Abstract
Introduction
To analyze the effects of PRESERFLO on corneal endothelial cell density (ECD).
Methods
Forty-six eyes that underwent PRESERFLO implantation were followed up for 12 months. Specular microscopy was performed preoperatively and at 1, 3, 6, and 12 months postoperatively to measure central ECD and mean monthly reduction (MMR). Anterior segment optical coherence tomography (AS-OCT) was applied to measure the tube–endothelium (TE < 200 μm, 201–500 μm, > 500 μm) distance. The relationship between TE distance and ECD was analyzed with a linear mixed-effects model.
Results
Central ECD decreased significantly at 1 year (7.4%, p = 0.04), with an MMR of −15 ± 25 cells/mm2. Regarding TE distance groups, there was an 18% ECD reduction in the < 200 μm group vs. 1% in the > 500 μm group (p = 0.08). Endothelial cell loss was related to TE distance (mean 482.9 ± 238 μm), with a higher rate at 1 month in comparison to 12 months for the same tube position in the anterior chamber (−174.8 ± 65.2 cells/mm2 at 1 month vs. 30.2 ± 11.3 cells/mm2 at 12 months, p < 0.01). From month 6, tubes located > 600 μm from the endothelium showed EC loss close to zero.
Conclusions
The PRESERFLO implant is associated with a loss of EC from the immediate postoperative period that continues over time at lower rates. A shorter TE distance appears to cause more severe ECD loss.
Keywords: AS-OCT, Glaucoma, Endothelial cell loss, Filtering glaucoma surgery, Glaucoma, Glaucoma drainage device, MIGS, PRESERFLO
Key Summary Points
| Why carry out this study? |
| There is growing concern about the endothelial safety of the new glaucoma implants since the recent market withdrawal of a suprachoroidal device. The rate of endothelial cell loss and the risk factors associated with the PRESERFLO MicroShunt are still not known. |
| What was the hypothesis of the study? |
| The main hypothesis of this study was that a short distance of the tip of the PRESERFLO from the endothelium might be associated with greater corneal endothelial cell loss, as has been shown to happen with long-tube glaucoma drainage devices. |
| What was learned from the study? |
| What were the study outcomes? A short distance from the tip of the tube from the endothelium appears to cause more severe endothelial cell density (ECD) loss. The tubes located at a distance greater than 600 μm show ECD loss close to zero. |
| What has been learned from the study? The pattern of ECD loss associated with PRESERFLO resembles the ECD loss associated with long-tube glaucoma drainage devices, an ongoing loss of endothelial cells that occurs over time, but at a slower rate with PRESERFLO. At one year, the mean percentage of ECD loss (7.4%) and the mean monthly reduction (−14.6 cells/mm2) are comparable to the ECD loss reported for the Ahmed valve located in the ciliary sulcus. A distance from the tip of the endothelium greater than 600 μm appears to protect from endothelial cell loss. Hypotony and peripheral anterior synechiae are risk factors for greater endothelial cell loss in the immediate postoperative period. |
Introduction
Endothelial cell loss (ECL) leading to corneal decompensation is one of the major concerns regarding glaucoma surgical procedures. Many studies have reported the effects of glaucoma surgery on corneal endothelial cells (CECs). In recent years, attention has been focused on the effects that the relatively new techniques, microincisional glaucoma surgery (MIGS) and subconjunctival “miniaturized” tube shunts (XEN 45, Allergan Inc. Dublin, Ireland; PRESERFLO MicroShunt, Santen Pharmaceutical Co., Osaka, Japan), might have on the endothelium. However, the withdrawal of the CyPass supraciliary micro-shunt (Alcon Laboratories, Fort Worth, TX, USA) from the global marketplace as a direct result of adverse effects on endothelial cell density (ECD), with a cumulative 5-year incidence of ECL > 30% [1], has increased concerns about the monitoring and control of the impact of glaucoma surgery on CEC health.
Although the pathophysiology of endothelial cell loss is not well understood, it has been proposed to involve at least three mechanisms: first, mechanical damage derived from the proximity of the implant to the endothelium; second, the high fluid flow of aqueous humor through the tube, inducing ECL proximal to the tube entry site; and third, postoperative inflammation [2, 3]. In the CyPass study, the position of the tube in the anterior chamber (AC) was associated with ECL, with greater ECL in eyes where the implant protruded further and was closer to the endothelium [1]. Based on the Ahmed glaucoma valve (AGV; New World Medical, Rancho Cucamonga, CA, USA), the mean monthly rate of central endothelial cell loss was recently reported to be significantly higher when the tube was located in the AC compared to the ciliary sulcus [4]. Similarly, in a 3-year follow-up study, the position of the tube of the Baerveldt (BV) glaucoma drainage device (GDD) (Abbott Medical Optics, Chicago, Illinois, USA) was found to accelerate EC loss when placed closer to the endothelium, i.e., the shorter the distance, the greater the loss [5].
The PRESERFLO implant is an 8.5-mm-long tube designed to shunt the aqueous humor from the AC to the subconjunctival space in a posterior location, away from the limbus, and underneath Tenon’s capsule. For the same tube length, the volume occupied by this implant in the AC is almost half that of a traditional GDD (due to their different external diameters, 350 vs. 630 μm, respectively). In addition, resistance to flow, as calculated with the Hagen–Poiseuille equation [6], is significantly higher through PRESERFLO, increasing inversely to the fourth power of the lumen diameter (70 vs. 305 μm, 1.3 mmHg/μL/min vs. 0.004 mmHg/μL/min). Thus, the fluid flow through PRESERFLO is significantly lower than that through a traditional GDD. Both parameters, namely, high fluid flow through the tube and turbulence present at the tip of the implant producing damage to the endothelium near tube entry, have been proposed as possible mechanisms involved in ECL after GDD implantation [2, 7]. Theoretically, the lower rate of aqueous flow through this new implant might reduce the rate of ECL after surgery, though the effects of the location of PRESERFLO in the AC (distance from the endothelium and the iris and the total length of the tube) on ECD have not yet been analyzed. We hypothesized that a short distance of the tip of the PRESERFLO from the endothelium might be associated with higher rates of CEC loss, as has been shown for the BV glaucoma implant, but probably at a slower rate due to its smaller volume into the AC and its lower flow rate of aqueous humor in comparison with traditional GDDs. The aim of this study was to evaluate the effect of tube location on corneal cell density after implantation of the PRESERFLO MicroShunt.
