Abstract
This study measures the effectiveness of government’s transportation policy on mobility restriction during the COVID-19 pandemic using publicly available big datasets. Using a causal difference-in-difference (DiD) analysis and regression discontinuity design (RDD), we examine the impact of non-pharmaceutical interventions (NPIs) on the aggregate population mobility of cities and regencies across Indonesia. Our results show that during the period of the first so-called “Large-scale Social Restrictions” or “Pembatasan Sosial Berskala Besar” (PSBB I) from April to May 2020, NPIs reduced mobility by 5.4% relative to pre-pandemic baseline and accounted for a small portion of mobility decline in cities or regencies that instituted mobility restrictions. The impact of the second PSBB policy (PSBB II) from September to November 2020 was smaller, with a mobility reduction of only 1.8%–2.9%, depending on the window of observation and sample. Lastly, the “Imposition of Restriction on Social Activity” or Pemberlakuan Pembatasan Kegiatan Masyarakat (PPKM) policy beginning in January 2021 has had a more negligible impact, with mobility reduction of approximately 0.6–2.1%. These findings indicate that the effectiveness of mobility restrictions tend to decrease over time. The decline in effectiveness may be the result of the increased cost of social distancing over long periods of time and the declining stringency of the mobility restrictions being imposed, which may be particularly pronounced for emerging countries with a large informal sector, such as Indonesia.
Keywords: COVID-19, Population mobility, Mobility restriction, Policy evaluation, Difference-in-differences, Indonesia
1. Introduction
Since the World Health Organization (WHO) announced a global pandemic on March 11, 2020, COVID-19 has severely disrupted the global economy (Fong et al., 2020), with long-lasting repercussions on global development (IMF, 2020). High population mobility during the early phases of the pandemic has had a substantial impact on the increase in the number of active COVID-19 cases (Chinazzi et al., 2020). In the subsequent phases, substantial declines in mobility were observed globally due to government interventions to limit the spread of the disease and voluntary actions to reduce the individual risk of contracting the novel coronavirus (Barbieri et al., 2021). This decline in mobility, in turn, has had a significant impact on aggregate economic activity. Firms, particularly those in contact-intensive sectors, were forced to reduce their production levels owing to mobility restrictions (McKibbin and Fernando, 2021). In addition, companies have been faced with a slowdown in demand as households have increased precautionary savings and changed their consumption patterns (Belot et al., 2021, Kansiime et al., 2021).
Facing a rise in infection cases and deaths, governments worldwide have turned to non-pharmaceutical interventions (NPIs), defined as measures intended to reduce transmission by reducing contact rates in the general population (Ferguson et al., 2020). NPIs include policies such as stay-at-home orders, lockdowns, workplace, and school closures, and limitations on public gatherings to contain the spread of the virus. Governments implemented NPIs in the various stages of the pandemic, particularly in the early ones, as other forms of pandemic response policy such as mass vaccination campaigns were not yet possible while relying solely on emergence of herd immunity was deemed too risky. Evidence suggests that these interventions will decrease the size of the pandemic and redistribute the number of cases over time (Bento et al., 2020, Davies et al., 2020, Peak et al., 2020), reducing the risk that local healthcare systems become overwhelmed by surges in demand for health services (Blower, 2008). However, evidence of the effectiveness of NPIs seems to be mixed in developing countries owing to insufficient enforcement capacity and rule compliance (Barnett-Howell et al., 2021). In Indonesia, the government has introduced travel bans, “social distancing” and “stay-at-home” orders, business closures, and working hours restrictions (Djalante et al., 2020, Sparrow et al., 2020). However, most Indonesians work in the informal sector, which tends to be low-paying and does not allow them to work from home (World Bank, 2021). The structure and characteristics of the Indonesian economy, similar to many other emerging economies, thus incentivize non-compliance of NPIs, undermining their effectiveness.
Understanding the impact of NPIs requires the availability of high-frequency data, which may be challenging to obtain through conventional data sources (e.g., statistical surveys). As an alternative, researchers have used real-time and disaggregated information on economic activities, such as household consumption data obtained from private sector providers (Chetty et al., 2020, Sheridan et al., 2020, Watanabe and Omori, 2020). In particular, Chetty et al. (2020) have carried out real-time tracking of business revenues, household spending, and employment growth using private sector data, showing the potential of such information to provide researchers and policymakers with timely disaggregated policy-relevant information. However, the data are largely accessible only in advanced economies with well-established digital infrastructures and high levels of digital inclusion (Ilin et al., 2021, Snaith, 2020). Comparable private economic data may not be available for researchers in developing countries. Hence, they often resort to publicly released aggregate mobility data. Companies such as Google, Apple, and Facebook release publicly available GPS-tracked aggregate mobility data, reflecting users' aggregate change in mobility. These aggregate data may be used as a crude proxy for economic activity without more detailed private sector economic information (Ilin et al., 2020).
In this paper, we leverage public mobility data to assess the impact of NPIs on aggregate mobility, using the case study of Indonesia, the fourth most populous country in the world. The first COVID-19 case in Indonesia was officially recorded on March 2, 2020. Since then, the number of new COVID-19 cases has flowed and ebbed. There were multiple episodes of strict NPIs instituted in response to sudden resurgences in cases. In the first round of NPIs, lasting from April to June 2020, several provincial and city governments all across Indonesia instituted what is called as the Pembatasan Sosial Berskala Besar I (PSBB I) or Large-Scale Social Restrictions. In the second round and response to a rising number of new cases, the capital city of Jakarta and the nearby province of Banten instituted the second round of NPIs, termed the Pembatasan Sosial Berskala Besar II (PSBB II), which lasted from September to November 2020. In the third round, the central government implemented the Pemberlakuan Pembatasan Kegiatan Masyarakat (PPKM), or Implementation of Restrictions on Societal Activities, beginning in January 2021. The PPKM was enacted for all cities and regencies in Java and Bali, regardless of their number of cases. The first two NPI regimes were mostly enacted by provincial and city governments, with permission from the Health Ministry and following a uniform set of policy actions in line with Ministry guidelines. The central government did not impose a national NPI policy for all cities and regencies in Indonesia during the early stages of the pandemic. Using the difference-in-differences and regression discontinuity design (RDD) methods, we analyze the impact of NPIs on aggregate mobility during the three distinct periods mentioned above.
Our novel contribution to the literature is twofold. First, we address the research gap regarding the impact of repeated NPI restrictions. Most studies on this topic have focused on single NPI periods and cross-country effects, failing to account for country-specific idiosyncrasies. While most studies have addressed the effects of NPIs during the late spring and early summer of 2020 (Chetty et al., 2020, Nanda et al., 2021, Satyakti, 2020), we examine NPIs under various NPI regimes across different periods until January 2021. This is of significant relevance as many countries around the world experienced cycles of COVID-19 resurgence, which required the repeated enactment of NPIs. Second, we address the gap in the research regarding the effects of NPIs on aggregate mobility in emerging and developing countries. This question is important, as these countries’ population is likely to suffer more substantial economic damage due to the COVID-19 spread and NPIs given the vast size of the informal sector and the gap in access to digital technology.
Indonesia provides an interesting case study regarding the effectiveness of NPIs due to its large population size, archipelagic geography, and scale of the informal sector. Despite also being among the countries worst hit by COVID-19, especially in the Southeast Asian region, very few studies have assessed the impact and effectiveness of NPIs in Indonesia. This phenomenon has contributed to a policy gap, as policymakers are not armed with clear and comprehensive knowledge of the effects of NPIs. As the number of cases in Indonesia has not undergone peaks and waves as much as in other countries, instead facing a gradual increase, our study also sheds light on the unique case of Indonesia with its never-ending “first wave” of cases. The remainder of this paper is organized as follows. Section 2 reviews the existing literature, and Section 3 describes data and empirical strategies. Section 4 details the proposed policy evaluation, while the final section provides our concluding remarks.
2. Literature review
Previous studies have used aggregate mobility data to assess the impact of government restrictions on mobility restrictions. Using the Google aggregate mobility dataset, Mendolia et al. (2021) concluded that 14% of worldwide mobility reductions were due to voluntary mobility restrictions, while the rest is the result of government action. Employing a generalized linear model and mobility data from Apple and Google, Snoeijer et al. (2021) found that implementing lockdown measures and limiting public gatherings had the greatest effect on the rate of mobility change in a 123 countries. In contrast, Chetty et al. (2020) found that reopening businesses did not substantially increase mobility in the United States even though the COVID-19 cases remained high as people voluntarily reduced their mobility to minimize the risk of contagion. This tendency was especially true for people in the higher-income bracket. Jacobson et al. (2020) used Google Mobility data and found that each state in the United States had 30–40% fewer visits to transit stations, retail and recreational facilities, workplaces, groceries, and pharmacies at the end of March 2020 compared to two months before.
