Abstract
End-user input early in biomedical product development may optimize design to support high uptake and adherence. We interviewed 400 couples (800 total participants) in Uganda and Zimbabwe to assess their preferences for multipurpose prevention technologies (MPTs) for HIV and pregnancy prevention. Using a discrete choice experiment, couples made a series of choices between hypothetical MPTs, including oral tablets and vaginal rings, inserts, and films and completed an interviewer-administered questionnaire assessing sociodemographic and behavioral measures. Most couples preferred presented MPTs over male condoms. Couples’ MPT choices in both countries were influenced most by the combination of product form and dosing frequency, with monthly dosing preferred over daily. Analysis highlighted differences by country as to which side effects were most important: Ugandan couples placed greater importance on effects on the vaginal environment during sex, whereas Zimbabwean couples placed more importance on changes to menstruation and other side effects (headache, cramps). Couples’ preferences signaled an openness to new product forms and more frequent dosing if preferred characteristics of other attributes were achieved.
Keywords: HIV prevention, Contraception, Multipurpose prevention technology (MPT), Acceptability, Couples, Discrete choice experiment
Introduction
Despite important achievements that have contributed to decreased HIV incidence in eastern and southern Africa over the last decade, disproportionately high rates of HIV infection persist among women [1]. Adolescent girls and young women (AGYW) aged 15–24 accounted for 26% of new HIV infections in 2019, with incidence 2.5 times higher for AGYW than their male peers [1]. High rates of HIV infection co-occur for many women alongside other reproductive health disparities, including high rates of unintended pregnancy and unmet need for modern contraceptives [2]. Multipurpose prevention technologies (MPTs), which offer protection against unintended pregnancy, HIV, or other sexually transmitted infections in a single product, stand to address multiple sexual and reproductive health needs simultaneously. Importantly, MPTs have the potential for increased acceptability and use relative to single indication products, for reasons that include improved access through delivery of an integrated product with fewer clinic visits, reduced stigma tied to accessing and using HIV prevention, ease of use, and expanded choice in the available method mix [3–5].
Although male and female condoms are the only approved MPTs currently available, the MPT research and development pipeline includes a diverse range of delivery forms, mechanisms of action, and indication [6–8]. Vaginally delivered products comprise a core focus of the current MPT pipeline, with both on-demand forms used prior to intercourse (e.g., fast-dissolving inserts, films) and, more recently, longer-acting formulations (e.g., weekly or monthly films) in preclinical development. MPT vaginal rings that offer continuous use (e.g., 1- or 3-month duration) constitute the delivery form with the greatest number of products in development, with both non-hormonal and hormonal rings among them. Vaginal rings containing both antiretroviral and contraceptive agents for combined HIV and pregnancy prevention have been tested in recent clinical trials to evaluate safety and acceptability [9, 10]. Dual prevention pills are currently being designed for daily oral use to prevent HIV acquisition and pregnancy in high-need countries in eastern and southern Africa [11]. Other long-acting MPT delivery forms (e.g., implant and microneedle applicator patch) are in preclinical development [8].
Engaging end-users to shape future HIV and MPT prevention options is recognized as critical to developing user-informed methods and achieving high adoption, adherence and persistence that realizes the greatest public health benefit. Most end-user research conducted in sub-Saharan Africa to date has focused directly on women’s preferences [12, 13], with few studies including men [14, 15]. Nonetheless, many women engage their male partners when making decisions about HIV prevention and contraception; thus, these decisions are often made jointly [16, 17]. Relationship contexts, including communication dynamics, gender role expectations, and intimate partner violence, influence women’s adoption of HIV and pregnancy prevention [18, 19]. While it remains critically important to develop prevention tools and introduce strategies that empower women to be actively involved in choosing options that meet their needs, many women want to involve their partners in these decisions [17], and in many settings, men exert influence on women’s autonomy and ability to adopt and use a prevention product effectively [20]. Thus, engaging male partners is important to ensuring new products are also accepted as a good fit by men.
Through the Microbicide Trials Network (MTN), we designed and conducted MTN-045/CUPID Study to examine heterosexual couples’ preferences for “2 in 1” MPT products that combine HIV and pregnancy prevention with the objective of informing product design and future delivery considerations to maximize uptake and willingness to use among sub-Saharan African heterosexual couples. We assessed couples’ preferences among key attributes of hypothetical MPTs in development through a discrete choice experiment (DCE). A DCE offers an efficient and robust approach to assess product preferences by examining the trade-offs individuals make when asked to choose between alternative product designs [21], particularly when products are in preclinical development as actual prototypes cannot be used and attributes of interests (e.g., menstrual changes) cannot be directly experienced. CUPID focused on vaginally delivered products and oral tablets to explore product types currently most advanced in MPT development. We examined attributes influential to couples’ MPT choices, including trade-offs between attributes, and compared preferences of couples in Uganda and Zimbabwe. In addition, we evaluated women’s and men’s preferences, assessed individually, to explore how they aligned with the preferences ascertained jointly from couples.
Methods
Setting
CUPID was conducted in Kampala, Uganda, and Chitungwiza, Zimbabwe, in partnership with MTN research teams at the Makerere University—Johns Hopkins University Research Collaboration and the University of Zimbabwe Clinical Trials Research Centre. Both sites have long-established research networks and active community engagement teams that draw participants from urban, peri-urban, and rural communities. In Uganda, recruitment was conducted in the district of Kampala and five surrounding densely populated peri-urban and rural districts, by engaging HIV counseling and testing centers, family planning clinics, local leaders, village health teams and other community stakeholders. In Zimbabwe, the densely populated urban catchment area has residences with well-defined street addresses whereas rural and peri-urban area homes are identified through local administrative structures. This gives access for community outreach activities, sensitization, accrual, and follow-up. Conducting the research in Uganda and Zimbabwe offered the opportunity for comparison across two settings with different underlying epidemiological and demographic environments in which to examine preferences for prevention of HIV and unintended pregnancy. Both Uganda and Zimbabwe have experienced an estimated 60% decrease in new HIV infections since 2010; however, overall incidence and prevalence remain high (2019 estimates): 1.38/1000 and 5%, respectively, in Uganda; 2.81/1000 and 12.8% in Zimbabwe [1]. Contraceptive prevalence and fertility rates vary between the two countries. In Uganda, use of modern contraceptives was 35% among married women and 47% among sexually active unmarried women aged 15–49, and the fertility rate was 5.4 births per woman in 2016 [22]. Injections are the most common modern method used (by approximately 20% of married and sexually active unmarried women). In Zimbabwe, use of any modern contraceptive method was estimated at 66% in 2015 (among married and unmarried sexually active women aged 15–49) and the 2015 fertility rate was 4.0 children per woman [23]. Oral contraceptive pills are the most common modern method used by married women (41%); male condoms are the most common method used by sexually active unmarried women (27%) [23].
Participant Eligibility and Recruitment
Eligibility criteria included being a couple currently in a heterosexual relationship (living together or not) for at least 3 months. The female member of the couple was between the ages of 18 and 40 and HIV negative, per self-report. Male partners were aged 18 or older. At the time of enrollment, each member of the couple had indicated interest in contraception or HIV prevention (assessed during screening). To address participant safety in the context of this couples’ study, screening questions, administered individually and privately to each member of the couple, assessed perceived risk of intimate partner violence tied to study participation. The Investigator of Record had discretion to determine if participation was unsafe based on these questions and to apply this as an exclusion criterion. Referrals for services were available, if indicated. To ensure individuals presenting as couples were indeed true couples, recruitment teams implemented screening procedures that included cross-verification of partner contact information, duration of relationship, and living arrangements.
