Abstract
Background
Biomarkers may contribute to improved cardiovascular risk estimation. Glycated hemoglobin A1c (HbA1c) is used to monitor the quality of diabetes treatment. Its strength of association with cardiovascular outcomes in the general population remains uncertain. This study aims to assess the association of HbA1c with cardiovascular outcomes in the general population.
Methods
Data from six prospective population-based cohort studies across Europe comprising 36,180 participants were analyzed. HbA1c was evaluated in conjunction with classical cardiovascular risk factors (CVRFs) for association with cardiovascular mortality, cardiovascular disease (CVD) incidence, and overall mortality in subjects without diabetes (N = 32,496) and with diabetes (N = 3684).
Results
Kaplan–Meier curves showed higher event rates with increasing HbA1c levels (log-rank-test: p < 0.001). Cox regression analysis revealed significant associations between HbA1c (in mmol/mol) in the total study population and the examined outcomes. Thus, a hazard ratio (HR) of 1.16 (95% confidence interval (CI) 1.02–1.31, p = 0.02) for cardiovascular mortality, 1.13 (95% CI 1.03–1.24, p = 0.01) for CVD incidence, and 1.09 (95% CI 1.02–1.17, p = 0.01) for overall mortality was observed per 10 mmol/mol increase in HbA1c. The association with CVD incidence and overall mortality was also observed in study participants without diabetes with increased HbA1c levels (HR 1.12; 95% CI 1.01–1.25, p = 0.04) and HR 1.10; 95% CI 1.01–1.20, p = 0.02) respectively. HbA1c cut-off values of 39.9 mmol/mol (5.8%), 36.6 mmol/mol (5.5%), and 38.8 mmol/mol (5.7%) for cardiovascular mortality, CVD incidence, and overall mortality, showed also an increased risk.
Conclusions
HbA1c is independently associated with cardiovascular mortality, overall mortality and cardiovascular disease in the general European population. A mostly monotonically increasing relationship was observed between HbA1c levels and outcomes. Elevated HbA1c levels were associated with cardiovascular disease incidence and overall mortality in participants without diabetes underlining the importance of HbA1c levels in the overall population.
Supplementary Information
The online version contains supplementary material available at 10.1186/s12933-021-01413-4.
Keywords: Biomarkers, Glycated hemoglobin A1c (HbA1c), Cardiovascular risk, Mortality, BiomarCaRE (Biomarker for Cardiovascular Risk Assessment in Europe), MORGAM (MONICA Risk Genetics Archiving and Monograph)
Introduction
Assessing the cardiovascular risk in the general population is important for clinical decision-making, including the prescription of medication or targeting of lifestyle intervention strategies [1–3]. Despite the identification of novel independent biomarkers, assessment of cardiovascular risk relies on a set of traditional cardiovascular risk factors (CVRFs) such as age, sex, blood pressure, lipid levels, diabetes mellitus (DM), and smoking. The decision whether to include novel biomarkers in cardiovascular risk assessment remains a topic of intense debate and research [4]. Diabetes is regarded as a classical risk factor for cardiovascular disease (CVD) [5]. Due to the clinical need to identify novel risk factors to improve cardiovascular risk assessment, glycated hemoglobin or hemoglobin A1c (HbA1c) may be a potential candidate [6]. The primary clinical use of HbA1c is as an indicator of the average blood glucose levels over the past 3 months and thus it is used as a diagnostic and screening tool for DM [7, 8].
While associations between HbA1c levels and the risk of cardiovascular outcomes or overall mortality have been reported [9–14], only few studies suggested that HbA1c may be associated with cardiovascular outcomes in an apparently healthy population [9, 15–19]. Recently published results underlined the additional use of HbA1c levels in middle-aged individuals without a history of CVD and HbA1c levels in the nondiabetic range [1]. Studies employing Mendelian randomization support a link between increasing HbA1c levels and an increased risk of coronary artery disease [20, 21]. In this context, HbA1c might be associated with an increased risk and could be of importance in individuals without a diagnosis of diabetes [4].
In the present study, we evaluated the distribution of HbA1c levels in population-based cohorts across Europe. Furthermore, we analyzed the association of continuous HbA1c levels with cardiovascular mortality, CVD incidence, and overall mortality. In addition, the association between HbA1c levels and time-to-event was analyzed in subgroups with and without diabetes and according to age. Finally, cut-offs for the dichotomization of HbA1c were determined for each outcome.
Methods
Study overview
The design and rationale of the Biomarker for Cardiovascular Risk Assessment across Europe (BiomarCaRE) project have been described previously [22]. Briefly, BiomarCaRE is based on the MORGAM (MONICA Risk Genetics Archiving and Monograph) Project. The MORGAM/BiomarCaRE Data Center in Helsinki harmonized individual data from 21 population-based cohort studies with central storage of selected biomaterial of more than 300,000 participants [22]. Using the harmonized database of the BiomarCaRE project (FP7/2007–2013) [22], we analyzed individual data of 36,180 study participants with available HbA1c levels.
Study cohorts
The present analysis included six cohort studies from four European countries (Germany, Italy, Sweden, and Norway), namely the Cooperative Health Research in the Region of Augsburg (KORA) Study, the Study of Health in Pomerania (SHIP), and the Epidemiologische Studie zu Chancen der Verhütung, Früherkennung und optimierten THerapie chronischer ERkrankungen in der älteren Bevölkerung (ESTHER) Study, all from Germany, the MONICA Brianza Study from Italy, the Northern Sweden MONICA Study from Sweden, and the Tromsø Study from Norway. Each cohort is based on a well-defined population (see Additional file 1: Table S1).
For each cohort, the following harmonized variables were available at baseline: duration of time with diagnosed diabetes in years, age, sex, smoking status, body-mass-index (BMI), systolic blood pressure, diastolic blood pressure, total cholesterol, high-density lipoprotein (HDL) cholesterol, HbA1c, and history of DM. The history of DM was defined as documented or self-reported history of diabetes. This variable includes both type 1 and type 2 DM. Detailed definitions of this variable in each cohort are provided in Additional file 1: Table S1. Also participants not diagnosed with DM but with high HbA1c levels (> 48 mmol/mol/6.5%—a diagnostic criterion for clinical DM) were assigned to the DM group. Additional sub-classification into type 1 or type 2 DM was not possible with this dataset. Treatment of DM was available as (a) medication with insulin, (b) oral medication, but no insulin and (c) diet only.
Smoking status was determined based on self-reports. BMI, systolic blood pressure, diastolic blood pressure, total cholesterol, and HDL cholesterol parameters were measured (high blood pressure was defined either as systolic blood pressure ≥ 140 mmHg and/or diastolic blood pressure ≥ 90 mmHg) and it was recorded whether the patient was on antihypertensive medication. Prevalent CVD, like previous myocardial infarction or stroke, was assessed using the documented or self-reported history of myocardial infarction or stroke, including angina pectoris when the data did not permit its distinction from myocardial infarction. In MORGAM, prevalent heart failure was assessed with the item documented or self-reported history of heart failure.
