Abstract
Knill, Laflamme, and Milburn showed that linear optics techniques could be used to implement a nonlinear sign gate. They also showed that two of their nonlinear sign gates could be combined to implement a controlled-phase gate, which has a number of practical applications. Here we describe an alternative implementation of a controlled-phase gate for a single-rail target qubit that only requires the use of a single nonlinear sign gate. This gives a much higher average probability of success when the required ancilla photons are generated using heralding techniques. This implementation of a controlled-phase gate destroys the control qubit, which is acceptable in a number of applications where the control qubit would have been destroyed in any event, such as in a postselection process.
Subject terms: Optical physics, Quantum physics
Introduction
A controlled-phase gate produces a phase shift when the control and target qubits both have a logical value of 1. This is a very useful operation since it is a universal gate for quantum computation when combined with single-qubit operations1. It can also be used to create Schrodinger cat states2, to perform nonlocal quantum interferometry with violations of Bell’s inequality3,4, and to implement complete Bell state measurements in quantum teleportation5,6, for example.
Knill, Laflamme, and Milburn (KLM)7 showed that linear optics techniques could be used to implement a nonlinear sign gate. They also showed that two of their nonlinear sign gates could be combined to implement a controlled-phase gate. In this paper, we propose an alternative implementation of a controlled-phase gate for a single-rail target qubit that only requires a single nonlinear sign gate. Since each operation of a nonlinear sign gate requires an ancilla photon, our approach requires one less ancilla photon than earlier approaches7,8. This gives a higher average probability of success when the required ancilla photons are generated using down-conversion and heralding techniques. The increased probability of success comes at the expense of destroying (erasing) the control qubit.
Logic gates in which the control qubit is destroyed have been used in a number of previous applications. For example, a destructive Controlled-NOT (CNOT) gate can be combined with a quantum encoder to implement a non-destructive CNOT gate9–11. The same devices can be used to implement fusion gates that allow the construction of a cluster state12. As another example, Bell’s inequality can be violated in nonlocal interferometer experiments in which a controlled-phase shift is combined with homodyne measurements4. The control qubit is destroyed in a postselection process in experiments of that kind, which allows the use of the controlled-phase gate described here.
There have been several demonstrations of controlled logic operations in the coincidence basis using dual-rail qubits or polarization encoding, including controlled-phase gates10,13,14. However, the coincidence basis cannot be used for the single-rail target qubits of interest in this paper due to the superposition of the and Fock states in the input, which causes the total number of photons to be uncertain. The use of a single-rail target qubit is required for certain applications, such as in the interferometer of Ref.3. In addition, postselection in the coincidence basis often destroys both the control and target qubits, whereas the event-ready approach described here only destroys the control qubit. Controlled phase gates for quantum computation applications have also been achieved using nonlinear interactions with trapped atoms15–18, for example. In contrast, the controlled phase gate described here uses only linear optical elements.
Nonlinear sign gate
The nonlinear sign gate shown in Fig. 1 is the basic building block of the KLM approach to linear optics quantum computing1. The input state is limited to at most two photons. The operation of the nonlinear sign gate is then defined by
| 1 |
where and are complex constants. The only effect of the nonlinear sign gate is to reverse the sign of the two-photon amplitude, which is similar to the effects of a nonlinear Kerr medium19.
Figure 1.

KLM nonlinear sign gate7. An input state of the form gives an output state for an appropriate choice of the transmission coefficients of the three beam splitters and along with a fixed phase shift The results are heralded on the presence of a single photon in one of the two single-photon detectors.
The KLM nonlinear sign gate utilizes three beam splitters, one ancilla photon, and postselection based on the output of two single-photon detectors, as shown in Fig. 1. The gate applies a nonlinear phase shift of as in Eq. (1) for an appropriate choice of beam splitters and linear phase shifters as shown in Fig. 1. Other choices of the parameters can also be used to implement a nonlinear phase shift of for example7. There have been several proposals to enhance the success rate of this gate at the expense of adding more resources20,21 or vice-versa22.
