Abstract
Background
Expansion of the genetic code is a frequently employed approach for the modification of recombinant protein properties. It involves reassignment of a codon to another, e.g., unnatural, amino acid and requires the action of a pair of orthogonal tRNA and aminoacyl tRNA synthetase modified to recognize only the desired amino acid. This approach was applied for the production of trastuzumab IgG carrying p-azido-l-phenylalanine (pAzF) in the industrial yeast Pichia pastoris. Combining the knowledge of protein folding and secretion with bioreactor cultivations, the aim of the work was to make the production of monoclonal antibodies with an expanded genetic code cost-effective on a laboratory scale.
Results
Co-translational transport of proteins into the endoplasmic reticulum through secretion signal prepeptide change and overexpression of lumenal chaperones Kar2p and Lhs1p improved the production of trastuzumab IgG and its Fab fragment with incorporated pAzF. In the case of Fab, a knockout of vacuolar targeting for protein degradation further increased protein yield. Fed-batch bioreactor cultivations of engineered P. pastoris strains increased IgG and IgGpAzF productivity by around 50- and 20-fold compared to screenings, yielding up to 238 mg L−1 and 15 mg L−1 of fully assembled tetrameric protein, respectively. Successful site-specific incorporation of pAzF was confirmed by mass spectrometry.
Conclusions
Pichia pastoris was successfully employed for cost-effective laboratory-scale production of a monoclonal antibody with an unnatural amino acid. Applying the results of this work in glycoengineered strains, and taking further steps in process development opens great possibilities for utilizing P. pastoris in the development of antibodies for subsequent conjugations with, e.g., bioactive payloads.
Supplementary Information
The online version contains supplementary material available at 10.1186/s12934-022-01882-6.
Keywords: Pichia pastoris, Monoclonal antibody, Unnatural amino acid, Strain engineering, Bioreactor cultivation
Background
In the past two decades, the demand for site-specific incorporation of reactive chemical groups in a wide range of proteins has been growing to gain novel properties. Particularly after the formulation of the official definition of “click” chemistry [1], research has focused on the incorporation of unnatural amino acids (uAAs) into proteins with reactive groups that cannot be found in nature and react with biological systems. Such reactions are bioorthogonal and, frequently, they proceed in one step, without the formation of side products. These desirable features have opened doors to various applications and manipulations of endogenous and heterologous proteins [2, 3].
Several conditions need to be fulfilled to successfully incorporate an uAA at the desired position in a target protein. The uAA to be site-specifically incorporated must not be recognized by endogenous tRNAs and tRNA synthetases (RSs). In other words, the technology used and the uAA must be orthogonal in the host cell. The most common approach to achieving orthogonality is using a tRNA and its cognate RS from an organism phylogenetically distant from the expression host. Altogether, the codon reassignment by which an uAA is site-specifically incorporated instead of a canonical amino acid is called the expansion of the genetic code. It is frequently employed for the incorporation of uAAs into monoclonal antibodies and antibody formats, predominantly of the IgG1 subclass, to enable site-specific click reactions with small molecule payloads. The resulting products are known as antibody-drug conjugates (ADCs) and extend the usage of immunotherapeutics. An overview of Food and Drug Administration-approved ADCs currently on the market is given by Tong et al. [4].
The growing need for fast and cost-effective antibody development and production requires finding suitable expression hosts. Unlike the production of antibody fragments, for which bacterial systems can be used, tetrameric IgGs with suitable glycosylation patterns require eukaryotic hosts. The simplest and inexpensive eukaryotic hosts are yeasts that have already shown the potential for full-length IgG production [5, 6]. By combining glycoengineering [7], optimization of protein folding and secretion [8, 9], and process development [10, 11], yeast research is gaining more attention for the fast and cheap production of recombinant therapeutics. The industrial yeast Pichia pastoris (syn. Komagataella spp.) is one of the well-established microbial hosts for recombinant protein production. Like other yeast species, it requires inexpensive media for growth, can produce proteins with post-translational modifications including human-type glycosylation [12], and has a higher secretion capacity than prokaryotes. Moreover, P. pastoris, unlike Saccharomyces cerevisiae, has a Crabtree-negative phenotype [13, 14], facilitating its cultivation at high cell densities to obtain higher product titers. Due to its methylotrophic metabolism and genes tightly regulated by methanol, it is commonly used for the inducible production of large amounts of heterologous proteins [15]. In addition, P. pastoris secretes very few endogenous proteins in the supernatant, which reduces the effort to purify the secreted product.
Research on (heterologous) protein folding and secretion in P. pastoris has advanced significantly in the last decade. A growing need for cost-effective production of recombinant therapeutics and industrial enzymes pushes the need for strain and metabolic engineering of this yeast. Protein folding and secretion pathways in P. pastoris were discussed in detail by Damasceno et al. [16] and Delic et al. [17]. Furthermore, successful incorporations of uAAs into recombinant proteins produced by P. pastoris were previously reported [18, 19]. In the present study, we combined our knowledge of P. pastoris with the ongoing requirements for improving monoclonal antibody production with an expanded genetic code to relieve some of the major bottlenecks in the secretion of trastuzumab antigen-binding fragment (Fab) and full-length IgG with site-specifically incorporated p-l-azidophenylalanine (pAzF).
Results
Influence of tRNACUA/RS expression on pAzF incorporation yield
Genes for the orthogonal pair of amber suppressor tRNA (tRNACUA) and pAzF-specific RS (RSpAzF) were derived from E. coli tyrosyl-tRNACUA and tyrosyl-RS, as reported previously [18, 20, 21]. Methanol-inducible promoters of varying strength were chosen for each gene based on the knowledge of the methanol utilization pathway in P. pastoris [15, 22]. Enhanced green fluorescent protein (eGFP) was used as a reporter protein for pAzF incorporation in small-scale screenings and detection was done by flow cytometry. The codon for tyrosine-40 in the sequence was replaced with the amber stop codon (eGFPY40X). For eGFP expression, the strong methanol-inducible promoter for alcohol oxidase 1 was used. All cloning was performed using GoldenPiCS [23] and the corresponding schemes are shown in Additional file 1: Fig. S1.
Promoter strengths in the presence of methanol were previously determined by microarray analysis and decreases in the following order [22]: dihydroxyacetone synthase 2 (PDAS2) > alcohol oxidase 1 (PAOX1) > dihydroxyacetone synthase 1 (PDAS1) > peroxisomal membrane-associated protein 20 (PPMP20), where the relative PPMP20 strength has not been published yet. Although less than 5% of the overall difference in stop codon suppression was observed between the cultures expressing both tRNACUA and RSpAzF under the strongest methanol-inducible promoters in P. pastoris, it was evident that a strong expression was required for tRNACUA (Fig. 1). It has already been established that increasing the tRNACUA gene copy number above 3 does not improve the stop codon suppression and that the addition of a polymerase II promoter in front of the polymerase III promoter further increases expression levels [21]. In this work, the construct with 3 tandem copies of tRNACUA, each lacking the CCA trinucleotide at its 3′ terminus, flanked by the SUP4 region from S. cerevisiae was used. In addition, the choice of different methanol-inducible promoters for each gene placed in the same vector further increases genome stability when prolonged cultivation times are needed. Therefore, the combination of the PDAS2 for tRNACUA (PDAS2_3xSUP4-tRNACUA) and PAOX1 for RS (PAOX1_RSpAzF) was used in all other experiments. The optimum pAzF concentration in the culture medium was determined as 2 mM, leading to the maximum suppression with the least possible impact on biomass growth (Additional file 2: Table S1).
Fig. 1.
Amber suppression in eGFPY40pAzF depends on the promoter combination in the tRNACUA/RSpAzF pair. Mean values above the boxes are percentages calculated from the relative amounts of eGFPY40pAzF to eGFP produced per cell from three to eight biological replicates and are shown as horizontal lines in the boxes. Whiskers represent minimal and maximal values. The table below the graph shows the identity of the promoter combinations
Tuning light and heavy chain expression
Monoclonal antibody production in microbial hosts is challenging and product-dependent. In shake-flask cultivations, most of the secreted product is reduced antibody formats rather than fully-assembled tetrameric antibodies [6]. In order to monitor product quality and quantity, P. pastoris secreting trastuzumab Fab fragment fused to the prepeptide for oligosaccharide transferase 1 and the propeptide for mating factor alpha of S. cerevisiae (pre-Ost1-pro-MFα) was used [24, 25]. In the screenings for Fab expression, different methanol-inducible promoters for each chain were tested (Fig. 2). When the same choice of promoters was used in the opposite order, the combination with a stronger promoter for the light chain resulted in more than a twofold higher product titer and yield, supporting the previous observation by Gasser et al. [8]. However, overall strong expression of both chains was required for the best product titer and yield. Therefore, the combination used in all further experiments with Fab and IgG was PAOX1 for the light chain (PAOX1_LC) and PDAS2 for the heavy chain (PDAS2_HC).
