Abstract
The aim of this mini-review with own results was an identification of techniques to suppress the growth of microbial contaminants under photo- and mixotrophic conditions. Techniques identified are the modification of environmental conditions, such as pH, oxygen, and nutrient concentrations, as well as the application of pulsed electric field, ultrasonication, and surfactants. In phototrophic cultivations, the mentioned techniques result in a decrease of number of predatory cells, but not in a complete removal. Measures to suppress the growth of contaminations (e.g., bacteria and fungi) in mixotrophic cultivations could not be identified. The co-cultivation of algae and fungi, however, was found to be beneficial for the utilization of unusual carbon compounds (e.g., phenolic compounds).
Keywords: Contamination, Xenic conditions, Heterotrophy, Phototrophic, Bioeconomy
Introduction
Microalgal biomass allows the formation of various products of low (bioenergy) and high value (pharmaceuticals) [1, 2]. The ability of microalgae to use carbon dioxide and sunlight (phototrophy), organic waste streams (heterotrophy), or both (mixotrophy) [3] has been leading to the development of cultivation systems within the frame of bioeconomy.
Due to light inhibition and light saturation, biomass concentration obtainable in phototrophic cultivation systems, such as open ponds and closed tubular systems, is rather limited [4]. Contrarily, using heterotrophic cultivation, which relies on organic carbon sources, up to 100 times higher biomass concentration can be achieved [5]. Even though pure and expensive organic nutrients, such as glucose and amino acids, were successfully substituted by hydrolysates of organic waste streams [6–8], sterilization of substrate and equipment is a major economic drawback. Sterilization, however, is necessary since bacteria with faster growth rates can outcompete algal strains [9]. In phototrophic cultivation systems, where the concentration of free organic carbon sources is negligible, the presence of bacteria is rather unproblematic. The cultivation of phototrophic algal cells, however, is threatened by the appearance of predators feeding on cells. Colpoda steinii, for instance, can diminish a dense culture of the cyanobacterium Synechocystis sp. in a relatively short time [10].
The appearance of predators has raised the question for techniques to avoid or inhibit the growth of microbial contaminations. A known measure is the modification of environmental conditions towards non-favorable conditions for a certain contamination, but less affecting the cultivation of the wanted algal strain [10–12]. Contrarily to the jeopardies associated with contaminations, the co-cultivation of algae and bacteria and/or fungi and the use of their biochemical properties can increase the substrate availability or product portfolio. However, question has been raised on whether it is possible to perform a co-cultivation under controlled conditions.
This mini-review with own results investigates techniques of nonsterile microalgae cultivation. After presenting phototrophic and mixotrophic cultivations carried out under nonsterile conditions, benefits of co-cultivation (e.g., improved productivity (13)) and techniques to control contamination will be reviewed. Eventually a synthesis will be drawn in order to critically assess the possibility of nonsterile photo- and mixotrophic cultivations.
Materials and Methods
Algae Cultures
Phototrophic Cultivation
Chlorella vulgaris (SAG 211-19) was obtained from the Culture Collection of Algae at Gottingen, Germany, and cultivated in 300-mL glass tubes containing BG11 medium at room temperature (25 ± 3 °C), a light intensity of 300 μmol m−2 s−1, and a pH of 7 to 8.
Three repeated cultivations were performed in a 240-L flat plate photobioreactor (1.2 × 2.4 × 0.1 m, height × length × thickness) in a greenhouse environment using BG11 medium. The top opening of the photobioreactor was covered with a glass plate. Temperature and pH were measured twice a day and maintained at 28 ± 2 °C and between pH 7 and 9 by carbon dioxide injections. Mixing and carbon dioxide injections were carried out by compressed air enriched with 1–2% (v/v) carbon dioxide at a flow rate of 50 mL min−1.
Mixotrophic Cultivation
C. vulgaris (SAG 211-19) growth experiments were conducted in an incubator at 30 °C (Aqualytic TC 135 S incubator, Phoenix RS-OS 20 shaker, two Voltolux LED lamps, 5 W), with a light intensity of 50 μmol m−2 s−1 and AF6 medium or olive mill wastewater (OMW) diluted to 1, 6, and 12% (v/v) with AF6 medium. OMW was obtained from an olive oil production site in Burhaniye, Turkey (Duzen Biological Sciences Research, Development and Production Co.). In this study, fresh OMW was used with a total phenolic content of 7 g L−1, a total phosphorus concentration of around 0.1 g L−1, and total nitrogen content of around 0.9 g L−1. OMW was pre-treated by centrifugation, filtration, and autoclavation at 121 °C for 20 min. Despite of autoclavation, it contained spores of an unknown fungus.
