Abstract
This paper aims to promote a quantum framework that analyzes Industry 4.0 cyber-physical systems more efficiently than traditional simulations used to represent integrated systems. The paper proposes a novel configuration of distributed quantum circuits in multilayered complex networks that enable the evaluation of industrial value creation chains. In particular, two different mechanisms for the integration of information between circuits operating at different layers are proposed, where their behavior is analyzed and compared with the classical conditional probability tables linked to the Bayesian networks. With the proposed method, both linear and nonlinear behaviors become possible while the complexity remains bounded. Applications in the case of Industry 4.0 are discussed when a component’s health is under consideration, where the effect of integration between different quantum cyber-physical digital twin models appears as a relevant implication.
Subject terms: Quantum simulation, Qubits
Introduction
Cyber-physical systems (CPS) are integrations of computational and physical components that can interact with humans through new and different modalities. A key to future technological development is precisely this new and different capacity of interaction together with the new possibilies that these systems pose for expanding the capabilities of the physical world through computation, communication and control1. When CPS are understood within the industrial practice fueled by additional technologies such as Internet of Things (IoT), people refer to the Industry 4.0 paradigm2. The design of many industrial engineering systems has been performed by separately considering the control system design from the hardware and/or software implementation details. That is, after a first design and verification stage in which the control system is exhaustively simulated, the uncertainty of the generated model and random disturbances are addressed by means of ad hoc adjustment methods, which has been time-consuming and costly in the maintenance of functional and operational systems when several subsystems are integrated1.
Leading Industry 4.0 processes to the coordinated achievement of objectives is a probabilistic process in which decision–makers can never be certain that the choice being made is the correct one3. As a consequence, value-creating networks can be considered as decision networks or probabilistic directed acyclic graphical models4,5 with known conditional probabilities, and such network per process, when considered as an ensemble, is nothing else than a multiple complex system. Multiple complex systems can be found as well in many other fields such as the human nervous system6, forests7, city transportation systems8, social networks9 or insect colonies10, which present a multilayered hierarchical network structure. The emergence of this type of configuration confers on the system a series of evolutionary fitness advantages11 such as the development of distributed swarm intelligence12, systemic learning through information aggregation13, effective goal achievement and complex problem solving14, or greater resilience to changes15. Indeed, the strategic design of organizations takes such complexity into account16 for cyber-physical systems of Industry 4.017, where they start to be understood as socio-technical complex networked configurations at various levels of complexity18–21.
The behavioral simulation of individual systems in Industry 4.0 is frequently addressed by means of digital twins (DTs). Although the DT concept is well established, it is usually crafted in different ways depending on the application and discipline, and they have the vision for representing physical assets, allowing different component models22. Most of the efforts in creating DTs are spent in gathering data and training models. However, little efforts have been done to exploit the hierarchical relationship between systems in an integrated way. Therefore, a significant gap regarding DTs is the lack of integration23, not only at the same level, losing the capability of promoting their interactions fostering the information value chain, but even vertically, where the upper hierarchical levels are not aware of the status of subsystems or components, relevant for their processing status. The main reason is because of the high complexity involved, which makes it hard to consider all components at all hierarchical levels.
Quantum computation processes information using the laws of quantum mechanics, which endows it with a high computational capacity compared to classical computers24. It has opened new ways of solving some problems, e.g., in machine learning25, finance26, or human interaction27. Industry 4.0 problems using machine learning are likely to benefit from quantum models of computation3. A quantum simulation may also be used to optimize the configuration of the cyber-physical resources that conform to these systems. It has already been shown how quantum simulations can be used to describe networks of interdependent resources28–30.
While a CPS has both physical and software components deeply intertwined in such a way it operates on different spatial and temporal scales, interacting with each other in ways that change with context, we define Quantum Cyber Physical Systems (QCPS) as a CPS in which its mechanism is controlled or monitored by quantum-based algorithms.
In this article, we combine the system theory as well as its digital translation and the use of quantum decision networks to propose a quantum framework for Industry 4.0 cyber-physical systems, able to deal with the hierarchical interdependent DT. As shown in the graphical abstract of Fig. 1, we propose a two-dimensional socio-technical multilayered network framework in which the resources that make up the cyber-physical system are modeled as a network of qubits or, in their simplest configuration, through qubits. Each of these elements presents a probability of being in the desired process specifications that is represented by the qubit position.
Figure 1.
Quantum industry 4.0 cyber-physical systems.
To clarify the proposed architecture, for the exhibited example in the Fig. 1, it is important to understand that the interest was to model and to represent two different behaviors for the elements or subsystems, such as normal (inside the expected range) or abnormal (outside of it). Such a status can be described as a probability at a specific time and it can be represented by a quantum bit (qubit), in a similar way to other approaches that use quantum computing to simulate diffusion through networks31.
