Abstract
The optimum encapsulation of 241Am/Be disused sealed radioactive sources (DSRS) based on PHITS Monte Carlo simulations for their long-term storage in Cameroon was performed. The country capacity for the management of disused neutron sources was also evaluated and showed that a Am1 P60 capsule is sufficient for the total available inventoried 241Am/Be DSRSs. The effective dose rate was computed in the enclosures of the DSRS container, which will be temporarily stored in the centralized radioactive waste facility. The obtained results were in agreement with the ALARA principle for the exposure rate optimization and the obtained exposure dose rates were found to be 1.830 μSv/h (horizontal calculation) and 0.137 μSv/h (vertical computation) which values are lower than the 2.5 μSv/h acceptable limit for the public area. The dose profile for 241Am/Be source obtained, the neutron flux, and gamma generated from neutron absorption showed agreement with the research hypothesis. The Monte Carlo assessment achieved in the present research will be useful for dismantling and preparing the waste package for long-term storage.
Subject terms: Applied physics, Nuclear physics, Particle physics
Introduction
Recently, the use of sealed radioactive sources (SRSs) in industrial applications such as petroleum exploration (oil and gas industries), well logging, and non-destructive tests has been increased worldwide. At their end-life-cycle, the SRSs can be recycled or reused for other purposes. If a country does not have the capability to do so, they become disused sealed radioactive sources (DSRSs) and need to be safely managed. In developing countries like Cameroon, the inventory of radioactive sources available at the National Regulatory Authority revealed an increase number of disused radioactive sources over the years. The management of DSRSs is acknowledged as a real challenge1–9. One of the management options is to send back to the manufacturers DSRS that cannot be used furthermore, but at time, this option is not possible and the country where it was being used should develop its own management capability. Safe management of these disused low activity radioactive sources has been a great challenge especially for neutron sources where shielding requires appropriate materials. As a result, Regulatory Authorities of developing countries have established and maintained in collaboration with international organizations and nuclear power country’s regulatory authorities as the Department of Energy of the United States of America (or USNRC) and the International Atomic Energy Agency, a temporary radioactive waste management facility.
When a radioactive source becomes disused, it is the most vulnerable part of its life cycle as the control procedures change because of being not profitable to the end-users. But it is a sensitive stage because of accident and/or incidents that can result if the disused source is being neglected10–15. Although an improvement has been made in safe management of disused sealed sources in developing countries, the issue regarding the space security management has also been another challenge. Nevertheless, research works have been carried on developing advanced technology for dismantling and disposal of several sources into a special capsule and container16,17.
Through technical cooperation with its member’s states, the IAEA has developed and established projects on management of disused sealed radioactive sources entitled “Sustaining Cradle-to-Grave Control of Radioactive Sources—Phase II”18–20. The project aims to assist developing countries to acquire appropriate knowledge on the management of DSRSs. Though most countries have laid down regulatory framework on control of sealed sources, the management of DSRSs remains an up-to-date scientific topic21–26. There are still several uncertainties on DSRS containers used for radioactive waste disposal since DSRSs emit neutron and gamma radiations, known to cause high level risk if no appropriate protective measures are undertaken. Monte Carlo simulations are used to optimize the DSRS disposal containers with a view to reduce the high radiological risk to the population and to the radioactive waste management staff.
Since neutron emitters as 241Am/Be have a great variation of stochastic characteristics, their domestic long-term storage should be considered for optimizing the dismantling and disposal method. Such complex operation should not be mistakenly implemented and one of the most powerful tools that can be used to evaluate the waste package container radiological safety is the Monte Carlo computational method8,9,27–32. In the present study, the optimum encapsulation of 241Am/Be disused sources based on Monte Carlo simulations for the disposal of DSRSs has been suggested. The Monte Carlo project is implemented based on the Particle and Heavy Ion Transport code System (PHITS) before the on-site dismantling and long-term storage operations are undertaken31,33–38.
Monte Carlo simulation
Monte Carlo methods also named MC techniques are usually acknowledged as a group of computational algorithms based on the principle of repetition of random sampling to estimate unknown parameters and that use random number generators to solve problems that are stochastics in nature. MC methods are effective in modeling complex situations and problems with a high degree of freedom that cannot be analytically solved, by performing random numbers and random experiments associated with a specific probability density function27,32,39. The application of MC to neutron transport is one of the most appropriate means to evaluate neutron interaction in a medium since the neutron interaction with matter (or a medium) is a cross-section-dependent function. This radiation (Neutron) interaction with matter usually involved parameters such as the microscopic cross-section (σ), which describes the interaction of neutron with a light particle and is expressed in the unit of barn or cm−2. Then, when neutrons interact with heavy materials or compounds such as a wall, concrete, or macroscopic material, the involved parameter is the macroscopic cross-section (∑). Therefore, the total interaction neutron cross-section in a medium in MC simulations is considered as the summation of all cross-sections including the absorption, scattering, fission, capture, etc.3. The following equations, therefore, describe the macroscopic cross-section of neutron interaction in our geometry during the simulation:
| 1 |
| 2 |
| 3 |
In the previous equations, N describes the atomic density of the target material, ρ refers to the target material density, and NA is the Avogadro’s number. From the equation, one can recall that materials with large total cross-sections are good neutron moderators. But if the source emits neutrons with energy higher than 2 MeV, the most important parameter is the removal cross-section that should be considered physically in the simulation. This is mainly because the fast neutrons need to be thermalized before being efficiently absorbed in a medium.
