Abstract
In this minireview we describe our work on the improvement of the nucleobase analogs Favipiravir (T-705) und its non-fluorinated derivative T-1105 as influenza and SARS-CoV-2 active compounds. Both nucleobases were converted into nucleotides and then included in our nucleotide prodrugs technologies cycloSal-monophosphates, DiPPro-nucleoside diphosphates and TriPPPro-nucleoside triphosphates. Particularly the DiPPro-derivatives of T-1105-RDP proved to be very active against influenza viruses. T-1105-derivatives in general were found to be more antivirally active as compared to their T-705 counterpart. This may be due to the low chemical stability of all ribosylated derivatives of T-705. The ribosyltriphosphate derivative of T-1105 was studied for the potential to act as a inhibitor of the SARS-CoV-2 RdRp and was found to be an extremely potent compound causing lethal mutagenesis. The pronucleotide technologies, the chemical synthesis, the biophysical properties and the biological effects of the compounds will be addressed as well.
Keywords: Favipiravir, Nucleoside analog, Prodrug, Nucleoside triphosphates, RNA polymerases, TriPPPro, Pronucleotides, Influenza, SARS-CoV-2
1. Introduction
In recent years, RNA viruses have become a significant threat to public health because of apparent sudden epidemic outbreaks and periodic pandemics, which cause considerable medical and socioeconomic burden.1 These viruses, many of them causing so-called emerging infections, such as Ebola, Influenza, and Zika, are highly transmissible and cause immense morbidity and mortality.2, 3, 4 The newly emerged coronavirus disease 2019/20 (COVID-19) caused by infection with the severe acute respiratory syndrome coronavirus 2 (SARS-CoV-2) has spread rapidly across the world since December 2019.5, 6 As of September 9, 2021 there have been more than 222 mio. confirmed cases and 4.5 mio. death cases globally related to COVID-19, according to the World Health Organization. Currently, although very efficient vaccines are available, the worldwide number of infections is still rapidly growing, impacting billions of people's lives not only in acute infections but also in long term perspectives as long-COVID.7 Therefore, developing not only safe and effective vaccines but also drugs against SARS-CoV-2 is urgently needed. First of all, a number of important repurposed antiviral drugs (e.g., Lopinavir, Hydroxychloroquine, and Ritonavir)8 have been licensed to treat COVID-19. Medicinal chemists in academia and at companies are seeking for new drugs for the treatment of infections by not only SARS-CoV-2 but also for a broad spectrum of RNA viruses.9
For several decades, many RNA or DNA polymerase inhibitors based on nucleoside analogs (e.g., HIV-RT and nucleos(t)ide reverse transcriptase inhibitors (NRTIs)) are extensively used as the backbone to combat infections caused by HIV, influenza, hepatitis B and hepatitis C virus, herpes virus and recently SARS-CoV-2.10, 11, 12, 13, 14, 15 Mainly these compounds target the virus replication by interfering with the action of the virus specific polymerases. In this respect they either act as obligate or as non-obligate chain terminators which in both cases finally lead to incomplete replication of the viral genome and thus incompetent new virus particles. A further mechanism of action of such compounds is that—if they are not repaired after incorporation—they induce a high number of mutations within the viral genome leading finally to lethal mutagenesis by error catastrophe. In order to combat COVID-19, many approved nucleoside antivirals, such as Remdesivir, Sofosbuvir, and Tenofovir have been used to combat this virus-caused pandemic (repurposing approach).16, 17 Previous studies have demonstrated that the nucleobase analog Favipiravir (6-fluoro-3-hydroxypyrazine-2-carboxamide) is an antiviral agent that inhibits the RNA-dependent RNA polymerase of many RNA viruses in animal infection models,18, 19 including Influenza virus (types A, B and C) infection,18, 19, 20, 21, 22 Lassa virus infection,23 severe fever with thrombocytopenia syndrome virus (SFTSV) infection,24 Ebola virus (EBOV) infection,25 Rabies virus infection,26 Rift Valley fever virus (RVFV) infection,27 Western equine encephalitis virus (WEEV) infection,28 West Nile virus (WNV) infection,29 Norovirus infection,30 Crimean-Congo hemorrhagic fever virus (CCHFV) infection,31 Yellow fever virus disease (YFV) infection,32 and Hantavirus virus (HRTV) infection.33 Favipiravir was developed by the Japanese Toyama Chemical Company for the treatment of severe or pandemic influenza18, 21 and was first approved in Japan in 2014 to treat human influenza virus infections.34 Recently, Favipiravir has been demonstrated to be a potential agent for COVID-19 patients.35, 36 Due to its successful antiviral potency, Favipiravir was first approved for clinical use in China in March 2020 to treat SARS-CoV-2 infections.35, 37
The antiviral efficacy of many nucleos(t)ide polymerase inhibitors is strongly dependent on their intracellular activation by host cellular kinases to yield, via the nucleoside monophosphate (NMP) and nucleoside diphosphate (NDP), ultimately the bioactive nucleoside analog triphosphate (NTP). The nucleobase analog Favipiravir (T-705) first undergoes metabolic activation through phosphoribosylation to form ribofuranosyl-5′-monophosphate (Favipiravir-RMP, T-705-RMP) by the eukaryotic hypoxanthine guanine phosphoribosyltransferase (HGPRT) which is then converted through intracellular phosphorylation into its ribofuranosyl-5′-triphosphate metabolite (Favipiravir-RTP, T-705-RTP) most probably by host cell enzymes (Fig. 1 ).22, 38 In previous studies the ribofuranosyl-5′-diphosphate metabolite (Favipiravir-RDP, T-705-RDP) was not observed or was formed in amounts below the limit of detection. However, the enzymes involved in the conversion of T-705-RMP into T-705-RDP and T-705-RTP have not been completely identified.22, 38, 39
Fig. 1.
Mode of action of Favipiravir (T-705) and T-1105 and the corresponding nucleoside prodrug approach.
Earlier, Favipiravir is noted as a promising drug for the treatment of infections caused by different RNA viruses probably due to the inhibition of the RdRP by T-705-RTP in a dose-dependent manner.18, 19, 22, 40 However, Favipiravir is effective on SARS-CoV-2 and other RNA viruses at high doses only,41 In addition, it was shown that Favipiravir has a risk for embryotoxicity and teratogenicity.42 Based on these concerns, the Ministry of Health, Labor and Welfare has formulated strict regulations on its production and clinical use.42
Recently, the related pyrazine derivative (T-1105; 3-hydroxy-2-pyrazinecarboxamide), which is the non-fluorinated T-705 analog has also shown promising results in the treatment of influenza virus43 and other RNA viruses. Also its nucleoside analog form T-1106 (3,4-dihydro-3-oxo-4-β-d-ribofuranosyl-2-pyrazinecarboxamide; Fig. 1) showed potent antiviral activity against RNA viruses without significant toxicity to mammalian cells.20, 21, 22, 32, 44, 45 As T-705, T-1105 needs activation into its triphosphorylated form but proved to be more efficiently activated by human HGPRT than T-705 in influenza virus infected MDCK cells.39 The antiviral activity of the nucleoside analog T-1106 was in many cases virtually similar to T-705, although the dose of T-1106 required was lower than that of T-705.
Earlier studies have shown that both T-705 and T-1105 are poor substrates for the HGPRT and thus the overall conversion of T-705 and T-1105 into their corresponding nucleoside triphosphates (T-705-RTP and T-1105-RTP) has been identified as being the limiting factor for the antiviral activity.39 So, it would be beneficial to use the already phosphorylated metabolites as potential drugs, in the extreme to use the ultimately active triphosphate of the two nucleobase analogs. However, the charged phosphorylated metabolites cannot be considered as viable drug candidates because of their high polarity which prevents cell membrane penetration. To overcome the inefficient phosphorylation of nucleoside analogs T-705 and T-1105 and thus to achieve the higher intracellular concentration of its active metabolites (T-705-RTP and T-1105-RTP), several pronucleotide strategies developed by our group, such as nucleoside monophosphate prodrugs (cycloSal), nucleoside diphosphate prodrugs (DiPPro-concept), and nucleoside triphosphate prodrugs (TriPPPro-concept) have been applied to the nucleoside forms of T-705 (Favipiravir) and T-1105 (T-1106; Fig. 1).46
This minireview summarizes the application of our mono-, di-, and triphosphate pronucleotide approaches to T-705 and T-1105 and other nucleoside analogs. The synthesis, hydrolysis properties, and structure–activity relationships in the antiviral evaluation of these prodrugs are discussed here briefly.
2. T-705/T-1105 mechanism of action (MoA)
For all positive stranded RNA viruses like influenza, Ebola and also SARS-CoV-2, RdRp's play a crucial role in the viral RNA replication. In case of SARS-CoV-2 this protein is coded nsp12. The role of nsp12 makes it an ideal target for antiviral agents due to the importance for the viral life cycle and the lack of host homologs.
Intracellular nucleoside analog 5′-triphosphates (NA-TPs) are then incorporated by error-prone viral RdRp's into the nascent viral RNA.47, 48, 49 This can lead to a disruption of the RNA synthesis by chain termination, or can lead to lethal mutagenesis. In contrast to other RNA viruses, SARS-CoV-2 has the possibility to remove nucleoside analogs from the viral RNA after the incorporation by nsp12, which is carried out by the RNA proof-reading exoribonuclease (nsp14-ExoN).50 This can lead to resistance development of SARS-CoV-2 against nucleoside analogs. For example, it has been shown that nsp14 is capable of excising Ribavirin, a long-known broad-spectrum antiviral nucleoside analog, from the viral genome due to its proof-reading capabilitys.51, 52 Nevertheless several antivirally active nucleoside analogs are currently under investigation as potential anti-SARS-CoV-2 candidates.17, 53, 54 Although Favipiravir is currently part of clinical trials for treatment of SARS-CoV-2, the exact MoA is still not finally determined. Several previous studies showed that the antiviral activity of T-705-RTP relies on its mutagenic properties.55, 56, 57, 58, 59
Moreover, two independent studies were published showing that the incorporation of a single or two consecutive T-705 molecules led to chain termination.60, 61, 62 To get a deeper understanding of the MoA, in a collaborative work with the group of B. Canard, SARS-CoV-2 infected Vero cells were cultivated in the presence (500 μM) or absence of T-705.63 Subsequently, a deep sequencing of viral RNA was performed. It could be observed, that in the presence of T-705 the total mutations are 3-fold higher and the G—A and C—U transition mutations increased by 12 times compared to the absence of T-705. The increase in mutation frequency has also a measurable antiviral effect on SARS-CoV-2. The viral replication is inhibited with an EC50 value of 0.2 mM and the virus-induced cytopathic effect is lowered with an EC50 value of 0.1 mM. In SARS-CoV-2 infected cells, the fact that T-705 has an antiviral effect showed first that T-705 manages to avoid removal from the viral RNA by nsp-14. The second conclusion that can be made is that the inhibition of the replication is, at least partially, caused by the lethal mutagenesis induced by T-705. Even more effective as the T-705-RTP was the T-1106 triphosphate analog.
To determine the exact amount of T-705 and T-1105 that are incorporated by the SARS-CoV-2 RdRp into the viral RNA, enzyme assays with the isolated RdRp were performed. These experiments should also help to get a deeper understanding of the MoA. First, the primer dependent activity of the nsp12 using annealed primer-templates (PT) and self-priming hairpin (HP) RNA's was determined. The RNA synthesis of nsp12 alone is not efficient, this result is consistent with prior studies.64, 65 For an efficient RNA synthesis, the cofactors nsp7 and 8 are essential. Together with these cofactors the nsp12 forms a four-component complex containing a nsp7/nsp8 heterodimer and a nsp8 monomer. Interestingly, the addition of further nsp8 to this nsp12:nsp7L8 complex, forming the nsp12:nsp7L8:8 complex further increases the efficiency of the RNA synthesis, both on primer-templates (PT) and self-priming hairpin (HP) RNAs.63 This nsp12 complex was used for elongation reactions in the presence of T-705-RTP and T-1105-RTP with simultaneously omission of ATP and/or GTP. For both, the PT and HP substrate, multiple incorporation events could be observed. However, T-705-RTP proved less efficient as compared to T-1105-RTP. The lower efficiency of T-705-RTP matches with previous results mentioned (see below) and may be explained by the lower chemical stability of T-705-RTP compared to T-1105-RTP.66 The experiment also clearly showed that both nucleoside analogs are functioning as purine analogs as they are not incorporated in place of uracil and cytosine.
If the HP complex is used both nucleoside analogs are efficiently incorporated opposite of uracil and cytosine and the formation of full-length products can be observed. These results suggest that lethal mutagenesis is the MoA if HP was used as substrate. If on the other hand PT is used as substrate a different MoA was observed depending on whether the nucleoside analogs are incorporated opposite of uracil und cytosine. Both nucleoside analogs are rapidly incorporated opposite of uracil but further extension is slow and inefficient. Multiple consecutive incorporations even lead to complete stop of the extension. Opposite of cytosine however a marked stall in replication before each incorporation of a nucleoside analog occurred, but after incorporation the elongation proceeds rapidly. In these experiments without adding GTP more full-length products were observed. Previous studies showed for the poliovirus RdRp that these pause events before the incorporation of T-705/T-1105, opposite of cytidine, are caused by backtracking of RdRp, which was attributed the primary cause of the antiviral activity.67 The results of this work suggest that for nsp12 the MoA of T-705/T-1105 is dictated by the structural and functional properties of the polymerase and the RNA. The proof of not fully elongated RNA strains suggests that chain termination may contribute to the antiviral effect as well as chain termination, although it is not the predominant MoA, because chain termination could only be observed after several consecutive incorporations of the nucleoside analogs. Due to the fact that consecutive incorporation is relatively unlikely and based on the speed and frequency of the incorporation of T-705/T-1105 it is more plausible that the antiviral effect of T-705/T-1105 is caused by its lethal mutagenic effect. This is also consistent with the earlier performed infectious virus experiments. It was also shown that the SARS-CoV-2 polymerase is the fastest viral RdRp known. It is determined that the SARS-CoV-2 nsp12 elongates with a frequency of 600–700 nucleotides per second. This is significantly faster compared to picornaviral polymerases (5–20 s− 1) or dengue and hepatitis C polymerase (4–18 s− 1).63
In the no-ATP experiments, GTP:U mismatches were observed, the most common naturally occurring transition mutation, allowing to compare the T-1105 incorporation rate with the appearance of the natural GTP:U transition mutation. If in the elongation reaction 50 μM GTP and 1 μM T-1105-RTP are used the T-1105:U pair occurs 5-fold more often as the GTP:U mismatch. This means that, by taking the concentration into consideration, the T-1105:U pair is by 250-fold more likely to occur then the GTP:U mismatch (Fig. 2 ). These huge amounts of misincorporations, compared to the natural occurring transition mutations, possibly exceed the proof-reading capacities of nsp14. Even though these results match with the infectious virus experiments, further studies have to examine if nsp14 is capable of excising T-705/T-1105, as it is the case for other nucleoside analogs, or not.52, 68, 69
Fig. 2.
Elongation reaction with the PT substrate in with each 50 μM of GTP, UTP and CTP in the absence of ATP (left) shows rapid addition of the first uracil followed by slow misincorporation of the GTP:U mismatch. If 1 μM T-1105-RTP it gets incorporated on a similar timescale as the native GTP:U mismatch (right).63
3. Chemical synthesis of the nucleoside of T-705 and T-1106 as well as their monophosphates
Synthesis of T-705-RMP3. The polymerase assays clearly showed the huge antiviral potential of T-705/T-1105 once it gets inside the cell in their phosphorylated nucleoside forms. As described above, one limiting factor of the antiviral activity is the inefficient metabolism of T-705/T-1105 into the corresponding ribonucleoside monophophates by the human HGPRT.39 A newer study suggests that the metabolism of the RMP into the RDP is a second limiting bottleneck in the enzymatic activation.39 Additionally, it was reported that the activation heavily depends on the used cell line, which makes the activation by human enzymes even more unreliable.43 So possibly the antiviral activity could be enhanced by delivering the antiviral active metabolites directly into cells. To achieve this, one aim of our group was to develop reliable synthesis routes to prepare the T-705/T-1105-ribonucleosides which served as starting materials for the synthesis of the phosphorylated metabolites. Moreover, all these compounds then also served for applying several prodrug strategies for intracellular delivery of the corresponding nucleotides (Fig. 1).