Likewise, Maire (2020) found that strict COVID-19 control systems implemented in 118 countries during spring of 2020 substantially reduced individual mobility. Analyzing the relationship between the stringency index (a measure of the strictness of a country’s mobility restriction policy) and mobility decline, they found that the stringency index reduced mobility by 0.7–1.3% in upper, middle-and high-income countries and 0.5–1.2% in low- and middle-income countries. The effect was more substantial during the second lockdown (April to May 2020). Extreme poverty, risk perception calculated by the number of new COVID-19 cases and deaths, the share of vulnerable workers, the number of hospital beds, the proportion of young people in the country, and population density contributed to this result. Lower-income countries exhibited weaker responses. Additionally, Lapatinas (2020) used the DiD method to estimate whether reductions in out-of-home social activities and visits to public and private sites were affected by the range of restrictive policies implemented by the European Union (EU) member states. The study showed that partial lockdowns (reduced mobility by 5–36%) and complete lockdowns (reduced mobility by 9–36%) had the greatest causal impact on increasing presence at home (4–5%) and decreasing visits to workplaces, public transportation hubs, grocery stores, pharmacies, open public spaces, restaurants, cafes, shopping centers, theme parks, museums, and libraries. The effect of closing public services and schools was significant, albeit on a smaller scale. Regulation interventions in the EU, such as those targeting large gatherings, seem to have had no direct causal effect on general mobility patterns but may have affected social distancing conduct.
Another strand in the literature focused on directly measuring the impact of COVID-19 and NPIs on the economy. Chetty et al. (2020) showed that the impact of COVID-19 on economic activity in the first three months after its outbreak was largely driven by a reduction in spending by higher-income individuals due to health concerns rather than a reduction in income or wealth. Most of the reduction in spending depended on reduced consumption of goods or services that required in-person physical interaction, such as hotels, transportation, and food services. The second impact was revenue loss for businesses catering to those customers, which ultimately reduced the income and expenditure levels of low-wage employees of those businesses. Third, a chain of events led to substantial employment losses following the COVID-19 outbreak. Chetty et al. (2020) found that employment rates fell by 36% around the trough of the COVID-19 recession (April 15, 2020) for workers with wage rates in the bottom quartile of the pre-pandemic wage distribution. In contrast, employment rates fell by 14% for those in the top wage quartile.
What explains the relationship between mobility, COVID-19, and NPIs? Chernozhukov et al. (2021) demonstrated that policy changes account for a significant portion of the observed changes in social distancing behavior. Without stay-at-home orders, cases in the United States would have increased by 6–63%, and without enterprise closures, cases would have increased by 17–78%, according to the Structural Equation Modeling and counterfactual policies simulation. Furthermore, Beck et al. (2020) discovered that income and employment characteristics influence people's willingness to telework, with high-income individuals having a higher chance of doing so, while technical and trade jobs are likely to enhance out-of-home work participation. Likewise, they discovered that residents of metropolitan regions were more likely to telework during the pandemic. Hotle et al. (2020) discovered that those who perceived a high or medium risk of COVID-19 were more likely to stay at home, avoid public areas, and avoid using public transportation in the United States.
In the context of Indonesia, several factors affected people's mobility during periods of social restrictions. However, three months after implementing social restriction policies, the government announced and described the condition as the “new normal era.” Irawan et al. (2020) studied people’s intentions of participating in outdoor activities using the ordered logistic regression method, and reported that people who perceived COVID-19 as a dangerous and severe disease were more likely to go out for grocery shopping in the new normal period. Additionally, people used ICT in their daily lives throughout the pandemic, including work, education, and shopping, and shifted numerous outside activities to the virtual realm. As a result, ICT adoption can be expected to affect people's mobility. Perceived pandemic dangers also influence people's decision to venture outside. Subsequently, Irawan et al. (2021) also discovered that decreased mobility frequency during the COVID-19 pandemic was associated with increased nonparticipation in out-of-home activities. Those who believe COVID-19 to be a significant concern and people who engage in health-promoting behaviors such as physical distancing, washing hands with soap or sanitizer, and others have all demonstrated a higher avoidance of out-of-home activities during the pandemic. Similarly, an indirect effect of travel frequency prior to the pandemic on activity-travel behavior change has also been found to occur (Irawan et al., 2021).
3. Materials and methods
We exploit the open data obtained from Facebook movement range maps under the Facebook Data for Good Initiative to investigate the variation in movement after the introduction of NPIs in Indonesia. To obtain control variables for empirical analysis, we match public mobility data with regency and city-level data from the March 2019 Indonesian National Socioeconomic Survey (SUSENAS). Causal DiD and RDD analysis of the impact of NPIs on mobility is conducted based on information from these two datasets. The causal analysis covers 480 cities and regencies across Indonesia from March 1, 2020, to January 18, 2021. The level of restriction stringency is comparable across cities and regencies as local governments are required to abide by a universal procedural guidelines released by the central government if they were to implement NPIs.
The mobility metric from Facebook movement range maps is used for empirical analysis and is obtained from the GPS spot history of Facebook users who use the location history functionality. These data are then anonymized by applying different confidentiality methods. The final information reports two-movement variables: the change in movement metric and the “stay put” metric. The former calculates how much people move by counting the number of level-16 Bing tiles (approximately 600 m × 600 m in the area at the equator) within a day (Herdağdelen et al., 2020).
The aggregate number of tiles visited is then divided by the total number of people in the area to generate the average number of tiles visited for an area in a given day. This number is then compared with a similar number during the baseline period (February 2, 2020–February 29, 2020), to create a normalized index of aggregate mobility change. Change in mobility is thus calculated in the following manner:
| (1) | 
The “stay put” metric captures those who stay near or at home by quantifying the percentage of users who are only noticed in one single level-16 Bing tile in a day. In this paper, only the change in movement metric is utilized. For the purposes of this paper, data from Facebook movement range maps is herewith referred to as “Facebook mobility data” and change in mobility is referred to as “aggregate mobility”.
The dataset is available up to the subnational level, comprising cities and regencies in Indonesia with more than 200 location-traceable Facebook users. This approach guarantees that the total mobility data for each regency and city comprise at least 200 people. There are several reasons to opt for aggregate mobility data obtained from Facebook. First, as the data are available at the city and regency levels, they allow a more detailed and granular analysis. Aggregate mobility data from other sources are only available up to the provincial level in Indonesia. Second, Facebook aggregate mobility data clearly describe the variables and measurement process, which minimizes the likelihood of flawed and biased interpretations.
For basic descriptive analysis, we also utilize data from Google COVID-19 Community Mobility Reports, herewith referred to as “Google mobility data”. In the dataset, mobility is broken down based on locations: retail and recreation, grocery and pharmacy, parks, transit stations, workplaces, and residential areas (Google, 2021). Except for residential mobility, mobility in the dataset is defined as the change in number of visits to respective locations relative to pre-pandemic January-February 2020 baseline. Residential mobility is defined as the change in time spent at home relative to pre-pandemic baseline.
In the second section, we show that the effects of NPIs differ across three primary periods. The first proposed model addresses the period from March 1, 2020 to May 23, 2020. In this timeframe, many local governments instituted NPIs at different times. This requires the use of a staggered DiD model to capture the treatment effect across varying time periods. As such, we follow the model Wright et al. (2020) to capture the staggered introduction of NPIs in cities and regencies.
We employ the following model:
| (2) | 
where psbb_period indicates whether an NPI regime is active in a certain city or regency on a particular day, date describes the time fixed effects, while cityregency reflects the city/regency fixed effects. The coefficient for psbb_period expresses the average treatment effect of a PSBB intervention on aggregate mobility. We also estimate the DiD regression using fixed effects to reduce the potential omitted variable bias caused by excluding the unobserved variables that evolve over time, but are constant across entities and city- or regency-specific intercepts.
We then estimate the impact of other NPIs, such as the PSBB II (September–November 2020) and PPKM (January–February 2021), using a standard DiD model as the PSBB II and PPKM started in the same period and were only instituted in some provinces, in Java or Bali. We estimate the following Model 1 for PSBB:
| (3) | 
where psbb_period is a time dummy variable (0 = period before psbb, and 1 = period after psbb), psbb is the policy intervention treatment variable, psbb_period*psbb is the “DiD variable,” which consists of the interaction between time and the intervention dummy variable, per capita expenditure is the logarithmic value of per capita expenditure (PCE) at the district level, high_urban is a dummy variable (0 = the percentage of the population in urban areas is below 50%, and 1 = the percentage of the population in urban areas is above 50%), psbb*COVID19_cases is the interaction variable between the treatment and number of COVID-19 cases seven days before the date, and e is the error term. A DiD model using PPKM as an explanatory variable is also estimated using the same approach but with different treatment and time variables in Model 1 for PPKM:
| (4) | 
where ppkm_period is a time dummy variable (0 = period before ppkm, and 1 = period after ppkm), ppkm is the policy intervention treatment variable, ppkm_period*ppkm is the “DiD variable,” which consists of the interaction between time and the intervention dummy variable. The DiD variable indicates the average treatment effect of the policy intervention studied, in this case the effect of the PPKM.
Furthermore, we modify the estimation models by adding or replacing various control variables, including the population density at the district level, the number of COVID-19 cases in period t, and the interaction between the PSBB policy and COVID-19 cases in period t as a robustness check. As a result, we employ five different DiD models to estimate the impact of the PSBB and PPKM (NPI) on the movement as shown in Appendix Tables A3 and A4.