Study outcome
The following outcome measures were defined: (I) cardiovascular mortality, (II) CVD incidence, and (III) overall mortality, defined as mortality due to any cause during follow-up. Follow-up commenced at the baseline examination date [23].
Cardiovascular mortality included death due to coronary heart disease or stroke. Cardiovascular disease, as an endpoint, was defined as the first fatal or non-fatal coronary event or possible ischemic stroke. Coronary events included acute definite or possible myocardial infarction or coronary death, unstable angina pectoris, cardiac revascularization, and unclassifiable death (i.e., death with insufficient evidence of coronary origin and no competing cause). In the MONICA/KORA Augsburg study, cardiac revascularization was not followed-up. In the MONICA/KORA Augsburg and MONICA Brianza studies, unstable angina pectoris was not assessed as an outcome but primarily included in the category “possible myocardial infarction” of the WHO MONICA classification used in these studies.
Laboratory procedures
HbA1c was measured using whole blood. All HbA1c measurements were performed upon study entry to avoid glycation of blood samples during storage (except the Northern Sweden MONICA cohort measuring HbA1c levels in samples that had been stored at − 80 °C). Locally measured HbA1c values were transferred directly to the MORGAM Data Center (except for the SHIP study). The assays either reported their results as percentages (%), following the National Glycohemoglobin Standardization Program (NGSP), or in units of mmol/mol if they had employed the International Federation of Clinical Chemistry (IFCC) consensus reference method. Data from cohorts which reported their values as percentages were converted to mmol/mol using the standard formula: IFCC = 10.93 * NGSP − 23.50.
Statistical analyses
Unadjusted and age-adjusted Kaplan–Meier survival curves for cardiovascular mortality, CVD incidence, and overall mortality were computed based on HbA1c tertiles. For the age-adjusted Kaplan–Meier survival analyses the three HbA1c tertiles were < 34.4 mmol/mol (5.3%), 34.4 mmol/mol (5.3%) − 38.8 mmol/mol (5.7%); and > 38.8 mmol/mol (5.7%). To adjust the survival curves for the age distribution in the data, the following procedures were applied: (a) age was categorized using cut-offs 35, 40, 45, 50, 55, 60, 65, and 70 years; (b) an individual belonging to a particular HbA1c tertile and to age category j was assigned a weight equal to (nj/N)/(nij/N), where N is the total sample size, nj is the number of individuals in age category j, and nij is the number of individuals in age category j belonging to the HbA1c tertile; (c) these weights were then applied to the observations for estimating the Kaplan–Meier curves. A log-rank test was used to compare the unadjusted survival curves. The adjusted survival curves we compared using a robust score test obtained from a weighted Cox model with HbA1c categorized using tertiles as the only predictor. Follow-up time quartiles were estimated by the Kaplan–Meier potential follow-up estimator [24].
Sex- and cohort-stratified Cox proportional hazards models for cardiovascular mortality, CVD incidence, and overall mortality were computed using individual-level data from the available cohorts. For these analyses the HbA1c (in mmol/mol) was applied untransformed and used as continuous variable. The Cox models for the three endpoints were adjusted for age (time scale), sex and cohort (strata), and CVRFs, smoking status (daily smoker yes/no), BMI, systolic blood pressure, DM (yes/no), total cholesterol to HDL cholesterol ratio and treatment of DM. Two separate extensions of the models were considered. In one extension, baseline age groups < 55, 55–64, ≥ 65 years at baseline and their interaction with continuous untransformed HbA1c was added to the models. In the second extension, an interaction between continuous untransformed HbA1c and the group indicator for diabetes was added. For these models results the HbA1c hazard ratios are presented in forest plots and tables. In the former HbA1c hazard ratios are presented per 10 mmol/mol increase and in the later per 1 mmol/mol increase (Additional file 1). To assess the linearity assumption of HbA1c used in the previous Cox regressions, additional Cox models with HbA1c were formulated using penalized cubic splines. C-indices were computed using these last models and compared against a model including all other predictors with the exception of HbA1c. Further details are given in Additional file 1. HbA1c cut-offs that intend to separate subjects into low- and high-risk groups were calculated for each endpoint using the method of Contal and O’Quigley [25]. This method examines a rescaled version of the log-rank test statistic for each possible cut-off and selects the cut-off that maximizes the rescaled log-rank test statistic. Equality of survival curves in the groups separated by the optimal cut-off values was tested using the methods described by Contal and O’Quigley [25].
Individuals with CVD at baseline were excluded in the survival analyses using CVD as endpoint. There were no exclusions based on prevalent disease for the two other endpoints.
A two-sided P-value of < 0.05 was considered statistically significant. Adjustment for multiple testing was not performed due to the exploratory nature of the analyses [26]. All statistical methods were implemented in R statistical software version 4.1.1 (http://www.R-project.org) [27].
Results
Baseline characteristics
The baseline characteristics for individuals with available HbA1c measurements for the entire cohort and for individuals with and without DM are shown in Table 1. The characteristics of each cohort are summarized in Additional file 1: Table S2.
Table 1.