Costanzo et al.19 proposed an alternative implementation of a nonlinear sign gate that is shown in Fig. 2. As illustrated in the upper part of the figure, the device produces a coherent superposition of photon subtractions that occur either before or after a photon addition. The operation of the gate can be intuitively understood from the commutation relation . This gate can be implemented using a down-conversion crystal with heralding to produce the photon addition, with photon subtraction occurring either at the first beam splitter or the second beam splitter Heralding on the output of beam splitter ensures that there is a fixed phase relationship between the two ways in which the photon subtraction can occur. The final state in this approach undergoes a noiseless amplification19 in addition to the nonlinear sign shift. If necessary, this can be compensated using noiseless attenuation23,24.
Figure 2.
Alternative nonlinear sign gate suggested by Costanzo et al19. A superposition of and operations is implemented using photon subtraction that occurs either at the first beam splitter or at the second beam splitter These operations cannot be distinguished when a single photon is detected in one of the outputs of the third beam splitter Photon addition is implemented in between and with the aid of a heralding signal from a down conversion process. A variety of nonlinear phase shifts can be achieved by adjusting the reflectivities of the three beam splitters along with an additional phase shift
Our destructive controlled-phase gate could be implemented using either the KLM nonlinear sign gate or the alternative implementation shown in Fig. 2. Our goal is to implement a controlled phase shift using only linear optical elements, whereas the approach shown in Fig. 2 is based on the use of a nonlinear crystal. As a result, we will assume that the KLM approach is used for the nonlinear sign gate throughout the rest of this paper.
KLM controlled-phase gate
The controlled-phase gate suggested by KLM is shown in Fig. 3. Dual-rail encoding is used for both qubits, and the two paths corresponding to a logical value of 1 are fed into a 50/50 beam splitter. Both outputs of the first beam splitter are passed through a nonlinear sign gate, after which they are recombined on a second beam splitter to form the output of the device.
Figure 3.

KLM Controlled-phase gate7. Dual-rail encoding is combined with Hong-Ou-Mandel interference at the first beam splitter to apply a phase shift of if both qubits have a logical value of 1. Two nonlinear sign gates labelled NS are required.
The operation of this device can be understood as being due to Hong-Ou-Mandel interference25 at the first beam splitter. If both qubits have a logical value of 0, then no photons pass through the nonlinear sign gates and the device has no effect. If only one qubit has a logical value of 1, then a single photon passes through one of the nonlinear sign gates, which also has no effect. But if both qubits have a value of 1, then both of them will emerge in the same path after the first beam splitter as in the Hong-Ou-Mandel interferometer. In that case, one of the nonlinear sign gates will apply a phase shift of as desired. The second beam splitter can be viewed as implementing the inverse of the Hong-Ou-Mandel interferometer with a single photon emerging in each path.
Other nonlinear phase shifts, such as can be produced by adding fixed phase shifts and varying the reflectivities of the beam splitters in the nonlinear sign gate from Fig. 1. E. Knill8 has also described a somewhat a different implementation of a controlled-phase gate that also requires two ancilla photons as a resource.
Destructive controlled-phase gate
An alternative implementation of a controlled-phase gate that only requires a single nonlinear sign gate is shown in Fig. 4. In this case, we assume that a dual-rail encoding is used for the control qubit while a single-rail encoding is used for the target qubit. The two paths for the control qubit are incident on beam splitters and whose outputs are postselected on the absence of a photon to produce a photon addition at one of the two beam splitters. The path representing a logical value of 1 for the control qubit is assumed to be on the left-hand side of the figure, where it passes through beam splitter A nonlinear sign gate is placed between the two beam splitters, after which beam splitter is used to subtract a photon.
Figure 4.
Destructive controlled-phase gate. Implementation of a destructive controlled-phase gate that only requires a single nonlinear sign gate labelled NS. If the control qubit has a logical value of 1, it produces a photon addition at beam splitter If the target qubit also has a logical value of 1, two photons will then pass through the nonlinear sign gate and produce a phase shift of In all other cases, at most a single photon passes through the nonlinear sign gate and there is no effect on the state of the system. A photon subtraction at beam splitter restores the original number of photons to the target qubit. The events are heralded on the outputs shown in three single-photon detectors. The detector in one of the output ports of beam splitter is assumed to be a photon-number resolving detector.
