Abstract
Background
Shift work is associated with sleep disorders, which impair alertness and increase risk of chronic physical and mental health disease. In health care workers, shift work and its associated sleep loss decrease provider wellness and can compromise patient care. Pharmacological sleep aids or substances such as alcohol are often used to improve sleep with variable effects on health and well-being.
Objective
We tested whether use of noise-masking earbuds can improve reported sleep quality, sleepiness, and stress level in health care shift workers, and increase alertness and reaction time post night shift.
Methods
Emergency medicine resident physicians were recruited for a prospective, single-subject design study. Entrance surveys on current sleep habits were completed. For 14 days, participants completed daily surveys reporting sleep aid use and self-rated perceived sleepiness, tension level, and last nights’ sleep quality using an 8-point Likert scale. After overnight shifts, 3-minute psychomotor vigilance tests (PVT) measuring reaction time were completed. At the end of 14 days, participants were provided noise-masking earbuds, which they used in addition to their baseline sleep regimens as they were needed for sleep for the remainder of the study period. Daily sleep surveys, post–overnight shift PVT, and earbud use data were collected for an additional 14 days. A linear mixed effects regression model was used to assess changes in the pre- and postintervention outcomes with participants serving as their own controls.
Results
In total, 36 residents were recruited, of whom 26 participants who completed daily sleep surveys and used earbuds at least once during the study period were included in the final analysis. The median number of days of earbud use was 5 (IQR 2-9) days of the available 14 days. On days when residents reported earbud use, previous nights’ sleep quality increased by 0.5 points (P<.001, 95% CI 0.23-0.80), daily sleepiness decreased by 0.6 points (P<.001, 95% CI –0.90 to –0.34), and total daily tension decreased by 0.6 points (P<.001, 95% CI –0.81 to –0.32). These effects were more pronounced in participants who reported worse-than-average preintervention sleep scores.
Conclusions
Nonpharmacological noise-masking interventions such as earbuds may improve daily sleepiness, tension, and perceived sleep quality in health care shift workers. Larger-scale studies are needed to determine this interventions’ effect on other populations of shift workers’ post–night shift alertness, users’ long-term physical and mental health, and patient outcomes.
Keywords: shift work, sleep, sleep aid, alertness, earbud, SleepBuds, healthcare worker, physician, health care
Introduction
Over the last several decades, sleep deficiency has reached epidemic proportions. An estimated one-third of adults in the United States do not get the recommended seven hours of sleep nightly, and at least 50 million Americans have chronic sleep disorders [1,2]. Shift work, including working overnight hours, having variable or rotating schedules, or working extended hours on call uniquely contributes to worse sleep and poor work-related outcomes [3-6]. Health care practitioners and support staff represent occupation groups with some of the highest prevalence of shift work and sleep problems including sleep disturbances (eg, multiple awakenings), and sleep deficiency from either extended wake episodes (ie, acute sleep deprivation) or multiple days or nights of insufficient sleep (ie, sleep restriction or chronic sleep deprivation) [7].
In health care workers, sleep loss impairs alertness, which can lead to poor work performance and medical errors, potentially compromising patient care [4,8-11]. Despite the recognized impact of sleep loss on clinician health and patient safety, workplace interventions to combat sleep loss and improve restful sleep are lacking compared to other wellness initiatives [12]. Accordingly, we assessed the impact of noise-masking earbuds on self-reported sleepiness, sleep quality, stress level, and post–overnight shift alertness in emergency medicine (EM) resident physicians.
Methods
Study Design and Setting
This prospective, single-subject design study was performed at a single urban academic medical center. This facility hosts residency training programs for multiple specialties including a 4-year EM training program.
Ethical Considerations
This work was approved by the institutional review board (IRB), and all participants gave informed consent. This study was approved by the Brigham and Women’s Hospital Institutional Review Board (2019p002509).
Participant Recruitment
EM resident physicians working full-time at the emergency department (ED) during the study period were recruited. All EM residents who were not hearing impaired and who owned a smart phone capable of receiving SMS text messages and opening electronic surveys were eligible for inclusion. Participants were recruited via email to the residency listserv and through a text message in a resident-specific group messaging app delivered to their personal devices.
Within this residency training program, each resident works between 18-21 shifts in a rotating schedule comprising day shifts (roughly 7 AM to 5 PM), twilight shifts (roughly 3 PM to 2 AM), or overnight shifts (roughly 11 PM to 8 AM) over each 28-day period. Each participant works 5-7 overnight shifts over a 28-day period.
