Abstract
Background
Freezing of gait is a debilitating symptom of Parkinson’s disease associated with high risks of falls and poor quality of life. While productive therapy for FoG is still underway, early prediction of FoG could help high-risk PD patients to take preventive measures. In this study, we predicted the onset of FoG in de novo PD patients using a battery of risk factors from patients enrolled in PPMI cohort.
Methods
Baseline characteristics were compared between subjects who developed FoG (68 patients, 37.2%, pre-FoG group) during the five-year follow up and subjects who did not (115 patients, 62.8%, non-FoG group). A multivariate logistic regression model was built based on backward stepwise selection of factors that were associated with FoG onset in the univariate analysis. ROC curves were used to assess sensitivity and specificity of the predictive model.
Results
At baseline, age, PIGD score, cognitive functions, autonomic functions, sleep behavior, fatigue and striatal DAT uptake were significantly different in the pre-FoG group relative to the non-FoG group. However, there was no difference in genetic characteristics between the two patient sets. Univariate analysis showed several motor and non-motor factors that correlated with FoG, including PIGD score, MDS-UPDRS part II score, SDMT score, HVLT Immediate/Total Recall, MOCA, Epworth Sleepiness Scale, fatigue, SCOPA-AUT gastrointestinal score, SCOPA-AUT urinary score and CSF biomarker Abeta42. Multivariate logistic analysis stressed that high PIGD score, fatigue, worse SDMT performance and low levels of Abeta42 were independent risk factors for FoG onset in PD patients.
Conclusions
Combining motor and non-motor features including PIGD score, poor cognitive functions and CSF Abeta can identify PD patients with high risk of FoG onset.
Supplementary Information
The online version contains supplementary material available at 10.1186/s12883-022-02713-2.
Keywords: Freezing of gait, Risk factors, Parkinson's disease, Prediction
Background
Freezing of gait (FoG) refers to a sudden inability to initiate or continue gait [1]. As a common symptom with increasing frequency as Parkinson’s disease (PD) progresses, it has a significant impact on the patient quality of life [1]. FoG is hard to study due to its transient occurrence and multifaceted pathophysiology. The locomotor network, especially the subthalamic nucleus (STN), globus pallidus internus (GPi), and substantia nigra pars reticulata (SNr) can all contribute to the movement breakdown [2]. Moreover, cognitive and limbic networks are also involved in this gait abnormality [3]. While effective therapies for FoG are still under investigation, early prediction of FoG may identify future patients for preventive management.
Several methods are adopted to predict FoG onset [4]. Wearable sensors, which can objectively detect the gait disturbance, are accessible to a limited number of patients [5]. Clinical variables and neuro-physiological biomarkers, however, are more common in clinical use. Various associations between FoG and clinical observations, genetic variations, Cerebrospinal fluid (CSF) biomarkers as well as neuro-imaging features have been discovered [6–14]. Motor factors such as rigidity, postural instability, and bradykinesia are predictive of FoG [6]. Non-motor factors, including specific cognitive deficits, mood disorders, and autonomic dysfunctions, are also associated with FoG occurrence [7–10]. CSF biomarkers such as β-amyloid 1–42 (Abeta42) and gene mutations including APOE ε4 have been associated with the symptom onset [8]. Striatal dopaminergic denervation, which can be examined using dopamine transporter (DAT) scans and single photon emission computed tomography (SPECT) imaging, is also associated with FoG pathology [15]. Although past studies have identified several FoG risk factors, few have combined these factors to predict FoG onset.
Instead of focusing on one aspect of clinical or imaging assessments, our study analyzed a comprehensive battery of indicators. Motor and non-motor factors, genetic characteristics, CSF biomarkers as well as the neuroimaging parameters were evaluated using longitudinal data of five-year visit from the PPMI cohort. Our goal was to determine the early symptoms and characteristics exhibited in PD patients before FoG occurrence.
Methods
Study design and participants
Data underlying this study were obtained from the Parkinson’s Progression Markers Initiative (PPMI) database (www.ppmi-info.org/data). PPMI is a comprehensive observational, multi-center study designed to identify biomarkers in participants with early untreated (de novo) PD at enrollment. The inclusion criteria for enrollment into PPMI were: a) age: > 30 years old, b) untreated with PD medications, c) PD diagnosed within two years, d) Hoehn and Yahr < 3, and e) patients with either at least two of resting tremor, bradykinesia, or rigidity (must have either resting tremor or bradykinesia) or a single asymmetric resting tremor or asymmetric bradykinesia at enrollment. Since PD diagnosis is based on the presence of bradykinesia, only patients that exhibited bradykinesia, with or without resting tremor or rigidity were involved in our study [16]. The database was accessed on September 10, 2021.
Here, pre-FoG and non-FoG patient groups were defined based on the presence or absence of FoG during the 5-year follow up. FoG was assessed using MDS-UPDRS (Movement Disorders Society- Unified Parkinson’s Disease Rating Scale) Part II item ‘freezing’ as well as Part III item ‘freezing of gait’. MDS-UPDRS Part II assessed motor experiences of daily living and was included in the questionnaire completed by participants at each follow-up visit. MDS-UPDRS Part III assessed the motor signs of PD and was administered by the investigator. Subjects who had started PD medication (levodopa or dopamine agonists) would have an annual assessment of the motor exam (Part III) in a practically defined off state and these assessments would be repeated one hour after receiving medication at clinic. Patients scoring above zero for either of the items at any point during the follow-up visit were considered as having FoG.
Baseline assessments
Various clinical variables, including imaging assessments and genetic patterns, were recorded at baseline. Motor indicators included resting tremor, rigidity, bradykinesia, TD/PIGD classification, PIGD score, tremor score and MDS‐UPDRS part II and III. Modified Schwab & England ADL score was used to evaluate activities of daily living. Non-motor indicators included: MDS-UPDRS part I to assess non-motor experiences of daily living; MOCA (Montreal Cognitive Assessment) to assess global cognition; MCI test scores to evaluate test-based mild cognitive impairment (MCI); HVLT (Hopkins Verbal Learning Test) to assess memory; the 40‐item UPSIT (University of Pennsylvania Smell Identification Test) to assess olfactory function; Benton Judgement of Line Orientation Test to assess visuospatial function; Epworth Sleepiness Scale and REM sleepbehavior disorder questionnaire to assess sleep behavior; Geriatric Depression Scale, STAI (State-Trait Anxiety Inventory), and QUIP (Questionnaire for Impulsive‐Compulsive Disorders) to assess neuron-behavior; SDMT (Symbol Digit Modalities Test) to assess attention and processing speed; Letter Number Sequencing and semantic (animal) fluency test to assess executive abilities-working memory; SCOPA‐AUT (Scales for Outcomes in Parkinson's Disease‐Autonomic) to assess autonomic functions.
