Abstract
Simple Summary
Due to the rising population, it is necessary to ensure sustainable agricultural management, especially in agricultural production. Therefore, using pesticides is the only way to reach a sufficient number of crops for the human population. However, using these agrochemicals has one big disadvantage—harmful effects on non-target species. Since aquatic ecosystems are essential for biota, fauna, flora, and humans, this study provides information about the toxicity of primary metabolites of commonly used glyphosate and acetochlor herbicides. Generally, it is known that pesticide degradation products may have lower, the same, or even higher toxicity than their parental compounds. Moreover, the developmental stages are more predisposed to be affected by pollution than adults, and consequently, in the worst case, it may affect the whole species population. Due to this reason, we studied the toxicity of these metabolites on embryolarval marbled crayfish—how they can affect their growth, ontogenetic development, behaviour, and gill morphology. Our study revealed that these two metabolites alone induce changes in behaviour, antioxidant enzymes, and gill morphology, even in combination. Nevertheless, there is a gap in the knowledge about pesticides’ metabolite toxicities, a small fraction of the hundreds with potential for entering the aquatic ecosystem. Therefore, chronic toxicity tests are suitable for evaluating the toxicity of aquatic pollution.
Abstract
Degradation products of herbicides, alone and in combination, may affect non-target aquatic organisms via leaching or runoff from the soil. The effects of 50-day exposure of primary metabolites of chloroacetamide herbicide, acetochlor ESA (AE; 4 µg/L), and glyphosate, aminomethylphosphonic acid (AMPA; 4 µg/L), and their combination (AMPA + AE; 4 + 4 µg/L) on mortality, growth, oxidative stress, antioxidant response, behaviour, and gill histology of early life stages of marbled crayfish (Procambarus virginalis) were investigated. While no treatment effects were observed on cumulative mortality or early ontogeny, growth was significantly lower in all exposed groups compared with the control group. Significant superoxide dismutase activity was observed in exposure groups, and significantly higher glutathione S-transferase activity only in the AMPA + AE group. The gill epithelium in AMPA + AE-exposed crayfish showed swelling as well as numerous unidentified fragments in interlamellar space. Velocity and distance moved in crayfish exposed to metabolites did not differ from controls, but increased activity was observed in the AMPA and AE groups. The study reveals the potential risks of glyphosate and acetochlor herbicide usage through their primary metabolites in the early life stages of marbled crayfish.
Keywords: metabolite, herbicide, behaviour, ontogeny, toxicity, crayfish
1. Introduction
Industrial and agricultural technologies can be a source of ecotoxic pesticides and their metabolites occurring in residual concentrations in various environmental compartments [1,2,3]. This is related to the change in pesticide use pattern with the increased cultivation of energy crops, such as maize and rapeseed, rather than traditional crops, such as cereals [4]. Although pesticides are, to a certain extent, removed by biotic and abiotic transformation, a potential risk posed by degradation products remains [5,6], including aquatic ecosystems [2,7,8]. While governmental and non-governmental organizations provide information and regulations on the use and effects of pesticides, gaps exist as to their global distribution and impact. Residual pesticides and their metabolite concentration have been detected in Europe and the United States at ng/L to low µg/L [6], and greater than 10 mg/L concentrations [9] lead to ecotoxicological concerns. When chemicals occur in combination, the toxicity of their metabolites may equal or exceed that of the parent compounds [10,11].
Acetochlor ethane sulfonic acid (ESA) is a primary metabolite of mutagenic chloroacetamide herbicide. Based on evidence showing reproductive and developmental impacts [12], acetochlor was banned in the Czech Republic in 2014 [13]. It is still applied on crop fields [14] in the USA and China to control grasses and selected broadleaf weeds [15]. Residual concentrations of parental compound acetochlor occurring in USA waters ranged from 2.11 [16] to 6.08 μg/L [17], and in China, from 0.0179 to 1.0549 μg/L [18,19]. However, its metabolite ESA is easily soluble in water, and due to leaching from the soil, it is commonly detected more frequently and even with higher concentrations [20,21,22,23,24,25,26,27,28,29,30]. More recent detailed information about detecting ESA in waters of countries still acetochlor is missing in the literature. However, in the Czech Republic, residual concentrations of ESA are detected in drinking water in a range of 0.14 to 0.24 μg/L [31]. Next, in surface waters, a maximum concentration in spring of 0.4 μg/L and autumn of 0.36 μg/L has previously been recorded [32]. The Kodeš [33] reported a maximal concentration of 4.19 μg/L in the waters of the Czech Republic.
The residual concentrations of acetochlor and its metabolite occurrence in aquatic ecosystems may induce adverse effects in non-target aquatic organisms. For example, acetochlor affects thyroid hormone levels [34,35,36], oxidative stress [37,38], antioxidant enzymes levels [39,40], histology [39,41], early development [34,35,37,39,42], immune system [42], and behaviour [38,41]. Moreover, acetochlor can be accumulated in organisms, posing a risk to the entire ecosystem through the food web [40]. Compared with acetochlor, there are minimal data about the potential health effects of ESA. According to the Minnesota Department of Health [43], short-term and longer-term animal studies showed that exposure to ESA led to changes in thyroid hormones, and high doses affected the male reproductive system. Longer-term animal studies also showed changes in overall body weight. Based on animal studies, acetochlor ESA appears less potent than the parent compound acetochlor. Further, the U.S. EPA [44] considers acetochlor metabolites unlikely to be carcinogenic and significantly less toxic.
Aminomethylphosphonic acid (AMPA) is a significant metabolite of glyphosate-based herbicides (GBH), belonging to a chemical group called aminomethylenephosphonates. In addition to GBHs, sources of AMPA in the environment include chemicals used in water treatment [45,46], detergents, and chemicals used in industrial boilers and cooling devices. Glyphosate-based herbicides are broad-spectrum systematic herbicides and crop desiccants, primarily used on cereal grains, maize, and rapeseed [46,47]. Aminomethylphosphonic acid, with a half-life of 76 to 240 days, shows the maternal glyphosate’s toxicity three- to six-fold [48]. The presence of AMPA is commonly reported in freshwaters, sediment, and suspended particulates [45,49], more frequently than in glyphosates [47,49,50]. Maximum reported concentrations of AMPA were 44 μg/L in the Lauch River (France), 5.7 μg/L in the south fork of the Iowa River (Iowa, USA), and 2.6 μg/L in the Bogue Phalia River (Mississippi, USA) [51]. Other studies from the US report a maximum concentration of AMPA in vernal pools above 3 μg/L, in streams of 0.22 and 3.6 μg/L, and treated wastewater of 3.9 μg/L [49,50,52,53].
Concentrations used in several studies were usually 100- to 1000-times the predicted environmental surface water at low concentrations of AMPA [49]. Nonetheless, exposure to AMPA may cause physiological changes in aquatic invertebrate species, fish, and amphibians [54]. For example, an acute toxicity value was established for guppy Poecilia reticulata of 180 mg/L [55]. Chronic exposure to AMPA of fathead minnow Pimephales promelas and Daphnia magna were studied by Levine et al. [46]. They reported a no-observed-effect concentration (NOEC) of 12 mg/L for fathead minnow and 15 mg/L for D. magna.
It is generally known that metabolite toxicities may be similar to or even higher than their parental compounds. As mentioned above, several toxicity studies have already investigated the individual effects of AMPA and acetochlor. Nevertheless, the mixture of AMPA and ESA, which are commonly presented in the environment, and their parental compound [33,49,56,57,58,59] effects on aquatic non-target organisms are still unknown. Therefore, it is necessary to investigate their toxicity to non-target aquatic organisms under similar exposure conditions. Crayfish are one of the most environmentally significant species in aquatic ecosystems and the food web. Further, these species play an essential role as bioindicators in toxicology studies of water pollution [60]. The metabolism of many xenobiotics is slower in invertebrates than in fish [61,62], and, consequently, invertebrates retain higher contaminant residue levels [63]. Currently, information on the toxicity of these metabolites to early life stages of crayfish is scant, both of short-term acute impact as well as their chronic effects, potentially of greater concern. Ecotoxicity analyses using appropriate biomarkers and indicators to identify the effects of toxic substances in natural populations are needed.
This study aimed to assess the effects of acetochlor ESA and AMPA, and their combination, at environmental concentrations on early life stages of marbled crayfish Procambarus virginalis, concerning (1) mortality, (2) growth, (3) ontogenetic development, (4) behaviour, (5) oxidative stress response and antioxidant biomarkers, and (6) histology.