Interventions
Following consent procedures, participants completed an electronic entrance survey that included questions about their baseline sleep habits, sleep aid use, self-reported sleep quality, daily sleepiness, and daily tension over the prior 28 days (Multimedia Appendix 1). Over the next 14 days (the control period), participants were instructed to continue with their baseline sleep habits. On study day 15, each participant was provided with a pair of Bose SleepBuds (Bose Corp). SleepBuds (hereby referred to as “earbuds”) are earbuds worn in both ears all night and function to mask ambient noises by playing various sound tracks selectable from the Bose app, which each target decibels that are specific to common ambient sounds. Participants were given instruction on device functionality including the app for activating the device noise-masking technology, which only occurs when the device is turned on and used in conjunction with the app. Participants were instructed to use the earbuds with the noise-masking technology for their sleep episodes as needed over the next 14 days in addition to their preferred baseline sleep aids. This 14-day period was considered the intervention period. Earbud use was at the discretion of each participant, and study personnel who were not affiliated with the Bose Corporation were available throughout the study period to answer questions about functionality or troubleshoot device function. At the end of the study period, participants completed an electronic exit survey on sleep aid use and earbud functionality over the prior 28-day period (Multimedia Appendix 1).
Measurements
Daily Surveys
Each day of the 28-day study period, participants received an automated SMS text message at 12 noon containing a daily survey asking them to rate the quality of their last sleep episode, current daytime sleepiness, and current level of tension. All measures were reported on 8-point Likert scales of 0 (extremely bad sleep quality, not sleepy at all, and not tense at all) to 7 (extremely good sleep quality, extremely sleepy, and extremely tense). Beginning on day 15, daily surveys also included a question about whether earbuds were used during the last sleep episode (Multimedia Appendix 2).
Psychomotor Vigilance Testing
After every overnight shift, each participant was approached by a trained study research assistant to complete a 3-minute psychomotor vigilance test (PVT, PVT Research Tool, Texas A&M University System CSE) [13]. This test was conducted on portable tablet devices requiring participants to rapidly tap a circle as it appeared on a tablet screen, and the reaction time for each tap was measured. Participants were able to decline participation in the daily PVT if clinical demands required their attention.
6-Month Follow-up
After the study period, participants were allowed to keep their earbuds for their own personal use. At 6 months after study completion, participants were sent an electronic survey asking about sleep aid use since study completion, including earbud use. For participants still using earbuds, additional questions about when and how they most commonly used the device since the study period were included.
Data Management and Statistical Analyses
Study data were collected and managed using REDCap electronic data capture system sponsored and hosted at our institution. Data were deidentified prior to analysis and analyzed using Stata (version 16; StataCorp). Frequencies and percentages were used to summarize binary and categorical variables. Mean (SD) or median (IQR) values were used to summarize time variables and Likert scale data.
Changes in quality of the last sleep episode, current daytime sleepiness, and current level of tension in control and intervention periods were assessed using a linear mixed effects regression model with a participant-specific random intercept. In the postimplementation period, we only included data collected on days when participants reported using the earbuds. For PVT data, each participant’s mean reaction times pre- and postintervention period were directly compared. Six-month follow up responses were qualitatively assessed.
Results
Participant Demographic Characteristics
Of 58 invited participants, 38 participants enrolled in the study. Of these, 6 participants who did not complete any daily surveys and 6 who participated in surveys but never used the earbuds were excluded. The remaining 26 participants completed a total of 655 daily sleep surveys. We further excluded surveys taken on postintervention days when participants reported not using earbuds, resulting in 501 daily surveys being included in final analysis (Figure 1). Participants included in final analysis represented resident physicians from all 4 postgraduate years. In total, 27% of participants included in the final analysis were female, and their ages ranged from 25 to 35 years (Table 1).
Figure 1.

Study design flow chart. PVT: psychomotor vigilance test.
Table 1.
Participant demographic characteristics (N=26).
| Variables | Participants | ||
| Sex, n (%) | |||
|
|
Male | 19 (73.1) | |
|
|
Female | 7 (26.9) | |
| Age (years), n (%) | |||
|
|
20-25 | 0 (0) | |
|
|
25-30 | 12 (46.1) | |
|
|
30-35 | 14 (53.9) | |
|
|
>35 | 0 (0) | |
| Training year, n (%) | |||
|
|
PGY1 | 5 (19.2) | |
|
|
PGY2 | 9 (34.6) | |
|
|
PGY3 | 7 (26.9) | |
|
|
PGY4 | 5 (19.2) | |
| Baseline average sleep or tension measures over the 4 prior weeks, median (IQR) | |||
|
|
Sleep quality | 5 (4-6) | |
|
|
Sleepiness | 4.5 (4-5) | |
|
|
Tension | 5 (3-5) | |
| Baseline sleep and aid use, n (%) | |||
|
|
Blackout curtains | 16 (61.5) | |
|
|
Eye mask | 8 (30.8) | |
|
|
Earplugs | 6 (23.1) | |
|
|
Weighted blanket | 1 (3.8) | |
|
|
White noise | 9 (34.6) | |
|
|
Pharmacological sleep aida | 9 (34.6) | |
|
|
Other | 1 (3.8) | |
|
|
None of the above | 2 (7.7) | |
aPharmacological sleep aid refers to oral medications such as melatonin, benzodiazepines, zolpidem, or diphenhydramine.
