Highlights
The partial substitution of Br− on I-sites, and the restricted motion of MA+ cations in correlation with suppressed electron-phonon coupling promote charge transport.
The perovskite parent lattice of 2FEABr-treated perovskites was firmed, and the difficulty degree for A-site MA+ cations running out of the inorganic framework was thus enhanced.
The efficiency was enhanced from 19.44% to 21.06%, accompanied with excellent stability.
Supplementary Information
The online version contains supplementary material available at 10.1007/s40820-022-00854-0.
Keywords: Passivation, Solid-state NMR, Charge transport, Perovskite solar cell
Abstract
Surface passivation via post-treatment is an important strategy for improving power conversion efficiency and operational stability of perovskite solar cells. However, so far the interaction mechanisms between passivating additive and perovskite are not well understood. Here, we report the atomic-scale interaction of surface passivating additive 2,2-difluoroethylammonium bromine (2FEABr) on the MAPbI3. It is found that the bulky 2FEA+ cations tend to distribute at film surface, while the Br− anions diffuse from surface into bulk. A combination of 19F, 207Pb, and 2H solid-state NMR further reveal the Br− anions’ partial substitution for the I− sites, the restricted motion of partial MA+ cations, and the firmed perovskite lattices, which would improve charge transport and stability of the perovskite films. Optical spectroscopy and ultraviolet photoelectron spectroscopy demonstrate that the 2FEABr induced surface passivation and energetic modification suppress the nonradiative recombination loss. These findings enable the efficiency of the p-i-n structured PSC significantly increasing from 19.44 to 21.06%, accompanied by excellent stability. Our work further establishes more knowledge link between passivating additive and PSC performance.

Supplementary Information
The online version contains supplementary material available at 10.1007/s40820-022-00854-0.
Introduction
Organic–inorganic hybrid perovskites are promising semiconductors suitable for next generation solar energy technology owing to the excellent photoelectronic merits of high light absorption coefficient [1, 2], long electron–hole diffusion length [3, 4], tunable bandgap [5–7], and small exciton binding energy [8, 9]. Attributed to the implements of material compositional engineering [10–12], solvent engineering [13–15] and device architecture design [16–18], the certified power conversion efficiencies (PCE) of perovskite solar cells (PSCs) have reached 25.7% within a decade of efforts [19]. However, the devices are suffering from significant nonradiative recombination losses, severely limiting their thermodynamic efficiency [20–23].
Tremendous experimental and theoretical works have demonstrated that defect passivation on polycrystalline perovskite films is a promising strategy for both suppressing carrier recombination and stabilizing perovskite structure [24–31]. The dominated defects locate at grain boundaries and on surface of perovskite films, and the surface defect densities are approximately two orders much than that in the bulk [32]. Among the various passivating additives reported, it has been well-established that ammonium salts can effectively reduce the defects by bonding with the Pb-I antisites or cation vacancies, thereby increasing the device performance [25, 33, 34]. Surface post-treatment is a commonly used approach to introduce these passivators into perovskite semiconductors. For instance, Hagfeldt and co-workers recently shown that a mixed-ammonium salt formamidinium bromide (FABr) via reacting with the excess PbI2 resulted in a high-quality perovskite surface with less defects and an improved 23.5% efficiency in n-i-p structural PSCs [35]. Stranks and co-workers reported that the ammonium salt methylammonium tetrafluoroborate (MABF4) could achieve the small nonradiative recombination with a reduction in first-order recombination rate in PSCs [36]. However, the atomic-scale spatial distribution of ammonium salt passivator in perovskite film, and the effect of passivator on perovskite lattice are unclear, which are critical to better understand the working mechanisms and thus provide guidance for designing more effective passivating additives towards high-performance PSCs.
In this work, we report the atomic-scale interaction of fluorinated ammonium salt 2,2-difluoroethylammonium bromine (2FEABr) surface passivating additive on hybrid perovskite MAPbI3 for photovoltaics. It is found that the bulky 2FEA+ cations tend to distribute at film surface, while the Br− anions diffuse from surface into bulk. A combination of 19F, 207Pb, and 2H solid-state nuclear magnetic resonance (NMR) technologies are carefully employed to systematically explore the subtle interactions between 2FEABr and MAPbI3. We demonstrate that the Br− anions of 2FEABr partially substitute for the I− sites in perovskite lattices, and the motion of partial MA+ cations is restricted in correlation with suppressed electron–phonon coupling, which are beneficial for suppressing nonradiative recombination. These findings are confirmed by the power conversion efficiency of the p-i-n structured PSC significantly increasing from 19.44 to 21.06%. Moreover, the unencapsulated device exhibits excellent thermal stability with maintaining over 95% of its initial efficiency at 340 K after 1000 h. The NMR signals confirm that the perovskite parent lattice is firmed after 2FEABr post-treatment and the degree of difficulty of the A− site MA+ cations running out of the inorganic framework is thus enhanced, leading to a robust perovskite film. This work provides more insights into working mechanisms of passivating additive for highly efficient and stable PSCs.
Experimental Section
Materials
Methylammonium iodide (MAI) was purchased from Greatcell Solar Company. Lead iodide (PbI2) was obtained from TCI. Phenyl-C61-butyric acid methyl ester (PCBM), Poly(triarylamine) (PTAA), Bathocuproine (BCP) and 2,3,5,6-Tetrafluoro-7,7,8,8-tetracyanoquinodimethane (F4-TCNQ) were brought from Xi’an Polymer Light Technology Corp. The anhydrous solvents including N, N-dimethylformamide (DMF), chlorobenzene (CB) and isopropanol (IPA) were purchased from Sigma-Aldrich. 2,2-difluoroethylammonium bromine (2FEABr) was synthesized following the procedure from a literature [37].