TD/PIGD classification is defined by Tremor score/PIGD score. Tremor score is the mean of the following variables from MDS-UPDRS items: 2.10, 3.15a, 3.15b, 3.16a, 3.16b, 3.17a, 3.17b, 3.17c, 3.17d, 3.17e, 3.18. PIGD score is the mean of the following variables from MDS-UPDRS items: 2.12, 2.13, 3.10, 3.11, and 3.12. If ratio ≥ 1.15, or if PIGD score = 0 and Tremor score > 0, then subject is TD. If ratio ≤ 0.9 then subject is PIGD. If ratio > 0.9 and < 1.15, or if Tremor score and PIGD score = 0, then subject is indeterminate.
CSF was collected using standardized lumbar puncture procedures. Its shipment and storage were conducted as described in the PPMI biologics manual (ppmi-info.org/study-design). CSF biomarkers amyloid-β1-42 (Abeta), total tau (Tau), and phosphorylated tau (pTau) were analyzed using the xMAP-Luminex platform with INNOBIA AlzBio3 immunoassay kit-based reagents (Fujirebio-Innogenetics, Ghent, Belgium). CSF α-synuclein was analyzed using ELISA kit (Covance, Dedham, MA).
DNA of the participants was extracted from whole blood using the study protocol described in the PPMI biologics manual (ppmi-info.org/study-design). Genetic patterns of MAPT (microtubule-associated protein tau), APOE ε4 (the apolipoprotein ε4) allele, mutations in SNCA (α-synuclein) including SNCA_rs3910105 and SNCA_rs356181 were evaluated as described in previous studies [17].
Indexes of reconstructed and attenuation-corrected 123I-FP-CIT SPECT imaging data were downloaded from PPMI. All participants underwent DAT imaging to measure the amount of dopamine in the brain using SPECT with 123I-ioflupane as DAT tracer. Imaging was done on a Siemens or General Electric SPECT tomograph, 3–4 h after 123I-FP-CIT injection. The standard procedures for CSF biomarkers examinations, genotyping and DAT SPECT imaging were described before [17]. Subjects with missing data were excluded from the study.
Statistical analysis
Statistical analyses were done on R v.4.0.1 (R foundation for Statistical Computing, Vienna, Austria) and SPSS 18.0 (IBM). Normally distributed continuous data were examined by Shapiro-Wilks test and presented as mean (standard deviation). Non-normally distributed continuous data were presented as median [quartile]. Student’s t-test, Kruskal Willis test, Chi square and fisher exact test were used to compare baseline features in the pre-FoG and non-FoG groups. P < 0.05 was presented with ‘*’. The evolution of MDS-UPDRS scores was calculated by subtracting the MDS-UPDRS scores at each annual visit from baseline MDS-UPDRS scores. Binary logistic regression was used to identify potential risk factors for FoG onset. For multivariate analysis, a logistic regression model was built based on a backward stepwise selection with the significance level at which variables were entered and removed from the model as p = 0.05. If variables were highly related (r > 0.5), the variable with the lower p value was entered as an independent variable. To exclude covariates, we adjusted our multivariate logistic model for age, disease duration, and gender. Odds ratio (OR) and 95% CI were reported for bivariate and multivariate analyses. Receiver operating characteristic (ROC) curves were used to assess sensitivity and specificity of the predictive model. The Hosmer and Lemeshow goodness-of-fit test was used to assess the model calibration.
Results
Baseline characteristics
Of the 423 patients included in the study, 348 patients exhibited bradykinesia at baseline. Of these, 23 patients developed FoG at baseline, 74 patients had no visit data on year five and 68 patients had missing data at baseline visit. A total of 183 patients were finally involved in the study. During the 5-year follow-up, 68 (37.2%) of 183 PD patients developed FoG. The cumulative incidence of FoG was 12.0%, 19.7%, 23.5%, 31.1% and 37.2% at 1-, 2-, 3-, 4- and 5-year follow-up (Table S1). Among these patients, 31.1% of patients (57/183) reported ‘freezing when walking’ in their activities of daily living, while 17.5% of patients (32/183) were defined as FoG by the investigator in clinic (Table S1, Figure S1). Patients who developed FoG within 5 years (pre-FoG patients) differed significantly from those who did not (non-FoG patients) with regard to age, age at symptom onset and striatal DAT uptake. However, no significant difference was observed in disease duration, genetic characteristics, the side most affected at onset, and CSF biomarkers at baseline (Table 1).
Table 1.
Demographic, disease, imaging and genetic characteristics of pre-FoG and non-FoG subjects at baseline
| Non-FoG (n = 115) | Pre-FoG (n = 68) | P | |
|---|---|---|---|
| Demographic information | |||
| Age (years) | 60.3 [52.8;68.5] | 64.9 [56.8;69.6] | 0.019* |
| Age at Symptom Onset (years) | 58.6 [50.4;66.3] | 62.4 [55.3;68.3] | 0.009* |
| Duration of Disease since Diagnosis (Months) | 3.87 [2.33;7.22] | 4.82 [2.46;7.02] | 0.606 |
| Gender, female | 34 (29.6%) | 19 (27.9%) | 0.948 |
| Years of education | 16.0 [14.0;18.0] | 16.0 [14.0;18.0] | 0.848 |
| Family members with PD (any) | 27 (23.5%) | 19 (27.9%) | 0.620 |
| Disease characteristics | |||
| Side most affected at PD onset | 0.368 | ||
| Left | 49 (42.6%) | 33 (48.5%) | |
| Right | 65 (56.5%) | 33 (48.5%) | |
| Symmetric | 1 (0.87%) | 2 (2.94%) | |
| SPECT-DAT | |||
| Mean caudate DAT uptake | 2.13 (0.49) | 1.90 (0.53) | 0.005* |
| Mean putamen DAT uptake | 0.86 [0.70;1.03] | 0.74 [0.57;0.85] | 0.001* |
| Mean striatum DAT uptake | 1.50 (0.35) | 1.33 (0.39) | 0.003* |
| CSF biomarkers | |||
| Abeta | 900 [704;1290] | 881 [622;1072] | 0.088 |
| Tau | 165 [135;210] | 159 [140;200] | 0.659 |
| pTau | 13.6 [11.2;17.2] | 13.9 [11.3;17.2] | 0.901 |
| aSyn | 1462 [1121;1801] | 1423 [1141;1724] | 0.692 |
| Genetic Pattern | |||
| APOE | 0.938 | ||
| e2/e2 | 1 (0.87%) | 0 (0.00%) | |
| e2/e4 | 4 (3.48%) | 1 (1.47%) | |
| e3/e2 | 13 (11.3%) | 10 (14.7%) | |
| e3/e3 | 68 (59.1%) | 40 (58.8%) | |
| e4/e3 | 26 (22.6%) | 16 (23.5%) | |
| e4/e4 | 3 (2.61%) | 1 (1.47%) | |
| SNCA_rs356181 | 0.414 | ||
| C/C | 38 (33.0%) | 20 (29.4%) | |
| C/T | 48 (41.7%) | 35 (51.5%) | |
| T/T | 29 (25.2%) | 13 (19.1%) | |
| SNCA_rs3910105 | 0.427 | ||
| C/C | 20 (17.4%) | 8 (11.8%) | |
| C/T | 60 (52.2%) | 34 (50.0%) | |
| T/T | 35 (30.4%) | 26 (38.2%) | |
| APOE Genotype—number of e4 alleles | 0.31 (0.52) | 0.28 (0.48) | 0.659 |
| MAPT | 1.000 | ||
| H1/H1 | 77 (67.0%) | 46 (67.6%) | |
| H1/H2 | 32 (27.8%) | 19 (27.9%) | |
| H2/H2 | 6 (5.22%) | 3 (4.41%) | |
P <0.05 was presented with ‘*’
Among the motor and non-motor parameters of non-FoG and pre-FoG patients, significant difference was observed in motor indicators including PIGD score, TD/PIGD classification, MDS-UPDRS Part II score and non-motor indicators such as SDMT score, Epworth Sleepiness Scale score, HVLT Immediate/Total Recall, SCOPA-AUT Gastrointestinal score and MOCA score at baseline (Table 2). Relative to non-FoG patients, those in the pre-FoG cohort had a significant increase in MDS UPDRS scores at year five, indicating a severer disease progression within 5 years.