As the main concern in dealing with DSRSs is the neutron shielding, three steps should be considered as the average neutron energy is 4.5 MeV: (i) slow the neutrons, (ii) absorb the neutrons, and (iii) absorb the gamma rays generated from neutron interaction. To slow neutrons emitted from 241Am/Be source to thermal energies, light or hydrogenous materials (water that can evaporate or leak, flammable paraffin, or plastic) are usually used. To absorb neutrons, hydrogenous materials are also effective but gamma-ray emission is difficult to shield, and it is appropriate to use boron or borate material. In other to effectively evaluate the shielding property of a waste capsule or container, another important parameter to be considered for neutron shielding is the mean free path denotes by λ. This parameter is described as the average distance a neutron travels between two collisions in the target material. There is therefore a way to express the collisional probability at a distance dx taken by a neutron in a medium3:
| 4 |
| 5 |
Neutron transmission, that is the ratio between the intensity of incoming neutrons and that of neutrons passing throughout the medium, determines the properties of the material used and its ability to slow down and absorb radiation. For the Monte Carlo modeling in this study, the Particle and Heavy Ion Transport code System (PHITS) version 3.22 was used. It is a general-purpose Monte Carlo code developed using Fortran programming language. The code was used to validate the model built in the present study and to verify the effectiveness of material used in slowing down and absorbing neutron emitted from 241Am/Be DSRSs31,33,37. That ability is related to the distance λ and the removal cross-section. PHITS’s use for waste package design, radiation shielding, and radiation protection requires an appropriate well-defined method. In this regard, the calculation validation is based on the relative standard deviation calculation when the input code is well set. The following equation was implemented by the PHITS research team to evaluate the uncertainties on the computed values:
| 6 |
The input file built in the present research was compiled and executed using the Radioactive Decay Process, a data library from DECDC2 (Nuclear Decay Data for Dosimetry Calculation, version 2), a revised data package from ICRP Publication 38. The library allows the end-user to use a precompiled system for 1034 nuclides for dose calculation in medical, environmental and occupational exposures. This package is a library built from the assembled set of Evaluated Nuclear Structure Data File (ENSDF)9,34,40–42.
Material and methods
Nuclear waste management is one of the most challenging issues in nuclear engineering and advanced countries deal with spent nuclear fuel while states with no nuclear power plants have to manage DSRSs. In either case, disused neutron emitters are involved. Since the present study aims to provide an optimized Monte Carlo-based DSRSs management, the description of the neutron source, the geometry, and a brief description of the input code is given below.
241Am/Be neutron source simulated
The DSRS consisted of isotropic (α, n) 241Am/Be neutron source. The α-emitter is the Am-241, the target is Be-9, the Q-value of the reaction is 5.71 MeV and the neutron yield per α is ~ 7.0E(-5) for the following reaction43:
| 7 |
where the neutron produced per unit energy interval in Be (α, n) sources can be estimated using the following equation:
| 8 |
where σ(E) refers to the differential cross-section for neutron production in the center of mass, ε is the stopping cross-section for Be, and Eα the alpha particle energy.
The 241Am/Be DSRS used in the present work is made of 8 disused sealed neutron sources that will be dismantled and safely disposed of during the expert mission. The characteristics of the eight composite sources are presented in Table 1 along with their activities and the spectrum of the source implemented is given in Fig. 1. The source definition was done in PHITS input code using ispfs parameter for spontaneous fission as 241Am is one of the 18 fission nuclei defined in PHITS code. A volume source (cylindrical) was defined inside the P60 capsule prepared to contain the dismantled DSRSs. The energy spectrum of the 241Am/Be source used is shown in Fig. 1. Regarding the neutron emission rate, Strain44 measured an emission rate of 5.7 × 106 neutrons/second in 1962. In 2019, M. Tohamy et al. in their study, expected neutron yield of (2.2 ± 0.2) × 106 s-1 Ci-145–49. These details were implemented for the source definition in the present study using neutrons with a mean energy of 4.5 MeV in association with 4.438 MeV γ-rays according to the reaction 241Am (n, γ) 12C.
Table 1.