2. Materials and Methods
2.1. Test Substances
The tested metabolites were purchased from Sigma-Aldrich Corporation (St. Louis, MO, USA): acetochlor ESA (chemical purity 98.6%; CAS: 947601-84-5) and AMPA (chemical purity 98.5%, CAS: 1066-51-9).
Before and after solution exchange, liquid chromatography-electrospray ionization-mass spectrometry was used to check ESA and AMPA concentrations according to Aparicio et al. [64] and Yokley et al. [65], respectively. Measured values did not differ from the nominal concentration by more than ±10% for acetochlor ESA and ±13% for AMPA.
2.2. Test Organism
Juveniles from a single parthenogenetically reproducing marbled crayfish (Procambarus virginalis) female (carapace length 49.5 mm, and weight 26.6 g) were used. The parent crayfish originated from the laboratory culture of the Faculty of Fisheries and Protection of Waters at the University of South Bohemia in Ceske Budejovice (Czech Republic).
2.3. Experimental Protocol
First, 288 stage three juveniles (mean weight 6.81 mg) were divided into three experimental groups and a control group (each n = 36/group) and subjected to exposures as follows:
AE: 4.0 µg/L acetochlor ESA
AMPA: 4.0 µg/L aminomethylphosphonic acid
AE + AMPA: (4.0 µg/L AE + 4.0 µg/L AMPA)
Control just 20 mL tap water only.
Chemicals were used at concentrations reported in Czech waters by Kodeš [33], considering published concentrations previously mentioned. All treatments were performed in duplicate.
Crayfish were individually placed into three macroplates (12 crayfish per each) with 35 mL wells per group with a light regime of 12 h:12 h light:dark. Exchanging of water was maintained thrice per week by gentle water draining from each well, and then a new solution was added.
During the experiment, water quality parameters (t 20.8–21.2 °C, DO > 95%, pH 7.75–8.03) were measured daily by multimeter SI Analytics ProLab 2000 (SCHOTT Instruments, Germany) and Minikin loggers (Environmental Measuring Systems, Brno, Czech Republic). Daily mortality and moulting were noticed, as well as providing feed ad libidum (freshly hatched Artemia sp. nauplii) to crayfish. Dead specimens and crayfish’s ecdysis were removed to avoid organic pollution of waters. Due to safe manipulation, each developmental stage of individual crayfish was measured on the second day after moulting (reaching partial calcification of the exoskeleton). The test was terminated at 50 days. Surviving specimens were observed for behaviour patterns, after which they were weighed, killed by ice anaesthesia [66,67] and stored at −80 °C for further processing or histopathological observation.
2.4. Tested Parameters
2.4.1. Growth Rate
Crayfish were weighed on a Mettler-Toledo (Greifensee, Switzerland) analytical balance two days after moulting and after 50 days. The mean specific growth rate (SGR) was calculated for the period from day five (M5, first samples taken) through day 50 (M50, end of the experiment). Data of experimental treatments were compared with those of controls according to OECD Guideline for testing of chemicals protocol no. 215 [68].
The inhibition of specific growth rate in each experimental group was calculated using the following formula according to OECD number 215 [68]:
where is = inhibition of specific growth in selected experimental group after days of exposure, = mean specific growth rate in the control group, and = mean specific growth rate in selected experimental group.
2.4.2. Early Ontogeny
Occurrence of body deformities and morphological anomalies, such as deformed pereiopods and walking legs, lacking the uropods, and degree of ontogenetic development, were assessed according to Vogt [69].
2.4.3. Behaviour
The behaviour of surviving juveniles was evaluated following the protocol by Velisek et al. [11]. Briefly, crayfish were recorded in 50 mL of the specific bath according to experimental groups for 60 min using a digital video camera (Sony HDR-CX240, Sony, Japan) attached above arenas. Locomotion, including distance, moved (cm), activity (percentage of time locomotion was detected), and velocity (cm/s) were estimated with EthoVision® XT 15 software (Noldus Information Technology, Wageningen, The Netherlands).
2.4.4. Oxidative Stress and Antioxidant Biomarkers
For assessment of oxidative stress and antioxidant enzymes, at the end of the trial, the entire bodies of two crayfish in six repetitions from each group were homogenized and pooled and prepared for analysis following Stara et al. [70]. First, pooled samples were weighed, combined with phosphate-buffered saline (PBS, pH 7.2) at 1 mL PBS/100 mg tissue, and homogenized using a ball homogenizer (TissueLyserII, QIAGEN®). Except for lipid peroxidation (LPO), evaluated according to Lushchak et al. [71], the homogenates were centrifuged at 30,000× g at 4 °C for 30 min for parameters superoxide dismutase (SOD; EC 1.15.1.1) and catalase (CAT; EC 1.11.1.6), and at 10,000× g for 15 min at 4 °C for glutathione S-transferase (GST; EC 2.5.1.18) and acetylcholinesterase (AChE; EC 3.1.1.7.) following protocols by Marklund and Marklund [72], Beers and Sizer [73], Habig et al. [74], and Ellman et al. [75]. Every sample was spectrophotometrically measured in three repetitions with plate reader M200 (Switzerland). Prior to the enzyme analyses, protein levels were determined according to Bradford [76], and biomarkers are expressed in international units (miliunits) per mg of protein.
2.4.5. Histology
The six crayfish from each group were routinely processed for histology and interpreted according to Ceccaldi [77]. Briefly, tissues were fixed in 10% buffered formalin for 24 h and decalcified for 4 h (slow decalcifier DC1; containing formic acid and formaldehyde, Labonord SAS, Templemars, France), processed in Histomaster 2052/1,5, and embedded in paraffin. Five μm sections were cut on a rotary microtome (LS-2065A) and stained with haematoxylin-eosin (Tissue-Tek® DRS™ 2000, Sekura, Finetek U.S.A.). Hepatopancreas and gill were examined by light microscopy and photographed (E-600 Olympus BX51, Tokyo, Japan). Sections were scored as (0) no pathology; (1) pathology in ≤20% of the fields; (2) pathology in 20–60% of the fields; and (3) pathology in >60% of the fields.
2.5. Statistical Analysis
Contingency tables (χ2) analysis was used for cumulative mortality data. Normality and homoscedasticity of variance were checked with the Kolmogorov–Smirnov test and Bartlett’s test, respectively. The differences in measured variables among groups were evaluated with a one-way ANOVA if conditions were satisfied. After difference detection (p < 0.05), the Tukey Unequal N HSD test was used. The histopathological score (0–3) was determined for each crayfish and organs examined and statistically analysed using a nonparametric Kruskal–Wallis test using Statistica v. 12.0 for Windows (StatSoft, version 12.0).
3. Results
3.1. Cumulative Mortality and Growth
No significant differences (H = 2.61, p = 0.231) among groups were found in cumulative mortality. Mortality was 16.7 ± 1.0% in the control, 13.9 ± 1.20% in AE, 11.1 ± 0.90% in AMPA, and 19.4 ± 0.80% in AE + AMPA.
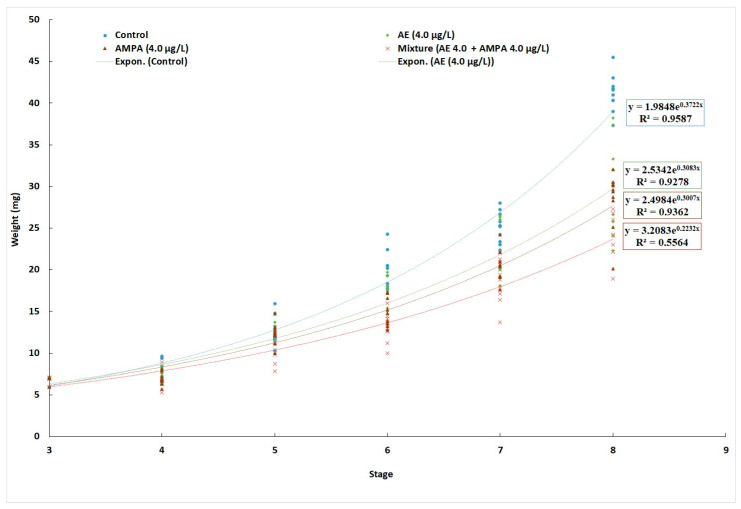
From developmental stage V, the exposed groups showed significantly (H = 9.49, p = 0.008) lower weight compared with the control (Figure 1). Specific growth rates are given in Table 1. Inhibition of growth with exposure to AE, AMPA, and AE + AMPA was 9.13, 10.96, and 13.93% compared to control, respectively.
Figure 1.
