Abstract
Oral fluid specimens (OF) have been widely used to know the HIV prevalence in several key populations. Here, we aim to validate in OF specimens an existing HIV chemiluminiscence assay for serum specimens. Paired OF and serum specimens were collected from 83 known HIV-positives and 83 known HIV-negatives in order to validate the performance characteristics of the automated chemiluminiscence Liaison XL Murex HIV Ag/Ab assay (Diasorin Inc, Iberia) for HIV antibody detection in OF specimens. Among the previously known HIV-seropositive group, HIV antibodies were detected in 69 out of 83 OF specimens. All serum and OF specimens collected from 83 HIV seronegative individuals were negative. The sensitivity and specificity of this assay were 83.13% and 100% respectively in OF. The PPV and NPV values were 100% and 85.57% respectively. The correlation obtained between both specimens was (K: 0.83, [95% CI: 0.748–0.915]) according to the kappa index. The ROC curve analysing the optimal cut-off of the Liaison XL Murex HIV Ag/Ab to detect positive OF specimens revealed that a cut-off of 0.497 showed sensitivity and specificity values of 98.8% and 97.59% respectively. Taking into account this cut-off, the overall sensitivity and NPV of the Liaison XL Murex HIV Ag/Ab assay could rise from 83.1 to 98.8% and from 85.5 to 97.7%, respectively. Our results suggest that the Liaison XL HIV Ag/Ab assay is suitable for the detection of HIV antibodies in OF specimens.
Keywords: HIV, Oral fluid, Antibodies, Automated chemiluminiscence assay
Introduction
In 2020, despite the potential issues of under-diagnoses and under-reporting due to the COVID-19 pandemic, a total of 104,765 new HIV infections were reported in the WHO European Region, with a crude rate of 11.8 per 100,000 inhabitants. The area of the European Union (EU) reported a total of 14,971 new diagnoses with a rate of 3.7 per 100,000 inhabitants. Sexual transmission between men who have sex with men was the most common transmission group in the EU/EEA (representing 39%), while heterosexual transmission and people who inject drugs were the main transmission groups reported in Eastern European countries. The rate of new HIV diagnoses in men was almost two times higher than in women, 15.7 and 8.1 cases per 100,000 population respectively, and 36% of those diagnosed with HIV had a CD4 cell count < 350 cells/ mm3, thus indicating a diagnostic delay [1].
The diagnosis of HIV infection is based on the detection of HIV-specific antibodies in serum or plasma specimens. However, since the 80 s, several authors have described the suitability of alternative specimens, such as oral fluid or urine for the diagnosis of a variety of infections, including measles, rubella, Epstein Barr, parvovirus B19, human herpesvirus 6, Helicobacter pylori, human immunodeficiency virus (HIV), hepatitis B, and hepatitis C viruses [2–5].
OF may be considered to be a mixture of secretions from salivary glands and plasma components derived by passive transudation from capillaries in the oral mucosa particularly the gingival crevicular fluid. This fluid is passively transuded into the mouth across the mucosa and through the gingival crevices and is rich in IgG and IgM, but at levels considerably lower than those in serum [6].
OF specimens offer some advantages over serum, since collection is painless; it can be performed by persons with minimal training, and the risk of needle exposure is minimized, which is especially suitable for seroprevalence studies, in which blood samples are difficult to obtain (i.e., in injecting drug users, children, and hemophiliacs). These features are especially important in low-income countries and in non-clinical settings.
With the purpose to generate additional information which may be useful for improving public health strategies, the objective of this study is to evaluate the performance of the Liaison XL Murex HIV Ag/Ab chemiluminiscence-automated assay in OF specimens.
Material and methods
Study population
We included in the study 166 individuals, of which eighty-three were known HIV-positive individuals, attending at the HIV clinic at Hospital Universitari Germans Trias i Pujol. All patients were on antiretroviral treatment. Regarding risk factors, 10 injected drugs and eight had been exposed to HBV (HBcAc positive). Eighty-three individuals were known HIV-negative attending at the Blood Bank at Hospital Universitari Germans Trias i Pujol. All study participants gave informed consent, and demographic data (sex and age) was collected through an anonymous questionnaire.
Ethics
Participation in the study was voluntary. The anonymity was assured, as no personal identifiers were included in the database. This study was approved by the local Research Ethics Committee (PI19-020).