Table 2.
Motor and non-motor assessments of pre-FoG and non-FoG subjects at baseline and their evolution of MDS-UPDRS scores
| Non-FoG | Pre-FoG | P | |
|---|---|---|---|
| (n = 115) | (n = 68) | ||
| Motor assessments | |||
| Categorical Hoehn & Yahr | 0.505 | ||
| Stage 1 | 54 (47.0%) | 30 (44.1%) | |
| Stage 2 | 61 (53.0%) | 37 (54.4%) | |
| Stages 3–5 | 0 (0.00%) | 1 (1.47%) | |
| Total Rigidity Score | 3.00 [2.00;6.00] | 3.50 [2.00;5.00] | 0.888 |
| TD/PIGD classification | 0.003* | ||
| TD | 90 (78.3%) | 37 (54.4%) | |
| PIGD | 14 (12.2%) | 19 (27.9%) | |
| Indeterminate | 11 (9.57%) | 12 (17.6%) | |
| PIGD score | 2.00 [1.00;3.00] | 3.00 [3.00;4.00] | < 0.001 |
| Tremor Score | 4.00 [2.00;6.00] | 3.00 [1.75;5.00] | 0.302 |
| Modified Schwab & England ADL Score | 95.0 [90.0;100] | 90.0 [90.0;100] | 0.106 |
| MDS-UPDRS Part II Score | 4.00 [2.00;7.00] | 6.00 [3.00;9.25] | 0.004* |
| MDS-UPDRS Part III Score | 18.0 [14.0;24.5] | 21.0 [15.8;25.0] | 0.205 |
| MDS-UPDRS Total Score | 28.0 [21.0;36.0] | 33.5 [25.8;41.0] | 0.009* |
| Non-motor assessments | |||
| MDS-UPDRS Part I Score | 5.00 [2.00;6.00] | 6.00 [2.75;7.00] | 0.031* |
| MDS-UPDRS Part I Features of Dopamine Dysregulation Syndrome | 0.629 | ||
| 0 | 113 (98.3%) | 66 (97.1%) | |
| 1 | 2 (1.74%) | 2 (2.94%) | |
| MDS-UPDRS Part I Fatigue | < 0.001* | ||
| 0 | 64 (55.7%) | 31 (45.6%) | |
| 1 | 49 (42.6%) | 24 (35.3%) | |
| 2 | 2 (1.74%) | 9 (13.2%) | |
| 3 | 0 (0.00%) | 4 (5.88%) | |
| MDS-UPDRS Part I Anxious Mood | 0.665 | ||
| 0 | 75 (65.2%) | 42 (61.8%) | |
| 1 | 37 (32.2%) | 23 (33.8%) | |
| 2 | 2 (1.74%) | 3 (4.41%) | |
| 3 | 1 (0.87%) | 0 (0.00%) | |
| MDS-UPDRS Part I Apathy | 0.369 | ||
| 0 | 100 (87.0%) | 55 (80.9%) | |
| 1 | 14 (12.2%) | 13 (19.1%) | |
| 2 | 1 (0.87%) | 0 (0.00%) | |
| MDS-UPDRS Part I Depressed Mood | 0.713 | ||
| 0 | 88 (76.5%) | 49 (72.1%) | |
| 1 | 24 (20.9%) | 16 (23.5%) | |
| 2 | 3 (2.61%) | 3 (4.41%) | |
| MDS-UPDRS Part I Cognitive Impairment | 0.414 | ||
| 0 | 88 (76.5%) | 48 (70.6%) | |
| 1 | 26 (22.6%) | 18 (26.5%) | |
| 2 | 1 (0.87%) | 2 (2.94%) | |
| MDS-UPDRS Part I Hallucinations and Psychosis | 1.000 | ||
| 0 | 110 (95.7%) | 65 (95.6%) | |
| 1 | 5 (4.35%) | 3 (4.41%) | |
| MOCA Score (adjusted for education) | 28.0 [26.5;29.0] | 27.0 [25.0;29.0] | 0.008* |
| UPSIT Score | 23.0 [17.0;28.0] | 20.0 [14.8;29.0] | 0.385 |
| Benton Judgement of Line Orientation Score | 14.0 [12.5;15.0] | 14.0 [12.0;15.0] | 0.667 |
| Epworth Sleepiness Scale Score | 5.00 [3.00;6.50] | 6.00 [4.00;9.00] | 0.004* |
| REM SleepBehavior Disorder Questionnaire Score | 3.00 [2.00;5.50] | 3.00 [2.00;5.00] | 0.794 |
| Geriatric Depression Scale Score | 2.00 [1.00;3.00] | 2.00 [1.00;3.00] | 0.211 |
| STAI Total Score | 60.0 [51.0;75.0] | 64.0 [49.8;70.5] | 0.990 |
| Any QUIP disorder | 28 (24.3%) | 12 (17.6%) | 0.266 |
| SDMT Score | 44.0 [37.0;50.0] | 37.5 [32.8;45.0] | < 0.001* |
| HVLT Immediate/Total Recall | 25.0 [22.0;30.0] | 23.5 [20.8;26.0] | 0.004* |
| HVLT Discrimination Recognition | 10.0 [9.00;11.0] | 10.0 [9.00;11.0] | 0.282 |
| HVLT Retention | 0.90 [0.78;1.00] | 0.88 [0.74;1.00] | 0.247 |
| SCOPA-AUT Gastrointestinal Score | 1.00 [0.00;2.00] | 2.00 [1.00;4.00] | 0.008* |
| SCOPA-AUT Urinary Score | 3.00 [2.00;5.00] | 4.00 [2.00;6.00] | 0.076 |
| SCOPA-AUT Cardiovascular Score | 0.00 [0.00;0.00] | 0.00 [0.00;1.00] | 0.085 |
| SCOPA-AUT Thermoregulatory Score | 1.00 [0.00;2.00] | 1.00 [0.00;2.00] | 0.781 |
| SCOPA-AUT Pupillomotor Score | 0.00 [0.00;3.00] | 0.00 [0.00;2.00] | 0.733 |
| SCOPA-AUT Sexual Dysfunction Score | 0.00 [0.00;2.00] | 0.00 [0.00;2.00] | 0.758 |
| SCOPA-AUT Total Score | 7.00 [4.50;11.0] | 8.00 [6.00;13.2] | 0.064 |
| Semantic Fluency Total Score | 50.0 [45.0;59.0] | 47.0 [41.8;56.0] | 0.053 |
| Letter Number Sequencing Score | 11.0 [9.00;13.0] | 10.0 [9.00;12.0] | 0.129 |
| MCI test score (= 1) | 0.10 (0.30) | 0.19 (0.40) | 0.087 |
| Evolution of MDS UPDRS scores at year five (pre-FoG n = 68, non-FoG n = 115) | |||