Methods
This is an observational, prospective study. It was performed in accordance with the tenets of the Helsinki Declaration of 1964. All the patients gave their informed consent for data collection and further publication of the study outcomes prior to surgery. Approval from the ethics committee was not required, given both the observational nature of the study and that the usual clinical practice was followed.
Study Population
The study included consecutive patients who underwent PRESERFLO implantation in the upper-temporal or upper-nasal quadrant in the AC in the Glaucoma Department of the Oftalvist Clinic-Moncloa HLA Hospital (Madrid, Spain). Both “standalone” and combined cataract phacoemulsification and PRESERFLO procedures were included, but only pseudophakic eyes were considered for “standalone” PRESERFLO implantation. The exclusion criteria were as follows: previous glaucoma surgery with a tube shunt, previous corneal disease, previous corneal transplant, neovascular and uveitic glaucoma, and inability of the patient to cooperate with the tests required for this study.
Surgical Technique
The surgical technique has been previously reported by our group [8]: https://journals.lww.com/glaucomajournal/Fulltext/2021/10000/Changes_to_Corneal_Topography_and_Biometrics_After.8.aspx.
In brief: “All operations were performed by the same surgeon (M.I.B.), with sub-Tenon anesthesia in the inferior nasal quadrant. A traction suture on the superior cornea was used to expose the upper nasal conjunctiva to perform conjunctival peritomy and careful Tenon dissection over two clock hours, liberating all the attachments between the Tenon capsule and episclera and creating a posterior pocket between the superior and medial rectus muscles. A diathermy probe was applied to the sclera to control bleeding and to obtain a clear surgical field. Mitomycin C (MMC) 0.2 mg/ml was used in all cases by introducing three soaked surgical sponges provided by the manufacturer under Tenon’s layer for 2 minutes, avoiding the limbus, and then gently washing with balanced salt solution. A mark with trypan blue was placed with the tip of the caliper 3 mm away from the limbus, and a 1-mm-wide scleral pre-incision was created with a microknife until the tip was not visible. The scleral tunnel was created parallel to the surface of the sclera with a 25-gauge needle entering the AC at the trabecular meshwork. The PRESERFLO MicroShunt was then introduced into the tunnel until it reached the AC; its position was visually checked, ensuring that it was not too close to the iris or endothelium and was placed with the bevel facing up. A planar fixation structure resembling the fins of an arrow that seals the device in the pocket is located half-way down the tube, preventing leakage around the tube and the tube from migrating into the eye. The fins were placed at the end of the scleral tunnel to ensure that it was inside. Flow through the implant was confirmed by injecting BSS [balanced salt solution] from the distal side of the tube with a 23-G cannula; a small air bubble advancing to the AC is usually observed, and drop-by-drop flow was confirmed from the end of the tube with a surgical sponge. Tenon’s layer was advanced prior to the conjunctiva to ensure that the implant was not caught in it, and then the conjunctiva was sutured watertight over Tenon’s layer with 10-0 nylon. A side-port incision was created at the end of the surgery to inject 0.1 ml of cefuroxime (1 mg/0.1 ml) into the AC. For combined surgery, the surgical technique was the same and performed at the end of the phacoemulsification and IOL [intraocular lens] implantation procedure” [8].
Evaluation of the Anterior Segment
All patients underwent preoperative evaluation of the central corneal thickness (CCT) and noncontact specular microscopy (Topcon SP-1P specular microscope, Topcon Corporation, Tokyo, Japan) for corneal endothelial evaluation prior to PRESERFLO implantation. The photography magnification of this model is ×254, range 0.25 × 0.55 mm. The automatic segmentation on a data set of in vivo specular microscopy images obtained with this device showed 95.8% correctly merged cells and 2% undersegmented cells [9]. The images were collected by the fully automated capture procedure. To obtain the images, the mode “center” was used.
During postoperative visits, these measurements were repeated while accounting for the central ECD. During follow-up, anterior segment optical coherence tomography (AS-OCT) with the Avanti Widefield (Optovue, Inc., Fremont, CA, USA) was used to evaluate the distance of the tube from the endothelium and iris and its length in the AC using the caliper tool of the “Crossline” option. Measurements from the distal superior end of the beveled tip of the tube were performed perpendicular to the internal surface of the cornea (tube–endothelium [TE] distance) [5], and from the distal inferior end of the tube to the iris plane (tube–iris [TI] distance) (Fig. 1). These measurements were repeated at 1 week and at 1, 3, 6, and 12 months after surgery.
Fig. 1.
AS-OCT image of the tube of the PRESERFLO in the AC. The caliper tool of the “Crossline” software of the Optovue Avanti Widefield was used to measure the distance from the tube to the endothelium and the iris and its total length
The length of the tube in the AC was measured from the beveled tip to the angle at 3 months (Fig. 1). Peripheral anterior synechiae (PAS) were evaluated by AS-OCT (Fig. 2).
Fig. 2.
AS-OCT image of two cases of peripheral anterior synechiae (PAS)
Statistical Analysis
Graphic analysis of the data distribution was analyzed with scatter plots, box plots, and bar graphs of the total ECD, ECD change (ECD postoperative − ECD preoperative) versus time from surgery (number of days since surgery) (Figs. 3, 4), and the mean monthly reduction (MMR) in ECD of the total population of the study (Fig. 5). The MMR was calculated by dividing the ECD change (preoperative − postoperative) by the number of months since surgery.
