Abstract
Educators continue to experience stress and burnout, both of which have been negatively impacted by the COVID-19 pandemic, and there continues to be a need to develop interventions that support not only educators’ well-being, but a climate within school buildings that fosters psychological well-being for students and school staff alike. Acceptance and Commitment Therapy (ACT) is one promising approach to interventions for both educator and student psychological well-being. The present study sought to evaluate the effect of a low-dosage, online, and remotely delivered ACT intervention for educators on self-reported burnout, psychological flexibility, ACT knowledge, and frequency of use of ACT-consistent language while teaching in an alternative educational setting. The ACT-based intervention targeted the development of educator psychological flexibility, but the analysis provided an evaluation of non-targeted participants’ use of ACT-consistent language in the classroom, as well. Results suggest an overall improvement in participants’ self-reported burnout and psychological flexibility, an increase in participants’ ACT knowledge following each phase of the study, and an increase in the frequency of ACT-consistent language for all participants following the onset of a feedback component. We discuss potential implications of practical ACT-based interventions for educators in an applied setting and related increases in ACT-consistent verbal stimuli within the classroom setting.
Keywords: Psychological flexibility, Acceptance and commitment therapy, Educators, Burnout
The COVID-19 pandemic produced novel and abundant stressors for educators working in school settings during the 2020–2021 school year, leading to increased reported burnout and stress among this group (Pressley, 2021). Factors contributing to educators’ burnout and stress include anxiety related to the pandemic, teaching demands, communicating with parents, and administrative support. This experience reflects that of the general US population, as noted in a report from the American Psychological Association (APA;, 2021) that documented adults’ difficulty managing stressors related to COVID-19. The APA reported that nearly half of adults in the USA had reported increased stress due to the pandemic, and approximately two-thirds of adults describe this time as “a rollercoaster of emotions” (APA, 2021, p. 8). For educators, this prolonged and heightened stress may lead to burnout, which has been defined as “a syndrome of emotional exhaustion, depersonalization, and reduced personal accomplishment that can occur among individuals who do ‘people work’ of some kind” (Maslach & Jackson, 1986, p.1). Burnout can occur when situational stressors interfere with an educator's ability to experience fulfillment in their work and achieve professional goals (Emery & Vandenburg, 2010). However, decreased work quality and meaning are not the only adverse effects of burnout. Studies have found that poorer mental quality of life and high levels of stress (among other factors) are related to educators' intent to quit their job, contributing to challenges with teacher attrition (e.g., Chambers et al., 2019).
The negative effects of burnout on educators are well documented and warrant concern in and of themselves (e.g., Emery & Vandenburg, 2010; Iancu et al., 2018; Von Der Embse et al., 2019). However, the impact of teacher stress and burnout on students must also be considered. The social-emotional competence and well-being of educators affect the social-emotional support that they can provide their students. Oberle et al. (Oberle et al., 2020; p. 1750), in a study involving 676 fourth to seventh grade students and their teachers, concluded that educators’ experience of burnout “shapes” student-teacher relationships, impacts classroom climate, and affects student learning. The results of this investigation suggested that educators who reported higher burnout were rated as significantly less socially and emotionally competent by their students. Put simply, students notice their teachers’ stress. In addition, a systematic review of the literature regarding the consequences of educator burnout on students found that educator burnout is related to poorer academic achievement and lower quality of motivation for students (Madigan & Kim, 2021). Inversely, school- and teacher-focused characteristics (e.g., organizational commitment) have been found to be protective factors for at-risk students by creating a more optimal educational climate, which is particularly important in the context of the COVID-19 pandemic (Freund et al., 2021). In recent years, there has been an increase among schools and educators to consider the impact of school climate on student performance and improve mental health and social-emotional learning supports in the school setting (Greenberg et al., 2017).
Increasingly, those in the field of education have sought to integrate mental health supports into school systems, providing educators with more training to promote student well-being and social-emotional development and creating systems to identify and intervene to address student needs. Schools continue to become a critical piece of the mental health system for children and adolescents (Hoover & Bostic, 2020). As noted by Weisbrot and Ryst (2020), the COVID-19 pandemic only intensified the need for mental health supports in schools for students as well as faculty and staff within school settings. To meet these needs, comprehensive systems are needed within schools, which include both school personnel (e.g., educators, school psychologists, social workers, etc.) and community providers (e.g., clinics, hospitals, and universities; Hoover & Bostic, 2020). Because school-wide intervention systems can be challenging to implement with fidelity (e.g., Burke et al., 2011), well-rounded supports for those responsible for daily implementation of any behavioral, academic, or mental health-focused approaches are critical. There continues to be a need to support the well-being of educators and students within school settings, creating a climate that recognizes and addresses these needs throughout schools.
There are several recent interventions and approaches for addressing educator stress and burnout that have garnered empirical attention. For example, Iancu and her colleagues (2017) conducted a meta-analysis examining the effectiveness of interventions designed to reduce teacher burnout that included several techniques, including Cognitive Behavioral Therapy (CBT), mindfulness/meditation, social-emotional skills training, psychoeducation, professional development, and social support. Overall, the results suggested significant improvement for participants, yet generally small effect sizes. More recently, von der Embse et al.’ (2019) systematic review of interventions for teacher stress included numerous modalities including psychoeducation, behavioral interventions for students, CBT, and mindfulness-based approaches. Findings support that behavioral interventions for students, mindfulness-based interventions, and CBT-based interventions such as Acceptance and Commitment Therapy (ACT) were most promising. Intervention approaches that seek to address student needs as well as utilize mindfulness and approaches such as ACT may be useful in meeting the needs of educators and students previously outlined.
ACT is an approach to intervention that is designed to support individuals' well-being through the development of psychological flexibility (e.g., Hayes et al., 2006). Psychological flexibility refers to a person’s ability to persist with or change their behavior in accordance with values-based contingencies while contacting all public and private stimuli in the current environment (e.g., Bond & Flaxman, 2006). Interventions that utilize the ACT approach are intended to increase such flexibility through verbal and experiential exercises inclusive of mindfulness processes (e.g., present moment awareness, acceptance) and behavior changes processes (e.g., values and committed action; for a more complete account of ACT, see Hayes et al., 2011). Research has demonstrated that psychological flexibility is related to numerous aspects of well-being, life satisfaction (e.g., Lucas & Moore, 2020), self-compassion and emotional well-being (e.g., Marshall & Brockman, 2016), and mental health (e.g., Kashdan & Rottenberg, 2010), among others. Specifically, in the workplace, research has suggested that psychological flexibility, in addition to other relevant variables, is predictive of learning, job performance, and mental health (e.g., Bond & Flaxman, 2006). Accordingly, researchers have explored the effects of ACT-based interventions for educators and those in human service positions in more than a few different settings.
Existing literature regarding ACT-based interventions for educators and care providers suggests that this approach has utility for individuals within these professions. In a randomized wait-list control design, Biglan et al. (2013) evaluated the effect of ACT workshops delivered to early education exceptional education staff and concluded that the interventions produced decreased experiential avoidance and increased mindful awareness, valued living, and sense of efficacy. An ACT-based stress management intervention for social workers was evaluated by Brinkborg et al. (2011) using a randomized controlled trial. Their results suggested decreases in reported stress and burnout and increased general mental health for those who completed the intervention. In two separate investigations, Pingo and colleagues (2020a, 2020b) evaluated the effect of an ACT-based training program combined with performance feedback on the active treatment provided by direct service professionals serving individuals with developmental disabilities in both single-case and group research designs. These authors concluded that the ACT-based intervention produced improvements to the frequency and quality of active treatment. These studies highlight the benefits of ACT-based interventions for those of various professions within educational settings. Other investigations highlight the utility of online or remote interventions for professionals within education and human services. Ebert and colleagues (2014) sought to evaluate the efficacy of an internet-based problem-solving training for teachers in a randomized controlled trial. They reported that the intervention was effective in decreasing symptoms of depression among teachers. These authors noted the need for more research related to online interventions to support educator mental health. Fish et al. (2016) reported that, while the evidence is limited, existing research regarding online-delivered mindfulness interventions suggests positive outcomes in a number of arrangements, and more research regarding the efficacy of this approach as well as the effect of including an expert facilitator is needed.