List of disused sealed radioactive sources of 241Am/Be considered for one P60 capsule and projected for the dismantling operation and long-term storage activity. The estimated activities were evaluated using the datasheet from the manufacturers, that is the radioactive decay law.
| Manufacturer | Number of sources | Nominal activity per source (mCi) | Date of activity | Estimated activity per source on 08/16/2021 (mCi) |
|---|---|---|---|---|
| TROXLER | 02 | 40.0 ± 0.8 | 16-08-1982 | 37.57 ± 0.74 |
| HUMBOLT | 04 | 40.0 ± 0.8 | 13-09-1989 | 38.00 ± 0.75 |
| SEDITECH | 02 | 50.0 ± 1.0 | 15-06-1987 | 47.33 ± 0.95 |
| Total | 08 | 321.82 |
Figure 1.

241Am/Be neutron spectrum from ISO 8529 used for Monte Carlo Simulation. The PHITS input code uses this spectrum for the neutron emission from DSRSs under investigation.
Geometry of the neutron DSRS package
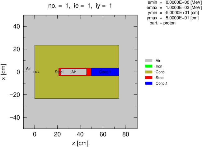
The geometry of the system used to contain DSRSs after dismantling for their disposal is shown in Fig. 2. The DSRSs were dismantled and 241Am/Be sources were stored in the Am1 P60 Capsule, then the P60 capsule was encased into a well-prepared borate concrete drum as presented in Fig. 2. The entrance was sealed then cover with locally made concrete that is less effective than the industrial made concrete. The Am1 P60 capsule is made of stainless steel with an outer wall thickness of 10 mm, 68 mm diameter, and with a length or height of 285 mm, sealed with a tight conical plug, pressed into the conical neck using a threaded cap.
Figure 2.
Geometry of the simulation designed for DSRSs waste management optimization. The effective dose calculation area is set on the r-axis (refer to as the x-axis or horizontal axis) and z-axis (refer to as the vertical axis in the remaining part of the manuscript).
The output geometry computed using PHITS code is shown in Fig. 3 where each material used for the geometry design is represented by a different color in the legend. The tallies for dose calculation and decision-making process were set one meter away and at the contact of the capsule in two directions: the vertical that is the z-axis and the horizontal, which is r-axis (by extension x-axis due to the isotropic emission of the source). The importance was set throughout the geometry depth as the variance reduction method allows fast calculation and accurate results achievement in a Monte Carlo calculation.
Figure 3.
Output Geometry of the simulation designed for DSRSs waste management optimization generated by PHITS. Different components of the geometry with the materials used and their dimensions.
The PHITS input code
The PHITS Monte Carlo input code for the present study includes the following sections: Title, Parameters, Source, Material, MatNameColor, Surface, Cell, T-3Dshow, Importance, three T-Track sections, Multiplier, and End34,50–52. The T-Track sections define different physical values that should be extracted during the simulation in other to discuss the obtained data. The range of interest of space and energy as well as the unit of each physical parameter was set. The results presented in the following section were obtained from a validated input code. In the PHITS input code, the variance reduction is implemented using the weight windows tally. The variance reduction can therefore be used more effectively by biasing the [weight window] parameter for a specific region with [ww bias]53.
Results and discussions
Normalized neutron and photon fluxes are presented in Fig. 4. The neutron flux is highest at the 241Am/Be source position which is confined at the Am1 P60 capsule center. The remaining space in the P60 capsule is filled with air in the simulated model, as presented in the previous section. As can be seen in Fig. 4, the neutron flux is symmetric to the z-axis and decreases gradually towards the outside of the shielding geometry, as neutrons are adsorbed by the concrete-filled drum and P60 capsule. Compared to the neutron flux, the photon flux is about one order magnitude lower at the center of the geometry. But when neutrons undergo total absorption at the exit cross-section of the shielding geometry, the photon flux increase to be higher than the neutron flux. This is observed by comparing the top (z-axis) of the geometry where the dark blue color represents the lowest flux for both neutron (dark blue) and photon (light dark blue). Such effect is due to the fact that photon shielding requires high-Z materials such as lead, whereas neutrons are effectively shielded by hydrogen-rich materials such as water, paraffin, borate concrete. For this reason, neutron shielding always involved gamma shielding material set at a position where the neutron absorption reaches its paroxysm to effectively shield the gamma generated from neutron absorption. This can be observed at the position (x; z) = ([− 50 + 50]; [80 90]) in the unit of cm. In addition, while appropriate materials for gamma shielding are not effective for neutron shielding, neutron shielding materials are ineffective for gamma radiation. It is therefore necessary to assess the contribution to the dose rate of each type of radiation in a particular cell. The total dose rate presented in next paragraphs is the sum of both neutron and photon contribution.
Figure 4.