Fig. 3.
Scatterplot of endothelial cell density (ECD) loss over time after PRESERFLO implantation into the AC. The horizontal axis shows days after surgery, and the vertical axis shows ECD calculated by subtracting ECD postoperatively from ECD preoperatively (cells/mm2)
Fig. 4.
Endothelial cell density (ECD) distribution at postoperative visits. IQR interquartile range
Fig. 5.
Bar graph of the mean monthly reduction (MMR) in endothelial cell density (ECD, cells/mm2) after implantation of the PRESERFLO MicroShunt, as calculated by dividing ECD change (preoperative − postoperative) by the number of months since surgery
The percentage of central ECD loss (mean ± SD) was obtained by dividing the monthly ECD change by the preoperative ECD for the total population of the study at the different follow-up visits. A linear mixed model was employed to analyze the influence of the TE and TI distances on the ECD central change, and the Pearson correlation index was calculated to analyze the correlation between ECD and the TE and TI distances.
Stata® 17 (StataCorp LLC, College Station, TX, USA) was used for statistical analysis.
The sample was divided into different groups for analysis:
Two groups divided by type of surgery: Combined phaco-PRESERFLO surgery (“combined” group) vs. pseudophakic eyes that received the implant as a “solo” procedure (“standalone pseudophakic, SPF”).
Three groups divided by the TE distance: (a) TE distance < 200 μm, (b) TE distance 201–500 μm, (c) TE distance > 500 μm.
No sample size was specifically calculated for the current study, because the published literature about the PRESERFLO implant is so scarce that this study should be regarded as a pilot study.
Results
Baseline Data
Forty-six eyes of 40 patients were included (mean age 74 ± 9 years, 37% female, 52% right eye). Thirty-two eyes were pseudophakic, and 14 underwent combined surgery. Two eyes had pseudoexfoliative glaucoma, 43 had primary open-angle glaucoma, one eye had primary angle-closure glaucoma, and three had undergone a previous glaucoma surgery (trabeculectomy). All patients provided informed consent before surgery.
Mean Central Endothelial Cell Density, Mean Monthly Reduction, and Percentage of Central ECD Loss in the Total Population of the Study Over Time
Preoperatively, the mean central ECD was 2088 ± 527 cells/mm2. At 12 months, the percentage of total central ECD loss was 7.4%. The results for mean central ECD and mean pachymetry are shown in Table 1.
Table 1.
Central ECD, percentage of total mean decrease of ECD, and mean pachymetry at different time points
| Central ECD (cells/mm2) | Mean decrease (cells/mm2) | % decrease ECD (%) | Mean pachymetry (microns) | |
|---|---|---|---|---|
| Baseline | 2088 ± 527 | 515 ± 27 | ||
| 1 month | 2087 ± 431 | −126 ± 160 | 0.04 | 511 ± 31 |
| 3 months | 2040 ± 484 | −151 ± 189 | 2.3 | 504 ± 27 |
| 6 months | 1980 ± 541 | −94 ± 180 | 5.1 | 495 ± 93 |
| 12 months | 1933 ± 653 | −162 ± 301 | 7.4 | 509 ± 35 |
SD standard deviation
The MMR in central ECD (calculated as the difference between preoperative and postoperative endothelial measurements divided by the number of months since surgery, mean ± SD cells/mm2) at the different time points is shown in Table 2 and Fig. 5. MMR was −92.8 ± 165.6 cells/mm2 in the first month, decreasing progressively in the first year to −14.7 ± 28.4 cells/mm2.
Table 2.
Mean monthly reduction in the endothelial cell density (total endothelial cell decrease/no. of months since surgery) in the total population of the study
| Mean monthly reduction (cells/mm2) | Mean | SD |
|---|---|---|
| 1 month | −125.8 | 160 |
| 3 months | −50.2 | 63 |
| 6 months | −15.6 | 30 |
| 12 months | −14.6 | 25 |
SD standard deviation
The percentage of central ECD loss (mean ± SD) obtained by monthly ECD change divided by preoperative ECD for the total population of the study at the different follow-up visits is shown in Table 3.
Table 3.
Percentage of central ECD loss (mean ± SD) obtained by monthly ECD change divided by preoperative ECD for the total population of the study at the different follow-up visits
| % central decrease (MMR/baseline ECD) | Mean | SD (%) |
|---|---|---|
| 1 month | −0.075 | 0.07 |
| 3 months | −0.02% | 0.03 |
| 6 months | −0.008% | 0.01 |
| 12 months | −0.007% | 0.01 |
Endothelial Cell Changes Analyzed by Groups
Combined Versus Standalone
There was no statistically significant difference in baseline ECD between the groups (Student’s t test p = 0.1). The mean central ECD (cells/mm2) per group at consecutive visits and the total percentage of loss at 1 year are given in Table 4.
Table 4.
Mean central ECD (cells/mm2) at baseline, 1, 3, 6, and 12 months by groups; combined and standalone pseudophakic (SPF) and mean difference from baseline
| Central ECD | Combined | % decrease (%) | SPF | % decrease (%) |
|---|---|---|---|---|
| Baseline | 2239 ± 428 | 2022 ± 558 | ||
| 1 month | 2065 ± 365 | 7.7 | 2097 ± 467 | 0 |
| 3 months | 2096 ± 407 | 6.3 | 2018 ± 519 | 0.2 |
| 6 months | 2110 ± 529 | 5.7 | 1899 ± 550 | 6 |
| 12 months | 2114 ± 428 | 5.5 | 1869 ± 713 | 7.5 |
The MMR in ECD per group showed greater endothelial loss in the combined group in the first month (−140 ± 110 vs. −118 ± 181 cells/mm2) and in the standalone group at 1 year (−16 ± 28 vs. −11 ± 13 cells/mm2), even though the differences were not significant (p = 0.6, p = 0.3, respectively; Table 5). Figure 6 shows the progressive MMR in ECD (cells/mm2) from 1 month to 1 year.
