrews J, Ball L, Crossin G, Charette MA. Testing a new small-volume technique for determining 234Th in seawater. J Radioanal Nucl Chem. 2001;248(3):795–799. doi: 10.1023/A:1010621618652. [DOI] [Google Scholar]
- 26.Pike SM, Buesseler KO, Andrews J, Savoye N. Quantification of 234Th recovery in small volume seawater samples by inductively coupled plasma-mass spectrometry. J Radioanal Nucl Chem. 2005;263(2):355–360. doi: 10.1007/s10967-005-0062-9. [DOI] [Google Scholar]
- 27.Cochran JK, Masque P. Short-lived U/Th series radionuclides in the ocean: tracers for scavenging rates, export fluxes and particle dynamics. Rev Mineral Geochem. 2003;52(1):461–492. doi: 10.2113/0520461. [DOI] [Google Scholar]
- 28.Waples JT, Benitez-Nelson C, Savoye N, Rutgers van der Loeff M, Baskaran M, Gustafsson O. An introduction to the application and future use of 234Th in aquatic systems. Mar Chem. 2006;100(3–4):166–189. doi: 10.1016/j.marchem.2005.10.011. [DOI] [Google Scholar]
- 29.Le Moigne FAC, Henson SA, Sanders RJ, Madsen E. Global database of surface ocean particulate organic carbon export fluxes diagnosed from the 234Th technique. Earth Syst Sci Data. 2013;5:295–304. doi: 10.5194/essd-5-295-2013. [DOI] [Google Scholar]
- 30.Buesseler KO, Benitez-Nelson C, Rutgers van der Loeff M, Andrews J, Ball L, Crossin G, Charette MA. An intercomparison of small- and large- volume techniques for thorium-234 in seawater. Mar Chem. 2001;74:15–28. doi: 10.1016/S0304-4203(00)00092-X. [DOI] [Google Scholar]
- 31.Buesseler KO, Benitez-Nelson CR, Roca-Marti M, Wyatt AM, Resplandy L, Clevenger SJ, Drysdale JA, Estapa ML, Pike S, Umhau BP. High-resolution spatial and temporal measurements of particulate organic carbon flux using thorium-234 in the northeast Pacific Ocean during the EXport Processes in the Ocean from RemoTe Sensing field campaign. Elem Sci Anth. 2020 doi: 10.1525/elementa.030. [DOI] [Google Scholar]
- 32.Somayajulu BLK, Goldberg ED. Thorium and uranium isotopes in seawater and sediments. Earth Planet Sci Lett. 1966;1:102–106. doi: 10.1016/0012-821X(66)90084-7. [DOI] [Google Scholar]
- 33.Hirose K, Sugimura Y. Chemical speciation of particulate 238U, 239.240Pu and Th isotopes in seawater. Sci Total Environ. 1993;130/131:517–524. doi: 10.1016/0048-9697(93)90106-G. [DOI] [Google Scholar]
- 34.Cai P, Dai M, Lv D, Chen W. An improvement in the small-volume technique for determining thorium-234 in seawater. Mar Chem. 2006;100:282–288. doi: 10.1016/j.marchem.2005.10.016. [DOI] [Google Scholar]
- 35.Puigcorbe Lacueva V (2016) Use of 234Th:238U disequilibrium to estimate particulate organic carbon export in the upper ocean. Doctoral Dissertation. Universitat Autonoma de Barcelona.
- 36.Planchon F, Cavagna A-J, Cardinal D, Andre L, Dehairs F. Late summer particulate organic carbon export and twilight zone remineralisation in the Atlantic sector of the Southern Ocean. Biogeosciences. 2013;10:803–820. doi: 10.5194/bg-10-803-2013. [DOI] [Google Scholar]
- 37.Lemaitre N, Planchon F, Planquette H, Dehairs F, Fonseca-Batista D, Roukaerts A, Deman F, Tang Y, Mariez C, Sarthou G. High variability of particulate organic carbon export along the North Atlantic GEOTRACES section GA01 as deduced from 234Th fluxes. Biogeosciences. 2018;15:6417–6437. doi: 10.5194/bg-15-6417-2018. [DOI] [Google Scholar]
- 38.Owens SA, Buesseler KO, Sims KWW. Re-evaluating the 238U-salinity relationship in seawater: Implications for the 238U–234Th disequilibrium method. Mar Chem. 2011;127:31–39. doi: 10.1016/j.marchem.2011.07.005. [DOI] [Google Scholar]
Associated Data
This section collects any data citations, data availability statements, or supplementary materials included in this article.
Data Availability Statement
Data from EXPORTS can be found at: https://seabass.gsfc.nasa.gov/search/archive/WHOI/buesseler/EXPORTS/EXPORTSNP/archive.