| Change of MDS-UPDRS Part I | 3.00 [1.00;5.50] | 5.00 [2.00;9.00] | 0.004* |
| Change of MDS-UPDRS Part II | 3.00 [1.00;6.00] | 7.00 [3.00;11.0] | < 0.001* |
| Change of MDS-UPDRS Part III | 9.00 [4.00;17.0] | 13.5 [6.50;22.0] | 0.066* |
P <0.05 was presented with ‘*’
Univariate analysis of FoG
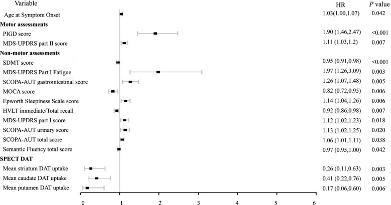
Univariate logistic regression analysis showed that age at symptom onset, MDS-UPDRS part II score, TD and PIGD subtype could predict FoG occurrence. With regard to non-motor factors, cognitive tests including SDMT, HVLT Immediate/Total Recall and MOCA, non-cognitive tests including sleep disturbance: Epworth Sleepiness Scale, mood disorder: MDS-UPDRS Part I Fatigue and autonomic dysfunction: SCOPA-AUT gastrointestinal score, SCOPA-AUT urinary score and SCOPA-AUT total score were associated with FoG onset. (Table 3, Fig. 1).
Table 3.
Univariate analysis of demographic, motor, non-motor and imaging parameters at baseline for FoG onset during the 5-year follow up
| Index | OR | 95% CI | P | |
|---|---|---|---|---|
| Demographic characteristics | ||||
| Age (years) | 1.03 | 1.00 | 1.06 | 0.064 |
| Age at Symptom Onset | 1.03 | 1.00 | 1.07 | 0.042* |
| Duration of Disease since Diagnosis (Months) | 0.99 | 0.94 | 1.04 | 0.768 |
| Gender, female | 0.92 | 0.48 | 1.79 | 0.815 |
| Years of education | 1.01 | 0.91 | 1.11 | 0.892 |
| Family members with PD (any) | 0.86 | 0.55 | 1.32 | 0.485 |
| Side most affected at PD onset | 0.87 | 0.49 | 1.54 | 0.633 |
| Motor assessments | ||||
| Categorical Hoehn & Yahr | 1.18 | 0.65 | 2.13 | 0.580 |
| Total rigidity score | 0.98 | 0.87 | 1.10 | 0.677 |
| TD/PIGD classification (TD) | 0.33 | 0.17 | 0.64 | 0.001* |
| TD/PIGD classification (PIGD) | 2.80 | 1.30 | 6.04 | 0.009* |
| TD/PIGD classification (Indeterminate) | 2.03 | 0.84 | 4.89 | 0.116 |
| PIGD score | 1.90 | 1.46 | 2.47 | < 0.001* |
| Tremor | 0.94 | 0.85 | 1.04 | 0.241 |
| MDS-UPDRS part II score | 1.11 | 1.03 | 1.20 | 0.007* |
| MDS-UPDRS part III score | 1.02 | 0.99 | 1.06 | 0.208 |
| Modified Schwab & England ADL score | 0.96 | 0.90 | 1.01 | 0.101 |
| Non-motor assessments | ||||
| MOCA score | 0.82 | 0.72 | 0.95 | 0.006* |
| MDS-UPDRS part I score | 1.12 | 1.02 | 1.23 | 0.018* |
| MDS-UPDRS Part I Hallucinations and Psychosis | 1.02 | 0.23 | 4.39 | 0.984 |
| MDS-UPDRS Part I Apathy | 1.42 | 0.66 | 3.07 | 0.373 |
| MDS-UPDRS Part I Features of Dopamine Dysregulation Syndrome | 1.71 | 0.24 | 12.4 | 0.595 |
| MDS-UPDRS Part I Fatigue | 1.97 | 1.26 | 3.09 | 0.003* |
| UPSIT score | 0.99 | 0.95 | 1.02 | 0.445 |
| Benton Judgement of Line Orientation score | 0.96 | 0.83 | 1.11 | 0.581 |
| REM sleep behavior disorder questionnaire score | 1.00 | 0.89 | 1.12 | 0.973 |
| Epworth Sleepiness Scale score | 1.14 | 1.04 | 1.26 | 0.006* |
| Geriatric Depression Scale score | 1.06 | 0.92 | 1.23 | 0.393 |
| STAI total score | 1.00 | 0.98 | 1.02 | 0.916 |
| QUIP score | 0.85 | 0.50 | 1.44 | 0.547 |
| SDMT score | 0.95 | 0.91 | 0.98 | < 0.001* |
| HVLT Immediate/Total Recall | 0.92 | 0.86 | 0.98 | 0.007* |
| SCOPA-AUT total score | 1.06 | 1.01 | 1.11 | 0.030* |
| SCOPA-AUT cardiovascular score | 1.39 | 0.92 | 2.10 | 0.113 |
| SCOPA-AUT gastrointestinal score | 1.26 | 1.07 | 1.48 | 0.005* |
| SCOPA-AUT pupillomotor score | 0.76 | 0.45 | 1.27 | 0.290 |
| SCOPA-AUT sexual dysfunction score | 1.05 | 0.87 | 1.27 | 0.599 |
| SCOPA-AUT thermoregulatory score | 0.98 | 0.79 | 1.21 | 0.834 |
| SCOPA-AUT urinary score | 1.13 | 1.02 | 1.25 | 0.020* |
| Semantic Fluency total score | 0.97 | 0.94 | 1.00 | 0.039* |
| Letter Number Sequencing score | 0.90 | 0.80 | 1.01 | 0.067 |
| MCI test score (= 1) | 2.23 | 0.94 | 5.32 | 0.069 |
| SPECT-DAT | ||||
| Mean caudate DAT uptake | 0.41 | 0.22 | 0.76 | 0.005* |
| Mean putamen DAT uptake | 0.17 | 0.06 | 0.60 | 0.006* |
| Mean striatum DAT uptake | 0.26 | 0.11 | 0.63 | 0.003* |
P <0.05 was presented with ‘*’
Fig. 1.