Body weight of early life stages of marbled crayfish Procambarus virginalis during 50-day exposure to acetochlor ESA (AE; 4.0 µg/L; N = 31), aminomethylphosphonic acid (AMPA; 4.0 µg/L; N = 32) and their combination (AE; 4.0 µg/L + AMPA; 4.0 µg/L; N = 29) and in control (no exposure, N = 30).
Table 1.
Body weight of early life stages of marbled crayfish Procambarus virginalis during a 50-day exposure to acetochlor ESA (AE, N = 31) at 4.0 µg/L, aminomethylphosphonic acid (AMPA, N = 32) at 4.0 µg/L and their combination (AE + AMPA, N = 29) each at 4.0 µg/L, and in control (no exposure, N = 30); different superscripts indicate significant difference among groups (p < 0.01).
| Treatment | Control (0 µg/L) |
AE (4.0 µg/L) |
AMPA (4.0 µg/L) |
AE + AMPA (4.0 µg/L + 4.0 µg/L) |
|---|---|---|---|---|
| M5 (Mean ± SD), mg | 7.94 ± 1.05 a | 7.55 ± 0.81 a | 7.66 ± 1.24 a | 7.40 ± 1.10 a |
| M50 (Mean ± SD), mg | 45.33 ± 3.52 a | 37.73 ± 7.96 b | 36.18 ± 4.50 b | 34.11 ± 8.74 b |
| SGR | 4.38 ± 0.08 a | 3.98 ± 0.10 b | 3.90 ± 0.09 b | 3.77 ± 0.12 b |
3.2. Early Ontogeny
Exposure to AE, AMPA, and AE + AMPA showed no significant ((H = 4.13, p = 0.221) effects on crayfish’s early ontogeny. After the trial, most crayfish in all groups reached stage VIII (Figure 2).
Figure 2.
Marbled crayfish Procambarus virginalis developmental stages during 50-day exposure to acetochlor ESA (AE, 4.0 µg/L, N = 31), aminomethylphosphonic acid (AMPA, 4.0 µg/L, N = 32), and their combination (AE, 4.0 µg/L + AMPA, 4.0 µg/L, N = 29), and in control (no exposure, N = 30.
3.3. Behaviour
No significant differences were detected in pesticide-exposed crayfish groups compared with controls in the distance moved (H = 4.68, p = 0.196) or velocity (H = 6.93, p = 0.074) (Figure 3A,B). Crayfish exposed to AMPA and AE exhibited increased activity compared to control (H = 13.00, p = 0.005), while AE + AMPA was not significantly different (Figure 3C).
Figure 3.
Distance moved (A), velocity (B), and activity (C) of the marbled crayfish Procambarus virginalis in untreated controls (N = 30) and groups exposed to acetochlor ESA (AE, 4.0 µg/L, N = 31), aminomethylphosphonic acid (AMPA, 4.0 µg/L, N = 32) and their combination (AE, 4.0 µg/L + AMPA, 4.0 µg/L, N = 29); different superscripts indicate significant difference among groups (p < 0.01). Data are means ± S.D.
3.4. Oxidative Stress and Antioxidant Response
Evidence of the effects of AE, AMPA, and AE + AMPA on oxidative stress and antioxidant responses in the whole-body homogenate of juvenile crayfish is presented in Table 2. Crayfish in all exposed groups showed significantly (H = 9.71 p = 0.006) higher SOD activity compared to controls, and those exposed to AE + AMPA showed significantly ((H = 9.68, p = 0.007) higher GST compared to controls. No significant differences among groups were observed in TBARS level, CAT activity, or AChe value.
Table 2.
Antioxidant and oxidative biomarkers in whole-body homogenates of marbled crayfish Procambarus virginalis (N = 12) after 50-day exposure to acetochlor ESA (AE), aminomethylphosphonic acid (AMPA) and their combination (AE + AMPA); different superscripts indicate significant difference among groups (p < 0.01). Data are means ± S.D.
| Treatment | Control (0 µg/L) |
AE (4.0 µg/L) |
AMPA (4.0 µg/L) |
AE + AMPA (4.0 µg/L + 4.0 µg/L) |
|---|---|---|---|---|
| TBARS (nmol/mg protein) | 0.214 ± 0.006 a | 0.246 ± 0.018 a | 0.247 ± 0.017 a | 0.219 ± 0.036 a |
| SOD (nmol/min/mg protein) | 0.060 ± 0.031 a | 0.199 ± 0.037 b | 0.205 ± 0.054 b | 0.136 ± 0.046 b |
| CAT (µmol/min/mg protein) | 0.326 ± 0.047 a | 0.406 ± 0.031 a | 0.424 ± 0.080 a | 0.387 ± 0.058 a |
| GST (nmol/min/mg protein) | 1.109 ± 0.038 a | 1.384 ± 0.229 ab | 1.416 ± 0.187 ab | 1.762 ± 0.576 b |
| AChE (nmol/min/mg protein) | 8.753 ± 1.921 a | 9.176 ± 4.658 a | 5.358 ± 1.794 a | 10.663 ± 3.270 a |
3.5. Histology
The gill morphology of control, AE, and AMPA groups was similar, while moderate pathology was apparent in the AE + AMPA group (histopathological score median = 2), consisting of focal swelling of the epithelium with numerous unidentified fragments in interlamellar space (Figure 4). Hepatopancreas tissue in exposed groups did not differ from control.
Figure 4.
Transverse and longitudinal section of juvenile marbled crayfish Procambarus virginalis gill (N = 6; 200×). (A) gill of control crayfish; (B) gill of crayfish exposed to AE, 4.0 µg/L + AMPA, 4.0 µg/L for 50 days, with the most pronounced changes represented by swelling of gill epithelium (arrows) and unidentified fragments in interlamellar space (asterisk)—histopathological score 2.
4. Discussion
Xenobiotic substances, including parent compounds and their metabolites in aquatic ecosystems, may cause developmental delay, malformations, behaviour changes, and mortality in non-target organisms [41,78,79]. Our study focused on crayfish, which play a crucial role in aquatic ecosystems in food web energy transport [80]. Assessment of the effects of chronic exposure, as opposed to acute, provides a greater range of information with respect to the impact of a given compound on non-target organisms. As the general assumption is that herbicide degradation products may have short- and long-term effects like their parent compounds [26], and data on the toxicity of AMPA and EA on aquatic invertebrates are minimal, the results of this study are discussed in light of the available published information of the tested metabolites, their parent compounds, and other herbicides.
As expected, according to available studies, no significant differences in cumulative mortality were detected among the tested groups. By contrast, the 24 and 96 h LC50 values of the herbicide acetochlor were published by Yu et al. [41] for red swamp crayfish (Procambarus clarkii) at 145.24 and 191.25 mg/L, respectively. It is reported to exert toxic effects on red swamp crayfish, including loss of balance, body sway, and lethargy [41]. AMPA was not shown to be acutely toxic to zebrafish Danio rerio embryos at concentrations of 1.7, 5, 10, 23, 50, or 100 mg/L in 50–96 h trials [81]. The cited authors reported AMPA toxicity like that of glyphosate. Fiorino et al. [82] observed cumulative mortality ≤ 10% after 96 h exposure of Danio rerio embryos to glyphosate at 50 mg/L. Lethal concentrations of the AE and AMPA metabolites were determined to be 100- to 1000-times that predicted in environmental surface water [12]. We found no reports of mortality induced by acetochlor ESA in the literature.
We observed the body weight of all exposed crayfish groups at the fifth developmental stage to be significantly lower than that of the control group. In contrast, Levine et al. [46], for 21 days of exposure to AMPA (0.75 mg/L, 1.5 mg/L, 3.0 mg/L, 6.0 mg/L, and 12), reported no effect on the growth of D. magna (NOEC 15 mg/L) or P. promelas embryos (NOEC 12 mg/L). Impacts on growth have been commonly observed in the early life stages of crayfish exposed to pesticides and their metabolites [11,41,83,84] as well as in the early life stages of fish [1,84]. These and our results imply that growth is a more sensitive parameter than mortality. Retarded growth could be explained by diverting energy to essential physiological and biochemical processes in tissues [42,85,86,87].
Early ontogenetic development is considered a sensitive biomarker for examining the impacts of pesticides on fish [42,87,88] and crayfish [89,90]. However, in our study, crayfish’s early ontogeny did not show potential as a biomarker for monitoring AMPA and AE metabolites in the aquatic environment, as no exposure showed adverse effects on the ontogeny of marbled crayfish. This was similar to observations of chronic exposure to chloridazon residues [11] and triazine metabolites [91] on marbled crayfish. The early life stages of crayfish are more susceptible to water pollution, nutritional deprivation, and predation than adults, in both natural and cultured conditions [69]. Xenobiotic impact on mortality, growth, and the early ontogeny of aquatic organisms may be species-dependent [55,87] and related to their combinations [41].