Device Fabrication
The patterned ITO substrates (NSG 10, Nippon sheet glass) were cleaned by sequentially sonication with detergent, DI water, acetone, ethanol and IPA for each 20 min, respectively. The cleaned ITO substrates were dried in an oven at 80 °C and treated with UV-ozone for 20 min. 2 mg mL−1 PTAA with 25 wt% F4TCNQ in CB was spun onto the ITO substrates at 5000 rpm for 30 s, and then annealed at 150 °C for 10 min. 100 μL DMF solvent was spin-coated to wet the PTAA layer surface at 4000 rpm for 10 s. The perovskite precursor was prepared by mixing 497.8 mg PbI2 and 159 mg MAI in a mixed solvent of 750 μL DMF and 85 μL DMSO. The perovskite precursor solution was spin-coated on PTAA layer at 4000 rpm for 30 s and 150 μL CB was dropped on the center of the film after 8 s processing, and then the perovskite film was put onto a hotplate at 100 °C for 10 min. For the post-treatment process, the synthesized 2FEABr was dissolved in IPA with the different concentrations (1, 2, 3, 5 mg mL−1) and spin-coated onto the perovskite surface at 6000 rpm for 30 s, followed by annealing at 60 °C for 10 min. 20 mg mL−1 PCBM in CB was spin-coated onto the perovskite film at 1800 rpm for 40 s, and 0.5 mg mL−1 BCP in IPA was spin coated at 6000 rpm for 30 s to form an interfacial layer. Finally, 100 nm Ag electrode were thermally evaporated in a vacuum chamber at the pressure of 2 × 10–4 Pa with a shadow mask (aperture area: 0.05 cm2).
Film Characterization
X-ray diffraction (XRD) patterns were recorded using a Rigaku Smart Lab diffractometer with Cu-Kα radiation as the X-ray source. Atomic force microscopy (AFM) images were obtained from an atomic force microscope (Shimadzu, SPM-9700) in tapping mode. UV–vis absorption spectra were measured by a UV–vis spectrometer (Shimadzu 3600). Steady-state photoluminescence (PL) spectra were obtained using a fluorescence spectrometer (Edinburgh, FLS-980). Time-resolved photoluminescence (TRPL) was performed by a time-correlated single-photon counting (TCSPC) system. A picosecond laser with a wavelength of 485 nm (C10196, Hamamatsu) was employed to excite the films. X-ray photoelectron spectroscopy (XPS) and ultraviolet photoelectron spectroscopy (UPS) measurements were conducted in an ultrahigh vacuum surface analysis system equipped with SCIENTA R3000 spectrometer with a base pressure of 10−10 mbar. XPS was measured using the monochromatic Al Ka 1486.6 eV as excitation source, and UPS employed the He I 21.22 eV as the excitation source with an energy resolution of 50 meV. All spectra were calibrated by referring to Fermi level and Au 4 f7/2 position of the Ar+ ion sputter cleaned Au foil.
Solid-State NMR Spectroscopy
2H and 207Pb static nuclear magnetic resonance (NMR) experiments were performed in a Bruker 300 MHz NMR spectrometer operating at 46.07 MHz for 2H and 62.73 MHz for 207Pb. A Bruker two-channel static PE probe with a home-made 2.5 mm coil was used to record the spectra. The 2H spectra were acquired using the solid echo sequence. The 2H pulse width was 2.5 μs at an RF field strength of 100 kHz. 13C and 19F magic angle spinning (MAS) NMR spectra were recorded by a Brucker 500 MHz NMR spectrometer at 25 °C at 10 kHz. 13C chemical shifts were referenced to adamantane (38.5 ppm). 19F chemical shifts were referenced to pure CFCl3 (0 ppm) using NaF (− 224 ppm) as a secondary reference. The powders were scrapped from glass substrates and packed in a MAS rotor in a N2-filled glovebox before being transferred into the NMR probe.
Device Characterization
The J-V curves of perovskite solar cells were characterized using a digital source meter (Keithley 2400) under Enlitech Solar Simulator (AM 1.5G, 100 mW cm−2) that calibrated by a standard silicon solar cell from NREL. The EQE spectra were obtained using an Enlitech QE-R system under AC mode. The Mott-Schottky curves were recorded at 1 kHz from an electrochemical workstation (CHI 650E). The electronic impedance spectroscopy (EIS) measurements were performed at a bias of 0.8 V in the dark by an impedance spectroscope (PGSTAT302N, Autolab) with the frequency ranging from 1 MHz to 1 Hz.
Space charge limited current (SCLC) measurement was applied to determine the electron trap density and mobility using the electron-only device with a structure of ITO/SnO2/MAPbI3/2FEABr/PCBM/BCP/Ag. The trap state density (Nt) was determined by the onset of the trap filling limit voltage (VTFL) according to the equation of , where ε0 is the permittivity of free space, εr is the relative permittivity of perovskite, and L is the thickness of perovskite layer. The electron mobility (μe) is calculated by fitting the SCLC with the Motto-Gurney law of , where J is the current density, and V is the base voltage.