Table 5.
Mean monthly reduction (MMR) in ECD (cells/mm2) per group; combined and standalone pseudophakic (SPF) at 1, 3, 6, and 12 months post-op
| MMR in central ECD (cells/mm2) | Combined | SPF |
|---|---|---|
| 1 month | −140 ± 110 | −118 ± 181 |
| 3 months | −72 ± 41 | −41 ± 69 |
| 6 months | −19 ± 25 | −13 ± 33 |
| 12 months | −11 ± 13 | −16 ± 28 |
Fig. 6.
Mean monthly reduction (MMR) in ECD (cells/mm2) per group (combined vs. standalone pseudophakic PF)
Comparison of TE Distance Between Groups
The mean distance from the tube to the endothelium was 482.9 ± 238 μm; from the iris, it was 778.5 ± 348 μm. The mean length of the tube in the AC was 2.76 ± 0.4 mm.
The mean central ECD in the groups with TE < 200 μm (Group a), 201–500 μm (Group b), and > 501 μm (Group c) from baseline to 1 year is shown in Table 6. No statistically significant differences were found between the groups at baseline or at different time points (one-way ANOVA, Bonferroni correction, Prob > F 0.4), but ECL over time was greater when the TE distance was less than 500 μm (−134 ± 203 and −209 ± 349 cells/mm2 in groups < 200 μm and 201–500 μm TE, vs. −36 ± 163 in group > 500 μm TE). According to the percentage of total loss at 12 months between the groups, the shorter the TE distance, the greater the loss (< 200 μm: 18%, 200–500 μm: 11%, > 500 μm: 1%) .
Table 6.
Central endothelial cell density (ECD) per group of tube–endothelium (TE) distance at different time points (Group a: 3 eyes; Group b: 21 eyes; Group c: 22 eyes)
| Central ECD | < 200 μm TE (Group a) | 201–500 μm TE (Group b) | > 501 μm TE (Group c) |
|---|---|---|---|
| Baseline | 2073 ± 356 | 2023 ± 588 | 2239 ± 478 |
| 1 month | 2010 ± 383 | 2029 ± 460 | 2248 ± 420 |
| 3 months | 2048 ± 207 | 2123 ± 490 | 2143 ± 427 |
| 6 months | 1928 ± 251 | 1810 ± 525 | 2157 ± 622 |
| 12 months | 1700 ± 349 | 1810 ± 697 | 2214 ± 574 |
| Mean diff baseline − 12 months (Prob p) and total % loss | −134 ± 203 (17.9%) | −209 ± 349 (10.5%) | −36 ± 163 (1.1%) |
The MMR in ECD based on TE distance groups is shown in Table 7 and Fig. 7. Although the differences were not significant (one-way ANOVA, Bonferroni correction, Prob > F 0.5), MMR in the first month was higher when the TE distance was less than 200 μm (−149 ± 76). At 12 months, the group with TE distance greater than 500 μm had less MMR in ECD (−3 ± 14 cells/mm2) than the < 200 μm (−11 ± 9 cells/mm2) and 201–500 μm (−20 ± 29 cells/mm2) groups.
Table 7.
Mean monthly reduction in the endothelial cell density (total endothelial cell decrease/no. of months since surgery) per group of tube–endothelium (TE) distance
| Mean monthly reduction | < 200 μm TE | 201–500 μm TE | > 501 μm TE |
|---|---|---|---|
| 1 month | −149 ± 76 | −129 ± 195 | −71 ± 79 |
| 3 months | −48 ± 67 | −50 ± 69 | −37 ± 59 |
| 6 months | −38 ± 34 | −23 ± 33 | −3 ± 21 |
| 12 months | −11 ± 9 | −20 ± 29 | −3 ± 14 |
Fig. 7.
Mean monthly reduction (MMR) in ECD (cells/mm2) based on tube–endothelium distance (TE) groups. < 200 μm; 201–500 μm; > 500 μm
Mixed-Effects Linear Regression Model Analysis Between the TE Distance and Total Length of the Tube in the AC with Endothelial Cell Loss
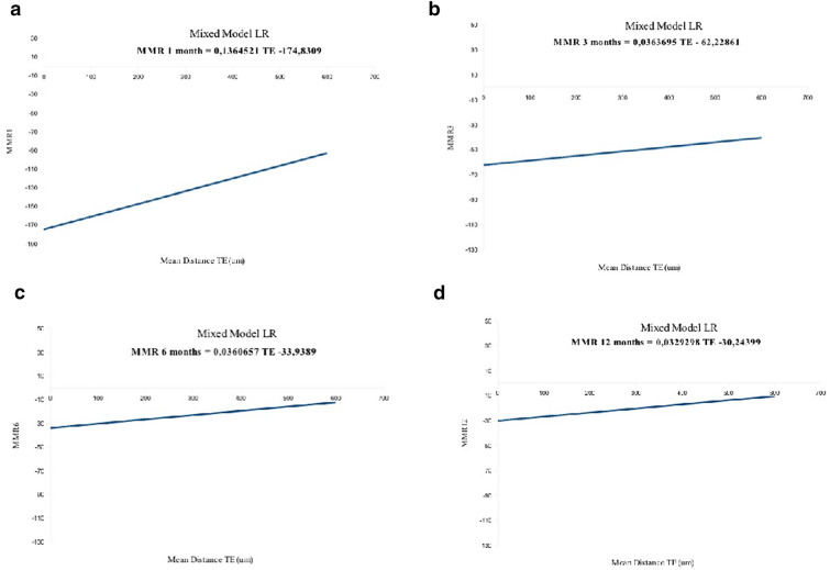
A mixed-effects linear regression model ruled by the equation MMR = mean TE coefficient × mean TE constant coefficient showed an inverse linear relationship between the MMR in ECD at 1, 3, 6, and 12 months and the TE distance (Fig. 8). According to this model, all tube locations were associated with endothelial cell loss at 1 and 3 months: the shorter the TE distance, the greater the loss. At 1 month, loss began at −174.8 ± 65.2 cells/mm2 for a TE distance = 0 μm (p < 0.01), decreasing to −62.2 ± 27.8 cells/mm2 at 6 months (p = 0.02). At 6 and 12 months, the linear fit showed a lower rate of loss, which was initiated at −33.9 ± 12.8 cells/mm2 (p < 0.01) and −30.2 ± 11.3 cells/mm2 (p < 0.01) at 6 and 12 months, respectively. From 6 months and thereafter, tubes located further than 600 μm from the endothelium were associated with a very low rate of endothelial cell loss, close to zero (Fig. 8b, c). Using this model, an inverse linear relationship with a significant goodness of fit (p < 0.01) was found between the mean TE distance and ECD at 1 year, with a shorter distance from the tube to the iris having a higher ECD (Fig. 9). However, linear regression mixed-model analysis did not find an association between the total length of the tube into the AC and the MMR in ECD at any of the time points.