Additionally, we quantify movement range changes using the Regression Discontinuity Design (RDD) for the PPKM intervention in January 2021. The advantage of this technique is that we can determine if a policy produces more outcomes than it does without using a randomized trial. When a policy is implemented in a given location, some households or individuals will adhere to or defy the policy. Using Satyakti (2020) and Imbens and Lemieux (2008) RDD framework, we can demonstrate that this treatment policy will have a randomized effect in conjunction with the policy that forces individuals to limit their mobility. We may estimate the leaped line on the x-axis using the localized treatment impact for those who follow the rule as a threshold or cut-off value. If there is a difference between these two threshold values, we can determine how the result will deviate from the local estimation. Table 1 below summarized all the variables used within this study:
Table 1.
Description of variables.
| Variable | Description | Source | 
|---|---|---|
| Dependent Variable: | ||
| Aggregate number of tiles visited divided by the total number of people in the area for a given day | Data for Good – Facebook (2021) | |
| Independent Variable: | ||
| and | Time variable. Dummy for NPIs period; 1 = PSBB or PPKM already started, 0 = otherwise | Compiled from various government sources | 
| and | Treatment variable. Dummy for regions with NPIs; 1 = PSBB or PPKM was implemented in the region, 0 = otherwise | Compiled from various government sources | 
| and | Interaction variable between time and treatment variable | Compiled from various government sources | 
| Logarithmic value of per capita expenditure; aggregated from household level to district level | SUSENAS | |
| Dummy variable for districts that have more than 50% of the population living in urban areas | SUSENAS | |
| Total population per unit area | CEIC (2021a) | |
| Lagged COVID-19 cases. Number of the COVID-19 cases at provincial level for 7 days lag, where cases in period t = cases in period t-7 | CEIC (2021b) | |
| and | Interaction between NPIs dummy variable and lagged COVID-19 cases | Various government sources and CEIC (2021a) | 
| Number of the COVID-19 cases at provincial level in period t | CEIC (2021b) | |
| and | Interaction between NPIs dummy variable and COVID-19 cases | Various government sources and CEIC | 
4. Results and discussion
This section reports the descriptive analysis and assessment of the effect of NPIs using a staggered DiD model and the estimation of the effects of NPIs based on three periods using a standard DiD model. We begin by providing a basic descriptive analysis of the dataset used.
The Fig. 1 shows the national population-weighted average change in mobility (smoothed 7-day moving average), from March 8, 2020 to January 23, 2021 based on Facebook mobility data. During the early phases of the pandemic, mobility declined rapidly due to uncertainty regarding the spread of the pandemic and much lower levels of lockdown fatigue. Cities, regencies, and provinces all across Indonesia began to impose NPIs (PSBB I) starting in April 2020. Beginning in May 2020, aggregate mobility increased coinciding with restriction relaxations and Eid Fitr celebrations and approached baseline pre-COVID-19 levels by August. However, this was interrupted by the resurgence in COVID-19 cases in September 2020 as can be seen on Fig. 2 . However, only the province Jakarta and Banten reimposed stricter NPIs in PSBB II and mobility began to recover in the months afterward as the number of new cases declined. Another spike in the number of new cases in January 2021 led to the reintroduction of NPIs (PPKM) in the entire islands of Java and Bali. Summary statistics of aggregate mobility change is provided in the table below, divided into three distinct periods.
Fig. 1.
Aggregate Change in National Mobility relative to February 2020 Baseline (smoothed 7-day moving average).
Fig. 2.
Number of New COVID-19 Cases in Indonesia.
To complement the basic descriptive analysis using Facebook mobility data, we also provide descriptive analysis with mobility metrics from Google mobility data. While the two are not directly comparable, Google mobility data possess the advantage of being further broken down by location. This allows basic descriptive analysis of the drivers of aggregate mobility. The Fig. 3 shows that mobility changes are heterogenous with respect to different types of locations. Mobility in places of retail and recreation, workplaces, and transit stations declined substantially after the start pandemic and has yet to return to the baseline level. Mobility in parks, grocery and pharmacy locations declined far less and has in fact returned closer to baseline levels, suggesting that mobility in these locations remain crucial and largely unaffected in the midst of COVID-19. This is in line with findings from Irawan et al. (2020) which show that people’s motivation to conduct grocery shopping outside is unaltered during the pandemic as grocery needs are considered essential and more significant than the risk of contracting COVID-19. They argued that grocery shopping is important – since the majority of people require daily basics such as food – and that the risk of disease did not deter individuals from venturing outside during the pandemic. Based on their age features, older adults were more inclined to stay at home and avoid outside leisure activities, even after social restrictions were lifted. Younger people, those who lived in households with a large proportion of motorbike and vehicle owners, and those who did a lot of internet shopping for fresh food during the pandemic, were more likely to engage in outside eating activities under the new normal conditions. Residential mobility (defined as time spent at home) remained elevated since March as people increase the time spent at home in lieu of participating in other outdoor activities (Fig. 3).
Fig. 3.
Aggregate Change in National Mobility by Location relative to January-February 2020 Baseline (smoothed 7-day moving average).
Fig. 4.
Map of Cities or Regencies that Implemented NPIs.
Additionally, as can be seen on the map in the Fig. 4 , most NPIs were only applied to cities and regencies in Java, owing to its high population density and concentration of economic activities. Nevertheless, cities and regencies outside Java are still included in the analysis as they provide important counterfactual estimates of change in mobility without. Further information regarding the level of stringency and the cities or regencies implementing NPIs are provided in the Tables A1 and A2.
4.1. Policy evaluation of initial mobility restrictions: Staggered DiD of PSBB I from March 1, 2020 to May 23, 2020
The staggered DiD estimation results in Table 3 indicate a significant and negative effect of NPIs on mobility from March 1, 2020 to May 23, 2020, as shown by the coefficient of the DiD variable psbb_period ( = −0.544, p = 0.000). A city or regency imposing an NPI during this period will, on average, reduce mobility by 5.44% more than cities or regencies that do not impose an NPI. This result is in line with Wright et al. (2020), who find that NPIs reduce mobility by 3.2% compared to the counties without NPI implementation in the United States, smaller than the mobility effects of lockdowns imposed in EU member states found by Lapatinas (2020). As a city or regency in Indonesia experienced, on average, total mobility decline equal of 21% relative to February baseline during this period as depicted in Table 2 , NPIs therefore account for a small part of the decline in mobility. This result suggests that most mobility decline is caused by community and behavioral factors, pointing to either the ineffectiveness or redundancy of NPIs. For Indonesia, the former effect is more likely because of the large size of the informal sector, poor NPI enforcement, and comparatively small size of social assistance. This finding is also in line with Maire (2020), who shows that the impact of higher NPI stringency on mobility decreases in low- and middle-income countries. Additionally, Irawan et al. (2021) observed that people with a lower trip frequency prior to the pandemic were found to be less likely to travel during the pandemic, resulting in a bigger shift in activity-travel behavior. When attitudes, descriptive norms, and protective behaviors are considered in relation to ICT usage, individuals who exhibit favorable protective behaviors regarding COVID-19 have a tendency to enhance their involvement in teleworking or e-learning and decrease their reliance on ride-hailing. In essence, those with a greater income, who reside in urban areas, use ICT more frequently, and have a protective attitude about COVID-19 are more likely to limit their movement during a pandemic.
Table 3.
Staggered DiD results of PSBB I (March 1–May 23, 2020).
| Variables | (1) | 
|---|---|
| psbb_period | −0.544*** | 
| (0.003) | |
| City/regency fixed effects | YES | 
| Time fixed effects (day) | YES | 
| Observations | 40,239 | 
| R-squared | 0.764 | 
Notes: Standard errors in parentheses, *** p < 0.01, ** p < 0.05, * p < 0.1.
Table 2.
Summary statistics of change in mobility.
| (PSBB I) | (PSBB II) | (PPKM) | |
|---|---|---|---|
| March 1st–May 23rd | May 24th–September 13th | September 14th–January 18th | |
| Mean | −21% | −9% | −9% | 
| Standard Deviation | 0.124 | 0.054 | 0.030 | 
| Minimum | −42% | −24% | −19% | 
| Maximum | 3% | 1% | −1% | 
| T (days) | 84 | 113 | 127 | 
| N (cities/regencies) | 480 | 480 | 480 | 
| Total Observations (T × N) | 40,320 | 54,240 | 60,960 | 
4.2. Policy evaluation of initial mobility restriction: DiD estimation of PSBB II and PPKM from September 13, 2020 to February 8, 2021
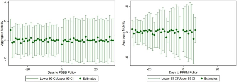
We first assess pre-treatment changes in aggregate mobility, as shown in Fig. 5 , using an event study design based on leads and lags of PSBB II and PPKM policy changes. This is necessary to assess whether there was any anticipation effect, which may lead to bias in the DiD results. As has been explained in the introduction, PSBB II restrictions were in place in DKI Jakarta and Banten Provinces from September 13, 2020 to November 22, 2020. The first PPKM was put in place from January 11, 2021 to February 8, 2021 in all districts or cities of Java and Bali, in response to high mobility during the national holidays. We find no evidence of anticipation effects during PSBB II as aggregate mobility within the study’s 30-day window reflects a small fluctuation in shifts away from zero. However, during the PPKM, the fluctuation in aggregate mobility is more extensive, in part due to a spike in the number of cases. The movement range has decreased in January 2021 when the PPKM has been implemented in the Jawa-Bali region.