Therefore, such representation is used on the technical axis to describe the status of a sensor or network of sensors, of a machine or network of machines, of a value stream of resources, or a network of value streams, etc.
On the other axis, this time talking about the nontechnical human or social dimensions of the organization, different interests can be also described in a probabilistic way. In the case of a team (or a network of teams), we could be interested in estimating their performance, or their alignment as normal (inside the expected range through time) or abnormal. However, the focus could be a group of people, where the relevant parameter being described in a probabilistic way could be their operational health, or other dimensions. Indeed, the interest can also be the effect of devices or processes over social agents at a short scale (emissions) or at a larger scale (contribution to climate change).
Each system component is independent and connected to others as defined by the users, facilitating the assembly of a multilayered network structure. This allows users to assess different strategies according to various situations or configurations. In the example used as reference, the interest is to model how abnormalities at specific level impact in higher levels of hierarchy. Furthermore, the paper develops methods to evaluate the effects of resource or system failure at a specific level as well as its propagation and impact. This proposal can be seen as another perspective of the utilization of quantum computing, a similar hierarchical perspective presented by Ref.32 in their vision for Quantum Internet.
This paper is organized as follows. Second Section describes quantum multilayered networks. The third section evaluates the implementation of the hierarchical relationship. The fourth section discusses the results. Finally, the fifth section presents our conclusions, limitations, and future research steps.
Quantum multilayered networks
Reading the proposed framework, each of the two dimensions of the socio-technical phase space can be understood as a specific space, then different layers are considered inside each space. We have separated the aggregation levels as follows:
At the social level, each layer is defined by a network of agents reporting to each other33, where performance, operational health, emissions, and carbon footprint have been identified22,34,35 as core elements.
Similarly, at the technical level, the machine state is defined by a network of sensors36, the value stream state is defined by a network of machines37, the factory state is defined by a network of value streams38, and the supply chain state is defined by a network of factories defining the supra-organizational state39,40.
In general, we can state that Industry 4.0 systems can be designed as a network of processes41 and the failure of one of these processes leads to a performance loss of the system42. We aim to inspect the behavior of the system when some of its elements are not operating within the standard operating procedure tolerances43. Industrial processes are designed following strict standard operating procedures that constrain them within certain limits, to ensure the competitiveness and quality of the products44,45.
The information describing Industry 4.0 systems is typically managed by a series of key performance indicators (KPIs). Such KPIs are interdependent and describe certain characteristics of the processes that conform to the value creation of certain products46. To ensure the necessary conditions of quality, cost, etc., demanded by customers, these KPIs and their respective statistical distributions are constantly monitored by control processes. Our proposal assigns one qubit to each of the cyber-physical resources of the multilayered socio-technical network. Specifically, the probability that the cyber-physical resource is within the specifications defined in the standard operating procedure will be assigned as the probability of and otherwise (see Fig. 1). These resources will be linked to others to build a system, depending on the aspect under consideration in such a way that multilayer network becomes a natural architecture. Indeed, the state space of a composite physical system is the tensor product of the state spaces of the component physical systems47, and this principle can be easily translated to the quantum environment. Therefore, in this work it is proposed a hybrid framework for analyzing classical data coming from different sources through quantum networks.
Bloch’s sphere is commonly used to geometrically represent a qubit48. A qubit can be represented as a point on the Bloch sphere with the help of two parameters (, ), as expressed by . When several qubits are utilized in a circuit describing a layer of elements, their aggregated state can be determined utilizing the tensorial product given by 47. This tensorial product maps the entry in a complex Hilbert space , which for qubits is the . For simplicity reasons, we will. For the sake of simplicity, we will henceforth dispense with the notation by mentioning the entry .
A multilayer network is given by the quadruplet , in which indicates the set of node-layer tuplets related to a set of nodes , and representing the set of perspectives built upon a set of elementary layers being relevant to the set of aspects 49. Therefore, a multilayer network can have N number of aspects, being N the cardinality of . Based on those aspects a sequence of sets of layers is defined as = L , ,N) , where L represents the set of layers related to the aspect. The whole group of layers are built based on the cartesian product of the sets as per aspect, , and then . The nodes can be connected pairwise by means of edges, where according to the definition, connections can happen inside layers or inter-layers. The multilayer network can still be represented as graph .