The effects of ACT-based interventions in school settings with children have also been explored. For example, numerous studies have explored the impact of ACT-based interventions for adolescents in school settings in group intervention arrangements (e.g., Fang & Ding, 2020; Takahashi et al., 2020) and naturalistic evaluations (e.g., Dixon et al., 2022). Results of these investigations suggest outcomes such as improved school engagement, psychological flexibility, and mindfulness, and decreased avoidance and hyperactivity/inattention. Although additional research is necessary in this area, existing research involving models (e.g., DNA-V, Hayes & Ciarrochi, 2015) and curricula (e.g., AIM, Dixon & Paliliunas, 2018) designed to support psychological and behavioral well-being among children using an ACT-based approach warrant further investigation. In addition, literature regarding the effect of a mindfulness-based intervention (rather than the full ACT model) for children and adolescents in school settings is more established (e.g., Felver et al., 2016) and, similarly, supports improved educational and psychosocial improvements for participants. Collectively, research regarding the application of ACT- and mindfulness-based interventions for both educators and students support the notions that ACT may be a consistent approach that can support the well-being of both employees and students in a school setting and foster the development of psychological flexibility for both groups.
An area of great interest, but with minimal empirical attention, is the development of psychological flexibility in the natural setting. Contemporary approaches to intervention, including ACT (see McEnteggart, 2018), are designed to influence verbal behavior via accessible environmental variables, as Guinther and Dougher (2015) discussed (specifically in the context of verbally competent adults). Educators can and do provide direct intervention and training to support mental health/social-emotional development among students, and these therapeutic interventions are important; however, it may also be important to support these behaviors consistently throughout the school day. Certain environmental manipulations outside of a formal intervention context may support and, possibly, enhance the effects of therapeutic intervention. Educators using ACT-consistent language throughout the school day during academic and social interactions with students could potentially prompt psychologically flexible behavior among students, provide opportunities to practice psychologically flexible behavior, create increased opportunities for reinforcement of psychologically flexible behavior in the classroom, or serve as augments for both educators and students to engage in various flexible behaviors throughout the school day, though empirical demonstrations of these effects are needed. Further, educator and student engagement in psychologically flexible behavior may each influence the other. The relationship between parent behaviors and child psychological flexibility has been demonstrated (e.g., Williams et al., 2012). Research is needed to determine if educator behaviors have a similar relationship to student psychological flexibility. This interaction between educator and student behavior and the potential impact of ACT-consistent stimuli within the school environment (e.g., regular use of ACT-consistent language throughout the school day) occasions a number of empirical questions related to what might be termed the “climate” or “culture” of the school setting, specifically the development and effects of an “ACT-consistent” climate. The effect of increased psychological flexibility on the cultural evolution of a school is an area of, perhaps, significant importance if it can aid in ensuring the well-being of every member of that school but has yet to be explored. One “step” in beginning to answer the many empirical questions posed here is to explore how to increase the frequency of ACT-consistent language used by educators in classroom settings.
The purpose of the present study is to evaluate a low-dosage, online, and remotely delivered ACT intervention with feedback for educators in an alternative educational setting on self-reported burnout and psychological flexibility, educator ACT knowledge, and frequency of educator use of ACT-consistent language while teaching. While the current investigation does not seek to explore the interactive effect of educator and student psychological flexibility, it does provide an evaluation of the impact of a practical ACT-based intervention for educators in an applied setting and related increases in ACT-consistent verbal stimuli within the classroom setting.
Method
Participants
Eighteen eligible teachers and teacher associates at an alternative education program serving students from Pre-K through Grade 12 were given the opportunity to participate in the study. Thirteen teachers (n = 4) and associates (n = 9) signed consent forms to participate. Given training schedules and goals of supporting those with the potential to encounter the greatest amount of workplace stressors, we opted to start the ACT intervention with teachers. Lola (all names are pseudonyms) was a Caucasian female, certified Special Education teacher with a K-12 Instructional Strategist II: BD/LD state license, with 14 years of teaching experience, the last seven of which were with middle and high school students at the alternative school program. Nancy was a Caucasian female, certified Special Education teacher with a K-12 Instructional Strategist II: BD/LD state license, with 7 years of teaching experience, the last three of which were with elementary school students at the alternative school program. Karen was a Caucasian female certified Special Education teacher who was enrolled in classes to complete requirements for her Instructional Strategist license and had 12 years working with children with behavior disorders, three of the last four of which were with middle and high school students at the alternative school program. Tom, a Caucasian male, was a certified long-term substitute teacher with 6 years of experience working in alternative programs as a substitute teacher, the last two of which were with students in the middle and high school alternative program.
Setting
The alternative school program serves more than 40 students grades Pre-K through 12 who have an instructional individualized education plan (IEP) and significant cognitive and behavioral needs. All students referred to the program have exhausted special education services in their resident district. Students attending the alternative program have been referred by their resident district administrators, the state department of education special education support service representative for their resident district, and their resident district IEP team. Students are from approximately 20 communities located in ten counties in a midwestern state, with daily commutes between 10 min and 105 min each way to and from the program. Students tend to be evenly divided among elementary (30%), middle (33%), and high (38%) school grade levels. The largest percentage of students are male (88%), reside with one biological parent (55%), and qualify for free/reduced meals (74%). The overwhelming majority (95%) of students served by the alternative program have a DSM-5 diagnosis, 72% of whom have multiple diagnoses. The most common diagnoses among students are attention-deficit/hyperactivity disorder (ADHD), combined presentation, oppositional defiant disorder (ODD), disruptive mood dysregulation disorder (DMDD), and autism spectrum disorder (ASD). A high percentage (81%) of students at the alternative program have experienced five or more adverse childhood experiences placing them at significant risk for a variety of mental and physical health problems such as depression, ADHD, anxiety, and behavior disorders; illegal substances, tobacco, and frequent alcohol use; repeating a year at school, high school absenteeism, reduced likelihood of high school graduation and fewer years of education, overall; early sexual debut and adolescent pregnancy; reduced likelihood of employment in a moderate-skilled job; and greater likelihood of juvenile arrest and felony charges by age 25 (Giovanelli et al., 2016, b; Nelson, Bhutta, Burke Harris, Danese, & Samara, 2020). In addition to a full and regularly scheduled academic curriculum, students receive mental health services such as group, individual, and family therapy, all of which are grounded in acceptance and commitment therapy.
Dependent Variables
Self-Report Measures
Three self-report measures were administered at four points throughout the study: at the onset of the study, at the conclusion of the baseline period, following the online modules, and at the conclusion of the study. These measures were collected as supplementary sources of data to observe changes in participants’ reports of burnout, psychological flexibility, and their content knowledge related to ACT. The Maslach Burnout Inventory-Educator Survey (MBI-ES; Maslach et al., 1986) is a 22-item Likert-scale questionnaire that is designed to measure burnout among educators, including teachers, administrators, and other staff members in educational settings. The MBI-ES provides three subscales: emotional exhaustion, depersonalization, and personal accomplishment. Scales are scored separately, and for the emotional exhaustion and depersonalization scales, lower scores indicate less reported burnout, and for the personal accomplishment scale, higher scores indicate less reported burnout. Scores can be categorized as “low,” “moderate,” or “high” for each subscale. The CompACT (Francis et al., 2016) is a 23-item Likert-scale measure of psychological flexibility, including three subscales (openness to experience, behavioral awareness, and valued action) in addition to a total score. Higher scores indicate greater reported psychological flexibility. The ACT Knowledge Questionnaire (Luoma & Plumb, 2013) is a 16-item multiple-choice assessment of conceptual knowledge related to ACT designed for training of therapists. Items on this assessment were modified for use with educators. For example, an item that originally read as: “A client tells a story about her life that includes drinking alcohol every day, three failed marriages, moving every 12 months, overeating, and repetitious self-injury. What process is most likely to functionally connect these issues?” was revised to read: “A client tells a story about her life that includes binge eating every day, failing most tests, moving every 12 months, and repetitious self-injury. What process is most likely to functionally connect these issues?” Scores are reported as percent correct.
