Abstract
A comparison of the relative merits of video-assisted pulmonary metastasectomy versus thoracotomy is predicated on the assumption that removal of asymptomatic lung metastases favourably influences survival and that it does so by a large degree. Recently published but long-awaited evidence from a prospective cohort study and a randomised trial of Pulmonary Metastasectomy in Colorectal Cancer (PulMiCC) challenges that assumption.
Keywords: Lung metastases, Colorectal cancer, Randomised controlled trial, PulMiCC trial, Prospective cohort study
We read with interest the report of 483 patients with suspected lung metastases of whom 251 had metastasectomy [1]. We are grateful to Dr. Markowiak and colleagues for making reference to our study: Pulmonary Metastasectomy in Colorectal Cancer (PulMiCC). They referred to the initial publication in December 2019. This clearly documents that there was a prospective study in existence, contrary to their statement. Their summary of the circumstances needs correction. After discussion with the Independent Data Monitoring Committee, we had closed the trial in January 2017 for the explicit purpose of further follow-up and analysis of the randomised controlled trial (RCT) data and the prospective cohort study within which it was nested. We published the results in 93 randomised patients in early May 2020 [2]. While randomisation “faltered” the cohort study had recruited well to a total of 512 patients. It has also been published [3].
The 25 multidisciplinary teams recruiting patients internationally selected 263 of the non-randomised patients for lung metastasectomy and 128 to not have that operation. It is no surprise that those selected for metastasectomy had better 5-year survival which was 47% compared with 22% for those turned down. There were differences in the oncological and performance characteristics between these two groups. All differences favoured the operated group. These had been appropriately used in selecting patients most likely to live longer after metastasectomy. The data are given in the table with the hazard ratios derived by the meta-analysis of Gonzalez et al. [4] (Table 1).
Table 1.
Favourable factors for survival were better in the metastasectomy group
| Patient factors | Metastasectomy | No metastasectomy | Hazard ratio |
|---|---|---|---|
| N = 263 | N = 128 | ||
| ECOG zeroa | 68% | 36% | |
| Median %FEV1b | 96% | 87% | |
| Solitary metastasisc | 65% | 31% | 2.04 |
| CEA < 5 ng/mld | 31% | 21% | 1.91 |
| No liver metastases | 36% | 28% | 1.22 |
| Five-year survival | 47% | 22% |
aEaster Cooperative Oncology Group 0–5 where zero is unimpaired
bForced Expiratory Volume in 1st second as a percentage of predicted values based on height and sex
cThe hazard ratio is for multiple versus solitary. Here are given the % of patients with a solitary metastasis in each group
dThe tumour marker carcinoembryonic antigen. All hazard ratios are from the meta-analysis of Gonzalez et al. [4]
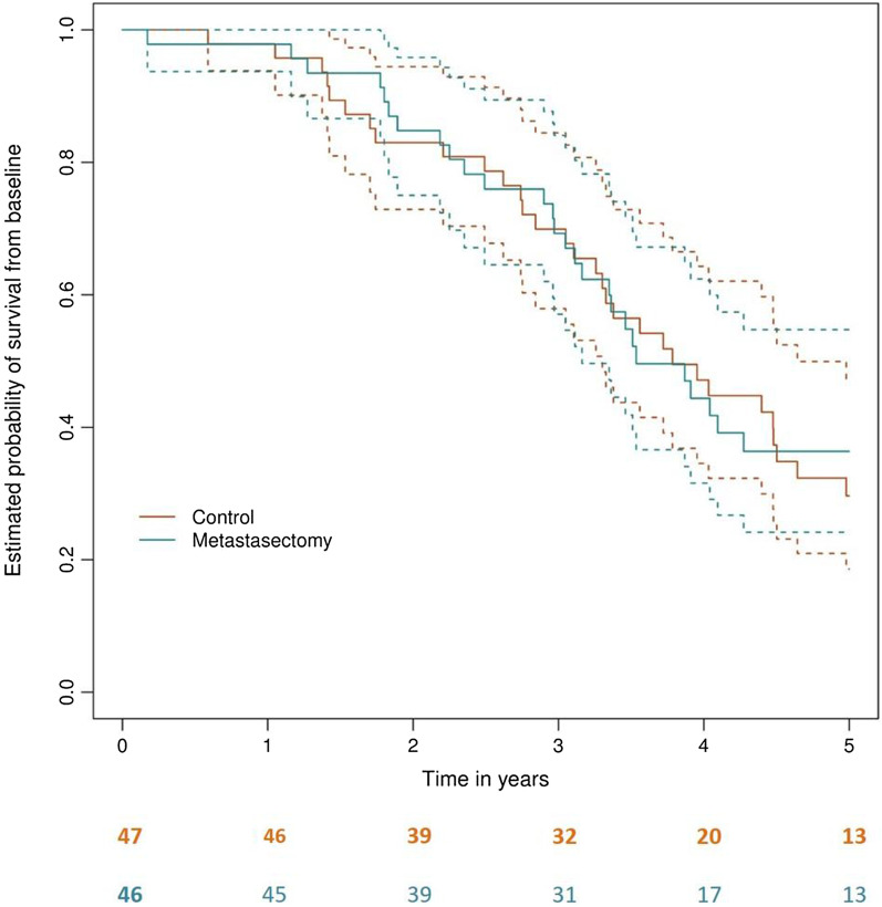
In contrast, in the RCT these and others known confounders were very well matched and there was no difference in survival at any time point (Fig. 1) [2]. At 4 years, survival appears better in the control arm and at 5 years in the metastasectomy arm but the confidence intervals preclude claiming that either is a real difference. It is not possible to exclude a small difference in the long term. But two things are clear: the assumption of zero survival without metastasectomy [5] is contradicted, and any difference is much less than is widely believed. Analysis of health utility showed no benefit from colorectal lung metastasectomy [6].