T-705-ribonucleoside was synthesized using the Vorbrüggen-coupling method.66 First, T-705 1 was silylated by hexamethyldisiloxane (HMDS), the silylated base was then coupled to tetra-O-acetyl-β-D-ribofuranose in the presence of tin(IV)tetrachloride as Lewis acid. Subsequently the crude product needed to be deacetylated. Unfortunately, it was not possible to use standard deacetylation conditions using either methanolic ammonia, sodium methoxide, or a mixture of triethylamine in water and methanol, because all these conditions led to decomposition of the just formed nucleoside. This decomposition was probably due to the nucleophilicity of the reagents which are typically used in the cleavage of esters. Then, less nucleophilic reagents were used to synthesize T-705-ribonucleoside 2. Finally, a transesterification reaction using 0.3 equivalents of dibutyltin oxide in methanol gave the desired nucleoside 2 in a yield of 40%.
Following to synthesis of the T-705-ribonucleoside the next aim was to synthesize T-705-ribonucleoside-5′-monophosphate. One of the most common method for the synthesis of 5′-monophosphates is the method of Sowa and Ouchi.70 Using this method, a tetrachloropyrophosphate pyridinium chloride adduct was generated by adding water and pyridine to phosphorus oxychloride. The tetrachloropyrophosphate pyridinium chloride adduct then reacted with ribonucleosides selectively at the 5′-position. After hydrolysis the 5′-monophosphate was formed together with hydrochloric acid.70 Usually this aqueous solution was then adjusted to pH 7–8 using solid ammonium carbonate to yield the monophosphate as ammonium salt. However, using these conditions led to decomposition of the T-705-RMP 3. After modification of the reaction conditions using (i) short reaction times and hydrolysis times and (ii) careful neutralization using aqueous ammonium bicarbonate solution, it was possible to obtain the T-705-RMP 3 in a yield of 50% (Scheme 1 ).66 Further studies on the chemical stability showed not only a significant stability of the glycosidic bond but also a chemical instability of the fluorinated heterocycle itself.66
Scheme 1.
Synthesis of T-705-ribonucleoside-5′-monophosphate 3: (A) HMDS, (NH4)2SO4, 60 min, 140°C; (B) tetra-O-acetyl-β-D-ribofuranose, SnCl4, CH3CN, 7 h, rt.; (C) Bu2SnO, MeOH, 24 h, 80°C, overall yield: 40%. (D) phosphorous oxychloride, pyridine, H2O, 30 min, 0°C. (E) addition of 2, 20 min, 0°C. (F) ice H2O, 30 min, aqueous saturated NH4HCO3 (pH 7.0), overall yield: 50%.
Synthesis of T-1106-MP9. Stability studies showed that T-1106 5 proved chemically completely stable in contrast to T-705-ribonucleoside 2. 66 Additionally, Balzarini et al. reported that the 3-hydroxyl function of T-705 is critical for their substrate recognition by HGPRT but that the 5-fluoro atom of T-705 is not required for metabolic activation and antiviral activity.39 Due to these facts the synthetic focus of our group shifted away from T-705 towards T-1105.
T-1106 5 was synthesized using the Vorbrüggen-coupling method using standard conditions; also the subsequent deacetylation under standard conditions worked without any problems and yielded the desired nucleoside 5 in a yield of 55% (Scheme 2 ).66
Scheme 2.
Synthesis of T-1106 5: (A) tetra-O-acetyl-β-d-ribofuranose, N,O-bis(trimethylsilyl)acetamid, CH3CN, 30 min, rt.; (B) trimethylsilyl trifluoromethansulfonate, CH3CN, 44 h, rt.; (C) MeOH, H2O, Et3N, 6 h, rt., overall yield: 55%.
The one step phosphorylation method of Sowa and Ouchi70 to convert T-1106 5 into the 5′-monophosphate was not successful. Thus, an alternative route was developed to synthesize the monophosphate using phosphoramidite chemistry. First, the 5′-OH group of 5 was dimethoxytrityl (DMTr)-protected followed by the acetylation of the 2′- and 3′-OH groups. Subsequently, the DMTr group was cleaved under acidic conditions to yield compound 7 (65%). The monophosphate 9 was then synthesized using bis(9H-fluoren-9-ylmethyl)-diisopropylamino-phosphite. After basic cleavage of the O-acetyl and fluorenylmethyl groups, T-1106-MP 9 was synthesized in an overall yield of 47% (Scheme 3 ).46
Scheme 3.
Synthesis of T-1106-DP 12 and -TP 13: (A) DMTrCl, C5H5N, CH3CN, 2 h, rt.; (B) TEA, Ac2O, C5H5N, CH3CN, 16 h, rt., 75% over two steps; (C) CH3OH, p-toluenesulfonic acid, 10 min, rt., 84%; (D) 1. bis(9H-fluoren-9-ylmethyl)-diisopropylaminophosphite (in CH2Cl2), DCI, CH3CN, 15 min, rt.; 2. TBHP, CH3CN, 10 min, rt.; (E) TEA, CH3CN, 72 h, rt.; then CH3OH/H2O/TEA 7:3:1, 24 h, rt., 72% over steps (D–E); (F) bis(9H-fluoren-9-ylmethyl)-diisopropylamino-phosphite (in CH2Cl2), DCI, DMF, 10–20 min, rt.; (G) TBHP, DMF, 5 min, rt.; (H) TEA, CH3CN, 10–20 min, rt.; (I) TEA, H2O, CH3CN, 24–48 h, rt.
Synthesis of the T-1106-DP12and -TP13. The T-1106-DP 12 and -TP 13 were synthesized using an iterative strategy starting from the T-1106-MP 9 (Scheme 3).71 It was not possible to perform a purification on the double Fm-protected diphosphate 10 because it rapidly hydrolyzed during purification. A selective cleavage of one single Fm-group was achieved by the short (5–20 min) treatment of 10 with triethylamine. The isolated intermediate 11 was stable towards hydrolysis and it was possible to separate the monophosphate using RP-chromatography. After an additional deprotection step T-1106-DP 12 was obtained in high purity (> 98%) in an overall yield of 53%. The triphosphate 13 was then obtained by repeating the same steps, starting from the diphosphate 12 (purity of > 96%; overall yield 25%.
4. Cyclosaligenyl (cycloSal) nucleoside monophosphate prodrug approach
Often the first metabolic phosphorylation of nucleoside analogs into their nucleoside monophosphates (NMPs) has been identified to be the limiting step in the intracellular anabolic phosphorylation cascade. Here, the use of lipophilic NMP pronucleotides may serve as intracellular delivery system for NMPs. In an attempt to obtain a neutral, lipophilic phosphate ester various masking units have been introduced with the aim to neutralize the negative charges at the phosphate or phosphonate metabolites by compensating the hydrophobicity to ensure a cellular uptake.
In our laboratories, one of the most extensively explored type of NMP prodrug approach was developed (cycloSal-technology).72 The cycloSal technology is based on a pH-driven chemical hydrolysis and the phosphate group of the NMP are masked by salicyl alcohols 14 (Scheme 4 ).
Scheme 4.
Synthesis of cycloSal-d4TMP triesters 18 and T-1106-cycloSal-prodrugs 20,21. Method A: PCl3, pyridine, Et2O, − 10°C, 2 h, 50–85%; Method B: (i) d4T, DIPEA, CH3CN, − 20°C to rt., 1 h; (ii) TBHP, CH3CN, − 20°C to rt., 1 h, 50–73%; Method C: diisopropylamine, Et2O, 0°C, 30 min, 50–85%; Method D: (i) d4T, pyridinium chloride, tetrazole or imidazolium triflate, CH3CN, 0°C, 30 min; (ii) TBHP, CH3CN, rt., 1 h, 70–95%; Method E: O2, toluene, rt., 16 h, quant; Method F: POCl3, TEA, CH2Cl2, − 60°C to rt., 61%; Method G: d4T, pyridine, − 50°C, 4 h, 83–95%; Method H: (i) cycloSal-phosphochloridite, TEA, CH3CN, DMF, 15–20 min, rt.; (ii) TBHP, CH3CN, DMF, 1–2 h, rt.; (iii) TFA, CH2Cl2, TFA, 1 h, rt. CycloSal-T-1105-RMP prodrug 21 was obtained in 87% purity.
The synthesis of the cycloSal-pronucleotides has been achieved either by using P(III) or P(V) chemistry (Scheme 4). First salicyl alcohols 14 were synthesized from salicyl aldehydes or salicylic acids.73 Cyclic saligenylchlorophosphanes 15 were prepared from diols 14 and PCl3 in yields between 50% and 85% (Method A). Next, compounds 15 were reacted with the nucleoside analog d4T in the presence of diisopropylethylamine (DIPEA) to generate cyclic phosphite triesters, followed by addition of tertbutyl hydroperoxide (TBHP) to yield cycloSal-pronucleotides (exemplified shown here for cycloSal-d4TMPs 18). CycloSal-pronucleotides such as 18 were obtained as mixtures of diastereomers in reliably yields of 50–73% (Method B). Alternatively, compounds 15 were reacted with diisopropylamine to obtain phosphoramidites 16 (Method C). Then, phosphoramidites 16 were coupled to d4T in the presence of a weak acid and subsequent oxidation with TBHP (Method D). In some cases, the yields were markedly higher (up to 95%) than those obtained according to method B. Using P(V) chemistry, diols 14 were first reacted with POCl3 to form 3-methyl-cyclosaligenylphosphorochloridate 17 (Method F).74 The yields obtained by this method to give the cycloSal-d4TMPs 18 varied between 83% and 95%. In 2018, this technology has been also applied to T-1105 and T-705 to bypass the rate limiting formation of the phosphorylated nucleobase analog by HGRPT. CycloSal-T-1105-RMP prodrugs 20,21 were prepared to deliver the nucleoside monophosphate.46
In contrast to other NMP prodrug strategies based on enzymatic activation,75 76, 77, 78, 79, 80, 81, 82, 83, 84 cycloSal pronucleotides enable the intracellular delivery of the target nucleoside monophosphate by a non-enzymatically induced chemical reaction. The cycloSal-prodrugs were sensitive to basic conditions (Scheme 5 ).85 The phenyl phosphate ester bond was preferably cleaved (step a) to form the benzyl phosphate diester 22, followed by spontaneous cleavage of the benzyl ester bond (step b) releasing the NMP and salicylalcohol 14 (step b). In contrast, the alternative cleavage of the benzyl ester bond in cycloSal-d4TMP-prodrug 23 is unfavorable (step c). Furthermore, the initial hydrolysis step of these cycloSal-pronucleotides can be influenced by substituents in the 4-position of the phenol phosphate esters: electron withdrawing groups, such as nitro- or chloro-substituents, result in short half-lives. In the past, a variety of cycloSal-prodrugs with different nucleoside analogs (d4T, ddA, ddI, BVdU, and ACV) have been reported.86, 87, 88, 89, 90 As expected, T-1106-cycloSal-prodrugs 20,21 showed a highly selective delivery of T-1105-RMP in phosphate buffer (PBS, pH 7.3) (Fig. 3 ).46
Scheme 5.
Hydrolysis pathways of the cycloSal-d4TMP triesters 18 (left) 85 and T-1106-cycloSal-prodrugs 20,21 (right).46
Fig. 3.
Chemical hydrolysis of cycloSal-pronucleotides 20,21 in pH 7.3 phosphate buffer at 37°C.46
CycloSal-phosphate triesters were evaluated for their antiviral activity in HIV-1- and HIV-2-infected wild-type CEM/0 cells and in HIV-2-infected mutant thymidine kinase-deficient CEM/TK− cells and were compared to the parent nucleoside analogs. Most of the cycloSal-d4TMP triesters proved at least as active as d4T against HIV-1 and HIV-2 in wild-type CEM/0 cells. Moreover, some cycloSal phosphate triesters were markedly more active against HIV-2 in CEM/TK− cells as compared to the parent d4T.91, 92 The antiviral activity of different nucleoside cycloSal-phosphate triesters improved by the introduction of the cycloSal masks, e.g., cycloSal-ddAMP (EC50 = 0.025 μM) was 100-fold more active as the parent ddA (EC50 = 4.3 μM)93, 94 and cycloSal d4AMP was 600-fold (EC50 = 0.05 μM) more potent than d4A (EC50 = 30 μM).88 These results proved (i) the uptake of the cycloSal-triesters into cells, (ii) the successful intracellular delivery of NMPs, and (iii) that the cycloSal-concept enables the bypass the first phosphorylation step usually needed for the initial activation of nucleoside analogs. Unexpectedly, the corresponding T-1106-cycloSal-prodrug 20 showed very poor anti-influenza virus activity (an average EC50 = 248 μM in MDCK cells and an average EC50 = 232 μM in MDCK-TGres cells, Table 1 ), probably due to their low chemical stability (t1/2 = 1.2 h) and low lipophilicity. Although the half-lives for T-1106-cycloSal-prodrug 21 (t1/2 = 16 h) was found to be significantly higher by almost a factor of 13, again no anti-influenza virus activity was detected.46 Because the cycloSal-pronucleotide system gave nice improvements in antiviral activity and the cleavage proceeded selectively to yield the monophosphates, the failure of by-passing the enzyme responsible for the ribophosphorylation of T-1105 may also point to a further bottleneck in the activation leading to the triphosphate: the conversion of the monophosphate analog into its diphosphate derivative. This might be an explanation, why the delivery of T-1105-RMP was not sufficient to improve the antiviral activity.
Table 1.
Anti-influenza virus activity and cytotoxicity in MDCK and MDCK-TGres cells.a
| Comp.b |
MDCK cells |
MDCK-TGres cells |
||||||||||
|---|---|---|---|---|---|---|---|---|---|---|---|---|
| Cytotoxicityc | Antiviral activity (EC50 in μM)b | Cytotoxicityc | Antiviral activity (EC50 in μM)b | |||||||||
| MCC | CC50 | A/X-31 | B/Ned/537/05 | MCC | CC50 | A/X-31 | B/Ned/537/05 | |||||
| CPE | MTS | CPE | MTS | CPE | MTS | CPE | MTS | |||||
| 20 | > 400 | > 400 | 280 ± 120 | > 400 | 176 ± 42 | 135 ± 77 | > 400 | > 400 | 256 ± 39 | 368 | 200 ± 20 | 106 ± 47 |
| 35 | 21 ± 5 | 35 ± 8 | 5.4 ± 1.0 | 10 ± 2 | 7.2 ± 0.5 | 3.5 ± 0.6 | 16 ± 0 | 22 ± 6 | 6.6 ± 2.5 | 8.8 ± 2.4 | 3.4 ± 1.3 | 2.8 ± 1.2 |
| 36a | 37 ± 3 | > 100 | 1.3 ± 0.2 | 1.0 ± 0.2 | 0.81 ± 0.05 | 0.56 ± 0.08 | 22 ± 4 | 44 ± 8 | 1.3 ± 0.2 | 0.97 ± 0.13 | 0.55 ± 0.07 | 0.39 ± 0.05 |
| 36b | 21 ± 5 | 31 ± 0 | 1.5 ± 0.3 | 1.6 ± 0.3 | 0.67 ± 0.12 | 0.58 ± 0.07 | 16 ± 0 | 17 ± 1 | 1.5 ± 0.3 | 1.4 ± 0.1 | 0.66 ± 0.04 | 0.53 ± 0.17 |
| 52a | 16 ± 0 | 30 ± 1 | 2.6 ± 0.0 | 3.6 ± 0.5 | 2.6 ± 0.6 | 2.4 ± 0.8 | 13 ± 3 | 10 ± 0 | 2.6 ± 0.0 | 4.5 ± 2.0 | 1.9 ± 0.3 | 1.0 ± 0.7 |
| 52b | 16 ± 0 | 38 ± 5 | 6.0 ± 0.4 | 6.7 ± 2.0 | 9.9 ± 0.6 | 6.0 ± 1.9 | 16 ± 0 | 10 ± 1 | 5.6 ± 0.8 | 5.4 ± 1.3 | 2.6 ± 0.0 | 1.5 |
| T-1105 | > 250 | > 250 | 6.4 ± 0.9 | 5.4 ± 0.6 | 2.8 ± 0.4 | 2.1 ± 0.2 | > 250 | > 250 | > 250 | > 250 | > 250 | > 250 |
| T-705 | > 250 | > 250 | 24 ± 1 | 26 ± 2 | 9.0 ± 0.8 | 8.3 ± 1.0 | > 250 | > 250 | > 250 | > 250 | > 250 | > 250 |
| T-1106 | > 250 | > 250 | 58 ± 3 | 52 ± 3 | 24 ± 2 | 19 ± 2 | > 250 | > 250 | 53 ± 4 | 51 ± 3 | 20 ± 3 | 19 ± 2 |
Data are the means ± SEM of 2–5 independent tests. MDCK: Madin-Darby canine kidney cells; MDCK-TGres: 6-thioguanine-resistant MDCK cell line lacking functional HGPRT.