Results and Discussion
2FEABr solution at 2 mg mL−1 is spin-coated on MAPbI3 perovskite surface and annealed at 60 °C for 10 min. The surface post-treatment process and the 2FEABr molecular structure are illustrated in Fig. 1a. The distribution of 2FEA+ cations and Br− anions in the perovskite film is intuitively confirmed by XPS depth profiling analysis of F 1s and Br 3d core level spectra (Fig. 1b–c). The F 1s signal disappears after 3 nm etched from the film surface, while the Br 3d is clearly observed. It is thus concluded that the bulky 2FEA+ cations tend to distribute at surface, while the Br− anions could diffuse from surface into the bulk. The incorporation of Br− in perovskites has been demonstrated to enhance the carrier lifetime, which could improve the device optoelectronic performance [38, 39]. In addition, there is no clear change in perovskite XRD patterns before and after 2FEABr post-treatment (Fig. S1). To obtain more details of the crystal structure, we also performed the gracing incidence X-ray diffraction (GIXRD) measurement (Fig. S2). No new diffraction peak is observed when the incident angle increased from 0.3 to 5°, indicating no low dimensional phase after 2FEABr treatment.
Fig. 1.
a Schematics of 2FEABr post-treatment process and molecule structure of 2FEABr. b–c F 1s and Br 3d XPS core level spectra of 2FEABr treated perovskite film before and after surface etching. d 19F MAS NMR. e 207Pb NMR. f 2H NMR. g–h Motion models of MA+ cations in pristine MAPbI3 and in 2FEABr treated perovskites
The 19F magic angle spinning (MAS) NMR spectroscopy is employed to study the environment of 2FEA+ cations in pure 2FEABr and 2FEABr treated MAPbI3 (Fig. 1d). For the pure 2FEABr, the 19F NMR signal shows a pronounced asymmetric peak centered at − 117.5 ppm with full width at half maximum (FWHM) of only 6 ppm. The spike like signals marked by the asterisks are the sideband manifolds. For 2FEABr treated MAPbI3, the 19F NMR appears as a wide peak with FWHM of 119 ppm. Intriguingly, the sideband manifolds are not observed here, meaning that the local environments of 19F in perovskite are quite different from those in the pure 2FEABr [40]. This pronounced change is attributed to the enhancement of dipolar coupling, indicating that the 2FEA+ cations bond with Br− and interact with surface Pb-I antisite defects through electrostatic interaction [41–43]. Figures 1e and S4 present the 207Pb NMR spectra of the pristine and 2FEABr treated perovskites. The 207Pb spectra of the pristine MAPbI3 shows a line shape of a symmetrical broad peak centered at 1409 ppm, and the 207Pb NMR signal of the 2FEABr treated MAPbI3 shows a clear asymmetric peak, consisting of two components centered at 1401 and 1219 ppm, respectively. The former corresponds to [PbI6]4− structure of the pristine MAPbI3, and the latter is probably attributed to [PbI6−xBrx]4= species, where the Br− anions have partially substituted for the I− sites [44]. In principle, the Br substitution will cause the formation of the disordered structures in the lattice. However, no clear evidence of such disordered structures was observed in the XRD results (Fig. S1), which means that the 207Pb NMR is a more sensitive technique to probe the disordered structures in the crystal lattice of perovskites.
Attributing to the subtle interaction between the embedded organic cations and inorganic frameworks in perovskite lattice, the molecular motion of the embedded organic cation is often very sensitive to the lattice change. The lattice changes thus can be monitored by observing the molecular motion change of the embedded cations [45, 46]. Figure 1f and S5 show the corresponding 2H NMR spectra of the pristine and 2FEABr treated MAPbI3. The 2H NMR spectra of the pristine MAPbI3 has a typical Pake pattern with a splitting of 4 kHz between the two horns. A new complicated line shape consisting of a narrow single peak and a broad characteristic component appears in 2FEABr treated MAPbI3, whereas the original Pake line shape completely vanishes. The motional geometry of the MA+ cations is further analyzed by the pattern simulation based on the different motion models (Figs. S6 and S7). The Pake line shape in the 2H NMR spectra of the pristine MAPbI3 indicates that the MA+ cations undergo a double rotation, that is, a rotation of the ND3 group about the C–N axis (R1 axis) and a rotation of C–N axis about R2 axis (Fig. 1g). The complicated line shape of 2FEABr treated MAPbI3 can be decomposed into a hump component together with a broad component (detailed information in Fig. S7). The broad component (red) with a splitting of about 40 kHz is attributed to completely restricted rotation of C–N axis about R2 axis in partial MA+ cations (the left model in Fig. 1h). Meanwhile, the emerged hump component (blue) with FWHM of 5 kHz points to the inconsistency of rotation angle of MA+ cations, indicating diverse isotropic motion components of MA+ cations in lattice (the right model in Fig. 1h). The restricted motion of the partial MA+ cations correlates with suppressed electron–phonon coupling, which is expected to suppress nonradiative recombination and enhance charge mobility [47, 48].