Baseline characteristics of the entire study population
| All (N = 36,180) | No diabetes (N = 32,496) | Prevalent diabetes (N = 3684) | |
|---|---|---|---|
| Baseline characteristics | |||
| Survey year | 1987–2012 | 1987–2012 | 1987–2012 |
| Examination age (years) | 57.4 (47.0, 65.1) | 56.4 (45.3, 64.5) | 64.0 (57.9, 69.0) |
| Male (%) | 17,069 (47.2) | 15,095 (46.5) | 1974 (53.6) |
| BMI (kg/m2) | 26.4 (23.8, 29.4) | 26.1 (23.6, 29.0) | 29.2 (26.4, 32.6) |
| Daily smoker (%) | 8243 (27.7) | 7602 (27.9) | 641 (25.7) |
| Hypertension (%) | 17,084 (47.5) | 14,506 (44.9) | 2578 (70.6) |
| Systolic BP (mmHg) | 133.5 (120.0, 149.0) | 132.0 (120.0, 147.0) | 140.0 (130.0, 155.5) |
| Diastolic BP (mmHg) | 80.0 (74.0, 90.0) | 80.0 (74.0, 89.5) | 80.5 (76.0, 90.0) |
| Antihypertensive (%) | 7827 (21.7) | 6057 (18.7) | 1770 (48.5) |
| Diabetes (%) | 3684 (10.2) | 0 (0) | 3684 (100) |
| Diabetes treatment: none (%) | 33,834 (95.1) | 32,496 (100) | 1338 (43.5) |
| Diabetes treatment: insulin (%) | 598 (1.7) | 0 (0) | 598 (19.4) |
| Diabetes treatment: tablets, but no insulin (%) | 1007 (2.8) | 0 (0) | 1007 (32.7) |
| Diabetes treatment: dietary (%) | 133 (0.4) | 0 (0) | 133 (4.3) |
| Family history of CHD (%) | 4716 (18.6) | 4242 (18.7) | 474 (17.6) |
| Prev. MI or stroke (%) | 2132 (6.0) | 1587 (4.9) | 545 (15.3) |
| History of MI (%) | 1417 (4.0) | 1060 (3.3) | 357 (10.0) |
| Prev. stroke (%) | 862 (2.4) | 624 (1.9) | 238 (6.6) |
| History of heart failure (%) | 1454 (5.7) | 1046 (4.7) | 408 (13.2) |
| Endpoints | |||
| Cardiovascular mortality (%) | 1392 (3.9) | 1080 (3.3) | 312 (8.5) |
| Cardiovascular disease (%) | 2339 (8.2) | 2043 (7.8) | 296 (12.1) |
| Overall mortality (%) | 4601 (12.7) | 3768 (11.6) | 833 (22.7) |
| Biomarkers | |||
| HbA1c (mmol/mol) | 36.6 (32.2, 39.9) | 35.5 (32.2, 38.8) | 50.8 (44.3, 59.6) |
| HbA1c (%) | 5.5 (5.1, 5.8) | 5.4 (5.1, 5.7) | 6.8 (6.2, 7.6) |
| Total cholesterol (mmol/L) | 5.9 (5.0, 6.7) | 5.9 (5.1, 6.8) | 5.7 (4.8, 6.5) |
| HDL cholesterol (mmol/L) | 1.4 (1.2, 1.7) | 1.4 (1.2, 1.7) | 1.2 (1.0, 1.4) |
Baseline characteristics are presented as absolute and relative frequencies for categorical variables, and quartiles (medians with 25th and 75th percentiles) for continuous variables as well as range in years for years of baseline examinations
The numbers provided for the cardiovascular disease endpoint are after excluding those individuals with history of cardiovascular disease
BMI body mass index, BP blood pressure, CHD coronary heart disease, HDL high density lipoprotein, LDL low density lipoprotein, MI myocardial infarction
For 36,180 subjects, HbA1c measurements and information regarding diabetes status were available. Men and women were represented almost equally (19,111 women; 52.8%). The median age was 57.4 years, the median BMI 26.4 kg/m2, and the median systolic blood pressure 133.5 mmHg. At baseline, approximately 28% of the study cohort were daily smokers, 47.5% had high blood pressure or were taking antihypertensive medication, and 10.2% had a diagnosis of diabetes.
Distribution of HbA1c levels in the cohort
The distribution of HbA1c levels in the entire cohort and each cohort study are shown in Additional file 1: Fig. S1. The median HbA1c was 36.6 mmol/mol (5.5%). The 25th and 75th percentiles were 32.2 mmol/mol (5.1%) and 39.9 mmol/mol (5.8%), respectively.
HbA1c levels and association with cardiovascular mortality, cardiovascular disease, and overall mortality
The maximum follow-up time was 21.9 years. During the median follow-up time of 9.9 years, 1392 cases of cardiovascular death, 2711 cases of CVD, and 4,601 deaths due to any cause were observed. Further information on the median follow-up for each cohort is provided in Additional file 1: Table S3.
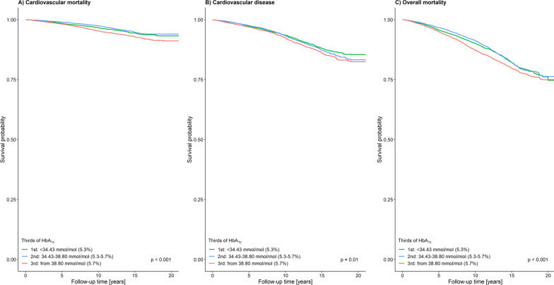
As illustrated in the age-adjusted Kaplan–Meier survival analyses for the three HbA1c tertiles < 34.4 mmol/mol (5.3%), 34.4 mmol/mol (5.3%) − 38.8 mmol/mol (5.7%); and > 38.8 mmol/mol (5.7%) the probability of all investigated outcomes increased with increasing HbA1c levels (Additional file 1: Fig. S2). Adjusting the curves for age reduced the separation between the curves (Fig. 1).
Fig. 1.
Age-adjusted Kaplan–Meier curves of A cardiovascular mortality, B cardiovascular disease, and C overall mortality for each HbA1c tertile
HbA1c-associated risk in the overall cohort, age groups and individuals with and without DM
The fully adjusted hazard ratios (HRs) shows associations with cardiovascular mortality, CVD incidence, and overall mortality, with respective HR of 1.16 (95% confidence interval (CI): 1.02–1.31, p = 0.02) for cardiovascular mortality, 1.13 (95% CI 1.03–1.24, p = 0.01) for CVD incidence, and 1.09 (95% CI 1.02–1.17, p = 0.01) for overall mortality per 10 mmol/mol increase in HbA1c (Figs. 2 and 3, Additional file 1: Table S4).
Fig. 2.
Subgroup analysis comparing the association between HbA1c and time-to-event in individuals with and without DM. HbA1c was used as continuous variable in mmol/mol. HbA1c hazard ratios are presented per 10 mmol/mol increase. The models include an interaction term between HbA1c and the subgroup indicator (DM yes/no). The Cox models for the three endpoints were adjusted for age (time scale), sex and cohort (strata), and CVRFs, smoking status, BMI, systolic blood pressure, DM, DM treatment, and total cholesterol to HDL cholesterol ratio. The p-value for interaction is for an interaction between DM and HbA1c
Fig. 3.
Hazard ratios for HbA1c and outcomes: cardiovascular mortality, cardiovascular disease, and overall mortality, stratified into age groups. HbA1c was used as continuous variable in mmol/mol. Hazard ratios are presented per 10 mmol/mol increase. The Cox models for the three endpoints were adjusted for age (time scale), sex and cohort (strata), and CVRFs, smoking status, BMI, systolic blood pressure, DM, DM treatment, and total cholesterol to HDL cholesterol ratio. The p-value for interaction is for an interaction between age groups and HbA1c
In individuals with DM, we observed a HR of 1.19 (95% CI 0.97‒1.46; p = 0.1) for cardiovascular mortality, 1.17 (95% CI 0.97‒1.40; p = 0.1) for CVD incidence, and 1.08 (95% CI 0.95‒1.21; p = 0.24) for overall mortality. In participants without DM, the respective HRs for cardiovascular mortality, CVD incidence, and overall mortality were 1.14 (95% CI 0.98‒1.33; p = 0.1), 1.12 (95% CI 1.01‒1.25; p = 0.04), and 1.10 (95% CI 1.01‒1.20; p = 0.02) (Fig. 2).