Fig. 2.
Titers and yields of the wild-type trastuzumab Fab depend on the promoter combination. Mean values above the boxes were calculated from seven to ten biological replicates and are shown as horizontal lines. Dots and triangles show each data point and whiskers show minimal and maximal values. The yields were calculated as the amount of protein per wet cell weight (WCW). The table below the graph shows the identity of the promoter combinations
Changing the secretion signal prepeptide to improve protein secretion
Aside from promoter selection, the effects of the pre-Ost1-pro-MFα secretion signal and the standard pre-pro-secretion signal for the mating factor α (pre-pro-MFα) on the secretion of both trastuzumab Fab and IgG were compared. The mean titer and yield of Fab fused to the pre-pro-MFα were almost twofold higher than that of Fab fused to the pre-Ost1-pro-MFα secretion signal (Fig. 3). In the case of IgG, titer and yield of pre-Ost1-pro-MFα fused protein were about 1.3-fold and 1.1-fold higher than those of pre-pro-MFα fused one, respectively. However, when examining supernatants from the screenings by SDS-PAGE and western blot (Additional file 1: Fig. S2), significantly more endogenous proteins were observed in the cultures producing Fab and IgG fused to the pre-pro-MFα secretion signal. Since protein purification from bioreactor cultivations was the final goal, the pre-Ost1-pro-MFα secretion signal was chosen for all other experiments.
Fig. 3.
Influence of secretion signals on Fab and IgG titers (left) and yields (right). Mean values above the boxes were calculated from seven to nine biological replicates and are shown as horizontal lines. Dots and triangles show each data point and whiskers show minimal and maximal values. The yields were calculated as the amount of protein per wet cell weight (WCW)
Additionally, no band corresponding to the tetrameric protein (HC2-LC2) was observed in both cases. On the screening scale, this is not unusual and depends on the exact identity of IgG. Nevertheless, it was still possible to detect protein by ELISA because the antibody combination used binds the heavy chain and detects any species with assembled Fab domain, namely HC-LC, HC2-LC, and, if present, HC2-LC2.
Strain improvement by helper factor overexpression
The choice of targets for overexpression and knockout in this work was based on the previous experience with Fab and, to a certain extent, IgG production in yeast. The list with the target description and references is given in Table 1.
Table 1.
Overview of overexpression and knockout targets tested in this work for IgG producing P. pastoris
| Gene | Name description | Product description | Cellular localization | References |
|---|---|---|---|---|
| YAP1 | Yeast activator protein 1 | Transcription factor involved in the regulation of transcription in response to oxidative stress | Nucleus and cytoplasm | [26] |
| HAC1 | Homologous to Atf/Creb1 | Transcription factor involved in the regulation of the unfolded protein response | Nucleus | [27] |
| PDI1 | Protein disulfide isomerase 1 | Multifunctional protein disulfide isomerase and protein disulfide oxidoreductase | ER lumen | [8] |
| SBH1 | Sec61 beta homolog 1 | Beta subunit of Sec61 ER translocation complex | ER membrane | [28] |
| CPR5 | Cyclosporin-sensitive proline rotamase 5 | Rearranges peptidyl-prolyl bonds; transcriptionally induced in response to the UPR | ER lumen | [9] |
| KAR2 | Karyogamy gene 2 | ATPase involved in protein import into the ER, mediates protein folding, and regulates UPR | ER lumen | [6] |
| LHS1 | Luminal Hsp70 protein 1 | UPR regulated chaperone of the ER lumen involved in polypeptide translocation and folding | ER lumen | [29] |
| YPT7a | Yeast protein transport 7 | Rab family GTPase involved in membrane trafficking | Vacuolar, endosomal, Golgi and mitochondrial membrane | [28] |
aKnockout target
Overexpression of the transcription factors HAC1i (intronless HAC1) and YAP1 did not improve IgG titer and yield (Fig. 4). Overexpression of PDI1 reduced IgG titer and yield by 30%, in contrast to some of the reports for recombinant protein production in P. pastoris [8, 27]. Together with the lack of improvement of IgG secretion upon HAC1i and YAP1 overexpression, this observation points towards other bottlenecks of P. pastoris as a monoclonal antibody production host.
Fig. 4.
Influence of helper factor overexpression on IgG production. Titers are shown in light grey boxes and yields in dark grey boxes. Mean values above the boxes were calculated from seven to ten biological replicates (dots and triangles) relative to the parent strain without overexpression and are shown as the horizontal line in each box. Whiskers show minimal and maximal values
Sbh1p is a subunit of the Sec61p ER translocation complex (in addition to Sec62p, Sec63p, Sec71p, and Sec72p) that interacts with the exocyst and the ribosome during co-translational translocation into the ER. It was expected that SBH1 overexpression has a positive effect on IgG secretion. However, no change in IgG titer and yield was observed in this work.
A positive impact of overexpression of the peptidyl-prolyl isomerase CPR5 in S. cerevisiae producing a full-length human IgG was reported [9]. Therefore, it appeared as a promising target for improving IgG production in P. pastoris. Nevertheless, a reduction of 30% in both IgG titer and yield was observed upon CPR5 overexpression. As with PDI1 overexpression, the observed effect could be a consequence of the protein burden in the ER or protein misfolding due to the constitutive CPR5 expression.
Kar2p is the ER chaperone of the Hsp70 family whose overexpression generally increases recombinant protein secretion. Similar to the observation in S. cerevisiae [9], KAR2 overexpression under the glyceraldehyde-3-phosphatase promoter (PGAP) did not improve IgG titer and yield. Lhs1p functions as a nucleotide exchange factor (NEF) that interacts with Kar2p [30]. Reduced IgG titer and yield by 60% were observed upon LHS1 overexpression under the porine 1 promoter (PPOR1), which has 50% strength compared to PGAP [23]. This is likely due to the chaperone disbalance in the ER, although positive effects were observed upon LHS1 overexpression in S. cerevisiae producing recombinant human albumin [29]. In this work, the balance between Kar2p and Lhs1p activity was crucial for the production of both Fab (not shown) and IgG. Co-overexpression of the two ER chaperones increased IgG titer and yield around 1.6-fold, confirming the previous observation that the bottleneck in P. pastoris producing Fab is the ER import [31]. The finding was then applied to the strains producing the IgG variant carrying pAzF in the light chain at position Y173 and compared with Fab-producing analogs.
Disruption of vacuolar targeting further increased recombinant protein secretion
An additional bottleneck in IgG secretion was tackled by deleting the gene for Ypt7p, a Rab-family GTPase involved in membrane trafficking and mediates endosome-to-vacuole transport for protein degradation [32]. YPT7 deletion strains producing Fab and IgG were generated using the CRISPR/Cas9 approach with a template DNA containing YPT7 flanking regions. Fab titer was increased by around twofold, and IgG titer by around 1.8-fold upon YPT7 deletion (Fig. 5). The additive effect was observed when YPT7 knockout was combined with KAR2 and LHS1 co-overexpression. Fab titer and yield were increased by up to fourfold, while for IgG, there was no additional improvement.
Fig. 5.
Influence of YPT7 disruption and KAR2 and LHS1 co-overexpression on Fab and IgG production. Titer fold changes are shown in light grey boxes and yield fold changes in dark grey boxes. Mean values above the boxes were calculated from three to ten biological replicates (dots and triangles) relative to the wild-type strain expressing either Fab or IgG and are shown as the horizontal line in each box. Whiskers show minimal and maximal values
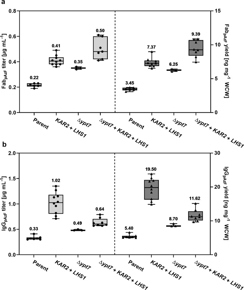
YPT7 deletion and co-overexpression of KAR2 and LHS1 had an additive effect on FabpAzF production, resulting in a 2.3-fold and a 2.7-fold increase in titer and yield, respectively (Fig. 6a). In the case of IgGpAzF, KAR2 and LHS1 co-overexpression alone increased protein titer up to threefold and yield up to fourfold (Fig. 6b). In the Δypt7 strain, the co-overexpression increased protein titer up to twofold and yield up to 2.5-fold. For this reason, wild-type strains co-overexpressing KAR2 and LHS1 were used for IgG and IgGpAzF production in bioreactors. In all cases, improving co-translational translocation into the ER made major improvements in product secretion.