Cultivation occurred in 250-mL Erlenmeyer flasks with a working volume of 100 mL and a starting optical density of 0.1 and shaken at 130 rpm. The pH of the medium was set to 6.8 prior cultivation, however, by adding the OMW the pH dropped accordingly (pH of 6.0 with 1% OMW down to 5.0 with 12% OMW). The duration of the experiment was set to 10 days, and daily samples were taken under sterile conditions.
Growth Determination
In phototrophic cultivations C. vulgaris cells were counted using a hemocytometer (Hausser Scientific, Horsham, PA, USA). In mixotrophic cultivation, the growth of C. vulgaris was monitored by measuring the optical density at 750 nm using a spectrophotometer (Macherey-Nagel, Nanocolor UV/Vis II).
Folin-Ciocalteu Assay
For the determination of total phenolic compounds in OMW, the Folin-Ciocalteu (FC) assay was applied. To demineralized 1.8-mL water in a 10-mL glass tube, 0.2-mL OMW and 0.2-mL FC reagent were added. After stirring well on a vortexer, the mixture was placed in the dark at room temperature for 5 min. Hereafter, 2 mL of a 7% (w/v) aqueous Na2CO3 solution were added for neutralization and development of the typical blue color, as well as a 0.8 mL demineralized water to reach a 5 mL total volume. The mixture was vortexed again and kept for an incubation time of 90 min in the dark; subsequently the mixture was measured spectrophotometrically at 750 nm. The concentration of total phenolic compounds was determined by using a tyrosol calibration curve.
Predators in Phototrophic Cultures
In own phototrophic C. vulgaris cultivations, predators in the form of ciliates and amoebae were found to appear (Fig. 1), while the number of cells of C. vulgaris decreased. There was no clear trend between the three repeated cultivations regarding the appearance of predators. In the cultivation shown in Fig. 1A1 and A2, a six times higher cell number of ciliates was found compared with the cultivations shown in Fig. 1B2 and C2. Amoebae developed quickly after 2–3 days and almost disappeared again after 4 days. Predator species found were the amoebae Platyamoeba sp., Vannella sp., and Acanthamoeba sp., and the ciliate Colpoda sp.
Fig. 1.
Repeated cultivation of C. vulgaris under phototrophic conditions. Cell number of C. vulgaris (A1, B1, and C1) and numbers of amoebae (open square) and ciliates (open circle, A2, B2, and C2) appearing in each repeated cultivation, respectively
During cultivation, pH and temperature steadily increased to 9 and 30 °C, respectively. Such a change in pH and temperature can alter the availability of carbon, trace metals, as well as essential nutrients and eventually change the distribution of species. It seems from Fig. 1 that a moderate growth rate of C. vulgaris prevented predators from growing. However, after microalgal growth stopped, the predator’s population increased steadily (Fig. 1A2) and the higher the number of predatory cells, the lower the number of C. vulgaris cells. The question raised was whether an appearing growth of predatory cells can be controlled by simple techniques applied to a running culture?
Environmental and Chemical Techniques
The compromise of environmental conditions of two or more microbes results in conditions, which are not optimal to all microbes, but more unfavorable to one than to the other. The less affected strain will survive. For instance, when algal cells do grow slow, they become prey for predators (Fig. 1), which can cause a collapse of the whole culture. Cells do grow slow under nutrient deficiency and light limitation and/or when environmental conditions are unfavorable. For instance, a dense culture may undergo self-shading, which results, despite the presence of sufficient nutrients, in a reduced growth rate [11]. Flynn et al. further addressed the lack of knowledge on maximal biomass productivity under simultaneous minimization of zooplanktonic predation [11]. They followed an interesting approach by manipulating biomass composition of algal cells to be of low nutrient quality to predators. A lack of phosphorus results in more grazer-resistant cells. A lack of nitrogen results in biomass, which is distasteful to zooplankton [11]. The approach, however, might be in conflict to commercial interests and a specific wanted biomass composition.