Fig. 8.
A mixed-effects linear regression model was used to analyze the relationship between the mean monthly reduction (MMR) in ECD (cells/mm2) and the distance from the tube to the endothelium (TE). a At 1 month, mean EC loss began at 174.8 ± 65.2 cells/mm2 for TE = 0 μm (p < 0.01) and decreased progressively with increasing TE distance. b At 3 months, EC loss began at −62.2 ± 27.8 cells/mm2 for TE = 0 μm (p = 0.02). c At 6 months, EC loss began at −33.9 ± 12.8 cells/mm2 (p < 0.01) and reached a value close to zero when the TE distance was greater than 600 μm. d At 1 year, EC loss began at −30.2 ± 11.3 cells/mm2 (p < 0.01) and showed the same protective distance at 600 μm
Fig. 9.
A mixed-effects linear regression model was used to analyze the relationship between endothelial cell density (ECD, cells/mm2) at 1 year and the mean distance from the tube to the iris (TI). The model showed an inverse linear relationship (p < 0.01): the greater the TI distance, the lower the ECD
Pearson’s Correlation Coefficient to Measure the Statistical Relationship Between TE Distance, TI Distance, and Tube Length in the AC with Endothelial Cell Density
A positive and significant correlation (r = 0.38, p = 0.05) between TE distance and ECD and a negative and significant correlation (r = −0.5, p < 0.01) between mean TE distance and ECD were found 1 year after surgery. Therefore, higher ECD at 1 year was associated with greater distance of the tube from the endothelium and smaller distance of the tube from the iris. The total length of the tube in the AC did not exhibit a correlation with MMR or ECD at any of the time points of the study.
Analysis of Other Risk Factors for Endothelial Cell Loss with the PRESERFLO Implant
Age: An inverse and significant correlation was found between age and ECD at 6 months (r = −0.3, p = 0.05, younger age, higher ECD). The correlation was negative but not significant at the remaining postoperative visits. Linear mixed-effects models showed an inverse linear relationship (r = −0.15, p = 0.03) between age and MMR at 12 months.
AC depth: A positive and significant correlation was found between ACD and ECD at 3 months (r = 0.3, p = 0.05), but an inverse and significant correlation (r = −0.4, p = 0.01) was found between ACD and MMR in ECD at 3 months: he higher the ACD at 3 months, the higher the ECD; conversely, the lower the ACD, the higher the MMR in ECD.
PAS: Student’s t test analysis showed that the MMR in ECD at 1 month was greater (−341 ± 139 vs. −111 ± 28 cells/mm2) in patients with PAS (p = 0.02).
Significant Endothelial Cell Loss Was Observed in One Case of Extremely Short TE Distance and Anterior Corneal Position of the Tube
In the total study population, there was one case of a 78-year-old man who underwent surgery for tube repositioning. AS-OCT images revealed that the tube had been introduced into the AC through the corneal stroma very close to the endothelium (176 μm), with subsequent endothelial cell changes observed from baseline to 1 year. The endothelial cell count decreased from 2173 cells/mm2 preoperatively to 1755 cells/mm2 at 3 months, 1459 cells/mm2 at 6 months, and 783 cells/mm2 at 1 year. Figure 10 displays the endothelial changes observed from baseline and the very anterior position of the tube into the AC. Mean TE and TI distances in this case were 176.3 ± 81.9 μm and 1210 ± 73.6 μm, respectively, with a total tube length of 2.85 mm in the AC. The tube was repositioned 1 year after surgery when endothelial loss was evidenced.
Fig. 10.
Endothelial cell loss was observed in a case of a short tube–endothelium distance (176 μm), in which the tube entered the AC through the corneal stroma. The tube was repositioned when significant EC loss was noted
PAS and MMR of Endothelial Cells
Five eyes were found to have PAS related to transient hypotony in the early postoperative period. MMR in the first month was significantly greater in these eyes (mean −341 ± 139 cells/mm2) than in the group with no PAS and history of hypotony (−72.2 ± 30.5 cells/mm2), p = 0.01. No significant differences were found at 3 and 6 months or at 1 year.
Discussion
This 1-year follow-up study aimed to analyze postoperative endothelial cell changes in patients after glaucoma surgery with the PRESERFLO implant and the relationship that these changes may have with the tube’s position in the AC, among other risk factors.
We found that after PRESERFLO, ECL begins soon after the surgery and continues over time, following the same pattern of ongoing ECL previously described for long-tube shunts [10]. Phacoemulsification and trabeculectomy both have a well-described effect on ECD, with reductions occurring in the immediate postoperative period that tend to stabilize over time. Additionally, in the current study, a closer position from the tube to the endothelium was found to accelerate endothelial cell loss, with a greater effect in the immediate postoperative period that decreased over time. It was also found that patients who underwent combined surgery experienced higher rates of ECL at 1 month and lower rates at 1 year than after standalone procedures, suggesting that once ECL has stabilized after phacoemulsification, other factors related to the implant continue to influence endothelial cell loss.