The study follows previous research [89,90] exploring pesticide-specific effects on the behaviour of marbled crayfish as a model invertebrate under defined consistent conditions. The observations confirm that low concentrations of herbicides can have considerable consequences. Significant differences in AMPA- and AE-exposed groups from control and AE + AMPA crayfish activity suggest the potential of both metabolites to change locomotor behaviour. These alterations could affect energy use, leading to a shorter life span in more active individuals [92]. More active animals are also at increased predation risk, especially a factor in invaded ecosystems. The higher activity of non-native crayfish, usually associated with altered foraging behaviour, may place food resources under significantly more pressure [93] and alter ecosystem functioning [94]. The elevated activity can lead to the breakdown of food webs, biodiversity loss, and ecosystem instability [95,96].
Oxidative stress biomarkers are widely used for monitoring the aquatic environment [97,98]. The responses of an organism to xenobiotics may depend on its ability to neutralize reactive oxygen species (ROS) [70,99]. A high level of ROS in tissue may constitute a predisposition to intracellular damage because of membrane lipid peroxidation as well as DNA and protein injury, resulting in oxidative stress and, potentially, mortality [100,101]. Crayfish exposed to AMPA, AE, and their combination showed significantly (p < 0.01) higher SOD activity than did the control group. Those exposed to the variety showed significantly (p < 0.01) higher GST levels compared to controls. We did not find lipid peroxidation levels indicative of oxidative damage in any exposure group, suggesting that SOD and GST are the primary detoxifying antioxidants of AMPA and AE in the early life stages of crayfish, contributing to maintaining oxidative balance and preventing lipid peroxidation damage. Changes in antioxidant defence and maintenance of cell balance without effects on lipid peroxidation levels have been described in the homogenate of crayfish exposed to pesticides [11,90,102]. In other studies [70,103,104,105,106], increased TBARS levels usually indicated oxidative stress. These studies found oxidative damage in individual tissues of fish and crayfish, most commonly in the liver/hepatopancreas. It is the main organ of absorption, digestion, and storage of nutrients and is the main organ of xenobiotic detoxification, while oxidative damage to muscle after pesticide exposure is rarely found [70].
The gills of crayfish play an essential role in the transport of respiratory gases, nitrogen compound excretion, and osmoregulation. Gills are the initial barriers to waterborne pollutants. We observed swelling in the gill epithelium in groups exposed to AE + AMPA. These changes can result in reduced oxygen intake and disruption of osmoregulatory function. A pronounced decrease in oxygen consumption may lead to internal hypoxia, with effects on metabolism and locomotion [107]. In a persistent hypoxic state, many crustaceans adapt movements to reduce the oxygen consumed by muscles, shifting the available oxygen to the metabolism [108]. No histopathological changes were found in hepatopancreas tissues, suggesting that an antioxidant defensive system based mainly on enzymatic components, such as superoxide dismutase, catalase, and glutathione S-transferase sufficiently protects the cells themselves from ROS-induced cellular damage [109].
5. Conclusions
Exposure to the metabolites acetochlor ESA and AMPA, alone and in combination, can reduce growth but increase antioxidant enzyme levels in the early developmental stages of marbled crayfish. Combined exposure of acetochlor ESA and AMPA cause focal swelling in the gill epithelium with cell fragments in the interlamellar space in marbled crayfish.
This study examined only two herbicide metabolites, a small fraction of the hundreds with potential for entering the aquatic ecosystem, the toxic effects of which can be potentiated with combined exposures.
The study of herbicide metabolite toxicity is helpful in screening for chronic impacts of single and combined metabolites on early life stages of crayfish as a model non-target organism. Generally, lethal effects are only seen with pesticides at high levels. However, studying the long-term impacts of real environmental concentrations provides more pertinent information. Therefore, chronic toxicity tests should be a prerequisite when evaluating xenobiotics’ environmental effects on aquatic pollution.
Author Contributions
Conceptualization, A.K. and J.K.; Formal analysis, N.T., J.K., A.S., E.Z. and J.V.; Investigation, Investigation, N.T., J.K., A.S., A.K. and J.V.; Methodology, A.K. and J.V.; Supervision, C.F., A.K. and J.V.; Visualization, N.T., J.K. and J.V.; Writing—original draft, N.T.; Writing—review and editing, J.K., A.S., E.Z., C.F., A.K. and J.V. All authors have read and agreed to the published version of the manuscript.
Institutional Review Board Statement
This study did not require ethical approval for human ethics. The experiment was conducted according to the principles of the Institutional Animal Care and Use Committee (IACUC) of the University of South Bohemia based on the EU harmonized Animal Welfare Act of the Czech Republic and approved by the Departmental Expert Committee for Authorization of Experimental Projects of the Ministry of Education, Youth, and Sports of the Czech Republic (permit MSMT 6744/2018-4).
Informed Consent Statement
Not applicable.
Data Availability Statement
The data in this study are available upon request from the first author.
Conflicts of Interest
The authors declare that they have no known competing financial interest or personal relationships that could have appeared to influence the work reported in this paper.
Funding Statement
The study was financially supported by the Ministry of Agriculture of the Czech Republic—project No. QK1910282.
Footnotes
Publisher’s Note: MDPI stays neutral with regard to jurisdictional claims in published maps and institutional affiliations.
References
- 1.Koutnik D., Stara A., Velisek J. The effect of selected triazines on fish: A review. Slov. Vet. Res. 2015;52:107–131. [Google Scholar]
- 2.Sharma S., Dar O.I., Singh K., Kaur A., Faggio C. Triclosan elicited biochemical and transcriptomic alternations in Labeo rohita larvae. Environ. Toxicol. Pharmacol. 2021;88:103748. doi: 10.1016/j.etap.2021.103748. [DOI] [PubMed] [Google Scholar]
- 3.Yalsuyi A.M., Vajargah M.F., Hajimoradloo A., Galangash M.M., Prokić M.D., Faggio C. Evaluation of behavioral changes and tissue damages of common carp (Cyprinus carpio) after exposure to herbicide-glyphosate. Vet. Sci. 2021;8:218. doi: 10.3390/vetsci8100218. [DOI] [PMC free article] [PubMed] [Google Scholar]
- 4.Foley M.E., Sigler V., Gruden C.L. A multiphasic characterization of the impact of the herbicide acetochlor on freshwater bacterial communities. ISME J. 2008;2:56–66. doi: 10.1038/ismej.2007.99. [DOI] [PubMed] [Google Scholar]
- 5.Al-Mamun A. Pesticide Degradations Resides and Environmental Concerns. In: Khan M.S., Rahman M.S., editors. Pesticide Residue in Foods: Sources, Management, and Control. Springer International Publishing AG; Cham, Switzerland: 2017. pp. 87–102. [DOI] [Google Scholar]
- 6.Fenner K., Canonica S., Wackett L.P., Elsner M. Evaluating Pesticide Degradation in the Environment: Blind Spots and Emerging Opportunities. Science. 2013;341:752–758. doi: 10.1126/science.1236281. [DOI] [PubMed] [Google Scholar]
- 7.Vajargah M.F., Namin J.I., Mohsenpour R., Yalsuyi A.M., Prokić M.D., Faggio C. Histological effects of sublethal concentrations of insecticide Lindane on intestinal tissue of grass carp (Ctenopharyngodon idella) Vet. Res. Commun. 2021;45:373–380. doi: 10.1007/s11259-021-09818-y. [DOI] [PubMed] [Google Scholar]
- 8.Stara A., Pagano M., Albano M., Savoca S., Di Bella G., Albergamo A., Koutkova Z., Sandova M., Velisek J., Fabrello J., et al. Effects of long-term exposure of Mytilus galloprovincialis to thiacloprid: A multibiomarker approach. Environ. Pollut. 2021;289:117892. doi: 10.1016/j.envpol.2021.117892. [DOI] [PubMed] [Google Scholar]
- 9.Riahi B., Rafatpanah H., Mahmoudi M., Memar B., Brook A., Tabasi N., Karimi G. Immunotoxicity of paraquat after subacute exposure to mice. Food Chem. Toxicol. 2010;48:1627–1631. doi: 10.1016/j.fct.2010.03.036. [DOI] [PubMed] [Google Scholar]
- 10.Ceyhun S.B., Senturk M., Ekinci D., Erdoğan O., Çiltas A., Kocaman E.M. Deltamethrin attenuates antioxidant defense system and induces the expression of heat shock protein 70 in rainbow trout. Comp. Biochem. Physiol. C Toxicol. Pharmacol. 2010;152:215–223. doi: 10.1016/j.cbpc.2010.04.008. [DOI] [PubMed] [Google Scholar]
- 11.Velisek J., Stara A., Kubec J., Zuskova E., Buric M., Kouba A. Effects of metazachlor and its major metabolite metazachlor OA on early life stages of marbled crayfish. Sci. Rep. 2020;10:875–879. doi: 10.1038/s41598-020-57740-1. [DOI] [PMC free article] [PubMed] [Google Scholar]
- 12.Lewis K.A., Tzilivakis J., Warner D.J., Green A. An international database for pesticide risk assessments and management. Hum. Ecol. Risk Assess. Int. J. 2016;22:1050–1064. doi: 10.1080/10807039.2015.1133242. [DOI] [Google Scholar]
- 13.Ministry of Agriculture of Czech Republic Register of Plant Protection Products. [(accessed on 12 April 2021)]. Available online: http://eagri.cz/public/app/eagriapp/POR/
- 14.Minnesota Department of Agriculture Acetochlor—General Information. [(accessed on 12 April 2021)]. Available online: https://www.mda.state.mn.us/acetochlor-general-information.