A technique which has been widely applied to control microbial contaminations is the altering of pH. The predatory bacterium Vampirovibrio chlorellavorus feeds on living algae, breaches through the wall of Chlorella sp. cells, and digests it [14]. V. chlorellavorus can, if unnoticed, diminish a whole Chlorella sp. culture in a relatively short time. In order to overcome this risk, Ganuza et al. tested an easy treatment to protect Chlorella sp. from this predatory bacterium in 1000 and 130,000 L open ponds [12]. Once noticed that V. chlorellavorus is present, they exposed Chlorella sp. cells to a pH of 3.5 for 15 min in the presence of 5 g L−1 acetate. The pH was lowered using HCl and returned to pH 7.5 using NaOH. Acetate was added to simulate mixotrophic conditions. This fast treatment prevented from culture crash and can even be carried out preventively.
Touloupakis et al. applied another strategy in order to protect the cyanobacterium Synechocystis sp. from contaminants. Their results revealed that it is possible to grow Synechocystis sp. free of contaminants at a pH of 11 [15]. They further found a decreased carbohydrate concentration and loss in productivity but similar lipid content when grown at this pH compared with pH 7. This treatment was tested for protozoa and competitive microalgae, such as Poterioochromas sp. The effect against Poterioochromas sp. is of interest as this strain is an efficient phagotroph feeding on cyanobacterial cells and a common contamination in Synechocystis sp. mass culture.
When cultures are grown on carbon dioxide and at a high pH, the availability of carbon dioxide can be limiting. At a pH of 11, the HCO3− availability is reduced to 17.6%. Synechocystis sp. can handle such low carbon availability. Furthermore, Peng et al. used the inhibiting effect of NaHCO3 to control microalgae-preying protozoa in Neochloris oleoabundans cultures (16). The growth of N. oleoabundans was not affected when 160 or 220 mM L−1 NaHCO3 was added to the medium, but protozoa were completely inhibited. The inhibiting effect relies on an overload of inorganic ions, competing against the assimilation of other inorganic ions and causing DNA laddering.
Another approach to control the growth of Poterioochromas malhamensis was presented by Ma et al. [17]. In their study, P. malhamensis was treated by a low pH (6, 6.5, 7, or 7.5) maintained by supplying different concentrations of carbon dioxide (v/v, 10–30, 6–15, 1–6, or 0.5–2%). A low pH of 6–6.5 reduced the number of protozoa cells. However, their results further revealed that it was not the pH itself, but the high concentration of carbon dioxide. The authors expected the increased carbon dioxide concentration to cause a decrease in the intracellular pH and consequently an inhibition effect.
The ciliated protozoa C. steinii has been shown to clear a dense culture of the cyanobacterium Synechocystis sp. [10]. Measures, such as high salinity (20 g L−1), high pH (9), and high ammonia concentration (200 mg L−1 at pH 8.5), as well as carbon dioxide asphyxiation (262 mg L−1 dissolved), did not inhibit C. steinii. Partially anoxic conditions during dark period, however, did result in an inhibition. Even though the actual inhibition mechanism is not known, the authors concluded that the active, grazing cells were harmed.
Another approach was followed by Gan et al. [9]. In their study, triticonazole, a sterol 14-demethylase inhibitor, was used to suppress the growth of fungi in a Nannochloropsis oceanica culture. N. oceanica was not inhibited in growth when 5 μg mL−1 triticonazole was applied. Fungi, however, were affected and their growth inhibited. Their results further revealed that triticonazole has different effects on algal species. Contrarily to N. oceanica, Phaeodactylum tricornutum was inhibited in growth when exposed to triticonazole. The authors further found that different sterol biosynthetic inhibitors have different effects and contrarily to triticonazole, tebuconazole inhibited the growth of N. oceanica. The authors concluded that the application of sterol biosynthetic inhibitors can not only control fungal growth but also the growth of unwanted algal species in mass cultivations.
It needs to be admitted that the control of contaminations using environmental or chemical measures may possibly also limit growth of algae. The known measures are species specific and more research is needed to identify measures that work species unspecific.
Physical Techniques
Environmental and chemical techniques, such as nutrient availability and altering of pH, will besides targeting organisms also affect the wanted organism. Thus, also physical techniques in controlling microbial contaminants can be considered. For instance, the protozoan contamination in industrial scale microalgae photobioreactor can be controlled by pulsed electric field (PEF) (18). PEF causes a permeabilization of the biological cell membrane and depends on transmembrane potential of the cell membrane, where a specific transmembrane voltage threshold exists. Selecting the right strength and duration can result in the electroporation of the membrane. Rego et al. treated a Chlorella sp. culture containing rotifers for 6 h with typical pulses of 5 kV and 100 A with 50 Hz and 65 μs pulse width [4]. The average pulse energy was 2 × 16.25 J per pulse. After 6 h of treatment, rotifers showed an external damage of membranes. The population of rotifers decreased substantially, while Chlorella sp. increased in growth rate.