Antiviral activity is expressed as the EC50, defined as the compound concentration producing 50% inhibition of virus replication, as estimated by microscopic scoring of the CPE or by measuring cell viability in the formazan-based MTS assay.
Cytotoxicity is expressed as the MCC, the compound concentration producing minimal changes in cell morphology, as estimated by microscopy; or CC50, 50% cytotoxic concentration estimated by MTS cell viability assay.
5. Nucleoside diphosphate prodrugs
Despite these obvious advantages, not in all cases the cycloSal-technology was successful. As just mentioned above, T-1105 cycloSal-pronucleotides 20,21 showed no or very poor antiviral activity in MDCK and MDCK-TGres cells.
The same happened when 3′-deoxy-3′-azidothymidine (AZT) was used.95, 96, 97 Here, the cycloSal-approach failed to improve the antiviral activity in thymidine kinase-deficient cells.97 One reason might be a rapid dephosphorylation of AZTMP by 3′,5′-(deoxy)nucleotidase present in the cells.98, 99 More importantly, in the metabolism of AZT, not the formation of the monophosphate derivative (AZTMP) is critical but the formation of the corresponding nucleoside diphosphate AZTDP by the host cell enzyme thymidylate kinase (TMPK).100, 101 Consequently, it was expected that the development of nucleoside diphosphate prodrug systems would help to overcome these problems.
Earlier, very few approaches have been developed for nucleoside diphosphate prodrugs, probably because of the inherent instability of the phosphate anhydride bond. In 1990, Hostetler et al. designed several potential NDP-diglyceride prodrugs.102, 103, 104, 105 This approach was successfully used for different nucleosides and improved antiviral activities compared to the parent nucleosides, e.g., for 3′-deoxythymidine (3dT, up to 37-fold). Later, Huynh-Dinh et al. developed the acylphosphate concept based on a selective cleavage of these mixed anhydrides releasing NDPs in aqueous buffer.106, 107, 108 However, in contrast to the NDP-diglyceride approach, no improvement of the antiviral activity was detected as compared to the parent nucleoside.
In order to improve the stability of the masked pyrophosphate unit, we decided to design a pronucleotide approach based on masking the negatively charged β-phosphate group only, namely, the DiPPro-approach.
5.1. Nucleoside diphosphate prodrugs based on cycloSal-approach
Initially the previously developed cycloSal-technology was applied to AZTDP, (cycloSal-AZTDP prodrugs 24; Scheme 6 , upper section). The nucleoside monophosphate was prepared from AZT by the Sowa–Ouchi method.70 After the coupling reaction of cycloSal-phosphorochloridate 17 (P(V)-reagent) and AZTMP, cycloSal-AZTDP prodrugs 24 were prepared using phosphorochloride chemistry. It was expected that such a construct would allow a rapid conversion of the DiPPro-AZT prodrugs 24 into AZTDP. The cycloSal-AZTDPs 24 were incubated in PBS (pH 7.3) to study their chemical stability and to identify the formed hydrolysis products. To our surprise, only a very small amount of AZTDP (1%, Scheme 6, pathway a) but a predominate formation of AZTMP (99%, Scheme 6, pathway b) was detected in these studies. The undesired pyrophosphate cleavage leading to AZTMP and cycloSal-phosphate were caused by nucleophiles attacking the β-phosphate group. Consequently, the cycloSal-principle is unsuitable to bypass the second intracellular phosphorylation step.
Scheme 6.
Synthesis and hydrolysis of cycloSal-AZTDPs 24.
5.2. The symmetric DiPPro-nucleoside diphosphate prodrugs
Guided by the results from cycloSal-AZTDP prodrugs 24, we aimed to design a new approach based on an enzymatically triggered pronucleotide delivery system109 that has two masking groups at the β-phosphate. In 2008, we reported on the synthesis of the first examples of the bioreversible protection of nucleoside diphosphates using the phosphoramidite chemistry.110 The cleavage of the phenyl ester moiety within the masking units was induced by chemical or enzymatic means to form NDP in CEM cell extracts. Later, we developed a series of DiPPro-d4TDPs 28 bearing different lipophilic acyl chain lengths to study their hydrolysis properties in chemical or biological media and described structure–activity relationships in the antiviral evalution.111, 112, 113, 114, 115 The synthesis of DiPPro-d4TDPs 28 is summarized in Scheme 7 . The method was applied to different nucleoside analogs (e.g., AZT, d4U, carba-isoddA) and the overall yields varied between 10% and 72%.110, 111, 112, 113, 115
Scheme 7.
Synthesis of the DiPPro-d4TDPs 28.
For the synthesis, the required nucleoside monophosphates were prepared from the nucleoside analogs as described before.70 In contrast to the synthesis of cycloSal-nucleoside diphosphate prodrugs 24, first bis(tetra-n-butylammonium)nucleoside monophosphates were coupled with a reactive P(III)-reagent comprising the lipophilic bis(acyloxybenzyl) groups to form P(III)–P(V) intermediates. Subsequently, the intermediates were oxidized with tert-butylhydroperoxide (TBHP) to form the corresponding diphosphates. As shown in Scheme 7, bis(4-acyloxylbenzyl)phosphoramidites 27 were prepared from benzyl alcohols 25 and (N,N-diisopropyl)dichlorophosphine 26 at low temperatures. Purified DiPPro-d4TDPs 28 were obtained as brown syrups by reversed-phase (rp) column chromatography. It should be noted that the reaction could be easily followed by RP-HPLC: i) NMP was completely consumed, ii) the P(III)–P(V) intermediates were formed within few minutes and then converted to give the products.111
Stability studies. The DiPPro-d4TDPs 28 were investigated in PBS (pH 7.3) and CEM cell extracts to study their chemical and biological stability, respectively, and more importantly to study the delivery of the corresponding d4TDPs. Two hydrolysis pathways of DiPPro-d4TDPs 28 were proposed (Scheme 8 ).
Scheme 8.
Hydrolysis mechanism of DiPPro-d4TDPs 28.
In the case of DiPPro-d4TDPs 28 in PBS, the chemical stability increased with the increase of the alkyl chain lengths attached to the 4-acceptor-substituted benzyl esters. The half-lives of DiPPro-d4TDPs 28 were found to be between 10 h and 100 h, indicating that DiPPro-d4TDPs 28 seem to be quite stable under chemical hydrolysis condition. In PBS, the starting compounds 28 disappeared and the expected mono-masked intermediates 30 were detected (Scheme 8; pathway A). In these studies, the ester (acceptor unit) group is converted into a strong donor hydroxy group, thus a spontaneous cleavage of the benzyl-C-O-bond occurred subsequently, leading to the formation of intermediates 30. The half-lives of intermediates 30 (280–1400 h) were found to be much higher than for starting compounds 28, potentially caused by repulsive interaction between the two negative charges of the intermediates and the incoming nucleophiles. Additionally, when DiPPro-d4TDPs 28 were almost consumed, an increase of the d4TDP concentration and a small amount of d4TMP were observed in these studies indicating that the hydrolysis of compounds 30 mainly followed pathway C. Furthermore, d4TMP concentrations increased at the beginning of the hydrolytic process, probably due to the anhydride bond breakage between the α-phosphate and β-phosphate (Scheme 8; pathway B).
DiPPro-d4TDPs 28 were investigated in human CD4+ T-lymphocyte CEM cell extracts to identify the hydrolysis products. The half-lives of DiPPro-d4TDPs 28 were in the range of 0.05–21 h and found to be markedly lower than the half-lives of prodrugs measured in PBS (up to 200-fold), which indicates an enzymatic hydrolysis reaction. In the case of DiPPro-d4TDPs 28, the cleavage and the formation of intermediates 30 were observed. Former studies have shown that intermediates 30 were readily cleaved and hydrolyzed in CEM cell extracts, thus a predominate formation of d4TDP was observed and no further increase of compounds 30 concentrations were detected. It was impossible to quantify the concentrations of d4TDP released in CEM cell extracts because this compound was further dephosphorylated by enzymes, such as phosphatases, to form d4TMP.
DiPPro-d4TDPs 28 were investigated for their antiviral activity in HIV-1 and HIV-2-infected wild-type CEM/0 and in HIV-2-infected mutant thymidine-kinase-deficient cells (CEM/TK−). The parent d4T was used as reference compound. D4T showed no antiviral activity in thymidine kinase (TK)-deficient cells, because the first phosphorylation step to yield the monophosphate metabolite catalyzed by TK is the metabolism-limiting step. Most of the DiPPro-d4TDPs 28 showed similar activities against HIV-1 and HIV-2 than the parent d4T in wild-type (CEM/0) cell cultures. In contrast, all DiPPro-d4TDP prodrugs 28 were highly active in CEM/TK− cell cultures. The antiviral activity determined for prodrugs 28a-d (AB:C1-C9) increased with increasing alkyl chain lengths due to their advantageous permeability. DiPPro-d4TDP 28d (AB-C9) was the most active compound of all the reported prodrugs: The inhibition of HIV-1 and HIV-2 replication by DiPPro-d4TDP 28d (EC50 = 0.08 μM/HIV-1; EC50 = 0.32 μM/HIV-2) improved by 11-fold and 7-fold, respectively as compared to nucleoside d4T in wild-type (CEM/0) cells and the activity was improved 1570-fold in CEM/TK− cell cultures. The antiviral activity observed in the wild-type (CEM/0) cell cultures 28d (EC50 = 0.32 μM/HIV-2) was completely retained in CEM/TK− cell cultures (EC50 = 0.11 μM/HIV-2). It was concluded that these DiPPro-prodrugs 28 were successfully taken-up across the cell membranes and delivered phosphorylated metabolites, most probably d4TDPs.
5.3. Non-symmetric DiPPro-nucleoside diphosphate prodrugs
Taking all previous results into account, we next developed a second generation of DiPPro-NDP compounds as shown in compounds 34 (Scheme 9 ). The second generation compounds comprised two different acyloxybenzyl moieties linked to the β-phosphate of the nucleoside diphosphate. One of the bioreversible groups is bearing a short alkyl chain carboxylic acid ester (low lipophilicity) while the second group comprises a long alkyl residue carboxylic acid ester or a substituted benzoic acid ester (high lipophilicity). It was expected that such a design would allow a rapid conversion of the DiPPro-compounds 34 into the mono-masked intermediates 30 and therefore avoid the unwanted phosphoanhydride bond hydrolysis in the prodrugs leading to NMP. The second masking unit would be subsequently cleaved slowly to form the NDP. We expected that such a design would achieve a highly selective conversion of the DiPPro-prodrugs into nucleoside diphosphates.
Scheme 9.
Synthesis of non-symmetric DiPPro-nucleoside diphosphates 34.
DiPPro-d4TDPs 34 were made according to the phosphoramidite route as summarized above.110, 112, 115First, bis(diisopropylamino)phosphoramidites 32 were prepared from 4-acyloxybenzyl alcohols 25 and phosphorus trichloride 31 in the presence of N,N-diisopropylamine (DIPA). Then, compounds 32 were reacted with the second 4-acyloxybenzyl alcohols 25 to form non-symmetric phosphoramidites 33. Finally, phosphoramidites 33 were coupled with d4TMP in an acid-activated reaction followed by oxidation (Scheme 9).
DiPPro-d4TDPs 34 were studied with regard to their stabilities in different media and their hydrolysis products were analyzed. Interestingly, in all cases, both intermediates 30a (short acyl residues) and intermediates 30b (long acyl residues) were formed, indicating that both masking groups of DiPPro-d4TDPs 34 were involved in the hydrolysis (pathways A and B; Scheme 10 ). From analyzing the amounts of the formed products (intermediates 30, d4TDP, and d4TMP) the following conclusions can be taken: (i) DiPPro-d4TDPs 34 were found to be more readily cleaved to form intermediates 30b, (ii) the intermediates 30b bearing long alkanoyl ester moieties proved to be more stable than intermediates 30a bearing short alkyl moieties, and (iii) an increase of d4TDP concentration and a very small amount of d4TMP were detected. Furthermore, the chemical stability of DiPPro-d4TDPs 34 was found to be higher as compared to those of the symmetric DiPPro-d4TDPs 28. For example, the half-lives for DiPPro-d4TDPs 34 (acyloxybenzyl (AB)-C1;AB-C9) (t1/2 = 40 h)113 improved by 4-fold compared to 34a (AB-C1;AB-C1) (t1/2 = 10 h).110
Scheme 10.
Hydrolysis pathways of non-symmetric DiPPro-d4TDPs 34.
We evaluated the stability of DiPPro-d4TDPs 34 in CEM cell extracts as well. As expected, the stability of DiPPro-d4TDPs 34 in cell extracts (t1/2 = 0.03–1.91 h) was significantly lower than the stability in PBS (up to 1450-fold). The masking groups in DiPPro-d4TDPs 34 were selectively cleaved to form intermediates 30a and intermediates 30b, respectively. In the case of DiPPro-d4TDPs 34 (AB:C4;AB:R2), the formation of the C4H9-intermediate and the long alkyl chain acyl group (R2) intermediates were detected. However, for DiPPro-d4TDPs 34 (AB-C1;AB-R2), a highly selective cleavage of the short biodegradable moiety (AB:C1) led to the formation of intermediates 30b (AB:R2) in cell extracts. DiPPro-d4TDPs 34 were also rapidly hydrolyzed by PLE and delivered d4TDP within a few minutes (0.14–0.19 min). However, for DiPPro-d4TDP 34 (AB-C1;AB-C9), both alkanoyl esters were cleaved at almost identical rates. In contrast, a large amount of C4H9-intermediate was observed in the hydrolysis of DiPPro-d4TDP 34 (AB-C4;AB-C9) with PLE.
In antiviral assays, the inhibition of the replication of HIV-1 and HIV-2 by DiPPro-d4TDPs 34 was similar, or slightly better, compared to their parent nucleoside d4T in wild-type CEM/0 cells. In some cases, the antiviral activity for DiPPro-d4TDPs 34 increased with the higher lipophilicity associated with the introduced masking units of the DiPPro-prodrugs. The high antiviral activity of DiPPro-d4TDP 34 (AB-C4;AB-C11) (EC50 = 0.13 μM) was retained in thymidine-deficient CEM cells (TK−) and compared to the parent nucleoside d4T (EC50 = 150 μM) the anti-HIV activity was improved by 1153-fold.
5.4. Nucleoside diphosphate prodrugs: T-1106-DiPPro-prodrugs
We applied the bis(acyloxybenzyl)-masking approach to nucleoside analogs T-705 and T-1106.46 Starting from T-705-RMP and T-1105-RMP, T-705-DiPPro-prodrug 35 (R1 ≠ R2) and T-1106-DiPPro-prodrugs 36 (R1 = R2 and R1 ≠ R2) were successfully prepared using the previously reported phosphoramidite protocol, respectively.110, 113 The cleavage of DiPPro-prodrugs 35,36 was further investigated in PBS (pH 7.3), with PLE (PBS, pH 7.3), and in MDCK cell extracts.
In PBS (pH 7.3), T-705-DiPPro-compound 35 (AB-C4;AB-C14) was fully decomposed after 30 h. However, the expected intermediates were not observed. We assumed that the nucleophilic displacement of the fluorine atom by water took place which led finally to the destruction of the nucleobase analog. Furthermore, T-705-DiPPro-compound 35 (AB-C4;AB-C14) was rapidly hydrolyzed with PLE and delivered the expected T-705-intermediates (with R either C4H9 or C14H29) much faster compared to the chemical hydrolysis. Compared to its T-705 counterpart, T-1106-DiPPro-prodrugs 36 (for example 36a, t1/2 = 30 h) showed much higher chemical stability. The chemical hydrolysis of T-1106-DiPPro-prodrug 36a (AB-C9;AB-C9) released mono-masked T-1106-intermediate 37 (AB-C9), T-1105-RDP, and T-1105-RMP (Fig. 4A, condition without esterase). With PLE, almost no formation of T-1105-RMP and the unknown by-product was observed. The starting material disappeared and the mono-masked T-1106-intermediate 37 (AB-C9) was formed. Subsequently, T-1106-intermediate 37 (AB-C9) was fully converted into the final metabolite, T-1105-RDP (Fig. 4A, condition with esterase). Furthermore, T-1106-DiPPro-prodrugs 36a,b were efficiently converted into the corresponding mono-masked intermediates 37 in extracts from MDCK and MDCK TGres cells. Subsequently, T-1105-RDP was also detected as intermediate metabolite that was further dephosphorylated to T-1105-RMP (Fig. 5 ). T-1106-DiPPro-prodrugs 36a,b activation and release of T-1105-RDP was found to proceed faster for symmetrically masked T-1106-DiPPro-compound 36a (AB-C9;AB-C9) than for the non-symmetrically masked T-1106-DiPPro-compound 36b (AB-C4;AB-C14).