Participant recruitment and pre-screening occurred through community outreach led by each local study team. Together with community educators, community contact persons mobilized couples to learn more about the study through informal discussions (sensitization). After sensitization, couples who were interested in participating were pre-screened individually by the community educator to determine their eligibility and possible referral to the study clinic to be considered for enrollment. Both men and women in relationships were recruited directly by study staff, with the member first contacted requested to inform the other member of the couple so that pre-screening with both members of the couple could occur.
Study Design and Procedures
CUPID was a cross-sectional study that included 400 heterosexual couples with quantitative data collection activities completed by couples individually and jointly during the same study visit. At enrollment, following informed consent, the couple watched an animated study video that presented the concept of contributing to early-stage product development as a co-designer with the opportunity to inform future MPT options. In addition, the video introduced attributes included in the DCE. The video conveyed this information in a visually engaging format and standardized the presentation of information across couples. Before starting the choice tasks, the survey individually introduced each attribute and explained the possible options (levels) for each. After introduction of each attribute, we asked participants about personal experiences with that attribute to lessen the hypothetical nature of the task and gauge comprehension (e.g., “Have you/your partner ever stopped using a type of family planning product because of changes to your/her menstrual cycle?”). Couples were shown placebo versions of the delivery forms included in the DCE, which they could handle (in clear sealed plastic). Experienced research staff at each location conducted all consent and data collection procedures. All study materials (i.e., consent forms, data collection instruments, video) were developed by the study team in English and translated into Luganda (Uganda) and Shona (Zimbabwe). The translation process included backtranslation and review and approval by the local investigator of record. Data collection took place from January to November 2020, with a COVID-19-related pause for nearly 3 months (April–June 2020). When the study resumed, all study visit procedures were guided by a COVID safety protocol that adhered to government and institutional guidelines and was approved by the IRBs in each study location.
Study visits included two key data collection activities using tablet computers. First, both members of the couple completed separately a DCE and a sociodemographic and behavioral questionnaire. Participants completed the DCE choice questions independently with guidance from an interviewer who was present to facilitate completion. The interviewer-administered behavioral questionnaire assessed contraceptive use experiences, HIV risk perception, relationship characteristics, and sexual behaviors. Measures were drawn from the Demographic and Health Survey, research conducted by our study teams previously, or from validated scales used in similar populations. This analysis includes both individual and partnership characteristics. Individual characteristics included: age in years, educational level, current employment, food insecurity (2 items from Household Food Insecurity Access Scale [24]), religion participation, parity, contraceptive method use, breastfeeding status, pregnancy intentions, perceived HIV risk, sexual relationship power scale [25], multiple partners last 3 months, and intimate partner violence, females only [26]. Partnership characteristics examined drew on measures of relationship duration (continuous years), married or cohabitating with partner, shared decision making and communication about family planning (DHS). Next, the couple came together to complete the second set of data collection activities. This included completing the same block of DCE choice tasks, this time making choices jointly. Next, they completed an “ideal product activity” in which they discussed and selected their ideal features for a “2 in 1” product by choosing their most preferred level for each of the six attributes. Thus, they could design a single product that maximized their preferences across each attribute.
DCE Survey Development
The DCE survey was developed following best practices [27] and informed by our team’s experience designing other DCE surveys to examine HIV prevention product preferences. Attributes included in the DCE were selected based on knowledge of product characteristics important to acceptability and use of HIV prevention and contraceptive options by women in these and similar settings in sub-Saharan Africa. The final set of attributes was determined with input from the research teams in Uganda and Zimbabwe and the Behavioral Research Working Group of the MTN. The DCE survey and images used to illustrate DCE attributes and levels were pretested for clarity by local research teams.
We characterized products with six attributes, each with two to three levels depicted with images to aid comprehension and decision-making (Fig. 1). The final set of attributes included product form (oral tablet, a fast-dissolving vaginal insert or film, vaginal ring); dosing frequency (before sex, daily, weekly, monthly); frequency of side effects (stomach cramps or nausea; rarely, frequently); changes to menstrual bleeding (bleeding may be heavier, spotting or bleeding between menses, no changes to bleeding); influences on the vaginal environment during sex (vagina feels wetter, vagina feels drier, no change); and time to return to fertility once the product is discontinued (immediately, in 3 months, in 6 months). While at one week and one month duration the vaginal film will not be fast-dissolving in the same manner as inserts, because we presented the inserts and films jointly as products that dissolve and do not require removal, for simplicity of design we did not integrate into the DCE a distinction about the timing of dissolution for films at different durations of protection. As the vaginal ring is currently formulated as a longer-acting product, we restricted the design to only show the vaginal ring with dosing frequency levels of weekly or monthly as a daily use ring was not conceptually a plausible product. We accounted for this restriction in the d-efficient design. This design restriction necessitated that we integrate these attributes as described in the analysis section.
Fig. 1.
Attributes with corresponding levels included in the discrete choice experiment for a dual-purpose (pregnancy and HIV) prevention product
A statistically efficient experimental design using a D-optimal algorithm was used to combine attribute levels into distinct product profiles and pair alternatives into choice task questions. The resulting partial-factorial design included 72 unique choice tasks, divided into eight blocks of nine choice tasks. Couples were randomly assigned to one of the eight blocks and made nine distinct choices between pairs of hypothetical MPT product designs. Thus, each of the nine choice questions presented two hypothetical MPT products defined by different combinations of the levels for each attribute. Participants were asked to choose which one, between the two, they would prefer using for HIV and pregnancy prevention. Each member of the couple completed the same block of choice tasks individually and then jointly when they came together to complete the DCE. The order that questions were presented within a block was randomized to avoid having responses affected by learning or fatigue. After each choice task, participants were asked “If the product you chose was available, what would you use now?—the product I chose, a male condom, or neither” to gauge interest in the chosen MPT product. As this was a separate question, it was not offered alongside the two hypothetical MPT products that comprised the DCE design.
Sample Size and Analysis
A sample size of 400 couples was selected based on recommendations for a DCE of six attributes with two to three levels for each one to have sufficient precision of preference estimates for subgroup analyses (i.e., 200 per enrollment site) [28, 29].
Couple and individual participant characteristics were summarized using percentages (for categorical variables) and means, medians, and interquartile ranges (for continuous variables). Choice data from the DCE were effects coded [30] and analyzed with random parameter logit (RPL) models [31]. RPL models are commonly used for analysis of preference data, as they can account for participant heterogeneity by estimating a normal distribution for each attribute level [31, 32]. Effects coding of the categorical attribute levels allows estimation of the omitted level from the negative sum of all other levels included in the model [30]. Normalized mean preference weights with 95% confidence intervals were estimated for each attribute level. Normalized weights represent relative preference, where the value of a weight is always interpreted relative to the average weight of all attribute levels (centered at zero). A level with a larger positive weight indicates greater preference in comparison with a level with a smaller negative weight. Product form and dosing were estimated as a single attribute, with ten levels created using indicators for all levels of form by dosing. This was done because of the design restriction by which the vaginal ring was only presented at weekly and monthly dosing (and not on demand or daily).
Preference weights were then used to estimate relative importance (RI) scores for each attribute. RI scores were calculated as the difference between the largest and smallest weight values. The attribute with the greatest difference between the largest and smallest weight values was relatively the most important when choosing between alternative MPT product designs. All RI scores were rescaled on a 0–10 range with the most important attribute assigned a score of 10.
Because the study was conducted in two countries, we utilized a test developed by Louviere and Swait [33] to determine whether preference scales were comparable across these samples and data could be pooled together. Preferences were found to differ by country (Χ2 = 132, p-value < 0.01), confounding the ability to test for difference in scale. Hence, we stratified all models by country, estimating separate RPL models for Ugandan and Zimbabwean couples, women, and men. All analyses were performed using Stata 16.1 (StataCorp LLC, College Station, Texas, USA).