Another approach was presented by Wang et al. who used ultrasonication with the power of 495 W at 100% amplitude and a treatment frequency of 1 h per day [19]. This treatment was proven to control the contamination of Poterioochromas sp. in a 60-L C. vulgaris culture. Poterioochromas sp. was destroyed by cell wall disruption.
Microbial Contaminations in Mixotrophic Cultures
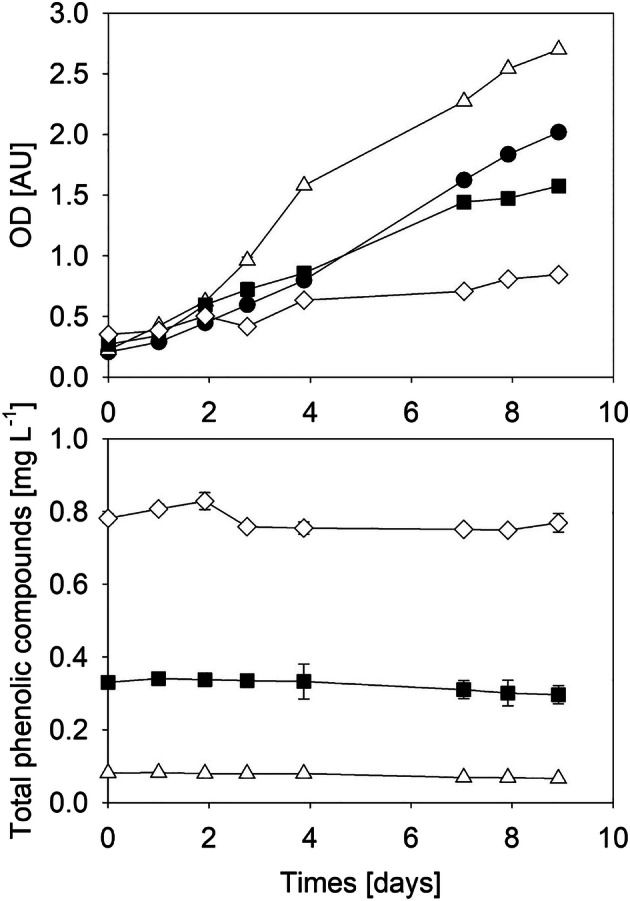
In cultivations where organic carbon sources are supplied, bacteria and/or fungi find beneficial conditions to develop. A growing contamination is generally problematic as process productivity and efficiency are reduced. However, the presence of another organism can contribute to the detoxification and metabolization of compounds. In Fig. 2, the cultivation of C. vulgaris in AF6 medium and diluted OMW (1, 6, and 12%, v/v) is shown. In all cultivations, a not classified fungal strain appeared at day 3. The fungal strain did not affect the growth of C. vulgaris but supported the removal of phenolic compounds. Almost 20 or 10% of the total phenolic compounds were removed when 1 or 6% (v/v) OMW was applied.
Fig. 2.

Cultivation of C. vulgaris under mixotrophic conditions in control medium and OMW in the presence of a fungal contamination. Optical density (OD) and total phenolic compounds were determined when C. vulgaris was grown in control medium (closed circle), 1% (v/v) OMW (open triangle), 6% (v/v) OMW (closed square), or 12% (v/v) OMW (open diamond)
Phenolic compounds in OMW can inhibit the growth of algal strains [20]. However, in Fig. 2, it is shown that the highest optical density was obtained in the presence of 1% (v/v) OMW. The lowest optical density was found in 12% (v/v) olive mill wastewater where the high concentration of phenolic compounds inhibited the growth of C. vulgaris.
Despite the present contamination, C. vulgaris was the predominant species, and the fungal contamination did not significantly affect optical density. The partly removal of phenolic compounds in 1% (v/v) may have contributed to the growth of C. vulgaris.