There are widespread data on the effects of trabeculectomy with mitomycin C (MMC), phacoemulsification, and tube-shunt implantation for comparison with the results of this study on the PRESERFLO MicroShunt. Within the first 3 months after trabeculectomy with MMC 0.2 mg/ml, an ECL of 13.9% and a mean cell loss of −265 cells/mm2 were observed [11], higher than the 2.3% ECL and −150 cells/mm2 found after PRESERFLO implantation. In contrast, ECL after trabeculectomy with and without MMC trabeculectomy appears to occur in the immediate postoperative period. One study reported 3- and 12-month ECL of 9.5% and 10%, respectively, indicating no significant ongoing ECL after the first few months (MMC 0.2 mg/ml) [12]. Another study with a 3-month follow-up of trabeculectomy without MMC reported an ECL of 4.6%, of which only 1.2% occurred between months 1 and 3 [13]. The percentage of ECD decrease found with PRESERFLO for the total population of the current study revealed ongoing EC decrease, with 7.4% loss at 1 year.
On the other hand, routine phacoemulsification has been reported to be associated with an ECL of 7.6 to 9.5% within the first 2 weeks after surgery, stabilizing over time [14, 15] and leading to an ECL of 7.3% reported at 12 months [16]. In contrast, comparison between groups of combined versus standalone PRESERFLO in the current study showed greater ECL in the combined group in the first month (7.7% and 0%, respectively) but comparable ECL at 12 months (5.5% and 7.5%). These results suggest initial ECL associated with phacoemulsification in the immediate postoperative period followed by sustained loss most likely associated with the presence of the tube in the AC, which is greater than the gradual physiological decline in the ECD of the normal adult cornea (estimated 0.6% per year) [17]. The MMR in ECD in these two groups also exhibited a greater decrease in the first month in both the combined (−140 ± 110 cells/mm2) and standalone (−118 ± 181 cells/mm2) groups, whereas the opposite was observed at 1 year (higher mean monthly loss in standalone). The findings suggest the existence of other factors associated with ECL at 1 year after PRESERFLO implantation that are independent of phacoemulsification. Most likely, the presence of the tube in the AC induces sustained EC loss, similar to the Ahmed (AGV) and Baerveldt (BGI) devices, though at a slower rate according to our findings.
AC AGV tube location has been reported to be associated with a higher percentage of ECD loss at 1 year. For instance, Kim et al. [18] found a 10.5% decrease in central ECD at 12 months and Lee et al. [19] a 15.3% decrease at 1 year and an 18.6% decrease 2 years after surgery. These figures are higher than our results with the PRESERFLO device, with 7.4% ECL at 1 year. BGI implantation into the AC has also been reported to produce a high ECL at 12 months [20], at 13.1%.
For both the Ahmed and Baerveldt devices, the proximity of the tube tip to the corneal endothelium has been reported to be related to the magnitude of ECL [4, 5], which is consistent with the results of our study for PRESERFLO. Furthermore, Zhang et al. [4] compared ECL between sulcus and AC tube locations after AGV and detected higher monthly ECD loss in the AC group (29.3 cells/mm2) than in the sulcus group (15.3 cells/mm2). In the current study, the monthly reduction at 1 year was 14.6 cells/mm2, comparable to the rate of ECL after placing the tube of the AGV in the sulcus.
On the other hand, using a linear mixed model to analyze the central and peripheral ECD in relation to BGI tube–cornea distance, Tan et al. [5] found that a tube position closer to the endothelium accelerated EC loss: the shorter the distance, the greater the loss. Using the same statistical tool to analyze the effect of the PRESERFLO tube location on ECD, we found that a shorter TE distance was associated with greater loss of endothelial cells in the immediate postoperative period, beginning at −174.8 cells/mm2 for a TE distance of 0 μm and following an inverse linear relationship as the TE distance increased. At 6 and 12 months, the rate of EC loss for the same tube position was lower, and tubes located further than 600 μm from the endothelium showed a very low rate of ECL, close to zero. Tan et al. [5] reported a central loss of 6.2% at 1 year for a tube–cornea distance of 1.1 mm. In the current study, the percentage of central ECD was 17.9% for a TE distance < 200 μm, 10.5% for a distance between 201 and 500 μm, and 1.1% when the distance was greater than 500 μm. Nevertheless, as there might be differences in the AS-OCT devices used and in the measurement methodology, it is not easy to directly compare figures from different studies. In addition, it would be interesting to measure TE distances of all the different implants at the same tube length in the AC for a more consistent comparison between studies.
Moreover, the increase in ECL over time in eyes implanted with long-tube shunts has been related not only to tube–endothelial contact but also to some degree of chronic inflammation, which may further compromise the corneal endothelium and increase the risk of corneal failure [21].
Another factor that might influence the ECL rate is tube displacement in the AC after implantation. Tan et al. [5] proposed that the position of the tube of a BGI placed “free” into the AC tends to move closer to the endothelium, explaining the higher loss found in their study when the tube was “free” compared to a trans-iridial position, which maintains the tube in a more stable position. In a previous study published by our group [22], the distance from the PRESERFLO tube to the endothelium remained stable from postoperative day 1 to the third month, suggesting that the cause of ECL is not movement of the tube, at least in the current adult population of this study, but is rather the position with respect to the cornea.
On the other hand, the corneal endothelium closest to the tip of the tube has been reported to show the greatest decrease in ECD [20], which suggests that the flow of aqueous humor through the tip of the tube near the corneal endothelium causes cell damage. In general, higher resistance to flow through the tube and therefore lower flow of aqueous solution may be a protective factor. The smaller dimensions of the PRESERFLO tube compared to the tube of an AGV or BGI increases resistance to flow 325 times (1.3 mmHg/μl/min vs. 0.004 mmHg/μl/min, respectively). The corresponding decrease in aqueous humor flow through the tip of the tube might explain the lower rate of ECL found for PRESERFLO in comparison to AGV or BGI.