Results
Participant Characteristics
Sociodemographic characteristics of the 400 couples are presented in Table 1. On average, couples had been together 5 years (range 3 months–21 years). Most were married or cohabitating (86%) and had children together (71%); however, marriage was more common among Zimbabwean couples (88% vs. 20% married in Uganda). The median age of women was 26 years (interquartile range [IQR] 22–31) whereas on average their male partners were 4 years older (median age 31 years, IQR 26–37).
Table 1.
Characteristics of couples, by geographic location
| Characteristic | Kampala, Uganda | Chitungwiza, Zimbabwe | Total | |||
|---|---|---|---|---|---|---|
| N | (%) | N | (%) | N | (%) | |
| Total couples | 200 | (100) | 200 | (100) | 400 | (100) |
| Female partner | ||||||
| Age, years—mean, median (range) | 26.5, 25 | (18–40) | 27.1, 27 | (18–39) | 26.8, 26 | (18–40) |
| Completed secondary school | 82 | (41) | 140 | (70) | 222 | (56) |
| Earns income | 102 | (51) | 102 | (51) | 204 | (51) |
| Food insecurea | 35 | (18) | 22 | (11) | 57 | (14) |
| Attend religious services at least once a week | 162 | (81) | 186 | (97) | 348 | (89) |
| Parous | 138 | (69) | 171 | (86) | 309 | (77) |
| Current contraceptive method(s) | ||||||
| Oral pills | 13 | (7) | 98 | (49) | 111 | (28) |
| Injectable | 36 | (18) | 11 | (6) | 47 | (12) |
| Implant | 22 | (11) | 35 | (18) | 57 | (14) |
| IUD | 6 | (3) | 5 | (3) | 11 | (3) |
| Male condoms (with other method) | 54 | (27) | 20 | (10) | 74 | (19) |
| Male condoms (only) | 24 | (12) | 11 | (6) | 35 | (9) |
| Natural methodsb | 39 | (20) | 1 | (1) | 40 | (10) |
| Otherc | 22 | (11) | 7 | (4) | 29 | (7) |
| None | 35 | (18) | 25 | (13) | 60 | (15) |
| Currently pregnant | 15 | (8) | 10 | (5) | 25 | (6) |
| Currently breastfeeding | 38 | (26) | 53 | (31) | 91 | (28) |
| ‘Very important’ to avoid pregnancy now | 137 | (69) | 150 | (75) | 287 | (72) |
| Ever used contraception without telling partner | 46 | (23) | 14 | (7) | 60 | (15) |
| Agree ‘my sexual behavior gives me a chance of getting HIV’ | 41 | (21) | 16 | (8) | 57 | (14) |
| Agree ‘my partner’s sexual behavior gives me a chance of getting HIV’ | 67 | (34) | 50 | (25) | 117 | (29) |
| Female had multiple sex partners in past 3 months | 15 | (8) | 1 | (1) | 16 | (4) |
| Experienced emotional, physical, or sexual violence from partner in past year | 80 | (40) | 69 | (35) | 149 | (37) |
| Male partner | ||||||
| Age, years—mean, median (range) | 31.1, 29 | (19–70) | 32.0, 32 | (19–51) | 31.6, 31 | (19–70) |
| Completed secondary school | 117 | (59) | 160 | (80) | 277 | (69) |
| Earns income | 165 | (83) | 184 | (92) | 349 | (87) |
| Food insecurea | 36 | (18) | 28 | (14) | 64 | (16) |
| Attend religious services at least once a week | 140 | (70) | 140 | (83) | 280 | (76) |
| Agree—‘my sexual behavior gives me a chance of getting HIV’ | 61 | (31) | 38 | (19) | 99 | (25) |
| Agree—‘my partner's sexual behavior gives me a chance of getting HIV’ | 64 | (32) | 15 | (8) | 79 | (20) |
| Male had multiple sex partners in past 3 months | 41 | (21) | 18 | (9) | 59 | (15) |
| Partnership characteristics | ||||||
| Relationship length, years—mean, median (range) | 5.1, 3 | (0.3–21) | 6.2, 5.5 | (0.3–20) | 5.7, 4 | (0.3–21) |
| Age difference, yearsd—mean, median (range) | 4.6, 4 | (− 10–37) | 4.9, 4 | (− 7–21) | 4.7, 4 | (− 10–37) |
| Married | 39 | (20) | 175 | (88) | 214 | (54) |
| Married or cohabitating | 161 | (81) | 182 | (91) | 343 | (86) |
| Have children together | 125 | (63) | 160 | (80) | 285 | (71) |
| Family planning decisions made jointly | 158 | (79) | 144 | (72) | 302 | (76) |
| Currently using a method for HIV preventione | 91 | (45) | 45 | (23) | 136 | (34) |
CUPID Study (MTN-045), 2020
aOften worry about having enough food (more than ten times in past month)
bMethods included rhythm, fertility awareness, and calendar
cMethods included female condoms, emergency contraception, female sterilization, and withdrawal
dMale partner’s age minus female partner’s age
eEither partner reported using method currently
Current contraceptive method use and experience varied by location. Most women in Zimbabwe had ever used oral pills (79%); use of male condoms (44%) and injectables (27%) for contraception was less common. In Uganda, most women had ever used male condoms (68%) and injectables (53%), and fewer (37%) had ever used oral pills. Overall, 85% of women were currently using a contraceptive method, including traditional methods. In 35% of couples, at least one member reported currently using male condoms for HIV prevention. Two participants (one man and one woman within separate couples) were currently using oral pre-exposure prophylaxis (PrEP).
The majority of couples reported making household and health decisions jointly. Approximately three-quarters of couples said they make family planning decisions jointly (76%) and agreed that it was important or very important to avoid getting pregnant now (78%). Only 8% of women reported they are “somewhat” or “not comfortable” talking about family planning with their partner. Nonetheless, women did report challenges with communication and violence in their relationships: over one-third (37%) reported experiencing emotional, physical, or sexual violence from a partner in the past year.
Interest in Multipurpose Prevention
Women and men expressed high interest in MPTs with 91% indicating that, considering their current circumstances, they would prefer using a “2 in 1” over two separate products for HIV and pregnancy prevention. We found no differences by sex. Key benefits of an MPT cited by women and men alike included ease of use; discreet use of HIV prevention through choice of an MPT product—that is, framing the product as family planning to avoid the topic of HIV prevention with a partner; and reduced burden tied to product access with fewer clinic visits required. Important disadvantages noted included concerns regarding side effects tied to simultaneous use of two medicines; relatedly, potent drug volumes that could have other adverse consequences for the body; and changes in pregnancy desire that would necessitate a product switch.
Multipurpose Prevention Product Preferences
Five of the six attributes used to characterize the MPT products influenced couples’ choices. The combination of product form and dosing frequency was the most influential contribution to couples’ decision-making; however, other factors contributed importantly, and these varied between couples in Uganda and Zimbabwe.