Neutron flux (left) and generated photon flux (right) obtained in the computed geometry from the DSRSs waste made of the compilation of 241Am/Be sources in a P-60 capsule and stored in a barite concrete-filled drum. Monte Carlo view for a run of 5 000 000 initial experiences.
Monte Carlo simulations are used to optimize the DSRS disposal container in view to reduce high radiological risk to the population and the radioactive waste facility staff. To evaluate the effectiveness of shielding materials of the waste package or DSRS container used for 241Am/Be long-term storage, the dose profile was plotted for the decision-making process. As seen in Figs. 5, 6, and 7, the horizontal effective dose profiles around the DSRS package are displayed. From these figures, it is observed that the distance needed to reduce the effective dose rate up to the ALARA acceptable limit for the public area (2.5 μSv/h) is 84.30 cm14,16,27,30,39,54,55. However, it appears to be 108.00 cm on the graph displayed in Fig. 6, but the radius of the container is 23.70 cm. The result was directly associated to the tally position for the dose rate computed using the code. A volume tally was used to validate the resolution of the geometry and the obtained results were in perfect accordance with the real values with zero relative standard deviation. Therefore, it appears not necessary to perform another computation for the above-mentioned distances. These results are in accordance with the international regulations (IAEA56–58) for the waste drum design59,60. The effective dose variation displayed in Fig. 7 shows that the acceptable limit is reached in the closest of 1.00 m from the surface of the DSRS container (upper contact point). It can be concluded that the design is effective as the effective dose rate at 1 m from the contact of the DSRS container is < ~ 2 μSv/h. Thus, the dismantling operation of DSRSs and their packaging into one Am1 P60 Capsule, sealing, and storage activities could now be implemented at the centralized disused sealed radioactive sources storage. This can now be achieved for the 8 sources presented in Table 1. The evaluation performed also shows how crucial it is to evaluate the country’s capacity in terms of Am1 P60 capsules.
Figure 5.

Effective dose (horizontal profile or x-axis) investigated from the tally for output results where the interval 0–23.70 cm represents the DSRSs container radius and the interval 23.70–500.00 cm corresponds to the closest area to the waste package to be disposed of.
Figure 6.

Effective dose profile inside the DSRSs container’s [from 0 to 23.70 cm] and in the closest horizontal boundary area to reach the ALARA acceptable dose limit of 2.5µSv/h for public acceptance. The slope shift observed is mainly due to the change of the medium from the waste package to the enclosure environment (filled with air at ground level).
Figure 7.

Dose evolution from the DSRSs container’s contact point to 1.00 m away. The effective dose drops from 33.310 ± 0.001 μSv/h at contact to 1.752 ± 0.004μSv/h at 1 m, which is acceptable for the ALARA hypothesis.
Figures 8 and 9 display the vertical effective dose profile for the decision-making process. The definition of the source between 21.20 and 49.70 cm is the main reason why the maximum (a peak) is observed in this interval. Considering the ALARA principle, the effective dose rate at the contact of the top of the DSRS container is 1.750 ± 0.004 μSv/h (seen in Fig. 8 and Table 2). This value is comparably lower than the regulatory value of 2.5 μSv/h set for public adjacent areas. The effective dose rate at 1.00 m from the top (z-axis) is observed to be 0.137 μSv/h, which is radiologically acceptable for the public.
Figure 8.

Effective dose (vertical profile or z-axis) investigated from the tally for output results where the interval 0–74.00 cm represents the DSRSs container height and the interval 74.00–1000.00 cm corresponds to the closest area on top of the encapsulated waste to be disposed of.
Figure 9.

Effective dose profile inside the DSRSs container’s [from 0 to 74.00 cm] where the position of 241Am/Be
source pre-encased in a P60 capsule encapsulated into the concrete-filled drum is set between 21.20 and 49.70 cm.
Table 2.
Data for decision-making process based on Monte Carlo simulation in view to achieve public exposure condition in the boundary adjacent areas to the DSRSs container. Public exposure here refers to the ALARA principle of less than 1 mSv/year, which in other words means 2.5 μSv/h.