For any given time complex cyber-physical networks have been formally described21 as time-dependent graphs given by Eq. (1):
| 1 |
which can be understood as lists of human and cyber-physical nodes and its standard communication edges43. Continuous improvement-oriented standardization of business communication protocols between network elements (i.e., organizational network edges) is the only way to produce lean structural networks from complex networked organizational design configurations43
Within this time interval , the graph described in Eq. (1) converts into a decision network formed by a set of nodes and edges, where represents the set of all the nodes being part of the network in , and the edges represent interactions between nodes. Let be a parent node and a child node. The edge between nodes and are determined by the known probabilistic dependence occurrence on node related to the occurrence on . Subsequently, as described by Ref.50, the joint probability of the nodes can be decomposed into the product of the marginal probabilities given by Eq. (2):
| 2 |
This property shall be used later on for a proper representation of lean complex cyber-physical networks through quantum circuits.
These qubits form decision networks that can be simulated with quantum circuits3,27,29,30. In this approach, an amplitude encoding feature map is implemented. For a root node (qubit) with no parents—i.e., it does not depend on any other node, there are two possible states: and . The initialization of these qubits is implemented by translating the conditional probabilities depending on their decision network dependencies into qubit rotation angles. Therefore the rotation angle required to calculate the probabilities of being in state and can be expressed by Eq. (3):
| 3 |
In general, for a child node with m parents there are possible states and the rotation angle is given by Eq. (4):
| 4 |
This rotation angle can be seen as a special case of the rotation angle proposed by Ref.51 for initializing a quantum register to an arbitrary superposed quantum state and used in52 for the preparation stage in their estimation on the upper bound of quantum cloning machine. Similarly, the rotation angle given in Eqs. (3) and (4) provides appropriate amplitudes for the basis states and .
Implementation of the hierarchical relationship
According to the already introduced multilayer network configuration, this paper proposes a quantum multilayered network that presents several computational advantages: on the one hand, the state of each qubit can be fully computed as a wave function of the quantum circuit that conforms it at a lower level. This allows for an effective computation of the interactions between different layers and greatly reduces the computational resources needed to elaborate virtual representations of the system as compared with other approaches such as twin factories53. On the other hand, it allows for a distributed ledger computation of organizational states and can therefore flexibly and securely evaluate different decision network configurations and aggregate them into greater settings, hence enabling researchers and organizational designers to use advanced quantum simulations to accelerate managerial decision making.
Without loss of generality, in the modeling of Industry 4.0 processes, we can always add a qubit at the end of the quantum circuit that measures a characteristic of the circuit that we are interested in measuring (i.e. quality, cost,...) and that condenses the conditional probabilities of the rest of the circuit. As a consequence, the aggregation of the wave function to the next level in the position is performed by two nodes: one that describes the initial rotation that represents the probability of the last node of the circuit which absorbs the initial rotation of the level , and a new qubit that contains the conditional probabilities of the node in the level . Since the root nodes at level l+1 do not have conditional probabilities, they only present the initial rotation. This is shown in Fig. 2a.
Figure 2.
Aggregation of two layers network. Three qubits case. (a) First approach (b) Second approach. Each node (circle) of the network is represented by a qubit (e.g., sensor qubit in level and machine qubit in level ). Interactions between nodes (qubits) are represented by edges in the direction of influence.
Therefore, the number of additional qubits required to represent the interlayer connections is equal to the number of child nodes in the level . For illustration, the quantum circuit at level represented in Fig. 2a uses two additional qubits ( and ). The initial state of all the qubits in the quantum circuit is (state of no failure). Then, an initial rotation with angles that are conditioned on the states of the last node of the circuits at level is applied to the root nodes at level and the new qubits that represent the interlayer connections:
.
The calculation of the initial rotation angles is given by Eq. (3).
In the case of child nodes and , it is necessary to define a set of probabilities conditioned on the values of the corresponding parent nodes (e.g., and for node , and and for node ). Thus, , where and , represents the probability of failure of node conditioned to the state of failure and/or no-failure of nodes and .
The quantum circuit designed with this first approach can be represented by a Bayesian network. Rotation gates in the quantum circuit represent the marginal probabilities associated with root nodes, and controlled rotation gates represent the conditional probability tables associated with child nodes5. Thus, the results of the application of this strategy can be compared with the results of the equivalent Bayesian network. As shown in Figs. 3 and 4, the results obtained with both implementations, i.e, the quantum circuit and the classical Bayesian network, are the same. Failure probability propagation from the root nodes—which represent the state of the systems at level —towards the final node—which represents the state of the system at level —depends on:
The set of conditional probabilities that quantifies the effect of the parent nodes on a child. As Fig. 3 illustrates, higher probabilities of failure conditioned on the state of failure of both parent nodes (from to in our example) lead to a greater performance loss of the system.