Following stratification according to age groups, the association between HbA1c and risk of cardiovascular disease incidence was pronounced in individuals aged < 55 years (HR: 1.25, 95% CI 1.07 –1.46, p = 0.006) but diminished with increasing age. In this context, the results for the cohort with subjects older ≥ 55 years and < 65 years were (HR: 1.18, 95% CI 1.04–1.33; p = 0.01) and not present in individuals older 65 years (HR: 1.05, 95% CI 0.93–1.19; p = 0.44) for cardiovascular disease (Fig. 3).
Dose–response relationships
Modelling the association of HbA1c and time-to-event using cubic splines indicates a slightly curved increasing association for the considered endpoints, with the exception of cardiovascular mortality where the curve decreases until approximately 33 mmol/mol (5.2%) (Fig. 4). The hypothesis of linearity of HbA1c for all 3 endpoints could not be rejected (p = 0.087 for cardiovascular mortality, p = 0.5 for CVD, and p = 0.56 for overall mortality).
Fig. 4.
Penalised cubic splines for the association between HbA1c and time-to-event. HbA1c was used as continuous variable and presented in mmol/mol
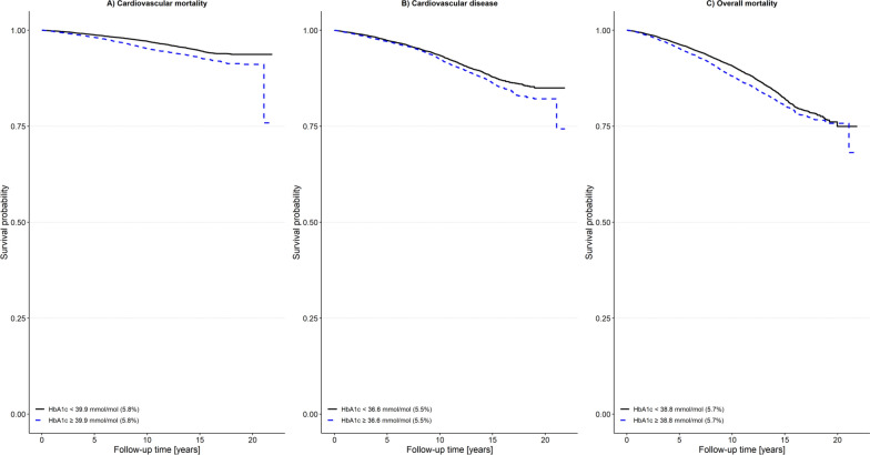
Cut-off value of HbA1c for risk estimation
HbA1c cut-off values for cardiovascular mortality, CVD incidence, and overall mortality were calculated, yielding 39.9 mmol/mol (5.8%), 36.6 mmol/mol (5.5%), and 38.8 mmol/mol (5.7%), respectively. These cut-offs indicate an increased risk for the outcome. This is shown by the age-adjusted Kaplan–Meier curves for the three outcomes (Fig. 5). During follow-up, participants that were above the respective cut-off at baseline had a higher risk for each of the outcomes. The unadjusted Kaplan–Meier curves are shown in Additional file 1: Fig. S3.
Fig. 5.
Age adjusted Kaplan–Meier curves for the outcomes A cardiovascular mortality, B cardiovascular disease, and C overall mortality based on the calculated cut-off values
Calculation of C-indices
Calculation of C-indices showed no relevant improvement in risk prediction by adding the HbA1c level to the model including the baseline risk factors which were used for adjustment of the Cox regression models for the overall cohort and for individuals without diabetes (Additional file 1: Table S5).
Discussion
Based on a fairly harmonized large-scale assessment of HbA1c and cardiovascular outcomes, the present study has several main findings. First, HbA1c levels were independently associated with overall-mortality, cardiovascular mortality, and cardiovascular disease. Second, HbA1c levels showed a mostly monotonically increasing association with all three outcomes. Third, the association of HbA1c with cardiovascular disease incidence was strongest in individuals younger than 55 years. Fourth, subgroup analyses based on diabetes status demonstrated that the association between HbA1c and the examined outcomes were significantly associated with CVD incidence and overall mortality in persons without diabetes. Fifth, HbA1c cut-off values were derived to define a threshold above which the risk of the examined outcomes was increased. Finally, despite significant associations of HbA1c with the examined outcomes, 5-year prediction models were not significantly improved by the addition of HbA1c on top of CVRFs.
HbA1c levels and the risk for cardiovascular outcomes
Although the presence of diabetes is a common risk factor for CVD, a continuous biomarker reflecting this risk factor is not currently used for risk assessment in the general population [6]. In the present prospective population-based study including 36,180 participants from six European countries, we demonstrated a mostly monotonically increasing association for cardiovascular mortality, CVD incidence, and overall mortality with increasing HbA1c levels. The association was mostly monotonic and not J-shaped as reported before [28]. This is in line with a previous meta-analysis of individual level data which overall also did not find a J-shaped association [29]. While this study observed a J-shaped association of HbA1c levels with all cause and cardiovascular mortality in one of the included studies [29] this seemed to be due to confounders like ethnicity, alcohol consumption, BMI, biomarkers of iron deficiency and liver function since the association of very low HbA1c levels with mortality outcomes lost statistical significance after adjusting for these confounders [29].
In this context, the current results with cut-off analysis adjusted for age provided thresholds of HbA1c levels being associated with cardiovascular disease, cardiovascular mortality and overall mortality. These results underline the importance of HbA1c levels below the threshold to diagnose diabetes and to identify individuals with an increased risk. Therefore, our findings underline previous statements from the American Diabetes Association [30] concerning the measurement of HbA1c for cardiovascular risk assessment as well as the recent European Society of Cardiology 2019 guidelines [6] on adults without a diagnosis of diabetes. In this context, neither guideline defines prediabetes as a self-contained clinical entity although individuals with prediabetes have an increased risk to develop diabetes or cardiovascular disease [6, 30, 31]. The American guidelines underline the fact that prediabetes is associated with cardiovascular risk factors like obesity, arterial hypertension, and dyslipidemia and further that levels in the prediabetes range are associated with the risk to develop diabetes. The increasing risk for developing diabetes with increasing HbA1c levels has been reported before [32]. Furthermore, the American guidelines [30, 31] also support the notion of including HbA1c determination in clinical practice for prevention purposes to reduce future CVD burden. The results of the present study support this implication of using HbA1c levels to identify individuals with an increased risk, e.g., classify them as prediabetic based on a cut-off value of > 38.8 mmol/mol (5.7%), especially since all our calculated cut-offs for subject differentiation were below the reported threshold to diagnose diabetes. The cut-off of > 38.8 mmol/mol (5.7%) is also in line with the threshold proposed by the American Diabetes Association to define prediabetes in individuals without a diagnosis of diabetes [30, 31]. In the present study, HbA1c levels above the cut-off value of 36.6 mmol/mol (5.5%) were associated with cardiovascular diseases. This underlines possible implications for levels below the cut-off value of HbA1c used to diagnose prediabetes (i.e. 5.7%).