It was found that bacteria and microalgae interacted with each other when they are co-cultured (21), and thus interactions can also have beneficial effects on productivity and efficiency of the cultivation of algae. Heterotrophic organisms, for instance, provide carbon dioxide to photoautotrophic algae, which in reverse supply oxygen [22]. Scenedesmus sp. produces a range of low molecular compounds, such as lactic, oxalic, hydroxybutyric, and succinic acids, glycerol, indole, and pyrrole derivatives as well as some organic phosphates and N-alkyl glycine derivatives, which may suppress the growth of bacteria [23]. The challenge lies in the construction of consortia with synergistic effects. It has been shown in P. tricornutum cultures that such a consortium can be created [24] and the organisms, associated with a consortium, depend on the function to be carried out by the bacteria and the environmental conditions.
Berthold et al. presented an approach where Characium sp. was co-cultivated with Pseudomonas composti [25]. The authors inoculated the culture with a certain number of cells of P. composti. Characium sp. is a mixotrophic alga, and thus it was assumed that it benefits of the compounds released by P. composti. Furthermore, the effect of cell-free filtrate on the performance of Characium sp. was investigated. The study revealed improved biomass yield and lipid content of Characium sp. when cell-free extracts or intact cells were added. For instance, the biomass yield increased by 42.3%, compared with control when P. composti was added. The authors concluded that this effect may result from the frequent association of the phylum Pseudomonas with green algae and the stimulating effect of released compounds on Characium sp. The identity of the released compounds, however, remains unclear. It should also be mentioned that Berthold et al. investigated 39 bacterial strains and found only a synergistic effect when Characium sp. and P. composti were co-cultivated [25]. Thus, co-cultivation seems a promising approach, but intensive screening is necessary.
Cho et al. used an ecologically engineered bacterial consortium to enhance microbial biomass and lipid productivities [26]. They used xenic cultures of C. vulgaris and Scenedesmus sp. and identified the associated bacteria by sequencing 16S rRNA. They found a broad range of associated bacteria and selected four dominant bacterial strains, such as Flavobacterium, Hyphomonas, Rhizobium, and Sphingomonas, along with two least dominant strains, Microbacterium and Exophiala. The least dominant strains were found to have a negative effect. Microbacterium competed for essential nutrients and Exophiala was algacidal. The four dominant species were beneficial to the growth. The beneficial effect originates from the bacterial utilization of organic carbon released by microalgae. Bacteria, in return, supply inorganic compounds and low-molecular-weight organic carbon. Grotkjaer et al. have shown the effect of the probiotic bacteria Phaeobacter inhibens in Tetraselmis suerica cultures [27]. They found that P. inhibens is able to antagonize Vibrio anguillarum in live feed systems, which was concluded as promising, as it further develops the probiotic concept.
Synthesis
The abovementioned techniques and measures illustrate options to deal with contaminations in microalgae cultures. It is, however, in most cases trial and error to find the best option for a certain contamination. Particularly the controlled co-cultivation of algae and bacteria and/or fungi, in order to establish beneficial effects as shown above or listed by Lian et al., requires intensive investigation to design an appropriate consortium [13]. Even though it is known that certain microalgae live in a symbiosis with, for instance, bacteria, rather little information is available on how such a symbiosis works. It remains unclear whether it is an exchange of nutrients [25, 26] or essential compounds, such as vitamins [28], passive signaling supported by the excretion of molecules [29], fixation of nitrogen [30] or providing of nitrogen compounds [31], modulation of excreted compounds by bacteria [32], sharing of iron and/or fixed carbon [33], mutualistic interaction [34], or both mutualistic and commensalism interactions [35]. Furthermore, the interaction of algae and other organisms depends on nutrient availability and environmental conditions, and even though algae live in a symbiosis with other organisms, they are not protected for being taken over by those [32].
Another aspect that needs to be considered is the competition for nutrients among different microorganisms and the effect on their growth rates in a co-cultivation. Rhee reported an inhibition of the growth of Scenedesmus sp. when grown in the presence of Pseudomonas sp. [36]. Contrarily, the growth of Pseudomonas sp. was not affected. However, algae show a higher accumulation of phosphate in form of polyphosphate, also known as luxury consumption, then bacteria, and this may give an advantage over fast-growing bacteria at the beginning of a cultivation when sufficient phosphate is supplied [36]. The competition for carbon and nitrogen compounds, however, cannot be solved by supplying nutrients in excess. A luxury consumption of carbon and nitrogen compounds has not been shown for algae and it is expected that the faster-growing species (bacteria and fungi) might be the one that consumes most of the nutrients.