The root mean square (RMS) roughness of the 2FEABr treated perovskite films measured via AFM decreases from 20.46 to 17.74 nm, in favor of the perovskite contacting with the top charge transport layer (Fig. S8). The UV–vis absorption spectra display an obvious blue shift due to Br− doped into the perovskite lattice (Fig. S9). We then perform PL spectra to investigate the charge dynamics of the films. The improved PL intensity provides the solid evidence that 2FEABr helps to suppress nonradiative recombination by Br− substitution, passivate defect and restrict MA+ motion (Fig. 2a). From the fitted time-resolved PL decays (Fig. 2b and Table S2), the 2FEABr treated perovskite films exhibit longer carrier lifetime (τ1 = 32.3 ns, τ2 = 145.6 ns) than the pristine films (τ1 = 20.5 ns, τ2 = 101.8 ns), further confirming that the 2FEABr suppresses the charge recombination in the perovskite films (Fig. 2b). We evaluate the charge trap density and mobility of the 2FEABr treated perovskite films using the space-charge-limited current (SCLC) method. As determined from the dark J-V curves of electron-only device with a structure of ITO/SnO2/MAPbI3/2FEABr/PCBM/BCP/Ag, the calculated electron trap densities dimmish from 1.18 × 1016 cm−3 for the pristine to 5.39 × 1015 cm−3 for the 2FEABr treated perovskite (Fig. 2c). The electron mobility also increases from 4.33 × 10–2 to 6.45 × 10–1 cm2 V−1 s−1, nearly one order of magnitude, boosting the charge transport. Moreover, we characterize surface electronic structures of the perovskite films by ultraviolet photoelectron spectroscopy (UPS) (Fig. 2d). The secondary electron cutoff region determines the work function (WF), where the WF of the perovskite film decreases from 4.74 to 4.55 eV after 2FEABr post-treatment, which could further improve the electron extraction efficiency at perovskite/the top electron transport layer interface. In addition, the Fermi level (EF) position with respect to the valence band maximum (VBM) shifts away from 0.69 to 1.19 eV, indicating the formation of more n-type perovskite surface that matches with the top electron transport layer [49, 50]. Figure S10 presents the corresponding energy level diagram.
Fig. 2.
a Steady-state PL spectra of pristine and treated perovskite films. b Time-resolved PL decay. c Dark J-V curves of electron-only devices. d UPS spectra
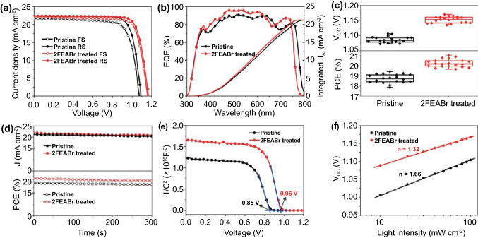
To confirm the effect of 2FEABr surface treatment on device performance, we fabricate the p-i-n planar heterojunction PSC with an architecture of ITO/PTAA:F4TCNQ/perovskite/2FEABr/PCBM/BCP/Ag as illustrated in Fig. S12. The dependence of the device efficiency on 2FEABr concentration is carefully evaluated (Fig. S13 and Table S3), and the optimal concentration that produces the champion device is 2 mg mL−1. Figure 3a displays the current density–voltage (J-V) curves of the devices under a simulated AM 1.5 G light illumination at 100 mW cm−2. The pristine device has a typical PCE of 19.44% with an open circuit voltage (Voc) of 1.090 V, a short current density (Jsc) of 22.38 mA cm−2, and a fill factor (FF) of 0.797. The champion device with 2FEABr yields a significantly improved PCE of 21.06% with a Voc of 1.166 V, a Jsc of 22.39 mA cm−2, and an FF of 0.807 (Table 1). Clearly, the enhanced device efficiency originates from the increased Voc and FF.
Fig. 3.
a J-V characteristics of PSC devices under forward and reverse scans. b EQE spectra with integrated photocurrent. c Statistics of Voc and PCE. d Steady-state photocurrent and power output at the maximal power point. e Mott-Schottky plots. f Dependence of Voc on light intensity
Table 1.
Photovoltaic parameters of the champion PSCs with and without 2FEABr under forward scan (FS) and reverse scan (RS)
| Voc (V) | Jsc (mA cm−2) | FF | PCE (%) | HI | |
|---|---|---|---|---|---|
| Pristine RS | 1.090 | 22.38 | 0.797 | 19.44 | 0.095 |
| Pristine FS | 1.073 | 21.72 | 0.753 | 17.59 | |
| 2FEABr treated RS | 1.166 | 22.39 | 0.807 | 21.06 | 0.041 |
| 2FEABr treated FS | 1.158 | 22.23 | 0.785 | 20.20 |
Figure 3b shows the external quantum efficiency (EQE) spectra and the integrated photocurrent densities. The absorption edge of the 2FEABr treated device is blue shifted about 20 nm, in consistent with the UV–vis absorption spectra shift of the perovskite film observed in Fig. S9, which leads to the nearly same photocurrents of the devices before and after 2FEABr treatment. The integrated current densities obtained from EQE are 21.28 mA cm−2 for the pristine device and 21.20 mA cm−2 for the 2FEABr treated device, respectively, which are comparable with Jsc in the J-V curves. The statistical charts of the photovoltaic parameters PCE, Voc and FF, demonstrate the good reproducibility of the device performance (Figs. 3c and S14). As shown in Fig. 3d, the 2FEABr treated device exhibits a stabilized power output of 20.63% and a steady-state current density of 21.05 mA cm−2 at the maximum power point (MPP) under continuous illumination for 300 s.
To better understand the enhanced Voc, we carry out capacitance–voltage (C-V) curves to directly compare the built-in potential (Vbi) of the devices by the Mott-Schottky equation of , where A is device area, ε is relative permittivity, ε0 is vacuum permittivity, and NA is carrier concentration. The Vbi of the devices largely increases from 0.85 to 0.96 V after 2FEABr treatment (Fig. 3e), in agreement with the Voc enhancement. We ascribe the increased flat band potential to the reduced work function and defect passivation of the perovskite surface. As shown in Fig. 3f, the slope of the dependence of Voc on light intensity (P) is conducted to explore the degree of the trap-assisted recombination via the equation of , where k is Boltzmann constant, and T is absolute temperature. Compared to the slope of 1.66 kT/q for the pristine device, the slope deceases to 1.32 kT/q for the 2FEABr treated device, demonstrating that the trap-assisted recombination is effectively suppressed. These results accord with the increased recombination resistance (Rrec) fitted in the electrical impedance spectroscopy (Fig. S15 and Table S4).