The initial states and for the target and control qubits, respectively, will be denoted by
| 2 |
where and are complex constants. Here and represent the state of the target qubit containing zero or 1 photons, while and correspond to the dual-rail encoded states of the control qubit.
The basic idea behind the operation of the gate is illustrated in the left part of Fig. 4. If the control qubit has a logical value of 1, the photon addition occurs first and the state that passes through the nonlinear sign gate will contain two photons if the target qubit also has a logical value of 1. In that case, the nonlinear sign gate would produce a phase shift of after which the photon subtraction at beam splitter would restore the target qubit to its original number of photons. In all other cases, the state passing through the nonlinear sign gate would contain at most a single photon and no phase shift would be applied.
The transmission coefficients for the three beam splitters will be denoted by and while the corresponding reflection coefficients will be denoted by and If we apply the usual beam splitter transformation with a factor of on reflection, the unnormalized state of the system at the output can be shown to be given by
| 3 |
where and are the states at the three detectors that herald the target output. This state does not contain the states and of the control qubit because it is destroyed during the heralding process.
This state can be put into the desired form by choosing the values of the transmission coefficients such that and Equation (3) then reduces to
| 4 |
where we have taken the projection onto the heralded state The probability of success is given by which will depend on the value of the probability amplitudes in the initial state, as discussed in the next section.
Equation (3) gives a controlled phase shift of using the parameters described above. Other nonlinear phase shifts can be produced using different parameters in the nonlinear sign gate. It may be worth noting that the same gate can be implemented by interchanging the locations of the output target state and the third heralding detector if the transmission and reflectivity of the final beam splitter are also interchanged. The gate fidelity and the success probability will remain the same in that case because the two experimental arrangements are equivalent.
Performance comparison
The probability of success for the destructive controlled-phase gate proposed here will be compared to that of the original KLM controlled-phase gate in this section. The fidelity of both gates depends on the efficiency of the single-photon detectors used in the heralding process, and those efficiencies will also be compared.
One measure of the probability of success is to assume that the necessary ancilla photons are available with 100% probability and then calculate the intrinsic probability of success associated with the gate itself. But in many applications, the relevant probability of success would combine the intrinsic probability of success with the probability of generating the required ancilla photons using down-conversion and heralding techniques. Single photons can be generated using down-conversion with a very high fidelity, for example, which is essential in meeting the threshold for error correction.
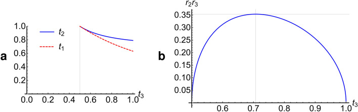
We will first consider the probability of success for a controlled-phase gate with As was noted in the previous section, Eqs. (3) and (4) will give the desired result if we choose and but those two equations do not completely determine the value of all three transmission coefficients. Figure 5a shows the solutions for and as a function of the solutions only exist for It can be shown that the maximum probability of success occurs for and This gives the maximum value of the coefficient that appears in Eq. (4), as can be seen in Fig. 5b.
Figure 5.
Parameters used in the destructive controlled-phase gate. Plots of various parameters, as a function of the transmission coefficient , satisfying the conditions and required for the successful operation of the destructive controlled-phase gate. (a) Transmission coefficient (dashed red line) and (solid blue line). The plots suggest that cannot be less than for a solution to exist. (b) Product that appears in Eq. (5) for the probability of success. Maxima occurs at which corresponds to using a 50–50 beam splitter in the photon subtraction.
From Eq. (4), the intrinsic probability of success of the destructive controlled-phase gate is given by
| 5 |
Here is the probability of success for the nonlinear sign gate shown in Fig. 4. For the time being, we will assume that is calculated based on the assumption that the ancilla photons are produced with 100% efficiency.
depends on the values of the probability amplitudes and that describe the initial control and target qubits. This is illustrated in Fig. 6, which is a plot of the intrinsic probability of success as a function of and where all of the probability amplitudes were assumed to be real with and for example. It can be seen that there is a significant variation in the probability of success depending on the form of the incident qubits.