A recent study in a smaller study population from Spain could also show the additional benefit of including HbA1c levels for the association with CVD [1]. Extending the importance of HbA1c levels in the clinical practice, additional data pointing out the usage of HbA1c levels for risk stratification in patients with CVD or DM with an insufficient glucose control in patients from Asia should be noted [13, 14, 33, 34].
The recent study by Welsh and colleagues using data from the UK only with a median follow-up of 8.9 years also showed an association between HbA1c levels and cardiovascular outcome [2]. The authors suggested that this risk may be increased due to a higher prevalence of CVRFs in the investigated population [2]. However, this interpretation stands in contrast to findings by a different article which showed that the cohort used in the Welsh et al. study had a lower prevalence of risk factors than the average UK population [35].
Age-dependent effect of HbA1c and risk for cardiovascular outcome
An important finding was that the association between HbA1c and cardiovascular disease incidence was strongest in individuals aged under 55 years. This could imply that young individuals with elevated HbA1c levels may carry an additional risk for developing relevant cardiovascular disease. A possible causal link between HbA1c levels and an increased risk of coronary artery disease was proposed in Mendelian randomization studies [20, 21]. Although the analysis as presented was adjusted for the CVRFs the literature reports that these risk factors might have a different impact on the development of a cardiovascular outcome depending on the age of the individual [36]. Further, older individuals may be less affected by CVRFs since these were present without the individual developing an event prior to the baseline visit.
HbA1c measurement and its implication regarding the defined outcome
In this large European general population sample the association of HbA1c with the risk of cardiovascular mortality, cardiovascular disease incidence, and overall mortality was mostly monotonic, considering the broad range of HbA1c levels encountered in such large population-based studies [2, 9, 15, 28, 37]. Considering this association, the recent definition of prediabetes [38], and the potentially higher risk of developing diabetes or cardiovascular disease, additional clinical evaluation might be warranted in individuals with a higher risk profile. In our study, CVD incidence was associated with HbA1c levels in participants without diabetes. In addition, the calculated cut-offs showing an elevated risk for overall mortality in individuals with > 38.8 mmol/mol (5.7%) highlights the importance of elevated HbA1c levels and might indicate an increased risk for cardiovascular outcomes and overall mortality. In the context of the current findings, previous studies reported a poor outcome for patients with coronary artery disease, atrial fibrillation or individuals with DM and either cardiovascular risk factors or coronary artery disease [39–41]. However, it is not clarified if these findings are related to the rapid lowering of HbA1c with multiple drugs [41] or due to its proinflammatory, prothrombotic and proatherogenic effects reported in the setting of strict glucose control [42, 43].
It has to be pointed out that measurement of HbA1c levels might be of benefit for identifying individuals with a high risk of developing DM and/or CVD, especially in the presence of risk factors such as obesity, dyslipidemia and/or arterial hypertension. In this context the American Diabetes Association recommends to measure HbA1c levels in asymptomatic young adults [31].
Risk prediction models including HbA1c levels
Inclusion of HbA1c levels into assessment of risk prediction regarding the defined outcomes did not show an improvement as reflected by C-indices. This is inline with previous reported results [2, 28].
Strengths and limitations
The present study has several strengths and limitations. An important strength is the considerable size of the dataset, with harmonized data from well-defined European population-based cohort studies with a long follow-up time.
Despite the well-defined dataset, we identified 717 individuals with HbA1c levels above 48 mmol/mol/6.5% that had not been diagnosed with diabetes. As the omission of such a sizable group may introduce considerable errors into our findings, we decided to classify individuals with HbA1c levels above 48 mmol/mol/6.5% and without the diagnosis of diabetes as subjects with prevalent diabetes. An additional limitation is the heterogeneity of data. Several cohort studies whose data we used commenced in the 1980s and 1990s, when treatment options and guidelines differed substantially from today’s. In population-based cohort studies with apparently healthy individuals, selection bias is a common problem.
Haemoglobinopathies, different ethnicities, and certain disease states like bleeding, transfusion, or hemodialysis can interfere with the measurement of HbA1c which may affect our results [38, 44].
Due to the absence of additional measures of dysglycemia like 2-h post load glucose and fasting glucose we could not perform additional analyses to prove and to validate the prognostic impact of HbA1c. These parameters were reported to have a prognostic impact and might be better for risk stratification than HbA1c [45, 46].
Conclusion
The present study employed one of the largest population-based datasets with predominantly harmonized data on HbA1c from several European countries. HbA1c levels were positively associated with an increased risk for cardiovascular mortality, CVD, and overall mortality. There was a mostly monotonically increasing association between HbA1c levels and time-to-event regarding the defined endpoints cardiovascular mortality, cardiovascular disease incidence, and overall mortality, emphasizing the potential use of HbA1c measurement as a biomarker in the general population. Regarding risk stratification, HbA1c levels could be particularly important in subjects with HbA1c levels > 38.8 mmol/mol (5.7%), indicating a potential prediabetic metabolism and potential risk of cardiovascular disease. In addition, the findings might be of particular importance in individuals younger than 55 years who showed a more pronounced association of HbA1c levels and cardiovascular mortality. However, the cost-effectiveness of testing HbA1c levels in an asymptotic general population needs further evaluation.
Further research and external validation in a clinical setting are required to define whether an additional standardized measurement of HbA1c is necessary for cardiovascular risk assessment.
Supplementary Information
Additional file 1. Online supplementary material.
Acknowledgements
Editorial assistance, in the form of language editing and correction, was provided by XpertScientific Editing and Consulting Services.
Authors’ contributions
CS: guarantor of the manuscript, literature search, study design, figures, data analysis, writing, data interpretation. NM: literature search, study design, figures, data analysis, writing, data interpretation. HV, GV, GC, PB, TP, MD, SBF, IN, EBM, TW: data collection, data interpretation, writing. RBS, WR, BS, HB: data interpretation, writing. FO: statistical analysis, data analysis, writing, data interpretation. WK, KK: study design, writing, data interpretation, data collection. AP: writing, data collection. SB, SS, MMF, BT: study design, data interpretation, writing, supervision of the study. All authors read and approved the final manuscript.
Funding
The MORGAM Project received funding from EU projects MORGAM (Biomed, BMH4-CT98-3183), GenomEUtwin (FP5, QLG2-CT-2002-01254), ENGAGE (FP7, HEALTH-F4-2007-201413), CHANCES (FP7, HEALTH-F3-2010-242244), BiomarCaRE (FP7, HEALTH-F2-2011-278913), euCanSHare (Horizon 2020, No. 825903), and AFFECT-EU (Horizon 2020, No. 847770), as well as from the Medical Research Council, London (G0601463, No. 80983: Biomarkers in the MORGAM Populations). This has supported central coordination, workshops, and part of the activities of the MORGAM Data Center, the MORGAM Laboratories, and the MORGAM Participating Centers.