Even for phototrophic cultivations, the application of specific techniques to control contaminations in terms of number of cells or design of consortia still need to be shown reliable for a long period of time and at industrial scale. The modification of environmental conditions, such as nutrient supply and pH, can potentially decrease the number of cells of contaminants. Apparently, protozoa are more sensitive to unfavorable conditions than algae, and thus contaminations can be instantly reduced, but not completely removed. A similar acute effect on contaminations is associated with the techniques: pulsed electric field and ultrasonication. Similarly to the modification of environmental conditions, contaminations are not completely removed, but number of cells reduced.
Conclusions
Research projects dealing with the cultivation of microalgae for a certain purpose include mostly a screening of algal strains (either axenic cultures or xenic isolates from natural habitats, which are made axenic) to find the most promising candidate. To use beneficial effects that come along with a co-cultivation, the most promising strategy would be to simultaneously isolate algae and bacteria and other associated microorganisms. The future task might be to screen for certain effects rather than certain microorganisms.
Acknowledgments
DP and AL acknowledge the financial support from the ERA-Net Cofound Action—under H2020—and the German Federal Ministry of Education and Research for carrying out the research project “Era CoBioTech 1: Biovalorization of olive mill wastewater (OMW) to microbial lipids and other products via Rhodotorula glutinis fermentation (Rhodolive, 031B0607A).” ARR acknowledges the facilities supported by DST-FIST (Project No: LSI-576/2013), Govt. of India, and VFSTR University.
Compliance with Ethical Standards
Conflict of interests
The authors declare that there is no conflict of interest.
Footnotes
The original online version of this article was revised due to a retrospective Open Access order.
Publisher’s Note
Springer Nature remains neutral with regard to jurisdictional claims in published maps and institutional affiliations.
Change history
10/28/2021
A Correction to this paper has been published: 10.1007/s12010-021-03693-8
References
- 1.Ambati RR, Gogisetty D, Aswathanarayana RG, Ravi S, Bikkina PN, Bo L, Yuepeng S. Industrial potential of carotenoid pigments from microalgae: current trends and future prospects. Critical Reviews in Food Science and Nutrition. 2019;59(12):1880–1902. doi: 10.1080/10408398.2018.1432561. [DOI] [PubMed] [Google Scholar]
- 2.Foley PM, Beach ES, Zimmerman JB. Algae as a source of renewable chemicals: opportunities and challenges. Green Chemistry. 2011;13(6):1399–1405. doi: 10.1039/c1gc00015b. [DOI] [Google Scholar]
- 3.Khan MI, Shin JH, Kimcorresponding JD. The promising future of microalgae: current status, challenges, and optimization of a sustainable and renewable industry for biofuels, feed, and other products. Microbial Cell Factories. 2018;17:21. doi: 10.1186/s12934-018-0879-x. [DOI] [PMC free article] [PubMed] [Google Scholar]
- 4.Rao, A. R. and Ravishankar, G. A. (2019), in Handbook of algal technologies and phytochemicals, (Ravishankar, G. A. and Rao, A. R., eds.), CRC Press, Boca Raton, Florida, pp. 90-999.
- 5.Eriksen, N. T. (2013), in Microalgae: Biotechnology, microbiology and energy, (Johansen, M. N., ed.), Nova Science Publishers, pp. 387-412.