Figure 6.

Intrinsic probability of success. Intrinsic probability of success of the destructive controlled-phase gate as a function of the probability amplitudes and in the incident control and target qubits. All four probability amplitudes in Eq. (3) were assumed to be real in this example. On the other hand, if we select and to be imaginary, we get a probability independent of the real valued and
If the target qubit has a logical value of 1 and then it can be seen from Eq. (4) that the output state will have zero amplitude and as can be seen in Fig. 6. This is an inherent feature of a destructive controlled-phase gate where the value of the control qubit is erased. This does not occur for other values of the controlled phase shift, such as and it is not an issue in nonlocal interferometer applications, for example3,4.
In order to simplify the comparison of the KLM controlled-phase gate and the gate proposed here, we averaged the intrinsic probability of success over all possible values of the coefficients and This result is compared with the corresponding result for the KLM controlled phase gate in Table 1. It can be seen that the intrinsic probability of success is comparable for the two gates for the case of which corresponds to a Controlled-Z operation.
Table 1.
Comparison of the average probability of success.
Here and are the intrinsic success probabilities of the destructive controlled-phase gate and the KLM gate respectively, while and include the probability of generating the required ancilla photons using heralded down-conversion. The nonlinear phase shift is given by
Single photon ancilla can be generated using down-conversion and heralding on one of the pair of photons, which we will assume to succeed roughly 1% of the time26. Table 1 also includes the effective probabilities of success and for the two controlled phase gates if we include the probability of generating the required ancilla photons using down-conversion. It can be seen that since the KLM gate requires two ancilla photons while the destructive controlled-phase gate only requires a single longer ancilla photon.
As described in the previous section, a destructive controlled-phase shift of can also be produced using a different set of parameters. The KLM gate can be modified to produce a phase shift of as well7. The probability of success for these two gates was calculated in the same way as before and the results are also compared in Table 1. It can be seen that the destructive controlled-phase gate has a much higher average probability of success in this case as well if we include the probability of generating the required ancilla photons using down-conversion and heralding.
In principle, both types of gates can be operated with 100% fidelity if the single-photon detectors are assumed to be perfect. The dark counts in an avalanche-diode single-photon detector are typically on the order of 100 counts/second or less. With a coincidence window of 1 ns, this corresponds to an erroneous output in approximately of the events, which has a negligible effect on the fidelities.
In contrast, heralding on those cases where the output of a single-photon detector indicated that no photons were present can have a significant impact on the gate fidelity if the efficiency of the detectors is limited. Roughly speaking, this allows photons to escape unnoticed from the system, leaving an incorrect number of photons in the output state. The average fidelity of the destructive controlled-phase gate of Fig. 4 and the average fidelity for the KLM controlled-phase gate are plotted in Fig. 7 as a function of the detector efficiency Both of these results correspond to a controlled phase shift of and they assume that the ancilla photons have 100% fidelity.
Figure 7.

Comparison of the fidelities. Average fidelity of the KLM controlled-phase gate (solid blue line) compared with the average fidelity of a destructive controlled-phase gate (dashed red line). Both fidelities are plotted as a function of the single-photon detector efficiency
It can be seen that the fidelity of the destructive controlled-phase gate is somewhat less than that of the KLM gate. This can be understood from the fact that the destructive controlled-phase gate of Fig. 4 relies upon 3 photon detectors indicating that no photons were detected, while the KLM gate of Fig. 3 only depends on 2 null detection events. This includes the fact that each of the nonlinear sign gates of Fig. 1 relies on a single null detection event.
The KLM gate preserves the control qubit whereas it is destroyed in the controlled-phase gate of Fig. 4. As noted previously, a destructive controlled-phase gate can be used in a number of applications, such as nonlocal quantum interference experiments, the generation of entangled Schrodinger cat states4, and in fusion operations for generating cluster states12. More generally, a quantum encoder gate9,11 could be used in combination with a destructive controlled-phase gate to preserve the value of the control qubit, but that would require an additional ancilla photon. In that case, there would no longer be any advantage in the overall probability of success as compared to using the KLM gate.