Specimen collection
Paired OF and serum specimens were obtained simultaneously from each participant. Oral fluid specimens were collected with the Intercept i2 collection device (OraSure Techonologies, Inc, USA). Briefly, the Intercept® i2™ Oral Fluid Collection Device consists of a treated, absorbent cotton fiber pad affixed to a plastic shaft, and a preservative solution in a plastic container. The pad is placed under the tongue until a blue color appears in the sample adequacy window or the collection time reaches 15 min and then; the pad is removed from the mouth and placed into the oral specimen collection vial. OF specimens were sent to the laboratory and centrifuged immediately for 5 min at 600 × g into a new tube. Blood specimens were obtained by venipuncture with Vacutainer tubes (Becton Dickinson, Inc, Madrid, España). Blood was centrifuged for 10 min at 10,000 rpm to obtain the serum fraction. OF and serum specimens were processed simultaneously on the same day they were received.
Laboratory methods
All serum and oral fluid specimens were tested using the Liaison XL Murex HIV Ag/Ab assay in Liaison XL platform according to the manufacturer’s instructions [7].
Precision study
The precision of the Liaison HIV Ag/Ab assay was assessed following the recommendations of Clinical and Laboratory Standards Institute (CLSI) document EP15-A2 [8]. To perform the precision study, we used the p24 antigen/antibody negative and p24 antigen/antibody HIV positive controls provided by Diasorin. For each control, three replicates by day (repeatability) and for 5 days (reproducibility) were tested by Liaison HIV Murex Ag/Ab assay using the Liaison XL instrument.
Statistical analysis
The detection of HIV antibodies in serum specimens with Liaison XL Murex HIV Ag/Ab assay was used as a gold standard in the ROC curve, which was performed to determine the optimal cut-off point to identify positive oral fluid specimens using Youden index. We calculated the sensitivity, specificity, positive (PPV), and negative (NPV) predictive values in oral fluid specimens. Ninety-five percent (95%) confidence intervals (CI) were calculated with the Clopper-Pearson method. Concordance between results obtained for oral fluid and matched serum specimens were established using the Kappa index. We calculated the total mean and standard deviations obtained on each control.
Results
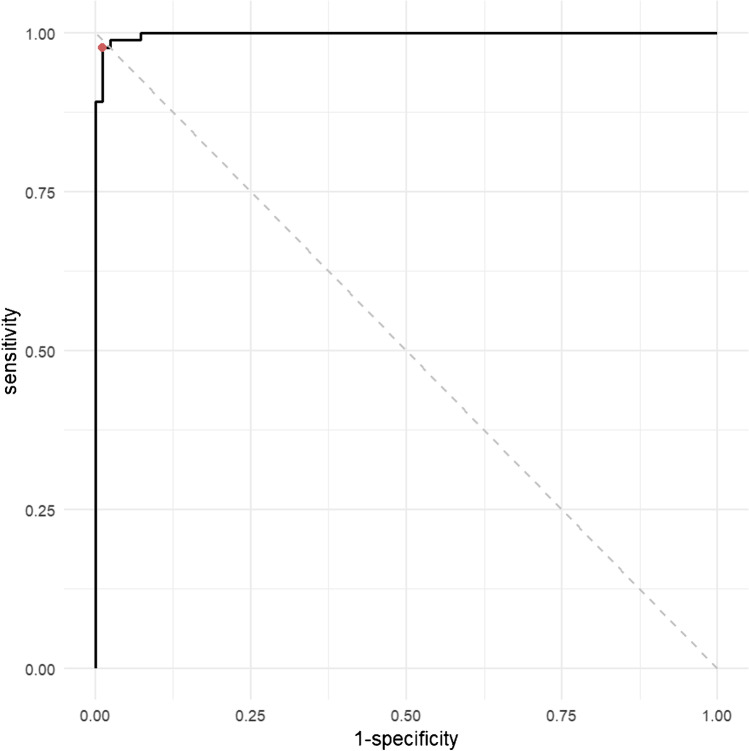
Among the 166 individuals included in the validation study, men were predominant in the HIV-seropositive group (70 out of 83); while in the HIV-seronegative group, there were 36 men and 42 women. In this group, there were 5 cases in which the sex information was missing. Among the previously known HIV-seropositive group, HIV antibodies were detected in 69 (83.13%) out of 83 OF specimens according to the Liaison XL Murex HIV Ag/Ab assay cut-off (1.00). There were 14 specimens with values between 0.478 and 0.919. These specimens were considered initially as negative. All serum and OF specimens collected from 83 HIV seronegative individuals were negative by Liaison XL Murex HIV Ag/Ab. The S/CO and standard deviation for HIV-negative subjects for both serum, 0.352 and 0.044, and OF specimens, 0.434 and 0.044, respectively. The sensitivity and specificity of this assay in OF specimens were 83.13% (95% CI: 73.32–90.46) and 100% (95% CI: 95.65–100.00), respectively. The PPV and NPV values for this study were 100% (95% CI: 94.79–100.00) and 85.57% (95% CI: 76.97–91.88) respectively. The ROC curve analysing the optimal cut-off of the Liaison XL Murex HIV Ag/Ab to detect positive OF specimens is shown in Fig. 1. The area under the ROC (AUC) was 0.997. The ROC analysis revealed that a cut-off of 0.497 showed sensitivity and specificity values of 98.8% (IC 95%: 93.47–99.97) and 97.59% (IC 95%: 91.57–99.71) respectively. Taking into account this cut-off, 13 out of 14 initially negative specimens were classified as positive, so the overall sensitivity and NPV of the Liaison XL Murex HIV Ag/Ab assay could rise from 83.1 to 98.8% and from 85.5 to 97.7%, respectively. The results of the agreement between serum and OF specimens was K: 0.83, (95% CI: 0.748–0.915) according to the Kappa index. The total variance of the Liaison XL HIV Ab/Ag assay for each control ranged from 1.57 to 10.8 (Table 1).