| Dose at contact (μSv/h) on x-axis horizontal | 33.310 ± 0.001 |
| Dose 1 m away (μSv/h) on x-axis horizontal | 1.830 ± 0.005 |
| Distance (cm) needed to reach 2.5 μSv/h on x-axis | 84.310 ± 0.009 |
| Dose at contact (μSv/h) on z-axis vertical | 1.752 ± 0.004 |
| Dose 1 m away (μSv/h) on z-axis vertical | 0.137 ± 0.017 |
| Distance (cm) needed to reach 2.5 μSv/h on x-axis | 0.0 |
The obtained results also show that the optimum packaging and encapsulation of 241Am/Be disused sources could be preceded by the Monte Carlo assessment of the waste packages. Though the assessment for the disposal of DSRSs was done for disused 241Am/Be neutron sources in Cameroon, the same process could be implemented in other countries that deal with neutron sources prepared into special capsule forms. In such cases, the obtained results are useful worldwide and available for implementation by other radioactive waste management facilities. The aforementioned Monte Carlo simulation is a prior study to the dismantling operation that enhances the cradle-to-grave management of DSRSs in developing countries like Cameroon. The dismantling operation could be carried out safely at any time knowing that the effective dose rate in the enclosed areas to the DSRS container shall remain less than the recommended value of 2.5μSv/h for the public area. In addition, another work should be performed to evaluate the safety and security of the disposal site and the interim storage in the condition where many DSRS drums are stored in several stages in a confined area. It should be performed when the DSRS capability of the country in the next century is evaluated. This work also helped to evaluate the Am1 P60 capsules and the borate concrete-filled drums capacity of each developing country that has to deal with 241Am/Be disused sources. Such capacity definition is of primary interest in collaboration with international organizations like IAEA and bilateral cooperation for radioactive waste management (the case of US-Cameroon). From the total investigated 241Am/Be DSRSs, the country capacity of a Am1 P60 capsule corresponds to one borate concrete-filled drum for long-term storage purposes. A similar study is being carried on to evaluate the case of gamma emitter DSRSs as 137Cs, 60Co, available in large quantities as radioactive waste in developing countries16,30,39.
Conclusions
The optimum encapsulation of 241Am/Be disused sealed radioactive sources based on PHITS Monte Carlo simulations for the long-term storage of DSRSs in Cameroon was performed. The shielding effectiveness of the disused source drums and Am1 P60 capsules for storage operations was evaluated by taking into consideration the total number of 241Am/Be DSRSs inventoried. This was to assess the minimum of radiological risk for both radioactive waste specialists (operators during the dismantling operations) and the public. The P60 special form capsules are to be produced and used in a worldwide project on the “Sustaining Cradle-to-Grave Control of Radioactive Sources”. So the characteristics of the special capsule were investigated to conclude on its properties before the future implementation of joint dismantling expert missions in participating states.
The effective radiation dose rates obtained were in agreement with the ALARA principle and regulatory requirements for the exposure rate optimization. In fact, the obtained effective dose rates were found to be 1.830 (horizontal calculation) and 0.137 μSv/h (vertical computation) which are lower than the 2.5 μSv/h acceptable limit for the public area. For the radiation dose profile of 241Am/Be source obtained, the neutron flux and gamma generated from neutron absorption are in accordance with the research hypothesis and fit our expectations. As the Am1 P60 capsule was designed to carry up to 10 TBq of 241Am/Be source, the future dismantling operations to be arranged should take into consideration all national inventoried 241Am/Be DSRSs. Also, means of filing the borate concrete-filled drums and the remaining space in the geometry with locally made concrete should be designed prior to the dismantling operation. As the issue of radioactive and nuclear waste management is an up-to-date topic, the future perspective will consist of looking at a Monte Carlo-based method to reduce the heat of nuclear/radioactive waste and to transmute, if possible on a small scale, long-lived radionuclides to short-lived ones. The ongoing research project is actually evaluating the Cs1 P60 capsule national capacity to dismantle gamma emitters DSRSs.
Acknowledgements
The authors are grateful to PHITS Collaboration (T. Sato, S. Hashimoto, K. Niita, et al.) for PHITS development. They want to extend their gratitude to the National Radiation protection Agency of Cameroon – NRPA for promoting Monte Carlo development in the research institute.
Author contributions
All authors contributed equally to this work.
Data availability
The data that supports the findings of this study are available within the article and upon reasonable request.
Competing interests
The authors declare no competing interests.
Footnotes
Publisher's note
Springer Nature remains neutral with regard to jurisdictional claims in published maps and institutional affiliations.
References
- 1.Alhajali S, Yousef S, Naoum B. Appropriate concrete for nuclear reactor shielding. Appl. Radiat. Isot. 2016 doi: 10.1016/j.apradiso.2015.09.001. [DOI] [PubMed] [Google Scholar]
- 2.Glinicki MA, Antolik A, Gawlicki M. Evaluation of compatibility of neutron-shielding boron aggregates with Portland cement in mortar. Constr. Build. Mater. 2018 doi: 10.1016/j.conbuildmat.2017.12.228. [DOI] [Google Scholar]
- 3.Aygün B. High alloyed new stainless steel shielding material for gamma and fast neutron radiation. Nucl. Eng. Technol. 2019 doi: 10.1016/j.net.2019.08.017. [DOI] [Google Scholar]
- 4.Bergaoui K, et al. Development of a new deuterium-deuterium (D-D) neutron generator for prompt gamma-ray neutron activation analysis. Appl. Radiat. Isot. 2014 doi: 10.1016/j.apradiso.2014.09.004. [DOI] [PubMed] [Google Scholar]
- 5.Carpenter, J. M. & Yelon, W. B. 2. Neutron Sources. in 99–196 (2009). doi:10.1016/s0076-695x(08)60555-4
- 6.Choi, J. S. et al. Neutron-absorbing coatings for safe storage of fissile materials with enhanced shielding & criticality safety. in Materials Science and Technology Conference and Exhibition, MS and T’07 - ‘Exploring Structure, Processing, and Applications Across Multiple Materials Systems’ (2007).