Controlled phase shift for large photon numbers
Up to now, we have assumed that the target state that is input to the controlled-phase gate of Fig. 4 contains a maximum of one photon. There are potential applications where it would be desirable to produce a controlled phase shift on a state containing a larger number of photons, such as a coherent state. This can be useful in producing Schrodinger cat states2 or in quantum interference experiments, for example3,4.
The controlled-phase gate can be modified as shown in Fig. 8 to allow a larger number of photons in the input. Here a series of beam splitters is used to divide the incident field into different paths. For each of these paths will contain at most a single photon with high probability, which allows a destructive controlled-phase gate to be applied in each of the paths. The output of each of these controlled-phase gates can then be recombined using another series of beamsplitters. This approach is similar to the technique used for noiseless amplifiers when the input state has more than one photon27.
Figure 8.
Controlled-phase gate for a coherent state. The incident field is divided into separate paths, each of which contains a destructive controlled-phase gate. The case of is shown here. A set of beam splitters then recombines the individual beams to form a single output state.
The main limitation in this approach is that all of the controlled-phase gates have to succeed simultaneously, and the probability of that occurring decreases exponentially with the value of In addition, a single control qubit would need to control the phase shift in all paths. This can be accomplished by using a series of quantum encoders11, which would further decrease the overall success rate. Nevertheless, an approach of this kind may be feasible for relatively weak coherent states.
Summary
We have proposed a destructive controlled-phase gate that produces a phase shift of when the control and target qubits both have a logical value of 1. The most commonly used values of are or but other phase shifts can be produced as well. The controlled-phase gate proposed here only requires a single nonlinear sign gate as a resource, whereas earlier implementations required two nonlinear sign gates7. As a result, the average probability of success for this controlled-sign gate is much larger than in earlier implementations if we include the need to generate ancilla photons using down-conversion and heralding. No such advantage would exist if the ancilla photons are produced on demand using quantum dots, but that typically does not give fidelities as high as can be achieved using down-conversion due to charge fluctuations28. Nevertheless, the use of quantum dots to produce single photons is an active area of research with continual improvements29–31.
The basic idea behind the proposed controlled-phase gate is the use of a dual-rail control qubit to add a photon either before or after the nonlinear sign gate. If the photon is added before the nonlinear sign gate and the target qubit has a logical value of 1, then two photons will pass through the nonlinear sign gate and a phase shift of will be produced. No such phase shift will be produced if the photon addition is done after the nonlinear sign gate. A photon subtraction is performed at the output of the gate to restore the original number of photons in the target qubit.
The increased probability of success comes at the cost of destroying the control qubit. This is acceptable in a number of applications where the control qubit would have been destroyed in any event, such as in a postselection process. Potential applications of this kind include the generation of Schrodinger cat states2, nonlocal interference experiments that violate Bell’s inequality4, and the construction of cluster states using fusion gates12. The control qubit can always be preserved if necessary by using a quantum encoder circuit11 before the controlled-phase gate, but that would require two ancilla photons and there would be no benefit as compared to the original KLM controlled-phase gate. The probability of success vanishes for certain input states for a controlled phase of but that is not the case for other values of the controlled phase that are required in many applications.
In summary, the controlled-phase gate described here provides an interesting example of the use of photon addition and subtraction19, and it may be of practical use in certain applications such as the generation of Schrodinger cat states and violations of Bell’s inequality.
Acknowledgements
We acknowledge the valuable discussions with C.M. Nunn and T.B. Pittman. This work was supported in part by the National Science Foundation under grant number PHY-1802472.
Author contributions
S.U.S. and J.D.F. came up with the idea together. S.U.S. performed the calculations. Both the authors wrote and reviewed the manuscript.
Data availability
The Mathematica code used to generate the supporting data is available on request from the corresponding author, S.U.S.
Competing interests
The authors declare no competing interests.