Fig. 1.
ROC analysis to determine the optimal cut off of the LIAISON HIV Ag/Ab assay to identify a positive result in oral fluid specimen
Table 1.
Repeatability and reproducibility study of the Liaison HIV Ag/Ab assay
| Specimen | Meana | STDb total | %CV total |
|---|---|---|---|
| HIV antigen negative control | 0.257 | 0.012 | 4.62 |
| HIV antigen positive control | 2.189 | 0.034 | 1.57 |
| HIV antibody negative control | 0.219 | 0.024 | 10.8 |
| HIV antibody positive control | 2.758 | 0.144 | 5.23 |
aMean of 15 replicates. bSTD, standard deviation. cCoefficients of variation
Discussion
We performed biannual cross-sectionals studies in Catalonia using OF specimens, to determine the prevalence of HIV infection in vulnerable populations, such as men who have sex with men, sex workers, and injection drug users recruited from harm reduction centers. The combination of an adequate oral fluid collection device and a highly sensitive HIV antibody detection assay may offer a good alternative to serum based techniques for the HIV infection surveillance [9].
The results of the precision study showed that the Liaison HIV Ag/Ab XL assay is reproducible with an acceptable variance values.
In our study, we obtained an excellent concordance when paired serum and OF specimens were tested for HIV antibodies using the Liaison XL HIV Ag/Ab assay. The sensitivity and specificity of this assay in OF specimens was 83.1% and 100%, respectively. There were fourteen HIV seropositive patients with negative OF, of which 13 would be positive adjusting the Liaison XL HIV Ag/Ab assay cut-off with the ROC curve. The overall sensitivity and NPV of the Liaison XL HIV Ag/Ab assay would rise up from 83.1 to 98.8% and from 85.5 to 97.7%, respectively. Our results are comparable with previous research that also showed high-level performance on OF. Puneta et al. collected saliva and serum specimens from newly diagnosed confirmed HIV seropositive patients and from healthy individuals. Saliva specimens were collected by simple spitting method. The authors used a specialized ELISA (Genscreen HIV 1 + 2), which had higher sensitivity and specificity to detect HIV antibodies in saliva specimens (99% and 100% respectively) [10].
Even though serological HIV assays are modified to increase its sensitivity, the relatively lower concentration of IgG antibodies found in OF in comparison with serum provides an explanation for the occurrence of false negative results. Moreover, there are some limitations to OF specimens use for HIV antibody testing. The HIV antibody assays based on oral fluid specimens are also unlikely to detect recent HIV infection or those cases where viral load has been reduced by antiretroviral therapy [11].
The Liaison HIV Ag/Ab assay has high-level performance for the diagnosis of HIV infection on OF specimens. Thus, it could be a suitable tool for HIV testing in OF available to people in both clinical and non-clinical settings.
Author contribution
All authors contributed to the study conception and design. Material preparation, data collection and analysis were performed by VG, NL, JG, LE, BR, and JHWW. The first draft of the manuscript was written by VG and all authors commented on previous versions of the manuscript. All authors read and approved the final manuscript.
Data availability
All relevant data are within the paper.