The distance between the root node in a state of failure and the final child node. In our example, the root node has the greatest impact on the performance loss of the system (see Fig. 3c,e or f).
The number of root nodes, i.e., systems at level , in a state of failure.
Figure 3.
Performance loss of the system at level for different failure behaviors at level , different combinations of , where , and . First approach. Three qubits case.
Figure 4.
Performance loss of the system at level for different failure behaviors at level , different combinations of , where , and . First approach. Equivalent Bayesian network.
A different proposed approach to connect different layers in the network is to use the state of the last node of the circuit in the level as initial state of nodes in the level instead of being initialized to . In this case, the rotation angle can be expressed by Eq. (5):
| 5 |
Thus, if the last node of the circuit in the level has a no-failure state, , and the initial state of the qubits in the level is set to , i.e, state of no-failure. On the other hand, as long as the system in the level is not operating properly , the value of increases from to , which leads the initial state of the qubits in the level towards a state of failure.
This second approach, which is represented in Fig. 2b, eliminates the use of additional qubits as in the first approach. After the computation of the initial state of nodes in level by applying internal rotation with angles based on Eq. (5), the wave function of the quantum circuit is calculated. To describe the case showed in Fig. 2b, the following probabilities associated with each node need to be defined:
. Probability of failure of node .
, where and . Probability of failure of node conditioned to the state of failure or no-failure of node .
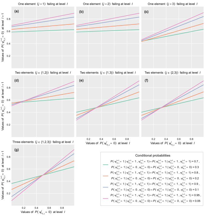
The results of the application of this second strategy (Fig. 5) show a non-linear behavior of the system when some of its elements are in a state of failure. In this case, the initialization performed by applying internal rotations modifies the initial probability amplitude of quantum states and changes how the information propagates through the quantum circuit. Figure 5 shows how the dominating factors for the performance loss of the system are both the increasing number of nodes (i.e., systems at level ) in a state of failure and their decreasing distance to the final node. Furthermore, as the almost parallel lines in Fig. 5c,e,f,g illustrate, the impact of conditional probabilities on the state of the final node decreases with both increasing number of nodes in a state of failure and decreasing distance between failure nodes and the final one, which results in a saturation point where the performance loss of the system becomes flat.
Figure 5.
Performance loss of the system at level for different failure behaviors at level and different combinations of , where and . Second approach. Three qubits case.
Discussion
An alternative representation of the quantum state is applied to an entry is given by an Hermitian operator called density matrix which contains all the observable information of the quantum state. Quantum circuits map therefore the input into a high-dimensional feature space in which statistical properties of the measurement are interpreted as output of the quantum circuit. These measurements, which correspond to a Hermitian operator acting on vectors in the Hilbert space of the quantum circuit and live in a subspace of the data-encoding feature space are in general not linear in the Hilbert space of the quantum circuit54. However, according to the celebrated representer theorem55, an optimal quantum kernel can be found that allows describing the quantum circuits as linear models in the space of the Hermitian operator with the form where , is the input data and . In other words, if we find a linear transformation of our quantum state vector , we are guaranteed that the best measurements for our quantum circuit only has degrees of freedom, rather than the degrees of freedom of a quantum circuit with n qubits.
As shown in Fig. 2a, and the related results in Fig. 3, the first quantum model presented in this work does exactly this: by understanding the data-encoding density matrices as feature vectors, it describes a novel quantum kernel that allows the aggregation of hierarchical networks of qubits in such a way that the quantum models behave linearly in the space of the resulting operator when describing the observable information of the quantum state . In contrast, the non-linearity of the second model, shown in Fig. 2b, and the related results depicted in Fig. 5, shows dissipating effects in the translation of the failure probabilities from one level to the next level derived from the internal rotation imposed on the qubits in the hierarchical aggregation56. This means that while the circuit has a high-dimensional state space, the quantum model with additional qubits can be operated in a low-dimensional subspace without dissipation, while the model with internal rotations cannot. This representation can be very useful for several applications, but perhaps the most important one is that it allows us to study the temporal evolution of multilayered networked qubit systems given by Eq. (1) from an optimization point of view: minimizing the cost functions represented in the space of quantum circuits would be equivalent to minimizing the same cost functions of the resulting system after the proposed transformation.
Conclusions
In this paper, a comprehensive framework for articulating different behaviors of components of systems has been proposed. Feasibility of the integrated behavior is obtained through quantum computing circuits describing the connected interaction between elements of those components at every significant level. The proposed framework allows to represent cyber-physical complex networks of components and systems in Industry 4.0 applications, enabling a systematic and quantitative analysis of these systems. This takes into consideration that Industry 4.0 resources can be flexibly activated in different layers inside different processes to create different products. The flexibility of the presented approach comes as it enables the description of different perspectives attending a variety of socio-technical dimensions of the system, preserving its integrated hierarchical description.