Earbud Use
Among participants who reported using earbuds at least once, the frequency of use varied. Of 14 days when earbuds were available, participants used earbuds for a median of 5 (IQR 2-9) days. The lowest earbud use occurred on day one of the intervention, with 6 of 26 participants reporting use, trending upward until day 4 when 15 of 26 participants reported using earbuds, and remaining generally stable with a slight downward trend in use toward the end of the study (Figure 2). Participants who reported using earbuds for ≥7 of the 14 days did not have significantly different baseline prestudy 4-week sleep scores than those who reported using earbuds between 1 and 6 days (mean score 5.2 vs 4.8, P=.34).
Figure 2.

Reported earbud use over the intervention period.
Sleep Quality, Daily Sleepiness, and Tension
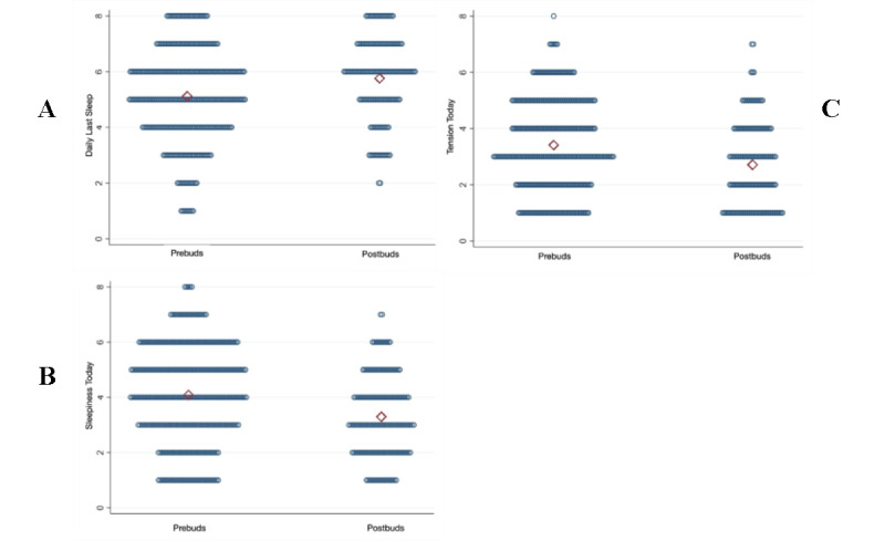
Participants’ self-reported last sleep episode quality, daily sleepiness, and daily tension had improving trends in the postintervention period (Figures 3A-C). On days when residents used earbuds, on Likert scales of 0 to 7 points, previous nights’ sleep quality increased by 0.5 points (P<.001, 95% CI 0.23-0.80), daily sleepiness decreased by 0.6 points (P<.001, 95% CI –0.90 to –0.34), and total daily tension decreased by 0.5 points (P<.001, 95% CI –0.81 to –0.32) using linear mixed regression models. In the subset of participants who reported below-median sleep scores before the intervention, the beneficial effects of using earbuds were amplified.
Figure 3.

Self-rated last nights’ sleep quality (A), daily sleepiness (B), and daily tension (C) on days with earbud use during the prior sleep period.
Post–Night Shift Reaction Time and Alertness
In total, 7 post–overnight shift residents completed a total of 12 PVT tests during the intervention period. A total of 6 completed PVTs were linked to participants who reported no earbud use and were thus excluded from the final analysis. Ultimately, 3 participants both used the earbuds and completed PVTs in both the control and intervention periods. Data from these participants comparing pre- and postearbuds mean reaction time showed no significant differences; however, this study was underpowered to detect an effect of earbud use on PVT.
6-Month Follow-up
We received responses from 12 (46%) participants. Of the 12 respondents, 5 reported ongoing earbud use; all of whom reported use on less than 25% of all sleep episodes since study completion. Participants cited limited sound options, uncomfortable fit, and forgetting to use the device as barriers to further use. There were no notable differences in self-reported baseline sleep aid use and 6-month follow up sleep aid use.
Discussion
Principal Findings
We report that adding a noise-masking earbud, Bose SleepBuds, to a sleep routine can foster significant improvements in shift workers’ self-reported sleep quality, sleepiness, and tension over baseline sleep habits. Participants in this sample noted statistically significant improvements following use of earbuds, and minimal safety concerns were identified. In health care providers, poor sleep contributes to decreased alertness and performance, which adversely affects patient care. Sleep-deprived shift workers demonstrate decreased mood, and professional fulfillment, emotional exhaustion, and increased rated of burnout [10,14-18].
Sleep and wake disturbances are common among shift workers and can produce a primary circadian rhythm disorder called “shiftwork sleep disorder” (SWSD) characterized by insomnia, excessive sleepiness, and significant sleep loss [6,19,20]. Sleep problems are associated with debilitating chronic physical and mental health disease. In addition to excessive sleepiness, sleep deficiency and SWSD are associated with critical short- and long-term health concerns. Sleep deficiency in shift workers has been associated with obesity, type 2 diabetes, stroke, multiple types of cancers, and cardiovascular disease [21-24].