- 6.Pleissner D, Lam WC, Sun Z, Lin CSK. Food waste as nutrient source in heterotrophic microalgae cultivation. Bioresource Technology. 2013;137:139–146. doi: 10.1016/j.biortech.2013.03.088. [DOI] [PubMed] [Google Scholar]
- 7.Pleissner D, Rumpold BA. Utilization of organic residues using heterotrophic microalgae and insects. Waste Management. 2018;72:227–239. doi: 10.1016/j.wasman.2017.11.020. [DOI] [PubMed] [Google Scholar]
- 8.Sloth JK, Jensen HC, Pleissner D, Eriksen NT. Growth and phycocyanin synthesis in the heterotrophic microalga Galdieria sulphuraria on substrates made of food waste from restaurants and bakeries. Bioresource Technology. 2017;238:296–305. doi: 10.1016/j.biortech.2017.04.043. [DOI] [PubMed] [Google Scholar]
- 9.Gan Q, Zhou W, Wang S, Li X, Xie Z, Wang J, Jiang J, Lu Y. A customized contamination controlling approach for culturing oleaginous Nannochloropsis oceanica. Algal Research. 2017;27:376–382. doi: 10.1016/j.algal.2017.07.013. [DOI] [Google Scholar]
- 10.Troschl C, Fritz I, Sodnikar K, Drosg B. Contaminations in mass cultivation of cyanobacteria: highly resilient Colpoda steinii leads to rapid crash of Synechocystis sp. cultures and is inhibited by partially anoxic conditions. Algal Research. 2017;28:229–234. doi: 10.1016/j.algal.2017.11.002. [DOI] [Google Scholar]
- 11.Flynn KJ, Kenny P, Mitra A. Minimising losses to predation during microalgae cultivation. Journal of Applied Phycology. 2017;29(4):1829–1840. doi: 10.1007/s10811-017-1112-8. [DOI] [PMC free article] [PubMed] [Google Scholar]
- 12.Ganuza, E., Sellers, C. E., Bennett, B. W., Lyons, E. M., & Carney, L. T. (2016). A novel treatment protects Chlorella at commercial scale from the predatory bacterium Vampirovibrio chlorellavorus. Frontiers in Microbiology,7. [DOI] [PMC free article] [PubMed]
- 13.Lian J, Wijffels RH, Smidt H, Sipkema D. The effect of the algal microbiome on industrial production of microalgae. Microbial Biotechnology. 2018;11(5):806–818. doi: 10.1111/1751-7915.13296. [DOI] [PMC free article] [PubMed] [Google Scholar]
- 14.Coder DM, Goff LJ. The host range of the chlorellavorous bacterium (“Vampirovibrio chlorellavorus”) Journal of Phycology. 1986;22(4):543–546. doi: 10.1111/j.1529-8817.1986.tb02499.x. [DOI] [Google Scholar]
- 15.Touloupakis E, Cicchi B, Benavides AMS, Torzillo G. Effect of high pH on growth of Synechocystis sp. PCC 6803 cultures and their contamination by golden algae (Poterioochromonas sp.) Applied Microbiology and Biotechnology. 2016;100(3):1333–1341. doi: 10.1007/s00253-015-7024-0. [DOI] [PMC free article] [PubMed] [Google Scholar]
- 16.Peng L, Lan CQ, Zhang Z. Cultivation of freshwater green alga Neochloris oleoabundans in non-sterile media co-inoculated with protozoa. Canadian Journal of Chemical Engineering. 2016;94(3):439–445. doi: 10.1002/cjce.22407. [DOI] [Google Scholar]
- 17.Ma M, Yuan D, He Y, Park M, Gong Y, Hu Q. Effective control of Poterioochromonas malhamensis in pilot-scale culture of Chlorella sorokiniana GT-1 by maintaining CO2-mediated low culture pH. Algal Research. 2017;26:436–444. doi: 10.1016/j.algal.2017.06.023. [DOI] [Google Scholar]
- 18.Rego D, Redondo LM, Geraldes V, Costa L, Navalho J, Pereira MT. Control of predators in industrial scale microalgae cultures with pulsed electric fields. Bioelectrochemistry. 2015;103:60–64. doi: 10.1016/j.bioelechem.2014.08.004. [DOI] [PubMed] [Google Scholar]
- 19.Wang Y, Gong Y, Dai L, Sommerfeld M, Zhang C, Hu Q. Identification of harmful protozoa in outdoor cultivation of Chlorella and the use of ultrasonication to control contamination. Algal Research. 2018;31:298–310. doi: 10.1016/j.algal.2018.02.002. [DOI] [Google Scholar]
- 20.Lindner AV, Pleissner D. Utilization of phenolic compounds by microalgae. Algal Research. 2019;42:101602. doi: 10.1016/j.algal.2019.101602. [DOI] [Google Scholar]
- 21.Han J, Zhang L, Wang S, Yang G, Zhao L, Pan K. Co-culturing bacteria and microalgae in organic carbon containing medium. Journal of Biological Research (Thessaloniki) 2016;23:1–8. doi: 10.1186/s40709-016-0038-7. [DOI] [PMC free article] [PubMed] [Google Scholar]