- 15.Zhan H., Feng Y., Fan X., Chen S. Recent advances in glyphosate biodegradation. Appl. Microbiol. Biotechnol. 2018;102:5033–5043. doi: 10.1007/s00253-018-9035-0. [DOI] [PubMed] [Google Scholar]
- 16.United States Environmental Protection Agency . ARP GW Raw Data: Supporting and Related Materials. USEPA; Washington, DC, USA: 2007. Document ID: EPA-HQ-OPP-2007-0725-0018. [Google Scholar]
- 17.United States Environmental Protection Agency . Raw Data for Graphs of Detections of Acetochlor in Drinking Water Wells: USEPA Document Type: Supporting and Related Materials. USEPA; Washington, DC, USA: 2007. Document ID:EPA-HQ-OPP-2007-0725-0030. [Google Scholar]
- 18.Fu L., Lu X., Tan J., Wang L., Chen J. Multiresidue determination and potential risks of emerging pesticides in aquatic products from Northeast China by LC–MS/MS. J. Environ. Sci. (China) 2018;63:116–125. doi: 10.1016/j.jes.2017.09.010. [DOI] [PubMed] [Google Scholar]
- 19.Tang X.-Y., Yang Y., Tam N.F.-Y., Tao R., Dai Y.-N. Pesticides in three rural rivers in Guangzhou, China: Spatiotemporal distribution and ecological risk. Environ. Sci. Pollut. Res. Int. 2019;26:3569–3577. doi: 10.1007/s11356-018-3808-y. [DOI] [PubMed] [Google Scholar]
- 20.Battaglin W., Furlong E., Burkhardt M., Peter C. Occurrence of sulfonylurea, sulfonamide, imidazolinone, and other herbicides in rivers, reservoirs and ground water in the Midwestern United States, 1998. Sci. Total Environ. 2000;248:123–133. doi: 10.1016/S0048-9697(99)00536-7. [DOI] [PubMed] [Google Scholar]
- 21.Boyd R.A. Herbicides and herbicide degradates in shallow groundwater and the Cedar River a municipal well field, Cedar Rapids, Iowa. Sci. Total Environ. 2000;248:241–253. doi: 10.1016/S0048-9697(99)00546-X. [DOI] [PubMed] [Google Scholar]
- 22.Dictor M.-C., Baran N., Gautier A., Mouvet C. Acetochlor mineralization and fate of its two major metabolites in two soils under laboratory conditions. Chemosphere. 2008;71:663–670. doi: 10.1016/j.chemosphere.2007.10.066. [DOI] [PubMed] [Google Scholar]
- 23.de Guzman N.P., Hendley P., Gustafson D.I., van Wesenbeeck I., Klein A.J., Fuhrman J.D., Travis K., Simmons N.D., Teskey W.E., Durham R.B. The Acetochlor Registration Partnership State Ground Water Monitoring Program. J. Environ. Qual. 2005;34:793–803. doi: 10.2134/jeq2003.0412. [DOI] [PubMed] [Google Scholar]
- 24.Janniche G.S., Mouvet C., Albrechtsen H.-J. Acetochlor sorption and degradation in limestone subsurface and aquifers. Pest. Manag. Sci. 2010;66:1287–1297. doi: 10.1002/ps.2011. [DOI] [PubMed] [Google Scholar]
- 25.Kalkhoff S.J., Kolpin D.W., Thurman E.M., Ferrer I., Barcelo D. Degradation of chloroacetanilide herbicides: The prevalance of sulfonic and oxanilic acid metabolites in lowa groundwaters and surface waters. Environ. Sci. Technol. 1998;32:1738–1740. doi: 10.1021/es971138t. [DOI] [Google Scholar]
- 26.Kolpin D.W., Thurman E.M., Linhart S.M. The environmental occurrence of herbicides: The importance of degradates in ground water. Arch. Environ. Contam. Toxicol. 1998;35:385–390. doi: 10.1007/s002449900392. [DOI] [PubMed] [Google Scholar]
- 27.Kolpin D., Thurman E.M., Linhart S. Finding minimal herbicide concentrations in ground water? Try looking for their degradates. Sci. Total Environ. 2000;248:115–122. doi: 10.1016/S0048-9697(99)00535-5. [DOI] [PubMed] [Google Scholar]
- 28.Liu J., Bao Y., Zhang X., Zhao S., Qiu J., Li N., He J. Anaerobic biodegradation and detoxification of chloroacetamide herbicides by a novel Proteiniclasticum sediminis BAD-10T. Environ. Res. 2022;209:112859. doi: 10.1016/j.envres.2022.112859. [DOI] [PubMed] [Google Scholar]
- 29.Mills P.C., Kolpin D.W., Scribner E.A., Thurman E.M. Herbicides and Degradates in Shallow Aquifers of Illinois: Spatial and Temporal Trends. J. Am. Water Resour. Assoc. 2005;41:537–547. doi: 10.1111/j.1752-1688.2005.tb03753.x. [DOI] [Google Scholar]
- 30.Postle J.K., Rheineck B.D., Allen P.E., Baldock J.O., Cook C.J., Zogbaum R., Vandenbrook J.P. Chloroacetanilide Herbicide Metabolites in Wisconsin Groundwater: 2001 Survey Results. Environ. Sci. Technol. 2004;38:5339–5343. doi: 10.1021/es040399h. [DOI] [PubMed] [Google Scholar]
- 31.Satin S. I V Roce 2016 Jsme Pili Vodu S Překročeným Limitem Pro Metabolit Pesticide Acetochlor ESA. [(accessed on 11 April 2021)]. Available online: https://zivotniprostrediotrokovic.webnode.cz/news/i-v-roce-2016-jsme-pili-vodu-s-prekrocenym-limitem-pro-metabolit-pesticitu-acetochlor-esa/
- 32.Moulisová A., Bendakovská L., Kožíšek F., Vavrouš A., Jeligová H., Kotal F. Pesticidy a jejich metabolity v pitné vodě. Jaký je současný stav v České Republice? Vodn. Hospodářství. 2017;68:4–10. [Google Scholar]
- 33.Kodeš V., Pesticidy v podzemních vodách ČR Czech Hydrometeorological Institute: Department of Water Quality. [(accessed on 12 April 2021)]. Available online: https://www.crystalwater.sk/wp-content/uploads/sites/12/2017/11/chmu-pesticidy-podzemne-vody-cr.pdf.