To combat shift work–associated sleep loss, shift workers may develop self-designed strategies to assist with sleep. One common approach is to alternate between the use of pharmacological stimulants and sedatives to achieve wakefulness or sleep as needed. Staying awake and alert during shift can require aids such as caffeine or nicotine [25,26]. To accelerate the onset of sleep, over-the-counter supplements such as melatonin, prescription sleep aids such as benzodiazepines, or other sedative-hypnotic medications (eg, so-called “Z-drugs” such as zolpidem) are also often used [26-28]. Despite the fact that alcohol consumption worsens sleep overall, postshift alcohol use is another common strategy among shift workers to achieve sleep, a strategy that has been associated with binge drinking disorder [29,30]. Each of these strategies demonstrate variable efficacy and can have significant off-target, often deleterious, health effects, development of compulsive use consistent with addiction, and poor patient care.
Participant adherence and uptake in the intervention was one challenge faced in this study. When considering wellness interventions, in addition to intervention efficacy, institutions must also consider factors such as participant interest and adherence and cost-benefit ratios of a given intervention. Here, roughly two-thirds of the approached participants elected to enroll in the study in which they were receiving sleep aid devices free of charge. It is possible this number may serve as a proxy for interest in such nonpharmacological sleep aid devices or in sleep interventions in general. Direct assessment of shift worker interest in nonpharmacological sleep interventions, such as this one, are needed. Interestingly, a larger proportion of males than females enrolled in the study despite the fact that the group originally solicited was roughly even in terms of sex. This may suggest that an electronic sleep device such as noise-masking earbuds are more attractive to males than to females as an intervention. Further analysis of the most likely users may be helpful in targeting sleep interventions to users who may benefit from or adhere most to them. Finally, cost-benefit ratio is often a consideration when implementing wellness initiatives. Though the particular noise-masking earbuds studied here have a relatively high price point for the general public, targeting these devices to participants who may have the highest uptake, adherence, and physiological outcomes may result in a favorable cost-benefit ratio for organizations. Further work is needed to more carefully target sleep interventions such as the earbuds studied here.
Shift workers experience striking rates of workplace burnout; yet, occupational interventions targeting sleep problems are often lacking compared to other wellness initiatives [12]. The importance of this work, therefore, is that noise-masking earbuds may improve several metrics of sleep quality without the threat of problematic substance use, medication adverse events, or pharmaceutical misuse. Although we identified several beneficial effects of the noise-masking earbuds on self-reported sleep and tension, alertness testing via PVT was underpowered to detect an effect in our study population. Because health care professionals are particularly vulnerable to the deleterious effects of sleep loss and SWSD is prevalent in up to 30% of the general population, our findings, while limited, have broad therapeutic potential in multiple industries where shift work is common, including medicine.
Limitations
This was a single-arm study with a small sample size, and variable intervention adherence, all of which affected the analytical power of this study. Further efficacy should be evaluated in a randomized controlled trial comparing earbud use to a matched control. Here, we focused on resident physicians as representatives of the health care shift worker population. This population tends to be fairly young (between 25-35 years old), and may be more willing to use new technology than shift workers as a whole. While approximately one-third of resident shifts are overnight, night shifts tend to be clustered and are not evenly distributed over a 28-day period. Thus, typical resident schedules are somewhat suboptimal for a single-subject design where subjects serve as their own controls across 28-days. The PVT data collection was limited given the smaller number of data points across control and intervention periods for individual participants. Future solutions may include recruiting study participants such as nocturnists, who are physicians who work a higher proportion and more consistent distribution of night shifts, other groups who work exclusively overnight, or participants with clinically diagnosed SWSD. Increasing study population size or extending the study period by multiple months would likely enhance our data points and improve study power.
Variable intervention adherence also affected our findings. Manually filling out daily surveys and PVT testing after overnight shifts can be burdensome to participants. Participants may have forgotten to complete surveys after receiving the SMS text message reminder. Future studies will consider alternative data collection strategies that may present less of a barrier, such as automatic data collection on sleep quality via wearable fitness trackers or cellular telephones. These strategies may also provide more objective measures of sleep quality as opposed to self-reporting. In terms of inconsistent device use, participants cited a desire for additional sound options including selectable music, improved device fit, and needing reliable reminders to improve intervention adherence. Addressing these factors will be crucial to designing maximally effective digital therapies for sleep deprivation in the future.
The potential for sustained adherence is an important consideration in any wellness intervention. Here, at 6-month follow up, <50% of respondents reported ongoing earbud use beyond the study period. Six-month follow-up responses were collected from only 46% of original participants; thus, the limited response rate likely impacts our ability to draw firm conclusions from these data. Subjectively, however, reasons commonly cited for limited ongoing use included poor fit, limited audio tracks, and forgetting to use the earbuds. The fit and audio selection can be addressed by manufacturers to make such products more attractive to users. Habit formation and establishing automated behaviors are key to implementing sustainable health and wellness interventions. Data from nutritional wellness interventions suggest habits can take more than 50 days to reach automaticity [31]. Regarding forgetting to use the device, it is likely our study period was not long enough to promote habit formation. Prolonging the intervention study period with frequent reminders to use the device, or instructing participants to place the device in a convenient, easily accessible location that will remind and reinforce use can be helpful. Further, time-based cues such as reminders on cellular telephones can help establish behaviors while habit formation is taking place [31].