Fig. 6.
FabpAzF and IgGpAzF productivity in strains co-overexpressing KAR2 and LHS1 with YPT7 disruption. Titers (left) and yields (right) of a FabpAzF and b IgGpAzF. Mean values above the boxes were calculated from three to ten biological replicates and are shown as horizontal lines. Dots and triangles show each data point and whiskers show minimal and maximal values. The yields were calculated as the amount of protein per wet cell weight (WCW)
Importance of process control for IgG production in P. pastoris
The strains co-overexpressing KAR2 and LHS1 were used for fed-batch bioreactor cultivations to produce full-length trastuzumab IgG and IgGpAzF. Due to the low productivity, three bioreactors were employed for IgGpAzF production and one for IgG production in the parallel DASGIP® system. The cultivation process was adapted from the one previously published by Zavec et al. [11] and the feeding scheme is shown in Additional file 1: Fig. S3. Briefly, selected strains were grown in BSMG until total glycerol consumption (around 22 h) to generate biomass. The feeding strategy involved an 8-h linear addition of 50% glucose, followed by an 18-h linear addition of methanol with a linear decrease in glucose feed rate to adapt the cells to methanol, and continued with a 72-h methanol-only phase for protein production at low growth conditions. Supernatants from four sampling points were analyzed for IgG content and productivity (Additional file 1: Figs. S4 and S5). At the end of the cultivations, supernatants were harvested and used for protein purifications.
Protein A affinity chromatography was used for the first purification step to separate IgG fragments from yeast proteins. Fully assembled IgGs were isolated by size-exclusion chromatography in the next step (Fig. 7). From the SEC profiles, it was possible to recalculate actual tetrameric protein amounts, resulting in around 15 mg L−1 for IgGpAzF and 238 mg L−1 for IgG. Collected fractions were further analyzed by SDS-PAGE with silver staining and western blotting (Additional file 1: Fig. S6) and those containing pure tetrameric IgGs were used for mass spectrometry analysis to confirm site-specific pAzF incorporation (Fig. 8). However, from intact mass analysis of reduced samples (Additional file 1: Fig. S7), an additional signal for the light chain insensitive to PNGase treatment was observed with an extra 1027 Da corresponding to a propeptide fragment (EEGVSLEKR).
Fig. 7.
Size-exclusion chromatography elution profiles after protein A affinity purification. a IgGpAzF and b IgG sample. Integrated peaks were analyzed by SDS-PAGE with silver staining and western blot and pooled. Numbers above the peaks are areas below the curve relative to the area of the peak corresponding to full-length IgG
Fig. 8.
Tandem mass spectrum of the light chain tryptic peptide carrying the site-specific mutation. a IgG light chain tryptic peptide with tyrosine at position 173 and b IgGpAzF light chain tryptic peptide with pAzF at position 173 (mass increment of 25 Da). All +1y and +1b ions are listed above the corresponding sequence in the upper right corner
Discussion
Monoclonal antibody production in microbial hosts is rising in popularity with a growing demand for affordable therapeutics, particularly for treatments of various cancers. P. pastoris has already proven to be a promising host cell for recombinant protein production due to its high secretion capacity with low amounts of secreted endogenous proteins, strong inducible promoters, and inexpensive cultivation media. In this work, a P. pastoris strain was engineered to improve the production of trastuzumab IgG carrying site-specifically incorporated pAzF as a model uAA. The aim was to further contribute to the development of the yeast as a cost-effective production platform of monoclonal antibodies with an expanded genetic code for the subsequent generation of antibody-drug conjugates.
Since P. pastoris has genes for methanol utilization expressed under tightly controllable methanol-inducible promoters, the choice of promoters for expression of all heterologous genes in this work was based on methanol metabolism [15]. The gene for the tRNACUA was derived from E. coli tyrosyl-tRNA, as described previously [21]. It was also established that adding an RNA polymerase II (Pol II) promoter in front of the tRNACUA gene inserted within the yeast suppressor tRNA (SUP4) flanking region with a binding site for RNA polymerase III increased its expression levels. Furthermore, triple tandem copies of the flanked tRNACUA yielded the highest amber suppression [21]. Therefore, Pol II promoters were tested for the tRNACUA construct in this work. The modified RSpAzF was derived from E. coli tyrosyl-RS [33]. Methanol-inducible promoters for each gene of the orthogonal tRNACUA/RSpAzF pair were used in different combinations to screen for the highest pAzF incorporation into eGFPY40X as a reporter protein. It was observed that a stronger promoter is needed for tRNACUA expression to improve pAzF incorporation yield when reverse promoter combinations were compared. Further improvements may be achieved by optimizing the tRNACUA flanking region and using synthetic promoters for both genes.
Expression levels of both chains constituting tetrameric IgG were tuned using its Fab fragment, which expression and detection are well established in P. pastoris. A stronger methanol-inducible promoter for the light chain was more favorable for Fab expression when reverse promoter combinations for each chain were compared. The combinations with strong promoters for both chains resulted in the highest Fab expression. The expression could be further optimized by varying light-to-heavy chain gene copies or screening for synthetic promoters. However, it should be taken into consideration that gene loss can occur due to homologous recombination during long cultivation times if the gene copy number is increased. For this reason, two different promoters and terminators were chosen for the expression of Fab and IgG chains.
The long practice of using the S. cerevisiae MFα secretion signal for recombinant protein secretion in P. pastoris was challenged. From work by Barrero et al. [24], where a hybrid secretion signal of the oligosaccharide transferase 1 prepeptide and the MFα propeptide was used to improve recombinant protein secretion in P. pastoris, it seemed promising to use a different secretion signal for Fab and IgG. Interestingly, the effect of the pre-Ost1-pro-MFα compared to the pre-pro-MFα secretion signal on Fab and IgG secretion was significantly different. The hybrid signal reduced Fab secretion almost twofold and increased IgG secretion 1.3-fold. In order to conclude if this is the general case, more IgGs and their respective Fab fragments should be compared. Nevertheless, in both cases, a significant amount of endogenous proteins was found in culture supernatants when proteins were fused to the pre-pro-MFα secretion signal compared to the pre-Ost1-pro-MFα. Additionally, it would be of great interest to see if the pre-Ost1-pro-MFα can improve the secretion of other glycoproteins compared to the pre-pro-MFα and if it can serve as a starting point for secretion signal sequence engineering.
As a next step in improving recombinant protein secretion, strain engineering was performed by overexpressing genes involved in protein folding and oxidative stress regulation that have shown positive effects in S. cerevisiae and P. pastoris. Since the effect of overexpression of these factors on Fab production has been studied previously and tetrameric IgG cannot be easily assembled on the screening scale, IgG was used as a model protein. In addition to improving the titer and yield of any IgG format detectable by ELISA, the aim of strain engineering was to improve tetrameric IgG assembly. As only reduced IgG fragments were observed in supernatants from the screenings, the first bottleneck to tackle was the folding of each chain and disulfide bridge formation. Surprisingly, overexpression of foldase Cpr5p, which showed an improvement of IgG production in S. cerevisiae [9], and protein disulfide isomerase Pdi1p had adverse effects on IgG secretion, reducing protein titer and yield by 40%. Pdi1p is one of the most abundant proteins in the ER that catalyzes disulfide bond formation and isomerization of incorrectly formed disulfide bonds [34, 35]. A similar effect was observed for IgG production in S. cerevisiae [9] and scFv production in P. pastoris, where an increase of Kar2p levels upon Pdi1p overproduction was reported [36]. Moreover, it was shown that most unsecreted Fab was degraded in the cytosol before reaching the ER, making ER-associated degradation (ERAD) an explanation of the reduced IgG titers in PDI1 overexpressing strain less likely [31]. However, no proteasome activity was assayed in this work to test if the reduced titers were due to ERAD.