Footnotes
Publisher's note
Springer Nature remains neutral with regard to jurisdictional claims in published maps and institutional affiliations.
References
- 1.Milburn GJ. Quantum optical Fredkin gate. Phys. Rev. Lett. 1989;62:2124. doi: 10.1103/PhysRevLett.62.2124. [DOI] [PubMed] [Google Scholar]
- 2.Yurke B, Stoler D. Generating quantum mechanical superpositions of macroscopically distinguishable states via amplitude dispersion. Phys. Rev. Lett. 1986;57:13. doi: 10.1103/PhysRevLett.57.13. [DOI] [PubMed] [Google Scholar]
- 3.Kirby BT, Franson JD. Nonlocal interferometry using macroscopic coherent states and weak nonlinearities. Phys. Rev. A. 2013;87:053822. doi: 10.1103/PhysRevA.87.053822. [DOI] [Google Scholar]
- 4.Shringarpure SU, Franson JD. Generating entangled Schrödinger cat states using a number state and a beam splitter. Phys. Rev. A. 2020;102:023719. doi: 10.1103/PhysRevA.102.023719. [DOI] [Google Scholar]
- 5.Vitali D, Fortunato M, Tombesi P. Complete quantum teleportation with a Kerr nonlinearity. Phys. Rev. Lett. 2000;85:445. doi: 10.1103/PhysRevLett.85.445. [DOI] [PubMed] [Google Scholar]
- 6.Paris MGA, Plenio MB, Bose S, Jonathan D, D'Ariano GM. Optical Bell measurement by Fock filtering. Phys. Lett. A. 2000;273:153–158. doi: 10.1016/S0375-9601(00)00477-1. [DOI] [Google Scholar]
- 7.Knill E, Laflamme R, Milburn GJ. A scheme for efficient quantum computation with linear optics. Nature. 2001;409:46–52. doi: 10.1038/35051009. [DOI] [PubMed] [Google Scholar]
- 8.Knill, E. A note on linear optics gates by post-selection. Preprint at https://arxiv.org/abs/quant-ph/0110144 (2001).
- 9.Franson JD, Donegan MM, Fitch MJ, Jacobs BC, Pittman TB. High-fidelity quantum logic operations using linear optical elements. Phys. Rev. Lett. 2002;89:137901. doi: 10.1103/PhysRevLett.89.137901. [DOI] [PubMed] [Google Scholar]
- 10.Pittman TB, Jacobs BC, Franson JD. Demonstration of nondeterministic quantum logic operations using linear optical elements. Phys. Rev. Lett. 2002;88:257902. doi: 10.1103/PhysRevLett.88.257902. [DOI] [PubMed] [Google Scholar]
- 11.Pittman TB, Jacobs BC, Franson JD. Probabilistic quantum encoder for single-photon qubits. Phys. Rev. A. 2004;69:042306. doi: 10.1103/PhysRevA.69.042306. [DOI] [Google Scholar]
- 12.Browne DE, Rudolph T. Resource-efficient linear optical quantum computation. Phys. Rev. Lett. 2005;95:010501. doi: 10.1103/PhysRevLett.95.010501. [DOI] [PubMed] [Google Scholar]
- 13.Kieling K, O'Brien JL, Eisert J. On photonic controlled phase gates. New J. Phys. 2010;12:013003. doi: 10.1088/1367-2630/12/1/013003. [DOI] [Google Scholar]
- 14.Lemr K, et al. Experimental implementation of the optimal linear-optical controlled phase gate. Phys. Rev. Lett. 2011;106:013602. doi: 10.1103/PhysRevLett.106.013602. [DOI] [PubMed] [Google Scholar]
- 15.Reiserer A, Kalb N, Rempe G, Ritter S. A quantum gate between a flying optical photon and a single trapped atom. Nature. 2014;508:237–240. doi: 10.1038/nature13177. [DOI] [PubMed] [Google Scholar]
- 16.Tiecke TG, et al. Nanophotonic quantum phase switch with a single atom. Nature. 2014;508:241. doi: 10.1038/nature13188. [DOI] [PubMed] [Google Scholar]