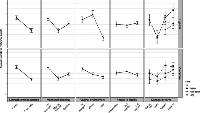
For couples in Uganda, on average, MPT choice was jointly influenced by the combination of product form and dosing frequency (RI: 10.0 on a scale of 0–10) and changes to the vaginal environment during sex (RI: 9.1; Table 2). Preferences regarding form were dependent on dosing. The average preference weights estimated from RPL models are presented graphically in Fig. 2 with modeling results presented in Table 3. On average there was no difference in preference for an oral tablet or vaginal insert or film if used on demand precoitally or daily (evidenced by the similar preference weight estimates and overlapping confidence intervals). Precoital use was consistently preferred over daily dosing, regardless of the product form. As the product became dosed less frequently (i.e., monthly), there was clear preference for an oral tablet (preference weight [PW] 1.33, 95% CI 0.64, 2.02) over a vaginal ring (PW − 0.10, 95% CI − 0.69, 0.49) or fast-dissolving insert or film (PW 0.08, 95% CI − 0.42, 0.59). Changes to the vagina during sex were nearly as important to choices as were product form/dosing frequency, with strong preference for a product that would make the vagina wetter during sex (PW 0.91, 95% CI 0.69, 1.30) over a product that made the vagina drier (PW − 1.33, 95% CI − 1.91, − 1.07). Less frequent side effects (RI: 5.0) and no menstrual changes (RI: 4.7) were also important when choosing between MPT product designs but half as important as dosing or vaginal changes (Table 2). The levels presented for return to fertility had comparable weights that were not different from zero, indicating this attribute was on average not influential in choosing between designs (RI: 0.4).
Table 2.
Scaled relative importance (RI) scores for each attribute’s influence on choice of multipurpose prevention technology (MPT) design; most important attribute assigned score of 10, and other attributes rescaled relative to most important
| MPT attribute | Uganda | |||||
|---|---|---|---|---|---|---|
| Women | Men | Couple | ||||
| RI | 95% CI | RI | 95% CI | RI | 95% CI | |
| Dosage by form | 10.0 | (6.3, 13.7) | 10.0 | (6.9, 13.1) | 10.0 | (6.0, 14.0) |
| Menstrual bleeding | 4.1 | (2.6, 5.5) | 4.2 | (3.0, 5.3) | 4.7 | (3.2, 6.3) |
| Stomach cramps/nausea | 4.3 | (3.1, 5.6) | 5.4 | (4.0, 6.7) | 5.0 | (3.5, 6.5) |
| Return to fertility | 1.3 | (− 0.3, 2.9) | 1.9 | (0.4, 3.3) | 0.4 | (− 1.0, 1.7) |
| Vaginal environment | 7.6 | (5.5, 9.6) | 6.7 | (5.0, 8.3) | 9.1 | (6.7, 11.4) |
| MPT attribute | Zimbabwe | |||||
|---|---|---|---|---|---|---|
| Women | Men | Couple | ||||
| RI | 95% CI | RI | 95% CI | RI | 95% CI | |
| Dosage by form | 10.0 | (5.3, 14.7) | 10.0 | (5.1, 14.9) | 10.0 | (5.8, 14.2) |
| Menstrual bleeding | 7.2 | (5.1, 9.3) | 7.3 | (5.1, 9.5) | 7.1 | (5.2, 9.0) |
| Stomach cramps/nausea | 7.4 | (5.6, 9.1) | 8.7 | (6.5, 10.9) | 8.0 | (6.2, 9.9) |
| Return to fertility | 4.1 | (2.0, 6.2) | 1.5 | (− 0.8, 3.9) | 1.6 | (− 0.5, 3.6) |
| Vaginal environment | 6.1 | (4.1, 8.2) | 6.5 | (4.2, 8.8) | 5.1 | (3.2, 7.0) |
Fig. 2.
Estimated normalized preference weights with 95% confidence intervals from random parameter logit models, one for each geographic location
Table 3.
Random parameter logit modeling results, for each of the six models: by discrete choice experiment (DCE) group (women, men, and together as a couple) and by country
| Uganda | Zimbabwe | |||||||||||
|---|---|---|---|---|---|---|---|---|---|---|---|---|
| Women | Men | Couple | Women | Men | Couple | |||||||
| Coef. | 95% CI | Coef. | 95% CI | Coef. | 95% CI | Coef. | 95% CI | Coef. | 95% CI | Coef. | 95% CI | |
| Dosage by form | ||||||||||||
| Oral tablet—use before sex | 0.43 | (0.02, 0.85) | 0.24 | (− 0.16, 0.64) | 0.42 | (− 0.09, 0.93) | 0.29 | (− 0.11, 0.70) | − 0.06 | (− 0.49, 0.37) | 0.00 | (− 0.41, 0.41) |
| Oral tablet—daily | − 0.14 | (− 0.50, 0.22) | − 0.98 | (− 1.42, − 0.55) | − 1.32 | (− 1.89, − 0.75) | − 0.25 | (− 0.66, 0.15) | − 0.40 | (− 0.83, 0.03) | − 0.30 | (− 0.72, 0.12) |
| Oral tablet—weekly | 0.49 | (0.03, 0.95) | 0.40 | (− 0.06, 0.85) | 0.65 | (0.13, 1.17) | 0.04 | (− 0.35, 0.44) | 0.52 | (0.07, 0.97) | 0.76 | (0.33, 1.20) |
| Oral tablet—monthly | 0.93 | (0.46, 1.40) | 1.38 | (0.85, 1.91) | 1.33 | (0.64, 2.02) | 0.73 | (0.26, 1.19) | 0.39 | (− 0.06, 0.83) | 0.63 | (0.21, 1.06) |
| Vaginal film/insert—use before sex | 0.25 | (− 0.18, 0.67) | 0.02 | (− 0.42, 0.46) | 0.36 | (− 0.15, 0.88) | − 0.54 | (− 0.97, − 0.10) | − 0.23 | (− 0.67, 0.21) | − 0.56 | (− 0.99, − 0.14) |
| Vaginal film /insert—daily | − 0.84 | (− 1.22, − 0.45) | − 1.03 | (− 1.46, − 0.60) | − 1.14 | (− 1.65, − 0.64) | − 0.64 | (− 1.02, − 0.26) | − 0.89 | (− 1.32, − 0.46) | − 0.74 | (− 1.13, − 0.36) |
| Vaginal film/insert—weekly | − 0.55 | (− 1.02, − 0.07) | − 0.39 | (− 0.85, 0.07) | 0.23 | (− 0.37, 0.83) | − 0.08 | (− 0.52, 0.35) | − 0.14 | (− 0.60, 0.33) | − 0.39 | (− 0.83, 0.05) |
| Vaginal film/insert—monthly | 0.54 | (0.13, 0.96) | 0.16 | (− 0.24, 0.57) | 0.08 | (− 0.42, 0.59) | 0.46 | (0.04, 0.88) | 0.45 | (0.00, 0.90) | 0.38 | (− 0.01, 0.78) |
| Vaginal ring—weekly | − 0.27 | (− 0.63, 0.10) | 0.06 | (− 0.33, 0.45) | − 0.52 | (− 1.00, − 0.03) | − 0.10 | (− 0.47, 0.27) | − 0.08 | (− 0.46, 0.31) | − 0.04 | (− 0.39, 0.31) |
| Vaginal ring—monthly | − 0.86 | (− 1.43, − 0.28) | 0.15 | (− 0.32, 0.62) | − 0.10 | (− 0.69, 0.49) | 0.09 | (− 0.39, 0.57) | 0.43 | (− 0.08, 0.95) | 0.26 | (− 0.22, 0.74) |
| Menstrual bleeding | ||||||||||||
| No changes to bleeding | 0.40 | (0.24, 0.55) | 0.54 | (0.38, 0.70) | 0.57 | (0.36, 0.78) | 0.54 | (0.36, 0.71) | 0.52 | (0.35, 0.70) | 0.57 | (0.41, 0.72) |
| Bleeding may be heavier | − 0.32 | (− 0.47, − 0.17) | − 0.46 | (− 0.62, − 0.30) | − 0.60 | (− 0.83, − 0.38) | − 0.44 | (− 0.61, − 0.28) | − 0.51 | (− 0.68, − 0.33) | − 0.50 | (− 0.67, − 0.33) |
| Spotting or bleeding between menses | − 0.07 | (− 0.24, 0.09) | − 0.08 | (− 0.23, 0.06) | 0.03 | (− 0.17, 0.23) | − 0.09 | (− 0.26, 0.08) | − 0.02 | (− 0.19, 0.15) | − 0.07 | (− 0.23, 0.09) |
| Stomach cramps/nausea | ||||||||||||
| Rarely | 0.38 | (0.27, 0.49) | 0.65 | (0.48, 0.81) | 0.62 | (0.43, 0.80) | 0.50 | (0.38, 0.62) | 0.61 | (0.46, 0.77) | 0.60 | (0.46, 0.75) |
| Frequently | − 0.38 | (− 0.49, − 0.27) | − 0.65 | (− 0.81, − 0.48) | − 0.62 | (− 0.80, − 0.43) | − 0.50 | (− 0.62, − 0.38) | − 0.61 | (− 0.77, − 0.46) | − 0.60 | (− 0.75, − 0.46) |
| Return to fertility | ||||||||||||
| Immediately | − 0.14 | (− 0.32, 0.04) | 0.22 | (0.03, 0.42) | − 0.01 | (− 0.23, 0.21) | 0.14 | (− 0.05, 0.33) | 0.13 | (− 0.06, 0.32) | 0.03 | (− 0.15, 0.21) |