Code availability
Not applicable.
Declarations
Ethics approval
This study was approved by the Research Ethics Committee of University Germans Trias i Pujol Hospital (number: PI19-020).
Consent to participate
All participants gave their informed consent to participate in the study.
Consent for publication
Not applicable.
Competing interests
The authors declare no competing interests.
Footnotes
Jordi Casabona and Pere Joan Cardona are co-senior authors on this work.
Publisher's note
Springer Nature remains neutral with regard to jurisdictional claims in published maps and institutional affiliations.
References
- 1.European Centre for Disease Prevention and Control/WHO Regional Office for Europe (2021) HIV/AIDS surveillance in Europe2021 – 2020 data. Stockholm: ECDC
- 2.Almeda J, Casabona J, Matas L, Gonzalez V, Muga R, Sanz B, Bolao F, Ausina V. Evaluation of a commercial enzyme immunoassay for HIV screening in urine. Eur J Clin Microbiol Infect Dis. 2004;23:831–835. doi: 10.1007/s10096-004-1221-6. [DOI] [PubMed] [Google Scholar]
- 3.Beelaert G, Van Heddegemb L, Van Frankenhuijsena M, Vandewalleb G, Compernolleb V, Florencea E, Fransena K. Evaluation of the intercept oral specimen collection device with HIV assays versus paired serum/plasma specimens. J Virol Methods. 2016;234:164–168. doi: 10.1016/j.jviromet.2016.04.014. [DOI] [PubMed] [Google Scholar]
- 4.Judd A, Parry J, Hickman M, McDonald T, Jordan L, Lewis K, Contreras M, Dusheiko G, Foster G, Gill N, Kemp K, Main J, Murray-Lyon I, Nelson M. Evaluation of a modified commercial assay in detecting antibody to hepatitis C virus in oral fluids and dried blood spots. J Med Virol. 2003;71:49–55. doi: 10.1002/jmv.10463. [DOI] [PubMed] [Google Scholar]
- 5.Cruz HM, et al (2019) Utility of oral fluid samples for hepatitis B antibody detection in real life conditions. BMC Infect Dis 17(1):632 [DOI] [PMC free article] [PubMed]
- 6.Lehner T. Gingival crevicular fluid. Oxford, UK: Immunology of oral diseases. Blackwell Scientific Publications; 1992. pp. 18–27. [Google Scholar]
- 7.Lemee V, Leoz M, Etienne M, DeOliveira F, Plantiera J-C. Performance of the liaison XL Murex HIV Ab/Ag test on clinical samples representing current epidemic HIV variants. J Clin Microbiol. 2014;52(9):32779. doi: 10.1128/JCM.01089-14. [DOI] [PMC free article] [PubMed] [Google Scholar]
- 8.Clinical and Laboratory Standards Institute. User verification of performance for precision and trueness; approved guideline-second editon (2005) CLSI document EP15-A2 [ISBN 1–56238–54–7]. Clinical and Laboratory Standards Institute, 940 West Valley Road, Suite 1400, Wayne, Pennyslvania 19087–1898 USA
- 9.Centre d’Estudis Epidemiològics sobre les ITS i Sida de Catalunya - CEEISCAT (2021) Sistema Integrat de Vigilància Epidemiològica de la SIDA/VIH/ITS/VHC a Catalunya (SIVES 2020). Departament de Salut, Generalitat de Catalunya. https://salutpublica.gencat.cat/web/.content/minisite/aspcat/vigilancia_salut_publica/vih-sidaits/05_CEEISCAT/publicacions-cientifiques/informes/SIVES/SIVES-2020/SIVES2020_CAT.pdf
- 10.Vohra P, Belkhode V, Nimonkar S, Potdar S, Bhanot R, Izna, Tiwari RVC (2020) Evaluation and diagnostic usefulness of saliva for detection of HIV antibodies: a cross-sectional study. J Family Med Prim Care 9(5):2437–2441 [DOI] [PMC free article] [PubMed]
- 11.Pascoe SJS, Langhaug LF, Mudzori J, Burke E, Hayes R, Cowan FM (2009) Field evaluation of diagnostic accuracy of an oral fluid rapid test for HIV, tested at point-of service sites in rural Zimbabwe. AIDS Patient Care STDS 23(7):571–6 [DOI] [PMC free article] [PubMed]
Associated Data
This section collects any data citations, data availability statements, or supplementary materials included in this article.
Data Availability Statement
All relevant data are within the paper.
Not applicable.