Fig. 4.
Metabolic profiles of T-1106-DiPPro-prodrug 36a (A) and T-1106-TriPPPro-compound 52a (B). T-1106-prodrugs 36a (A) and 52a (B) were incubated at 450 μM in the absence or presence of PLE (3 U per mL).46
Fig. 5.
Metabolic conversion of T-1106-DiPPro-prodrugs 36 and T-1106-TriPPPro-prodrugs 52 in MDCK and MDCK-TGres cell extracts. Prodrugs 36,52 (500 μM) were incubated in cell extract and after 2 h, proteins were precipitated.46
As expected, the initial cleavage step of the hydrolysis mechanism happened similarly to the cleavage pathways for compounds 28,34, respectively. The hydrolysis pathways are shown in Scheme 11 . The studies showed that: (i) a minor pathway involved the cleavage of the phosphoanhydride bond in T-1106-DiPPro-prodrugs 36, leading to T-1105-RMP, (ii) the major pathway involved an enzymatic trigger mechanism leading to T-1105-RDP via a mono-masked intermediate 37, and (iii) with PLE, a large amount of T-1105-RDP and almost no T-1105-RMP was detected.46
Scheme 11.
Synthesis and hydrolysis mechanism of T-1106-DiPPro-prodrugs 36.
T-705-DiPPro-prodrug 35 and T-1106-DiPPro-prodrugs 36 were evaluated for their anti-influenza activity in MDCK and MDCK-TGres cells. As shown in Table 1, T-705-DiPPro-compound 35 (AB-C4;AB-C14) had an average EC50 of 6.5 μM, which is 3-fold more active than the nucleobase T-705 (an average EC50 = 16.8 μM). As for T-1105 ribonucleoside (T-1106), the anti-influenza activity of the T-1106-DiPPro-prodrugs 36a,b was 35 to 42-fold higher as compared to the parent nucleoside T-1106 (an average EC50 = 38.2 μM), 4 to 5-fold higher than the nucleobase T-1105 (an average EC50 = 4.3 μM), and 6 to 7-fold higher than its T-705 counterpart 35 (AB-C4;AB-C14), respectively.
Compared to the non-symmetric T-1106-DiPPro-compound 36b (AB-C4;AB-C14) (EC50 = 1.1 μM), the symmetric T-1106-DiPPro-compound 36a (AB-C9;AB-C9) had similar (an average EC50 = 0.91 μM) anti-influenza activity. More importantly, the antiviral activity observed in MDCK-TGres cell cultures (an average EC50 = 0.91 μM) was completely retained in the case of the lipophilic T-1106-DiPPro-compound 36a (AB-C9;AB-C9) in HGPRT-deficient MDCK-TGres cell cultures (an average EC50 = 0.8 μM), whereas T-1106 lacked any relevant anti-influenza activity (EC50 > 250 μM). In antiviral assays, good anti-influenza activity of the T-1106-DiPPro-prodrugs 36a (AB-C9;AB-C9),36b (AB-C4;AB-C14) was observed in MDCK-TGres cells with 5 to 7-fold improved activity as compared to the T-705-DiPPro-compound 35 (AB-C4;AB-C14). Thus, T-1106-DiPPro-compounds 36 provided a successful and selective delivery of T-1105-RDP inside cells and improved the anti-influenza activity and this DiPPro-system proved to be highly successful in the esterase-triggered release of T-1105-RDP. As for T-705, the anti-influenza activity of T-705-DiPPro-compound 35 (an average EC50 of 6.5 μM, 6-fold less active than T-1106-DiPPro-compound 36b) is probably limited by the chemical instability of its fluorinated nucleobase.
6. Nucleoside triphosphate prodrugs
As summarized above, we have developed a concept to deliver NDPs inside cells using lipophilic but still partially charged DiPPro-compounds.110, 111, 112, 113, 114, 115 However, the released NDPs still need further intracellular phosphorylation into their antivirally active triphosphate forms by cellular kinases to interact with viral polymerases. Moreover, it was reported that even the last phosphorylation might be problematic, e.g., the conversion of FTC-DP to form FTC-TP by NDPK.116 As a consequence, the development of nucleoside triphosphate (NTP) prodrugs is still highly interesting and desirable because this enables: i) the bypass of all steps of the intracellular phosphorylation and ii) the delivery of NTPs would in principle maximize the intracellular concentration of the NTPs.
In an attempt to develop NTP prodrugs, the following challenges have to solved: (i) the highly negatively charged triphosphate unit requires appropriate masking, (ii) two reactive phosphate anhydrides linkages in the triphosphate moieties should be kept intact, (iii) the high sensitivity for enzymatic dephosphorylation of NTPs should be prevented, and (iv) a suitable chemical synthesis has to be established. Only very few NTP prodrugs have been reported in the past.117, 118 These nucleoside triphosphate prodrugs involved the attachment of only an alkyl or acyl moiety (high lipophilicity) to the γ-phosphate moiety.109, 117, 118, 119, 120, 121 Unfortunately, no increase of antiviral activity was observed with these nucleoside triphosphate prodrugs as compared to their parent nucleosides.121
6.1. Symmetric TriPPPro-compounds—Acyloxybenzyl (AB)-nucleoside triphosphate prodrugs
Our group is working intensively on the development of NTP prodrug systems. Encouraged by the positive results of the DiPPro-prodrugs, we developed a novel nucleoside triphosphate prodrug concept in which two biodegradable masking units were attached to the γ-phosphate moiety, namely the TriPPPro-approach (Scheme 12 ; upper section).122 Later, we report on the application of the TriPPPro-concept on several nucleoside analogs to demonstrate the strength of the strategy (Scheme 12; lower section).123 For the synthesis of TriPPPro-prodrugs 38, we developed two different synthesis routes: the phosphoramidite route and the H-phosphonate route.122, 123
Scheme 12.
Synthesis of TriPPPro-prodrugs 38 using via P(III) and P(V) chemistry. (i) Triethylamine, THF, 0 C-rt, 20 h; (ii) 1. 5-chlorosaligenylchlorophosphite, N,N-diisopropylethylamine, CH3CN, − 20 C-rt, 3 h, 2. t-BuOOH in n-decane, 0 C-rt, 30 min; (iii) (H2PO4)Bu4N, DMF, rt., 20 h; (iv) 1. DCI, CH3CN, rt., 1 min, 2. t-BuOOH in n-decane, 0 C-rt,15 min; (v) pyridine, 38°C, 2 h; (vi) 1. NCS, CH3CN, rt., 2 h, 2. (H2PO4)Bu4N, CH3CN, rt., 1 h (vii) 1. TFAA, Et3N, CH3CN, 0 C, 10 min, 2. 1-methylimidazole, Et3N, CH3CN, 0 C-rt, 10 min, 3. NMP, rt., 1–3 h.
In the initial studies, TriPPPro-d4TTPs 38 bearing two biodegradable masking groups (alkyl, alkoxyl, and aminoalkyl chains) attached to the γ-phosphate group of d4TTP were prepared using the phosphoramidite route with modest to good chemical yields (26–70%). The P(III) chemistry was similar to our previously reported phosphoramidite chemistry used for the synthesis of DiPPro-prodrugs.110, 112 The difference was that the P(III)-compounds 27 were reacted with d4TDP instead of d4TMP, as the nucleotide components. For this, phosphoramidites 27 were prepared in high yields.110, 112 D4TDP was synthesized using the cycloSal-technique (55% yield). Then, compounds 27 were mixed with d4TDP in the presence of dicyanoimidazol (DCI). After oxidation, the target products were purified by automated column RP-18 chromatography.
Additionally, a further method (H-phosphonate route) was developed. The chemistry was based on a coupling reaction of pyrophosphate 41 (P(V)-reagent) and NMPs. H-Phosphonate 40 was easily prepared from 4-acyloxybenzyl alcohol 25e and diphenyl hydrogen phosphonate (DPP) 39. The H-phosphonate 40 was reacted with N-chlorosuccinimide (NCS) to generate a phosphorochloridate which was then reacted with tetra-n-butylammonium phosphate to yield pyrophosphate 41 in almost quantitative yields. Due to its high chemical instability, compound 41 was quickly purified by extraction (CH2Cl2/H2O) and immediately used in the next step. Finally, compound 41 was activated with trifluoroacetic acid anhydride (TFAA) and N-methylimidazole,124, 125 then reacted with NMPs to give TriPPPro-NTPs 38 (n-Bu4N+ form). The target TriPPPro-NTPs 38 (NH4 + form) were obtained in yields between 7% and 71% using the above separation method. As compared to the phosphoramidite pathway, the H-phosphonate route offers some advantages: (i) NMPs are generally easier to prepare as the corresponding NDPs, (ii) the diphosphate bond between the α- and β-phosphates was formed without oxidation step, (iii) the method was more tolerant to the used solvents, and (iv) the chemical stability of compound 40 was higher than that of the phosphoramidites 27.
In order to study the hydrolysis properties and the delivery mechanism of TriPPPro-compounds 38, the mono-masked acyloxybenzyl (AB)-NTP derivatives 43 were synthesized as well (Scheme 13 ). First, 4-acyloxybenzyl alcohols 25 reacted with 5-nitrosaligenylchlorophosphite 15 to synthesis benzyl-(5-nitro-cycloSal)-phosphate triesters 42 in high yields (up to 89%). Then, the mono-masked triphosphates 43 were prepared from 5-nitro-cycloSal-triesters 42 and d4TDP in yields of 26–30%.
Scheme 13.
Synthesis of mono-masked NTPs 43.
In PBS, generally the half-lives of γ-(AB;AB)-d4TTPs 38a-h increased with increasing acyl chain lengths (AB:C1-C13). TriPPPro-d4TTPs 38 hydrolyzed following similar cleavage pathways as described for DiPPro-d4TDPs 28 (Scheme 8). In all cases to some extent, d4TDP was formed as well and a very low amount of d4TMP was observed in addition to the expected predominate formation of γ-(AB)-d4TTPs 43 and d4TTP, indicating that TriPPPro-d4TTPs 38 hydrolyzed mainly followed pathway A (A 1 and A 2; Scheme 14 ).
Scheme 14.
Hydrolysis mechanism of TriPPPro-prodrugs 38 in PBS (pH 7.3) (shown for d4T as an example).
Furthermore, after complete conversion of the starting TriPPPro-d4TTPs 38, no further increase of amounts of d4TDP and d4TMP was observed. It was concluded that d4TDP and d4TMP were formed from TriPPPro-d4TTPs 38 by a nucleophilic attack at the γ-phosphate (pathway B) or β-phosphate (pathway C) moiety, respectively. As observed for DiPPro-d4TDPs 28, 112 the stability of the intermediately formed γ-(AB)-d4TTPs 43 (t1/2 = 95–637 h)122 was higher than the corresponding TriPPPro-d4TTPs 38 (t1/2 = 17–99 h),122 which was in agreement with the results obtained from the studies of prodrugs 28 in PBS. Interestingly, TriPPPro-NTPs 38 were also hydrolyzed to form γ-(AB)-NTPs as 43 and then released the corresponding NTPs in PBS. The hydrolysis pathways leading to the different phosphorylated nucleotide metabolites are shown in Scheme 14.
The TriPPPro-concept is designed to be cleaved by esterases/lipases. As compared to the chemical hydrolyses, TriPPPro-compounds 38 were rapidly hydrolyzed with PLE and formed intermediates 43 demonstrating the enzymatic cleavage. The cleavage of intermediates 43 was again much slower than for TriPPPro-prodrugs 38. Again, TriPPPro-compounds 38 were also readily cleaved to form intermediates 43 in CEM/0 cell extracts and then delivered the corresponding NTPs. In addition to NTPs (e.g., d4TTP, t1/2 = 38 min)122 also a high amount of NDPs (e.g., d4TDP, t1/2 = 59 h)122 were detected as well, probably due to the presence of dephosphorylating enzymes in cell extracts.
To confirm the TriPPPro-concept, primer extension assays were performed with HIV's reverse transcriptase (HIV-RT) after hydrolysis of γ-(AB-C8;AB-C8)-d4TTP. As expected, an immediate DNA chain termination was observed after incorporation of d4TMP, indicating that d4TTP (substrate for RT) was released from γ-(AB-C8;AB-C8)-d4TTP with PLE. Additionally, the thymidine-bearing γ-(AB-C8;AB-C8)-TTP was investigated in the same way. The hydrolysis of γ-(AB-C8;AB-C8)-TTP was performed and then the hydrolysis mixture was added to the polymerase assay. Here, the expected canonical incorporation of TMP was observed because the delivered TTP was accepted by HIV-RT as a substrate.
TriPPPro-prodrugs 38 were tested against HIV replication in infected wild-type (CEM/0) and TK-deficient (CEM/TK−) cell cultures. TriPPPro-d4TTPs 38 showed virtually similar activities against HIV-1 and HIV-2 as compared to the parent d4T in infected wild-type (CEM/0) cells. Importantly, good to very good antiviral activity of TriPPPro-d4TTPs 38 (R ≥ C8H17) was detected in CEM/TK− cells with 15–535-fold improved activity as compared to the nucleoside. It was concluded from these studies that TriPPPro-d4TTPs 38 with biodegradable masking groups efficiently enter cells and deliver d4TTP, thereby bypass all intracellular phosphorylation steps. Again, TriPPPro-NTPs 38 (AB:C8;AB:C8) bearing different nucleoside analogs were active against HIV-1 and HIV-2 in infected wild-type (CEM/0) cell cultures, more importantly, they remained active in CEM/TK− cells as well.123
6.2. Non-symmetric TriPPPro-nucleoside triphosphate prodrugs
The first generation TriPPPro-prodrugs 38 comprised two identical biodegradable masking moieties and enabled the delivery of NTPs inside cells. In the case of TriPPPro-d4TTPs 38, the desired cleavage of the phenol ester dominated, consequently, the prodrug mainly yielded the corresponding intermediates 43 and then released d4TTP (Scheme 14). From the results summarized for TriPPPro-d4TTPs 38, the stability and antiviral activity were related to the alkyl chain length attached to the acyl residues. The shorter alkyl chain length led to lower stability of TriPPPro-d4TTPs 38 (AB:C1-C6) with no antiviral activity. In addition, TriPPPro-d4TTPs 38 (AB:C8-C15) comprising longer alkyl residues in the ester moiety exhibited higher chemical and biological stability and also higher antiviral activity. Compared to acyloxy ester TriPPPro-compounds, the alkyl carbonate functional groups (ACB) increase the stability of these prodrugs. These observations formed the basis for our research to conduct a study on a series of NTP prodrugs bearing two different biodegradable masking groups (R1 ≠ R2). Non-symmetric TriPPPro-prodrugs bearing two different biodegradable masking groups (AB or ACB) are shown in Scheme 15 .126, 127, 128
Scheme 15.
Synthesis of TriPPPro-prodrugs 47 (d4T as an example) and intermediates 51 via H-phosphonate route.
In 2020, we first described the non-symmetric γ-(AB;ACB)-d4TTPs (Scheme 15) with the aim to deliver d4TTP with high selectivity in PBS and by enzyme-triggered reactions in CEM cell extracts.126 Studies have shown that the introduction of these different groups led to the selective formation of γ-(ACB)-d4TTPs 51 by chemical hydrolysis and in particular in cell extracts. Subsequently, the use of the TriPPPro-concept on a series of approved and also on so-far non-active nucleoside analogs was described to demonstrate the general applicability and the great potential that this approach promises (γ-(AB;ACB)-NTPs 47; Scheme 15).127 For comparison, we also made and studied TriPPPro-prodrugs (γ-(AB;AB)-d4TTPs) comprising two different AB moieties.128
6.3. Synthesis of non-symmetric TriPPPro-prodrugs 47 and γ-(ACB)-d4TTPs 51
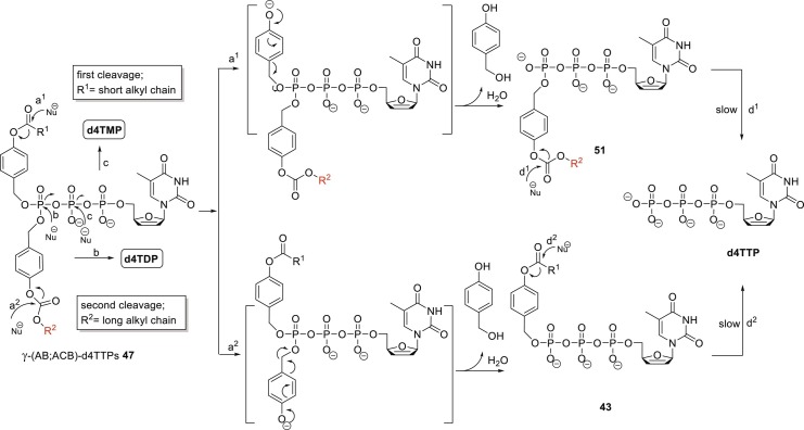
TriPPPro-prodrugs 47 were preferably prepared using the H-phosphonate chemistry (up to 85% yield).126, 127, 128 As shown in Scheme 15, the non-symmetric H-phosphonates 45 were stepwise activated with trifluoroacetic acid anhydride (TFAA) and N-methylimidazole and reacted with d4TMP to yield TriPPPro-prodrugs 47.123 In addition to the γ-(AB;ACB)-d4TTPs 47, the mono-masked intermediates 51 were synthesized as well (Scheme 15).126 H-Phosphonates 48 were synthesized from DPP, 3-hydroxypropionitrile, and 4-alkoxycarbonyloxybenzyl alcohols 44. H-Phosphonates 48 were converted into pyrophosphates 49 and then reacted with d4TMP to form γ-(ACB;β-cyanoethyl)-d4TTPs 50 (n-Bu4N+ form). It was found that the crude product was hydrolyzed during the ion-exchange to yield the mixture of γ-(ACB;β-cyanoethyl)-d4TTPs 50 (NH4 + form, yields of 52–63%) and γ-(ACB)-d4TTPs 51 (NH4 + form, yields of 10–23%). We assumed that the β-cyanoethyl protecting group was cleaved by the known β-elimination leading to γ-(ACB)-d4TTPs 51.