| In 3 months | 0.06 | (− 0.09, 0.20) | 0.00 | (− 0.14, 0.15) | − 0.10 | (− 0.28, 0.08) | 0.21 | (0.06, 0.36) | − 0.05 | (− 0.20, 0.10) | 0.17 | (0.03, 0.31) |
| In 6 months | 0.09 | (− 0.08, 0.25) | − 0.23 | (− 0.41, − 0.04) | 0.11 | (− 0.10, 0.33) | − 0.35 | (− 0.54, − 0.16) | − 0.08 | (− 0.26, 0.09) | − 0.20 | (− 0.37, − 0.04) |
| Vaginal environment | ||||||||||||
| No changes to vagina | 0.18 | (0.03, 0.33) | 0.40 | (0.23, 0.58) | 0.42 | (0.21, 0.63) | 0.49 | (0.32, 0.65) | 0.54 | (0.36, 0.73) | 0.44 | (0.28, 0.59) |
| Vagina feels wetter | 0.58 | (0.39, 0.77) | 0.60 | (0.42, 0.78) | 0.91 | (0.65, 1.17) | − 0.35 | (− 0.51, − 0.19) | − 0.17 | (− 0.34, 0.00) | − 0.11 | (− 0.26, 0.05) |
| Vagina feels drier | − 0.76 | (− 0.97, − 0.55) | − 1.00 | (− 1.25, − 0.75) | − 1.33 | (− 1.68, − 0.98) | − 0.14 | (− 0.30, 0.03) | − 0.37 | (− 0.56, − 0.19) | − 0.33 | (− 0.50, − 0.16) |
Coefficients (Coef.) represent preference weight estimates
Similarly, the combination of product form and dosing frequency was most important to Zimbabwean couples’ choices of an MPT (RI: 10.0), but their decisions were also motivated by side effects (RI: 8.0) and menstrual changes (RI: 7.1). In contrast to Ugandan couples, Zimbabwean couples on average preferred oral tablets over fast-dissolving vaginal inserts and films at every dosing frequency (Fig. 2). However, when dosing was monthly, the preference for oral tablets was only minimally greater. As reflected in the RI scores, side effects and menstrual changes were similarly important to decision-making. The potential for heavier bleeding (PW − 0.50, 95% CI − 0.67, − 0.33) was less preferred than spotting or bleeding between menses (PW − 0.07, 95% CI − 0.23, 0.09), and no menstrual changes was most preferred (PW 0.57, 95% CI 0.43, 0.80). A product that did not alter the feel of the vagina during sex (PW 0.44, 95% CI 0.28, 0.59) was preferred to one that made it drier (PW − 0.33, 95% CI − 0.50, − 0.16), but this attribute was only half as important as the combination of product form and dosing frequency (RI: 5.1). There was slight preference for delayed return to fertility by 3 months over 6 months, but overall, the RI score was not statistically different from zero, indicating that on average it had little influence on stated decisions (RI: 1.6).
In general, couples indicated a strong interest in using the MPT products chosen through the DCE. Of 3600 choice tasks completed across the 400 couples, only 16% of choices in Uganda and 6% of choices in Zimbabwe were MPT products that they indicated they would not actually use, if available. Furthermore, male condoms were chosen over the novel MPT designs in only 10% of choices.
MPT preferences assessed for women and men individually aligned closely on average and with those estimated from choices made jointly by couples. The ranking of attributes based on RI scores, was comparable for couples, women and men within Uganda and Zimbabwe (Table 2). The differences found centered around several attributes—return to fertility and the combination of product form and dosing frequency—with some variation by geographic location (Table 3 for PW estimates). For example, in Zimbabwe, return to fertility was relatively more important to women than to men or couples. In Uganda, on average, men had a strong preference for a monthly tablet over any product used daily and over monthly vaginally inserted products (ring or film/insert). However, if dosed more frequently (before sex or daily), on average men had no preference about product form. In contrast, women favored oral tablets over other forms at every dosing level and preferred an oral tablet or film/insert used before sex over a monthly vaginal ring. These findings differed in Zimbabwe where men, in general, preferred tablets at every dosing level; however, at monthly dosing they had no preferences between delivery forms. Likewise, women on average preferred tablets; however, preference for tablets over ring or film/insert diminished with less frequent dosing.
Ideal Product Attributes
When asked to build their ideal MPT product from the attributes provided, the most common selected form was an oral tablet (65%) dosed either once per month (28%) or every 2–3 months (24%). A small proportion (5%) preferred a precoital or daily oral tablet. The roughly one-third of couples preferring a vaginal product had a mix of form preference: 15% chose the insert, 12% chose the ring, and 8% chose the film; nearly all selected that the vaginal product be longer acting, dosed monthly (37%) or every 2–3 months (54%). More Zimbabwean couples were interested in oral tablets (73%) than Ugandan couples (58%). Across all forms, there were slightly more Ugandan couples (11%) than Zimbabwean couples (4%) interested in a precoitally dosed product. Half of Ugandan couples’ ideal product would make the vagina feel wetter during sex whereas 88% of Zimbabwean couples chose their product to not influence the vaginal environment. Overall, opinion about menstrual side effects were divided, with half of couples willing to tolerate a product that caused heavier bleeding (51%) and half accepting a product that caused spotting or bleeding between menses (49%). Opinions about return to fertility were split in Uganda, with about one-third each choosing among the three options whereas half of couples in Zimbabwe selected immediate return to fertility (50%).
Discussion
Couples in Uganda and Zimbabwe expressed high interest in MPTs for HIV and pregnancy prevention, underscoring the important role for MPTs as part of a diverse mix of prevention options. The MPT design options presented, which included vaginal rings, fast-dissolving vaginal inserts and films, and oral tablets, were preferred over male condoms by nearly all couples. Although the strong interest in MPTs aligns with other studies conducted among women [3, 14], we have few data from men and couples directly about their views of MPTs, including their preferences among key attributes of MPT products in development. A substantial body of HIV prevention and contraceptive research has highlighted the key influence that male partners exert over women’s choice and use of HIV and pregnancy prevention in many settings; likewise, many women would like to engage their partners jointly in these decisions. Thus, CUPID extends end-user preference data on MPTs, offering perspectives from heterosexual couples with data collected both from individual members of the couple and from the couple jointly.