Overexpression of Hac1p and Yap1p did not improve IgG secretion. Hac1p is a transcription factor regulating the UPR genes and its overexpression showed improvements in the production of secreted recombinant proteins [8, 37, 38]. YAP1 is another transcription factor involved in oxidative stress relief [39] for which an improved recombinant protein production by P. pastoris was reported [26]. However, these effects significantly vary between target products. Furthermore, overexpression of a component of the ER translocon Sbh1p and the ER chaperone Kar2p had no effect on IgG secretion. Positive effects of Sbh1 overexpression on Fab production by P. pastoris [28] and α-amylase by S. cerevisiae [40] were reported. Since co-overexpression of all translocon subunits on full-length IgG production has not been investigated yet, more detailed experiments are needed to get a clear picture of IgG import into the ER and the role of the translocon components [41]. While overexpression of Lhs1p, a nucleotide exchange factor of Kar2p, which enables ADP to ATP exchange and binding of Kar2p to the next substrate, reduced IgG production by around 60%, co-overexpression of Kar2p and Lhs1p improved IgG production by around 60%. The observed effect is in agreement with previous findings that a major bottleneck in Fab, and therefore, IgG, secretion is the ER import [31].
In addition to overexpression of the common helper factors, strains with disrupted vacuole sorting were prepared by knocking out YPT7 [28]. In these strains, Fab and IgG production was increased by around twofold. Combining the knockout and co-overexpression of KAR2 and LHS1 further increased Fab production by around 3.7-fold, while it resulted in only an additional 10% increase in IgG production compared to the knockout alone. In the case of pAzF-carrying variants, FabpAzF production showed the same trend as Fab. On the other hand, the best IgGpAzF production was achieved in the strain co-overexpression KAR2 and LHS1, with up to threefold higher productivity than in the parent strain. Productivity of IgG and IgGpAzF formats detectable by ELISA in bioreactor cultivations was around 50- and 20-fold higher than in shake-flask cultivations, respectively. Using a KAR2 and LHS1 co-overexpressing strain for IgG and IgGpAzF production in fed-batch bioreactor cultivations yielded significant amounts of tetrameric proteins, up to 238 mg L−1 and 15 mg L−1, respectively, as calculated from the SEC profiles in the second purification step. Unlike in the screenings, the most abundant species secreted by the strain producing IgG was the tetrameric protein. The strain producing IgGpAzF secreted predominantly free heavy chain since the light chain translation was reduced due to the internal amber codon. The ratio of produced tetrameric IgGpAzF to the free heavy chain could be increased by downregulation or disruption of nonsense-mediated mRNA decay [42]. Trials to downregulate or replace the eukaryotic peptide release factor 1 with variants that preferentially recognize opal and ochre stop codons did not improve pAzF incorporation (not shown).
Upon mass spectrometry analysis of purified IgG and IgGpAzF fractions, intact mass measurements showed an additional light chain signal with an extra 1027 Da. Since the signal was present in samples treated and untreated with PNGase, we concluded that it belonged to the propeptide fragment (EEGVSLEKR), which was cleaved off upon tryptic digest and was not detected by peptide mass fingerprinting. This leaves some room for further investigation if the observed leftover is due to cell lysis, causing some IgG to have the partially processed light chain in the supernatant, or a mixture of IgG with fully and partially processed light chain being secreted throughout the cultivation. Additionally, process optimization by employing methanol feed dependent on the levels of dissolved oxygen [43] could further reduce cellular stress which frequently causes incomplete secretion signal processing.
Conclusions
In this work, a new contribution to strain engineering of P. pastoris for the production of monoclonal antibodies with the expanded genetic code was made. By using a promising fusion secretion signal, pre-Ost1-pro-MFα [24, 25], co-overexpressing KAR2 and LHS1, and employing controlled cultivation conditions, full-length trastuzumab IgG with pAzF in the light chain was produced in titers up to 15 mg L−1. Production of trastuzumab Fab with pAzF in the light chain was further improved by deleting YPT7, causing the disruption of vacuolar targeting and increasing product titer and yield almost fourfold. Additional improvements could potentially be achieved by disrupting nonsense-mediated mRNA decay and, in the case of IgG, glycoengineering of P. pastoris to obtain a more human-like glycosylation pattern. Furthermore, to reduce the observed propeptide leftover in part of the secreted product, an alternative methanol-feed strategy should be employed, such as pulse-feed controlled by the levels of dissolved oxygen. Lastly, in this work, the major bottleneck of IgG production was found to be the ER import, which is in agreement with previous research on Fab production in P. pastoris [31].
Materials and methods
Preparation of P. pastoris strains
All plasmids were prepared in a series of GoldenGate assemblies as described previously [23] and cloning of tRNACUA/RSpAzF and Fab/IgG expression plasmids is shown in Additional file 1: Fig. S1. Primers used for cloning heterologous genes, amplification of overexpression targets and gene deletions are listed in Additional file 2: Table S2. All the P. pastoris strains used in this study were derived from the wild-type CBS2612 strain [44] and are listed with their respective antibiotic resistances in Additional file 2: Table S3. The strain used as a positive control in eGFP screenings expressed the protein under the PAOX1 (PAOX1_eGFP), the same as the strain expressing eGFP with the internal amber stop codon at the position Y40 (PAOX1_eGFPY40X). The PAOX1_eGFPY40X strain also expressed the orthogonal pair of the suppressor tRNACUA and engineered RSpAzF [3], for which combinations of methanol-inducible promoters were tested in this work (PX_RSpAzF_PY_3xSUP4-tRNACUA). The tRNACUA expression cassette contained three tandem copies of the tRNA lacking the 3′-CCA terminus and each copy was flanked by the SUP4 region from S. cerevisiae [21]. The strain used for Fab screenings expressed both chains under different methanol-inducible promoters (PX′_LC_PY′_HC-Fab). Each chain was fused to the pre-Ost1-pro-MFα secretion signal [24, 25] lacking the C-terminal EAEA sequence. The final producer strain expressed IgG fused to the same secretion signal. The light chain was expressed from the PAOX1 and the heavy chain from the PDAS2 (PAOX1_LC_PDAS2_HC-IgG). The strain expressing Fab and IgG variant with the amber codon in the light chain at position Y173 (PAOX1_LCY173X_PDAS2_HC-Fab; PAOX1_LCY173X_PDAS2_HC-IgG) also expressed tRNACUA under the PDAS2 and the synthetase under the PAOX1 (PAOX1_RSpAzF_PDAS2_3xSUP4-tRNACUA). Helper factors PDI1 (PP7435_Chr4-0107), HAC1i (PP7435_Chr1-0700), YAP1 (PP7435_Chr4-0370), and KAR2 (PP7435_Chr2-1167) were constitutively overexpressed under the glyceraldehyde-3-phosphate dehydrogenase promoter (PGAP). LHS1 (PP7435_Chr1-0059) was overexpressed under the promoter for mitochondrial porin 1 (PPOR1_LHS1) and CPR5 (PP7435_Chr1-0581) and SBH1 (PP7435_Chr2-0220) under the promoter for the translational elongation factor EF-1α (PTEF_CPR5; PTEF_SBH1). The YPT7 (PP7435_Chr4-0052) deletion strains were prepared from parents producing both variants of Fab and IgG and a positive clone from each was selected for KAR2 and LHS1 co-overexpression.
Screenings in 24 deep-well plates
All the screenings were performed in 24 deep-well plates with shaking at 280 rpm at 25 °C. The minimal medium used for main cultures was ASMv6, as previously described [11] and controlled glucose release was achieved using the EnPump200 kit (EnPresso) to the final polysaccharide concentration of 25 g L−1 and 0.3% of the corresponding enzyme. For the precultures, 2 mL of selective YPD media (10 g L−1 yeast extract, 20 g L−1 soy peptone, 2% v/v glucose) were inoculated with single colonies from the selective YPD agar (YPD medium with 2% agar) plates after incubation for 2 days at 30 °C. After 28 h, the precultures were washed and 2 mL of the main cultures were inoculated to a starting OD600 of 8. All the cultures expressing heterologous proteins with pAzF were supplemented with 2 mM pAzF dissolved in 2 mM NaOH and the negative controls with 2 mM NaOH. Methanol shots were given to the cells for induction: 0.5% was given 3 h post-inoculation and three shots of 1% 19, 27, and 43 h post-inoculation. The cultures were harvested 48 h post-inoculation by taking 1 mL cultures and centrifuging them at 13 000 rpm for 5 min. Wet cell weight was measured from cell pellets and the supernatant was analyzed by ELISA (Fab and IgG cultures). For eGFP expression measurements, cultures from the end of the screenings were diluted in pre-cooled PBS (0.24 g L−1 KH2PO4, 1.8 g L−1 Na2HPO4∙2H2O, 0.2 g L−1 KCl, 8 g L−1 NaCl, pH 7.4) to an OD600 of 0.4 in 96 microtiter plates.