As before, TriPPPro-prodrugs 47 were studied in PBS (25 mM, pH 7.3), pig liver esterase (PLE), and CEM cell extracts. The calculated half-lives of prodrugs 47 reflect the removal of the AB group and/or the ACB group to yield the corresponding intermediates, γ-(AB)-d4TTPs 43 and γ-(ACB)-d4TTPs 51, respectively. Possible hydrolysis pathways of TriPPPro-d4TTPs 47 are summarized in Scheme 16 .
Scheme 16.
Hydrolysis and delivery mechanism of TriPPPro-d4TTPs 47.
Generally, the chemical stability of TriPPPro-d4TTPs 47 (AB-C2;ACB:C9-C16) (t1/2 = 25–83 h) increased with increasing alkyl chain lengths. However, half-lives of more lipophilic compounds 47 (AB-C3-C9;ACB:C12-C18) remained in the same range (t1/2 = 74–90 h).126 The half-lives of the carbonate intermediates 51 were significantly higher than those of γ-(AB;ACB)-d4TTPs 47. Moreover, chemical stabilities of γ-alkyl carbonate bearing γ-(ACB)-d4TTPs 51 were higher than the corresponding ester intermediates γ-(AB)-d4TTPs 43, which was in full agreement with the results observed from the studies of γ-(AB;ACB)-d4TTPs 47 in PBS. The half-life for γ-(ACB-C16)-d4TTP (t1/2 > 1600 h)126 was almost 3-fold higher as compared to the studies of γ-(AB-C17)-d4TTP (t1/2 = 580 h)122 described before. In the case of γ-(AB-C11;ACB-C6)-d4TTP, the γ-(AB-C11)-d4TTP/γ-(ACB-C6)-d4TTP ratio was found to be 1:3. In addition, the half-life of γ-(AB-C11)-d4TTP (t1/2 = 460 h)122 was also found to be lower than that for γ-(ACB-C6)-d4TTP (t1/2 = 540 h).126
As an example, when γ-(AB-C2;ACB-C16)-d4TTP126 was totally consumed after incubation for 50 days in PBS, both intermediates γ-(ACB-C16)-d4TTP (mainly) and γ-(AB-C2)-d4TTP (trace) were formed although in very different concentration and thus, the hydrolysis proceeded highly selective. Both masking groups of γ-(AB;ACB)-d4TTPs 47 were involved in the chemical hydrolysis pathway a1 and pathway a2 (Scheme 16). Before complete consumption of the starting γ-(AB-C2;ACB-C16)-d4TTP, an increase of d4TTP and γ-(ACB-C16)-d4TTP concentrations and a very small amount of γ-(AB-C2)-d4TTP were observed, which supports that the γ-(AB-C2)-d4TTP was prone to hydrolysis to form d4TTP.
With PLE, TriPPPro-compounds 47 were rapidly hydrolyzed (t1/2 = 0.17–13.8 h).126, 127, 128 In the case of the enzymatically catalyzed hydrolysis of γ-(AB-C4;ACB-C16)-NTPs 47, both hydrolysis intermediates γ-(ACB-C16)-NTPs and γ-(AB-C4)-NTPs were formed in markedly different amounts. Both intermediates first accumulated and later were slowly hydrolyzed to yield NTPs. As in PBS, the highly selective cleavage of the AB group (e.g., AB-C2) led to the formation of γ-(ACB-C16)-NTPs. In contrast, for the hydrolysis of γ-(AB-C4;AB-C15)-d4TTP, both possible intermediates γ-(AB-C14)-d4TTP and γ-(AB-C15)-d4TTP were formed in almost identical amounts.
As before, TriPPPro-compounds 47 were quickly hydrolyzed in CEM/0 cell extracts and delivered the two intermediates. However, the stabilities of γ-(AB;ACB)-d4TTPs were in the range of 0.8–6.4 h without showing a clear trend. Interestingly, our studies have shown that γ-(AB;ACB)-d4TTPs were readily cleaved to form intermediates γ-(ACB)-d4TTPs 51 but in low concentrations in CEM/0 cell extracts. In addition, a small amount of d4TTP and a large amount of d4TDP were detected due to the fast dephosphorylation of the d4TTP (t1/2 = 38 min)122 by phosphorylases/kinases present in the cell extracts. These results were in line with the previous results of the symmetric TriPPPro-prodrugs 38. Moreover, in case of γ-(AB-C11;ACB-C6)-d4TTP, a predominant formation of γ-(ACB-C6)-d4TTP was observed, the ratio of γ-(AB-C11)-d4TTP and γ-(ACB-C6)-d4TTP was 1:10 after 8 h incubation in CEM/0 cell extracts. This was in full agreement with the results obtained from the studies of this compound in PBS that an almost selective cleavage took place in cell extracts with the AB-moiety being cleaved first. More importantly, it was proven that NTPs were also successfully released from the TriPPPro-NTPs 47 (AB-C4;ACB:C16) in cell extracts.127 In all cases, the enzymatic cleavage also took place for the mono-masked intermediates γ-(AB-C4)-NTPs and γ-(ACB-C6)-NTPs, respectively. Again, NTPs were detected in low concentrations only because of the fast enzymatic dephosphorylation by phosphorylases/kinases (main product) and ultimately NMPs. In contrast to γ-(AB-C2;ACB-C16)-d4TTP, no selective cleavage of the different AB-masks of γ-(AB;AB)-d4TTPs was observed in the hydrolysis in CEM cell extracts.128
Prodrugs 47 and intermediates 51 were evaluated for HIV replication inhibition in HIV-1/2-infected wild-type CEM/0 cells and in HIV-2-infected mutant thymidine kinase-deficient (CEM/TK−) cells, and the different nucleoside analogs as reference compounds. For γ-(AB-C2;ACB-C16)-d4TTP (EC50 = 0.027 μM/HIV-1, EC50 = 0.0048 μM/HIV-2), the antiviral activity in this infected cell line improved by 16-fold and 65-fold, respectively, as compared to d4T (EC50 = 0.43 μM/HIV-1, EC50 = 0.31 μM/HIV-2).126 More importantly, also high activities were obtained depending on the lipophilicity of the γ-(AB;ACB)-d4TTPs against HIV-2 in this thymidine kinase-deficient (CEM/TK−) cell model. With γ-(AB-C2;ACB-C16)-d4TTP (EC50 = 0.11 μM/HIV-2) the antiviral activity in this infected cell line was improved by a 282-fold as compared to d4T (EC50 = 31.05 μM/HIV-2). However, the antiviral activity detected in CEM/0 cell cultures decreased in the case of γ-(AB-C2;ACB-C16)-d4TTP in CEM/TK− cells (23-fold), potentially due to the instability of the these prodrugs in addition to a fast cleavage of the bioreversible AB- or ACB-moiety. We speculated that γ-(AB;ACB)-d4TTPs 47 were rapidly hydrolyzed in cell extracts and d4TTP was present in insufficient concentrations (fast dephosphorylation) to exhibit anti-HIV activity in cells. Moreover, it cannot be excluded that the antiviral activity observed in the infected CEM/TK− deficient cells was at least in part due to the formation of d4TDP and d4TMP. In the hydrolysis of γ-(AB-C2;ACB-C16)-d4TTP in cell extracts, a large amount of d4TDP and some d4TMP were detected.126 Interestingly, the intermediate γ-(ACB-C16)-d4TTP (EC50 = 1.46 μM/HIV-2) was also potent in CEM/TK− cell cultures, indicating that even one long aliphatic chain in the ACB-units provides enough lipophilicity to enable a cellular uptake of the aliphatic γ-(AB;ACB)-d4TTPs.
More interestingly, the high potential of the TriPPPro-approach was also demonstrated by the nucleoside triphosphate prodrugs 47 bearing different nucleoside analogs.127 These prodrugs proved also highly potent in CEM/TK− cells, whereas their parent nucleosides lacked any relevant antiviral activity in wild-type CEM/0 cell model. It was confirmed that these TriPPPro-NTPs 47 were also taken-up by the cells and delivered intracellularly a phosphorylated form of the parent nucleosides, most likely NTPs. Therefore, it was confirmed that the TriPPPro-strategy enabled the intracellular delivery of NTPs, and the concept could be used to convert inactive nucleoside analogs into powerful biologically active metabolites.
6.4. Nucleoside triphosphate prodrugs: T-1106-TriPPPro-prodrugs
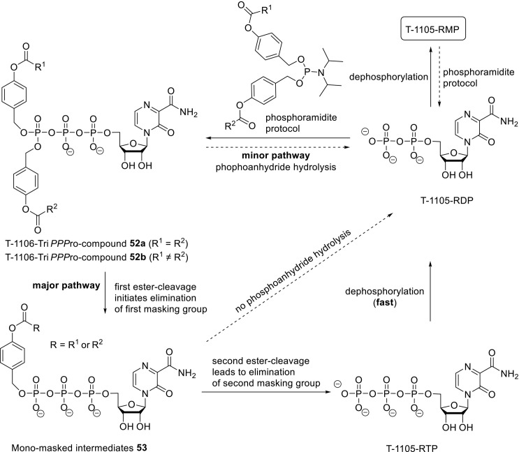
Encouraged by the previously obtained results, we synthesized two T-1106-TriPPPro prodrugs 52, the symmetrical T-1106-TriPPPro prodrug 52a (AB-C9;AB-C9) and the non-symmetrical T-1106-TriPPPro prodrug 52b (AB-C4;AB-C14), with the aim of achieving metabolic bypass and superior antiviral potency.46 T-1106-TriPPPro-prodrugs 52 were prepared using the phosphoramidite protocol (Scheme 17 ).110, 113 The conversion of T-1106-RDP to T-1106-TriPPPro prodrugs 52a,b resulted in yields of 27% and 44%. Due to the already mentioned stability problems, until now we were unable to synthesize the T-705-RTP prodrug. T-1106-TriPPPro prodrugs 52 were also studied with regard to their chemical and biological stabilities and their hydrolysis products in PBS (pH 7.3, Fig. 4B, condition without esterase), PLE (Fig. 4B, condition with esterase), and crude enzyme preparations (i.e., MDCK and MDCK TGres cell extracts) (Fig. 5). Additionally, these prodrugs were evaluated for their anti-influenza virus activity in wild-type and HGPRT-deficient cells.
Scheme 17.
Synthesis and hydrolysis mechanism of T-1106-TriPPPro-prodrugs 52.
Similar to the cleavage pathway for TriPPPro-d4TTPs 38, T-1106-TriPPPro prodrug 52a (AB-C9;AB-C9) was hydrolyzed to give the monomasked intermediate 53 (AB-C9) with some concomitant cleavage to T-1105-RTP and subsequently T-1105-RDP (Fig. 4B). Interestingly, the mono-masked triphosphate intermediates 53 proved to be more stable than the corresponding mono-masked T-1106-DiPPro-compounds 37 (Fig. 4A and B). However, when T-1106-TriPPPro-prodrugs 52a,b were exposed to crude enzyme preparations (i.e., MDCK or MDCK TGres cell extracts), no T-1105-RTP was observed, probably due to its fast dephosphorylation after initial formation (Fig. 5). Compared to the T-1106-DiPPro-prodrugs 36, after 2 h incubation, a higher amount of T-1105-RDP was detected from the corresponding T-1106-TriPPPro-prodrugs 52a,b (Fig. 5, compare dark gray stacks). As shown in Fig. 5, the stability of the T-1106-TriPPPro-prodrugs 52a,b was found to be lower than the corresponding T-1106-DiPPro-prodrugs 36a,b, respectively. In addition, the enzymatic cleavage of the symmetric T-1106-TriPPPro-prodrug 52a proceeded faster than the non-symmetric T-1106-TriPPPro-prodrug 52b.
The anti-influenza activity of T-1106-TriPPPro-prodrugs 52a,b in MDCK and MDCK-TGres cells was lower as compared to T-1106-DiPPro-prodrugs 36a,b (Table 1). T-1106-TriPPPro-prodrugs 52a (AB-C9;AB-C9) and 52b (AB-C4;AB-C14) had EC50 values of 2.8 μM and 7.2 μM, respectively. We assumed that the difference in antiviral activity may be caused by the differences in cell membrane permeability. Moreover, this ranking in antiviral activity corresponds to the ranking in activation rate (Fig. 5). Interestingly, T-1106-TriPPPro prodrugs 52a,b also retained their anti-influenza activity in HGPRT-deficient MDCK-TGres cells. For instance, T-1106-TriPPPro-prodrugs 52a (AB-C9;AB-C9) had an average EC50 value of 2.8 μM in MDCK cells versus 2.5 μM in MDCK-TGres cells (Table 1). Therefore, the T-1106-TriPPPro-prodrugs 52 were successfully released T-1105-RTP, thus bypassing their HGPRT and kinase dependence (Fig. 1). The T-1106-TriPPPro-prodrugs 52 enabled the bypass the second step of the intracellular phosphorylation in cells, i.e., phosphorylation of T-1105-RMP to T-1105-RDP. We proved that the conversion of T-1106-RDP into T-1106-RTP was not limiting. This was shown in enzymatic studies.
7. Conclusion
The results summarized in this minireview show that nucleoside analogs still have enormous potential to be used as antivirals mainly as inhibitors of the viral polymerases as described here with the example of T-1105-RTP and the RNA-dependent-RNA-polymerase of SARS-CoV-2. Although this polymerase has a proof-reading system, the incorporated T-1105-RMP at least in part escapes its repair after incorporation. With the already known broad-spectrum antiviral activity of Favipiravir (T-705) this may also lead in the case of T-1105 or even other derivatives thereof to broad spectrum antivirals. Moreover, the application of nucleotide delivery approaches may contribute significantly to the improvement of antivirally active nucleoside analogs. This was already accepted in the past for the use of nucleoside monophosphate prodrugs such as the phosphoramidate system, but here we described results that in other cases the intracellular delivery of nucleoside monophosphates is not sufficient for the improvement of the antiviral activity due to metabolic hurdles that appear after the conversion into the monophosphate. In such cases nucleoside di- or even nucleoside triphosphate prodrug systems can help to overcome these limitations. This has been shown here by the failure of the application of the cycloSal-nucleoside monophosphate delivery approach and the use of the DiPPro- or the TriPPPro-nucleoside di- or triphosphate compounds. The chemical synthesis routes towards these latter compounds are now robust and can be applied to a large variety of nucleoside analogs. We are convinced that the further development of these prodrug systems of higher phosphorylated nucleosides will have an important impact in nucleoside drug development.