The combination of product form and dosing frequency was the most influential contribution to couples’ decision-making. Across all combinations, daily use was least preferred among dosing frequencies, underscoring the challenges of integrating a preventive product requiring daily use into users’ lives and the critical need for expanded choices with varying use regimens. This echoes challenges experienced in PrEP implementation programs, where the demands of daily pill taking contribute to poor adherence and early discontinuation for some users [34]. While in many end-user and acceptability studies women and men have indicated a keen interest in longer-acting prevention options, preferences here for monthly (vs. more frequent) dosing may also have been shaped by the COVID pandemic, which emerged during the study period. In already-strained health systems, COVID-19 caused diversion of health staff and resources, de-prioritization of sexual and reproductive health services, and shortages of contraceptives and other preventive medication due to supply chain disruptions [35, 36]. Additionally, some public health measures to arrest COVID-19 spread reduced access to transportation and clinics for routine health care. This context may have prompted women and couples in this study to consider additional benefits of longer-acting prevention options, underscoring additional advantages of longer-acting and/or self-delivered HIV and pregnancy prevention methods that reduce the frequency of health care visits.
Despite the importance of the combination of product form and dosing frequency, several attributes reflecting the products’ potential effects on the body were similarly important in both geographic settings. In Uganda, effects on the vaginal environment during sex assumed nearly equivalent influence as the combination of product form and dosing frequency on decision-making. In Zimbabwe, both side effects (nausea and headaches) and effects on menstruation were quite influential to preferences. Thus, though considerable end-user research has highlighted the importance of product form and duration [15, 37] and the findings of this study align with that evidence base, results also underscore the importance of the product’s effects on the body to users’ decisions. Indeed, perceived and experienced side effects assume an important role in contraceptive choice and continuation. A 2018 national community-based survey of preferred contraceptive method attributes and reasons for discontinuation among women in Ghana, for example, demonstrated that second to pregnancy prevention efficacy, perceived method effects on regular monthly menstrual bleeding and on future fertility constituted critical considerations to method choice [38]. Fear of potential side effects, despite strong evidence that they are typically mild and limited to the 1st days/weeks of use, likewise influence oral PrEP uptake [39].
As evidenced in other end-user research and real-world implementation of HIV prevention and contraceptive services, preferences across product attributes varied by geographic location. Ugandan couples expressed similar preferences for oral tablets and for vaginal inserts and films when dosing frequency was on demand (which was regarded as favorable, on average) or daily (disliked), whereas tablets were preferred for a monthly product. In contrast, Zimbabwean couples consistently preferred oral tablets at more frequent and on-demand dosing whereas for a monthly product form was less important, signaling openness to all delivery forms included in the DCE when duration was monthly. The preference for oral tablets at most dosing frequencies was likely shaped by familiarity with oral contraceptive pills, which are the most common contraceptive method in Zimbabwe [23] and were likewise used by the majority of Zimbabwean women in this sample. Attribute preferences also reflected culturally grounded practices regarding vaginal hygiene and lubrication during sex. In Zimbabwe, social norms support intravaginal practices that aim to dry or tighten the vagina before sex [40]; thus, as was evidenced by our findings, an MPT product that increases vaginal lubrication during sex may be less acceptable. In contrast, an MPT product that increased vaginal lubrication during sex was regarded as attractive to Ugandan couples, men, and women alike.
DCE results must be interpreted with understanding of their strengths and limitations. DCEs measure stated preference—that is, the anticipated choice individuals would make if presented with an opportunity to actually choose between real products. Though DCE choices are hypothetical, this methodology is particularly well-suited to informing the design and influential attributes of prevention products in development or evaluating the relative importance of intervention components at the design stage. In HIV prevention, DCEs have been used increasingly to inform intervention features [41] and generate insights for the development of novel biomedical HIV prevention delivery forms, including MPTs that prevent HIV and pregnancy [14, 37, 42, 43]. Nonetheless, although a valuable methodology for end-user research, stated preferences may not align with actual choices and use of real-world products. Thus, these results may be valuable to guiding product development decisions to optimize design of specific products and to anticipate factors important to future use; however, inference to demand for actual uptake and use of future MPTs based on these attributes is limited. The ideal product activity following the DCE, in which couples built their ideal MPT product from the attributes provided, yielded preferences that aligned with key DCE results yet also highlighted the methodological advantage of a DCE permitting examination of relative importance and trade-offs participants may be willing to make to maximize key preferred features of a future MPT product. An additional consideration with DCEs is that the preference estimates are informed by the attributes and their levels included in the design. Another end-user study in which women tried placebo versions of four vaginally delivered delivery forms for HIV prevention (Quatro Study), for example, found preference differences between Zimbabwean and South African women, with the film and insert being the most commonly chosen delivery forms in each geographic setting, respectively [13]. In CUPID, including the oral tablet alongside the vaginal delivery forms (rings, inserts and films) shifted the preference estimates because participants were now making choices between the relatively more familiar delivery form (oral tablets) alongside vaginally-delivered MPTs.
A second methodological consideration in interpreting results pertains to selection bias in the couples who chose to enroll together in CUPID. It may be that couples willing to jointly attend a study visit have a higher level of interest in and communication about HIV prevention and pregnancy planning than we would find in a general population sample. That preferences were consistent across key relationship characteristics (e.g., duration of partnership, partner age difference) may reflect this design feature tied to conducting a study with couples. Nonetheless, the recruitment plans drew both men and women directly through established and trusted community networks. Individual pre-screening checklists were used to check the possibility of pseudo-couples, after which study counselors checked information provided by couples individually to screen for any inconsistencies that may have indicated possibility of a pseudo-couple. In addition, comparison of this study sample with behavioral and communication measures (e.g., contraceptive use, household decision-making) from the Demographic and Health Surveys conducted in the study regions suggest the couples were similar to Demographic and Health Survey respondents in key areas pertinent to the study aims.
Conclusion
Couples’ preferred characteristics of MPTs varied substantially by geographical location, underscoring the importance of choice in product delivery forms and variation in dosing frequency within forms. The introduction of existing HIV and pregnancy prevention methods, alongside research with novel products in development, has highlighted the importance of product choice throughout distinct life stages and the varied and dynamic needs of different user groups and individuals. In addition, differing tolerances for product side effects should be considered during development alongside leveraging cultural preferences, including those tied to vaginal lubrication during sex, to increase the attractiveness of a 2-in-1 product. Male partners are key influencers in women’s HIV prevention and contraceptive decisions yet are seldom included in woman-centered HIV prevention research. The CUPID study highlighted the opportunity for building acceptability for new MPTs by engaging male partners and couples early in the product development pipeline. Although the RI of attributes and the liked and disliked levels of each MPT generally aligned between men, women, and couples, differences in views of delivery forms and the combination of delivery form and duration highlighted the opportunity for supporting uptake and use of future MPTs through counseling and other couples-based introduction approaches.
Acknowledgements
The authors would like to acknowledge the efforts of the CUPID study teams, particularly their creativity and persistence in restarting the study after a 2-month COVID-19-related pause, and then conducting the research with safety protocols in place during the COVID-19 pandemic. We would also like to thank the members of the protocol team for their leadership in guiding study development and implementation. The Microbicide Trials Network was funded by the National Institute of Allergy and Infectious Diseases (UM1AI068633, UM1AI068615, UM1AI106707), with co-funding from the Eunice Kennedy Shriver National Institute of Child Health and Human Development and the National Institute of Mental Health, all components of the U.S. National Institutes of Health (NIH). The content is solely the responsibility of the authors and does not necessarily represent the official views of the NIH.
Author Contributions
AM and JE led study development and oversight as protocol chair and co-chair. JE, PM, DK, NMM and CN led data collection activities at their research sites and contributed to interpretation of results. PM, NMM and CN provided leadership as site investigators. MKSQ provided overall study coordination and contributed to study development and interpretation of results. AM led study concept development and manuscript writing. EB conducted data management and analysis, synthesized results and contributed to drafting the manuscript. MS contributed to study implementation, defining the manuscript scope and guiding analysis and interpretation of results. NM provided operational leadership as clinical research manager. JP contributed as DAIDS medical officer with key contributions to protocol development and management. AVDS contributed to study concept, protocol development and results interpretation. All authors approved the final manuscript as submitted and agree to be accountable for all aspects of the work.