The application to the Industry 4.0 case has a particular added value, as it can contribute to efficiently bring vertical and horizontal integration to the digital representation of subsystems, reached through the DT concept, but where every single subsystem on every single dimension requires its particular DT. However, describing the behavior of the whole system requires strong integration capabilities from the quantitative point of view, as more sources of variability need to be considered.
To illustrate the capabilities of the proposed framework, a detailed analysis of the vertical integration between two hierarchical layers of components of a CPS interacting horizontally has been discussed. The adopted criteria of interest are the operational health of the system and its components (non-operating failures), where the failure of components can occur both horizontally and vertically and influence in a different way the system reliability. Without the lack of generalization capability, simple topology configurations were adopted for the multilayered network of components.
This research has also proposed two different effective alternatives for scaling up the aggregated behavior between layers, bringing linear and nonlinear behaviors. The performed simulations associated with this work—quantum simulations have been performed in Python 3.7 and the Bayesian networks have been simulated in R- are available57. Explanation of behavior for both alternatives including sensitiveness to failure transmission levels was also undertaken. The results have shown how Industry 4.0 multilayered networks, at any desired scale, can be represented through quantum simulations associated with the conditional probabilities of failure of their cyber-physical elements. They can successfully represent the health of the system, where the computational advantages are relevant, and the possibility of integration of this quantum simulation paradigm in DT Industry 4.0 environments has been demonstrated.
Although Industry 4.0 manufacturing systems are one of the most relevant fields for DTs exploitation, the adoption of DTs can also play a promising role for decision making in alternative fields, such as smart farming or smart cities, among others. Thus, the proposed framework can be easily applied to other contexts, such as organizational lean management, where it can facilitate the representation of communications as well as representing the variability of related processes at different organizational levels.
The adoption of the proposed framework will allow the investigation of alternative descriptions for the components, out of the probability representing its health status, which can include a hybrid representation of interests.
In the future, quantum research on complex hierarchical networks should evolve from the discrete representation of systems as ‘extended qubits’ towards a more ‘continuous’ description through variables representing functions. In mathematical terms, instead of representing as the descriptive basis of the density operator, the complex Hilbert space in which it is located, tends towards more complex Hilbert spaces such as that of bounded L2 functions, or other similar ones. Another pending research topic is the associated optimization problems linked to multilayered networks, where cost functions become defined over the network. Finally, it is worth mentioning that the proposed approach is not a new design of quantum neural networks, such as the many proposals and ideas that can be found in the literature58,59. It can be seen as another perspective of quantum complex networks, which have been shown to be more vulnerable to some network attacks than others60,61. In this sense, more research is needed to improve information transmission, e.g., quantum spin networks62, as well as to allow device independence of security protocols in multisource networks61 .
Acknowledgements
The authors want to thank the “Programa Estatal de I+D+i Orientada a los Retos de la Sociedad”, and through the Ministerio de Ciencia e Innovación Agencia Estatal de Investigación with the Grant RTI2018-094614-B-I00 (SMASHING). J.V.-D. would like to thank Professor Rosa Maria Benito Zafrilla and Professor Juan Carlos Losada González from Universidad Politécnica de Madrid for their valuable contributions and support.
Author contributions
J.V.-D., A.G.-M. and J.O.-M. conceived the experiment(s), J.V.-D., A.G.-M. and J.O.-M. conducted the experiment(s), J.V.-D., A.G.-M. and J.O.-M. analyzed the results. All authors reviewed the manuscript.
Funding
Open Access funding enabled and organized by Projekt DEAL.
Competing interests
The authors declare no competing interests.
Footnotes
Publisher's note
Springer Nature remains neutral with regard to jurisdictional claims in published maps and institutional affiliations.
References
- 1.Baheti R, Gill H. Cyber-physical systems. Impact Control Technol. 2011;12:161–166. [Google Scholar]
- 2.Lee J, Bagheri B, Kao H-A. A Cyber-Physical Systems architecture for Industry 4.0-based manufacturing systems. Manuf. Lett. 2015;3:18–23. doi: 10.1016/j.mfglet.2014.12.001. [DOI] [Google Scholar]
- 3.Villalba-Diez J, Zheng X. Quantum strategic organizational design: Alignment in industry 4.0 complex-networked cyber-physical lean management systems. Sensors. 2020 doi: 10.3390/s20205856. [DOI] [PMC free article] [PubMed] [Google Scholar]
- 4.Nielsen, T. D. & Jensen, F. V. Bayesian Networks and Decision Graphs (Springer Science & Business Media, 2009).