Flow cytometry analysis
Flow cytometry analysis was performed in a CytoFLEX S benchtop flow cytometer (Beckman Coulter). The excitation wavelength for eGFP was 488 nm and for detection, a 525/40 nm bandpass filter was used. The sample flow rate was set to 30 µL min−1, and the number of recorded events was 10,000. For statistical analysis, geometric means of the fluorescence and the forward scatter signal heights were taken from which a mean relative cell-associated product (PRel) was calculated as reported previously [45, 46]. The percentage of stop codon suppression in eGFPY40X was calculated from the ratio of the PRel of each clone and PRel of two to three biological replicates of the positive control.
Enzyme-linked immunosorbent assay
ELISA was performed as described previously [31], except for the coating antibodies used. For Fab samples, mouse anti-human IgG Fab (Invitrogen) was used and for IgG samples, anti-human IgG (γ-chain specific, Sigma) was used. The standard for Fab was as described, while the standard for IgG was the commercial Herceptin™ (Roche). Stop codon suppression yields were calculated from the product yields with pAzF for each clone relative to two to three biological replicates expressing corresponding wild-type proteins. Titer and yield fold changes in overexpression screenings were calculated from the ratios of titers and yields for each clone relative to the average of titers and yields of two to three biological replicates of the wild-type strains.
Silver staining and western blot
For SDS-PAGE, either NuPAGE 12% Bis-Tris (for Fab samples) or NuPAGE® Novex 4-12% Bis-Tris (for IgG samples) gels were used. Samples were prepared by boiling 13 or 15 µL supernatants with 5 µL loading buffer (4×, NuPAGE) with or without 2 µL reducing agent (10×, NuPAGE) or 5 mM N-ethylmaleimide (NEM, Thermofisher), respectively, at 100 °C for 1 min. Samples were run in 1×MOPS (NuPAGE) at 180 V for 1 h. After SDS-PAGE run, gels were fixed in a fixing solution (10% v/v acetic acid, 50% v/v ethanol) with gentle agitation overnight at 4 °C. The next day, the fixing solution was discarded, and gels were incubated in an incubation solution (68.2 g L−1 sodium acetate, 3.2 g L−1 Na2S2O3·5H2O, 30% v/v ethanol, 0.25% v/v glutaraldehyde) with gentle agitation for 30 min at room temperature. Gels were then washed three times with distilled water for 10 min. Silver nitrate solution (0.1% w/v AgNO3, 0.02% v/v formaldehyde) was added and gels were incubated for 20 min at room temperature. After the binding, gels were briefly washed with distilled water and a developing solution (5.0 g L−1 Na2CO3, 0.01% v/v formaldehyde) was added. Gels were incubated at room temperature until protein bands were of desired intensity. Further development was quenched with 50 mM EDTA and gels were scanned. Gels that were not used for silver staining were blotted on Trans-Blot turbo mini 0.2 µm nitrocellulose membranes (Bio-Rad) in the Trans-Blot Turbo transfer system (Bio-Rad). Membranes were immediately incubated in blocking buffer (PBS pH 7.4, 0.05% Tween, 2% BSA) at 4 °C with gentle agitation overnight. The next day, membranes were washed three times for 5 min with washing buffer (PBS pH 7.4, 0.05% Tween). Primary antibodies diluted in the blocking buffer were incubated for 1 h at room temperature with a washing step in between. Secondary fluorescent antibodies were incubated in the same way, and after the final washing step, fluorescence was detected by the Chemidoc MP imaging system (Bio-Rad).
Fed-batch bioreactor cultivation
The bioreactor cultivations were done in a DASGIP® Parallel Bioreactor System (Eppendorf AG) in 1 L bioreactor vessels. Process parameters were controlled remotely by the DASGIP control software (Eppendorf AG, Germany). During the batch phase, pH was maintained at 5.5, while during the feed phases, at 5.0 by 25% NH4OH. The temperature was held at 25 °C during the whole process. Dissolved oxygen (DO) was controlled by a DO-cascade, which consisted of a sequential increase of stirring speed from 200 to 1250 rpm, ingas flow rate from 6 to 50 sL h−1 and ingas oxygen concentration between 21 and 100%, depending on individual strain demand. Precultures were inoculated from 1 mL working cell banks in 50 mL selective YPG in 300 mL shake flasks and cultivated at 25 °C overnight with mixing at 180 rpm. Before the bioreactor inoculation, OD600 was measured and the appropriate volume of the precultures was washed with the batch medium. The batch volume of 300 mL was inoculated to an OD600 of 1 and 2 mM pAzF were added. The batch phase of the bioreactor cultivations took approximately 24 h. The second phase of linear feed with 50% glucose (rate of feed calculated as y = 0.225x + 1.95, x: time [h]) was initiated when the total glycerol was consumed. After 8 h, the third phase was initiated by the linear increase in 100% methanol (y = 0.028x + 0.6) and the simultaneous linear decrease in 50% glucose (y = 3.75 − 0.111x). After 18 h of the co-feed phase, the fourth phase was initiated by the linear feed with 100% methanol alone (y = 0.028x + 1.1) [11]. During the bioreactor cultivations, samples were taken at six time points. Two milliliters were taken in three technical replicates for each bioreactor and centrifuged at 4 °C with a speed of 13,000 rpm for 5 min. Pellets were washed with 1 mL 0.1 M HCl and dried in preweighted tubes at 105 °C for determination of yeast dry mass (YDM). Supernatants were used for the determination of protein concentration. The cultivations were terminated 90 h post-induction by harvesting supernatants of each bioreactor at 4 °C with a speed of 10000×g for 30 min. The harvested supernatants were used for protein purification.
Protein purification
Bioreactor supernatants were concentrated by tangential flow filtration and the buffer was changed to PBS (pH 7.4). Affinity purification was performed using the HiTrap Protein A HP column. The column was equilibrated with 12 column volumes (CVs) binding buffer (PBS, pH 7.4) at the rate of 1 mL min−1. The sample was loaded at the rate of 0.5 mL min−1 and washed with the binding buffer at 1 mL min−1 for 15 CVs. Elution steps were done at the rate of 1 mL min−1 using 0.1 M glycin-HCl (pH 3.5) as the elution buffer, starting with a 10 CVs linear gradient from 0 to 50% elution buffer, followed by 5 CVs with 50% elution buffer. A linear gradient from 50 to 100% elution buffer was applied for 10 CVs or until the absorbance at 280 nm started rising. Elution at 100% elution buffer with pH 2.5 was applied for the last 12 CVs. Each collected fraction was neutralized with 100 mM Tris-HCl. Fractions that showed increased absorbance, washed fractions and unbound fractions were analyzed by SDS-PAGE. Those containing full-length IgG were pooled and buffer was exchanged to PBS (pH 7.4) using Amicon spin filters. The second step of size-exclusion purification was performed using HiLoad Superdex 16/600 column. Equilibration and washing buffer was PBS (pH 7.4). The flow rate applied was 0.5 mL min−1. Fractions belonging to the same peak were pooled and analyzed by SDS-PAGE and western blot.
Mass spectrometry analysis
Fractions containing pure full-length IgGs were analyzed by mass spectrometry. The proteins were reduced with 2.5 mM DTT and incubated at 37 °C for 30 min. Additionally, an aliquot of each sample was de-N-glycosylated by the addition of 2.5 mU PNGase F and incubated at 40 °C for 2 h.
Two µg of the protein was directly injected into an LC-ESI-MS system (LC: Agilent 1290 Infinity II UPLC). A gradient from 15 to 80% acetonitrile in 0.1% formic acid [using a Waters BioResolve column (2.1 × 5 mm)] at a flow rate of 400 µL min−1 was applied (15-min gradient time). Detection was performed with a Q-TOF instrument (Agilent Series 6560 LC-IMS-QTOFMS) equipped with the Jetstream ESI source in positive ion, MS mode (range: 100–3200 Da). Instrument calibration was performed using an ESI calibration mixture (Agilent). Data were processed using MassHunter BioConfirm B.08.00 (Agilent) and the spectrum was deconvoluted by MaxEnt.