Fig. 5.
Event Studies using leads and lags of PSBB II and PPKM policy changes.
Fig. 6 shows that the treatment group’s decline in aggregate mobility is higher than that of the control group. However, the aggregate mobility in the treatment group is lower than that in the control group after the pre-PSBB policy. Furthermore, before addressing the policy impact empirically, we investigate the parallel trends assumption to ensure the validity of the DiD estimation. The figure shows the pre-treatment data, where the treatment and control groups have the same pattern in aggregate mobility. Since the inception of the PSBB II on September 13, 2020, the aggregate mobility of the treatment and control groups show a similar pattern. After October 2020, the aggregate mobility for the control and treatment groups has begun to converge. This phenomenon indicates that the treatment effect (the PSBB II policy) is significant during the observation period. In addition, the parallel trend assumption graph seems to show similar results compared to the event studies, as the fluctuation of aggregate mobility after the PSBB II policy is not large.
Fig. 6.
DiD Graph of PSBB II (September 13– November 22, 2020, by month).
In this section, we estimate the DiD regression with the absorb regression method (regression with many dummy variables: region and time intercept), so the region and time fixed effects can be investigated separately because there is an abundance of variables that act as the intercept. The impact of NPIs on aggregate mobility can be observed in the interaction variable between the treatment and time (PSBB*PRBB Period or PPKM*PPKM Period). This study conducts three estimations, depending on the time period: (1) full period, that is entire time span of the dataset; (2) 30-days window, which measures the impact of NPIs in 30 days before and after the implementation of NPIs; (3) 14-days window which measures the impact of NPIs in 14 days before and after the implementation of NPIs. For example, DiD coefficient for the 30-days window estimates the average treatment effect for 30 days after the PSBB II. In our estimation, we rely on two sets of samples: all-region, consisting of all 480 cities and regencies covered in the dataset, and Java-Bali, composed of only cities and regencies in Java and Bali. In the region fixed effects model and using the all-region sample, Table 4 shows that the PSBB II policy has significantly decreased aggregate mobility in Jakarta and Banten compared to other cities and regencies in Indonesia by as much as 1.9%, 1.8%, and 2.9% in the full-period, 30-days window, and 14-days window, respectively.
Table 4.
DiD results of PSBB II (September 13–November 22, 2020).
| 
Panel A. Mobility Outcome with Region Fixed
Effects | ||||||
|---|---|---|---|---|---|---|
| All Regions | 
Jawa-Bali Region | 
|||||
| VARIABLES | Full Period | 30 Days | 14 Days | Full Period | 30 Days | 14 Days | 
| PSBB = 1 | −0.016*** | −0.011*** | −0.011** | −0.006** | −0.012*** | −0.010*** | 
| (0.002) | (0.003) | (0.005) | (0.002) | (0.003) | (0.004) | |
| PSBB Period = 1 | 0.064*** | −0.023*** | −0.014*** | 0.043*** | −0.042*** | −0.031*** | 
| (0.001) | (0.001) | (0.001) | (0.001) | (0.001) | (0.001) | |
| PSBB*PSBB Period | −0.019*** | −0.018*** | −0.029*** | −0.004 | −0.002 | −0.015*** | 
| (0.004) | (0.004) | (0.005) | (0.004) | (0.003) | (0.004) | |
| Log of Per capita Expenditure | −0.073*** | −0.077*** | −0.076*** | −0.133*** | −0.125*** | −0.129*** | 
| (0.001) | (0.001) | (0.002) | (0.002) | (0.002) | (0.002) | |
| PSBB*Lag of COVID-19 Cases | −0.000*** | −0.001*** | −0.001*** | −0.000*** | −0.000*** | −0.000*** | 
| (0.000) | (0.000) | (0.000) | (0.000) | (0.000) | (0.000) | |
| High Urban | −0.018*** | −0.016*** | −0.017*** | 0.008*** | 0.001 | 0.001 | 
| (0.001) | (0.001) | (0.001) | (0.00136) | (0.001) | (0.001) | |
| Constant | 0.899*** | 1.041*** | 1.009*** | 1.690*** | 1.678*** | 1.725*** | 
| (0.019) | (0.019) | (0.022) | (0.032) | (0.026) | (0.030) | |
| Region Fixed Effects (Island) | YES | YES | YES | YES | YES | YES | 
| Observations | 155,028 | 61,205 | 40,633 | 41,148 | 16,256 | 10,795 | 
| R-squared | 0.174 | 0.304 | 0.318 | 0.183 | 0.476 | 0.517 | 
| 
Panel B. Mobility Outcome with Time Fixed Effects | ||||||
|---|---|---|---|---|---|---|
| All Regions | 
Jawa-Bali Region | 
|||||
| VARIABLES | Full Period | 30 days | 14 days | Full Period | 30 days | 14 days | 
| PSBB = 1 | −0.045*** | −0.040*** | −0.035*** | 0.003** | −0.002 | 0.000 | 
| (0.001) | (0.003) | (0.005) | (0.001) | (0.003) | (0.004) | |
| PSBB Period = 1 | 0.020*** | 0.020*** | 0.020*** | −0.019*** | −0.019*** | −0.018*** | 
| (0.004) | (0.003) | (0.003) | (0.006) | (0.005) | (0.005) | |
| PSBB*PSBB Period | −0.010*** | −0.016*** | −0.028*** | 0.002 | −0.002 | −0.014*** | 
| (0.003) | (0.004) | (0.005) | (0.002) | (0.003) | (0.004) | |
| Log of Per capita Expenditure | −0.053*** | −0.063*** | −0.066*** | −0.141*** | −0.135*** | −0.139*** | 
| (0.001) | (0.001) | (0.001) | (0.001) | (0.002) | (0.002) | |
| PSBB*Lag of COVID-19 Cases | −0.001*** | −0.001*** | −0.001*** | −0.000*** | −0.000*** | −0.001*** | 
| (0.000) | (0.000) | (0.000) | (0.000) | (0.000) | (0.000) | |
| High Urban | −0.036*** | −0.035*** | −0.033*** | 0.009*** | 0.003** | 0.003** | 
| (0.001) | (0.001) | (0.001) | (0.001) | (0.001) | (0.001) | |
| Constant | 0.647*** | 0.827*** | 0.854*** | 1.829*** | 1.791*** | 1.842*** | 
| (0.012) | (0.017) | (0.020) | (0.019) | (0.026) | (0.030) | |
| Time Fixed Effects (Week) | YES | YES | YES | YES | YES | YES | 
| Observations | 155,028 | 61,205 | 40,633 | 41,148 | 16,256 | 10,795 | 
| R-squared | 0.583 | 0.269 | 0.278 | 0.701 | 0.474 | 0.528 | 
Notes: Standard errors in parentheses. *, **, and *** denote statistical significance at the 10, 5, and 1%, respectively. Each outcome is controlled for region fixed effects, and the regression employs absorbed variation at the island level.
Notes: Standard errors in parentheses. *, **, and *** denote statistical significance at the 10, 5, and 1%, respectively. Each outcome is controlled for time fixed effects, and the regression employs absorbed variation in the weekly time period.
Interestingly, for the Java-Bali sample, only the coefficient for the 14-days windows is significant at reducing mobility by 1.5%. This may be due to the fact that the entire islands of Java and Bali also experienced mobility declines at the same time as Jakarta and Banten reimposed policy restrictions (but not other cities or regencies). Overall, this effect is much lower than that associated with the lockdown in Spain, where transportation mobility has been reduced up to 76% (Aloi et al., 2020). The PSBB II policy only restricts mobility. However, this estimate aligns with Engle et al. (2020), who state that reduced mobility in the United States due to the stay-at-home policy has decreased mobility by 7.87%. An increase in local infection rate by 0.003% is associated with a 2.31% reduction in mobility after the social distancing policy implementation. The influence of the PSBB is more significant in all areas of the Java-Bali zone than in the whole region, while the restrictions have only been imposed in two major cities, Jakarta and Banten. The coefficient on the interaction between the implementation of the PSBB II and the COVID-19 cases lagged variable also shows that districts where the PSBB II has been implemented have experienced a decreasing movement range. It also indicates that the movement range is influenced by the COVID-19 cases a week earlier and the implementation of the PSBB II policy.
In terms of district characteristics, the shifts in the number of movements attributed to the PSBB II are also affected by the district per capita spending, where districts with high PCE tend to experience a substantial decline in the range of movement. This effect is also consistent with Weill et al. (2020), who state that wealthier areas in the United States have reduced mobility and contact with other people, while those living in impoverished regions are less likely to reduce mobility or implement social distancing. A higher decrease in the range of movement is found in the Java-Bali region than in the entire sample, suggesting that this aspect is more prominent in the Java-Bali area. Districts with more than 50% of the population residing in urban areas tend to experience a decline in the range of movement, with a more significant effect in all regions.