The device stability before and after 2FEABr treatment is comparatively explored. Under ambient air in 40 ± 10% relative humidity (RH) at room temperature, the unencapsulated device retains over 90% of its initial efficiency after 1000 h storage, whereas the pristine device losses 60% of its initial value (Fig. 4a), mainly attributed to the 2FEABr coated on the perovskite film surface acting like moisture protection layer and the more hydrophobicity of the 2FEABr treated perovskite film confirmed by the increased water contact angel (Fig. S16). The device thermal stability is also significantly enhanced at 340 K in a nitrogen-filled glovebox, where the unencapsulated device maintains over 95% of its initial efficiency after 1000 h storage, and the pristine device losses nearly 40% of its initial value (Fig. 4b). In addition, we measure the XRD patterns of the films before and after 500 h calcination at 340 K (Fig. S17). It is clear that the pristine MAPbI3 significantly degrades to PbI2, while the 2FEABr treated film has negligible degradation under the same conduction. To gain more insight on the much-enhanced thermal stability of the device, the effect of 2FEABr on the perovskite lattice is explored via a combination of XRD and 2H NMR measurements. The XRD (211) characteristic peaks at 23.5° disappear when being heating at 340 K for both the pristine and 2FEABr treated perovskite films (Fig. S18), indicating a phase transition from tetragonal to cubic phase (Fig. S19) [51]. However, the XRD (100) peak of the 2FEABr treated MAPbI3 has the smaller shift of 0.04° than 0.08° of the pristine film after heating at 340 K (Fig. 4c–d), meaning less lattice expansion. Figure 4e shows the 2H NMR spectra of the pristine MAPbI3 at 298 and 340 K, respectively. For the pristine MAPbI3, the line shape completely changes from Pake doublets (298 K) to a narrow single peak (340 K), implying the reorientation dynamics of MA+ cations transformation from anisotropic into isotropic motion. For comparison in Fig. 4f, in the 2FEABr treated perovskites the original line shape of the 2H NMR spectra does not completely turn into a narrow single peak, which indicates that the dynamics of MA+ is still anisotropic and the lattice expansion is slight at the elevated temperature of 340 K. We conclude that the apparent NMR signal change results from the change of the cation dynamics due to the phase transition in MAPbI3, and the perovskite parent lattice is firmed after 2FEABr post-treatment and thus the degree of difficulty of the A-site MA+ cations running out of the inorganic framework is enhanced, leading to a robust perovskite film [52, 53].
Fig. 4.
a-b Comparison of efficiency decay of unencapsulated PSCs as stored under 40% (± 10%) RH and 340 K, respectively. c–d Magnified XRD (100) peaks for pristine MAPbI3 and 2FEABr treated MAPbI3 at 298 K and 340 K, respectively. e–f 2H NMR spectra of pristine MAPbI3 and 2FEABr treated MAPbI3
Conclusion
In summary, we have investigated the subtle interactions of ammonium salt passivating additive 2FEABr and hybrid perovskite MAPbI3 for photovoltaics. It is found that the bulky 2FEA+ cations tend to distribute at surface, while the Br− anions diffuse from surface into the bulk. SS-NMR further demonstrates that the atomic-scale information on the Br− anions’ partial substitution for the I− sites, the restricted motion of partial MA+ cations, and the firmed perovskite lattices in the 2FEABr treated perovskites, which boost the charge transport and stability of the perovskite film. Meanwhile, the 2FEABr induced surface passivation and energetic modification suppress the nonradiative recombination loss. These findings are confirmed by the efficiency of the p-i-n structured device significantly increasing from 19.44 to 21.06%, accompanied by excellent stability. Our work provides more insights into the working mechanisms between passivating additive and perovskite towards highly efficient and stable PSCs.
Supplementary Information
Below is the link to the electronic supplementary material.
Acknowledgements
The work is supported by the National Science Foundation of China grant (21875067), the Fundamental Research Funds for the Central Universities, Shanghai Rising-Star (19QA1403100), East China Normal University (ECNU) Multifunctional Platform for Innovation. The Ministry of Science and Technology of the People's Republic of China (No.2018YFF01012504) and Microscale Magnetic Resonance Platform of ECNU. L. Ding thanks the National Key Research and Development Program of China (2017YFA0206600) and the National Natural Science Foundation of China (51773045, 21772030, 51922032, 21961160720) for financial support.
Funding
Open access funding provided by Shanghai Jiao Tong University.
Contributor Information
Liming Ding, Email: ding@nanoctr.cn.
Yefeng Yao, Email: yfyao@phy.ecnu.edu.cn.
Qinye Bao, Email: qybao@clpm.ecnu.edu.cn.