- 34.Crump D., Werry K., Veldhoen N., Van Aggelen G., Helbing C.C. Exposure to the herbicide acetochlor alters thyroid hormone-dependent gene expression and metamorphosis in Xenopus Laevis. Environ. Health Perspect. 2002;110:1199–1205. doi: 10.1289/ehp.021101199. [DOI] [PMC free article] [PubMed] [Google Scholar]
- 35.Xu C., Sun X., Niu L., Yang W., Tu W., Lu L., Song S., Liu W. Enantioselective thyroid disruption in zebrafish embryo-larvae via exposure to environmental concentrations of the chloroacetamide herbicide acetochlor. Sci. Total Environ. 2019;653:1140–1148. doi: 10.1016/j.scitotenv.2018.11.037. [DOI] [PubMed] [Google Scholar]
- 36.Yang M., Hu J., Li S., Ma Y., Gui W., Zhu G. Thyroid endocrine disruption of acetochlor on zebrafish (Danio rerio) larvae. J. Appl. Toxicol. 2016;36:844–852. doi: 10.1002/jat.3230. [DOI] [PubMed] [Google Scholar]
- 37.Ma X., Zhang Y., Guan M., Zhang W., Tian H., Jiang C., Tan X., Kang W. Genotoxicity of chloroacetamide herbicides and their metabolites in vitro and In Vivo. Int. J. Mol. Med. 2021;47:103. doi: 10.3892/ijmm.2021.4936. [DOI] [PMC free article] [PubMed] [Google Scholar] [Retracted]
- 38.Wang H., Meng Z., Zhou L., Cao Z., Liao X., Ye R., Lu H. Effects of acetochlor on neurogenesis and behaviour in zebrafish at early developmental stages. Chemosphere. 2019;220:954–964. doi: 10.1016/j.chemosphere.2018.12.199. [DOI] [PubMed] [Google Scholar]
- 39.Saleh S.M., Mohamed I.A., Fathy M., Sayed A.E.-D.H. Neuro-hepatopathological changes in juvenile Oreochromis niloticus exposed to sublethal concentrations of commercial herbicides. Environ. Toxicol. Pharmacol. 2022;2022:103871. doi: 10.1016/j.etap.2022.103871. [DOI] [PubMed] [Google Scholar]
- 40.Xie J., Zhao L., Liu K., Liu W. Enantiomeric environmental behavior, oxidative stress and toxin release of harmful cyanobacteria Microcystis aeruginosa in response to napropamide and acetochlor. Environ. Pollut. 2019;246:728–733. doi: 10.1016/j.envpol.2018.12.056. [DOI] [PubMed] [Google Scholar]
- 41.Yu J., Xu E.G., Ren Y., Jin S., Zhang T., Liu J., Li Z. Mixture Toxicity of Bensulfuron-Methyl and Acetochlor to Red Swamp Crayfish (Procambarus clarkii): Behavioral, Morphological and Histological Effects. Int. J. Environ. Res. Public Health. 2017;14:1466. doi: 10.3390/ijerph14121466. [DOI] [PMC free article] [PubMed] [Google Scholar]
- 42.Xu C., Tu W., Deng M., Jin Y., Lu B., Zhang C., Lin C., Wu Y., Liu W. Stereoselective induction of developmental toxicity and immunotoxicity by acetochlor in the early life stage of zebrafish. Chemosphere. 2016;164:618–626. doi: 10.1016/j.chemosphere.2016.09.004. [DOI] [PubMed] [Google Scholar]
- 43.Minnesota Department of Health Acetochlor ESA and Drinking Water. [(accessed on 12 April 2021)]. Available online: https://www.health.state.mn.us/communities/environment/risk/docs/guidance/gw/acetachloresainfo.pdf.
- 44.United States Environmental Protection Agency Report of the Food Quality Protection act (FQPA) Tolerance Reassessment Progress and Risk Management Decision (TRED) for Acetochlor. Prevention, Pesticides and Toxic Substances, EPA 738-R-00-009. [(accessed on 3 February 2021)]; Available online: https://archive.epa.gov/pesticides/reregistration/web/pdf/acetochlor_tred.pdf.
- 45.Bonansea R.I., Filippi I., Wunderlin D.A., Marino D.J.G., Amé M.V. The Fate of Glyphosate and AMPA in a Freshwater Endorheic Basin: An Ecotoxicological Risk Assessment. Toxics. 2018;6:3. doi: 10.3390/toxics6010003. [DOI] [PMC free article] [PubMed] [Google Scholar]
- 46.Levine S.L., von Mérey G., Minderhout T., Manson P., Sutton P. Aminomethylphosphonic acid has low chronic toxicity to Daphnia Magna Pimephales Promelas. Environ. Toxicol. Chem. 2015;34:1382–1389. doi: 10.1002/etc.2940. [DOI] [PubMed] [Google Scholar]
- 47.United States Environmental Protection Agency Preliminary Ecological Risk Assessment in Support of the Registration Review of Glyphosate and Its Salts (Washington, DC, USA. EPA 20460) [(accessed on 3 February 2021)]; Available online: https://www.epa.gov/sites/default/files/2019-04/documents/glyphosate-signed-efed-rtc.pdf#:~:text=The%20Environmental%20Fate%20and%20Effects%20Division%20%28EFED%29%20has,103613%2C%20103605%29%20developed%20in%20support%20of%20Registration%20Review.
- 48.Sun M., Li H., Jaisi D.P. Degradation of glyphosate and bioavailability of phosphorus derived from glyphosate in a soil-water system. Water Res. 2019;163:114840. doi: 10.1016/j.watres.2019.07.007. [DOI] [PubMed] [Google Scholar]
- 49.Battaglin W.A., Kolpin D.W., Scribner E.A., Kuivila K.M., Sandstorm M.W. Glyphosate, other herbicides, and transformation products in midwestern streams. J. Am. Water Res. Assoc. 2005;41:323–332. doi: 10.1111/j.1752-1688.2005.tb03738.x. [DOI] [Google Scholar]
- 50.Battaglin W.A., Meyer M.T., Kuivila K.M., Dietze J.E. Glyphosate and its gedradation product AMPA occur frequently and widely in U.S. soils, surface water, groundwater, and precipitation. J. Am. Water Res. Assoc. 2014;50:275–290. doi: 10.1111/jawr.12159. [DOI] [Google Scholar]
- 51.Coupe R.H., Kalkhoff S.J., Capel P.D., Gregoire C. Fate and transport of glyphosate and aminomethylphosphonic acid in surface waters of agricultural basins. Pest. Manag. Sci. 2012;68:16–30. doi: 10.1002/ps.2212. [DOI] [PubMed] [Google Scholar]
- 52.Kolpin D.W., Thurman E.M., Lee E.A., Meyer M., Furlong E., Glassmeyer S. Urban contributions of glyphosate and its degradate AMPA to streams in the United States. Sci. Total Environ. 2005;354:191–197. doi: 10.1016/j.scitotenv.2005.01.028. [DOI] [PubMed] [Google Scholar]
- 53.Scribner E.A., Battaglin W.A., Dietze J.E., Thurman E.M. Reconnaissance Data for Glyphosate, Other Selected Herbicides, Their Degradation Products, and Antibiotics in 51 Streams in Nine Midwestern States, 2002. U.S. Geological Survey; Reston, VA, USA: 2003. p. 101. U.S. Geological Survey Open-File Report 03-217. [Google Scholar]
- 54.Tresnakova N., Stara A., Velisek J. Effects of Glyphosate and Its Major Metabolite AMPA on Aquatic Organisms. Appl. Sci. 2021;11:9004. doi: 10.3390/app11199004. [DOI] [Google Scholar]
- 55.Antunes A.M., Rocha T.L., Pires F.S., de Freitas M.A., Leite V.R.M.C., Arana S., Moreira P.C., Sabóia-Morais S.M.T. Gender-specific histopathological response in guppies Poecilia reticulata exposed to glyphosate or its metabolite aminomethylphosphonic acid. J. Appl. Toxicol. 2017;37:1098–1107. doi: 10.1002/jat.3461. [DOI] [PubMed] [Google Scholar]
- 56.Bernasconi C., Demetrio P.M., Alonso L.L., Mac Loughlin T.M., Cerdá E., Sarandón S.J., Marino D.J. Evidence for soil pesticide contamination of an agroecological farm from a neighboring chemical-based production system. Agric. Ecosyst. Environ. 2021;313:107341. doi: 10.1016/j.agee.2021.107341. [DOI] [Google Scholar]
- 57.Pérez D.J., Okada E., De Gerónimo E., Menone M., Aparicio V.C., Costa J.L. Spatial and temporal trends and flow dynamics of glyphosate and other pesticides within an agricultural watershed in Argentina. Environ. Toxicol. Chem. 2017;36:3206–3216. doi: 10.1002/etc.3897. [DOI] [PubMed] [Google Scholar]