In an alternative model specification (Model 2–6 in Table A3), the coefficients on the DiD variable, namely, the interaction between the PSBB and time, show similar results, indicating a significant decrease in the movement range. These findings also confirm the robustness of the proposed model, as the DiD coefficients show a negative impact in all model specifications. As mentioned above, several variables are added to the original model: population density, the interaction between the PSBB and the number of COVID-19 cases on the same day, and the lag of COVID-19 cases (without interaction). Population density reduces the movement range and direct economic transactions due to residents’ worries about leaving the house, as shown by Yang et al. (2020). In contrast, the interaction between the PSBB and the COVID-19 cases on the same day and the COVID-19 case lag variable (without interaction) show inconsistent results. Hence, the PSBB interaction variable and the lagged COVID-19 cases are more suitable for inclusion in the primary model specifications.
In general, all model specifications suggest that the effect of the PSBB interaction, with the lag of COVID-19 cases, and the implementation time are negative and significant, suggesting that the PSBB II decreases the range of movement. In addition, the sampling duration affects the impact of the PSBB on the movement range, where the 14–day sample shows the largest decrease in the range of movement. This result suggests that the policy impact is more evident near its adoption. The impact of mobility restrictions tends to decay over time and is most effective during periods closest to the beginning of implementation. However, this finding contradicts Wellenius et al. (2020), who contend that the mobility reduction is accumulated more than one week after the policy implementation.
As mentioned above, not all areas in Indonesia have immediately resorted to NPIs to contain the spread of the pandemic. Furthermore, their enforcement has been relatively lax due to poor institutional capacity and the inability of certain population segments to abide by NPIs. The NPIs introduced between April and May 2020 were the strictest, involving complete lockdowns in certain areas. After May 23, 2020, restrictions were slowly phased out, especially after the end of the Eid Fitr holiday, with the government announcing the so-called “New Normal.” Restrictions have been slowly lifted in the hope that the spread of COVID-19 could be contained through voluntary social distancing, with minimal damage to the economy. Mobility has sharply increased during this period, reaching its apex in August 2020, during the Independence Day holidays (August 17, 2020). This phenomenon has resulted in a high number of new infection cases and deaths all over Indonesia. The capital city provinces of Jakarta and Banten have been forced to reinstitute strict NPIs since September 14, 2020 (PSBB II). No other cities or regencies have operated similar restrictions. As a result of the PSBB II, mobility has declined significantly since September, following the lockdowns in Jakarta and Banten and the rising number of cases. Mobility has slowly recovered afterward, leading to a further increase in the number of cases and deaths.
The impact of PPKM policies aggregate mobility is estimated for the entire sample because PPKM was introduced in both Java and Bali, and the results of our estimation are shown in Table 5 . In the model with time fixed effects, PPKM has significantly reduced aggregate mobility of cities and regencies in Java and Bali by −0.6% (30-days window) to −2.1% (full-period) more compared to other cities and regencies in Indonesia, based on the mobility outcome with time fixed effect (Panel B). The PPKM effect is lower than the impact of the PSBB II policy because the former was only implemented in January 2021 for a limited period. The coefficients on the interaction between the PPKM enforcement and the COVID-19 lagged variable also show that districts where the PPKM has been implemented experience a decreasing movement range. Aggregate mobility is also influenced by the number of COVID-19 cases a week before and the implementation of PPKM policies (Table 5).
Table 5.
DiD Results of PPKM (January 11–16, 2021).
| 
Panel A. Mobility Outcome with Region Fixed
Effects | |||
|---|---|---|---|
| All Regions | 
|||
| VARIABLES | Full Period | 30 Days | 14 Days | 
| PPKM = 1 | −0.129*** | −0.097*** | −0.089*** | 
| (0.002) | (0.005) | (0.007) | |
| PPKM Period = 1 | 0.006*** | −0.071*** | −0.068*** | 
| (0.002) | (0.002) | (0.002) | |
| PPKM*PPKM Period | −0.100*** | −0.001 | 0.001 | 
| (0.004) | (0.003) | (0.004) | |
| Log of Per capita Expenditure | −0.072*** | −0.065*** | −0.068*** | 
| (0.001) | (0.003) | (0.004) | |
| PPKM*Lag of COVID-19 Cases | 0.001*** | −0.000*** | −0.000*** | 
| (0.000) | (0.000) | (0.000) | |
| High Urban | −0.015*** | −0.015*** | −0.018*** | 
| (0.001) | (0.002) | (0.002) | |
| Constant | 0.942*** | 0.909*** | 0.950*** | 
| (0.019) | (0.040) | (0.055) | |
| Region Fixed Effects (Island) | YES | YES | YES | 
| Observations | 155,028 | 18,622 | 10,496 | 
| R-squared | 0.127 | 0.378 | 0.397 | 
| 
Panel B. Mobility Outcome with Time Fixed Effects | |||
|---|---|---|---|
| All Regions | 
|||
| VARIABLES | Full Period | 30 Days | 14 Days | 
| PPKM = 1 | −0.044*** | −0.081*** | −0.085*** | 
| (0.001) | (0.003) | (0.004) | |
| PPKM Period = 1 | −0.012*** | −0.016*** | −0.017*** | 
| (0.004) | (0.004) | (0.004) | |
| PPKM*PPKM Period | −0.021*** | −0.006* | −0.001 | 
| (0.003) | (0.003) | (0.004) | |
| Log of Per capita Expenditure | −0.078*** | −0.067*** | −0.070*** | 
| (0.001) | (0.003) | (0.004) | |
| PPKM*Lag of COVID-19 Cases | −0.000*** | −0.000*** | −0.000*** | 
| (0.000) | (0.000) | (0.000) | |
| High Urban | −0.013*** | −0.014*** | −0.015*** | 
| (0.001) | (0.002) | (0.002) | |
| Constant | 1.008*** | 0.924*** | 0.948*** | 
| (0.011) | (0.036) | (0.050) | |
| Time Fixed Effects (Week) | YES | YES | YES | 
| Observations | 155,028 | 18,622 | 10,496 | 
| R-squared | 0.612 | 0.365 | 0.379 | 
Notes: Standard errors in parentheses. *, **, and *** denote statistical significance at the 10, 5, and 1%, respectively. Each outcome is controlled for region fixed effects, and the regression employs absorbed variation at the island level.
Notes: Standard errors in parentheses. *, **, and *** denote statistical significance at the 10, 5, and 1%, respectively. Each outcome is controlled for time fixed effects, and the regression employs absorbed variation in the weekly period.
Table 6.
RDD Results of PPKM (January 11–16, 2021).
| (1) | (2) | (3) | (4) | |
|---|---|---|---|---|
| VARIABLES | Movement Range (Full Region) | Movement Range (Jawa-Bali Region) | Movement Range (Jakarta City Only) | Movement Range (Bali Province Only) | 
| RD_Estimate | 0.031*** | 0.036*** | 0.018 | 0.024 | 
| (0.007) | (0.011) | (0.015) | (0.028) | |
| Observations | 23,409 | 6,223 | 245 | 441 | 
Notes: Standard errors in parentheses. *, **, and *** denote statistical significance at the 10, 5, and 1%, respectively.
At district level, changes in the movement range due to the PPKM are also influenced by PCE from the districts. Those with high PCE, meaning higher consumption, and wealthier districts tend to decrease their movement range. The largest reduction in the movement range is observed during the whole sample. This result is consistent with Wellenius et al. (2020), who show that a longer period before and after social distancing results in a higher reduction in mobility and case growth. In comparison, districts with more than 50% of the population residing in urban areas witness a 1% decline in the movement range.
In another model specification (Model 2–6 in Table A.4), the DiD effect, the coefficient on the interaction between the PPKM and time, also indicates a significant reduction in the movement range. Several variables are added to the model: the population density, interactions between the PPKM and COVID-19 cases on the same day, and the lag of COVID-19 cases (without interaction). Population density reduces movement range due to residents’ worries about leaving the house. The interaction between the PPKM and COVID-19 cases on the same day and the lag of COVID-19 cases (without interaction) show inconsistent results; therefore, we conclude that the PPKM interaction variables and the lagged COVID-19 cases are more suitable variables to be included in the primary model specifications.
All model specifications suggest that the relationship between the PPKM and its implementation time is negative and significant, implying that the PPKM decreases the range of movement. The impact of the PPKM on mobility varies across the sample period, where the full sample indicates the highest reduction in the range of movement. This finding suggests that the reduction in the movement range caused by PPKM policies is slightly greater over a more extended period. The presence of national holidays at the end of 2020 and the beginning of 2021 may have substantially impacted the study’s results, lowering the estimated impact of movement restrictions.