Fig. 1.
The Kaplan Meier analysis of the PulMiCC randomised controlled trial. The unadjusted hazard ratio for death within 5 years was 0.93 (95% CI 0.56–1.56). There is no significant difference at any time point with the curves weaving in and out of each other, but the median survival was longer in the control group at 3.8 (95% CI 3.1–4.6) years compared with median survival after metastasectomy 3.5 (95% CI 3.1–6.6)
The patients reported by Markowiak et al. were highly selected with high proportions of patients in both groups having a single metastasis and no extrapulmonary metastases. In the light of the PulMiCC findings it cannot be concluded that the apparently good survival in Markowiak’s study can be attributed solely, or perhaps at all, to surgery whether open or by VATS.
Acknowledgements
We acknowledge the contributions of many participants to the PulMiCC studies. They are all named in the cited publications
Abbreviations
- RCT
Randomised controlled trial
- PulMiCC
Pulmonary Metastasectomy in Colorectal Cancer
- VATS
Video assisted thoracic surgery
Authors' contributions
The authors contributed equally to the studies referred to and share authorship of this letter. All authors read and approved the final manuscript.
Funding
The trial referred to was funded until 2016 by a grant from Cancer Research UK No. C7678/A11393. There has been no funding for this work in the last 5 years.
Availability of data and materials
The original data are available upon appropriate and reasonable application to the corresponding author.
Declarations
Ethics approval and consent to participate
For the PulMiCC cohort and the nested RCT was granted by the National Research Ethics Committee London—Hampstead 10/H0720/5. This required written informed consent which was obtained for every patient.
Consent for publication
The journal “Colorectal Disease” has given full permission to republish the figure which was originally published there. The authors of this letter all give their consent for publication.
Competing interests
The authors TT NRW and FM have no competing interests to declare.
Footnotes
Publisher's Note
Springer Nature remains neutral with regard to jurisdictional claims in published maps and institutional affiliations.
References
- 1.Markowiak T, Dakkak B, Loch E, et al. Video-assisted pulmonary metastectomy is equivalent to thoracotomy regarding resection status and survival. J Cardiothorac Surg. 2021;16(1):84. doi: 10.1186/s13019-021-01460-8. [DOI] [PMC free article] [PubMed] [Google Scholar]
- 2.Milosevic M, Edwards J, Tsang D, Dunning J, Shackcloth M, Batchelor T, et al. Pulmonary metastasectomy in colorectal cancer: updated analysis of 93 randomized patients—control survival is much better than previously assumed. Colorectal Dis. 2020;22(10):1314–1324. doi: 10.1111/codi.15113. [DOI] [PMC free article] [PubMed] [Google Scholar]
- 3.Treasure T, Farewell V, Macbeth F, Batchelor T, Milosevic M, King J, et al. Pulmonary metastasectomy in colorectal cancer (PulMiCC) cohort study: analysis of case selection, risk factors and survival in a prospective observational study of 512 patients. Colorectal Dis. 2021;23:1793–1803. doi: 10.1111/codi.15651. [DOI] [PMC free article] [PubMed] [Google Scholar]
- 4.Gonzalez M, Poncet A, Combescure C, Robert J, Ris HB, Gervaz P. Risk factors for survival after lung metastasectomy in colorectal cancer patients: a systematic review and meta-analysis. Ann Surg Oncol. 2013;20(2):572–579. doi: 10.1245/s10434-012-2726-3. [DOI] [PubMed] [Google Scholar]
- 5.Handy JR, Bremner RM, Crocenzi TS, Detterbeck FC, Fernando HC, Fidias PM, et al. Expert consensus document on pulmonary metastasectomy. Ann Thorac Surg. 2019;107(2):631–649. doi: 10.1016/j.athoracsur.2018.10.028. [DOI] [PubMed] [Google Scholar]
- 6.Brew-Graves C, Farewell V, Monson K, Milosevic M, Williams NR, Morris E, et al. Pulmonary metastasectomy in colorectal cancer: health utility scores by EQ-5D-3L in a randomized controlled trial show no benefit from lung metastasectomy. Colorectal Dis. 2021;23(1):200–205. doi: 10.1111/codi.15386. [DOI] [PMC free article] [PubMed] [Google Scholar]
Associated Data
This section collects any data citations, data availability statements, or supplementary materials included in this article.
Data Availability Statement
The original data are available upon appropriate and reasonable application to the corresponding author.