References
- 1.Brenner TM, Egger DA, Kronik L, Hodes G, Cahen D. Hybrid organic-inorganic perovskites: low-cost semiconductors with intriguing charge-transport properties. Nat. Rev. Mater. 2016;1:15007. doi: 10.1038/natrevmats.2015.7. [DOI] [Google Scholar]
- 2.Wolf SD, Holovsky J, Moon SJ, Loeper P, Niesen B, et al. Organometallic halide perovskites: sharp optical absorption edge and its relation to photovoltaic performance. J. Phys. Chem. Lett. 2014;5(6):1035–1039. doi: 10.1021/jz500279b. [DOI] [PubMed] [Google Scholar]
- 3.Stranks SD, Eperon GE, Grancini G, Menelaou C, Alcocer MJP, et al. Electron-hole diffusion lengths exceeding 1 micrometer in an organometal trihalide perovskite absorber. Science. 2013;342(6156):341–344. doi: 10.1126/science.1243982. [DOI] [PubMed] [Google Scholar]
- 4.Xing G, Mathews N, Sun S, Lim SS, Lam YM, et al. Long-range balanced electron- and hole-transport lengths in organic-inorganic CH3NH3PbI3. Science. 2013;342(6156):344–347. doi: 10.1126/science.1243167. [DOI] [PubMed] [Google Scholar]
- 5.Sutton RJ, Eperon GE, Miranda L, Parrott ES, Kamino BA, et al. Bandgap-tunable cesium lead halide perovskites with high thermal stability for efficient solar cells. Adv. Energy Mater. 2016;6(8):1502458. doi: 10.1002/aenm.201502458. [DOI] [Google Scholar]
- 6.Eperon GE, Stranks SD, Menelaou C, Johnston MB, Herz LM, et al. Formamidinium lead trihalide: a broadly tunable perovskite for efficient planar heterojunction solar cells. Energy Environ. Sci. 2014;7(3):982–988. doi: 10.1039/c3ee43822h. [DOI] [Google Scholar]
- 7.Wang X, He J, Zhou B, Zhang Y, Wu J, et al. Bandgap-tunable preparation of smooth and large two-dimensional antimonene. Angew. Chem. Int. Ed. 2018;57(28):8668–8673. doi: 10.1002/anie.201804886. [DOI] [PubMed] [Google Scholar]
- 8.Miyata A, Mitioglu A, Plochocka P, Portugall O, Wang JTW, et al. Direct measurement of the exciton binding energy and effective masses for charge carriers in organic-inorganic tri-halide perovskites. Nat. Phys. 2015;11:582–587. doi: 10.1038/nphys3357. [DOI] [Google Scholar]
- 9.Galkowski K, Mitioglu A, Miyata A, Plochocka P, Portugall O, et al. Determination of the exciton binding energy and effective masses for methylammonium and formamidinium lead tri-halide perovskite semiconductors. Energy Environ. Sci. 2016;9(3):962–970. doi: 10.1039/c5ee03435c. [DOI] [Google Scholar]
- 10.Jeon NJ, Noh JH, Yang WS, Kim YC, Ryu S, et al. Compositional engineering of perovskite materials for high-performance solar cells. Nature. 2015;517:476–480. doi: 10.1038/nature14133. [DOI] [PubMed] [Google Scholar]
- 11.Saliba M, Matsui T, Seo JY, Domanski K, Correa-Baena JP, et al. Cesium-containing triple cation perovskite solar cells: improved stability, reproducibility and high efficiency. Energy Environ. Sci. 2016;9(6):1989–1997. doi: 10.1039/c5ee03874j. [DOI] [PMC free article] [PubMed] [Google Scholar]
- 12.Ke W, Mao L, Stoumpos CC, Hoffman J, Spanopoulos I, et al. Compositional and solvent engineering in Dion-Jacobson 2D perovskites boosts solar cell efficiency and stability. Adv. Energy Mater. 2019;9(10):1803384. doi: 10.1002/aenm.201803384. [DOI] [Google Scholar]
- 13.Chen H, Wei Z, He H, Zheng X, Wong KS, et al. Solvent engineering boosts the efficiency of paintable carbon-based perovskite solar cells to beyond 14% Adv. Energy Mater. 2016;6(8):1502087. doi: 10.1002/aenm.201502087. [DOI] [Google Scholar]
- 14.Jeon NJ, Noh JH, Kim YC, Yang WS, Ryu S, et al. Solvent engineering for high-performance inorganic-organic hybrid perovskite solar cells. Nat. Mater. 2014;13:897–903. doi: 10.1038/nmat4014. [DOI] [PubMed] [Google Scholar]
- 15.Luo P, Xia W, Zhou S, Sun L, Cheng J, et al. Solvent engineering for ambient-air-processed, phase-stable CsPbI3 in perovskite solar cells. J. Phys. Chem. Lett. 2016;7(6):3603–3608. doi: 10.1021/acs.jpclett.6b01576. [DOI] [PubMed] [Google Scholar]
- 16.Docampo P, Ball JM, Darwich M, Eperon GE, Snaith HJ. Efficient organometal trihalide perovskite planar-heterojunction solar cells on flexible polymer substrates. Nat. Commun. 2013;4:2761. doi: 10.1038/ncomms3761. [DOI] [PubMed] [Google Scholar]
- 17.Lee MM, Teuscher J, Miyasaka T, Murakami TN, Snaith HJ. Efficient hybrid solar cells based on meso-superstructured organometal halide perovskites. Science. 2012;338(6107):643–647. doi: 10.1126/science.1228604. [DOI] [PubMed] [Google Scholar]
- 18.Wang TY, Chen JW, Wu GX, Song DD, Li MC. Designing novel thin film polycrystalline solar cells for high efficiency: sandwich CIGS and heterojunction perovskite. J. Semicond. 2017;38:014005. doi: 10.1088/1674-4926/38/1/014005. [DOI] [Google Scholar]
- 19.NREL, Best research-Cell efficiencies. www.nrel.gov/pv/assets/pdfs/best-research-cell-efficiencies.pdf.Accessed Feb (2022).