ACT-Consistent Language
Classroom observations were used to assess teacher use of ACT concepts during academic lessons, among other components that the program collects during routine fidelity checks, for example, rates of praise, proactive teaching, and correction per min. Seven ACT concepts were selected prior to the start of the study based on content included within the online ACT intervention and group meetings, including: ‘being present,’ ‘acceptance/willingness,’ ‘defusion,’ ‘self-as-context,’ ‘committed actions/goals,’ ‘values/valued life activities,’ and ‘psychological flexibility.’ Operational definitions (Table 1) were discussed and agreed upon by four authors who designed the study (DP, RB, ST, CF). For example, during a Social Skills class for middle school students, the teacher facilitated a discussion about perceptions and assumptions, highlighting a situation with one of the students from earlier in the week when the student assumed that the teacher was talking with another teacher about him. The student shared that he always assumes that people are talking about him, increasing his awareness of those experiences from a distance. Interaction facilitated by the teacher was coded as ‘self-as-context.’ Each classroom observation was 10 min in duration and included frequency counts of ACT and program components per each observation minute. Additionally, observations occurred during class lessons when the teacher led class instruction and discussions. Course type varied depending on teacher schedules, and at the middle and high school included English, Global Studies, Health, Math, and Social Skills. Classes during which observations occurred at the elementary program included Language Arts, Math, Reading, and Writing. While certain classes may appear to present more opportunities to use ACT-consistent language (e.g., Math vs. Social Skills), given students’ presentation of challenges across academic content, there is opportunity to use ACT concepts to help students prevent and cope with stress, frustration, and subsequent cognitive and behavioral problems across academic lessons. A single-factor ANOVA was computed to compare class sizes among the three middle and high school teachers (MHS) during observations. Results indicated no significant differences among MHS teachers, F(2,76) = .55, p = 0.57). A two-sample t-test for unequal variances was conducted to compare MHS and elementary school class sizes. Results indicated a significant difference between mean MHS (M = 5.82; SD = 1.25) and elementary school (M = 3.77; SD = 0.82) class size during observations (t(43) = 7.01; p < .001).
Table 1.
ACT-consistent language examples from classroom observations
| ACT concepts | Observation form description | Grade level and academic subject: example |
|---|---|---|
| Being Present: | Reference to being in the present moment, focusing awareness on something or themselves, or being non-judgmental | MS* Global Studies: The teacher explains what sanctions are and how they are used to get countries to change what they are doing. Then, the teacher asks students to think about sanctions that their parents use at home to get them to change their behavior, e.g., cursing. Finally, the teacher asks students to think about how sanctions felt, have worked with them, and options that may be more helpful to get them to change behavior. |
| Acceptance/ Willingness: | Reference to being willing to experience an internal experience | ES* Math: During class about two-digit multiplication, a student shares that he is distracted by noise from another student. The teacher expresses appreciation for being aware of and willing to experience that distraction without becoming angry with noisy peer. |
| Defusion: | Reference to letting go of the need to be in control, getting unstuck on thought or feeling | MS Social Skills: Teacher facilitated discussion about barriers and successes with online learning. One student shared that he hates online learning and gets angry when he gets online for class. The teacher asked how he managed to get unstuck from that thought and do well online yesterday. The student shared that he set aside his angry thoughts and decided to do his work online. |
| Self as Context: | Reference to taking another’s perspective or looking at content of past experiences or awareness of experiences without attachment to them. | ES Math: During work on two-digit multiplication problems, teacher commented that she likes how students are noticing how they solved problems yesterday and using those strategies when they find errors today [on their problems] and fix it [with yesterday’s strategies]. |
| Committed Action/Goals: | Reference to expressing larger behavior patterns linked to values or longer-term personal reinforcers | MS Science: Before watching video, student asks teacher if they should take notes during or after video. Teacher asks them to experiment by trying both options to see which one helps them reach their class goals. |
| Values/Valued Life Activities: | Reference to describing, expressing intangible actions that are meaningful to the person | MS Global Studies: During discussion about refugees and their experiences, teacher asked students to think about what is valued by them now, but what would they value as a refugee, for example, when they do not have access to electricity to charge their valued video games. |
| Psychological Flexibility: | Reference to recognizing options or being fully conscious or changing behavior to align with chosen values. | MS Social Skills: During class about being accountable for one’s choices, the teacher shared an example where she made an excuse for backsliding on her training schedule. She recognized her mistake and got back on track with training because doing well in upcoming competition was important to her. |
*MS Middle School class, ES Elementary School class
Social Validity
Participants were asked to complete an adaptation of the Treatment Evaluation Inventory-Short Form (TEI-SF; Kelley, Heffer, Gresham, & Elliott, 1989), a seven-item assessment of participants’ acceptability of the ACT intervention. The TEI-SF is an abbreviated version of Kazdin’s 15-item Treatment Evaluation Inventory (1980). The TEI-SF asks respondents to rate their level of agreement using a 5-point scale (1 = strongly disagree; 5 = strongly agree). The TEI-SF has a reading level of 4.2, sound psychometrics, and can be completed, on average, in slightly more than 2 min (Kelley, Heffer, Gresham, & Elliott, 1989).
Experimental Design and Procedure
This ACT-Based Brief Intervention for Educators treatment package was examined using a multiple-baseline design across participants; specifically, the multiple baseline consisted of an A-B-C-D-E design. The participants were exposed to the following phases: a baseline phase (A), a series of online ACT modules (B), a series of live, remote ACT-based group meetings (C), a feedback phase (D), and a maintenance phase (E). One participant, Lola, experienced a natural return to baseline conditions following the group meetings phase; this participant taught remotely for a period of time, and observations were continued, but the onset of the feedback phase was delayed (resulting in an A-B-C-A-D-E design for this participant). Each participant completed self-report assessments twice during the baseline period (at the onset and conclusion of the baseline period) and twice during the intervention period (at the conclusion of the online modules and conclusion of the study).
Baseline
During the baseline phase, observations were conducted to collect data on the dependent measure, and no other manipulations were made to the work environment. Participants taught several different subjects to students during baseline and intervention observations, including social studies, history, language arts, mathematics, science, and social skills. Standard agency protocol includes regular observation of performance and student-teacher interaction; therefore, the participants were familiar with the observation protocol. No feedback regarding the use of ACT-consistent language was provided during baseline.
Online ACT Modules
During the second phase, participants completed a series of three online training modules that introduced ACT concepts in the context of educator stress and burnout and provided participants the opportunity to complete exercises that related ACT processes to their own experience as well as their students’ experiences. Participants received a link via email to one online module on each Wednesday over the course of 3 weeks and were provided with scheduled time during the workday to complete the module; if they did not complete the module within the allotted time, they were instructed to finish the module on their own by the end of the week. Each module required approximately 45–60 min for the participants to complete, and included items to read, exercises to complete, and brief videos to view. Each module included two general topics and several activities related to each topic. Module 1 had a focus on (1) normalization of work stressors and creative hopelessness and (2) an introduction to the ACT Matrix and work-related values and barriers. Module 2 included a focus on (1) acceptance and willingness as an alternative to avoidance and (2) practicing mindfulness-focused ACT core processes (present moment awareness, defusion, and self-as-context). Module 3 emphasized (1) developing a values-driven willingness and action plan and (2) review and synthesis of module content. Some activities included a perspective-taking component in which participants were asked to consider their students’ perspectives or their interactions with students within the ACT framework; however, they were not instructed to apply this in their interactions with students directly. For more information regarding individual modules, see Table 2. After completing each module, participants were sent a two-page "key information" document, which summarized content from the module and provided details about ACT-based strategies covered within the module. During this phase, observations were conducted, and participants were provided no feedback on their use of ACT-consistent language. In Fig. 2, the phase change lines represent the time from when the first link was distributed to when the first remote ACT meeting occurred (a 3-week period).