Availability of data and materials
The data are not available in a public repository. Access to the data is dependent upon ethics approval and restricted by the legislation of the European Union and the countries providing data to the study. Furthermore, approval by the Principal Investigator of each cohort study and the MORGAM/ BiomarCaRE Steering Group is required to release the data. The MORGAM Manual at https://www.thl.fi/publications/morgam/manual/contents.htm gives more information on access to the data.
Declarations
Ethics approval and consent to participate:
The studies contributing data were conducted in accordance with the principles of the Declaration of Helsinki. Please also refer to the online Additional file 1: Table S1.
Consent for publication
Not applicable.
Competing interests
Dr. Sinning is deputy editor of the European Heart Journal—Case Reports and BioMed Central editorial board member for BMC Cardiovascular Disorders. Dr. Söderberg reports grants and other from Actelion Ltd, outside the submitted work. Dr. Schnabel reports personal fees from BMS/Pfizer, outside the submitted work. Dr. Makarova reports personal fees from Abbott Laboratories, outside the submitted work. Dr. Koenig reports personal fees from AstraZeneca, personal fees from Novartis, personal fees from Pfizer, personal fees from The Medicines Company, personal fees from GSK, personal fees from DalCor, personal fees from Sanofi, personal fees from Berlin-Chemie, personal fees from Kowa, personal fees from Amgen, grants and non-financial support from Roche Diagnostics, grants and non-financial support from Beckmann, grants and non-financial support from Singulex, grants and non-financial support from Abbott, all outside the submitted work. Dr. Blankenberg reports grants and personal fees from Abbott Diagnostics, grants and personal fees from Bayer, grants and personal fees from SIEMENS, grants from Singulex, grants and personal fees from Thermo Fisher, personal fees from Astra Zeneca, grants and personal fees from Bayer, personal fees from AMGEN, personal fees from Medtronic, personal fees from Pfizer, personal fees from Roche, personal fees from Siemens Diagnostics, personal fees from Novartis, personal fees from Abbott, all outside the submitted work. All other authors have nothing to disclose in relation to the current study.
Footnotes
Publisher's Note
Springer Nature remains neutral with regard to jurisdictional claims in published maps and institutional affiliations.
Christoph Sinning and Nataliya Makarova contributed equally as first authors
Stefan Söderberg, Marco M. Ferrario and Barbara Thorand contributed equally as last authors
References
- 1.Rossello X, Raposeiras-Roubin S, Oliva B, Sanchez-Cabo F, Garcia-Ruiz JM, Caimari F, Mendiguren JM, Lara-Pezzi E, Bueno H, Fernandez-Friera L, et al. Glycated hemoglobin and subclinical atherosclerosis in people without diabetes. J Am Coll Cardiol. 2021;77(22):2777–2791. doi: 10.1016/j.jacc.2021.03.335. [DOI] [PubMed] [Google Scholar]
- 2.Welsh C, Welsh P, Celis-Morales CA, Mark PB, Mackay D, Ghouri N, Ho FK, Ferguson LD, Brown R, Lewsey J, et al. Glycated hemoglobin, prediabetes, and the links to cardiovascular disease: data from UK Biobank. Diabetes Care. 2020;43(2):440–445. doi: 10.2337/dc19-1683. [DOI] [PubMed] [Google Scholar]
- 3.Wan EYF, Yu EYT, Chen JY, Wong ICK, Chan EWY, Lam CLK. Associations between usual glycated haemoglobin A1c and cardiovascular disease in patients with type 2 diabetes mellitus: a 10-year diabetes cohort study. Diabetes Obes Metab. 2020;22(12):2325–2334. doi: 10.1111/dom.14157. [DOI] [PubMed] [Google Scholar]
- 4.Jarmul JA, Pignone M, Pletcher MJ. Interpreting hemoglobin A1C in combination with conventional risk factors for prediction of cardiovascular risk. Circ Cardiovasc Qual Outcomes. 2015;8(5):501–507. doi: 10.1161/CIRCOUTCOMES.115.001639. [DOI] [PMC free article] [PubMed] [Google Scholar]
- 5.A joint editorial statement by the American Diabetes Association. The National Heart, Lung, and Blood Institute. The Juvenile Diabetes Foundation International. The National Institute of Diabetes and Digestive and Kidney Diseases. The American Heart Association Diabetes mellitus: a major risk factor for cardiovascular disease. Circulation. 1999;100(10):1132–1133. doi: 10.1161/01.cir.100.10.1132. [DOI] [PubMed] [Google Scholar]
- 6.Cosentino F, Grant PJ, Aboyans V, Bailey CJ, Ceriello A, Delgado V, Federici M, Filippatos G, Grobbee DE, Hansen TB, et al. 2019 ESC Guidelines on diabetes, pre-diabetes, and cardiovascular diseases developed in collaboration with the EASD. Eur Heart J. 2020;41(2):255–323. doi: 10.1093/eurheartj/ehz486. [DOI] [PubMed] [Google Scholar]
- 7.International Expert Committee Report on the role of the A1C assay in the diagnosis of diabetes. Diabetes Care. 2009;32(7):1327–1334. doi: 10.2337/dc09-9033. [DOI] [PMC free article] [PubMed] [Google Scholar]
- 8.American Diabetes Association 6. Glycemic targets: standards of medical care in diabetes-2021. Diabetes Care. 2021;44(Suppl 1):S73–S84. doi: 10.2337/dc21-S006. [DOI] [PubMed] [Google Scholar]
- 9.Khaw KT, Wareham N, Bingham S, Luben R, Welch A, Day N. Association of hemoglobin A1c with cardiovascular disease and mortality in adults: the European prospective investigation into cancer in Norfolk. Ann Intern Med. 2004;141(6):413–420. doi: 10.7326/0003-4819-141-6-200409210-00006. [DOI] [PubMed] [Google Scholar]
- 10.Pfister R, Sharp SJ, Luben R, Khaw KT, Wareham NJ. No evidence of an increased mortality risk associated with low levels of glycated haemoglobin in a non-diabetic UK population. Diabetologia. 2011;54(8):2025–2032. doi: 10.1007/s00125-011-2162-0. [DOI] [PubMed] [Google Scholar]