References
- 1.Annual Review of Diseases Prioritized Under the Research and Development Blueprint. WHO Research and Development Blueprint; 2018. [Google Scholar]
- 2.Iuliano A.D., Roguski K.M., Chang H.H. Estimates of Global Seasonal Influenza-Associated Respiratory Mortality: A Modelling Study. Lancet. 2018;391:1285–1300. doi: 10.1016/S0140-6736(17)33293-2. [DOI] [PMC free article] [PubMed] [Google Scholar]
- 3.Kaner, J.; Schaack, S. Understanding Ebola: The 2014 Epidemic. Glob. Health 2016, 12, 53–60. [DOI] [PMC free article] [PubMed]
- 4.Xia H.J., Xie X.P., Shan C., Shi P.Y. Potential Mechanisms for Enhanced Zika Epidemic and Disease. Acs Infect. Dis. 2018;4:656–659. doi: 10.1021/acsinfecdis.8b00004. [DOI] [PubMed] [Google Scholar]
- 5.Wu F., Zhao S., Yu B., Chen Y.M., Wang W., Song Z.G., Hu Y., Tao Z.W., Tian J.H., Pei Y.Y., Yuan M.L., Zhang Y.L., Dai F.H., Liu Y., Wang Q.M., Zheng J.J., Xu L., Holmes E.C., Zhang Y.Z. A New Coronavirus Associated with Human Respiratory Disease in China. Nature. 2020;579:265–269. doi: 10.1038/s41586-020-2008-3. [DOI] [PMC free article] [PubMed] [Google Scholar]
- 6.Zhu N., Zhang D.Y., Wang W.L., Li X.W., Yang B., Song J.D., Zhao X., Huang B.Y., Shi W.F., Lu R.J., Niu P.H., Zhan F.X., Ma X.J., Wang D.Y., Xu W.B., Wu G.Z., Gao G.G.F., Tan W.J., Coronavirus C.N. A Novel Coronavirus from Patients with Pneumonia in China, 2019. N. Engl. J. Med. 2020;382:727–733. doi: 10.1056/NEJMoa2001017. [DOI] [PMC free article] [PubMed] [Google Scholar]
- 7.WHO . Coronavirus (COVID-19) Dashboard; 2021. https://www.who.int/emergencies/diseases/novel-coronavirus-2019 (accessed September 9, 2021) [Google Scholar]
- 8.Wu R., Wang L., Kuo H.D., Shannar A., Peter R., Chou P.J., Li S., Hudlikar R., Liu X., Liu Z., Poiani G.J., Amorosa L., Brunetti L., Kong A.N. An Update on Current Therapeutic Drugs Treating COVID-19. Curr. Pharmacol. Rep. 2020:1–15. doi: 10.1007/s40495-020-00216-7. [DOI] [PMC free article] [PubMed] [Google Scholar]
- 9.Chaudhuri S., Symons J.A., Deval J. Innovation and Trends in the Development and Approval of Antiviral Medicines: 1987-2017 and Beyond. Antivir. Res. 2018;155:76–88. doi: 10.1016/j.antiviral.2018.05.005. [DOI] [PMC free article] [PubMed] [Google Scholar]
- 10.Burton J.R., Everson G.T. HCV NS5B Polymerase Inhibitors. Clin. Liver Dis. 2009;13:453–465. doi: 10.1016/j.cld.2009.05.001. [DOI] [PubMed] [Google Scholar]
- 11.Cihlar T., Ray A.S. Nucleoside and Nucleotide HIV Reverse Transcriptase Inhibitors: 25 Years after Zidovudine. Antivir. Res. 2010;85:39–58. doi: 10.1016/j.antiviral.2009.09.014. [DOI] [PubMed] [Google Scholar]
- 12.Jordheim L.P., Durantel D., Zoulim F., Dumontet C. Advances in the Development of Nucleoside and Nucleotide Analogues for cancer and Viral Diseases. Nat. Rev. Drug Discov. 2013;12:447–464. doi: 10.1038/nrd4010. [DOI] [PubMed] [Google Scholar]
- 13.Deval J. Antimicrobial Strategies Inhibition of Viral Polymerases by 3′-Hydroxyl Nucleosides. Drugs. 2009;69:151–166. doi: 10.2165/00003495-200969020-00002. [DOI] [PubMed] [Google Scholar]
- 14.Wang G.Y., Wan J.G., Hu Y.J., Wu X.Y., Prhavc M., Dyatkina N., Rajwanshi V.K., Smith D.B., Jekle A., Kinkade A., Symons J.A., Jin Z.N., Deval J., Zhang Q.L., Tam Y., Chanda S., Blatt L., Beigelman L. Synthesis and Anti-Influenza Activity of Pyridine, Pyridazine, and Pyrimidine C-Nucleosides as Favipiravir (T-705) Analogues. J. Med. Chem. 2016;59:4611–4624. doi: 10.1021/acs.jmedchem.5b01933. [DOI] [PubMed] [Google Scholar]
- 15.Atta M.G., De Seigneux S., Lucas G.M. Clinical Pharmacology in HIV Therapy. Clin. J. Am. Soc. Nephrol. 2019;14:435–444. doi: 10.2215/CJN.02240218. [DOI] [PMC free article] [PubMed] [Google Scholar]
- 16.Li G.D., De Clercq E. Therapeutic Options for the 2019 Novel Coronavirus (2019-nCoV) Nat. Rev. Drug Discov. 2020;19:149–150. doi: 10.1038/d41573-020-00016-0. [DOI] [PubMed] [Google Scholar]
- 17.Elfiky A., Ribavirin A. Remdesivir, Sofosbuvir, Galidesivir, and Tenofovir Against SARS-CoV-2 RNA Dependent RNA Polymerase (RdRp): A Molecular Docking Study. Life Sci. 2020;253:117592. doi: 10.1016/j.lfs.2020.117592. [DOI] [PMC free article] [PubMed] [Google Scholar]
- 18.Furuta Y., Gowen B.B., Takahashi K., Shiraki K., Smee D.F., Barnard D.L. Favipiravir (T-705), a Novel Viral RNA Polymerase Inhibitor. Antivir. Res. 2013;100:446–454. doi: 10.1016/j.antiviral.2013.09.015. [DOI] [PMC free article] [PubMed] [Google Scholar]
- 19.Furuta Y., Takahashi K., Shiraki K., Sakamoto K., Smee D.F., Barnard D.L., Gowen B.B., Julander J.G., Morrey J.D. T-705 (Favipiravir) and Related Compounds: Novel Broad-Spectrum Inhibitors of RNA Viral Infections. Antivir. Res. 2009;82:95–102. doi: 10.1016/j.antiviral.2009.02.198. [DOI] [PMC free article] [PubMed] [Google Scholar]
- 20.Takahashi K., Furuta Y., Fukuda Y., Kuno M., Kamiyama T., Kozaki K., Nomura N., Egawa H., Minami S., Shiraki K. In Vitro and In Vivo Activities of T-705 and Oseltamivir against Influenza Virus. Antivir. Chem. Chemother. 2003;14:235–241. doi: 10.1177/095632020301400502. [DOI] [PubMed] [Google Scholar]
- 21.Furuta Y., Takahashi K., Fukuda Y., Kuno M., Kamiyama T., Kozaki K., Nomura N., Egawa H., Minami S., Watanabe Y., Narita H., Shiraki K. In Vitro and In Vivo Activities of Anti-Influenza Virus Compound T-705. Antimicrob. Agents Chemother. 2002;46:977–981. doi: 10.1128/AAC.46.4.977-981.2002. [DOI] [PMC free article] [PubMed] [Google Scholar]
- 22.Furuta Y., Takahashi K., Kuno-Maekawa M., Sangawa H., Uehara S., Kozaki K., Nomura N., Egawa H., Shiraki K. Mechanism of Action of T-705 Against Influenza Virus. Antimicrob. Agents Chemother. 2005;49:981–986. doi: 10.1128/AAC.49.3.981-986.2005. [DOI] [PMC free article] [PubMed] [Google Scholar]
- 23.Oestereich L., Rieger T., Ludtke A., Ruibal P., Wurr S., Pallasch E., Bockholt S., Krasemann S., Munoz-Fontela C., Gunther S. Efficacy of Favipiravir Alone and in Combination with Ribavirin in a Lethal, Immunocompetent Mouse Model of Lassa Fever. J. Infect. Dis. 2016;213:934–938. doi: 10.1093/infdis/jiv522. [DOI] [PMC free article] [PubMed] [Google Scholar]
- 24.Tani H., Fukuma A., Fukushi S., et al. Efficacy of T-705 (Favipiravir) in the Treatment of Infections with Lethal Severe Fever with Thrombocytopenia Syndrome Virus. mSphere. 2016;1:e00061–15. doi: 10.1128/mSphere.00061-15. [DOI] [PMC free article] [PubMed] [Google Scholar]
- 25.Oestereich L., Ludtke A., Wurr S., Rieger T., Munoz-Fontela C., Gunther S. Successful Treatment of Advanced Ebola Virus Infection with T-705 (Favipiravir) in a Small Animal Model. Antivir. Res. 2014;105:17–21. doi: 10.1016/j.antiviral.2014.02.014. [DOI] [PubMed] [Google Scholar]
- 26.Yamada K., Noguchi K., Komeno T., Furuta Y., Nishizono A. Efficacy of Favipiravir (T-705) in Rabies Postexposure Prophylaxis. J. Infect. Dis. 2016;213:1253–1261. doi: 10.1093/infdis/jiv586. [DOI] [PMC free article] [PubMed] [Google Scholar]
- 27.Delang L., Guerrero N.S., Tas A., Querat G., Pastorino B., Froeyen M., Dallmeier K., Jochmans D., Herdewijn P., Bello F., Snijder E.J., de Lamballerie X., Martina B., Neyts J., van Hemert M.J., Leyssen P. Mutations in the Chikungunya Virus Non-structural Proteins Cause Resistance to Favipiravir (T-705), a Broad-Spectrum Antiviral. J. Antimicrob. Chemother. 2014;69:2770–2784. doi: 10.1093/jac/dku209. [DOI] [PubMed] [Google Scholar]
- 28.Julander J.G., Smee D.F., Morrey J.D., Furuta Y. Effect of T-705 Treatment on Western Equine Encephalitis in a Mouse Model. Antivir. Res. 2009;82:169–171. doi: 10.1016/j.antiviral.2009.02.201. [DOI] [PMC free article] [PubMed] [Google Scholar]
- 29.Morrey J.D., Taro B.S., Siddharthan V., Wang H., Smee D.F., Christensen A.J., Furuta Y. Efficacy of Orally Administered T-705 Pyrazine Analog on Lethal West Nile Virus Infection in Rodents. Antivir. Res. 2008;80:377–379. doi: 10.1016/j.antiviral.2008.07.009. [DOI] [PMC free article] [PubMed] [Google Scholar]
- 30.Scharton D., Bailey K.W., Vest Z., Westover J.B., Kumaki Y., Van Wettere A., Furuta Y., Gowen B.B. Favipiravir (T-705) Protects against Peracute Rift Valley Fever Virus Infection and Reduces Delayed-Onset Neurologic Disease Observed with Ribavirin Treatment. Antivir. Res. 2014;104:84–92. doi: 10.1016/j.antiviral.2014.01.016. [DOI] [PMC free article] [PubMed] [Google Scholar]
- 31.Oestereich L., Rieger T., Neumann M., Bernreuther C., Lehmann M., Krasemann S., Wurr S., Emmerich P., de Lamballerie X., Olschlager S., Gunther S. Evaluation of Antiviral Efficacy of Ribavirin, Arbidol, and T-705 (Favipiravir) in a Mouse Model for Crimean-Congo Hemorrhagic Fever. PLoS Negl. Trop. Dis. 2014;8 doi: 10.1371/journal.pntd.0002804. [DOI] [PMC free article] [PubMed] [Google Scholar]
- 32.Julander J.G., Shafer K., Smee D.F., Morrey J.D., Furuta Y. Activity of T-705 in a hamster Model of Yellow Fever Virus Infection in Comparison with that of a Chemically Related Compound, T-1106. Antimicrob. Agents Chemother. 2009;53:202–209. doi: 10.1128/AAC.01074-08. [DOI] [PMC free article] [PubMed] [Google Scholar]
- 33.Safronetz D., Falzarano D., Scott D.P., Furuta Y., Feldmann H., Gowen B.B. Antiviral Efficacy of Favipiravir against Two Prominent Etiological Agents of Hantavirus Pulmonary Syndrome. Antimicrob. Agents Chemother. 2013;57:4673–4680. doi: 10.1128/AAC.00886-13. [DOI] [PMC free article] [PubMed] [Google Scholar]
- 34.De Clercq E., Li G.D. Approved Antiviral Drugs over the Past 50 Years. Clin. Microbiol. Rev. 2016;29:695–747. doi: 10.1128/CMR.00102-15. [DOI] [PMC free article] [PubMed] [Google Scholar]
- 35.Cai Q.X., Yang M.H., Liu D.J., Chen J., Shu D., Xia J.X., Liao X.J., Gu Y.B., Cai Q., Yang Y., Shen C.G., Li X.H., Peng L., Huang D.L., Zhang J., Zhang S.R., Wang F.X., Liu J.Y., Chen L., Chen S.Y., Wang Z.Q., Zhang Z., Cao R.Y., Zhong W., Liu Y.X., Liu L. Experimental Treatment with Favipiravir for COVID-19: An Open-Label Control Study. Engineering. 2020;6:1192–1198. doi: 10.1016/j.eng.2020.03.007. [DOI] [PMC free article] [PubMed] [Google Scholar]
- 36.Yamamura H., Matsuura H., Nakagawa J., et al. Effect of Favipiravir and an Anti-Inflammatory Strategy for COVID-19. Crit. Care. 2020;24:413. doi: 10.1186/s13054-020-03137-5. [DOI] [PMC free article] [PubMed] [Google Scholar]
- 37.Chen C., Zhang Y., Huang J., Yin P., Cheng Z., Wu J., Chen S., Zhang Y., Chen B., Lu M., Luo Y., Ju L., Zhang J., Wang X. Favipiravir Versus Arbidol for COVID-19: A Randomized Clinical Trial. medRxiv. 2020 https://doi.org/10.1101/2020.03.17.20037432. [Google Scholar]
- 38.Smee D.F., Hurst B.L., Egawa H., Takahashi K., Kadota T., Furuta Y. Intracellular Metabolism of Favipiravir (T-705) in Uninfected and Influenza A (H5N1) Virus-Infected Cells. J. Antimicrob. Chemother. 2009;64:741–746. doi: 10.1093/jac/dkp274. [DOI] [PMC free article] [PubMed] [Google Scholar]
- 39.Naesens L., Guddat L.W., Keough D.T., van Kuilenburg A.B.P., Meijer J., Vande Voorde J., Balzarini J. Role of Human Hypoxanthine Guanine Phosphoribosyltransferase in Activation of the Antiviral Agent T-705 (Favipiravir) Mol. Pharmacol. 2013;84:615–629. doi: 10.1124/mol.113.087247. [DOI] [PubMed] [Google Scholar]
- 40.Yu X.J., Liang M.F., Zhang S.Y., Liu Y., Li J.D., Sun Y.L., Zhang L.H., Zhang Q.F., Popov V.L., Li C., Qu J., Li Q., Zhang Y.P., Hai R., Wu W., Wang Q., Zhan F.X., Wang X.J., Kan B., Wang S.W., Wan K.L., Jing H.Q., Lu J.X., Yin W.W., Zhou H., Guan X.H., Liu J.F., Bi Z.Q., Liu G.H., Ren J., Wang H., Zhao Z., Song J.D., He J.R., Wan T., Zhang J.S., Fu X.P., Sun L.N., Dong X.P., Feng Z.J., Yang W.Z., Hong T., Zhang Y., Walker D.H., Wang Y., Li D.X. Fever with Thrombocytopenia Associated with a Novel Bunyavirus in China. N Engl J Med. 2011;364:1523–1532. doi: 10.1056/NEJMoa1010095. [DOI] [PMC free article] [PubMed] [Google Scholar]
- 41.Kaptein S.J.F., Jacobs S., Langendries L., Seldeslachts L., ter Horst S., Liesenborghs L., Hens B., Vergote V., Heylen E., Barthelemy K., Maas E., De Keyzer C., Bervoets L., Rymenants J., Van Buyten T., Zhang X., Abdelnabi R., Pang J., Williams R., Thibaut H.J., Dallmeier K., Boudewijns R., Wouters J., Augustijns P., Verougstraete N., Cawthorne C., Breuer J., Solas C., Weynand B., Annaert P., Spriet I., Velde G.V., Neyts J., Rocha-Pereira J., Delang L. Favipiravir at High Doses Has Potent Antiviral Activity in SARS-CoV-2-Infected Hamsters, Whereas Hydroxychloroquine Lacks Activity. Proc Natl Acad Sci USA. 2020;117:26955–26965. doi: 10.1073/pnas.2014441117. [DOI] [PMC free article] [PubMed] [Google Scholar]