As a pilot study, the aim of this work was to assess uptake, user receptiveness, and perceived effect of a nonpharmacological sleep intervention. Important next steps for future studies include evaluating objective measures of sleep and mood, physician burnout among earbud users, as well as potential changes in clinician performance and patient outcomes such as physician errors or return visit rates. While participant experience is an important component in evaluating the effect of a wellness intervention, objective outcomes studies will help corroborate the utility of implementing such interventions on an institutional level.
Comparison With Prior Work
While electronic devices aimed at addressing sleep problems do currently exist, few have robust data supporting their efficacy. Most common devices addressing poor sleep include fitness trackers or mobile apps to track sleep quality, but these rarely offer therapeutic interventions [32,33]. Existing digital therapies for poor sleep include app-based meditation or relaxation guides, and app-guided cognitive behavioral therapy [34,35]. Though moderately effective in some populations, these interventions are often targeted at addressing chronic sleep loss and insomnia, are subject to intervention fatigue, and do not address acute sleep problems and circadian rhythm disruption common in post–night shift health care workers.
Devices supplying white noise are commonly marketed as sleep aids. Despite broad commercial penetrance, evidence for the efficacy of continuous white noise on sleep onset, latency, or quality is inconsistent [36-39]. Many factors likely play into the effect of ambient sounds on sleep, including but certainly not limited to the type of sound, the ability to block out alternative ambient noises, and sound volume among other factors. The SleepBuds technology used in this study included first-generation devices that provide noise-masking technology to reduce ambient auditory distractions with optional relaxing sounds. Given our promising results, future work can explore the effect of subsequent-generation devices with enhanced functionality targeted at relaxation. This work will both assess the efficacy of this digital intervention, as well as contribute to the existing body of work on the therapeutic effect of ambient noise on sleep overall.
Conclusions
Sleep loss is a public health crisis that disproportionately affects the physical and mental health of shift workers. The recent emphasis on support programs aimed at improving employee wellness and decreasing burnout is not reflected in interventions aimed at improving sleep. Our data demonstrate the efficacy of a digital intervention addressing sleep disturbance. This intervention is of low risk and is feasible in a complex cohort such as medical resident physicians. While our target population was health care shift workers, extension of our findings to other industries and cohorts is reasonable. Our work prepares for additional studies to improve employee health and wellness through effective, generalizable, and scalable sleep interventions.
Acknowledgments
We would like to thank Elizabeth Klerman, MD, PhD, for her mentorship, expertise, and helpful suggestions on this work. This work was funded by the Brigham Care Redesign Incubator and Startup Program pilot program grant. SleepBuds were donated by Bose Corp.
Abbreviations
- ED
emergency department
- EM
emergency medicine
- IRB
institutional review board
- PVT
psychomotor vigilance test
- SWSD
shiftwork sleep disorder
A. Entrance survey completed by all participants. B. Exit survey completed by all participants.
Daily surveys delivered to all participants via text message during the control period (A), and intervention period (B).
Footnotes
Authors' Contributions: NMD conceptualized and designed the study, wrote and submitted the IRB draft, acquired, analyzed, and interpreted the data, and drafted and revised the manuscript. MAH and GJ oversaw IRB draft submission and data acquisition and management. OB carried out data analysis and interpretation and manuscript drafting and revision. AJG drafted and revised the manuscript. AC and AIL conceptualized and designed the study, wrote and prepared the IRB draft, and revised the manuscript. DA mentored the design of the study and revised the manuscript. EWB mentored the design of the study, analyzed and interpreted the data, and drafted and revised the manuscript. AJE mentored the design of the study, sought funding resources, and revised the manuscript.
Conflicts of Interest: The authors have no conflicts to report.