- 58.Pérez D.J., Iturburu F.G., Calderon G., Oyesqui L.A., De Gerónimo E., Aparicio V.C. Ecological risk assessment of current-use pesticides and biocides in soils, sediments and surface water of a mixed land-use basin of the Pampas region, Argentina. Chemosphere. 2021;263:128061. doi: 10.1016/j.chemosphere.2020.128061. [DOI] [PubMed] [Google Scholar]
- 59.Székács A., Mörtl M., Darvas B. Monitoring Pesticide Residues in Surface and Ground Water in Hungary: Surveys in 1990–2015. J. Chem. 2015;2015:717948. doi: 10.1155/2015/717948. [DOI] [Google Scholar]
- 60.Heras R.D.L., Rodríguez-Gil J.L., Sauto J.S.S., Sánchez P.S., Catalá M. Analysis of lipid peroxidation in animal and plant tissues as field-based biomarker in Mediterranean irrigated agroecosystems (Extremadura, Spain) J. Environ. Sci. Health. 2018;9:567–579. doi: 10.1080/03601234.2018.1473962. [DOI] [PubMed] [Google Scholar]
- 61.Esser H.O. A review of the correlation between physicochemical properties and bioaccumulation. Pestic. Sci. 1986;17:265–276. doi: 10.1002/ps.2780170310. [DOI] [Google Scholar]
- 62.Rhodes L.D., Gardner G.R., Van Beneden R.J. Short-term tissue distribution, depuration and possible gene expression effects of [3H] TCDD exposure in soft-shell clams (Mya arenaria) Environ. Toxicol. Chem. 1997;16:1888–1894. doi: 10.1002/etc.5620160918. [DOI] [Google Scholar]
- 63.Uno H.S.S., Shiraishi H., Hatakeyama S., Otsuki A., Koyama J., Uno S. Accumulative Characteristics of Pesticide Residues in Organs of Bivalves (Anodonta woodiana and Corbicula leana) Under Natural Conditions. Arch. Environ. Contam. Toxicol. 2001;40:35–47. doi: 10.1007/s002440010146. [DOI] [PubMed] [Google Scholar]
- 64.Aparicio V.C., De Gerónimo E., Marino D., Primost J., Carriquiriborde P., Costa J.L. Environmental fate of glyphosate and aminomethylphosphonic acid in surface waters and soil of agricultural basins. Chemosphere. 2013;93:1866–1873. doi: 10.1016/j.chemosphere.2013.06.041. [DOI] [PubMed] [Google Scholar]
- 65.Yokley R.A., Mayer L.C., Huang S.-B., Vargo J.D. Analytical Method for the Determination of Metolachlor, Acetochlor, Alachlor, Dimethenamid, and Their Corresponding Ethanesulfonic and Oxanillic Acid Degradates in Water Using SPE and LC/ESI-MS/MS. Anal. Chem. 2020;74:3754–3759. doi: 10.1021/ac020134q. [DOI] [PubMed] [Google Scholar]
- 66.Longshaw M., Bateman K.S., Stebbing P., Stentiford G.D., Hockley F.A. Disease risks associated with the importation and release of non-native crayfish species into mainland Britain. Aquat. Biol. 2012;16:1–15. doi: 10.3354/ab00417. [DOI] [Google Scholar]
- 67.Silveyra G.R., Silveyra P., Vatnick I., Medesani D.A., Rodríguez E.M. Effects of atrazine on vitellogenesis, steroid levels and lipid peroxidation, in female red swamp crayfish Procambarus clarkii. Aquat. Toxicol. 2018;197:136–142. doi: 10.1016/j.aquatox.2018.02.017. [DOI] [PubMed] [Google Scholar]
- 68.OECD (Organization for Economic Cooperation and Development) Guideline for Testing of Chemicals 215. Fish Juvenile Growth Test; Paris, France: 2000. [Google Scholar]
- 69.Vogt G. The marbled crayfish: A new model organism for research on development, epigenetics and evolutionary biology. J. Zool. 2008;276:1–13. doi: 10.1111/j.1469-7998.2008.00473.x. [DOI] [Google Scholar]
- 70.Stara A., Zuskova E., Kouba A., Velisek J. Effects of terbuthylazine-desethyl, a terbuthylazine degradation product, on red swamp crayfish (Procambarus clarkii) Sci. Total Environ. 2016;566:733–740. doi: 10.1016/j.scitotenv.2016.05.113. [DOI] [PubMed] [Google Scholar]
- 71.Lushchak V.I., Bagnyukova T.V., Husak V., Luzhna L.I., Lushchak O.V., Storey K. Hyperoxia results in transient oxidative stress and an adaptive response by antioxidant enzymes in goldfish tissues. Int. J. Biochem. Cell Biol. 2005;37:1670–1680. doi: 10.1016/j.biocel.2005.02.024. [DOI] [PubMed] [Google Scholar]
- 72.Marklund S., Marklund G. Involvement of the Superoxide Anion Radical in the Autoxidation of Pyrogallol and a Convenient Assay for Superoxide Dismutase. Eur. J. Biochem. 1974;47:469–474. doi: 10.1111/j.1432-1033.1974.tb03714.x. [DOI] [PubMed] [Google Scholar]
- 73.Beers R.F., Sizer I.W. A Spectrophotometric Method for Measuring the Breakdown of Hydrogen Peroxide by Catalase. J. Biol. Chem. 1952;195:133–140. doi: 10.1016/S0021-9258(19)50881-X. [DOI] [PubMed] [Google Scholar]
- 74.Habig W.H., Pabst M.J., Jakoby W.B. Glutathione S-transferases. The first enzymatic step in mercapturic acid formation. J. Biol. Chem. 1974;249:7130–7139. doi: 10.1016/S0021-9258(19)42083-8. [DOI] [PubMed] [Google Scholar]
- 75.Ellman G.L., Courtney K.D., Andres V.J., Featherstone R.M. A new and rapid colorimetric determination of acetylcholinesterase activity. Biochem. Pharmacol. 1961;7:88–95. doi: 10.1016/0006-2952(61)90145-9. [DOI] [PubMed] [Google Scholar]
- 76.Bradford M.M. Rapid and sensitive method for quantitation of microgram quantities of protein utilizing principle of protein dye binding. Anal. Biochem. 1976;72:248–254. doi: 10.1016/0003-2697(76)90527-3. [DOI] [PubMed] [Google Scholar]
- 77.Ceccaldi H. Anatomy and physiology of digestive tract of Crustaceans Decapods reared in aquaculture. Adv. Trop. Aqua. 1989;9:243–259. [Google Scholar]
- 78.Stancova V., Plhalova L., Bartoskova M., Zivna D., Prokes M., Marsalek P., Blahova J., Skoric M., Svobodova Z. Effects of Mixture of Pharmaceuticals on Early Life Stages of Tench (Tinca tinca) BioMed Res. Int. 2014;2014:253468. doi: 10.1155/2014/253468. [DOI] [PMC free article] [PubMed] [Google Scholar]
- 79.Stara A., Pagano M., Capillo G., Fabrello J., Sandova M., Albano M., Zuskova E., Velisek J., Matozzo V., Faggio C. Acute effects of neonicotinoid insecticides on Mytilus galloprovincialis: A case study with the active compound thiacloprid and the commercial formulation calypso 480 SC. Ecotoxicol. Environ. Saf. 2020;203:110980. doi: 10.1016/j.ecoenv.2020.110980. [DOI] [PubMed] [Google Scholar]
- 80.West M.E.J., Moore P.A. Bt Proteins Exacerbate Negative Growth Effects in Juvenile Rusty (F. rusticus) Crayfish Fed Corn Diet. Arch. Environ. Contam. Toxicol. 2009;77:452–460. doi: 10.1007/s00244-019-00664-3. [DOI] [PubMed] [Google Scholar]
- 81.Rodrigues L.D.B., Costa G.G., Thá E.L., da Silva L.R., de Oliveira R., Leme D.M., Cestari M.M., Grisolia C.K., Valadares M.C., de Oliveira G.A.R. Impact of the glyphosate-based commercial herbicide, its components and its metabolite AMPA on non-target aquatic organisms. Mutat. Res. Gen. Toxicol. Environ. Mutagen. 2019;842:94–101. doi: 10.1016/j.mrgentox.2019.05.002. [DOI] [PubMed] [Google Scholar]
- 82.Fiorino E., Sehonova P., Plhalova L., Blahova J., Svobodova Z., Faggio C. Effects of glyphosate on early life stages: Comparison between Cyprinus carpio and Danio rerio. Environ. Sci. Pollut. Res. 2018;25:8542–8549. doi: 10.1007/s11356-017-1141-5. [DOI] [PubMed] [Google Scholar]
- 83.Velisek J., Stara A., Koutnik D., Zuskova E., Kouba A. Effect of prometryne on early life stages of marbled crayfish (Procambarus falllax f. virginalis) Neuroendocrinol. Lett. 2014;35:93–98. [PubMed] [Google Scholar]