The percentage of endothelial cell loss reported for the main competitor, the XEN gel stent, appears to be comparable to PRESERFLO. A short-term report (3 months) [23] showed a loss of 2.1% of ECD with XEN, versus 2.3% found for PRESERFLO in the current study, in both cases lower than trabeculectomy (10%) according to the author’s findings. In a longer follow-up study (2 years) of the XEN gel stent [24], a 15.4% ECD loss was reported, versus 7.4% for PRESERFLO at 1 year. The yearly ECD loss found for PRESERFLO appears to be consistent with the ECD loss reported for XEN.
The AC depth and the presence of PAS after hypotony were associated with ECD, whereby a higher ACD resulted in a higher ECD and lower mean reduction in ECD at 3 months. The presence of PAS in the first month also correlated with a higher reduction in ECD.
One of the limitations of this study was the sample size. A larger number of patients would have allowed us to assemble a wider group for the tubes located at < 200 μm, a situation not very frequent and probably related to the surgeon’s learning curve. Another weakness of this study is that only the central ECD was measured and not the ECD at the area closest to the tip of the implant.
Conclusions
In conclusion, PRESERFLO implantation into the AC is associated with ECD loss that began in the immediate postoperative period, with ongoing loss of endothelial cells over time, though at slower rates, at least up to 1 year postoperatively. A closer position of the tube to the endothelium is related to a higher loss of ECD. A TE distance greater than 600 μm appears to be a protective factor for endothelial cell preservation.
Acknowledgements
We thank the participants of this study for their cooperation.
Funding
No funding or sponsorship was received for this study or publication of this article.
Authorship
All named authors meet the International Committee of Medical Journal Editors (ICMJE) criteria for authorship for this article, take responsibility for the integrity of the work as a whole, and have given their approval for this version to be published.
Author Contributions
MIB: main author. Contributions: concept and design, data collection, statistical analysis, interpretation of data for the work, manuscript writing, drafting and revising, final approval of the version to be published. LMF: co-author. Contributions: data interpretation, manuscript revising, final approval of the version to be published. ACC: co-author. Contributions: statistical analysis. FMG: co-author. Contributions: data collection. PTR: co-author. Contributions: concept and design. RGdL: co-author. Contributions: final approval of the version to be published. MAT: co-author. Contributions: interpretation of data for the work, manuscript revising, final approval of the version to be published.
Disclosures
Marta Ibarz Barberá, Laura Morales Fernández, Arturo Corroto Cuadrado, Fátima Martínez Galdón, Pedro Tañá Rivero, Rosario Gómez de Liaño and Miguel A. Teus all confirm that they have no conflicts of interest to disclose.
Compliance with Ethics Guidelines
This is an observational, prospective study. It was performed in accordance with the tenets of the Helsinki Declaration of 1964. All the patients gave their informed consent for data collection and further publication of the study outcomes prior to surgery.
Data Availability
The datasets generated during and/or analyzed during the current study are available from the corresponding author on reasonable request.
References
- 1.Lass JH, Benetz BA, He J, et al. Corneal endothelial cell loss and morphometric changes 5 years after phacoemulsification with or without CyPass micro-stent. Am J Ophthalmol. 2019;208:211–218. doi: 10.1016/j.ajo.2019.07.016. [DOI] [PubMed] [Google Scholar]
- 2.Koo EB, Hou J, Keenan JD, et al. Effects of glaucoma tube surgery on corneal endothelial cells: a review. Eye Contact Lens. 2016;42:221e224. doi: 10.1097/ICL.0000000000000171. [DOI] [PubMed] [Google Scholar]
- 3.Kim CS, Yim JH, Lee EK, Lee NH. Changes in corneal endothelial cell density and morphology after Ahmed glaucoma valve implantation during the first year of follow up. Clin Exp Ophthalmol. 2008;36:142e147. doi: 10.1111/j.1442-9071.2008.01683.x. [DOI] [PubMed] [Google Scholar]
- 4.Zhang Q, Liu Y, Thanapaisal S, Oatts J, Luo Y, Ying GS, Wang J, McLeod SD, Gedde SJ, Han Y. The effect of tube location on corneal endothelial cells in patients with Ahmed Glaucoma valve. Ophthalmology. 2021;128(2):218–226. doi: 10.1016/j.ophtha.2020.06.050. [DOI] [PMC free article] [PubMed] [Google Scholar]
- 5.Tan AN, Webers CA, Berendschot TT, de Brabander J, de Witte PM, Nuijts RM, Schouten JS, Beckers HJ. Corneal endothelial cell loss after Baerveldt glaucoma drainage device implantation in the anterior chamber. Acta Ophthalmol. 2017;95(1):91–96. doi: 10.1111/aos.13161. [DOI] [PMC free article] [PubMed] [Google Scholar]
- 6.McEwen W. Application of Poiseuille’s law to aqueous outflow. Arch Ophthalmol. 1958;60:290–294. doi: 10.1001/archopht.1958.00940080306017. [DOI] [PubMed] [Google Scholar]