Table 2.
Online ACT modules
| Module | Topics | Components |
|---|---|---|
| Module 1 | Normalization of work stressors and creative hopelessness |
1) Stress Inventory 2) Psychoeducation: Work Stress and Burnout 3) Perspective Taking: What stressors do students face? 4) Creative Hopelessness: Control Techniques (Costs of Avoidance, Harris, 2008). |
| Introduction to the ACT Matrix and work-related values and barriers |
5) Creative Hopelessness Video (‘The Struggle Switch,’ Dr. Russ Harris, 2015a, b). 6) Introduction to ACT Matrix Video 7) ACT Matrix Exercise (Polk & Schoendorff, 2014) 8) Wrap Up/Reflection |
|
| Module 2 | Acceptance and willingness as an alternative to avoidance |
1) Review from Module 1 2) Introduction to Acceptance & Video (Veterans Health Administration, 2015) 3) Why Choose Willingness? Exercise (Hayes, 2005) 4) All or Nothing Nature of Willingness/Accepting vs. Giving Up |
| Practicing mindfulness-focused ACT core processes |
5) Perspective Taking: When are students willing or avoidant? 6) 3 Wishes Exercise (Gould et al., 2018) 7) Introduction to Mindfulness & Basic Techniques 8) Introduction to Defusion & Basic Techniques 9) Introduction to Self-as-Context & Basic Techniques 10) Wrap Up/Reflection |
|
| Module 3 | Developing a values-driven willingness and action plan |
1) Review from Module 2 2) Introduction to Values & Committed Action 3) Values vs. Goals Video (Dr. Russ Harris, 2015b) 4) Values Retirement Exercise |
| Review and synthesis of module content |
5) Perspective Taking: What do students value? 6) Willingness and Action Plan (Harris, 2008) 7) Wrap Up/Reflection |
All exercises cited were adapted from the original source for use in this intervention
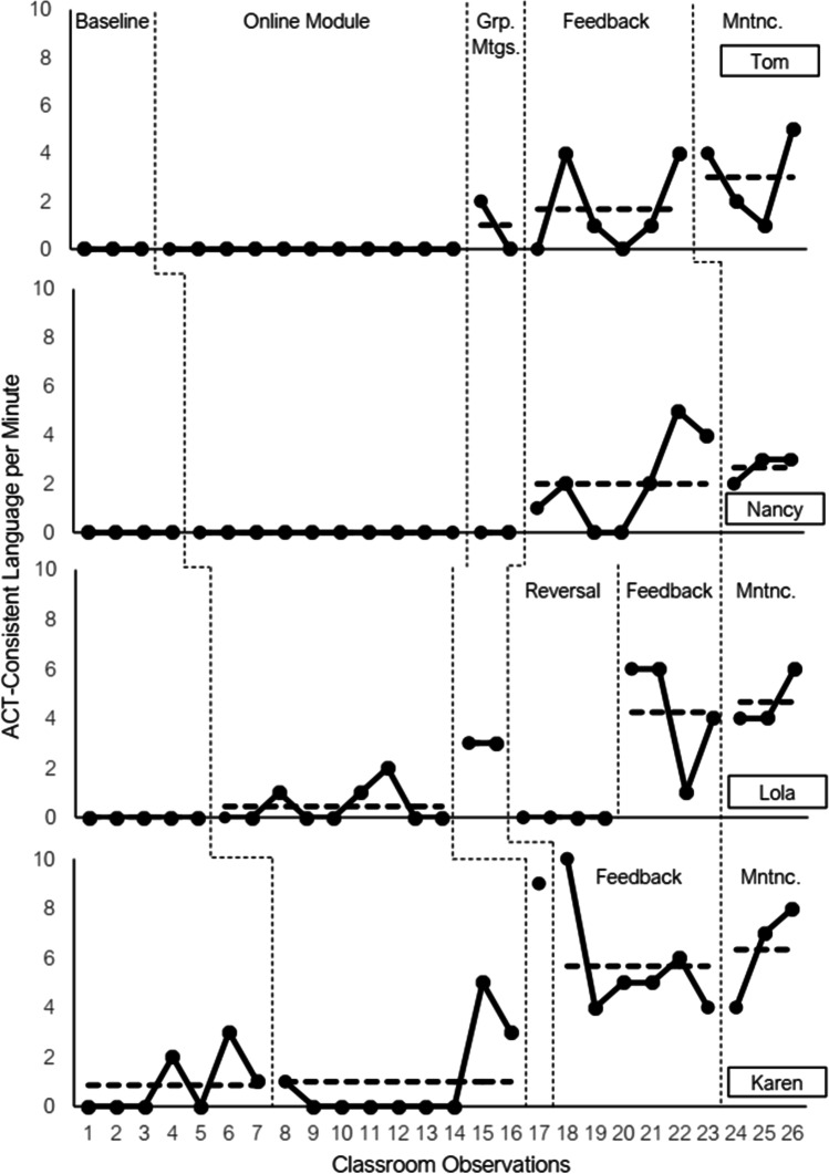
Fig. 2.
ACT-consistent language used per 10-min classroom observation. Note: Horizontal lines in each panel depict average rate of ACT-consistent language use during academic class observations across baseline and intervention conditions
Remote ACT Meetings
Following the completion of the online ACT modules, participants attended three weekly live, remote sessions using a video conference platform. These meetings occurred during the scheduled time at the end of the workday and were 45 min in length. The four participants and one author attended all of the ACT meetings. The purpose of the meetings was to review the content from the online modules, facilitate discussion among the participants, and provide an opportunity for participants to ask questions. Each meeting focused on the content from one of the online modules and was structured in the following format: (1) review of key information from the module using a PowerPoint presentation, (2) two-part discussion (application for self and application for interactions with others), and (3) completion of a brief committed action exercise. During the discussion portion of each meeting, pre-determined prompts were presented to the participants to facilitate conversation. Some prompts were focused on participants’ application of the ACT processes in their own lives (e.g., "What thoughts, feelings, or events do you feel you may struggle with accepting or defusing from?"), and some were related to participants' interaction with others (e.g., "Tell me about how you see stressors, control, and avoidance in the context of the students or colleagues you work with. How does this effect your interactions with them?"). During these conversations, possible applications of these concepts with students were discussed and encouraged; however, participants were not instructed to use ACT-consistent language in the classroom. Observations continued during this phase, and no feedback was provided regarding the use of ACT-specific language. In Fig. 2, the phase change lines represent the time from the first to the third ACT meetings (a 2-week period), as the feedback phase began immediately following the third session.
Feedback
Following the completion of the third ACT Meeting, the trained observers began providing oral and visual feedback regarding the use of ACT-consistent language during observations. Following each observation, the observers provided participants with feedback regarding their use of ACT-consistent language including the frequency of statements observed and examples of statements observed. In addition, if the observer had noted a missed opportunity to apply an ACT-consistent statement during the observation, they would share this example with the participant and discuss how an ACT-focused concept could have been applied in that situation. Finally, participants were given the opportunity to ask questions related to the ACT concepts or the feedback provided. Feedback sessions were approximately 5–10 min in length; no other experimental manipulations were made during this phase. On Fig. 2, the phase change lines represent the time from the conclusion of the third ACT meeting to the end of the feedback phase (a 3-week period).