- 5.Borujeni SE, Nannapaneni S, Nguyen NH, Behrman EC, Steck JE. Quantum circuit representation of Bayesian networks. Expert Syst. Appl. 2021;176:114768. doi: 10.1016/j.eswa.2021.114768. [DOI] [Google Scholar]
- 6.Sporns O. Networks of the Brain. The MIT Press; 2011. [Google Scholar]
- 7.Wohlleben, P. Das geheime Leben der Bäume: Was sie fühlen, wie sie kommunizieren. (The hidden life of trees) (Ludwig Buchverlag, 2016).
- 8.Aleta A, Meloni S, Moreno Y. A multilayer perspective for the analysis of urban transportation systems. Sci. Rep. 2017;7:1–9. doi: 10.1038/srep44359. [DOI] [PMC free article] [PubMed] [Google Scholar]
- 9.Oro E, Pizzuti C, Procopio N, Ruffolo M. Detecting topic authoritative social media users: A multilayer network approach. IEEE Trans. Multimed. 2017;20:1195–1208. doi: 10.1109/TMM.2017.2763324. [DOI] [Google Scholar]
- 10.Finn KR, Silk MJ, Porter MA, Pinter-Wollman N. The use of multilayer network analysis in animal behaviour. Anim. Behav. 2019;149:7–22. doi: 10.1016/j.anbehav.2018.12.016. [DOI] [PMC free article] [PubMed] [Google Scholar]
- 11.Bianconi G. Multilayer Networks: Structure and Function. Oxford University Press; 2018. [Google Scholar]
- 12.Cao M, Fang W. Swarm intelligence algorithms for weapon-target assignment in a multilayer defense scenario: A comparative study. Symmetry. 2020 doi: 10.3390/sym12050824. [DOI] [Google Scholar]
- 13.Baltakys K, Kanniainen J, Emmert-Streib F. Multilayer aggregation with statistical validation: Application to investor networks. Sci. Rep. 2018;8:8198. doi: 10.1038/s41598-018-26575-2. [DOI] [PMC free article] [PubMed] [Google Scholar]
- 14.Boccaletti S, et al. The structure and dynamics of multilayer networks. Phys. Rep. 2014;544:1–122. doi: 10.1016/j.physrep.2014.07.001. [DOI] [PMC free article] [PubMed] [Google Scholar]
- 15.Bertoni VB, Saurin TA, Fogliatto FS, Falegnami A, Patriarca R. Monitor, anticipate, respond, and learn: Developing and interpreting a multilayer social network of resilience abilities. Saf. Sci. 2021;136:105148. doi: 10.1016/j.ssci.2020.105148. [DOI] [Google Scholar]
- 16.Burton, R. M., Øbel, B. & Håkonsson, D. D. Organizational Design: A Step-by-Step Approach, 3 edn. (Cambridge University Press, 2015).
- 17.Bauernhansl, T., Hompel, M. T. & Vogel-Heuser, B. (eds.) Industrie 4.0 in Produktion, Automatisierung und Logistik: AnwendungTechnologienMigration (Springer Vieweg, 2014).
- 18.Baxter G, Sommerville I. Socio-technical systems: From design methods to systems engineering. Interact. Comput. 2011;23:4–17. doi: 10.1016/j.intcom.2010.07.003. [DOI] [Google Scholar]
- 19.Davies R, Coole T, Smith A. Review of socio-technical considerations to ensure successful implementation of industry 4.0. Proc. Manuf. 2017;11:1288–1295. doi: 10.1016/j.promfg.2017.07.256. [DOI] [Google Scholar]
- 20.Bogoviz, A. V. Industry 4.0 as a new vector of growth and development of knowledge economy. In Industry 4.0: Industrial Revolution of the 21st Century (eds. Popkova, E. G., Ragulina, Y. V. & Bogoviz, A. V.) 85–91. 10.1007/978-3-319-94310-7_8 (Springer International Publishing, 2019).
- 21.Villalba-Diez J, et al. Geometric deep lean learning: deep learning in industry 4.0 cyber-physical complex networks. Sensors. 2020 doi: 10.3390/s20030763. [DOI] [PMC free article] [PubMed] [Google Scholar]
- 22.Zheng X, Wang M, Ordieres-Mere J. Comparison of data preprocessing approaches for applying deep learning to human activity recognition in the context of industry 4.0. Sensors. 2018;18:2146. doi: 10.3390/s18072146. [DOI] [PMC free article] [PubMed] [Google Scholar]
- 23.Singh, S. et al.Challenges of Digital Twin in High Value Manufacturing (Tech. Rep, SAE Technical Paper, 2018).