Univariate analysis of FoG onset during the 5-year follow up. Higher Age at symptom onset, higher PIGD score, higher MDS-UPDRS Part I & II score, fatigue, higher Epworth Sleepiness Scale score and autonomic dysfunctions were associated with FoG onset. PD patients with higher SDMT score, higher HVLT Immediate/Total Recall, higher MOCA score, higher Semantic Fluency total score and higher striatum DAT uptake were less likely to develop FoG within five years
Reduction of DAT uptake in the striatum, both in the caudate and putamen, was a strong predictor of FoG occurrence (Table 3). Although the two groups did not differ significantly with regard to CSF biomarkers at baseline, univariate analysis identified CSF biomarker Abeta42 as a predictor of FoG onset (Table 4).
Table 4.
Univariate analysis of CSF biomarkers and genetic pattern at baseline for FoG onset during the 5-year follow up
| Index | OR | 95% CI | P | |
|---|---|---|---|---|
| CSF biomarkers | ||||
| Abeta | 1.00 | 1.00 | 1.00 | 0.027* |
| Tau | 1.00 | 0.99 | 1.00 | 0.622 |
| pTau | 1.00 | 0.94 | 1.06 | 0.885 |
| aSyn | 1.00 | 1.00 | 1.00 | 0.653 |
| Genetic Pattern | ||||
| APOE | 0.94 | 0.64 | 1.40 | 0.775 |
| APOE Genotype—number of e4 alleles | 0.87 | 0.48 | 1.60 | 0.663 |
| SNCA_rs3910105 | 1.35 | 0.86 | 2.12 | 0.194 |
| SNCA_rs356181 | 0.96 | 0.63 | 1.44 | 0.826 |
| MAPT | 0.96 | 0.57 | 1.61 | 0.865 |
In the regression analysis, different genetic features were represented as numbers as below:
APOE: e2/e4 ~ 1, e3/e2 ~ 2, e3/e3 ~ 3, e4/e3 ~ 4, e4/e4 ~ 5, e2/e2 ~ 6
SNCA_rs356181: C/C ~ 1, C/T ~ 2, T/T ~ 3
SNCA_rs3910105: C/C ~ 1, C/T ~ 2, T/T ~ 3
MAPT: H1/H1 ~ 1, H1/H2 ~ 2, H2/H2 ~ 3
P <0.05 was presented with ‘*’
Previous studies indicated that MDS-UPDRS evolution may predict FoG [4]. Thus, we investigated if MDS-UPDRS score changes detected at each annual visit relative to baseline levels correlated with FoG development. Over the course of 5 years, the correlation between the change of MDS-UPDRS score parameters and FoG increased. However, only the change of MDS-UPDRS part II score was significantly associated with FoG occurrence at each visit year (Table 5).
Table 5.
Associations between the evolution of MDS UPDRS scores and FoG onset during the 5-year follow up
| Index | OR | 95% CI | P | |
|---|---|---|---|---|
| Evolution of MDS UPDRS scores at year one (pre-FoG n = 64, non-FoG n = 112) | ||||
| Change of MDS-UPDRS part I | 1.09 | 0.97 | 1.22 | 0.147 |
| Change of MDS-UPDRS part II | 1.09 | 1.00 | 1.18 | 0.050 |
| Change of MDS-UPDRS part III | 1.02 | 0.98 | 1.06 | 0.288 |
| Evolution of MDS UPDRS scores at year two (pre-FoG n = 65, non-FoG n = 111) | ||||
| Change of MDS-UPDRS part I | 1.18 | 1.07 | 1.30 | 0.001* |
| Change of MDS-UPDRS part II | 1.22 | 1.10 | 1.34 | < 0.001* |
| Change of MDS-UPDRS part III | 1.03 | 0.98 | 1.07 | 0.221 |
| Evolution of MDS UPDRS scores at year three (pre-FoG n = 68, non-FoG n = 111) | ||||
| Change of MDS-UPDRS part I | 1.08 | 1.00 | 1.17 | 0.041 |
| Change of MDS-UPDRS part II | 1.11 | 1.03 | 1.20 | 0.004* |
| Change of MDS-UPDRS part III | 1.03 | 1.00 | 1.06 | 0.084 |
| Evolution of MDS UPDRS scores at year four (pre-FoG n = 65, non-FoG n = 112) | ||||
| Change of MDS-UPDRS part I | 1.19 | 1.10 | 1.29 | < 0.001* |
| Change of MDS-UPDRS part II | 1.11 | 1.04 | 1.19 | 0.001* |
| Change of MDS-UPDRS part III | 1.04 | 1.01 | 1.07 | 0.003* |
| Evolution of MDS UPDRS scores at year five (pre-FoG n = 69, non-FoG n = 116) | ||||
| Change of MDS-UPDRS part I | 1.11 | 1.03 | 1.19 | 0.005* |
| Change of MDS-UPDRS part II | 1.13 | 1.06 | 1.20 | < 0.001* |
| Change of MDS-UPDRS part III | 1.03 | 1.00 | 1.07 | 0.038* |
P <0.05 was presented with ‘*’
Predictive model of FoG
Next, we conducted the multivariate logistic regression analysis of factors that had p < 0.05 in the univariate anaysis using backward stepwise selection. As DAT imaging biomarkers (mean striatum, mean caudate, mean putamen) were highly related, only mean striatum DAT uptake value was entered in the analysis. This analysis identified PIGD score, MDS-UPDRS Part I Fatigue, SDMT score and Abeta42 as being strongly associated with FoG onset(Table 6). PD patients with higher PIGD score, higher MDS-UPDRS Part I Fatigue score, lower SDMT score, and lower CSF Abeta42 were at a higher risk of developing FoG. The AUC (area under curve) in the ROC analysis was 0.793 (Fig. 2, 95% CI: 0.725–0.861). The p value of the Hosmer and Lemeshow goodness-of-fit test was 0.496, indicating good calibrations. We applied our model derived from the complete-case analysis to the patient set that contained missing values. All variables were significantly associated with FoG occurrence in the univariate and multivariate analysis except MDS-UPDRS Part I Fatigue score which showed a marginal significance (p = 0.065) in the multivariate analysis. The AUC of the model was 0.761 (0.690–0.833).
Table 6.