Maintenance
Upon conclusion of the feedback phase, observations continued for an additional 3 weeks. At the completion of the feedback phase, a “stable average” was calculated for each of the four participants by computing the average rate of ACT concept presentation during the feedback phase for each participant. For example, the mean rate of ACT concept presentation for Karen during the feedback phase was 5.7, so Karen received feedback after the first observation (ACT concept rate was 4) but not after the two subsequent observations (ACT concept rates of 7 and 8). (Lola was not included given the natural reversal following the third phase.) Following each observation during this phase, if the participant’s performance fell below this “stable average,” a “booster session” of feedback was provided, following the same procedure as the feedback phase. If the participant’s performance was equal to or greater than the stable average, no additional feedback was provided to the individual. No other experimental manipulations were made during this phase.
Debrief Interview
Upon conclusion of the final phase of the study, a brief 10- to 15-min follow-up meeting was completed for each participant individually via the video conferencing platform. The purpose of this meeting was to provide participants feedback on their self-report measures from baseline to intervention and to obtain feedback from participants regarding their experience during the intervention, including types of stressors they experienced during the study and the ACT concepts or techniques they found beneficial in their personal life and within the classroom, including examples of each, which can be found in Table 3.
Table 3.
Debrief interview
| Lola | Karen | Nancy | Tom | |
|---|---|---|---|---|
| Stressor Domains Identified; * indicates Ongoing Stressor, no symbol indicates Short Term Stressor | ||||
|
Housing Health* Education* Work * Relationships* |
Work* Health* Marital/Partner* |
Housing Finances |
Death Work* Relationships* |
|
| “What ACT concepts or techniques have been beneficial for you in your personal life?” | ||||
|
Concepts: Acceptance Willingness |
Concepts: Present Moment |
Concepts: Present Moment |
Concepts: Acceptance Willingness Values Committed Action |
|
| Practice acceptance of challenges related to children rather than attempt to suppress related thoughts | During stressful/crisis moment during school day, pause to notice thoughts and feelings before reacting | Example: Recognizing thoughts and feelings before approaching a situation | Identified shared value with spouse and created a values-driven goal for summer together | |
| “In your professional work, what ACT concepts or techniques have you utilized within the classroom?” | ||||
|
Concepts: Acceptance Values |
Concepts: Present Moment Values |
Concepts: Present Moment Values |
Concepts: Present moment Acceptance Values |
|
| When a potentially challenging situation is upcoming, help students identify the thoughts/ feelings they might have, and discuss how to be accepting of them | Engage students in classroom activities by relating content/skills to their values | Using present moment awareness and values to help students make a personal connection to teacher and content | During a crisis situation, ask “What is important to the student right now and how do we get there?” | |
Interobserver Agreement (IOA)
Two licensed mental health providers on the staff in the alternative program independently completed teacher observations during 27% of the total number of observations with the primary observer, i.e., the second author (RB), who is also a licensed mental health provider. Mental health providers were previously trained to provide program-related staff classroom observations and had more than 3 years of experience providing group and individual therapy grounded in ACT. At the conclusion of each observation, the rate of ACT concepts used per min was computed by both primary and secondary observers and each observed concept was discussed to assess agreement between observers on concept type and content. In cases where observers disagreed on identified concept type or content, the observers presented their reasoning and arrived at an agreed upon concept type and content. IOA was determined by calculating the number of agreements between observers after discussion of concept type and content, dividing the number of agreements by the number of agreements plus disagreements, and multiplying by 100. Overall, IOA was 97% for occurrences of teacher use of ACT concepts and 89% for agreement with identified ACT concept type.
Results
Self-Report Measures
Four participants completed the three self-report measures twice during the baseline condition and twice during the intervention conditions; results for each participant are reported in Table 4. Raw scores are reported and described for supplemental analysis regarding the effects of the intervention on participant well-being and ACT knowledge. Although four administrations of the self-report measures are reported, they will be described here in terms of change from the first to the last administration (i.e., the beginning and end of the study).
Table 4.
Self-report measures
| Baseline 1 | Baseline 2 | Intervention 1 | Intervention 2 | |
|---|---|---|---|---|
| MBI-ES: Emotional Exhaustion | ***=High, **=Moderate, *=Low | |||
| Lola | 17** | 13* | 8* | 9* |
| Karen | 41*** | 44*** | 39*** | 13* |
| Nancy | 9* | 16* | 29*** | 15* |
| Tom | 22** | 22** | 20** | 38*** |
| MBI-ES: Depersonalization | ***=High, **=Moderate, *=Low | |||
| Lola | 7* | 6* | 6* | 4* |
| Karen | 14*** | 16*** | 13** | 6* |
| Nancy | 3* | 5* | 9** | 6* |
| Tom | 9** | 6* | 7* | 4* |
| MBI-ES: Personal Accomplishment | ***=Low, **=Moderate, *=High | |||
| Lola | 45* | 46* | 47* | 48* |
| Karen | 46* | 46* | 47* | 43* |
| Nancy | 45* | 39* | 43* | 42* |
| Tom | 42* | 43* | 43* | 48* |
| CompACT: Psychological Flexibility |
Higher scores indicate greater flexibility (max=138) *=Report greater flexibility from BL 1 to INT 2 ***=Report lower flexibility from BL 1 to INT 2 |
|||
| Lola | 87 | 89 | 103 | 108* |
| Karen | 96 | 81 | 97 | 107* |
| Nancy | 79 | 88 | 83 | 93* |
| Tom | 104 | 94 | 102 | 88*** |
The MBI-ES questionnaire was used to measure educator burnout and included three subscales for each participant. On the Emotional Exhaustion subscale, Lola reported a moderate score (17) at the initial baseline and a low score (9) at the end of the intervention, Karen reported a high baseline score (41) and a low intervention score (13), Nancy reported a low baseline score (9) and a low intervention score (15), and Tom reported a moderate baseline score (22) and a high intervention score (38); results indicate one participant did not need to improve in this area, two participants reported less exhaustion, and one participant reported more exhaustion. On the Depersonalization subscale, Lola reported a low score at baseline (7) and a low score at the end of intervention (4), Karen reported a high baseline score (14) and a low intervention score (6), Nancy reported a low baseline score (3) and a low intervention score (6), and Tom reported a moderate baseline score (9) and a low intervention score (4); results suggest that two participants did not need to improve in this area and two participants reported reduced depersonalization. On the Personal Accomplishment subscale, all four participants reported high scores at each administration, suggesting intervention was not needed in this area.
The total score on the CompACT measure was utilized to measure psychological flexibility. Lola reported a score of 87 at baseline and 108 at the end of intervention (15.22% increase), Karen reported baseline and intervention scores of 96 and 107 (7.97% increase), respectively, Nancy reported baseline and intervention scores of 79 and 93, respectively (10.14% increase), and Tom reported baseline and intervention scores of 104 and 88 (11.59% decrease), respectively; scores on this measure indicated that one participant reported less psychological flexibility at the end of the study and three reported greater psychological flexibility.
Participants also completed the ACT Knowledge Questionnaire to assess conceptual ACT knowledge on four occasions throughout the study. For all four participants, scores during baseline administrations remained stable or decreased and increased during each of the intervention administrations. Lola’s score increased 31%, Karen’s score increased by 44%, Nancy’s score increased by 56%, and Tom’s score increased by 50% throughout the course of the study. Scores for each participant are reported in Fig. 1.
Fig. 1.
Scores on ACT knowledge questionnaire during baseline and intervention conditions
ACT-Consistent Language
Teachers used ACT-consistent language, i.e., referencing at least one of the seven targeted ACT concepts, at increasing rates after each of the intervention conditions (Fig. 2). For example, during baseline, teacher use of ACT concepts during academic lessons was relatively low (i.e., one participant) or non-existent (i.e., three participants). After introduction of the online ACT module, two participants used ACT concepts during one-third of observed classes. During the online group meetings condition, three participants used ACT concepts during 57% of observed classes. During the feedback condition all participants used ACT concepts at higher mean rates than they did after prior modules in 83% of observed classes. Finally, during the maintenance phase, all four participants used ACT concepts during all observed classes. The most frequently referenced ACT concepts during class observations were Being Present (49%), Self as Context (19%), Committed Actions/Goals (11%), and Acceptance/Willingness (10%).