- 24.Nielsen, M. A. & Chuang, I. Quantum Computation and Quantum Information (Cambridge University Press, 2010).
- 25.Biamonte J, et al. Quantum machine learning. Nature. 2017;549:195–202. doi: 10.1038/nature23474. [DOI] [PubMed] [Google Scholar]
- 26.Woerner S, Egger DJ. Quantum risk analysis. NPJ Quantum Inf. 2019;5:15. doi: 10.1038/s41534-019-0130-6. [DOI] [Google Scholar]
- 27.Villalba-Diez J, Benito RM, Losada JC. Industry 4.0 quantum strategic organizational design configurations. The case of two qubits: One reports to one. Sensors. 2020 doi: 10.3390/s20236977. [DOI] [PMC free article] [PubMed] [Google Scholar]
- 28.Wittek P, Gogolin C. Quantum enhanced inference in Markov logic networks. Sci. Rep. 2017;7:45672. doi: 10.1038/srep45672. [DOI] [PMC free article] [PubMed] [Google Scholar]
- 29.Moreira C, Wichert A. Are quantum-like Bayesian networks more powerful than classical Bayesian networks? J. Math. Psychol. 2018;82:73–83. doi: 10.1016/j.jmp.2017.11.003. [DOI] [Google Scholar]
- 30.Moreira C, Tiwari P, Pandey HM, Bruza P, Wichert A. Quantum-like influence diagrams for decision-making. Neural Netw. 2020;132:190–210. doi: 10.1016/j.neunet.2020.07.009. [DOI] [PubMed] [Google Scholar]
- 31.Britt BC. Modeling viral diffusion using quantum computational network simulation. Quantum Eng. 2020;2:e29. doi: 10.1002/que2.29. [DOI] [Google Scholar]
- 32.Wehner S, Elkouss D, Hanson R. Quantum internet: A vision for the road ahead. Science. 2018;362:eaam9288. doi: 10.1126/science.aam9288. [DOI] [PubMed] [Google Scholar]
- 33.Villalba-Diez, J. The Hoshin Kanri Forest. Lean Strategic Organizational Design, 1st edn (CRC Press. Taylor and Francis Group LLC, 2017).
- 34.Villalba-Diez J, Zheng X, Schmidt D, Molina M. Characterization of industry 4.0 lean management problem-solving behavioral patterns using EEG sensors and deep learning. Sensors. 2019 doi: 10.3390/s19132841. [DOI] [PMC free article] [PubMed] [Google Scholar]
- 35.Schmidt D, et al. Industry 4.0 lean shopfloor management characterization using EEG sensors and deep learning. Sensors. 2020 doi: 10.3390/s20102860. [DOI] [PMC free article] [PubMed] [Google Scholar]
- 36.Villalba-Diez J, et al. Deep learning for industrial computer vision quality control in the printing industry 4.0. Sensors. 2019 doi: 10.3390/s19183987. [DOI] [PMC free article] [PubMed] [Google Scholar]
- 37.Huang Z, Kim J, Sadri A, Dowey S, Dargusch MS. Industry 4.0: Development of a multi-agent system for dynamic value stream mapping in SMEs. J. Manuf. Syst. 2019;52:1–12. doi: 10.1016/j.jmsy.2019.05.001. [DOI] [Google Scholar]
- 38.Tortorella GL, et al. Designing lean value streams in the fourth industrial revolution era: Proposition of technology-integrated guidelines. Int. J. Prod. Res. 2020;58:5020–5033. doi: 10.1080/00207543.2020.1743893. [DOI] [Google Scholar]
- 39.Cross, R., Singer, J., Colella, S., Thomas, R. & Silverstone, Y. The organizational network fieldbook: Best practices, techniques and exercises to drive organizational innovation and performance, 1 edn (Jossey-Bass, 2010).