Multivariate analysis at baseline for the onset of FoG during the 5-year follow up
| Index | OR | 95% CI | P | |
|---|---|---|---|---|
| PIGD score | 1.78 | 1.36 | 2.39 | < 0.001* |
| Abeta42 | 1.00 | 1.00 | 1.00 | 0.009* |
| SDMT score | 0.96 | 0.92 | 0.99 | 0.013* |
| MDS-UPDRS Part I Fatigue | 1.92 | 1.17 | 3.29 | 0.013* |
Abeta OR 0.999, 95% CI: 0.998–1.000
R2 = 0.227 (Cox & Snell), R2 = 0.310 (Nagelkerke). Homer and Lemeshow Goodness of fitχ2 = 7.383, p = 0.496
P <0.05 was presented with ‘*’
Fig. 2.

ROC curve analysis for the onset of FoG during the 5-year follow up. The AUC of the multivariate predictive model (TD, fatigue, SDMT score and Abeta) is 0.793
To further exclude covariates, we adjusted our model for age, disease duration, and gender. However, as revealed by the multivariate model, none of these parameters correlated with FoG onset (Table S5). Therefore, we restricted our model to PIGD subscore, fatigue, SDMT score and Abeta42. The following equation represents the probability (p) of developing FoG within five years:
Discussion
In this study, we evaluated various aspects of potential risk factors to predict FoG onset in early developed PD patients. There were 183 patients enrolled in the study among whom 68 patients (37.2%) developed FoG in the follow up duration of five years. Overall, 31.1% of patients (57/183) reported ‘freezing when walking’ in their activities of daily living, while 17.5% of patients (32/183) were defined as FoG by the investigator in clinic (Table S1, Figure S1). The two groups showed good homogeneity in the baseline characteristics except for the differences in age (p = 0.03) and age at symptom onset (p = 0.05). Reasons for the differences observed are unknown but the small sample size may explain at least a part of it. The influence of the differences is likely to be limited as the two variables were excluded from the backward stepwise selection and age was adjusted as a covariate. The prevalence of FoG in the present study (37.2%) was comparable to previous studies, as a meta-analysis found that the weighted prevalence of FoG in early-stage PD patients with a disease duration ≤ 5 years was 37.9% [18]. The lower rate of FoG detected in clinic reflects the transient nature of FoG symptoms, suggesting a combination of questionnaire with regard to daily living can be more sensitive to reflect FoG development in PD patients.
Freezing of gait has been recognized as a neuronal integration failure caused by a multilevel brain network. It is influenced by cognitive, sensory-perceptual, and affective manipulations, and can be induced by several occasions such as turning, fatigue, confined spaces, and stressful situations [19, 20]. This study found that motor factors, along with non-motor factors including cognitive functions, mood and CSF Abeta predisposed PD patients to FoG development. While motor features have been recognized to correlate with FoG [4, 7], it was noticed that motor subtypes also correlated with non-motor features [21]. To further evaluate the difference in TD/PIGD subtype, we analyzed baseline features of different motor phenotypes (Table S2) in PD patients. No difference in Abeta, fatigue and SDMT scores was found significant at baseline between TD and PIGD subtypes. However, there were differences observed in education years, HVLT Retention, number of e4 alleles in APOE genotype and depression apart from the tremor score in groups. Although none of these factors were identified as risk factors in our studies, they may indirectly contribute to FoG through their influence on motor phenotypes. Previous studies have reported the associations between these factors and FoG. Therefor, we can not exclude their potential value in the prediction of FoG onset [10, 22]. As was shown by previous study conducted by Kim et al., PIGD score was a strong predictor of FoG [8]. In our analysis,the predictive power of PIGD score was stronger than that of TD or PIGD subtype. Besides, PIGD score also showed a correlation with fatigue and SDMT score in our analysis, supporting again the coexistence and inter-relationship of motor and non-motor symptoms in the development FoG.
Non-motor features are considered of increasing importance in the development of FoG [19]. In our study, fatigue and cognitive deficit (represented as lower SDMT scores), emerged as independent FoG predictors. In PD patients, fatigue is a major triggering factor of FoG [20]. It is associated with FoG occurrence in clinically observed FoG as well as self-reported FoG, despite late or early onset [23]. However, it is influenced by motor phenotype [21]. Noticeably, this study showed a correlation between PIGD score and fatigue (r = 0.22, p = 0.003, Table S3) at baseline. The control of PIGD symptoms and fatigue may be originiated from the same or adjacent neuronal circuit in FoG development while further investigations are warranted. Accumulating evidence has suggested cognitive effects, specifically, the executive functions, attention, and visuospatial functions to FoG occurrence [24]. In our study, SDMT, which is a commonly used instrument to evaluate cognitive functions especially attention deficit, was identified as an independent risk factor. While studies suggested visual and motor con-founders in SDMT interpretations [25], a recent study using gaze analysis technique excluded the confounding effects, further demonstrating the role of cognitive functions in SDMT performance in PD patients [26]. In this study, we demonstrate the role of SDMT performance in FoG prediction, which implicates therapeutics for cognitive rehabilitation, especially for attention improvement might help delay FoG onset in PD patients.
Low CSF Abeta42 levels are regarded as a biological fluid marker for Alzheimer's disease [27]. In this study, CSF Abeta42 also correlated with FoG in PD patients. The decreased levels of CSF Abeta are associated with cognitive impairments and gait symptoms in PD [27, 28]. Extra-nigral pathologies, represented as the increased neocortical Abeta deposition, can significantly increase the risk of FoG development [29]. However, it remains unclear how the reduced level of CSF Abeta42, or the deposition of Abeta42 contributes to the motor dysregulation in PD patients [29].
Our study has several limitations. First, it is a retrospective study with a limited number of subjects in the PPMI study. Participants in PPMI were generally well educated, which may not be representative of the other group. Second, we could not distinguish the medication states of patients identified by MDS-UPDRS Part II, thus restricting our study of FoG under different medication conditions. Third, we did not analyze the severity of FoG. The combination of UPDRS II and UPDRS III for FoG identification made it difficult to find a consistent standard to measure the severity. Besides, UPDRS II may be less sensitive to detect FoG compared with the FoG questionnaire (FOG-Q) [30]. The number of freezers may still be underestimated in the analysis. Fourth, we built our model from the complete-case analysis. Data with missing values were deleted and this may introduce selection bias. The difference in results was indeed observed. As in the multivariate logistic regression analysis on 251 patients, variables that were selected in the model were PIGD score, SCOPA-AUT gastrointestinal (GI) score, SDMT score, mean striatum DAT uptake and Abeta. Nevertheless, all the variables in our model were significantly associated with FoG onset in the patient set with missing values, showing good consistency in the results. In this study, we evaluated FoG with both self-reported rating scales and examinations from clinical specialists. We integrated a comprehensive battery of clinical, biochemical, and imaging assessments and emphasized several independent risk factors. Future prospective studies integrating the identified factors under different medication status may further demonstrate their prognostic value and deepen our understanding of the development of FoG in PD patients.