- 11.Selvin E, Marinopoulos S, Berkenblit G, Rami T, Brancati FL, Powe NR, Golden SH. Meta-analysis: glycosylated hemoglobin and cardiovascular disease in diabetes mellitus. Ann Intern Med. 2004;141(6):421–431. doi: 10.7326/0003-4819-141-6-200409210-00007. [DOI] [PubMed] [Google Scholar]
- 12.Arnold LW, Wang Z. The HbA1c and all-cause mortality relationship in patients with type 2 diabetes is J-shaped: a meta-analysis of observational studies. Rev Diabet Stud. 2014;11(2):138–152. doi: 10.1900/RDS.2014.11.138. [DOI] [PMC free article] [PubMed] [Google Scholar]
- 13.Funamizu T, Iwata H, Nishida Y, Miyosawa K, Dhhh S, Chikata Y, Shitara J, Endo H, Wada H, Naito R, et al. Increased risk of cardiovascular mortality by strict glycemic control pre-procedural HbA1c < 6.5%) in Japanese medically-treated diabetic patients following percutaneous coronary intervention: a 10-year follow-up study. Cardiovasc Diabetol. 2020;19(1):21. doi: 10.1186/s12933-020-00996-8. [DOI] [PMC free article] [PubMed] [Google Scholar]
- 14.Cha JJ, Kim H, Ko YG, Choi D, Lee JH, Yoon CH, Chae IH, Yu CW, Lee SW, Lee SR, et al. Influence of preprocedural glycemic control on clinical outcomes of endovascular therapy in diabetic patients with lower extremity artery disease: an analysis from a Korean multicenter retrospective registry cohort. Cardiovasc Diabetol. 2020;19(1):97. doi: 10.1186/s12933-020-01072-x. [DOI] [PMC free article] [PubMed] [Google Scholar]
- 15.Khaw K-T, Wareham N, Luben R, Bingham S, Oakes S, Welch A, Day N. Glycated haemoglobin, diabetes, and mortality in men in Norfolk cohort of European Prospective Investigation of Cancer and Nutrition (EPIC-Norfolk) BMJ. 2001;322(7277):15. doi: 10.1136/bmj.322.7277.15. [DOI] [PMC free article] [PubMed] [Google Scholar]
- 16.Selvin E, Coresh J, Shahar E, Zhang L, Steffes M, Sharrett AR. Glycaemia (haemoglobin A1c) and incident ischaemic stroke: the Atherosclerosis Risk in Communities (ARIC) Study. Lancet Neurol. 2005;4(12):821–826. doi: 10.1016/S1474-4422(05)70227-1. [DOI] [PubMed] [Google Scholar]
- 17.Selvin E, Coresh J, Golden SH, Brancati FL, Folsom AR, Steffes MW. Glycemic control and coronary heart disease risk in persons with and without diabetes: the atherosclerosis risk in communities study. Arch Intern Med. 2005;165(16):1910–1916. doi: 10.1001/archinte.165.16.1910. [DOI] [PubMed] [Google Scholar]
- 18.Selvin E, Steffes MW, Zhu H, Matsushita K, Wagenknecht L, Pankow J, Coresh J, Brancati FL. Glycated hemoglobin, diabetes, and cardiovascular risk in nondiabetic adults. N Engl J Med. 2010;362(9):800–811. doi: 10.1056/NEJMoa0908359. [DOI] [PMC free article] [PubMed] [Google Scholar]
- 19.Brewer N, Wright CS, Travier N, Cunningham CW, Hornell J, Pearce N, Jeffreys M. A New Zealand linkage study examining the associations between A1C concentration and mortality. Diabetes Care. 2008;31(6):1144–1149. doi: 10.2337/dc07-2374. [DOI] [PubMed] [Google Scholar]
- 20.Au Yeung SL, Luo S, Schooling CM. The impact of glycated hemoglobin (HbA1c) on cardiovascular disease risk: a Mendelian randomization study using UK Biobank. Diabetes Care. 2018;41(9):1991–1997. doi: 10.2337/dc18-0289. [DOI] [PubMed] [Google Scholar]
- 21.Leong A, Chen J, Wheeler E, Hivert MF, Liu CT, Merino J, Dupuis J, Tai ES, Rotter JI, Florez JC, et al. Mendelian randomization analysis of hemoglobin A1c as a risk factor for coronary artery disease. Diabetes Care. 2019;42(7):1202–1208. doi: 10.2337/dc18-1712. [DOI] [PMC free article] [PubMed] [Google Scholar]
- 22.Zeller T, Hughes M, Tuovinen T, Schillert A, Conrads-Frank A, den Ruijter H, Schnabel RB, Kee F, Salomaa V, Siebert U. BiomarCaRE: rationale and design of the European BiomarCaRE project including 300,000 participants from 13 European countries. Eur J Epidemiol. 2014;29(10):777–790. doi: 10.1007/s10654-014-9952-x. [DOI] [PMC free article] [PubMed] [Google Scholar]
- 23.Contributors from Participating Centres for the MORGAM Project: Description of MORGAM Cohorts. http://www.thl.fi/publications/morgam/manual/contents.htm. Accessed Oct 2021.
- 24.Schemper M, Smith TL. A note on quantifying follow-up in studies of failure time. Control Clin Trials. 1996;17(4):343–346. doi: 10.1016/0197-2456(96)00075-x. [DOI] [PubMed] [Google Scholar]
- 25.Contal C, O’Quigley J. An application of changepoint methods in studying the effect of age on survival in breast cancer. Comput Stat Data Anal. 1999;30(3):253–270. [Google Scholar]
- 26.Bender R, Lange S. Adjusting for multiple testing—when and how? J Clin Epidemiol. 2001;54(4):343–349. doi: 10.1016/s0895-4356(00)00314-0. [DOI] [PubMed] [Google Scholar]
- 27.R Foundation for Statistical Computing . A language and environment for statistical computing. Vienna: R Foundation for Statistical Computing; 2014. [Google Scholar]
- 28.Emerging Risk Factors Collaboration. Di Angelantonio E, Gao P, Khan H, Butterworth AS, Wormser D, Kaptoge S, Kondapally Seshasai SR, Thompson A, Sarwar N, et al. Glycated hemoglobin measurement and prediction of cardiovascular disease. JAMA. 2014;311(12):1225–1233. doi: 10.1001/jama.2014.1873. [DOI] [PMC free article] [PubMed] [Google Scholar]
- 29.Schottker B, Rathmann W, Herder C, Thorand B, Wilsgaard T, Njolstad I, Siganos G, Mathiesen EB, Saum KU, Peasey A, et al. HbA1c levels in non-diabetic older adults—No J-shaped associations with primary cardiovascular events, cardiovascular and all-cause mortality after adjustment for confounders in a meta-analysis of individual participant data from six cohort studies. BMC Med. 2016;14:26. doi: 10.1186/s12916-016-0570-1. [DOI] [PMC free article] [PubMed] [Google Scholar]
- 30.American Diabetes Association 1. Improving care and promoting health in populations: standards of medical care in diabetes-2021. Diabetes Care. 2021;44(Suppl 1):S7–S14. doi: 10.2337/dc21-S001. [DOI] [PubMed] [Google Scholar]
- 31.American Diabetes Association 2. Classification and diagnosis of diabetes: standards of medical care in diabetes-2021. Diabetes Care. 2021;44(Suppl 1):S15–S33. doi: 10.2337/dc21-S002. [DOI] [PubMed] [Google Scholar]