- 84.Velisek J., Stara A., Machova J., Dvorak P., Zuskova E., Prokes M., Svobodova Z. Effect of terbutryn at environmental concentrations on early life stages of common carp (Cyprinus carpio L.) Pestic. Biochem. Physiol. 2012;102:102–108. doi: 10.1016/j.pestbp.2011.11.005. [DOI] [Google Scholar]
- 85.Bengtsson B.-E. Effect of Zinc on Growth of the Minnow Phoxinus phoxinus. Oikos. 1974;25:370–373. doi: 10.2307/3543958. [DOI] [Google Scholar]
- 86.Durmaz H., Sevgiler Y., Üner N. Tissue-specific antioxidative and neurotoxic responses to diazinon in Oreochromis niloticus. Pestic. Biochem. Physiol. 2006;84:215–226. doi: 10.1016/j.pestbp.2005.07.004. [DOI] [Google Scholar]
- 87.Woltering D.M. The growth response in fish chronic and early life stage toxicity tests: A critical review. Aquat. Toxicol. 1984;5:1–21. doi: 10.1016/0166-445X(84)90028-6. [DOI] [Google Scholar]
- 88.Wang S., Seiwert B., Kästner M., Miltner A., Schäffer A., Reemtsma T., Yang Q., Nowak K.M. (Bio)degradation of glyphosate in water-sediment microcosms—A stable isotope co-labeling approach. Water Res. 2016;99:91–100. doi: 10.1016/j.watres.2016.04.041. [DOI] [PubMed] [Google Scholar]
- 89.Velisek J., Stara A., Zuskova E., Kubec J., Buric M., Kouba A. Chronic toxicity of metolachlor OA on growth, ontogenetic development, antioxidant biomarkers and histopathology of early life stages of marbled crayfish. Sci. Total Environ. 2018;643:1456–1463. doi: 10.1016/j.scitotenv.2018.06.309. [DOI] [PubMed] [Google Scholar]
- 90.Velisek J., Stara A., Zuskova E., Kubec J., Buric M., Kouba A. Effects of s-metolachlor on early life stages of marbled crayfish. Pestic. Biochem. Physiol. 2019;153:87–94. doi: 10.1016/j.pestbp.2018.11.007. [DOI] [PubMed] [Google Scholar]
- 91.Velisek J., Stara A., Zuskova E., Kouba A. Effects of three triazine metabolites and their mixture at environmentally relevant concentrations on early life stages of marbled crayfish (Procambarus fallax f. virginalis) Chemosphere. 2017;175:440–445. doi: 10.1016/j.chemosphere.2017.02.080. [DOI] [PubMed] [Google Scholar]
- 92.Gherardi F. Biology of Freshwater Crayfish. Blackwell Science; Oxford, UK: 2002. Behaviour; pp. 258–290. [Google Scholar]
- 93.Kubec J., Kouba A., Buřič M. Communication, behaviour, and decision making in crayfish: A review. Zool. Anz. 2019;278:28–37. doi: 10.1016/j.jcz.2018.10.009. [DOI] [Google Scholar]
- 94.Manning A., Dawkins M.S. An Introduction to Animal Behavior. 6th ed. Cambridge University Press; Cambridge, MA, USA: 2012. p. 458. [Google Scholar]
- 95.Duffy J.E., Cardinale B.J., France K.E., McIntyre P.B., Thébault E., Loreau M. The functional role of biodiversity in ecosystems: Incorporating trophic complexity. Ecol. Lett. 2007;10:522–538. doi: 10.1111/j.1461-0248.2007.01037.x. [DOI] [PubMed] [Google Scholar]
- 96.Schmitz O.J. Predator Diversity and Trophic Interactions. Ecology. 2007;88:2415–2426. doi: 10.1890/06-0937.1. [DOI] [PubMed] [Google Scholar]
- 97.El Hajam M., Plavan G.-I., Kandri N.I., Dumitru G., Nicoara M.N., Zerouale A., Faggio C. Evaluation of softwood and hardwood sawmill wastes impact on the common carp “Cyprinus carpio” and its aquatic environment: An oxidative stress study. Environ. Toxicol. Pharmacol. 2020;75:103327. doi: 10.1016/j.etap.2020.103327. [DOI] [PubMed] [Google Scholar]
- 98.Sehonova P., Tokanova N., Hodkovicova N., Kroupova H.K., Tumova J., Blahova J., Marsalek P., Plhalova L., Doubkova V., Dobsikova R., et al. Oxidative stress induced by fluoroquinolone enrofloxacin in zebrafish (Danio rerio) can be ameliorated after a prolonged exposure. Environ. Toxicol. Pharmacol. 2019;67:87–93. doi: 10.1016/j.etap.2019.02.002. [DOI] [PubMed] [Google Scholar]
- 99.Mensah P.K., Palmer C.G., Muller W.J.M. Lethal and Sublethal effects of pesticides on aquatic organisms: The cas of a freshwater shrimp exposure to Roundup®. In: Larramendy M.L., Soloneski S., editors. Pesticides Toxic Aspects. In Tech; Rijeka, Croatia: 2014. pp. 163–185. [Google Scholar]
- 100.Geret F., Serafim A., Bebianno M.J. Antioxidant enzyme activities, metallothioneins and lipid peroxidation as biomarkers in Ruditapes decussatus? Ecotoxicology. 2003;12:417–426. doi: 10.1023/A:1026108306755. [DOI] [PubMed] [Google Scholar]
- 101.Modesto K.A., Martinez C.B. Roundup® causes oxidative stress in liver and inhibits acetylcholinesterase in muscle and brain of the fish Prochilodus lineatus. Chemosphere. 2010;78:294–299. doi: 10.1016/j.chemosphere.2009.10.047. [DOI] [PubMed] [Google Scholar]
- 102.Velisek J., Stara A., Zuskova E., Chabera J., Kubec J., Buric M., Kouba A. Effects of chloridazon on early life stages of marbled crayfish. Chemosphere. 2020;257:127189. doi: 10.1016/j.chemosphere.2020.127189. [DOI] [PubMed] [Google Scholar]
- 103.Crestani M., Menezes C., Glusczak L., Miron D.D.S., Spanevello R., Silveira A., Gonçalves F.F., Zanella R., Loro V. Effect of clomazone herbicide on biochemical and histological aspects of silver catfish (Rhamdia quelen) and recovery pattern. Chemosphere. 2007;67:2305–2311. doi: 10.1016/j.chemosphere.2006.09.070. [DOI] [PubMed] [Google Scholar]
- 104.Glusczak L., Miron D.D.S., Moraes B.S., Simões R.R., Schetinger M.R.C., Morsch V.M., Loro V. Acute effects of glyphosate herbicide on metabolic and enzymatic parameters of silver catfish (Rhamdia quelen) Comp. Biochem. Physiol. 2007;146:519–524. doi: 10.1016/j.cbpc.2007.06.004. [DOI] [PubMed] [Google Scholar]
- 105.Glusczak L., Loro V.L., Pretto A., Moraes B.S., Raabe A., Duarte M.F., da Fonseca M.B., de Menezes C.C., Valladão D.M.D.S. Acute Exposure to Glyphosate Herbicide Affects Oxidative Parameters in Piava (Leporinus obtusidens) Arch. Environ. Contam. Toxicol. 2011;61:624–630. doi: 10.1007/s00244-011-9652-4. [DOI] [PubMed] [Google Scholar]
- 106.Miron D.D.S., Pretto A., Crestani M., Glusczak L., Schetinger M.R., Loro V.L., Morsch V.M. Biochemical effects of clomazone herbicide on piava (Leporinus obtusidens) Chemosphere. 2008;74:1–5. doi: 10.1016/j.chemosphere.2008.09.070. [DOI] [PubMed] [Google Scholar]
- 107.Negro L., Senkman L., Montagna M., Collins P. Freshwater decapods and pesticides: An unavoidable relation in the modern world. In: Stoytcheva M., editor. Pesticides in the Modern World—Risks and Benefits. In Tech; Rijeka, Croatia: 2011. pp. 198–199. [Google Scholar]
- 108.Zou E., Stueben B. Acute exposure to naphthalene reduces oxyregulating capacity of the brown shrimp, Penaeus aztecus, subjected to progressive hypoxia. Mar. Biol. 2006;149:1411–1415. doi: 10.1007/s00227-006-0294-4. [DOI] [Google Scholar]
- 109.Deponte M. Glutathione catalysis and the reaction mechanisms of glutathione-dependent enzymes. Biochim. Biophys. Acta. 2013;1830:3217–3266. doi: 10.1016/j.bbagen.2012.09.018. [DOI] [PubMed] [Google Scholar]
Associated Data
This section collects any data citations, data availability statements, or supplementary materials included in this article.
Data Availability Statement
The data in this study are available upon request from the first author.