Conclusions
In summary, our findings determined the risk factors of FoG occurrence among a series of clinical, imaging, biological as well as genetic characteristics. Our results stress the importance of PIGD score, fatigue, SDMT performance and CSF Abeta42 in predicting FoG onset. Combining these factors with further studies will assist patients, caregivers, and healthcare professionals to conduct early interventions as disease progresses. Physiotherapy, pharmacological treatments, or neuromodulation that improve the performance of these indicators will be of value in the early intervention of the debilitating symptom.
Supplementary Information
Acknowledgements
Not applicable.
Abbreviations
- PD
Parkinson’s disease
- PPMI
The Parkinson’s Progression Markers Initiative
- FoG
Freezing of gait
- TD
Tremor dominant
- PIGD
Postural instability/gait difficulty
- ROC
Receiver operating characteristic
- DAT
Dopamine transporter
- SDMT
Symbol Digit Modalities Test
- HVLT
Hopkins Verbal Learning Test
- MOCA
Montreal Cognitive Assessment
- SCOPA-AUT
Scales for Outcomes in Parkinson's Disease‐Autonomic
- MDS
Movement Disorders Society
- UPDRS
Unified Parkinson’s disease rating scale
- MCI
Mild cognitive impairment
- UPSIT
University of Pennsylvania Smell Identification Test
- QUIP
Questionnaire for Impulsive‐Compulsive Disorders
- CSF
Cerebrospinal fluid
- STN
Subthalamic nucleus
- GPi
Globus pallidus internus
- SNr
Substantia nigra pars reticulata
- SPECT
Single photon emission computed tomography
- APOE
Apolipoprotein
- MAPT
Microtubule-associated protein tau
- SNCA
α-Synuclein
- GCP
Good clinical practices
Authors’ contributions
Kejia Hu designed and conceptualized the study. Fengting Wang collected the data, Fengting Wang and Kejia Hu analyzed and interpreted the data. Fengting Wang and Kejia Hu wrote the manuscript. Fengting Wang, Yixin Pan, Miao Zhang and Kejia Hu provided critical revisions that were important for the intellectual content. All authors read and approved the final version of the manuscript.
Funding
This work was supported by Shanghai Pujiang Program (KH, 19PJ1407500), Medical and Engineering Cross Research Fund from Shanghai Jiao Tong University (KH, YG2019QNA31), Shanghai Municipal Health Commission Clinical Study Special Fund (KH, 20194Y0067), Ruijin Hospital Guangci Excellence Youth Training Program (K.H, GCQN-2019-B10); Ruijin Youth NSFC Cultivation Fund (K.H, 2019QNPY01031).
Availability of data and materials
The data that support the findings of this study are available from PPMI website (www.ppmi-info.org/data). Restrictions apply to the availability of these data, which were used under license for the current study, and so are not publicly available. Data are however available from the authors upon reasonable request and with permission of PPMI.
Declarations
Ethics approval and consent to participate
This study was conducted in accordance with the Declaration of Helsinki and the good clinical practices (GCP) guidelines after approval of the local ethics committees of the sites participating to PPMI. PPMI is a multicentric longitudinal study involving United States, Greece, Spain, Austria, Germany, France, Italy, Norway, Israel, and Australia. Detailed information is available at http://ppmi-info.org/ppmi-clinical-sites. These include The relevant local institutional review boards approved the PPMI protocol and written informed consent was obtained from all participants prior to inclusion. No additional ethics approval was required from the local ethics committee where data was analysed.
Consent for publication
Not applicable.
Competing interests
The authors declare no competing interests.
Footnotes
Publisher’s Note
Springer Nature remains neutral with regard to jurisdictional claims in published maps and institutional affiliations.
Fengting Wang and Yixin Pan contributed equally to this work.
Contributor Information
Yixin Pan, Email: pyx11725@rjh.com.cn.
Kejia Hu, Email: dockejiahu@gmail.com.
References
- 1.Perez-Lloret S, Negre-Pages L, Damier P, et al. Prevalence, determinants, and effect on quality of life of freezing of gait in Parkinson disease. JAMA Neurol. 2014;71(7):884–890. doi: 10.1001/jamaneurol.2014.753. [DOI] [PubMed] [Google Scholar]
- 2.Weiss D, Schoellmann A, Fox MD, et al. Freezing of gait: understanding the complexity of an enigmatic phenomenon. Brain. 2020;143(1):14–30. doi: 10.1093/brain/awz314. [DOI] [PMC free article] [PubMed] [Google Scholar]
- 3.Lagravinese G, Pelosin E, Bonassi G, Carbone F, Abbruzzese G, Avanzino L. Gait initiation is influenced by emotion processing in Parkinson's disease patients with freezing. Mov Disord. 2018;33(4):609–617. doi: 10.1002/mds.27312. [DOI] [PubMed] [Google Scholar]
- 4.Gao C, Liu J, Tan Y, Chen S. Freezing of gait in Parkinson's disease: pathophysiology, risk factors and treatments. Transl Neurodegener. 2020;9:12. doi: 10.1186/s40035-020-00191-5. [DOI] [PMC free article] [PubMed] [Google Scholar]
- 5.Pardoel S, Kofman J, Nantel J, Lemaire ED. Wearable-sensor-based detection and prediction of freezing of gait in Parkinson's disease: a review. Sensors (Basel) 2019;19(23):5141. doi: 10.3390/s19235141. [DOI] [PMC free article] [PubMed] [Google Scholar]
- 6.Giladi N, McDermott MP, Fahn S, et al. Freezing of gait in PD: prospective assessment in the DATATOP cohort. Neurology. 2001;56(12):1712–1721. doi: 10.1212/WNL.56.12.1712. [DOI] [PubMed] [Google Scholar]
- 7.Forsaa EB, Larsen JP, Wentzel-Larsen T, Alves G. A 12-year population-based study of freezing of gait in Parkinson's disease. Parkinsonism Relat Disord. 2015;21(3):254–258. doi: 10.1016/j.parkreldis.2014.12.020. [DOI] [PubMed] [Google Scholar]
- 8.Kim R, Lee J, Kim HJ, et al. CSF β-amyloid(42) and risk of freezing of gait in early Parkinson disease. Neurology. 2019;92(1):e40–e47. doi: 10.1212/WNL.0000000000006692. [DOI] [PubMed] [Google Scholar]