Regardless of baseline rates of ACT concept use, each participant increased, on average, between 2.7 and 7.4 times higher when comparing maintenance with baseline condition. Karen provided reference to ACT concepts, on average, 0.9 times per 10-min observation period during baseline and increased to 5.7 and 6.3 times per 10-min observation period during the feedback and maintenance phases, respectively. The three remaining participants presented baseline rates of zero ACT concepts during 10-min observations and average maintenance phase rates of 2.7, 3.0, and 4.7 references to ACT concepts per 10-min observation periods (Fig. 2).
Treatment Evaluation Inventory
Four participants completed the TEI-SF, and the results can be found in Table 5. Total scores on the adapted TEI-SF can range from 7 to 35, with higher scores indicating a greater level of acceptability. Teachers’ mean total score on the TEI-SF was 33.67, indicating strong support for the use of the ACT intervention as a support for participants in their personal life and professional role. Three of the four participants provided written comments on the TEI-SF, offering additional evidence that they found the ACT intervention “helpful in [my] personal and professional lives.” Another participant indicated that she/he “witnessed several students being successful when they used [ACT components] during class.”
Table 5.
Participant treatment evaluation inventory ratings (n = 4)
| Item | Ma (SD) |
|---|---|
| 1. I found the ACT information and meetings to be an acceptable way to provide personal and professional support training. | 4.50 (0.58) |
| 2. I would recommend the ACT information and meetings to other staff who want personal and professional support training. | 4.50 (0.58) |
| 3. I liked the ACT information and meetings. | 4.50 (1.00) |
| 4. I believe that the ACT information and meetings were helpful. | 4.75 (0.50) |
| 5. I believe that the ACT information and meetings were easy to use. | 4.50 (0.58) |
| 6. I believe that the ACT information and meetings will help staff with personal and professional support challenges. | 4.50 (0.58) |
| 7. Overall, I had a positive reaction to the ACT information and meetings. | 4.75 (0.50) |
| Total M and SD | 33.67 (2.31) |
aItems are scored on a 5-point scale ranging from 1 (strongly disagree) to 5 (strongly agree)
Discussion
The present study sought to evaluate a low dosage, online, and remotely delivered ACT intervention with feedback for educators in an alternative educational setting to increase ACT knowledge and assess effects on psychological well-being and flexibility. Additionally, we assessed whether increased knowledge would result in non-targeted changes in teacher use of ACT-consistent language during academic lessons. The study was particularly germane given reported increases in stress among school staff as a result of the COVID-19 pandemic, which created unique challenges for educators and students. Of interest was both the targeted effect of the ACT intervention on participants’ reported experience as well as the non-targeted use of ACT-consistent language within the classroom setting. The results of this study should be considered preliminary; the data presented here are an initial exploration of this effect, and future evaluations can serve to provide refinements to the methodology presented here.
Participants completed self-report measures regarding their experience with burnout and psychological flexibility throughout the course of this study. Of the participants who reported moderate or high emotional exhaustion initially, two of three reported low scores on the same scale at the end of the study. Of those who reported moderate or high depersonalization at baseline, two of two reported low scores on the same measure at post-test. All participants in this study reported high personal accomplishment at baseline, therefore there was no need for improvement in this area. Three of four participants reported greater psychological flexibility from baseline to intervention. These supplementary self-report measures indicate that most participants reported improvements in areas in which intervention was needed throughout the course of this study. As well, on the measure of conceptual ACT knowledge, all participants’ scores increased; individual scores increased by 30–56% on this measure, suggesting that understanding of ACT concepts improved consistently throughout the study. It should be noted that the ACT Knowledge Questionnaire was designed for use in training therapists and the participants in this study did not fall within that population; these were educators who were not being trained to conduct ACT-based therapy but were engaged in an ACT-based intervention themselves and, during remote ACT meetings, were informally encouraged to use this terminology when interacting with students. So, while participants’ scores on this assessment did not demonstrate mastery of ACT content, we would not have expected them to master this content to the same degree as a therapist-in-training. The substantial increases in scores in this area reflect the knowledge acquired throughout the intervention; however, they also highlight the difference between knowledge gained when participating in an intervention and knowledge needed to implement an intervention. \
Additionally, participants were observed while teaching to capture the frequency of their use of ACT-consistent language when interacting with students. Consistent with gains from teacher training, knowledge development, and subsequent implementation of skills in the classroom (e.g., Joyce & Showers, 1983), there was an observed cumulative effect with the introduction of each intervention module in the current study. All participants demonstrated an increase in their use of ACT-consistent language during academic lessons; as noted, when comparing baseline with maintenance data, participants’ use of ACT-consistent language increased by two to seven times. A couple of considerations should be made when interpreting these data. First, it is important to consider the context of these data: the participants were teachers who work with students who receive ACT-based individual and/or group therapy as part of their education plans. The purpose of this investigation was not to train teachers to implement ACT interventions with their students, rather, of interest was the participants’ frequency of communication with students that was consistent with (and potentially supportive of) the therapeutic intervention provided within the school setting. With previous research indicating a relationship between parent and child psychological flexibility (e.g., Williams et al., 2012) and growing interest in facilitating flexibility within the natural environment, investigations that explore the relationship between teacher and student behavior in this area are worthy of attention. Second, although data indicated that participants’ ACT knowledge increased following their completion of the remote online modules, their use of ACT-consistent language in the classroom did not increase substantially until feedback regarding their interactions was provided. These data are not surprising; although there was discussion of students’ experiences and student interactions during the online modules, the ACT intervention was designed to support participants’ own well-being, and no specific instruction or direction to utilize ACT in their teaching was provided. However, results from observations during academic classes suggest that the participants learned about ACT during the remote intervention, reported improvements in their well-being, and when provided feedback and opportunities to discuss their interactions with students demonstrated a marked increase in ACT-consistent language during academic lessons.
As previously noted, Lola experienced an unplanned return to baseline conditions when she taught remotely for a period of time. This participant’s data are noteworthy for this reason. Her classroom observation data increased slightly during group meetings, then returned to baseline levels during the “reversal” condition, increasing again when feedback was introduced. While she did experience a return to baseline conditions (meaning she was not exposed to any intervention components during that time) she had completed the online modules and meetings, and this information could not be “removed.” There are a number of possible explanations for the return to zero levels of responding, such as the change in context to remote teaching. However, these data could lead to other empirical questions. All other participants continued to have ‘active’ and ‘ongoing’ exposure to ACT-relevant stimuli (modules, meetings, feedback), whereas Lola (to our knowledge) was not exposed to ACT-relevant stimuli during that time Future research is needed to explore the momentary, on-going, and long-term term impact of exposure to ACT-based stimuli (such as intervention materials) on individuals’ behavior in the natural environment.
Although the results of this study provide useful information to inform future research, the data should be interpreted considering a number of limitations. One of the primary dependent variables of interest was educator well-being, as captured by measures of burnout and psychological flexibility. In the present student, we relied solely on participants’ self-report of these experiences. The benefits and limitations of self-report data have been discussed (e.g., Rehfeldt, 2019), and although these data are useful, future investigations might be enhanced by including overt measures of burnout and psychological flexibility, for example, teacher absences or frequency of values-directed behavior in school. One of the primary intervention components of this study was the set of online ACT modules the participants completed. While permanent products of participants’ responses were obtained after they completed each module, we were not able to observe participants completing these tasks to collect data regarding their attending to the materials. In future studies, the addition of measures of treatment integrity throughout each of phase of the study would support comprehensive analysis and interpretation of the results.