- 42.Nagata T., Lefor A.K., Hasegawa M., Ishii M. Favipiravir: A New Medication for the Ebola Virus Disease Pandemic. Disaster Med. Public Health Prep. 2015;9:79–81. doi: 10.1017/dmp.2014.151. [DOI] [PubMed] [Google Scholar]
- 43.Huchting J., Vanderlinden E., Van Berwaer R., Meier C., Naesens L. Cell Line-Dependent Activation and Antiviral Activity of T-1105, the Non-fluorinated Analogue of T-705 (Favipiravir) Antivir. Res. 2019;167:1–5. doi: 10.1016/j.antiviral.2019.04.002. [DOI] [PubMed] [Google Scholar]
- 44.Gowen B.B., Wong M.H., Jung K.H., Sanders A.B., Mendenhall M., Bailey K.W., Furuta Y., Sidwell R.W. In Vitro and In Vivo Activities of T-705 against Arenavirus and Bunyavirus Infections. Antimicrob. Agents Chemother. 2007;51:3168–3176. doi: 10.1128/AAC.00356-07. [DOI] [PMC free article] [PubMed] [Google Scholar]
- 45.Sidwell R.W., Barnard D.L., Day C.W., Smee D.F., Bailey K.W., Wong M.H., Morrey J.D., Furuta Y. Efficacy of Orally Administered T-705 on Lethal Avian Influenza a (H5N1) Virus Infections in Mice. Antimicrob. Agents Chemother. 2007;51:845–851. doi: 10.1128/AAC.01051-06. [DOI] [PMC free article] [PubMed] [Google Scholar]
- 46.Huchting J., Vanderlinden E., Winkler M., Nasser H., Naesens L., Meier C. Prodrugs of the Phosphoribosylated Forms of Hydroxypyrazinecarboxamide Pseudobase T-705 and its de-Fluoro Analogue T-1105 as Potent Influenza Virus Inhibitors. J. Med. Chem. 2018;61:6193–6210. doi: 10.1021/acs.jmedchem.8b00617. [DOI] [PubMed] [Google Scholar]
- 47.Eriksson B., Helgstrand E., Johansson N.G., Larsson A., Misiorny A., Noren J.O., Philipson L., Stenberg K., Stening G., Stridh S., Oberg B. Inhibition of Influenza-Virus Ribonucleic-Acid Polymerase by Ribavirin Triphosphate. Antimicrob. Agents Chemother. 1977;11:946–951. doi: 10.1128/aac.11.6.946. [DOI] [PMC free article] [PubMed] [Google Scholar]
- 48.Reguera J., Gerlach P., Cusack S. Towards a Structural Understanding of RNA Synthesis by Negative Strand RNA Viral Polymerases. Curr. Opin. Struct. Biol. 2016;36:75–84. doi: 10.1016/j.sbi.2016.01.002. [DOI] [PubMed] [Google Scholar]
- 49.Ortin J., Martin-Benito J. The RNA Synthesis Machinery of Negative-Stranded RNA Viruses. Virology. 2015;479:532–544. doi: 10.1016/j.virol.2015.03.018. [DOI] [PubMed] [Google Scholar]
- 50.Ogando N.S., Zevenhoven-Dobbe J.C., Meer Y.V.D., Bredenbeek P.J., Posthuma C.C., Snijder E.J., Gallagher T. The Enzymatic Activity of the nsp14 Exoribonuclease Is Critical for Replication of MERS-CoV and SARS-CoV-2. J. Virol. 2020;94 doi: 10.1128/JVI.01246-20. e01246–20. [DOI] [PMC free article] [PubMed] [Google Scholar]
- 51.Robson F., Khan K.S., Le T.K., Paris C., Demirbag S., Barfuss P., Rocchi P., Ng W.-L. Coronavirus RNA Proofreading: Molecular Basis and Therapeutic Targeting. Mol. Cell. 2020;79:710–727. doi: 10.1016/j.molcel.2020.07.027. [DOI] [PMC free article] [PubMed] [Google Scholar]
- 52.Ferron F., Subissi L., Silveira De Morais A.T., Le N.T.T., Sevajol M., Gluais L., Decroly E., Vonrhein C., Bricogne G., Canard B., Imbert I. Structural and Molecular Basis of Mismatch Correction and Ribavirin Excision from Coronavirus RNA. PNAS. 2018;115 doi: 10.1073/pnas.1718806115. [DOI] [PMC free article] [PubMed] [Google Scholar]
- 53.Sheahan T.P., Sims A.C., Zhou S., Graham R.L., Pruijssers A.J., Agostini M.L., Leist S.R., Schäfer A., Dinnon K.H., Stevens L.J., Chappell J.D., Lu X., Hughes T.M., George A.S., Hill C.S., Montgomery S.A., Brown A.J., Bluemling G.R., Natchus M.G., Saindane M., Kolykhalov A.A., Painter G., Harcourt J., Tamin A., Thornburg N.J., Swanstrom R., Denison M.R., Baric R.S. An Orally Bioavailable Broad-Spectrum Antiviral Inhibits SARS-CoV-2 in Human Airway Epithelial Cell Cultures and Multiple Coronaviruses in Mice. Sci. Transl. Med. 2020;12 doi: 10.1126/scitranslmed.abb5883. [DOI] [PMC free article] [PubMed] [Google Scholar]
- 54.Lo H.S., Hui K.P.Y., Lai H.-M., Khan K.S., Kaur S., Huang J., Li Z., Chan A.K.N., Cheung H.H.-Y., Ng K.-C., Wang Ho J.C., Chen Y.W., Ma B., Cheung P.M.-H., Shin D., Wang K., Lee M.-H., Selisko B., Eydoux C., Guillemot J.-C., Canard B., Wu K.-P., Liang P.-H., Dikic I., Zuo Z., Chan F.K.L., Hui D.S.C., Mok V.C.T., Wong K.-B., Ko H., Aik W.S., Chan M.C.W., Ng W.-L. Simeprevir Potently Suppresses SARS-CoV-2 Replication and Synergizes with Remdesivir. ACS Cent. Sci. 2021;7:792–802. doi: 10.1021/acscentsci.0c01186. [DOI] [PMC free article] [PubMed] [Google Scholar]
- 55.Goldhill D.H., Langat P., Xie H., Galiano M., Miah S., Kellam P., Zambon M., Lackenby A., Barclay W.S.J.J.O.V. Determining the Mutation Bias of Favipiravir in Influenza Virus Using Next-Generation Sequencing. J. Virol. 2019;93 doi: 10.1128/JVI.01217-18. e01217–18. [DOI] [PMC free article] [PubMed] [Google Scholar]
- 56.Baranovich T., Wong S.-S., Armstrong J., Marjuki H., Webby R.J., Webster R.G., Govorkova E.A.J.J.O.V. T-705 (Favipiravir) Induces Lethal Mutagenesis in Influenza A H1N1 Viruses In Vitro. J. Virol. 2013;87:3741–3751. doi: 10.1128/JVI.02346-12. [DOI] [PMC free article] [PubMed] [Google Scholar]
- 57.Escribano-Romero E., Jimenez de Oya N., Domingo E., Saiz J.C.J.A.A. Chemotherapy. Extinction of West Nile virus by Favipiravir Through Lethal Mutagenesis. Antimicrob. Agents Chemother. 2017;61 doi: 10.1128/AAC.01400-17. e01400–17. [DOI] [PMC free article] [PubMed] [Google Scholar]
- 58.De Ávila A.I., Gallego I., Soria M.E., et al. Lethal Mutagenesis of Hepatitis C Virus Induced by Favipiravir. Plos One. 2016;11:e0164691. doi: 10.1371/journal.pone.0164691. [DOI] [PMC free article] [PubMed] [Google Scholar]
- 59.Arias A., Thorne L., Goodfellow I.J.E. Favipiravir Elicits Antiviral Mutagenesis During Virus Replication In Vivo. eLife. 2014;3 doi: 10.7554/eLife.03679. [DOI] [PMC free article] [PubMed] [Google Scholar]
- 60.Sangawa H., Komeno T., Nishikawa H., Yoshida A., Takahashi K., Nomura N., Furuta Y. Mechanism of Action of T-705 Ribosyl Triphosphate against Influenza Virus RNA Polymerase. Antimicrob. Agents Chemother. 2013;57:5202–5208. doi: 10.1128/AAC.00649-13. [DOI] [PMC free article] [PubMed] [Google Scholar]
- 61.Jin Z.N., Smith L.K., Rajwanshi V.K., Kim B., Deval J. The Ambiguous Base-Pairing and High Substrate Efficiency of T-705 (Favipiravir) Ribofuranosyl 5′-Triphosphate Towards Influenza A Virus Polymerase. PLoS One. 2013;8 doi: 10.1371/journal.pone.0068347. [DOI] [PMC free article] [PubMed] [Google Scholar]
- 62.Abdelnabi R., de Morais A.T.S., Leyssen P., et al. Understanding the Mechanism of the Broad-Spectrum Antiviral Activity of Favipiravir (T-705): Key Role of the F1 Motif of the Viral Polymerase. J. Virol. 2017;91:e00487–17. doi: 10.1128/JVI.00487-17. [DOI] [PMC free article] [PubMed] [Google Scholar]
- 63.Shannon A., Selisko B., Le N.T.T., et al. Rapid Incorporation of Favipiravir by the Fast and Permissive Viral RNA Polymerase Complex Results in SARS-CoV-2 Lethal Mutagenesis. Nat. Commun. 2020;11:4682. doi: 10.1038/s41467-020-18463-z. [DOI] [PMC free article] [PubMed] [Google Scholar]
- 64.Te Velthuis A.J., Arnold J.J., Cameron C.E., Van Den Worm S.H., Snijder E.J.J.N.A.R. The RNA Polymerase Activity of SARS-Coronavirus nsp12 Is Primer Dependent. Nucleic Acids Res. 2010;38:203–214. doi: 10.1093/nar/gkp904. [DOI] [PMC free article] [PubMed] [Google Scholar]
- 65.Cheng A., Zhang W., Xie Y., Jiang W., Arnold E., Sarafianos S.G., Ding J.J.V. Expression, Purification, and Characterization of SARS Coronavirus RNA Polymerase. Virology. 2005;335:165–176. doi: 10.1016/j.virol.2005.02.017. [DOI] [PMC free article] [PubMed] [Google Scholar]
- 66.Huchting J., Winkler M., Nasser H., Meier C. Synthesis of T-705-Ribonucleoside and T-705-Ribonucleotide and Studies of Chemical Stability. ChemMedChem. 2017;12:652–659. doi: 10.1002/cmdc.201700116. [DOI] [PubMed] [Google Scholar]
- 67.Dulin D., Arnold J.J., van Laar T., Oh H.S., Lee C., Perkins A.L., Harki D.A., Depken M., Cameron C.E., Dekker N.H. Signatures of Nucleotide Analog Incorporation by an RNA-Dependent RNA Polymerase Revealed Using High-Throughput Magnetic Tweezers. Cell Rep. 2017;21:1063–1076. doi: 10.1016/j.celrep.2017.10.005. [DOI] [PMC free article] [PubMed] [Google Scholar]
- 68.Eckerle L.D., Lu X., Sperry S.M., et al. High Fidelity of Murine Hepatitis Virus Replication Is Decreased in nsp14 Exoribonuclease Mutants. J. Virol. 2007;81:12135–12144. doi: 10.1128/JVI.01296-07. [DOI] [PMC free article] [PubMed] [Google Scholar]
- 69.Smith E.C., Blanc H., Vignuzzi M., et al. Coronaviruses Lacking Exoribonuclease Activity Are Susceptible to Lethal Mutagenesis: Evidence for Proofreading And Potential Therapeutics. PLOS Pathog. 2013;9 doi: 10.1371/journal.ppat.1003565. [DOI] [PMC free article] [PubMed] [Google Scholar]
- 70.Sowa T., Ouchi S. Facile Synthesis of 5′-Nucleotides by Selective Phosphorylation of a Primary Hydroxyl Group of Nucleosides with Phosphoryl Chloride. Bull. Chem. Soc. Jpn. 1975;48:2084–2090. [Google Scholar]
- 71.Cremosnik G.S., Hofer A., Jessen H.J.J.A.C.I.E. Iterative Synthesis of Nucleoside Oligophosphates with Phosphoramidites. Angew. Chem., Int. Ed. 2014;53:286–289. doi: 10.1002/anie.201306265. [DOI] [PubMed] [Google Scholar]
- 72.Meier C. 2-Nucleos-5'-O-yl-4H-1,3,2-Benzodioxaphosphinin-2-Oxides—A New Concept for Lipophilic, Potential Prodrugs of Biologically Active Nucleoside Monophosphates. Angew. Chem., Int. Ed. 1996;35:70–72. [Google Scholar]
- 73.Meier C., De Clercq E., Balzarini J. Nucleotide Delivery from cycloSaligenyl-3'-Azido-3'-Deoxythymidine Monophosphates (cycloSal-AZTMP) Eur. J. Org. Chem. 1998:837–846. [Google Scholar]
- 74.Meier C., Ludek O., Krämer T., et al. Divergent Synthesis and Biological Evaluation of Carbocyclic α-, Iso- and 3′-Epi-Nucleosides and Their Lipophilic Nucleotide Prodrugs. Synthesis. 2006;8:1313–1324. [Google Scholar]
- 75.Meier C., Lorey M., De Clercq E., Balzarini J. CycloSal-2',3'-Dideoxy-2',3'-Didehydrothymidine Monophosphate (cycloSal-d4TMP): Synthesis and Antiviral Evaluation of a New d4TMP Delivery System. J. Med. Chem. 1998;41:1417–1427. doi: 10.1021/jm970664s. [DOI] [PubMed] [Google Scholar]
- 76.McGuigan C., Cahard D., Sheeka H.M., DeClercq E., Balzarini J. Aryl Phosphoramidate Derivatives of d4T Have Improved Anti-HIV Efficacy in Tissue Culture and May Act by the Generation of a Novel Intracellular Metabolite. J. Med. Chem. 1996;39:1748–1753. doi: 10.1021/jm950605j. [DOI] [PubMed] [Google Scholar]
- 77.Balzarini J., Karlsson A., Aquaro S., Perno C.F., Cahard D., Naesens L., DeClercq E., McGuigan C. Mechanism of Anti-HIV Action of Masked Alaninyl d4TMP Derivatives. Proc. Natl. Acad. Sci. U. S. A. 1996;93:7295–7299. doi: 10.1073/pnas.93.14.7295. [DOI] [PMC free article] [PubMed] [Google Scholar]
- 78.Balzarini J., Egberink H., Hartmann K., Cahard D., Vahlenkamp T., Thormar H., DeClercq E., McGuigan C. Antiretrovirus Specificity and Intracellular Metabolism of 2′,3′-Didehydro-2′,3′-Dideoxythymidine (Stavudine) and Its 5′-Monophosphate Triester Prodrug So324. Mol. Pharmacol. 1996;50:1207–1213. [PubMed] [Google Scholar]
- 79.Girardet J.L., Perigaud C., Aubertin A.M., Gosselin G., Kirn A., Imbach J.L. Increase of the Anti-HIV Activity of d4T in human T-Cell Culture by the Use of the Sate Pronucleotide Approach. Bioorg. Med. Chem. Lett. 1995;5:2981–2984. [Google Scholar]
- 80.Farquhar D., Khan S., Srivastva D.N., Saunders P.P. Synthesis and Antitumor Evaluation of Bis[(Pivaloyloxy)Methyl] 2′-Deoxy-5-Fluorouridine 5′-Monophosphate (FdUMP)—A Strategy to Introduce Nucleotides into Cells. J. Med. Chem. 1994;37:3902–3909. doi: 10.1021/jm00049a009. [DOI] [PubMed] [Google Scholar]
- 81.Farquhar D., Chen R., Khan S. 5′-[4-(Pivaloyloxy)-1,3,2-Dioxaphosphorinan-2-Yl]-2′-Deoxy-5-Fluorouridine—A Membrane-Permeating Prodrug of 5-Fluoro-2′-Deoxyuridylic Acid (FdUMP) J. Med. Chem. 1995;38:488–495. doi: 10.1021/jm00003a012. [DOI] [PubMed] [Google Scholar]
- 82.Briggs A.D., Camplo M., Freeman S., Lundstrom J., Pring B.G. Acyloxymethyl and 4-Acyloxybenzyl Diester Prodrugs of Phosphonoformate. Tetrahedron. 1996;52:14937–14950. [Google Scholar]