As an additional robustness check, we then employ RDD Model of the simple Sharp RDD Robust method to estimate the impact of PPKM Policy on movement range (Table 6 ). We use date as the running variable to the movement range, where the observation start on December 1st, 2020 to January 16th, 2021. Same with the above estimation, PPKM began on January 11th, 2021. Without any control covariates, the mobility of the treatment group (city or regency which implemented PPKM Policy) was found to have experienced increased of 3.1% (full region sample) or 3.6% (Jawa-Bali region sample) point around the cut-off point of the PPKM Policy start date. However, there are no significant changes in the movement range for smaller samples: Jakarta City and Bali Province. These two results indicate that the PPKM policy has very little (or even positive) impact on aggregate mobility.
According to Figs. 7 and 8 , the overall trend of mobility during the PPKM Policy implementation was found to be decreasing. However, there was a modest increase in mobility before the cut-off date (January 11, 2021, the first day of the PPKM Policy), but the movement range remained lower following the PPKM implementation.
Fig. 7.
RDD Graph of PPKM for All Region Sample (January 11–16, 2021).
Fig. 8.
RDD Graph of PPKM for Jawa-Bali Region Sample (January 11–16, 2021).
5. Conclusion
Based on DiD estimates, we found that the PSBB I had significantly reduced mobility by 5.44% more than cities or regencies that did not impose an NPI, a small portion of the total mobility reduction. In contrast, the PSBB II had reduced the movement range in the Java-Bali region by 1.5% and all regions in Indonesia by 1.8%–2.9%, compared to the regions without PSBB II. The movement reduction is not much higher than in other countries because many informal workers in Indonesia cannot work from a distance and have to work outside. The PPKM policy, introduced in January 2021, has had a smaller impact, approximately reduced by 0.6%-2.1% in Java-Bali region, compared to other provinces in Indonesia without the PPKM implementation (based on the time fixed effect outcome). Regarding the impact of PPKM on the movement range, this study has limitations in that relevant data are only available until January 16, 2021, while the PPKM policy has only been introduced on January 11, 2021.
Our findings indicate that the effectiveness of mobility restrictions decreases over time, which we posit is related to the increased cost of social distancing over long periods and the decreasing stringency of the mobility restrictions being imposed. We predict a potential decrease in the intensity of various economic activities, such as small-scale business units. This phenomenon is expected to have a domino effect on income, especially in the informal sector. The government may need better targeted policy assistance for informal workers from low-income groups, as their income depends on day-to-day work outside home. The results of this study also contribute towards filling the gap in the literature, as this study examines the impact of NPIs measure specifically in Indonesia, namely PSBB and PPKM, since the start of the pandemic in March 2020, till January 2021. Other researchers on the subject tend to observe the cross-country analysis or the impact of restrictions during the first quarter of pandemic. However, Indonesia has a unique situation where the first-wave cases did not end even after a full year had passed since the first few cases. Moreover, the population characteristics of Indonesia are different from other countries.
Thus, this study offers more insight into the detailed implications of mobility restriction policy in Indonesia, where the impact of PSBB and PPKM are much smaller compared to other countries. In terms of policy implications, our results indicate it may not be ideal to continuously rely on NPIs to halt the spread of COVID-19, particularly in a developing country. Other complementary policies that increase the incentive for people to stay at home such as income support and stimulus policies may also be critical in enhancing the impact of NPI. Nevertheless, acceleration of mass vaccination of the population in order to generate herd immunity on a massive scale may be the most optimal option for reducing the health impact of COVID-19 and enhancing the pace of recovery.
Finally, this study informs the policy debate regarding the implementation of NPIs and their effects, leading to a more fine-tuned and careful implementation of such policies. Policy implications based on the previous analysis results suggest that to control mobility successfully, the government should enforce tighter mobility restrictions combined with increased social assistance for low-income people; who most of them are in informal sectors.
CRediT authorship contribution statement
Khoirunurrofik Khoirunurrofik: Conceptualization, Methodology, Formal analysis, Supervision, Writing – review & editing, Project administration. Faris Abdurrachman: Conceptualization, Methodology, Data curation, Formal analysis, Writing – original draft. Lovina Aisha Malika Putri: Methodology, Data curation, Formal analysis, Writing – original draft.
Declaration of Competing Interest
The authors declare that they have no known competing financial interests or personal relationships that could have appeared to influence the work reported in this paper.
Acknowledgement
The authors are grateful for the support of the PUTI Grant NKB-2504/2020 of Universitas Indonesia and to the anonymous reviewer(s) for their valuable suggestions..
Appendices
Table A1.
Stringency levels of NPIs in different periods.
| Restrictions | PSBB 1 | PSBB 2 | PPKM | 
|---|---|---|---|
| Mandatory stay-at-home orders | No requirement to remain at home. Recommendation to stay at home by the government. Limitation on number of passengers allowed in a private vehicle. | No requirement to remain at home. Recommendation to stay at home by the government. Limitation on number of passengers allowed in a private vehicle. | No requirement to remain at home. Recommendation to stay at home by the government. | 
| School closure | Schools are closed and all learning activities are to be conducted online. | Schools are closed and all learning activities are to be conducted online. | Schools are closed and all learning activities are to be conducted online. | 
| Closure of places of worship | All places of worship are closed. | Places of worship are only allowed to open at 50% capacity and are obliged to follow mandatory health protocols | Places of worship are only allowed to open at 50% capacity and are obliged to follow mandatory health protocols | 
| Closure of public places | All public places are closed | All public places are closed | All public places are closed | 
| Restrictions at workplaces | All workplaces are to be closed except those of essential sectors (logistics, retail, public order, etc.) | Workplaces are only allowed to open at 25% capacity and are obliged to follow mandatory health protocols | Workplaces are only allowed to open at 25% capacity and are obliged to follow mandatory health protocols | 
| Cancellation of public events | Public events are forbidden. | Public events are forbidden. | Public events are forbidden. | 
| Restrictions on public transportation | Public transportation in operation with limited number of passengers | Public transportation in operation with 50% capacity and reduction in operational hours | Public transportation in operation with capacity and operational hours reduction | 
| Restrictions on movements between cities and/or regions | Mostly forbidden with small number of exceptions. | Travel by air, land, or sea require prior COVID-19 testing | Travel by air, land, or sea require prior COVID-19 testing | 
Table A2.
Places that Implemented NPIs.
| 
PSBB I Provinces : Banten, Jakarta, West Java, West Sumatra, and Gorontalo Cities/Regencies : Bekasi, Regency of Bekasi, Bogor, Regency of Bogor, Depok, Tangerang, Tangerang Selatan, Regency of Tangerang, Banjarmasin, Tarakan, Surabaya, Regency of Sidoarjo, Regency of Gresik, Regency of Gowa, Palangka Raya, Regency of Buol, Malang, Regency of Malang, Batu, Regency of Banjar, Regency of Barito Kuala, Banjarbaru, Pekanbaru Regency of Kampar, Regency of Pelalawan, Regency of Siak, Regency of Bengkalis, Dumai, Palembang, and Prabumulih PSBB 2 Provinces : Banten and Jakarta Cities/Regencies : All district and cities in Banten and Jakarta PPKM Provinces : Banten, Jakarta, West Java, Central Java, Yogyakarta, East Java, and Bali Cities/Regencies : All district and cities in those provinces Source: Author’s compilation from various sources  | 
Table A3.
PSBB II DiD results (All Region).
| (1) | (2) | (3) | (4) | (5) | (6) | |
|---|---|---|---|---|---|---|
| VARIABLES | Movement Range | Movement Range | Movement Range | Movement Range | Movement Range | Movement Range | 
| PSBB = 1 | −0.016*** | −0.010*** | −0.016*** | −0.016*** | −0.011*** | −0.011*** | 
| (0.002) | (0.002) | (0.002) | (0.002) | (0.002) | (0.002) | |
| PSBB Period = 1 | 0.063*** | 0.062*** | 0.064*** | 0.064*** | 0.064*** | 0.064*** | 
| (0.001) | (0.001) | (0.001) | (0.001) | (0.001) | (0.001) | |
| PSBB*PSBB Period | −0.039*** | −0.041*** | −0.019*** | −0.019*** | −0.023*** | −0.022*** | 
| (0.003) | (0.003) | (0.004) | (0.004) | (0.004) | (0.004) | |
| Log of Per capita expenditure | −0.074*** | −0.060*** | −0.073*** | −0.073*** | −0.059*** | −0.059*** | 
| (0.001) | (0.001) | (0.001) | (0.001) | (0.001) | (0.001) | |
| Log of Population Density | −0.013*** | −0.013*** | −0.013*** | |||
| (0.000) | (0.000) | (0.000) | ||||
| Lag of Covid Cases | 0.000*** | 0.000*** | ||||
| (0.000) | (0.000) | |||||
| High urban | −0.018*** | 0.003*** | −0.018*** | −0.018*** | 0.002** | 0.002** | 
| (0.001) | (0.001) | (0.001) | (0.001) | (0.001) | (0.001) | |
| PSBB*Lag of Covid Cases | −0.000*** | −0.000*** | ||||
| (4.06e-08) | (4.03e-08) | |||||
| PSBB*Covid Cases | −0.000*** | −0.000*** | ||||
| (3.76e-08) | (3.74e-08) | |||||
| Constant | 0.911*** | 0.782*** | 0.899*** | 0.899*** | 0.774*** | 0.774*** | 
| (0.019) | (0.019) | (0.019) | (0.019) | (0.019) | (0.019) | |
| Observations | 155,028 | 155,028 | 155,028 | 155,028 | 155,028 | 155,028 | 
| R-squared | 0.174 | 0.186 | 0.174 | 0.174 | 0.186 | 0.186 | 
Note: Standard errors in parentheses, *** p < 0.01, ** p < 0.05, * p < 0.1
Table A4.