- 7.Trkov, A. et al. IRDFF-II: A New Neutron Metrology Library. (2019).
- 8.Guembou Shouop, C. J., BAK, S.-I., NDONTCHUENG MOYO, M., NGUELEM, E. J. & Strivay, D. Barite concrete for 252Cf spontaneous neutron shielding based on Monte Carlo computation. in NuMat2020: The Nuclear Materials Conference (2020).
- 9.Shin JW, Hong SW, Bak SI, Kim DY, Kim CY. GEANT4 and PHITS simulations of the shielding of neutrons from the 252Cf source. J. Korean Phys. Soc. 2014 doi: 10.3938/jkps.65.591. [DOI] [Google Scholar]
- 10.AGENCY, I. A. E. Radiation Protection and Safety in Industrial Radiography (IAEA 1999) Safety Reports Series No. 13. (1999).
- 11.IAEA. IAEA Nuclear Security Series No. 25-G. Nucl. Secur. Ser. (2015).
- 12.Price, M. S. T. IAEA Safety Standards Series, STI-1: Regulations for the safe transport of radioactive material—1996 Edition (STI/PUB/998). Int. J. Radioact. Mater. Transp. (1997). doi:10.1179/rmt.1997.8.1.2
- 13.IAEA. Safety Reports Series No. 38: Applying Radiation Safety Standards in Radiotherapy. IAEA Press (2006). doi:10.1016/j.ijrobp.2007.01.007
- 14.Guembou Shouop, C. J. Radiation protection optimization in fixed industrial radiography-based Phits Monte Carlo code simulation. in IAEA International Conference on Radiation Safety: Improving Radiation Protection in Practice (2020).
- 15.IAEA. Safety Report: Lesson Learned From Accidents in Industrial Radiography. (1998).
- 16.Guembou Shouop, C. J. Radioactive Waste Management option for Cameroon: Current Practices towards an optimized management strategy in the future. in International School on Radioactive Waste Cementation (ed. ICTP) 16–22 (ICTP, 2020). http://indigo.ictp/event/9129/17/0.pdf
- 17.Osmanlioglu AE. Management of spent sealed radioactive sources in Turkey. Health Phys. 2006 doi: 10.1097/01.HP.0000214659.60964.bf. [DOI] [PubMed] [Google Scholar]
- 18.Antoine, J. M. R., Grant, C. N. & Dennis, H. T. (19) (PDF) Cradle to Grave Control of Radioactive Sources: The ARCAL Regional Effort. (2016). Available at: https://www.researchgate.net/publication/313423257_Cradle_to_Grave_Control_of_Radioactive_Sources_The_ARCAL_Regional_Effort. (Accessed: 19th December 2021)
- 19.IAEA. Sustaining Cradle-to-Grave Control of Radioactive Sources | IAEA. (2017). Available at: https://www.iaea.org/projects/tc/int9182. (Accessed: 19th December 2021)
- 20.IAEA. Fostering Cradle-to-Grave Management of Radioactive Sources: Interregional Project Concludes, Paving the Way for Future Activities | IAEA. (2020). Available at: https://www.iaea.org/newscenter/news/fostering-cradle-to-grave-management-of-radioactive-sources-interregional-project-concludes-paving-the-way-for-future-activities. (Accessed: 19th December 2021)
- 21.Khripunov I. Risk-based approach in the self-assessment of nuclear security culture for users of radioactive sources. Int. J. Nucl. Secur. 2019 doi: 10.7290/ijns050102. [DOI] [Google Scholar]
- 22.Da Costa ELC, Gomes JDRL, Gomes RDS, Costa MLDL, Thomé Filho ZD. The regulatory control over radiation sources: the Brazilian experience and some lessons learned from industrial applications. Brazilian J. Radiat. Sci. 2019 doi: 10.15392/bjrs.v7i2a.671. [DOI] [Google Scholar]
- 23.Fernandez NN. High-risk radioactive sources: Cradle-to-grave physical protection. J. Nucl. Mater. Manag. 2008;2:2. [Google Scholar]
- 24.Czarwinski R, Weiss W. Safety and security of radioactive sources-international provisions. Kerntechnik. 2005 doi: 10.3139/124.100262. [DOI] [Google Scholar]
- 25.Limbanyen, K., Soponkanabhorn, T., Chanyotha, S., Chankow, N. & Krobbuaban, P. Application of a systematic technique for the characterization of Naturally Occurring Radioactive Materials (NORM) at Bongkot field and Songkhla petroleum development support base. in Society of Petroleum Engineers - Asia Pacific Health, Safety, Security and Environment Conference and Exhibition 2007 - ‘Responsible Performance: Are We Doing the Best We Can’ (2007). doi:10.2523/108873-ms
- 26.Dials, G. E. & Eriksson, L. G. Wipp - A safely operating, expandable, proof of principle for deep geological disposal of long-lived radioactive materials. in American Nuclear Society - 12th International High-Level Radioactive Waste Management Conference 2008 (2008).