Alternatively, the samples were digested with trypsin (Promega, Trypsin Gold) after S-alkylation with iodoacetamide. The digested samples were loaded on a nanoEase C18 column (nanoEase M/Z HSS T3 Column, 100 Å, 1.8 µm, 300 µm × 150 mm, Waters) using 0.1% formic acid as the aqueous solvent. A gradient from 3.5% B (B: 80% ACN, 20% A) to 40% B in 30 min was applied, followed by a 5-min gradient from 40% B to 95% B that facilitated the elution of large peptides at a flow rate of 6 µL min−1. Detection was performed with an ion-trap MS (amazon speed ETD, Bruker) equipped with the standard ESI source in positive ion, DDA mode (= switching to MSMS mode for eluting peaks). MS-scans were recorded (range: 150–2200 Da) and the 8 highest peaks were selected for fragmentation. Instrument calibration was performed using an ESI calibration mixture (Agilent).
The analysis files were converted (using Data Analysis, Bruker) to mgf files, which are suitable for performing an MS/MS ion search with X!-Tandem. The files were searched against a P. pastoris database including the following sequences, adding 25.00648 Da at Y as a potential modification to allow the identification of the pAzF incorporation.
Supplementary Information
Additional file 1: Supplementary figures. Figure S1. Cloning scheme of plasmids containing a tRNACUA/RSpAzF pair and b Fab/IgG heavy and light chains using GoldenPiCS. Backbone 1 (BB1) carried either promoter (fusion sites 1 and 2; green arrows), recombinant gene (fusion sites 2 and 3; blue and yellow arrows), or terminator (fusion sites 3 and 4; gray arrows). Three tandem copies of SUP4-tRNACUA were generated in a single BB1 assembly from PCR products carrying custom fusion sites (FS) in overhangs in BsaI/T4 mediated restriction/ligation as shown above BB1_3x SUP4-tRNACUA. In the case of Fab/IgG with the amber stop codon at the position Y173 in the light chain, a custom fusion site (black and grey boxes) was created to replace 5′ TAC of Y173 to 5′ TAG as shown in the insert above BB1_LC. Overhangs of the PCR product carried recognition sites for BsaI (white boxes) for BB1 assembly. BB1s were assembled into BB2s containing fusion sites 1 and 4 flanked by the fusion sites A and B or B and C in BbsI/T4 mediated restriction/ligation. BB2s carried single expression cassettes and were assembled into BB3s with fusion sites A and C to accommodate two expression cassettes. Details about the fusion site choice were elaborated by Kolb et al. [1]. The figure was generated on Biorender.com. Figure S2. SDS-PAGE with silver staining (left) and western blot (right) analysis of the supernatants from the screenings: a Fab and b IgG producing strains. Two biological replicates of each strain were used for the analyses and one of each was used for the reduced protein analysis (DTT “+” wells). The protein ladder was loaded in the first well, and the corresponding protein standards were loaded in the second well. The pre-pro-MFα secretion signal is abbreviated as “ppM” and the pre-Ost1-pro-MFα as “pOpM”. The green bands show the heavy chain and the red ones the light chain. Due to the high standard concentration, in-gel fragmentation is observed. Figure S3. Feeding strategy for methanol-inducible fed-batch bioreactor cultivations. A defined minimal medium containing 2% glycerol is used in the batch phase, where cells generate biomass before methanol induction. Upon total glycerol consumption, cells are slowly fed with 50% glucose (blue line) for eight hours, after which the glucose feed slows down and 100% methanol (red line) is slowly added to pre-condition the cells. This co-feed phase takes 18 h. The last cultivation phase takes 3 days and only 100% methanol is slowly fed to the cells. Figure S4. IgG and IgGpAzF titers (bars) and yields (lines) produced by the KAR2 and LHS1 co-overexpressing strains during the methanol induction phase of fed-batch bioreactor cultivations. The yields were calculated as the amount of protein per yeast dry mass (YDM). Mean values above the bars were calculated from three technical replicates for IgG samples and one technical replicate from three bioreactors for the IgGpAzF samples. Error bars represent standard deviations and are not shown for the yields to avoid graph crowdedness. Figure S5. a SDS-PAGE with silver staining and b western blot of supernatants from the fed-batch bioreactor cultivations of the IgG and IgGpAzF producing strains. The cultivation medium for IgG production did not contain pAzF (marked with minuses), while the media for IgGpAzF production contained 1 mM pAzF (marked with pluses). The first and the last lane contain the protein ladder. The lane with the commercial trastuzumab standard is labeled with “St” and the numbers are the sample numbers. The red bands show the light chain (LC), while the green bands show the heavy chain (HC). The main fragmentation products are assigned on the right. Figure S6. Analysis of selected fractions after IgGpAzF and IgG purification by size-exclusion chromatography. a SDS-PAGE with silver staining and b western blot. One microgram of total protein was loaded in each well so the band intensity does not reflect the relative protein amounts in the samples. The first and the middle lane contain the protein ladder. The lane with a commercial trastuzumab standard is labeled with “St”. The red bands show the light chain, while the green bands show the heavy chain. Figure S7. Deconvoluted MS spectra of the reduced IgGpAzF a, b and IgG c, d and treated with PNGase b, d. The molecular weight of the light chain without pAzF is 23443.1 Da and 23468.1 Da of the pAzF-carrying variant (in the gray box). The molecular weight of the unglycosylated heavy chain is 49284.65 Da (in the golden box).
Additional file 2: Supplementary tables. Table S1. Concentration test for optimal amber suppression in eGFPY40X by pAzF. Wet cell weight was determined at the end of 24 deep-well plate screenings by weighing the pellets from 1 mL culture aliquots. Negative control cultures contained varying amounts of NaOH while the suppression cultures contained varying amounts of pAzF, prepared as a stock solution of 100 mM in 100 mM NaOH. The mean relative cell-associated product was calculated from the ratio of the geometric mean of fluorescence intensity and forward scatter as described by Kolb et al. [1] and Dumas et al. [2]. Average values and the corresponding standard deviations were calculated from three biological replicates. Table S2. List of primers prepared for this study. Table S3. List of strains prepared in this study.
Acknowledgements
This work has been funded by the Christian Doppler Research Association (Christian Doppler Laboratory for Innovative Immunotherapeutics), the Austrian Science Fund (FWF W1224, Doctoral Program on Biomolecular Technology of Proteins, BioToP), and Merck Healthcare KGaA, Darmstadt, Germany. Equipment was kindly provided by EQ-BOKU VIBT GmbH and the BOKU Core Facility for Biomolecular and Cellular Analysis (flow cytometry) and by the BOKU Core Facility for Mass Spectrometry (MS).
Author contributions
NT: strain engineering, screenings, protein quantification, and qualitative analyses, bioreactor cultivations, affinity purification, manuscript drafting; LH: supervision and data interpretation, technology sharing, manuscript draft corrections; CG-G: mass spectrometry measurements, data analysis, manuscript drafting; LJ: size-exclusion chromatography and data interpretation; SD: project supervision, data interpretation, provision of materials and protein sequences, manuscript draft commenting; NR: project supervision, data interpretation; DM: conceiving the study, supervision and data interpretation, manuscript draft corrections. All authors read and approved the final manuscript.
Funding
This work was supported by the Christian Doppler Research Association (Christian Doppler Laboratory for Innovative Immunotherapeutics, Grant No. CD-I2T) and Merck Healthcare KGaA, Darmstadt, Germany. NT and DM were supported by the Austrian Science Fund (Project W1224).
Availability of data and materials
The datasets and materials used and/or analyzed during the current study are available from the corresponding author on reasonable request.
Declarations
Ethics approval and consent to participate
Not applicable.
Consent for publication
Not applicable.
Competing interests
Not applicable.
Footnotes
Publisher's Note
Springer Nature remains neutral with regard to jurisdictional claims in published maps and institutional affiliations.