PPKM DiD results (All Region).
| (1) | (2) | (3) | (4) | (5) | (6) | |
|---|---|---|---|---|---|---|
| VARIABLES | Movement Range | Movement Range | Movement Range | Movement Range | Movement Range | Movement Range | 
| PPKM = 1 | −0.130*** | −0.127*** | −0.129*** | −0.129*** | −0.126*** | −0.126*** | 
| (0.002) | (0.002) | (0.002) | (0.002) | (0.002) | (0.002) | |
| PPKM Period = 1 | −0.006*** | −0.006*** | 0.006*** | 0.006*** | 0.006*** | 0.006*** | 
| (0.002) | (0.002) | (0.002) | (0.002) | (0.002) | (0.002) | |
| PPKM*PPKM Period | −0.118*** | −0.121*** | −0.100*** | −0.102*** | −0.101*** | −0.103*** | 
| (0.004) | (0.004) | (0.004) | (0.004) | (0.004) | (0.004) | |
| Log of Per capita expenditure | −0.073*** | −0.057*** | −0.072*** | −0.072*** | −0.057*** | −0.057*** | 
| (0.001) | (0.001) | (0.001) | (0.001) | (0.001) | (0.001) | |
| Log of Population Density | −0.014*** | −0.013*** | −0.013*** | |||
| (0.000) | (0.000) | (0.000) | ||||
| Lag of Covid Cases | 0.000*** | 0.000*** | ||||
| (0.000) | (0.000) | |||||
| High urban | −0.015*** | 0.006*** | −0.015*** | −0.015*** | 0.005*** | 0.005*** | 
| (0.001) | (0.001) | (0.001) | (0.001) | (0.001) | (0.001) | |
| PPKM*Lag of Covid Cases | 0.001*** | 0.001*** | ||||
| (2.01e-08) | (2.00e-08) | |||||
| PPKM*Covid Cases | 0.001*** | 0.001*** | ||||
| (1.87e-08) | (1.86e-08) | |||||
| Constant | 0.945*** | 0.796*** | 0.942*** | 0.943*** | 0.801*** | 0.801*** | 
| (0.018) | (0.019) | (0.019) | (0.019) | (0.019) | (0.019) | |
| Observations | 155,028 | 155,028 | 155,028 | 155,028 | 155,028 | 155,028 | 
| R-squared | 0.144 | 0.158 | 0.127 | 0.127 | 0.140 | 0.140 | 
Note: Standard errors in parentheses, *** p < 0.01, ** p < 0.05, * p < 0.1
References
- Aloi A., Alonso B., Benavente J., Cordera R., Echániz E., González F., Ladisa C., Lezama-Romanelli R., López-Parra Á., Mazzei V., Perrucci L., Prieto-Quintana D., Rodríguez A., Sañudo R. Effects of the COVID-19 lockdown on urban mobility: Empirical evidence from the city of Santander (Spain) Sustainability. 2020;12(9):3870. doi: 10.3390/su12093870. [DOI] [Google Scholar]
 - Barbieri D.M., Lou B., Passavanti M., Hui C., Hoff I., Lessa D.A., Sikka G., Chang K., Gupta A., Fang K., Banerjee A., Maharaj B., Lam L., Ghasemi N., Naik B., Wang F., Foroutan Mirhosseini A., Naseri S., Liu Z., Qiao Y., Tucker A., Wijayaratna K., Peprah P., Adomako S., Yu L., Goswami S., Chen H., Shu B., Hessami A., Abbas M., Agarwal N., Rashidi T.H., Pakpour A.H. Impact of COVID-19 pandemic on mobility in ten countries and associated perceived risk for all transport modes. PLoS ONE. 2021;16(2):e0245886. doi: 10.1371/journal.pone.0245886. [DOI] [PMC free article] [PubMed] [Google Scholar]
 - Barnett-Howell Z., Watson O.J., Mobarak A.M. The benefits and costs of social distancing in high- and low-income countries. Trans. R. Soc. Trop. Med. Hyg. 2021;115:807–819. doi: 10.1093/trstmh/traa140. [DOI] [PMC free article] [PubMed] [Google Scholar]
 - Beck M.J., Hensher D.A., Wei E. Slowly coming out of COVID-19 restrictions in Australia: Implications for working from home and commuting trips by car and public transport. J. Transp. Geogr. 2020;88:102846. doi: 10.1016/j.jtrangeo.2020.102846. [DOI] [PMC free article] [PubMed] [Google Scholar]
 - Belot M., Choi S., Tripodi E., Broek-Altenburg E.V.D., Jamison J.C., Papageorge N.W. Unequal consequences of Covid 19: representative evidence from six countries. Rev. Econ. Household. 2021;19(3):769–783. doi: 10.1007/s11150-021-09560-z. [DOI] [PMC free article] [PubMed] [Google Scholar]
 - Bento, A.I., Nguyen, T., Wing, C., Lozano-Rojas, F., Ahn, Y.Y., Simon, K., 2020. Evidence from internet search data shows information-seeking responses to news of local COVID-19 cases. Proc. Natl. Acad. Sci. U. S. A. 117, 11220–11222. https://doi.org/10.1073/pnas.2005335117. [DOI] [PMC free article] [PubMed]
 - Blower S. Modelling infectious diseases in humans and animals. Lancet. Infect. Dis. 2008;8(7):415. doi: 10.1016/S1473-3099(08)70147-6. [DOI] [Google Scholar]
 - CEIC, 2021. Indonesia New COVID-19 Cases by Province. Available online: https://www.ceicdata.com (Accessed on April 3rd, 2021).
 - CEIC, 2021. Indonesia District Population Density. Available online: https://www.ceicdata.com (Accessed on April 3rd, 2021).
 - Chernozhukov V., Kasahara H., Schrimpf P. Causal impact of masks, policies, behavior on early covid-19 pandemic in the US. J. Econometr. 2021;220(1):23–62. doi: 10.1016/j.jeconom.2020.09.003. [DOI] [PMC free article] [PubMed] [Google Scholar]
 - Chetty, R., Friedman, J.N., Hendren, N., Stepner, M. and The Opportunity Insights Team, 2020. How did COVID-19 and stabilization policies affect spending and employment? A new real-time economic tracker based on private sector data (pp. 1-109). Cambridge, MA: National Bureau of Economic Research. Available online: http://www.nber.org/papers/w27431.
 - Chinazzi M., Davis J.T., Ajelli M., Gioannini C., Litvinova M., Merler S., Pastore y Piontti A., Mu K., Rossi L., Sun K., Viboud C., Xiong X., Yu H., Halloran M.E., Longini I.M., Vespignani A. The effect of travel restrictions on the spread of the 2019 novel coronavirus (COVID-19) outbreak. Science. 2020;368(6489):395–400. doi: 10.1126/science:aba9757. [DOI] [PMC free article] [PubMed] [Google Scholar]
 - Davies N.G., Klepac P., Liu Y., Prem K., Jit M., Pearson C.A.B., Quilty B.J., Kucharski A.J., Gibbs H., Clifford S., Gimma A., van Zandvoort K., Munday J.D., Diamond C., Edmunds W.J., Houben R.M.G.J., Hellewell J., Russell T.W., Abbott S., Funk S., Bosse N.I., Sun Y.F., Flasche S., Rosello A., Jarvis C.I., Eggo R.M. Age-dependent effects in the transmission and control of COVID-19 epidemics. Nat. Med. 2020;26(8):1205–1211. doi: 10.1038/s41591-020-0962-9. [DOI] [PubMed] [Google Scholar]
 - Data for Good – Facebook, 2021. Data for Good: Movement range map. Available online: https://dataforgood.facebook.com/dfg/covid-19 (Accessed on April 2nd, 2021).
 - Djalante Riyanti, Nurhidayah Laely, Van Minh Hoang, Phuong Nguyen Thi Ngoc, Mahendradhata Yodi, Trias Angelo, Lassa Jonatan, Miller Michelle Ann. COVID-19 and ASEAN responses: Comparative policy analysis. Progr. Disaster Sci. 2020;8:100129. doi: 10.1016/j.pdisas.2020.100129. [DOI] [PMC free article] [PubMed] [Google Scholar]
 - Ferguson, N.M., Laydon, D., Nedjati-Gilani, G. et al., 2020. Impact of non-pharmaceutical interventions (NPIs) to reduce COVID-19 mortality and healthcare demand. Imperial College London. https://doi.org/10.25561/77482.