- 27.Guembou Shouop CJ, Bak SI, Ndontchueng Moyo M, Nguelem Mekongtso EJ, Strivay D. New Cf-252 neutron source shielding design based Monte Carlo simulation using material combination. AIP Adv. 2020 doi: 10.1063/1.5144923. [DOI] [Google Scholar]
- 28.Mitchell, L. J. et al. Gamma-ray and neutron background comparison of US metropolitan areas. Nucl. Instruments Methods Phys. Res. Sect. A Accel. Spectrometers, Detect. Assoc. Equip. (2015). doi:10.1016/j.nima.2015.01.020
- 29.Zhang, G. Monte Carlo Simulation of Mixed Neutron-Gamma Radiation Fields and Dosimetry Devices. (Elektrotechnik und Informationstechnik des Karlsruher Instituts f¨ur Technologie (KIT), 2011).
- 30.Guembou Shouop, C. J. shielding design and safety measures around 60Co, 192Ir, and 252Cf sources in industrial radiography facilities based on phits monte carlo simulations. (KAIST - Korea Advanced Institute of Science and Technology, 2020).
- 31.Sato T, et al. Overview of particle and heavy ion transport code system PHITS. Ann. Nucl. Energy. 2015 doi: 10.1016/j.anucene.2014.08.023. [DOI] [Google Scholar]
- 32.Shouop G, et al. Monte Carlo method for gamma spectrometry based on GEANT4 toolkit: Efficiency calibration of BE6530 detector. J. Environ. Radioact. 2018;189:109–119. doi: 10.1016/j.jenvrad.2018.03.015. [DOI] [PubMed] [Google Scholar]
- 33.Sato T, et al. Particle and heavy ion transport code system, PHITS, version 252. J. Nucl. Sci. Technol. 2013 doi: 10.1080/00223131.2013.814553. [DOI] [Google Scholar]
- 34.Iwamoto Y, et al. Benchmark study of the recent version of the PHITS code. J. Nucl. Sci. Technol. 2017 doi: 10.1080/00223131.2017.1297742. [DOI] [Google Scholar]
- 35.Sato T, et al. Overview of the PHITS code and its application to medical physics. Prog. Nucl. Sci. Technol. 2014 doi: 10.15669/pnst.4.879. [DOI] [Google Scholar]
- 36.Sihver L, et al. An update about recent developments of the PHITS code. Adv. Sp. Res. 2010 doi: 10.1016/j.asr.2010.01.002. [DOI] [Google Scholar]
- 37.Sato T, et al. Features of particle and heavy ion transport code system (PHITS) version 3.02. J. Nucl. Sci. Technol. 2018 doi: 10.1080/00223131.2017.1419890. [DOI] [Google Scholar]
- 38.Niita K, et al. PHITS overview. AIP Conf. Proc. 2007 doi: 10.1063/1.2720457. [DOI] [Google Scholar]
- 39.Guembou Shouop CJ, Sang-In B. Shielding design for high-intensity Co-60 and Ir-192 gamma sources used in industrial radiography based on PHITS Monte Carlo simulations. Eur. Phys. J. Plus. 2020 doi: 10.1140/epjp/s13360-020-00797-8. [DOI] [Google Scholar]
- 40.Petoussi-Henss N, et al. Conversion coefficients for radiological protection quantities for external radiation exposures. Ann. ICRP. 2010;40:1–257. doi: 10.1016/j.icrp.2011.10.001. [DOI] [PubMed] [Google Scholar]
- 41.Niita, K., Matsuda, N., Iwamoto, Y., Iwase, H. & Sato, T. PHITS : Particle and Heavy Ion Transport code System , Version 2 . 23. JAEA-Data/Code (2010).