References
- 1.Liu Y, Wheaton AG, Chapman DP, Cunningham TJ, Lu H, Croft JB. Prevalence of healthy sleep duration among adults--United States, 2014. MMWR Morb Mortal Wkly Rep. 2016 Feb 19;65(6):137–141. doi: 10.15585/mmwr.mm6506a1. doi: 10.15585/mmwr.mm6506a1. [DOI] [PubMed] [Google Scholar]
- 2.Shockey TM, Wheaton AG. Short sleep duration by occupation group - 29 States, 2013-2014. MMWR Morb Mortal Wkly Rep. 2017 Mar 03;66(8):207–213. doi: 10.15585/mmwr.mm6608a2. doi: 10.15585/mmwr.mm6608a2. [DOI] [PMC free article] [PubMed] [Google Scholar]
- 3.Di Milia L, Waage S, Pallesen S, Bjorvatn B. Shift work disorder in a random population sample--prevalence and comorbidities. PLoS One. 2013;8(1):e55306. doi: 10.1371/journal.pone.0055306. https://dx.plos.org/10.1371/journal.pone.0055306 .PONE-D-12-31070 [DOI] [PMC free article] [PubMed] [Google Scholar]
- 4.Ganesan S, Magee M, Stone JE, Mulhall MD, Collins A, Howard ME, Lockley SW, Rajaratnam SMW, Sletten TL. The impact of shift work on sleep, alertness and performance in healthcare workers. Sci Rep. 2019 Mar 15;9(1):4635. doi: 10.1038/s41598-019-40914-x. doi: 10.1038/s41598-019-40914-x.10.1038/s41598-019-40914-x [DOI] [PMC free article] [PubMed] [Google Scholar]
- 5.Kerkhof GA. Shift work and sleep disorder comorbidity tend to go hand in hand. Chronobiol Int. 2018 Feb;35(2):219–228. doi: 10.1080/07420528.2017.1392552. [DOI] [PubMed] [Google Scholar]
- 6.Wickwire EM, Geiger-Brown J, Scharf SM, Drake CL. Shift work and shift work sleep disorder: clinical and organizational perspectives. Chest. 2017 May;151(5):1156–1172. doi: 10.1016/j.chest.2016.12.007. http://europepmc.org/abstract/MED/28012806 .S0012-3692(16)62598-9 [DOI] [PMC free article] [PubMed] [Google Scholar]
- 7.Job Flexibilities and Work Schedules Summary. US Bureau of Labor Statistics. 2019. Sep 24, [2020-09-20]. https://www.bls.gov/news.release/flex2.nr0.htm .
- 8.Basner M, Dinges DF, Shea JA, Small DS, Zhu J, Norton L, Ecker AJ, Novak C, Bellini LM, Volpp KG. Sleep and alertness in medical interns and residents: an observational study on the role of extended shifts. Sleep. 2017 Apr 01;40(4):zsx027. doi: 10.1093/sleep/zsx027. http://europepmc.org/abstract/MED/28329124 .3045870 [DOI] [PMC free article] [PubMed] [Google Scholar]
- 9.Arzalier-Daret S, Buléon C, Bocca M, Denise P, Gérard JL, Hanouz J. Effect of sleep deprivation after a night shift duty on simulated crisis management by residents in anaesthesia. A randomised crossover study. Anaesth Crit Care Pain Med. 2018 Apr;37(2):161–166. doi: 10.1016/j.accpm.2017.05.010.S2352-5568(16)30120-5 [DOI] [PubMed] [Google Scholar]
- 10.Kalmbach DA, Arnedt JT, Song PX, Guille C, Sen S. Sleep disturbance and short sleep as risk factors for depression and perceived medical errors in first-year residents. Sleep. 2017 Mar 01;40(3):zsw073. doi: 10.1093/sleep/zsw073. http://europepmc.org/abstract/MED/28369654 .3079022 [DOI] [PMC free article] [PubMed] [Google Scholar]
- 11.Trockel MT, Menon NK, Rowe SG, Stewart MT, Smith R, Lu M, Kim PK, Quinn MA, Lawrence E, Marchalik D, Farley H, Normand P, Felder M, Dudley JC, Shanafelt TD. Assessment of physician sleep and wellness, burnout, and clinically significant medical errors. JAMA Netw Open. 2020 Dec 01;3(12):e2028111. doi: 10.1001/jamanetworkopen.2020.28111. https://jamanetwork.com/journals/jamanetworkopen/fullarticle/10.1001/jamanetworkopen.2020.28111 .2773777 [DOI] [PMC free article] [PubMed] [Google Scholar]
- 12.Robbins R, Weaver M, Quan S, Rosenberg E, Barger L, Czeisler C, Grandner M. Employee sleep enhancement and fatigue reduction programs: analysis of the 2017 CDC Workplace Health in America poll. Am J Health Promot. 2021 May;35(4):503–513. doi: 10.1177/0890117120969091. [DOI] [PubMed] [Google Scholar]
- 13.Basner M, Dinges D. Maximizing sensitivity of the psychomotor vigilance test (PVT) to sleep loss. Sleep. 2011 May 01;34(5):581–591. doi: 10.1093/sleep/34.5.581. http://europepmc.org/abstract/MED/21532951 . [DOI] [PMC free article] [PubMed] [Google Scholar]