- 40.Manavalan E, Jayakrishna K. A review of Internet of Things (IoT) embedded sustainable supply chain for industry 4.0 requirements. Comput. Ind. Eng. 2019;127:925–953. doi: 10.1016/j.cie.2018.11.030. [DOI] [Google Scholar]
- 41.Schuh G, Potente T, Varandani R, Schmitz T. Methodology for the assessment of structural complexity in global production networks. Proc. CIRP. 2013;7:67–72. doi: 10.1016/j.procir.2013.05.012. [DOI] [Google Scholar]
- 42.Del Gaudio D, Hirmer P. Seamless integration of devices in industry 4.0 environments. Internet Things. 2020;12:100321. doi: 10.1016/j.iot.2020.100321. [DOI] [Google Scholar]
- 43.Villalba-Diez J, Ordieres-Mere J. Improving manufacturing operational performance by standardizing process management. Trans. Eng. Manag. 2015;62:351–360. doi: 10.1109/TEM.2015.2424156. [DOI] [Google Scholar]
- 44.Shin WS, Dahlgaard JJ, Dahlgaard-Park SM, Kim MG. A quality scorecard for the era of industry 4.0. Total Qual. Manag. Bus. Excell. 2018;29:959–976. doi: 10.1080/14783363.2018.1486536. [DOI] [Google Scholar]
- 45.Gunasekaran A, Subramanian N, Ngai WTE. Quality management in the 21st century enterprises: Research pathway towards Industry 4.0. Int. J. Prod. Econ. 2019;207:125–129. doi: 10.1016/j.ijpe.2018.09.005. [DOI] [Google Scholar]
- 46.Villalba-Diez J, Ordieres-Meré J, Chudzick H, López-Rojo P. Nemawashi: Attaining value stream alignment within complex organizational networks. Proc. CIRP. 2015;37:134–139. doi: 10.1016/j.procir.2015.08.021. [DOI] [Google Scholar]
- 47.Khrennikov, A. Y. Ubiquitous Quantum Structure (Springer, 2014).
- 48.Mosseri R, Dandoloff R. Geometry of entangled states, Bloch spheres and Hopf fibrations. J. Phys. A Math. Gen. 2001;34:10243–10252. doi: 10.1088/0305-4470/34/47/324. [DOI] [Google Scholar]
- 49.Kivelä M, et al. Multilayer networks. J. Complex Netw. 2014;2:203–271. doi: 10.1093/comnet/cnu016. [DOI] [Google Scholar]
- 50.Bossomaier T, Barnett L, Harré M, Lizier JT. An Introduction to Transfer Entropy. Springer International Publishing; 2016. [Google Scholar]
- 51.Long G-L, Sun Y. Efficient scheme for initializing a quantum register with an arbitrary superposed state. Phys. Rev. A. 2001;64:014303. doi: 10.1103/PhysRevA.64.014303. [DOI] [Google Scholar]
- 52.Maruyama K, Knight PL. Upper bounds for the number of quantum clones under decoherence. Phys. Rev. A. 2003;67:032303. doi: 10.1103/PhysRevA.67.032303. [DOI] [Google Scholar]
- 53.Qi Q, Tao F. Digital twin and big data towards smart manufacturing and industry 4.0: 360 degree comparison. IEEE Access. 2018;6:3585–3593. doi: 10.1109/ACCESS.2018.2793265. [DOI] [Google Scholar]
- 54.Havlíček V, et al. Supervised learning with quantum-enhanced feature spaces. Nature. 2019;567:209–212. doi: 10.1038/s41586-019-0980-2. [DOI] [PubMed] [Google Scholar]
- 55.Kimeldorf G, Wahba G. Some results on Tchebycheffian spline functions. J. Math. Anal. Appl. 1971;33:82–95. doi: 10.1016/0022-247X(71)90184-3. [DOI] [Google Scholar]
- 56.Gupta, S. & Zia, R. Quantum Neural Networks. arXiv:quant-ph/0201144 (2002).
- 57.Agmarcos. agmarcos/qcps: Qicps code. 10.5281/ZENODO.4837469 (2021).
- 58.Zhang Y, Ni Q. Design of quantum neuron model for quantum neural networks. Quantum Eng. 2021 doi: 10.1002/que2.75. [DOI] [Google Scholar]
- 59.Wei S, Chen Y, Zhou Z, Long G. A quantum convolutional neural network on NISQ devices. AAPPS Bull. 2022 doi: 10.1007/s43673-021-00030-3. [DOI] [Google Scholar]
- 60.Sundar B, Walschaers M, Parigi V, Carr LD. Response of quantum spin networks to attacks. J. Phys. Complex. 2020;2:032008. doi: 10.1088/2632-072X/abf5c2. [DOI] [Google Scholar]
- 61.Zhang C, et al. Experimental observation of quantum nonlocality in general networks with different topologies. Fundam. Res. 2021;1:22–26. doi: 10.1016/J.FMRE.2020.11.002. [DOI] [Google Scholar]
- 62.Bogdan P, Jonckheere E, Schirmer S. Multi-fractal geometry of finite networks of spins: Nonequilibrium dynamics beyond thermalization and many-body-localization. Chaos Solitons Fractals. 2017;103:622–631. doi: 10.1016/J.CHAOS.2017.07.008. [DOI] [Google Scholar]