Funding
This research was supported through the Microbicide Trials Network (MTN). MTN was funded by the National Institute of Allergy and Infectious Diseases (UM1AI068633, UM1AI068615, UM1AI106707), with co-funding from the Eunice Kennedy Shriver National Institute of Child Health and Human Development and the National Institute of Mental Health, all components of the U.S. National Institutes of Health (NIH). The content is solely the responsibility of the authors and does not necessarily represent the official views of the NIH.
Data Availability
Data may be available for research purposes upon written request. All research materials, including the study protocol and data collection instruments, are publicly available on the MTN website (mtnstopshiv.org).
Declarations
Conflict of interest
The authors have no conflict of interest or financial interests relevant to this article to disclose.
Ethical Approval
All procedures performed in studies involving human participants were in accordance with the ethical standards of the institutional or national research committee and with the 1964 Helsinki Declaration and its later amendments or comparable ethical standards. The study was approved by the following Institutional Review Boards/Ethics Committees: Medical Research Council of Zimbabwe; Joint Research Ethics Committee for the University of Zimbabwe, Faculty of Medicine and Health Sciences and Parirenyatwa Group of Hospitals; Research Council of Zimbabwe; Chitungwiza City Health Department; Joint Clinical Research Centre Research Ethics Committee; Uganda National Council for Science and Technology; Johns Hopkins School of Medicine Institutional Review Board; Advarra Institutional Review Board.
Consent to Participate
All participants provided written informed consent at study enrollment.
Footnotes
Publisher's Note
Springer Nature remains neutral with regard to jurisdictional claims in published maps and institutional affiliations.
References
- 1.UNAIDS Data 2020. [cited 2021 September 17]. Available from: https://www.unaids.org/en/resources/documents/2020/unaids-data.
- 2.Sully EA, Biddlecom A, Darroch JE, Riley T, Ashford LS, Lice-Deroche N, et al. Adding it up: investing in sexual and reproductive health 2019. New York: Guttmacher Institute; 2020. [Google Scholar]
- 3.Minnis AM, Krogstad E, Shapley-Quinn MK, Agot K, Ahmed K, Danielle Wagner L, et al. Giving voice to the end-user: input on multipurpose prevention technologies from the perspectives of young women in Kenya and South Africa. Sex Reprod Health Matters. 2021;29(1):1927477. doi: 10.1080/26410397.2021.1927477. [DOI] [PMC free article] [PubMed] [Google Scholar]
- 4.Crankshaw TL, Smit JA, Beksinska ME. Placing contraception at the centre of the HIV prevention agenda. Afr J AIDS Res. 2016;15(2):157–162. doi: 10.2989/16085906.2016.1204330. [DOI] [PubMed] [Google Scholar]
- 5.Boonstra H, Barot S, Lusti-Narasimhan M. Making the case for multipurpose prevention technologies: the socio-epidemiological rationale. BJOB. 2014;121(Suppl 5):23–26. doi: 10.1111/1471-0528.12851. [DOI] [PubMed] [Google Scholar]
- 6.The Initiative for Multipurpose Prevention Technologies (IMPT) [cited 2021 March 4]. Available from: http://mpts101.org/.
- 7.Young Holt B, Romano J, Turpin J. Multipurpose prevention technologies: opportunities and challenges to ensure advancement of the most promising MPTs. Front Reprod Health. 2021 doi: 10.3389/frph.2021.704841. [DOI] [PMC free article] [PubMed] [Google Scholar]
- 8.Krovi SA, Johnson LM, Luecke E, Achilles SL, van der Straten A. Advances in long-acting injectables, implants, and vaginal rings for contraception and HIV prevention. Adv Drug Deliv Rev. 2021;176:113849. doi: 10.1016/j.addr.2021.113849. [DOI] [PubMed] [Google Scholar]
- 9.Chakhtoura N. Multipurpose prevention technologies (MPTs) for prevention of HIV and pregnancy. HIV Research for Prevention (R4P); January 28; Virtual 2021.
- 10.Achilles S, Kelly CW, Blithe DL, Long J, Richardson BA, Devlin B, et al. Pharmacokinetics, safety, and vaginal bleeding associated with continuous versus cyclic 90-day use of dapivirine and levonorgestrel vaginal rings for multipurpose prevention of HIV and pregnancy. HIV Research for Prevention (R4P); January 28; Virtual 2021.
- 11.Friedland BA, Mathur S, Haddad LB. The promise of the dual prevention pill: a framework for development and introduction. Front Reprod Health. 2021 doi: 10.3389/frph.2021.682689. [DOI] [PMC free article] [PubMed] [Google Scholar]
- 12.van der Straten A, Agot K, Ahmed K, Weinrib R, Browne EN, Manenzhe K, et al. The Tablets, Ring, Injections as Options (TRIO) study: what young African women chose and used for future HIV and pregnancy prevention. J Int AIDS Soc. 2018;21(3):e25094. doi: 10.1002/jia2.25094. [DOI] [PMC free article] [PubMed] [Google Scholar]
- 13.Montgomery ET, Beksinska M, Mgodi N, Schwartz J, Weinrib R, Browne EN, et al. End-user preference for and choice of four vaginally delivered HIV prevention methods among young women in South Africa and Zimbabwe: the Quatro Clinical Crossover Study. J Int AIDS Soc. 2019;22(5):e25283. doi: 10.1002/jia2.25283. [DOI] [PMC free article] [PubMed] [Google Scholar]
- 14.Quaife M, Eakle R, Cabrera Escobar MA, Vickerman P, Kilbourne-Brook M, Mvundura M, et al. Divergent preferences for HIV prevention: a discrete choice experiment for multipurpose HIV prevention products in South Africa. Med Decis Mak. 2017 doi: 10.1177/0272989X17729376. [DOI] [PubMed] [Google Scholar]
- 15.Minnis AM, Atujuna M, Browne EN, Ndwayana S, Hartmann M, Sindelo S, et al. Preferences for long-acting Pre-Exposure Prophylaxis (PrEP) for HIV prevention among South African youth: results of a discrete choice experiment. J Int AIDS Soc. 2020;23(6):e25528. doi: 10.1002/jia2.25528. [DOI] [PMC free article] [PubMed] [Google Scholar]
- 16.Gafos M, Pool R, Mzimela MA, Ndlovu HB, McCormack S, Elford J, et al. Communication about microbicide use between couples in KwaZulu-Natal, South Africa. AIDS Behav. 2015;19(5):832–846. doi: 10.1007/s10461-014-0965-y. [DOI] [PMC free article] [PubMed] [Google Scholar]
- 17.Lanham M, Wilcher R, Montgomery ET, Pool R, Schuler S, Lenzi R, et al. Engaging male partners in women's microbicide use: evidence from clinical trials and implications for future research and microbicide introduction. J Int AIDS Soc. 2014;17(3 Suppl 2):19159. doi: 10.7448/IAS.17.3.19159. [DOI] [PMC free article] [PubMed] [Google Scholar]
- 18.Pleasants E, Tauya T, Reddy K, Mirembe BG, Woeber K, Palanee-Phillips T, et al. Relationship type and use of the vaginal ring for HIV-1 prevention in the MTN 020/ASPIRE Trial. AIDS Behav. 2020;24(3):866–880. doi: 10.1007/s10461-019-02521-9. [DOI] [PMC free article] [PubMed] [Google Scholar]
- 19.Atkins K, Rucinski K, Mudavanhu M, Holmes L, Mutunga L, Kaufman MR, et al. Sexual relationship types, partner HIV self-testing, and pre-exposure prophylaxis among South African adolescent girls and young women: a latent class analysis. J Acquir Immune Defic Syndr. 2021;86(4):413–421. doi: 10.1097/QAI.0000000000002569. [DOI] [PMC free article] [PubMed] [Google Scholar]
- 20.Roberts ST, Nair G, Baeten JM, Palanee-Philips T, Schwartz K, Reddy K, et al. Impact of male partner involvement on women's adherence to the dapivirine vaginal ring during a phase III HIV prevention trial. AIDS Behav. 2020;24(5):1432–1442. doi: 10.1007/s10461-019-02707-1. [DOI] [PMC free article] [PubMed] [Google Scholar]
- 21.De Bekker-Grob EW, Ryan M, Gerard K. Discrete choice experiments in health economcs: a review of the literature. Health Econ. 2012;21(2):145–172. doi: 10.1002/hec.1697. [DOI] [PubMed] [Google Scholar]
- 22.Uganda Bureau of Statistics (UBOS) and ICF. Uganda demographic and health survey 2016. Kampala, Rockville: UBOS and ICF; 2018.