- 83.Lefebvre I., Perigaud C., Pompon A., Aubertin A.M., Girardet J.L., Kirn A., Gosselin G., Imbach J.L. Mononucleoside Phosphotriester Derivatives with S-Acyl-2-Thioethyl Bioreversible Phosphate-Protecting Groups—Intracellular Delivery of 3′-Azido-2′,3′-Dideoxythymidine 5′-Monophosphate. J. Med. Chem. 1995;38:3941–3950. doi: 10.1021/jm00020a007. [DOI] [PubMed] [Google Scholar]
- 84.Puech F., Gosselin G., Lefebvre I., Pompon A., Aubertin A.M., Kirn A., Imbach J.L. Intracellular Delivery of Nucleoside Monophosphates through a Reductase-Mediated Activation Process. Antivir. Res. 1993;22:155–174. doi: 10.1016/0166-3542(93)90093-x. [DOI] [PubMed] [Google Scholar]
- 85.Wagner C.R., Chang S.L., Griesgraber G.W., Song H., McIntee E.J., Zimmerman C.L. Antiviral Nucleoside Drug Delivery via Amino Acid Phosphoramidates. Nucleosides Nucleotides Nucleic Acids. 1999;18:913–919. doi: 10.1080/15257779908041599. [DOI] [PubMed] [Google Scholar]
- 86.Meier C., Lomp A., Meerbach A., Wutzler P. CycloSal-BVDUMP Pronucleotides: How to Convert an Antiviral-Inactive Nucleoside Analogue into a Bioactive Compound against EBV. J. Med. Chem. 2002;45:5157–5172. doi: 10.1021/jm0209275. [DOI] [PubMed] [Google Scholar]
- 87.Meier C. CycloSal Phosphates as Chemical Trojan Horses for Intracellular Nucleotide and Glycosylmonophosphate Delivery—Chemistry Meets Biology. Eur. J. Org. Chem. 2006;5:1081–1102. [Google Scholar]
- 88.Meier C. CycloSal-Pronucleotides—Design of Chemical Trojan Horses. Mini-Rev. Med. Chem. 2002;2:219–234. doi: 10.2174/1389557023406205. [DOI] [PubMed] [Google Scholar]
- 89.Meier C., Habel L., Haller-Meier F., Lomp A., Herderich M., Klocking R., Meerbach A., Wutzler P. Chemistry and Anti-Herpes Simplex Virus Type 1 Evaluation of cycloSal-Nucleotides of Acyclic Nucleoside Analogues. Antivir. Chem. Chemother. 1998;9:389–402. doi: 10.1177/095632029800900503. [DOI] [PubMed] [Google Scholar]
- 90.Meier C., Balzarini J. Application of the cycloSal-Prodrug Approach for Improving the Biological Potential of Phosphorylated Biomolecules. Antivir. Res. 2006;71:282–292. doi: 10.1016/j.antiviral.2006.04.011. [DOI] [PubMed] [Google Scholar]
- 91.Meier C., Ruppel M.F.H., Vukadinovic D., Balzarini J. Second Generation of cycloSal-Pronucleotides with Esterase-Cleavable Sites: The "Lock-in"-Concept. Nucleosides Nucleotides Nucleic Acids. 2004;23:89–115. doi: 10.1081/ncn-120027820. [DOI] [PubMed] [Google Scholar]
- 92.Gisch N., Balzarini J., Meier C. Enzymatically Activated cycloSal-d4T-Monophosphates: The Third Generation of cycloSal-Pronucleotides. J. Med. Chem. 2007;50:1658–1667. doi: 10.1021/jm0613267. [DOI] [PubMed] [Google Scholar]
- 93.Meier C., Knispel T., DeClercq E., Balzarini J. ADA-Bypass by Lipophilic cycloSal-ddAMP pro-Nucleotides a Second Example of the Efficiency of the cycloSal-Concept. Bioorg. Med. Chem. Lett. 1997;7:1577–1582. [Google Scholar]
- 94.Meier C., Knispel T., De Clercq E., Balzarini J. CycloSal-Pronucleotides of 2′,3′-Dideoxyadenosine and 2′,3′-Dideoxy-2′,3′-Didehydroadenosine: Synthesis and Antiviral Evaluation of a Highly Efficient Nucleotide Delivery System. J. Med. Chem. 1999;42:1604–1614. doi: 10.1021/jm981096z. [DOI] [PubMed] [Google Scholar]
- 95.Lorey M., Meier C., DeClercq E., Balzarini J. New Synthesis and Antitumor Activity of cycloSal-Derivatives of 5-Fluoro-2′-Deoxyuridinemonophosphate. Nucleosides Nucleotides Nucleic Acids. 1997;16:789–792. [Google Scholar]
- 96.Lorey M., Meier C., DeClercq E., Balzarini J. Cyclo-Saligenyl-5-Fluoro-2′-Deoxyuridinemonophosphate (cycloSal-FdUMP)—A New Prodrug Approach for FdUMP. Nucleosides Nucleotides Nucleic Acids. 1997;16:1307–1310. [Google Scholar]
- 97.Meier C., DeClercq E., Balzarini J. Cyclo-Saligenyl-3′-Azido-2′,3′-Dideoxy-Thymidinemonophosphate (cycloSal-AZTMP)—A New pro-Nucleotide Approach. Nucleosides Nucleotides Nucleic Acids. 1997;16:793–796. [Google Scholar]
- 98.Balzarini J., Naesens L., Aquaro S., Knispel T., Perno C.F., De Clercq E., Meier C. Intracellular Metabolism of cycloSaligenyl 3'-Azido-2',3 '-Dideoxythymidine Monophosphate, a Prodrug of 3'-Azido-2',3'-Dideoxythymidine (Zidovudine) Mol. Pharmacol. 1999;56:1354–1361. doi: 10.1124/mol.56.6.1354. [DOI] [PubMed] [Google Scholar]
- 99.Mazzon C., Rampazzo C., Scaini M.C., Gallinaro L., Karlsson A., Meier C., Balzarini J., Reichard P., Bianchi V. Cytosolic and Mitochondrial Deoxyribonucleotidases: Activity with Substrate Analogs, Inhibitors and Implications for Therapy. Biochem. Pharmacol. 2003;66:471–479. doi: 10.1016/s0006-2952(03)00290-9. [DOI] [PubMed] [Google Scholar]
- 100.Furman P.A., Fyfe J.A., Stclair M.H., Weinhold K., Rideout J.L., Freeman G.A., Lehrman S.N., Bolognesi D.P., Broder S., Mitsuya H., Barry D.W. Phosphorylation of 3′-Azido-3′-Deoxythymidine and Selective Interaction of the 5′-Triphosphate with Human-Immunodeficiency-Virus Reverse-Transcriptase. Proc. Natl. Acad. Sci. U. S. A. 1986;83:8333–8337. doi: 10.1073/pnas.83.21.8333. [DOI] [PMC free article] [PubMed] [Google Scholar]
- 101.Balzarini J., Herdewijn P., Declercq E. Differential Patterns of Intracellular Metabolism of 2′,3′-Didehydro-2′,3′-Dideoxythymidine and 3′-Azido-2′,3′-Dideoxythymidine, 2 Potent Anti-Human Immunodeficiency Virus Compounds. J. Biol. Chem. 1989;264:6127–6133. [PubMed] [Google Scholar]
- 102.Hostetler K.Y., Stuhmiller L.M., Lenting H.B.M., Vandenbosch H., Richman D.D. Synthesis and Antiretroviral Activity of Phospholipid Analogs of Azidothymidine and Other Antiviral Nucleosides. J. Biol. Chem. 1990;265:6112–6117. [PubMed] [Google Scholar]
- 103.Vanwijk G.M.T., Hostetler K.Y., Vandenbosch H. Lipid Conjugates of Antiretroviral Agents—Release of Antiretroviral Nucleoside Monophosphates by a Nucleoside Diphosphate Diglyceride Hydrolase Activity from Rat-Liver Mitochondria. Biochim. Biophys. Acta. 1991;1084:307–310. doi: 10.1016/0005-2760(91)90074-r. [DOI] [PubMed] [Google Scholar]
- 104.Hostetler K.Y., Richman D.D., Carson D.A., Stuhmiller L.M., Vanwijk G.M.T., Vandenbosch H. Greatly Enhanced Inhibition of Human-Immunodeficiency-Virus Type-1 Replication in Cem and Ht4-6c Cells by 3′-Deoxythymidine Diphosphate Dimyristoylglycerol, a Lipid Prodrug of 3′-Deoxythymidine. Antimicrob. Agents Chemother. 1992;36:2025–2029. doi: 10.1128/aac.36.9.2025. [DOI] [PMC free article] [PubMed] [Google Scholar]
- 105.Hostetler K.Y., Parker S., Sridhar C.N., Martin M.J., Li J.L., Stuhmiller L.M., Vanwijk G.M.T., Vandenbosch H., Gardner M.F., Aldern K.A., Richman D.D. Acyclovir Diphosphate Dimyristoylglycerol—A Phospholipid Prodrug with Activity against Acyclovir-Resistant Herpes-Simplex Virus. Proc. Natl. Acad. Sci. U. S. A. 1993;90:11835–11839. doi: 10.1073/pnas.90.24.11835. [DOI] [PMC free article] [PubMed] [Google Scholar]
- 106.Bonnaffe D., Dupraz B., Ughetto-Monfrin J., et al. Synthesis of Acyl Pyrophosphates - Application to the Synthesis of Nucleotide Lipophilic Prodrugs. Tetrahedron Lett. 1995;36:531–534. [Google Scholar]
- 107.Bonnaffe D., Dupraz B., Ughetto-Monfrin J., et al. Synthesis of Nucleotide Lipophilic Prodrugs Containing 2 Inhibitors Targeted against Different Phases of the HIV Replication Cycle. Nucleosides, Nucleotides Nucleic Acids. 1995;14:783–787. [Google Scholar]
- 108.Bonnaffe D., Dupraz B., Ughetto-Monfrin J., et al. Potential Lipophilic Nucleotide Prodrugs: Synthesis, Hydrolysis, and Antiretroviral Activity of AZT and d4T Acyl Nucleotides. J. Org. Chem. 1996;61:895–902. [Google Scholar]
- 109.Thomson W., Nicholls D., Irwin W.J., et al. Synthesis, Bioactivation and Anti-HIV Activity of the Bis(4-Acyloxybenzyl) and Mono(4-Acyloxybenzyl) Esters of the 5′-Monophosphate of AZT. J. Chem. Soc. Perkin Trans. 1993;11:1239–1245. [Google Scholar]
- 110.Jessen H.J., Schulz T., Balzarini J., Meier C. Bioreversible Protection of Nucleoside Diphosphates. Angew. Chem., Int. Ed. 2008;47:8719–8722. doi: 10.1002/anie.200803100. [DOI] [PubMed] [Google Scholar]
- 111.Pertenbreiter F., Balzarini J., Meier C. Nucleoside Mono- and Diphosphate Prodrugs of 2', 3'-Dideoxyuridine and 2', 3'-Dideoxy-2', 3'-Didehydrouridine. ChemMedChem. 2015;10:94–106. doi: 10.1002/cmdc.201402295. [DOI] [PubMed] [Google Scholar]
- 112.Schulz T., Balzarini J., Meier C. The DiPPro Approach: Synthesis, Hydrolysis, and Antiviral Activity of Lipophilic d4T Diphosphate Prodrugs. ChemMedChem. 2014;9:762–775. doi: 10.1002/cmdc.201300500. [DOI] [PubMed] [Google Scholar]
- 113.Weinschenk L., Schols D., Balzarini J., Meier C. Nucleoside Diphosphate Prodrugs: Nonsymmetric DiPPro-Nucleotides. J. Med. Chem. 2015;58:6114–6130. doi: 10.1021/acs.jmedchem.5b00737. [DOI] [PubMed] [Google Scholar]
- 114.Meier C., Jessen H.J., Schulz T., Weinschenk L., Pertenbreiter F., Balzarini J. Rational Development of Nucleoside Diphosphate Prodrugs: DiPPro-Compounds. Curr. Med. Chem. 2015;22:3933–3950. doi: 10.2174/0929867322666150825163119. [DOI] [PubMed] [Google Scholar]
- 115.Weinschenk L., Gollnest T., Schols D., Balzarini J., Meier C. Bis(Benzoyloxybenzyl)-DiPPro Nucleoside Diphosphates of Anti-HIV Active Nucleoside Analogues. ChemMedChem. 2015;10:891–900. doi: 10.1002/cmdc.201500063. [DOI] [PubMed] [Google Scholar]
- 116.Zhu Y.L., Dutschman G.E., Liu S.H., Bridges E.G., Cheng Y.C. Anti-Hepatitis B Virus Activity and Metabolism of 2',3'-Dideoxy-2',3'-Didehydro-beta-L(−)-5-Fluorocytidine. Antimicrob. Agents Chemother. 1998;42:1805–1810. doi: 10.1128/aac.42.7.1805. [DOI] [PMC free article] [PubMed] [Google Scholar]
- 117.Kreimeyer A., Andre F., Gouyette C., Huynh-Dinh T. Transmembrane Transport of Adenosine 5'-Triphosphate Using a Lipophilic Cholesteryl Derivative. Angew. Chem., Int. Ed. 1998;37:2853–2855. doi: 10.1002/(SICI)1521-3773(19981102)37:20<2853::AID-ANIE2853>3.0.CO;2-3. [DOI] [PubMed] [Google Scholar]
- 118.Bonnaffe D., Dupraz B., Ughettomonfrin J., Namane A., Dinh T.H. Synthesis of Acyl Pyrophosphates—Application to the Synthesis of Nucleotide Lipophilic Prodrugs. Tetrahedron Lett. 1995;36:531–534. [Google Scholar]
- 119.Vanwijk G.M.T., Hostetler K.Y., Kroneman E., Richman D.D., Sridhar C.N., Kumar R., Vandenbosch H. Synthesis and Antiviral Activity of 3′-Azido-3′-Deoxythymidine Triphosphate Distearoylglycerol—A Novel Phospholipid Conjugate of the Anti-HIV Agent AZT. Chem. Phys. Lipids. 1994;70:213–222. doi: 10.1016/0009-3084(94)90089-2. [DOI] [PubMed] [Google Scholar]
- 120.Bonnaffe D., Dupraz B., Ughettomonfrin J., Namane A., Dinh T.H. Synthesis of Nucleotide Lipophilic Prodrugs Containing 2 Inhibitors Targeted against Different Phases of the HIV Replication Cycle. Nucleosides Nucleotides Nucleic Acids. 1995;14:783–787. [Google Scholar]
- 121.Bonnaffe D., Dupraz B., UghettoMonfrin J., Namane A., Henin Y., Dinh T.H. Potential Lipophilic Nucleotide Prodrugs: Synthesis, Hydrolysis, and Antiretroviral Activity of AZT and d4T Acyl Nucleotides. J. Organomet. Chem. 1996;61:895–902. [Google Scholar]
- 122.Gollnest T., de Oliveira T.D., Schols D., Balzarini J., Meier C. Lipophilic Prodrugs of Nucleoside Triphosphates as Biochemical Probes and Potential Antivirals. Nat. Commun. 2015;6:8716. doi: 10.1038/ncomms9716. [DOI] [PMC free article] [PubMed] [Google Scholar]
- 123.Gollnest T., de Oliveira T.D., Rath A., Hauber I., Schols D., Balzarini J., Meier C. Membrane-Permeable Triphosphate Prodrugs of Nucleoside Analogues. Angew. Chem. Int. Ed. 2016;55:5255–5258. doi: 10.1002/anie.201511808. [DOI] [PubMed] [Google Scholar]
- 124.Mohamady S., Jakeman D.L. An Improved Method for the Synthesis of Nucleoside Triphosphate Analogues. J. Organomet. Chem. 2005;70:10588–10591. doi: 10.1021/jo0518598. [DOI] [PubMed] [Google Scholar]
- 125.Mohamady S., Taylor S.D. General Procedure for the Synthesis of Dinucleoside Polyphosphates. J. Organomet. Chem. 2011;76:6344–6349. doi: 10.1021/jo200540e. [DOI] [PubMed] [Google Scholar]
- 126.Jia X., Schols D., Meier C. Anti-HIV-Active Nucleoside Triphosphate Prodrugs. J. Med. Chem. 2020;63:6003–6027. doi: 10.1021/acs.jmedchem.0c00271. [DOI] [PubMed] [Google Scholar]
- 127.Jia X., Schols D., Meier C. Lipophilic Triphosphate Prodrugs of Various Nucleoside Analogues. J. Med. Chem. 2020;63:6991–7007. doi: 10.1021/acs.jmedchem.0c00358. [DOI] [PubMed] [Google Scholar]
- 128.Zhao C.L., Jia X., Schols D., Balzarini J., Meier C. γ-Non-Symmetrically Dimasked TriPPPro-Prodrugs as Potential Antiviral Agents against HIV. ChemMedChem. 2020;16:499–512. doi: 10.1002/cmdc.202000712. [DOI] [PMC free article] [PubMed] [Google Scholar]






