 - Fong, M.W., Gao, H., Wong, J.Y., Xiao, J., Shiu, E.Y., Ryu, S., Cowling, B.J., 2020. Nonpharmaceutical measures for pandemic influenza in nonhealthcare settings—social distancing measures. Emerg. Infect. Dis. 26(5), 976. https://dx.doi.org/10.3201%2Feid2605.190995. [DOI] [PMC free article] [PubMed]
 - Government of Indonesia, 2020. Government Regulation No. 21 2020. Jakarta: Government of Indonesia.
 - Google LLC. “Google COVID-19 Community Mobility Reports”. https://www.google.com/covid19/mobility/ (Accessed on October 15th, 2021).
 - Herdağdelen, A., Dow, A., State, B., Mohassel, P., Pompe, A., 2020. Protecting privacy in Facebook mobility data during the COVID-19 response. Available online: https://research.fb.com/blog/2020/06/protecting-privacy-in-facebook-mobility-data-during-the-covid-19-response/.
 - Hotle Susan, Murray-Tuite Pamela, Singh Kunal. Influenza risk perception and travel-related health protection behavior in the US: Insights for the aftermath of the COVID-19 outbreak. Transp. Res. Interdiscip. Perspect. 2020;5:100127. doi: 10.1016/j.trip.2020.100127. [DOI] [PMC free article] [PubMed] [Google Scholar]
 - Ilin C., Annan-Phan S., Tai X.H., Mehra S., Hsiang S., Blumenstock J.E. Public mobility data enables COVID-19 forecasting and management at local and global scales. Sci. Rep. 2021;11(1):1–11. doi: 10.1038/s41598-021-92892-8. [DOI] [PMC free article] [PubMed] [Google Scholar]
 - Imbens G.W., Lemieux T. Regression discontinuity designs: A guide to practice. J. Econometr. 2008;142(2):615–635. doi: 10.1016/j.jeconom.2007.05.001. [DOI] [Google Scholar]
 - Indonesian Ministry of Health, 2020. Health Ministry Regulation No. 9 2020. Jakarta: Indonesian Ministry of Health.
 - International Monetary Fund, 2020. World Economic Outlook, April 2020: The Great Lockdown. IMF. Available online: https://www.imf.org/en/Publications/WEO/Issues/2020/04/14/weo-april-2020.
 - Irawan Muhammad Zudhy, Rizki Muhamad, Joewono Tri Basuki, Belgiawan Prawira Fajarindra. Exploring the intention of out-of-home activities participation during new normal conditions in Indonesian cities. Transp. Res. Interdiscip. Perspect. 2020;8:100237. doi: 10.1016/j.trip.2020.100237. [DOI] [PMC free article] [PubMed] [Google Scholar]
 - Irawan M.Z., Belgiawan P.F., Joewono T.B., Bastarianto F.F., Rizki M., Ilahi A. Exploring activity-travel behavior changes during the beginning of COVID-19 pandemic in Indonesia. Transportation. 2021:1–25. doi: 10.1007/s11116-021-10185-5. [DOI] [PMC free article] [PubMed] [Google Scholar]
 - Jacobson N.C., Lekkas D., Price G., Heinz M.V., Song M., O’Malley A.J., Barr P.J. Flattening the mental health curve: COVID-19 stay-at-home orders are associated with alterations in mental health search behavior in the United States. JMIR Mental Health. 2020;7(6):e19347. doi: 10.2196/19347. [DOI] [PMC free article] [PubMed] [Google Scholar]
 - Kansiime M.K., Tambo J.A., Mugambi I., Bundi M., Kara A., Owuor C. COVID-19 implications on household income and food security in Kenya and Uganda: Findings from a rapid assessment. World Dev. 2021;137:105–199. doi: 10.1016/j.worlddev.2020.105199. [DOI] [PMC free article] [PubMed] [Google Scholar]
 - Lapatinas A. The Effect of COVID-19 Confinement Policies on Community Mobility Trends in the EU. Publications Office of the European Union, Luxembourg. 2020 doi: 10.2760/875644. [DOI] [Google Scholar]
 - Ilin C., Annan-Phan S., Tai X.H., Mehra S., Hsiang S., Blumenstock J.E. Public mobility data enables COVID-19 forecasting and management at local and global scales. Scientific Reports. 2021;11(1):13531. doi: 10.1038/s41598-021-92892-8. [DOI] [PMC free article] [PubMed] [Google Scholar]
 - Maire, J., 2020. Impact of COVID-19 lockdowns on individual mobility and the importance of socioeconomic factors. Policy Briefs PB20-14, Peterson Institute for International Economics.
 - McKibbin W., Fernando R. The global macroeconomic impacts of COVID-19: Seven scenarios. Asian Economic Papers. 2021;20(1):1–30. doi: 10.1162/asep_a_00796. [DOI] [Google Scholar]
 - Mendolia S., Stavrunova O., Yerokhin O. Determinants of the community mobility during the COVID-19 epidemic: The role of government regulations and information. J. Econ. Behav. Organ. 2021;184:199–231. doi: 10.1016/j.jebo.2021.01.023. [DOI] [PMC free article] [PubMed] [Google Scholar]
 - Nanda R.O., Nursetyo A.A., Ramadona A.L., Imron M.A., Fuad A., Setyawan A., Ahmad R.A. Community Mobility and COVID-19 Dynamics in Jakarta, Indonesia. medRxiv. 2021 doi: 10.1101/2021.07.24.21261016. [DOI] [PMC free article] [PubMed] [Google Scholar]
 - Peak C.M., Kahn R., Grad Y.H., Childs L.M., Li R., Lipsitch M., Buckee C.O. Individual quarantine versus active monitoring of contacts for the mitigation of COVID-19: a modelling study. Lancet. Infect. Dis. 2020;20(9):1025–1033. doi: 10.1016/S1473-3099(20)30361-3. [DOI] [PMC free article] [PubMed] [Google Scholar]
 - Satyakti, Y., 2020. Do Human Restriction Mobility Policy in Indonesia effectively reduce The Spread of COVID-19. Available at SSRN 3654553.
 - Sheridan A., Andersen A.L., Hansen E.T., Johannesen N. Social distancing laws cause only small losses of economic activity during the COVID-19 pandemic in Scandinavia. Proc. Natl. Acad. Sci. 2020;117(34):20468–20473. doi: 10.1073/pnas.2010068117. [DOI] [PMC free article] [PubMed] [Google Scholar]
 - Snaith B. What mobility data has been collected and published during Covid-19? Open Data Institute. Available online. 2020 https://theodi.org/article/what-mobility-data-has-been-collected-and-published-during-covid-19/ [Google Scholar]
 - Snoeijer B.T., Burger M., Sun S., Dobson R.J., Folarin A.A. Measuring the effect of Non-Pharmaceutical Interventions (NPIs) on mobility during the COVID-19 pandemic using global mobility data. npj Digital Med. 2021;4(1):1–12. doi: 10.1038/s41746-021-00451-2. [DOI] [PMC free article] [PubMed] [Google Scholar]
 - Sparrow R., Dartanto T., Hartwig R. Indonesia under the new normal: Challenges and the way ahead. Bull. Indonesian Econ. Stud. 2020;56(3):269–299. doi: 10.1080/00074918.2020.1854079. [DOI] [Google Scholar]
 - Watanabe T., Omori Y. Online consumption during the COVID 19 Crisis : Evidence from Japan. Covid Econ. 2020;38(16):218–252. https://www.centralbank.e.u-tokyo.ac.jp/wp-content/uploads/2020/06/cb-wp023.pdf Available online: [Google Scholar]
 - Weill J.A., Stigler M., Deschenes O., Springborn M.R. Social distancing responses to COVID-19 emergency declarations strongly differentiated by income. Proceedings of the National Academy of Sciences of the United States of America. 2020;117(33):19658–19660. doi: 10.1073/pnas.2009412117. [DOI] [PMC free article] [PubMed] [Google Scholar]
 - Wellenius, G. A., Vispute, S., Espinosa, V., Fabrikant, A., Tsai, T. C., Hennessy, J., Gabrilovich, E. (2020). Impacts of US state-level social distancing policies on population mobility and COVID-19 case growth during the first wave of the pandemic. arXiv preprint arXiv:2004.10172.
 - World Bank Pathways to Middle-Class Jobs in Indonesia. Available online. 2021 https://openknowledge.worldbank.org/handle/10986/35848 [Google Scholar]
 - Wright A.L., Sonin K., Driscoll J., Wilson J. Poverty and economic dislocation reduce compliance with COVID-19 shelter-in-place protocols. J. Econ. Behav. Organ. 2020;180:544–554. doi: 10.1016/j.jebo.2020.10.008. [DOI] [PMC free article] [PubMed] [Google Scholar]
 - Yang W., Wang X., Zhang K., Ke Z. COVID-19, urbanization pattern and economic recovery: An analysis of Hubei, China. International Journal of Environmental Research and Public Health. 2020;17(24):9577. doi: 10.3390/ijerph17249577. [DOI] [PMC free article] [PubMed] [Google Scholar]
 