- 20.Wetzelaer GJAH, Scheepers M, Sempere AM, Momblona C, Avila J, et al. Trap-assisted non-radiative recombination in organic-inorganic perovskite solar cells. Adv. Mater. 2015;27(11):1837–1841. doi: 10.1002/adma.201405372. [DOI] [PubMed] [Google Scholar]
- 21.Chen J, Park NG. Materials and methods for interface engineering toward stable and efficient perovskite solar cells. ACS Energy Lett. 2020;5(8):2742–2786. doi: 10.1021/acsenergylett.0c01240. [DOI] [Google Scholar]
- 22.Wang M, Wang W, Ma B, Shen W, Liu L, et al. Lead-free perovskite materials for solar cells. Nano-Micro Lett. 2021;13:62. doi: 10.1007/s40820-020-00578-z. [DOI] [PMC free article] [PubMed] [Google Scholar]
- 23.Wu T, Wang Y, Li X, Wu Y, Meng X, et al. Efficient defect passivation for perovskite solar cells by controlling the electron density distribution of donor-pi-acceptor molecules. Adv. Energy Mater. 2019;9(17):1803766. doi: 10.1002/aenm.201803766. [DOI] [Google Scholar]
- 24.Jiang Q, Zhao Y, Zhang X, Yang X, Chen Y, et al. Surface passivation of perovskite film for efficient solar cells. Nat. Photonics. 2019;13:460–466. doi: 10.1038/s41566-019-0398-2. [DOI] [Google Scholar]
- 25.Zheng X, Chen B, Dai J, Fang Y, Bai Y, et al. Defect passivation in hybrid perovskite solar cells using quaternary ammonium halide anions and cations. Nat. Energy. 2017;2:17102. doi: 10.1038/nenergy.2017.102. [DOI] [Google Scholar]
- 26.Liu Y, Dong B, Hagfeldt A, Luo J, Graetzel M. Chemically tailored molecular surface modifiers for efficient and stable perovskite photovoltaics. SmartMat. 2021;2(1):33–37. doi: 10.1002/smm2.1025. [DOI] [Google Scholar]
- 27.Li F, Deng X, Qi F, Li Z, Liu D, et al. Regulating surface termination for efficient inverted perovskite solar cells with greater than 23% efficiency. J. Am. Chem. Soc. 2020;142(47):20134–20142. doi: 10.1021/jacs.0c09845. [DOI] [PubMed] [Google Scholar]
- 28.Zhu X, Du M, Feng J, Wang H, Xu Z, et al. High-efficiency perovskite solar cells with imidazolium-based ionic liquid for surface passivation and charge transport. Angew. Chem. Int. Ed. 2021;60(8):4238–4244. doi: 10.1002/anie.202010987. [DOI] [PubMed] [Google Scholar]
- 29.Qin X, Zhao Z, Wang Y, Wu J, Jiang Q, et al. Recent progress in stability of perovskite solar cells. J. Semicond. 2017;38:011002. doi: 10.1088/1674-4926/38/1/011002. [DOI] [Google Scholar]
- 30.Zhao W, Xu J, He K, Cai Y, Han Y, et al. A special additive enables all cations and anions passivation for stable perovskite solar cells with efficiency over 23% Nano-Micro Lett. 2021;13:169. doi: 10.1007/s40820-021-00688-2. [DOI] [PMC free article] [PubMed] [Google Scholar]
- 31.Xu Y, Li G, Li R, Jing Y, Zhang H, et al. PbS/CdS heterojunction thin layer affords high-performance carbon-based all-inorganic solar cells. Nano Energy. 2022;95:106973. doi: 10.1016/j.nanoen.2022.106973. [DOI] [Google Scholar]
- 32.Ni Z, Bao C, Liu Y, Jiang Q, Wu WQ, et al. Resolving spatial and energetic distributions of trap states in metal halide perovskite solar cells. Science. 2020;367(6484):1352–1358. doi: 10.1126/science.aba0893. [DOI] [PubMed] [Google Scholar]
- 33.Liang L, Luo H, Hu J, Li H, Gao P. Efficient perovskite solar cells by reducing interface-mediated recombination: a bulky amine approach. Adv. Energy Mater. 2020;10(14):2000197. doi: 10.1002/aenm.202000197. [DOI] [Google Scholar]
- 34.Jiang X, Zhang J, Liu X, Wang Z, Guo X, et al. Deeper insight into the role of organic ammonium cations in reducing surface defects of the perovskite film. Angew. Chem. Int. Ed. 2022;61(12):e202115663. doi: 10.1002/anie.202115663. [DOI] [PubMed] [Google Scholar]
- 35.Suo J, Yang B, Mosconi E, Choi HS, Kim Y, et al. Surface reconstruction engineering with synergistic effect of mixed-salt passivation treatment toward efficient and stable perovskite solar cells. Adv. Funct. Mater. 2021;31(34):2102902. doi: 10.1002/adfm.202102902. [DOI] [Google Scholar]
- 36.Nagane S, Macpherson S, Hope MA, Kubicki DJ, Li W, et al. Tetrafluoroborate-induced reduction in defect density in hybrid perovskites through halide management. Adv. Mater. 2021;33(32):2102462. doi: 10.1002/adma.202102462. [DOI] [PMC free article] [PubMed] [Google Scholar]