Perhaps the most notable limitations in this study relate to the ACT-consistent language and observations. First, the definitions of ACT-consistent language were created for the purpose of this study; although observers were calibrated and IOA was good, refinement of this approach will be important to future investigations. In terms of IOA, it is important to acknowledge that observers’ ratings of the presence or absence of ACT-consistent language were consistent; however there was less agreement regarding the ‘category’ of each instance (e.g., ‘present moment,’ ‘acceptance,’ etc.) than there was with the occurrence of teacher use of ACT-consistent language. It should be noted that IOA data was collected for only 27% of sessions due to the applied nature of study, which is a limitation, particularly in light of the novel definitions for ACT-consistent language used in this study. Additionally, as stated previously, observers discussed the concept type and content in cases where they disagreed on this category. This was done because of the novelty of definitions used and is also a limitation of this study, although this discussion did not affect the total IOA reported. In the future, researchers should either refine the categorical distinctions among ACT components or consider if it is necessary to record the “type” of ACT-consistent language in this sort of evaluation in the natural environment, where more general language might be used, and situations may relate to multiple ACT core processes simultaneously. As well, researchers might consider contexts in which the more specific categorical distinctions might be useful, such as a situation in which a specific core process is being targeted for a student and increasing teacher use of language related to that process would support the intervention. Second, the nature of the observations (twice weekly, 10 min in duration) provides only a small sample of each participants’ behavior throughout the course of a school day or week; likely, our observation system did not capture every instance of ACT-consistent language. In this and future research, it is important to consider how providing feedback regarding the use of these concepts during interactions with students (specifically those who are treated using an ACT-based approach) can support the acquisition of ACT knowledge and the development of educational environments in which students are exposed to ACT-consistent language during their school day that is consistent with this approach.
Finally, the study we conducted captured multiple dimensions of teachers’ experience (e.g., well-being self-report, classroom behavior); however, we did not measure changes in student experience or behavior. This limitation points to one area for future research, although there are several. Researchers who seek to replicate or extend these findings might seek to more precisely and more holistically examine ACT-consistent language and the effect of environments that are rich in stimuli that support ACT-consistent behavior on student and staff well-being, behavior, and performance. In addition to refinements to methodology and expanded data collection approaches, future investigations might seek to improve the intervention provided in this examination. These data suggest that ACT knowledge increased following completion of the ACT modules and meetings, but behavior in the classroom did not change across all participants until feedback was provided. Future iterations of this research might combine the online modules and group meetings into one phase and extend the length of the feedback phase or make it more robust. Our study included short-term maintenance observations; however, the long-term effects of this intervention are paramount for meaningful, impactful change to the school environment to occur.
The primary conclusion we draw from the current study is that it is possible to consider interventions for educators that provide support for the targeted goal of improved staff well-being and the additional outcome related to use of ACT-consistent language during interactions with students. Participant responses during their treatment evaluations and the debrief interview phase suggest that they personally and professionally benefited from the ACT-Based Brief Intervention for Educators intervention and benefits to students were reported by participants as well. The benefits of developing psychological flexibility are well documented (e.g., Kashdan & Rottenberg, 2010). More research is needed regarding specific interventions to increase psychological flexibility among adults and children in school settings, but it is also important to analyze the development of environments that occasion this psychologically flexible behavior and support it when it occurs. This preliminary investigation provides information regarding an ACT-Based Brief Intervention for Educators treatment package and support for the use of remote intervention and performance feedback to improve educators’ reported well-being and use of ACT-consistent language in the classroom.
Code Availability
N/A
Authors’ Contributions
All authors contributed to the study conception and design. Material preparation, implementation, and data collection/analysis were completed by the first three authors. The draft of the manuscript was written collaboratively, and all authors read, revised, and approved the final manuscript.
Funding
This project was funded in part by a joint research grant between the two participating agencies.
Data Availability
The datasets generated during and/or analyzed during the current study are available from the corresponding author on reasonable request.
Declarations
Conflicts of Interest
The authors have no conflicts of interest to disclose.
Ethics Approval
All procedures performed in this study that involved human participants was in accordance with the ethical standards of the institution and/or national research committee and with the 1964 Helsinki Declaration and its later amendments or comparable ethical standards.
Consent to Participate
Informed consent was obtained from all participants prior to their participation.
Footnotes
Publisher’s Note
Springer Nature remains neutral with regard to jurisdictional claims in published maps and institutional affiliations.
References
- APA. (2021). Stress in America: One year later, a new wave of pandemic health concerns. https://www.apa.org/news/press/releases/stress/2021/sia-pandemic-report.pdf
- Biglan A, Layton GL, Jones LB, Hankins M, Rusby JC. The value of workshops on psychological flexibility for early childhood special education staff. Topics in Early Childhood Special Education. 2013;32(4):196–210. doi: 10.1177/0271121411425191. [DOI] [PMC free article] [PubMed] [Google Scholar]
- Bond FW, Flaxman PE. The Ability of Psychological Flexibility and Job Control to Predict Learning, Job Performance, and Mental Health. Journal of Organizational Behavior Management. 2006;26(1–2):113–130. doi: 10.1300/J075v26n01_05. [DOI] [Google Scholar]
- Brinkborg H, Michanek J, Hesser H, Berglund G. Acceptance and commitment therapy for the treatment of stress among social workers: A randomized controlled trial. Behaviour Research and Therapy. 2011;49(6–7):389–398. doi: 10.1016/j.brat.2011.03.009. [DOI] [PubMed] [Google Scholar]
- Burke RV, Oats RG, Ringle JL, Fichtner LO, DelGaudio MB. Implementation of a classroom management program with urban elementary schools in low-income neighborhoods: Does program fidelity affect student behavior and academic outcomes? Journal of Education for Students Placed at Risk. 2011;16(3):201–218. doi: 10.1080/10824669.2011.585944. [DOI] [Google Scholar]
- Chambers MJ, Johnson A, Jones-Rincon A, Tsatenawa V, Howard K. Why do teachers leave? A comprehensive occupational health study evaluating intent-to-quit in public school teachers. Journal of Applied Biobehavioral Research. 2019;24(1):1–13. doi: 10.1111/jabr.12160. [DOI] [Google Scholar]
- Dixon, M. R., & Paliliunas, D. (2018). AIM: A behavior analytic curriculum for social-emotional development in children. Shawnee Scientific Press.
- Dixon, M. R., Paliliunas, D., Weber, J., & Schmick, A. M. (2022). A Large-Scale Naturalistic Evaluation of the AIM Curriculum in a Public-School Setting. Behavior analysis in practice, 15(1), 156–170. [DOI] [PMC free article] [PubMed]
- Dr. Russ Harris – Acceptance and Commitment Therapy. (2015a, November 5). The Struggle Switch – By Dr. Rull Harris [Video]. YouTube. https://www.youtube.com/watch?v=rCp1l16GCXI
- Dr. Russ Harris – Acceptance and Commitment Therapy. (2015b, August 18). Values vs Goals – By Dr. Rull Harris [Video]. YouTube. https://www.youtube.com/watch?v=T-lRbuy4XtA
- Emery DW, Vandenburg B. Special education teacher burnout and act. International Journal of Special Education. 2010;25(3):119–113. [Google Scholar]
- Fang, S., & Ding, D. (2020). The efficacy of group-based acceptance and commitment therapy on psychological capital and school engagement: A pilot study among Chinese adolescents. Journal of contextual behavioral science, 16, 134–143.
- Felver JC, Celis-de Hoyos CE, Tezanos K, Singh NN. A systematic review of mindfulness-based interventions for youth in school settings. Mindfulness. 2016;7(1):34–45. doi: 10.1007/s12671-015-0389-4. [DOI] [Google Scholar]
- Fish J, Brimson J, Lynch S. Mindfulness interventions delivered by technology without facilitator involvement: What research exists and what are the clinical outcomes? Mindfulness. 2016;7(5):1011–1023. doi: 10.1007/s12671-016-0548-2. [DOI] [PMC free article] [PubMed] [Google Scholar]
- Francis, A. W., Dawson, D. L., & Golijani-Moghaddam, N. (2016). The development and validation of the Comprehensive assessment of Acceptance and Commitment Therapy processes (CompACT). Journal of Contextual Behavioral Science, 5(3), 134–145.