- 42.Niita K, et al. PHITS-a particle and heavy ion transport code system. Radiat. Meas. 2006 doi: 10.1016/j.radmeas.2006.07.013. [DOI] [Google Scholar]
- 43.Vega-Carrillo HR, Martinez-Ovalle SA. Few groups neutron spectra, and dosimetric features, of isotopic neutron sources. Appl. Radiat. Isot. 2016;117:42–50. doi: 10.1016/j.apradiso.2016.03.027. [DOI] [PubMed] [Google Scholar]
- 44.Leddicottee, G. W. The preparation, properties, apisd uses of americium-241, alpha-, gamma-, and neutron sources. Oak Ridge Natl. Lab. Rep. (1962).
- 45.Tohamy, M., Elmaghraby, E. K. & Comsan, M. N. H. Reevaluation of the neutron emission probabilities from 241 Am–Be neutron source. Nucl. Instruments Methods Phys. Res. Sect. A Accel. Spectrometers, Detect. Assoc. Equip. (2019). doi:10.1016/j.nima.2019.162387
- 46.Kotb N, et al. Characterization of 241AM-BE neutron source using threshold foil activation technique. Al-Azhar Bull. Sci. 2019 doi: 10.21608/absb.2019.67880. [DOI] [Google Scholar]
- 47.Tohamy M, Elmaghraby EK, Comsan MNH. Integral cross section of isomeric state formation in (neutron, nucleon) reactions using an Am–Be source. Appl. Radiat. Isot. 2020 doi: 10.1016/j.apradiso.2020.109340. [DOI] [PubMed] [Google Scholar]
- 48.Tohamy M, Abbas K, Nonneman S, Rodriguez DC, Rossi F. Improved experimental evaluation and model validation of a 252Cf irradiator for delayed gamma-ray spectrometry applications. Appl. Radiat. Isot. 2021 doi: 10.1016/j.apradiso.2021.109694. [DOI] [PubMed] [Google Scholar]
- 49.Ahmed GSM, Tohamy M, Bühler P, Comsan MNH. Measurements of the cross-section of 1 1 1 Cd (n, n ′) 1 1 1 m Cd reaction for 2 4 1 Am/Be neutrons. Mod. Phys. Lett. A. 2021 doi: 10.1142/S021773232150084X. [DOI] [Google Scholar]
- 50.Sato T, et al. Recent improvements of particle and heavy ion transport code system: PHITS. EPJ Web Conf. 2017 doi: 10.1051/epjconf/201715306008. [DOI] [Google Scholar]
- 51.Hashimoto S, Iwamoto O, Iwamoto Y, Sato T, Niita K. PHITS simulation of quasi-monoenergetic neutron sources from 7Li(p, n) reactions. Energy Proc. 2015 doi: 10.1016/j.egypro.2014.11.869. [DOI] [Google Scholar]
- 52.NIITA, K. et al. Recent Developments of the PHITS code. Prog. Nucl. Sci. Technol. (2011). doi:10.15669/pnst.1.1
- 53.PHITS. PHITS Ver. 3.25 User’s Manual English version. (2021).
- 54.Guembou Shouop CJ, Ndontchueng Moyo M, Nguelem Mekongtso EJ, Cho K, Strivay D. Erratum to: Radiological protection requirements with regard to cosmic-ray exposure during air travel. Eur. Phys. J. Plus. 2021 doi: 10.1140/epjp/s13360-021-01401-3. [DOI] [Google Scholar]
- 55.Guembou Shouop CJ, Ndontchueng Moyo M, Nguelem Mekongtso EJ, Cho K, Strivay D. Radiological protection requirements with regard to cosmic ray exposure during air travel. Eur. Phys. J. Plus. 2020 doi: 10.1140/epjp/s13360-020-00468-8. [DOI] [Google Scholar]
- 56.IAEA. Radiation Protection and Safety of Radiation Sources: International Basic Safety Standards. IAEA Safety Sandards Series No. GSR Part 3. IAEA Saf. Stand. (2011).
- 57.IAEA. IAEA Safety Glossary 2018 Edition IAEA SAFETY STANDARDS AND RELATED PUBLICATIONS. IAEA Libr. Cat. Publ. Data (2019).
- 58.IAEA. IAEA Safety Standards Radiation Protection and Safety of Radiation Sources: International Basic Safety Standards INTERIM EDITION General Safety Requirements Part 3 No. GSR Part 3 (Interim). Gen. Saf. Requir. part 3 (2014).
- 59.IAEA. Basic Principles Objectives IAEA Nuclear Energy Series Locating and Characterizing Disused Sealed Radioactive Sources in Historical Waste. IAEA Nucl. Energy Ser. (2009).
- 60.Guembou Shouop, C. J., Moyo, M. N., Mekongtso, E. J. N., Ateba, J. F. B. & Strivay, D. 241Am/Be source optimum geometry for DSRS management-based Monte Carlo simulations. AIP Adv.11, 115024 (2021).
Associated Data
This section collects any data citations, data availability statements, or supplementary materials included in this article.
Data Availability Statement
The data that supports the findings of this study are available within the article and upon reasonable request.