- 17.Tiarks D, Schmidt-Eberle S, Stolz T, Rempe G, Dürr S. A photon–photon quantum gate based on Rydberg interactions. Nat. Phys. 2019;15:124–126. doi: 10.1038/s41567-018-0313-7. [DOI] [Google Scholar]
- 18.Liu W-Q, Wei H-R, Kwek L-C. Low-cost Fredkin gate with auxiliary space. Phys. Rev. Appl. 2020;14:054057. doi: 10.1103/PhysRevApplied.14.054057. [DOI] [Google Scholar]
- 19.Costanzo LS, et al. Measurement-induced strong kerr nonlinearity for weak quantum states of light. Phys. Rev. Lett. 2017;119:013601. doi: 10.1103/PhysRevLett.119.013601. [DOI] [PubMed] [Google Scholar]
- 20.Zou X, Pahlke K, Mathis W. Teleportation implementation of nondeterministic quantum logic operations by using linear optical elements. Phys. Rev. A. 2002;65:064305. doi: 10.1103/PhysRevA.65.064305. [DOI] [Google Scholar]
- 21.Scheel, S., Pachos, J.K., Hinds, E.A. & Knight, P.L. Quantum gates and decoherence in Quantum Coherence. 47–81 (Springer, Berlin, 2006).
- 22.Ralph TC, Langford NK, Bell TB, White AG. Linear optical controlled-NOT gate in the coincidence basis. Phys. Rev. A. 2002;65:062324. doi: 10.1103/PhysRevA.65.062324. [DOI] [Google Scholar]
- 23.Mičuda M, et al. Noiseless loss suppression in quantum optical communication. Phys. Rev. Lett. 2012;109:180503. doi: 10.1103/PhysRevLett.109.180503. [DOI] [PubMed] [Google Scholar]
- 24.Gagatsos CN, Fiurášek J, Zavatta A, Bellini M, Cerf NJ. Heralded noiseless amplification and attenuation of non-Gaussian states of light. Phys. Rev. A. 2014;89:062311. doi: 10.1103/PhysRevA.89.062311. [DOI] [Google Scholar]
- 25.Hong CK, Ou ZY, Mandel L. Measurement of subpicosecond time intervals between two photons by interference. Phys. Rev. Lett. 1987;59:2044. doi: 10.1103/PhysRevLett.59.2044. [DOI] [PubMed] [Google Scholar]
- 26.Meyer-Scott E, Silberhorn C, Migdall A. Single-photon sources: Approaching the ideal through multiplexing. Rev. Sci. Instrum. 2020;91:041101. doi: 10.1063/5.0003320. [DOI] [PMC free article] [PubMed] [Google Scholar]
- 27.Ralph TC, Lund AP. Nondeterministic noiseless linear amplification of quantum systems. AIP Conf. Proc. 2009;1110:155–160. doi: 10.1063/1.3131295. [DOI] [Google Scholar]
- 28.Kuhlmann AV, et al. Charge noise and spin noise in a semiconductor quantum device. Nat. Phys. 2013;9:570–575. doi: 10.1038/nphys2688. [DOI] [Google Scholar]
- 29.Kuhlmann AV, et al. Transform-limited single photons from a single quantum dot. Nat. Commun. 2015;6:1–6. doi: 10.1038/ncomms9204. [DOI] [PMC free article] [PubMed] [Google Scholar]
- 30.Kiršanskė G, et al. Indistinguishable and efficient single photons from a quantum dot in a planar nanobeam waveguide. Phys. Rev. B. 2017;96:165306. doi: 10.1103/PhysRevB.96.165306. [DOI] [Google Scholar]
- 31.Somaschi N, et al. Near-optimal single-photon sources in the solid state. Nat. Photonics. 2016;10:340–345. doi: 10.1038/nphoton.2016.23. [DOI] [Google Scholar]
Associated Data
This section collects any data citations, data availability statements, or supplementary materials included in this article.
Data Availability Statement
The Mathematica code used to generate the supporting data is available on request from the corresponding author, S.U.S.