References
- 1.Kolb HC, Finn MG, Sharpless KB. Click chemistry: diverse chemical function from a few good reactions. Angew Chem Int Ed. 2001;40:2004–2021. doi: 10.1002/1521-3773(20010601)40:11<2004::AID-ANIE2004>3.0.CO;2-5. [DOI] [PubMed] [Google Scholar]
- 2.Dumas A, Lercher L, Spicer CD, Davis BG. Designing logical codon reassignment - Expanding the chemistry in biology. Chem Sci. 2015;6:50–69. doi: 10.1039/c4sc01534g. [DOI] [PMC free article] [PubMed] [Google Scholar]
- 3.Young DD, Schultz PG. Playing with the molecules of life. ACS Chem Biol. 2018;13:854–870. doi: 10.1021/acschembio.7b00974. [DOI] [PMC free article] [PubMed] [Google Scholar]
- 4.Tong JTW, Harris PWR, Brimble MA, Kavianinia I. An insight into FDA approved antibody-drug conjugates for cancer therapy. Molecules. 2021;26:5847. doi: 10.3390/molecules26195847. [DOI] [PMC free article] [PubMed] [Google Scholar]
- 5.Jeong KJ, Jang SH, Natarajan V. Recombinant antibodies: engineering and production in yeast and bacterial hosts. Biotechnol J. 2011;6:16–27. doi: 10.1002/biot.201000381. [DOI] [PubMed] [Google Scholar]
- 6.Gasser B, Mattanovich D. Antibody production with yeasts and filamentous fungi: on the road to large scale? Biotechnol Lett. 2007;29:201–212. doi: 10.1007/s10529-006-9237-x. [DOI] [PubMed] [Google Scholar]
- 7.Li H, Sethuraman N, Stadheim TA, Zha D, Prinz B, Ballew N, Bobrowicz P, Choi BK, Cook WJ, Cukan M, Houston-Cummings NR, Davidson R, Gong B, Hamilton SR, Hoopes JP, Jiang Y, Kim N, Mansfield R, Nett JH, Rios S, Strawbridge R, Wildt S, Gerngross TU. Optimization of humanized IgGs in glycoengineered Pichia pastoris. Nat Biotechnol. 2006;24:210–215. doi: 10.1038/nbt1178. [DOI] [PubMed] [Google Scholar]
- 8.Gasser B, Maurer M, Gach J, Kunert R, Mattanovich D. Engineering of Pichia pastoris for improved production of antibody fragments. Biotechnol Bioeng. 2006;94:353–361. doi: 10.1002/bit.20851. [DOI] [PubMed] [Google Scholar]
- 9.de Ruijter JC, Koskela EV, Frey AD. Enhancing antibody folding and secretion by tailoring the Saccharomyces cerevisiae endoplasmic reticulum. Microb Cell Fact. 2016;15:1–18. doi: 10.1186/s12934-016-0488-5. [DOI] [PMC free article] [PubMed] [Google Scholar]
- 10.Ye J, Ly J, Watts K, Hsu A, Walker A, Mclaughlin K, Berdichevsky M, Prinz B, Sean Kersey D, d’Anjou M, Pollard D, Potgieter T. Optimization of a glycoengineered Pichia pastoris cultivation process for commercial antibody production. Biotechnol Prog. 2011;27:1744–1750. doi: 10.1002/btpr.695. [DOI] [PubMed] [Google Scholar]
- 11.Zavec D, Gasser B, Mattanovich D. Characterization of methanol utilization negative Pichia pastoris for secreted protein production: new cultivation strategies for current and future applications. Biotechnol Bioeng. 2020;117:1394–1405. doi: 10.1002/bit.27303. [DOI] [PMC free article] [PubMed] [Google Scholar]
- 12.Choi BKK, Bobrowicz P, Davidson RC, Hamilton SR, Kung DH, Li H, Miele RG, Nett JH, Wildt S, Gerngross TU. Use of combinatorial genetic libraries to humanize N-linked glycosylation in the yeast Pichia pastoris. Proc Natl Acad Sci USA. 2003;100:5022–5027. doi: 10.1073/pnas.0931263100. [DOI] [PMC free article] [PubMed] [Google Scholar]
- 13.Crabtree HG. Observations on the carbohydrate metabolism of tumours. Biochem J. 1929;23:536–545. doi: 10.1042/bj0230536. [DOI] [PMC free article] [PubMed] [Google Scholar]
- 14.De Deken RH. The crabtree effect: a regulatory system in yeast. J Gen Microbiol. 1966;44:149–156. doi: 10.1099/00221287-44-2-149. [DOI] [PubMed] [Google Scholar]
- 15.Mattanovich D, Sauer M, Gasser B. Industrial biotechnology. Berlin: De Gruyter; 2016. Industrial microorganisms: Pichia pastoris; pp. 687–714. [Google Scholar]
- 16.Damasceno LM, Huang CJ, Batt CA. Protein secretion in Pichia pastoris and advances in protein production. Appl Microbiol Biotechnol. 2012;93:31–39. doi: 10.1007/s00253-011-3654-z. [DOI] [PubMed] [Google Scholar]
- 17.Delic M, Valli M, Graf AB, Pfeffer M, Mattanovich D, Gasser B. The secretory pathway: exploring yeast diversity. FEMS Microbiol Rev. 2013;37:872–914. doi: 10.1111/1574-6976.12020. [DOI] [PubMed] [Google Scholar]
- 18.Young TS, Ahmad I, Brock A, Schultz PG. Expanding the genetic repertoire of the methylotrophic yeast Pichia pastoris. Biochemistry. 2009;48:2643–2653. doi: 10.1021/bi802178k. [DOI] [PubMed] [Google Scholar]
- 19.Budisa N, Wenger W, Wiltschi B. Residue-specific global fluorination of Candida antarctica lipase B in Pichia pastoris. Mol Biosyst. 2010;6:1630–1639. doi: 10.1039/c002256j. [DOI] [PubMed] [Google Scholar]
- 20.Chin JW, Santoro SW, Martin AB, King DS, Wang L, Schultz PG. Addition of p-azido-l-phenylalanine to the genetic code of Escherichia coli. J Am Chem Soc. 2002;124:9026–9027. doi: 10.1021/ja027007w. [DOI] [PubMed] [Google Scholar]
- 21.Chen S, Schultz PG, Brock A. An improved system for the generation and analysis of mutant proteins containing unnatural amino acids in Saccharomyces cerevisiae. J Mol Biol. 2007;371:112–122. doi: 10.1016/j.jmb.2007.05.017. [DOI] [PubMed] [Google Scholar]
- 22.Prielhofer R, Cartwright SP, Graf AB, Valli M, Bill RM, Mattanovich D, Gasser B. Pichia pastoris regulates its gene-specific response to different carbon sources at the transcriptional, rather than the translational, level. BMC Genom. 2015;16:1–17. doi: 10.1186/s12864-015-1393-8. [DOI] [PMC free article] [PubMed] [Google Scholar]
- 23.Prielhofer R, Barrero JJ, Steuer S, Gassler T, Zahrl R, Baumann K, Sauer M, Mattanovich D, Gasser B, Marx H. GoldenPiCS: A Golden Gate-derived modular cloning system for applied synthetic biology in the yeast Pichia pastoris. BMC Syst Biol. 2017;11:1–14. doi: 10.1186/s12918-017-0492-3. [DOI] [PMC free article] [PubMed] [Google Scholar]
- 24.Barrero JJ, Casler JC, Valero F, Ferrer P, Glick BS. An improved secretion signal enhances the secretion of model proteins from Pichia pastoris. Microb Cell Fact. 2018;17:1–13. doi: 10.1186/s12934-018-1009-5. [DOI] [PMC free article] [PubMed] [Google Scholar]
- 25.Fitzgerald I, Glick BS. Secretion of a foreign protein from budding yeasts is enhanced by cotranslational translocation and by suppression of vacuolar targeting. Microb Cell Fact. 2014;13:1–12. doi: 10.1186/s12934-014-0125-0. [DOI] [PMC free article] [PubMed] [Google Scholar]
- 26.Delic M, Graf AB, Koellensperger G, Haberhauer-Troyer C, Hann S, Mattanovich D, Gasser B. Overexpression of the transcription factor Yap1 modifies intracellular redox conditions and enhances recombinant protein secretion. Microb Cell. 2014;1:376–386. doi: 10.15698/mic2014.11.173. [DOI] [PMC free article] [PubMed] [Google Scholar]
- 27.Gasser B, Sauer M, Maurer M, Stadlmayr G, Mattanovich D. Transcriptomics-based identification of novel factors enhancing heterologous protein secretion in yeasts. Appl Environ Microbiol. 2007;73:6499–6507. doi: 10.1128/AEM.01196-07. [DOI] [PMC free article] [PubMed] [Google Scholar]
- 28.Marsalek L, Puxbaum V, Buchetics M, Mattanovich D, Gasser B. Disruption of vacuolar protein sorting components of the HOPS complex leads to enhanced secretion of recombinant proteins in Pichia pastoris. Microb Cell Fact. 2019;18:1–16. doi: 10.1186/s12934-019-1155-4. [DOI] [PMC free article] [PubMed] [Google Scholar]