- 14.Trockel M, Bohman B, Lesure E, Hamidi MS, Welle D, Roberts L, Shanafelt T. A brief instrument to assess both burnout and professional fulfillment in physicians: reliability and validity, including correlation with self-reported medical errors, in a sample of resident and practicing physicians. Acad Psychiatry. 2018 Feb;42(1):11–24. doi: 10.1007/s40596-017-0849-3. http://europepmc.org/abstract/MED/29196982 .10.1007/s40596-017-0849-3 [DOI] [PMC free article] [PubMed] [Google Scholar]
- 15.Kalmbach DA, Fang Y, Arnedt JT, Cochran AL, Deldin PJ, Kaplin AI, Sen S. Effects of sleep, physical activity, and shift work on daily mood: a prospective mobile monitoring study of medical interns. J Gen Intern Med. 2018 Jun;33(6):914–920. doi: 10.1007/s11606-018-4373-2. http://europepmc.org/abstract/MED/29542006 .10.1007/s11606-018-4373-2 [DOI] [PMC free article] [PubMed] [Google Scholar]
- 16.Peterson SA, Wolkow AP, Lockley SW, O'Brien CS, Qadri S, Sullivan JP, Czeisler CA, Rajaratnam SMW, Barger LK. Associations between shift work characteristics, shift work schedules, sleep and burnout in North American police officers: a cross-sectional study. BMJ Open. 2019 Dec 01;9(11):e030302. doi: 10.1136/bmjopen-2019-030302. https://bmjopen.bmj.com/lookup/pmidlookup?view=long&pmid=31791964 .bmjopen-2019-030302 [DOI] [PMC free article] [PubMed] [Google Scholar]
- 17.Stewart NH, Arora VM. The impact of sleep and circadian disorders on physician burnout. Chest. 2019 Nov;156(5):1022–1030. doi: 10.1016/j.chest.2019.07.008. http://europepmc.org/abstract/MED/31352036 .S0012-3692(19)31380-7 [DOI] [PMC free article] [PubMed] [Google Scholar]
- 18.Weaver MD, Robbins R, Quan SF, O'Brien CS, Viyaran NC, Czeisler CA, Barger LK. Association of sleep disorders with physician burnout. JAMA Netw Open. 2020 Oct 01;3(10):e2023256. doi: 10.1001/jamanetworkopen.2020.23256. https://jamanetwork.com/journals/jamanetworkopen/fullarticle/10.1001/jamanetworkopen.2020.23256 .2772370 [DOI] [PMC free article] [PubMed] [Google Scholar]
- 19.Circadian Adaptation to Shift Work. American Academy of Sleep Medicine. [2022-02-11]. https://j2vjt3dnbra3ps7ll1clb4q2-wpengine.netdna-ssl.com/wp-content/uploads/2019/02/ProviderFS_ShiftChanges_19.pdf .
- 20.Schlafer O, Wenzel V, Högl B. [Sleep disorders among physicians on shift work] Anaesthesist. 2014 Nov;63(11):844–851. doi: 10.1007/s00101-014-2374-z. [DOI] [PubMed] [Google Scholar]
- 21.Kecklund G, Axelsson J. Health consequences of shift work and insufficient sleep. BMJ. 2016 Nov 01;355:i5210. doi: 10.1136/bmj.i5210. [DOI] [PubMed] [Google Scholar]
- 22.Patterson PD, Mountz KA, Budd CT, Bubb JL, Hsin AU, Weaver MD, Turner RL, Platt TE, Guyette FX, Martin-Gill C, Buysse DJ, Callaway CW. Impact of shift work on blood pressure among emergency medical services clinicians and related shift workers: A systematic review and meta-analysis. Sleep Health. 2020 Jun;6(3):387–398. doi: 10.1016/j.sleh.2020.03.006.S2352-7218(20)30104-2 [DOI] [PubMed] [Google Scholar]
- 23.Vetter C, Devore EE, Wegrzyn LR, Massa J, Speizer FE, Kawachi I, Rosner B, Stampfer MJ, Schernhammer ES. Association between rotating night shift work and risk of coronary heart disease among women. JAMA. 2016 Apr 26;315(16):1726–1734. doi: 10.1001/jama.2016.4454. http://europepmc.org/abstract/MED/27115377 .2516715 [DOI] [PMC free article] [PubMed] [Google Scholar]
- 24.Yau A, Haque M. Shiftwork association with cardiovascular diseases and cancers among healthcare workers: a literature review. Medeni Med J. 2019;34(4):387–395. doi: 10.5222/MMJ.2019.54775. http://europepmc.org/abstract/MED/32821466 . [DOI] [PMC free article] [PubMed] [Google Scholar]
- 25.Francis MN, Wishart IM, Williamson T, Iverach R. Use of pharmacologic sleep aids and stimulants among emergency medicine staff physicians in a Canadian tertiary care setting: a web-based survey. Ann Emerg Med. 2019 Apr;73(4):325–329. doi: 10.1016/j.annemergmed.2018.07.006.S0196-0644(18)30626-7 [DOI] [PubMed] [Google Scholar]
- 26.Shy BD, Portelli I, Nelson LS. Emergency medicine residents' use of psychostimulants and sedatives to aid in shift work. Am J Emerg Med. 2011 Nov;29(9):1034–6.e1. doi: 10.1016/j.ajem.2010.06.004.S0735-6757(10)00248-2 [DOI] [PubMed] [Google Scholar]