- 7.McDermott ML, Swendris RP, Shin DH, et al. Corneal endothelial cell counts after Molteno implantation. Am J Ophthalmol. 1993;115:93–96. doi: 10.1016/S0002-9394(14)73530-5. [DOI] [PubMed] [Google Scholar]
- 8.Ibarz Barberá M, Morales-Fernandez L, Gómez de Liaño R, Tañá Rivero P, Teus MA. Changes to corneal topography and biometrics after PRESERFLO microshunt surgery for glaucoma. J Glaucoma. 2021;30(10):921–931. doi: 10.1097/IJG.0000000000001912. [DOI] [PubMed] [Google Scholar]
- 9.Vigueras-Guillen JP, Andrinopoulou ER, Engel A, Lemij HG, van Rooij J, Vermeer KA, van Vliet LJ. Corneal endothelial cell segmentation by classifier-driven merging of oversegmented images. IEEE Trans Med Imaging. 2018;37(10):2278–2289. doi: 10.1109/TMI.2018.2841910. [DOI] [PubMed] [Google Scholar]
- 10.Realini T, Gupta PK, Radcliffe NM, Garg S, Wiley WF, Yeu E, Berdahl JP, Kahook MY. The effects of glaucoma and glaucoma therapies on corneal endothelial cell density. J Glaucoma. 2021;30(3):209–218. doi: 10.1097/IJG.0000000000001722. [DOI] [PubMed] [Google Scholar]
- 11.Sihota R, Sharma T, Agarwal HC. Intraoperative mitomycin C and the corneal endothelium. Acta Ophthalmol Scand. 1998;76(1):80–82. doi: 10.1034/j.1600-0420.1998.760115.x. [DOI] [PubMed] [Google Scholar]
- 12.Storr-Paulsen T, Norregaard JC, Ahmed S, Storr-Paulsen A. Corneal endothelial cell loss after mitomycin C-augmented trabeculectomy. J Glaucoma. 2008;17(8):654–657. doi: 10.1097/IJG.0b013e3181659e56. [DOI] [PubMed] [Google Scholar]
- 13.Lázaro García C, Castillo Gómez A, García Feijóo J, Macías Benítez JM, García SJ. Estudio del endotelio corneal tras la cirugía del glaucoma [Study of the corneal endothelium after glaucoma surgery] Arch Soc Esp Oftalmol. 2000;75(2):75–80. [PubMed] [Google Scholar]
- 14.Wilczynski M, Drobniewski I, Synder A, Omulecki W. Evaluation of early corneal endothelial cell loss in bimanual microincision cataract surgery (MICS) in comparison with standard phacoemulsification. Eur J Ophthalmol. 2006;16(6):798–803. doi: 10.1177/112067210601600603. [DOI] [PubMed] [Google Scholar]
- 15.Wilczynski M, Supady E, Loba P, Synder A, Palenga-Pydyn D, Omulecki W. Comparison of early corneal endothelial cell loss after coaxial phacoemulsification through 1.8 mm microincision and bimanual phacoemulsification through 1.7 mm microincision. J Cataract Refract Surg. 2009;35(9):1570–1574. doi: 10.1016/j.jcrs.2009.05.014. [DOI] [PubMed] [Google Scholar]
- 16.Dick HB, Kohnen T, Jacobi FK, Jacobi KW. Long-term endothelial cell loss following phacoemulsification through a temporal clear corneal incision. J Cataract Refract Surg. 1996;22(1):63–71. doi: 10.1016/S0886-3350(96)80272-0. [DOI] [PubMed] [Google Scholar]
- 17.Bourne WM, Nelson LR, Hodge DO. Central corneal endothelial cell changes over a ten-year period. Invest Ophthalmol Vis Sci. 1997;38(3):779–782. [PubMed] [Google Scholar]
- 18.Kim CS, Yim JH, Lee EK, Lee NH. Changes in corneal endothelial cell density and morphology after Ahmed glaucoma valve implantation during the first year of follow up. Clin Exp Ophthalmol. 2008;36(2):142–147. doi: 10.1111/j.1442-9071.2008.01683.x. [DOI] [PubMed] [Google Scholar]
- 19.Lee EK, Yun YJ, Lee JE, Yim JH, Kim CS. Changes in corneal endothelial cells after Ahmed glaucoma valve implantation: 2-year follow-up. Am J Ophthalmol. 2009;148(3):361–367. doi: 10.1016/j.ajo.2009.04.016. [DOI] [PubMed] [Google Scholar]
- 20.Iwasaki K, Arimura S, Takihara Y, Takamura Y, Inatani M. Prospective cohort study of corneal endothelial cell loss after Baerveldt glaucoma implantation. PLoS ONE. 2018;13(7):e0201342. doi: 10.1371/journal.pone.0201342. [DOI] [PMC free article] [PubMed] [Google Scholar]
- 21.Hau S, Barton K. Corneal complications of glaucoma surgery. Curr Opin Ophthalmol. 2009;20(2):131–136. doi: 10.1097/ICU.0b013e328325a54b. [DOI] [PubMed] [Google Scholar]
- 22.Ibarz Barberá M, Morales Fernández L, Tañá Rivero P, Gómez de Liaño R, Teus MA. Anterior-segment optical coherence tomography of filtering blebs in the early postoperative period of ab externo SIBS microshunt implantation with mitomycin C: morphological analysis and correlation with intraocular pressure reduction. Acta Ophthalmol. 2021 doi: 10.1111/aos.14863. [DOI] [PubMed] [Google Scholar]
- 23.Olgun A, Duzgun E, Yildiz AM, Atmaca F, Yildiz AA, Sendul SY. XEN Gel Stent versus trabeculectomy: short-term effects on corneal endothelial cells. Eur J Ophthalmol. 2021;31(2):346–353. doi: 10.1177/1120672120924339. [DOI] [PubMed] [Google Scholar]
- 24.Gillmann K, Bravetti GE, Rao HL, Mermoud A, Mansouri K. Impact of phacoemulsification combined with XEN gel stent implantation on corneal endothelial cell density: 2-year results. J Glaucoma. 2020;29(3):155–160. doi: 10.1097/IJG.0000000000001430. [DOI] [PubMed] [Google Scholar]
Associated Data
This section collects any data citations, data availability statements, or supplementary materials included in this article.
Data Availability Statement
The datasets generated during and/or analyzed during the current study are available from the corresponding author on reasonable request.