- 9.Kim R, Lee J, Kim Y, et al. Presynaptic striatal dopaminergic depletion predicts the later development of freezing of gait in de novo Parkinson's disease: an analysis of the PPMI cohort. Parkinsonism Relat Disord. 2018;51:49–54. doi: 10.1016/j.parkreldis.2018.02.047. [DOI] [PubMed] [Google Scholar]
- 10.Herman T, Shema-Shiratzky S, Arie L, Giladi N, Hausdorff JM. Depressive symptoms may increase the risk of the future development of freezing of gait in patients with Parkinson's disease: findings from a 5-year prospective study. Parkinsonism Relat Disord. 2019;60:98–104. doi: 10.1016/j.parkreldis.2018.09.013. [DOI] [PubMed] [Google Scholar]
- 11.Zhang H, Yin X, Ouyang Z, et al. A prospective study of freezing of gait with early Parkinson disease in Chinese patients. Medicine (Baltimore) 2016;95(26):e4056. doi: 10.1097/MD.0000000000004056. [DOI] [PMC free article] [PubMed] [Google Scholar]
- 12.Chung SJ, Lee YH, Yoo HS, et al. White matter hyperintensities as a predictor of freezing of gait in Parkinson's disease. Parkinsonism Relat Disord. 2019;66:105–109. doi: 10.1016/j.parkreldis.2019.07.019. [DOI] [PubMed] [Google Scholar]
- 13.Ehgoetz Martens KA, Lukasik EL, Georgiades MJ, et al. Predicting the onset of freezing of gait: a longitudinal study. Mov Disord. 2018;33(1):128–135. doi: 10.1002/mds.27208. [DOI] [PubMed] [Google Scholar]
- 14.Banks SJ, Bayram E, Shan G, LaBelle DR, Bluett B. Non-motor predictors of freezing of gait in Parkinson's disease. Gait Posture. 2019;68:311–316. doi: 10.1016/j.gaitpost.2018.12.009. [DOI] [PMC free article] [PubMed] [Google Scholar]
- 15.Chung SJ, Lee HS, Yoo HS, Lee YH, Lee PH, Sohn YH. Patterns of striatal dopamine depletion in early Parkinson disease: Prognostic relevance. Neurology. 2020;95(3):e280–e290. doi: 10.1212/WNL.0000000000009878. [DOI] [PubMed] [Google Scholar]
- 16.Reich SG, Savitt JM. Parkinson's Disease. Med Clin North Am. 2019;103(2):337–350. doi: 10.1016/j.mcna.2018.10.014. [DOI] [PubMed] [Google Scholar]
- 17.Kim R, Shin JH, Park S, Kim HJ, Jeon B. Apolipoprotein E ε4 genotype and risk of freezing of gait in Parkinson's disease. Parkinsonism Relat Disord. 2020;81:173–178. doi: 10.1016/j.parkreldis.2020.10.033. [DOI] [PubMed] [Google Scholar]
- 18.Zhang WS, Gao C, Tan YY, Chen SD. Prevalence of freezing of gait in Parkinson's disease: a systematic review and meta-analysis. J Neurol. 2021;268(11):4138-4150. 10.1007/s00415-021-10685-5. [DOI] [PubMed]
- 19.Ehgoetz Martens KA, Peterson DS, Almeida QJ, Lewis SJG, Hausdorff JM, Nieuwboer A. Behavioural manifestations and associated non-motor features of freezing of gait: a narrative review and theoretical framework. Neurosci Biobehav Rev. 2020;116:350–364. doi: 10.1016/j.neubiorev.2020.06.026. [DOI] [PubMed] [Google Scholar]
- 20.Rahman S, Griffin HJ, Quinn NP, Jahanshahi M. The factors that induce or overcome freezing of gait in Parkinson's disease. Behav Neurol. 2008;19(3):127–136. doi: 10.1155/2008/456298. [DOI] [PMC free article] [PubMed] [Google Scholar]
- 21.Kwon KY, Lee EJ, Lee M, Ju H, Im K. Impact of motor subtype on non-motor symptoms and fall-related features in patients with early Parkinson's disease. Geriatr Gerontol Int. 2021;21(5):416–420. doi: 10.1111/ggi.14156. [DOI] [PubMed] [Google Scholar]
- 22.Factor SA, Steenland NK, Higgins DS, et al. Postural instability/gait disturbance in Parkinson's disease has distinct subtypes: an exploratory analysis. J Neurol Neurosurg Psychiatry. 2011;82(5):564–568. doi: 10.1136/jnnp.2010.222042. [DOI] [PMC free article] [PubMed] [Google Scholar]
- 23.Prasad S, Lenka A, Stezin A, et al. A comparative study of early and late onset freezing of gait in parkinson's disease. Ann Indian Acad Neurol. 2018;21(4):256–262. doi: 10.4103/aian.AIAN_459_17. [DOI] [PMC free article] [PubMed] [Google Scholar]
- 24.Peterson DS, King LA, Cohen RG, Horak FB. Cognitive contributions to freezing of gait in parkinson disease: implications for physical rehabilitation. Phys Ther. 2016;96(5):659–670. doi: 10.2522/ptj.20140603. [DOI] [PMC free article] [PubMed] [Google Scholar]
- 25.Chen MH, Chiaravalloti ND, Genova HM, Costa SL. Visual and motor confounds on the symbol digit modalities test. Mult Scler Relat Disord. 2020;45:102436. doi: 10.1016/j.msard.2020.102436. [DOI] [PubMed] [Google Scholar]
- 26.Pascoe M, Alamri Y, Dalrymple-Alford J, Anderson T, MacAskill M. The symbol-digit modalities test in mild cognitive impairment: evidence from Parkinson's disease patients. Eur Neurol. 2018;79(3–4):206–210. doi: 10.1159/000485669. [DOI] [PubMed] [Google Scholar]
- 27.Lim EW, Aarsland D, Ffytche D, et al. Amyloid-β and Parkinson's disease. J Neurol. 2019;266(11):2605–2619. doi: 10.1007/s00415-018-9100-8. [DOI] [PubMed] [Google Scholar]
- 28.Kang JH, Irwin DJ, Chen-Plotkin AS, et al. Association of cerebrospinal fluid β-amyloid 1–42, T-tau, P-tau181, and α-synuclein levels with clinical features of drug-naive patients with early Parkinson disease. JAMA Neurol. 2013;70(10):1277–1287. doi: 10.1001/jamaneurol.2013.3861. [DOI] [PMC free article] [PubMed] [Google Scholar]
- 29.Bohnen NI, Frey KA, Studenski S, et al. Extra-nigral pathological conditions are common in Parkinson's disease with freezing of gait: an in vivo positron emission tomography study. Mov Disord. 2014;29(9):1118–1124. doi: 10.1002/mds.25929. [DOI] [PMC free article] [PubMed] [Google Scholar]
- 30.Giladi N, Tal J, Azulay T, et al. Validation of the freezing of gait questionnaire in patients with Parkinson's disease. Mov Disord. 2009;24(5):655–661. doi: 10.1002/mds.21745. [DOI] [PubMed] [Google Scholar]
Associated Data
This section collects any data citations, data availability statements, or supplementary materials included in this article.
Supplementary Materials
Data Availability Statement
The data that support the findings of this study are available from PPMI website (www.ppmi-info.org/data). Restrictions apply to the availability of these data, which were used under license for the current study, and so are not publicly available. Data are however available from the authors upon reasonable request and with permission of PPMI.