- 27.Sadeghniiat-Haghighi K, Bahrami H, Aminian O, Meysami A, Khajeh-Mehrizi A. Melatonin therapy in shift workers with difficulty falling asleep: A randomized, double-blind, placebo-controlled crossover field study. Work. 2016 Sep 27;55(1):225–230. doi: 10.3233/WOR-162376.WOR2376 [DOI] [PubMed] [Google Scholar]
- 28.Jorgensen KM, Witting MD. Does exogenous melatonin improve day sleep or night alertness in emergency physicians working night shifts? Ann Emerg Med. 1998 Jun;31(6):699–704. doi: 10.1016/s0196-0644(98)70227-6.S0196064498001656 [DOI] [PubMed] [Google Scholar]
- 29.Dorrian J, Heath G, Sargent C, Banks S, Coates A. Alcohol use in shiftworkers. Accid Anal Prev. 2017 Feb;99(Pt B):395–400. doi: 10.1016/j.aap.2015.11.011.S0001-4575(15)30127-5 [DOI] [PubMed] [Google Scholar]
- 30.Richter K, Peter L, Rodenbeck A, Weess HG, Riedel-Heller SG, Hillemacher T. Shiftwork and alcohol consumption: a systematic review of the literature. Eur Addict Res. 2021;27(1):9–15. doi: 10.1159/000507573. https://www.karger.com?DOI=10.1159/000507573 .000507573 [DOI] [PubMed] [Google Scholar]
- 31.Keller J, Kwasnicka D, Klaiber P, Sichert L, Lally P, Fleig L. Habit formation following routine-based versus time-based cue planning: A randomized controlled trial. Br J Health Psychol. 2021 Sep;26(3):807–824. doi: 10.1111/bjhp.12504. [DOI] [PubMed] [Google Scholar]
- 32.Robbins R, Krebs P, Rapoport DM, Jean-Louis G, Duncan DT. Examining use of mobile phones for sleep tracking among a national sample in the USA. Health Commun. 2019 May;34(5):545–551. doi: 10.1080/10410236.2017.1422104. [DOI] [PubMed] [Google Scholar]
- 33.Robbins R, Seixas A, Masters LW, Chanko N, Diaby F, Vieira D, Jean-Louis G. Sleep tracking: A systematic review of the research using commercially available technology. Curr Sleep Med Rep. 2019;5(3):156–163. doi: 10.1007/s40675-019-00150-1. http://europepmc.org/abstract/MED/33134038 . [DOI] [PMC free article] [PubMed] [Google Scholar]
- 34.Espie CA, Emsley R, Kyle SD, Gordon C, Drake CL, Siriwardena AN, Cape J, Ong JC, Sheaves B, Foster R, Freeman D, Costa-Font J, Marsden A, Luik AI. Effect of digital cognitive behavioral therapy for insomnia on health, psychological well-being, and sleep-related quality of life: a randomized clinical trial. JAMA Psychiatry. 2019 Jan 01;76(1):21–30. doi: 10.1001/jamapsychiatry.2018.2745. http://europepmc.org/abstract/MED/30264137 .2704019 [DOI] [PMC free article] [PubMed] [Google Scholar]
- 35.Morin CM. Profile of somryst prescription digital therapeutic for chronic insomnia: overview of safety and efficacy. Expert Rev Med Devices. 2020 Dec;17(12):1239–1248. doi: 10.1080/17434440.2020.1852929. [DOI] [PubMed] [Google Scholar]
- 36.Riedy SM, Smith MG, Rocha S, Basner M. Noise as a sleep aid: A systematic review. Sleep Med Rev. 2021 Feb;55:101385. doi: 10.1016/j.smrv.2020.101385.S1087-0792(20)30128-3 [DOI] [PubMed] [Google Scholar]
- 37.Montgomery-Downs HE, Insana SP, Miller EA. Effects of two types of ambient sound during sleep. Behav Sleep Med. 2010;8(1):40–47. doi: 10.1080/15402000903425686.918138291 [DOI] [PubMed] [Google Scholar]
- 38.Sweity S, Finlay A, Lees C, Monk A, Sherpa T, Wade D. SleepSure: a pilot randomized-controlled trial to assess the effects of eye masks and earplugs on the quality of sleep for patients in hospital. Clin Rehabil. 2019 Feb;33(2):253–261. doi: 10.1177/0269215518806041. [DOI] [PubMed] [Google Scholar]
- 39.Hansen IP, Langhorn L, Dreyer P. Effects of music during daytime rest in the intensive care unit. Nurs Crit Care. 2018 Jul;23(4):207–213. doi: 10.1111/nicc.12324. [DOI] [PubMed] [Google Scholar]
Associated Data
This section collects any data citations, data availability statements, or supplementary materials included in this article.
Supplementary Materials
A. Entrance survey completed by all participants. B. Exit survey completed by all participants.
Daily surveys delivered to all participants via text message during the control period (A), and intervention period (B).