- 32.Zhang X, Gregg EW, Williamson DF, Barker LE, Thomas W, Bullard KM, Imperatore G, Williams DE, Albright AL. A1C level and future risk of diabetes: a systematic review. Diabetes Care. 2010;33(7):1665–1673. doi: 10.2337/dc09-1939. [DOI] [PMC free article] [PubMed] [Google Scholar]
- 33.Liu J, Wang S, Cui C, Cai H, Sun R, Pan W, Fang S, Yu B. The association between glucose-related variables and plaque morphology in patients with ST-segment elevated myocardial infarction. Cardiovasc Diabetol. 2020;19(1):109. doi: 10.1186/s12933-020-01074-9. [DOI] [PMC free article] [PubMed] [Google Scholar]
- 34.Fuchigami A, Shigiyama F, Kitazawa T, Okada Y, Ichijo T, Higa M, Hiyoshi T, Inoue I, Iso K, Yoshii H, et al. Efficacy of dapagliflozin versus sitagliptin on cardiometabolic risk factors in Japanese patients with type 2 diabetes: a prospective, randomized study (DIVERSITY-CVR) Cardiovasc Diabetol. 2020;19(1):1. doi: 10.1186/s12933-019-0977-z. [DOI] [PMC free article] [PubMed] [Google Scholar]
- 35.Fry A, Littlejohns TJ, Sudlow C, Doherty N, Adamska L, Sprosen T, Collins R, Allen NE. Comparison of sociodemographic and health-related characteristics of UK Biobank participants with those of the general population. Am J Epidemiol. 2017;186(9):1026–1034. doi: 10.1093/aje/kwx246. [DOI] [PMC free article] [PubMed] [Google Scholar]
- 36.van Bussel EF, Hoevenaar-Blom MP, Poortvliet RKE, Gussekloo J, van Dalen JW, van Gool WA, Richard E, Moll van Charante EP. Predictive value of traditional risk factors for cardiovascular disease in older people: a systematic review. Prev Med. 2020;132:105986. doi: 10.1016/j.ypmed.2020.105986. [DOI] [PubMed] [Google Scholar]
- 37.Selvin E, Lazo M, Chen Y, Shen L, Rubin J, McEvoy JW, Hoogeveen RC, Sharrett AR, Ballantyne CM, Coresh J. Diabetes mellitus, prediabetes, and incidence of subclinical myocardial damage. Circulation. 2014;130(16):1374–1382. doi: 10.1161/CIRCULATIONAHA.114.010815. [DOI] [PMC free article] [PubMed] [Google Scholar]
- 38.American Diabetes Association 1. Improving care and promoting health in populations: standards of medical care in diabetes-2020. Diabetes Care. 2020;43(Suppl 1):S7–S13. doi: 10.2337/dc20-S001. [DOI] [PMC free article] [PubMed] [Google Scholar]
- 39.Papazoglou AS, Kartas A, Samaras A, Vouloagkas I, Vrana E, Moysidis DV, Akrivos E, Kotzampasis G, Baroutidou A, Papanastasiou A, et al. Prognostic significance of diabetes mellitus in patients with atrial fibrillation. Cardiovasc Diabetol. 2021;20(1):40. doi: 10.1186/s12933-021-01232-7. [DOI] [PMC free article] [PubMed] [Google Scholar]
- 40.Liu L, Ye J, Ying M, Li Q, Chen S, Wang B, Lin Y, Chen G, Lun Z, Huang H, et al. The U-shape relationship between glycated hemoglobin level and long-term all-cause mortality among patients with coronary artery disease. Front Cardiovasc Med. 2021;8:632704. doi: 10.3389/fcvm.2021.632704. [DOI] [PMC free article] [PubMed] [Google Scholar]
- 41.Action to Control Cardiovascular Risk in Diabetes Study Group. Gerstein HC, Miller ME, Byington RP, Goff DC, Jr, Bigger JT, Buse JB, Cushman WC, Genuth S, Ismail-Beigi F, et al. Effects of intensive glucose lowering in type 2 diabetes. N Engl J Med. 2008;358(24):2545–2559. doi: 10.1056/NEJMoa0802743. [DOI] [PMC free article] [PubMed] [Google Scholar]
- 42.Gajos G, Konieczynska M, Zalewski J, Undas A. Low fasting glucose is associated with enhanced thrombin generation and unfavorable fibrin clot properties in type 2 diabetic patients with high cardiovascular risk. Cardiovasc Diabetol. 2015;14:44. doi: 10.1186/s12933-015-0207-2. [DOI] [PMC free article] [PubMed] [Google Scholar]
- 43.Gogitidze Joy N, Hedrington MS, Briscoe VJ, Tate DB, Ertl AC, Davis SN. Effects of acute hypoglycemia on inflammatory and pro-atherothrombotic biomarkers in individuals with type 1 diabetes and healthy individuals. Diabetes Care. 2010;33(7):1529–1535. doi: 10.2337/dc09-0354. [DOI] [PMC free article] [PubMed] [Google Scholar]
- 44.Hare MJ, Magliano DJ, Zimmet PZ, Soderberg S, Joonas N, Pauvaday V, Larhubarbe J, Tuomilehto J, Kowlessur S, Alberti KG, et al. Glucose-independent ethnic differences in HbA1c in people without known diabetes. Diabetes Care. 2013;36(6):1534–1540. doi: 10.2337/dc12-1210. [DOI] [PMC free article] [PubMed] [Google Scholar]
- 45.Shahim B, De Bacquer D, De Backer G, Gyberg V, Kotseva K, Mellbin L, Schnell O, Tuomilehto J, Wood D, Ryden L. The prognostic value of fasting plasma glucose, two-hour postload glucose, and hba1c in patients with coronary artery disease: a report from EUROASPIRE IV: a survey from the European Society of Cardiology. Diabetes Care. 2017;40(9):1233–1240. doi: 10.2337/dc17-0245. [DOI] [PMC free article] [PubMed] [Google Scholar]
- 46.Balkau B, Hu G, Qiao Q, Tuomilehto J, Borch-Johnsen K, Pyorala K, Group DS. European Diabetes Epidemiology G Prediction of the risk of cardiovascular mortality using a score that includes glucose as a risk factor. The DECODE study. Diabetologia. 2004;47(12):2118–2128. doi: 10.1007/s00125-004-1574-5. [DOI] [PubMed] [Google Scholar]
Associated Data
This section collects any data citations, data availability statements, or supplementary materials included in this article.
Supplementary Materials
Additional file 1. Online supplementary material.
Data Availability Statement
The data are not available in a public repository. Access to the data is dependent upon ethics approval and restricted by the legislation of the European Union and the countries providing data to the study. Furthermore, approval by the Principal Investigator of each cohort study and the MORGAM/ BiomarCaRE Steering Group is required to release the data. The MORGAM Manual at https://www.thl.fi/publications/morgam/manual/contents.htm gives more information on access to the data.