- 37.Luo B, Guo Y, Xiao Y, Lian X, Tan T, et al. Fluorinated spacers regulate the emission and bandgap of two-dimensional single-layered lead bromide perovskites by hydrogen bonding. J. Phys. Chem. Lett. 2019;10(17):5271–5276. doi: 10.1021/acs.jpclett.9b02172. [DOI] [PubMed] [Google Scholar]
- 38.Zhu WD, Bao CX, Li FM, Yu T, Gao H, et al. Halide exchange engineering for CH3NH3PbI3-xBrx perovskite solar cells with high performance and stability. Nano Energy. 2016;19:17–26. doi: 10.1016/j.nanoen.2015.11.024. [DOI] [Google Scholar]
- 39.Johnston A, Walters G, Saidaminov MI, Huang Z, Bertens K, et al. Bromine incorporation and suppressed cation rotation in mixed-halide perovskites. ACS Nano. 2020;14(11):15107–15118. doi: 10.1021/acsnano.0c05179. [DOI] [PubMed] [Google Scholar]
- 40.Groß U, Rüdiger S, Grimmer AR, Kemnitz E. 19F-NMR solid state investigations of monovalent alkali metal fluorides and tetra-alkylammonium fluorides. J. Fluorine Chem. 2002;115(2):193–199. doi: 10.1016/S0022-1139(02)00062-3. [DOI] [Google Scholar]
- 41.Wang R, Xue J, Wang KL, Wang ZK, Luo Y, et al. Constructive molecular configurations for surface-defect passivation of perovskite photovoltaics. Science. 2019;366(6472):1509–1513. doi: 10.1126/science.aay9698. [DOI] [PubMed] [Google Scholar]
- 42.Chen B, Rudd PN, Yang S, Yuan Y, Huang J. Imperfections and their passivation in halide perovskite solar cells. Chem. Soc. Rev. 2019;48(14):3842–3876. doi: 10.1039/c8cs00853a. [DOI] [PubMed] [Google Scholar]
- 43.Wu T, Li X, Qi Y, Zhang Y, Han L. Defect passivation for perovskite solar cells: from molecule design to device performance. Chemsuschem. 2021;14(20):4354–4376. doi: 10.1002/cssc.202101573. [DOI] [PubMed] [Google Scholar]
- 44.Qiao WC, Yang J, Dong W, Yang G, Bao Q, et al. Metastable alloying structures in MAPbI3-xClx crystals. NPG Asia Mater. 2020;12:68. doi: 10.1038/s41427-020-00249-w. [DOI] [Google Scholar]
- 45.Qiao WC, Wu J, Zhang R, Ou-Yang W, Chen X, et al. In situ NMR investigation of the photoresponse of perovskite crystal. Matter. 2020;3(6):2042–2054. doi: 10.1016/j.matt.2020.09.004. [DOI] [Google Scholar]
- 46.Kubicki DJ, Prochowicz D, Hofstetter A, Saski M, Yadav P, et al. Formation of stable mixed guanidinium-methylammonium phases with exceptionally long carrier lifetimes for high-efficiency lead iodide-based perovskite photovoltaics. J. Am. Chem. Soc. 2018;140(9):3345–3351. doi: 10.1021/jacs.7b12860. [DOI] [PubMed] [Google Scholar]
- 47.Gong X, Voznyy O, Jain A, Liu W, Sabatini R, et al. Electron-phonon interaction in efficient perovskite blue emitters. Nat. Mater. 2018;17:550–556. doi: 10.1038/s41563-018-0081-x. [DOI] [PubMed] [Google Scholar]
- 48.Du Q, Zhu C, Yin Z, Na G, Cheng C, et al. Stacking effects on electron-phonon coupling in layered hybrid perovskites via microstrain manipulation. ACS Nano. 2020;14(5):5806–5817. doi: 10.1021/acsnano.0c00907. [DOI] [PubMed] [Google Scholar]
- 49.Xiong S, Hou Z, Zou S, Lu X, Yang J, et al. Direct observation on P- to N-type transformation of perovskite surface region during defect passivation driving high photovoltaic efficiency. Joule. 2021;5(2):467–480. doi: 10.1016/j.joule.2020.12.009. [DOI] [Google Scholar]
- 50.Zheng X, Hou Y, Bao C, Yin J, Yuan F, et al. Managing grains and interfaces via ligand anchoring enables 22.3%-efficiency inverted perovskite solar cells. Nat. Energy. 2020;5:131–140. doi: 10.1038/s41560-019-0538-4. [DOI] [Google Scholar]
- 51.Ma JY, Ding J, Yan HJ, Wang D, Hu JS. Temperature-dependent local electrical properties of organic-inorganic halide perovskites: in situ KPFM and c-AFM investigation. ACS Appl. Mater. Interfaces. 2019;11(24):21627–21633. doi: 10.1021/acsami.9b06418. [DOI] [PubMed] [Google Scholar]
- 52.Ghosh D, Atkins PW, Islam MS, Walker AB, Eames C. Good vibrations: locking of octahedral tilting in mixed-cation iodide perovskites for solar cells. ACS Energy Lett. 2017;2(10):2424–2429. doi: 10.1021/acsenergylett.7b00729. [DOI] [Google Scholar]
- 53.Doherty TAS, Nagane S, Kubicki DJ, Jung YK, Johnstone DN, et al. Stabilized tilted-octahedra halide perovskites inhibit local formation of performance-limiting phases. Science. 2021;374(6575):1598–1605. doi: 10.1126/science.abl4890. [DOI] [PubMed] [Google Scholar]
Associated Data
This section collects any data citations, data availability statements, or supplementary materials included in this article.