- 23.Zimbabwe National Statistics Agency and ICF International. Zimbabwe demographic and health survey 2015: final report. Rockville: National Statistics Agency (ZIMSTAT) and ICF International; 2016.
- 24.Coates J, Swindale A, Bilinsky P. Household Food Insecurity Access Scale (HFIAS) for measurement of household food access: indicator guide (v. 3). Washington, D.C.: FHI 360/FANTA; 2007.
- 25.Pulerwitz J, Gortmaker SL, DeJong W. Measuring sexual relationship power in HIV/STD research. Sex Roles. 2000;42(78):637–60. doi: 10.1023/A:1007051506972. [DOI] [Google Scholar]
- 26.García-Moreno C, Jansen HAFM, Ellsberg M, Heise L, Watts C. WHO multi-country study on women's health and domestic violence against women: initial results on prevalence, health outcomes and women's responses. Geneva: World Health Organization; 2005. ISBN 92 4 159358 X.
- 27.Johnson R, Lancsar F, Marshall E. Constructing experimental designs for discrete-choice experiments: report of the ISPOR Conjoint Analysis Experimental Design Good Research Practices Task Force. Value Health. 2013;16:3–13. doi: 10.1016/j.jval.2012.08.2223. [DOI] [PubMed] [Google Scholar]
- 28.Yang J, Johnson FR, Kilambi V, Mohamed A. Sample size and utility-difference precision in discrete-choice experiments: a meta-simulation approach. J Choice Model. 2015;16:50–57. doi: 10.1016/j.jocm.2015.09.001. [DOI] [Google Scholar]
- 29.Orme B. Chapter 7: sample size issues for conjoint analysis. 4. Madison: Research Publishers LLC; 2019. Getting started with conjoint analysis: strategies for product design and pricing research. [Google Scholar]
- 30.Hensher D, Rose J, Greene W. Applied choice analysis: a primer. Cambridge: Cambridge University Press; 2005. [Google Scholar]
- 31.Hauber AGJ, Groothuis-Oudshoorn C. Statistical methods for the analysis of discrete choice experiments: a report of the ISPOR Conjoint Analysis Good Research Practices Task Force. Value Health. 2016;19(4):300–315. doi: 10.1016/j.jval.2016.04.004. [DOI] [PubMed] [Google Scholar]
- 32.Vass C, Gray E, Payne K. Discrete choice experiments of pharmacy services: a systematic review. Int J Clin Pharm. 2015;38:620–630. doi: 10.1007/s11096-015-0221-1. [DOI] [PubMed] [Google Scholar]
- 33.Swait J, Louviere J. The role of the scale parameter in the estimation and comparison of multinomial logit models. J Mark Res. 1993;30:305–314. doi: 10.1177/002224379303000303. [DOI] [Google Scholar]
- 34.Pintye J, O'Malley G, Kinuthia J, Abuna F, Escudero JN, Mugambi M, et al. Influences on early discontinuation and persistence of daily oral PrEP use among Kenyan adolescent girls and young women: a qualitative evaluation from a PrEP Implementation Program. J Acquir Immune Defic Syndr. 2021;86(4):e83–e89. doi: 10.1097/QAI.0000000000002587. [DOI] [PMC free article] [PubMed] [Google Scholar]
- 35.Ahmed Z, Sonfield A. The COVID-19 outbreak: potential fallout for sexual and reproductive health and rights. New York: Guttmacher Institute; 2020. [Google Scholar]
- 36.Riley T, Sully E, Ahmed Z, Biddlecom A. Estimates of the POTENTIAL IMPACT of the COVID-19 pandemic on sexual and reproductive health in low- and middle-income countries. Int Perspect Sex Reprod Health. 2020;46:73–76. doi: 10.1363/46e9020. [DOI] [PubMed] [Google Scholar]
- 37.Minnis AM, Browne EN, Boeri M, Agot K, van der Straten A, Ahmed K, et al. Young women’s stated preferences for biomedical HIV prevention: results of a discrete choice experiment in Kenya and South Africa. J Acquir Immune Defic Syndr. 2019;80(4):394–403. doi: 10.1097/QAI.0000000000001945. [DOI] [PMC free article] [PubMed] [Google Scholar]
- 38.Keogh SC, Otupiri E, Castillo PW, Chiu DW, Polis CB, Nakua EK, et al. Hormonal contraceptive use in Ghana: the role of method attributes and side effects in method choice and continuation. Contraception. 2021;104(3):235–245. doi: 10.1016/j.contraception.2021.05.004. [DOI] [PubMed] [Google Scholar]
- 39.Eakle R, Weatherburn P, Bourne A. Understanding user perspectives of and preferences for oral PrEP for HIV prevention in the context of intervention scale-up: a synthesis of evidence from sub-Saharan Africa. J Int AIDS Soc. 2019;22(Suppl 4):e25306. doi: 10.1002/jia2.25306. [DOI] [PMC free article] [PubMed] [Google Scholar]
- 40.Milford C, Beksinska M, Smit J, Deperthes B. Lubrication and vaginal sex: lubricant use and preferences in general population women and women at risk of HIV. Arch Sex Behav. 2020;49(6):2103–2116. doi: 10.1007/s10508-020-01673-3. [DOI] [PubMed] [Google Scholar]
- 41.Dubov A, Ogunbajo A, Altice FL, Fraenkel L. Optimizing access to PrEP based on MSM preferences: results of a discrete choice experiment. AIDS Care. 2019;31(5):545–553. doi: 10.1080/09540121.2018.1557590. [DOI] [PMC free article] [PubMed] [Google Scholar]
- 42.Kuteesa MO, Quaife M, Biraro S, Katumba KR, Seeley J, Kamali A, et al. Acceptability and predictors of uptake of anti-retroviral pre-exposure prophylaxis (PrEP) among fishing communities in Uganda: a cross-sectional discrete choice experiment survey. AIDS Behav. 2019 doi: 10.1007/s10461-019-02418-7. [DOI] [PubMed] [Google Scholar]
- 43.Eisingerich AB, Wheelock A, Gomez GB, Garnett GP, Dybul MR, Piot PK. Attitudes and acceptance of oral and parenteral HIV preexposure prophylaxis among potential user groups: a multinational study. PLoS ONE. 2012;7(1):e28238. doi: 10.1371/journal.pone.0028238. [DOI] [PMC free article] [PubMed] [Google Scholar]
Associated Data
This section collects any data citations, data availability statements, or supplementary materials included in this article.
Data Availability Statement
Data may be available for research purposes upon written request. All research materials, including the study protocol and data collection instruments, are publicly available on the MTN website (mtnstopshiv.org).