- 22.Subashchandrabose SR, Ramakrishnan B, Megharaj M, Venkateswarlu K, Naidu R. Consortia of cyanobacteria/microalgae and bacteria: biotechnological potential. Biotechnology Advances. 2011;29(6):896–907. doi: 10.1016/j.biotechadv.2011.07.009. [DOI] [PubMed] [Google Scholar]
- 23.Kambourova R, Petkov G, Bankova V. Extracellular polar organic substances in cultures of the green alga Scenedesmus. Algological Studies. 2006;119:155–162. [Google Scholar]
- 24.Moejes FW, Succurro A, Popa O, Maguire J, Ebenhöh O. Dynamics of the bacterial community associated with Phaeodactylum tricornutum cultures. Processes. 2017;5:29. doi: 10.3390/pr5040077. [DOI] [Google Scholar]
- 25.Berthold DE, Shetty KG, Jayachandran K, Laughinghouse HD, Gantar M. Enhancing algal biomass and lipid production through bacterial co-culture. Biomass and Bioenergy. 2019;122:280–289. doi: 10.1016/j.biombioe.2019.01.033. [DOI] [Google Scholar]
- 26.Cho D-H, Ramanan R, Heo J, Lee J, Kim B-H, Oh H-M, Kim H-S. Enhancing microalgal biomass productivity by engineering a microalgal–bacterial community. Bioresource Technology. 2015;175:578–585. doi: 10.1016/j.biortech.2014.10.159. [DOI] [PubMed] [Google Scholar]
- 27.Grotkjær T, Bentzon-Tilia M, D'Alvise P, Dierckens K, Bossier P, Gram L. Phaeobacter inhibens as probiotic bacteria in non-axenic Artemia and algae cultures. Aquaculture. 2016;462:64–69. doi: 10.1016/j.aquaculture.2016.05.001. [DOI] [Google Scholar]
- 28.Grant MAA, Kazamia E, Cicuta P, Smith AG. Direct exchange of vitamin B12 is demonstrated by modelling the growth dynamics of algal-bacterial cocultures. The ISME Journal. 2014;8(7):1418–1427. doi: 10.1038/ismej.2014.9. [DOI] [PMC free article] [PubMed] [Google Scholar]
- 29.Bruckner CG, Rehm C, Grossart H-P, Kroth PG. Growth and release of extracellular organic compounds by benthic diatoms depend on interactions with bacteria. Environmental Microbiology. 2011;13(4):1052–1063. doi: 10.1111/j.1462-2920.2010.02411.x. [DOI] [PubMed] [Google Scholar]
- 30.Hernandez J-P, de-Bashan, L. E., Rodriguez, D. J., Rodriguez, Y. and Bashan, Y. Growth promotion of the freshwater microalga Chlorella vulgaris by the nitrogen-fixing, plant growth-promoting bacterium Bacillus pumilus from arid zone soils. European Journal of Soil Biology. 2009;45(1):88–93. doi: 10.1016/j.ejsobi.2008.08.004. [DOI] [Google Scholar]
- 31.Le Chevanton M, Garnier M, Bougaran G, Schreiber N, Lukomska E, Bérard JB, Fouilland E, Bernard O, Cadoret JP. Screening and selection of growth-promoting bacteria for Dunaliella cultures. Algal Research. 2013;2(3):212–222. doi: 10.1016/j.algal.2013.05.003. [DOI] [Google Scholar]
- 32.Grossart H-P, Simon M. Interactions of planktonic algae and bacteria: effects on algal growth and organic matter dynamics. Aquatic Microbial Ecology. 2007;47:163–176. doi: 10.3354/ame047163. [DOI] [Google Scholar]
- 33.Amin, S. A., Green, D. H., Hart, M. C., Küpper, F. C., Sunda, W. G., & Carrano, C. J. (2009). Photolysis of iron-siderophore chelates promotes bacterial-algal mutualism. Proceedings of the National Academy of Sciences of the United States of America, 106(40), 17071–17076. [DOI] [PMC free article] [PubMed]
- 34.Kim B-H, Ramanan R, Cho D-H, Oh H-M, Kim H-S. Role of Rhizobium, a plant growth promoting bacterium, in enhancing algal biomass through mutualistic interaction. Biomass and Bioenergy. 2014;69:95–105. doi: 10.1016/j.biombioe.2014.07.015. [DOI] [Google Scholar]
- 35.Watanabe K, Takihana N, Aoyagi H, Hanada S, Watanabe Y, Ohmura N, Saiki H, Tanaka H. Symbiotic association in Chlorella culture. FEMS Microbiology Ecology. 2005;51(2):187–196. doi: 10.1016/j.femsec.2004.08.004. [DOI] [PubMed] [Google Scholar]
- 36.Rhee G-Y. Competition between an alga and an aquatic bacterium for phosphate. Limnology and Oceanography. 1972;17(4):505–514. doi: 10.4319/lo.1972.17.4.0505. [DOI] [Google Scholar]