- Freund, A., Zriker, A., & Sapir, Z. (2021). Optimal educational climate among students at risk: The role of teachers’ work attitudes. European Journal of Psychology of Education, 1–20. 10.1007/s10212-021-00545-1
- Giovanelli A, Reynolds AJ, Mondi CF, Ou S. Adverse childhood experiences and adult well-being in a low income, urban cohort. Pediatrics. 2016;137:e20154016. doi: 10.1542/peds.2015-4016. [DOI] [PMC free article] [PubMed] [Google Scholar]
- Gould ER, Tarbox J, Coyne L. Evaluating the effects of acceptance and commitment training on the overt behavior of parents of children with autism. Journal of Contextual Behavioral Science. 2018;7:81–88. doi: 10.1016/j.jcbs.2017.06.003. [DOI] [Google Scholar]
- Greenberg MT, Domitrovich CE, Weissberg RP, Durlak JA. Social and emotional learning as a public health approach to education. The Future of Children. 2017;27(1):13–32. doi: 10.1353/foc.2017.0001. [DOI] [Google Scholar]
- Guinther PM, Dougher MJ. The clinical relevance of stimulus equivalence and relational frame theory in influencing the behavior of verbally competent adults. Current Opinion in Psychology. 2015;2:21–25. doi: 10.1016/j.copsyc.2015.01.015. [DOI] [Google Scholar]
- Harris R. The happiness trap: How to stop struggling and start living. Trumpeter Books; 2008. [Google Scholar]
- Hayes SC. Get out of your mind and into your life: The new acceptance and commitment therapy. New Harbinger Publications; 2005. [Google Scholar]
- Hayes LL, Ciarrochi JV. The thriving adolescent: Using acceptance and commitment therapy and positive psychology to help teens manage emotions, achieve goals, and build connection. New Harbinger Publications; 2015. [Google Scholar]
- Hayes SC, Luoma JB, Bond FW, Masuda A, Lillis J. Acceptance and commitment therapy: Model, processes and outcomes. Behaviour Research and Therapy. 2006;44(1):1–25. doi: 10.1016/j.brat.2005.06.006. [DOI] [PubMed] [Google Scholar]
- Hayes SC, Strosahl KD, Wilson KG. Acceptance and commitment therapy: The process and practice of mindful change. Guilford Press; 2011. [Google Scholar]
- Hoover S, Bostic J. Schools as a Vital Component of the Child and Adolescent Mental Health System. Psychiatric Services. 2020;72(1):37–48. doi: 10.1176/appi.ps.201900575. [DOI] [PubMed] [Google Scholar]
- Iancu AE, Rusu A, Măroiu C, Păcurar R, Maricuțoiu LP. The effectiveness of interventions aimed at reducing teacher burnout: A meta-analysis. Educational Psychology Review. 2018;30(2):373–396. doi: 10.1007/s10648-017-9420-8. [DOI] [Google Scholar]
- Joyce BR, Showers B. Power in staff development through research on training. Publications, Association for Supervision and Curriculum Development; 1983. [Google Scholar]
- Kashdan TB, Rottenberg J. Psychological flexibility as a fundamental aspect of health. Clinical Psychology Review. 2010;30(7):865–878. doi: 10.1016/j.cpr.2010.03.001. [DOI] [PMC free article] [PubMed] [Google Scholar]
- Kelley M, Heffer R, Gresham F, Elliott S. Development of a modified Treatment Evaluation Inventory. Journal of Psychopathology and Behavioral Assessment. 1989;11:235–247. doi: 10.1007/BF00960495. [DOI] [Google Scholar]
- Lucas JJ, Moore KA. Psychological flexibility: Positive implications for mental health and life satisfaction. Health Promotion International. 2020;35(2):312–320. doi: 10.1093/heapro/daz036. [DOI] [PubMed] [Google Scholar]
- Luoma, J. B. & Plumb, J. (2013). Improving therapist psychological flexibility while training acceptance and commitment therapy: A pilot study. Cognitive Behaviour Therapy, 42(1), 1–8. 10.1080/16506073.2012.701662 [DOI] [PubMed]
- Madigan DJ, Kim LE. Does teacher burnout affect students? A systematic review of its association with academic achievement and student-reported outcomes. International Journal of Educational Research. 2021;105:101714. doi: 10.1016/j.ijer.2020.101714. [DOI] [Google Scholar]
- Marshall, E. J., & Brockman, R. N. (2016). The relationships between psychological flexibility, self-compassion, and emotional well-being. Journal of Cognitive Psychotherapy, 30(1), 60–72. [DOI] [PubMed]
- Maslach C, Jackson SE. Maslach burnout inventory manual. 2. Consulting Psychologists Press; 1986. [Google Scholar]
- Maslach, C., Jackson, S. E., & Schwab, R. L. (1986). MBI for Educators Survey. All rights reserved in all media. Published by Mind Garden, Inc.
- McEnteggart C. A brief tutorial on acceptance and commitment therapy as seen through the lens of derived stimulus relations. Perspective on Behavior Science. 2018;41:215–227. doi: 10.1007/s40614-018-0149-6. [DOI] [PMC free article] [PubMed] [Google Scholar]
- Nelson CA, Bhutta ZA, Burke Harris N, Danese A, Samara M. Adversity in childhood is linked to mental and physical health throughout life. British Medical Journal. 2020;371:m3048. doi: 10.1136/bmj.m3048. [DOI] [PMC free article] [PubMed] [Google Scholar]
- Oberle E, Gist A, Cooray MS, Pinto JBR. Do students notice stress in teachers? Associations between classroom teacher burnout and students’ perceptions of teacher social–emotional competence. Psychology in the Schools. 2020;57(11):1741–1756. doi: 10.1002/pits.22432. [DOI] [Google Scholar]
- Polk KL, Schoendorff B. The ACT matrix: A new approach to building psychological flexibility across settings and populations. Context Press/New Harbinger Publications; 2014. [Google Scholar]
- Pressley, T. (2021). Factors contributing to teacher burnout during COVID-19. Educational Researcher, 50(5), 325–327. 10.3102/0013189X211004138
- Rehfeldt RA. Clarifying the nature and purpose of behavioral assessment: A response to Newsome et al. Journal of Contextual Behavioral Science. 2019;14:37–39. doi: 10.1016/j.jcbs.2019.09.001. [DOI] [Google Scholar]
- Takahashi F, Ishizu K, Matsubara K, Ohtsuki T, Shimoda Y. Acceptance and commitment therapy as a school-based group intervention for adolescents: An open-label trial. Journal of Contextual Behavioral Science. 2020;16:71–79. doi: 10.1016/j.jcbs.2020.03.001. [DOI] [Google Scholar]
- Veteran’s Health Administration. (2015, March 24). Acceptance and commitment therapy: Acceptance [Video]. YouTube. https://www.youtube.com/watch?v=jrmKtaMqOh4
- von der Embse N, Ryan SV, Gibbs T, Mankin A. Teacher stress interventions: A systematic review. Psychology in the Schools. 2019;56(8):1328–1343. doi: 10.1002/pits.22279. [DOI] [Google Scholar]
- Weisbrot DM, Ryst E. Debate: Student mental health matters the heightened need for school-based mental health in the era of COVID-119. Child and Adolescent Mental Health. 2020;25(4):258–259. doi: 10.1111/camh.12427. [DOI] [PMC free article] [PubMed] [Google Scholar]
- Williams KE, Ciarrochi J, Heaven PCL. Inflexible parents, inflexible kids: A 6-year longitudinal study of parenting style and the development of psychological flexibility in adolescents. Journal of Youth and Adolescence. 2012;41(8):1053–1066. doi: 10.1007/s10964-012-9744-0. [DOI] [PubMed] [Google Scholar]
Associated Data
This section collects any data citations, data availability statements, or supplementary materials included in this article.
Data Availability Statement
The datasets generated during and/or analyzed during the current study are available from the corresponding author on reasonable request.