- 29.Payne T, Finnis C, Evans LR, Mead DJ, Avery SV, Archer DB, Sleep D. Modulation of chaperone gene expression in mutagenized Saccharomyces cerevisiae strains developed for recombinant human albumin production results in increased production of multiple heterologous proteins. Appl Environ Microbiol. 2008;74:7759–7766. doi: 10.1128/AEM.01178-08. [DOI] [PMC free article] [PubMed] [Google Scholar]
- 30.Behnke J, Feige MJ, Hendershot LM. BiP and its nucleotide exchange factors Grp170 and Sil1: mechanisms of action and biological functions. J Mol Biol. 2015;427:1589–1608. doi: 10.1016/j.jmb.2015.02.011. [DOI] [PMC free article] [PubMed] [Google Scholar]
- 31.Zahrl RJ, Mattanovich D, Gasser B. The impact of ERAD on recombinant protein secretion in Pichia pastoris (Syn Komagataella spp.) Microbiology. 2018;164:453–463. doi: 10.1099/mic.0.000630. [DOI] [PubMed] [Google Scholar]
- 32.Reggiori F, Klionsky DJ. Autophagic processes in yeast: mechanism, machinery and regulation. Genetics. 2013;194:341–361. doi: 10.1534/genetics.112.149013. [DOI] [PMC free article] [PubMed] [Google Scholar]
- 33.Deiters A, Cropp TA, Mukherji M, Chin JW, Anderson JC, Schultz PG. Adding amino acids with novel reactivity to the genetic code of Saccharomyces cerevisiae. J Am Chem Soc. 2003;125:11782–11783. doi: 10.1021/ja0370037. [DOI] [PubMed] [Google Scholar]
- 34.Wilkinson B, Gilbert HF. Protein disulfide isomerase. Biochim Biophys Acta Proteins Proteom. 2004;1699:35–44. doi: 10.1016/j.bbapap.2004.02.017. [DOI] [PubMed] [Google Scholar]
- 35.Nørgaard P, Westphal V, Tachibana C, Alsøe L, Holst B, Winther JR. Functional differences in yeast protein disulfide isomerases. J Cell Biol. 2001;153:553–562. doi: 10.1083/jcb.152.3.553. [DOI] [PMC free article] [PubMed] [Google Scholar]
- 36.Damasceno LM, Anderson KA, Ritter G, Cregg JM, Old LJ, Batt CA. Cooverexpression of chaperones for enhanced secretion of a single-chain antibody fragment in Pichia pastoris. Appl Microbiol Biotechnol. 2007;74:381–389. doi: 10.1007/s00253-006-0652-7. [DOI] [PubMed] [Google Scholar]
- 37.Guerfal M, Ryckaert S, Jacobs PP, Ameloot P, Van Craenenbroeck K, Derycke R, Callewaert N. The HAC1 gene from Pichia pastoris: characterization and effect of its overexpression on the production of secreted, surface displayed and membrane proteins. Microb Cell Fact. 2010;9:1–12. doi: 10.1186/1475-2859-9-49. [DOI] [PMC free article] [PubMed] [Google Scholar]
- 38.Raschmanová H, Weninger A, Knejzlík Z, Melzoch K, Kovar K. Engineering of the unfolded protein response pathway in Pichia pastoris: enhancing production of secreted recombinant proteins. Appl Microbiol Biotechnol. 2021;105:4397–4314. doi: 10.1007/s00253-021-11336-5. [DOI] [PMC free article] [PubMed] [Google Scholar]
- 39.Lee J, Godon C, Lagniel G, Spector D, Garin J, Labarre J, Toledano MB. Yap1 and Skn7 control two specialized oxidative stress response regulons in yeast. J Biol Chem. 1999;274:16040–16046. doi: 10.1074/jbc.274.23.16040. [DOI] [PubMed] [Google Scholar]
- 40.Toikkanen JH, Sundqvist L, Keränen S. Kluyveromyces lactis SSO1 and SEB1 genes are functional in Saccharomyces cerevisiae and enhance production of secreted proteins when overexpressed. Yeast. 2004;21:1045–1055. doi: 10.1002/yea.1151. [DOI] [PubMed] [Google Scholar]
- 41.Bhadra P, Yadhanapudi L, Römisch K, Helms V. How does Sec63 affect the conformation of Sec61 in yeast? PLoS Comput Biol. 2021;17:e1008855. doi: 10.1371/journal.pcbi.1008855. [DOI] [PMC free article] [PubMed] [Google Scholar]
- 42.Wang Q, Wang L. Genetic incorporation of unnatural amino acids into proteins in yeast. Methods Mol Biol. 2012;794:199–213. doi: 10.1007/978-1-61779-331-8_12. [DOI] [PMC free article] [PubMed] [Google Scholar]
- 43.Markošová K, Weignerová L, Rosenberg M, Kren V, Rebroš M. Upscale of recombinant α-l-rhamnosidase production by Pichia pastoris MutS strain. Front Microbiol. 2015;6:1140. doi: 10.3389/fmicb.2015.01140. [DOI] [PMC free article] [PubMed] [Google Scholar]
- 44.Kurtzman CP. Description of Komagataella phaffii sp. Nov. and the transfer of Pichia pseudopastoris to the methylotrophic yeast genus Komagataella. Int J Syst Evol Microbiol. 2005;55:973–976. doi: 10.1099/ijs.0.63491-0. [DOI] [PubMed] [Google Scholar]
- 45.Stadlmayr G, Mecklenbräuker A, Rothmüller M, Maurer M, Sauer M, Mattanovich D, Gasser B. Identification and characterisation of novel Pichia pastoris promoters for heterologous protein production. J Biotechnol. 2010;150:519–529. doi: 10.1016/j.jbiotec.2010.09.957. [DOI] [PubMed] [Google Scholar]
- 46.Hohenblum H, Borth N, Mattanovich D. Assessing viability and cell-associated product of recombinant protein producing Pichia pastoris with flow cytometry. J Biotechnol. 2003;102:281–290. doi: 10.1016/s0168-1656(03)00049-x. [DOI] [PubMed] [Google Scholar]
Associated Data
This section collects any data citations, data availability statements, or supplementary materials included in this article.
Supplementary Materials
Additional file 1: Supplementary figures. Figure S1. Cloning scheme of plasmids containing a tRNACUA/RSpAzF pair and b Fab/IgG heavy and light chains using GoldenPiCS. Backbone 1 (BB1) carried either promoter (fusion sites 1 and 2; green arrows), recombinant gene (fusion sites 2 and 3; blue and yellow arrows), or terminator (fusion sites 3 and 4; gray arrows). Three tandem copies of SUP4-tRNACUA were generated in a single BB1 assembly from PCR products carrying custom fusion sites (FS) in overhangs in BsaI/T4 mediated restriction/ligation as shown above BB1_3x SUP4-tRNACUA. In the case of Fab/IgG with the amber stop codon at the position Y173 in the light chain, a custom fusion site (black and grey boxes) was created to replace 5′ TAC of Y173 to 5′ TAG as shown in the insert above BB1_LC. Overhangs of the PCR product carried recognition sites for BsaI (white boxes) for BB1 assembly. BB1s were assembled into BB2s containing fusion sites 1 and 4 flanked by the fusion sites A and B or B and C in BbsI/T4 mediated restriction/ligation. BB2s carried single expression cassettes and were assembled into BB3s with fusion sites A and C to accommodate two expression cassettes. Details about the fusion site choice were elaborated by Kolb et al. [1]. The figure was generated on Biorender.com. Figure S2. SDS-PAGE with silver staining (left) and western blot (right) analysis of the supernatants from the screenings: a Fab and b IgG producing strains. Two biological replicates of each strain were used for the analyses and one of each was used for the reduced protein analysis (DTT “+” wells). The protein ladder was loaded in the first well, and the corresponding protein standards were loaded in the second well. The pre-pro-MFα secretion signal is abbreviated as “ppM” and the pre-Ost1-pro-MFα as “pOpM”. The green bands show the heavy chain and the red ones the light chain. Due to the high standard concentration, in-gel fragmentation is observed. Figure S3. Feeding strategy for methanol-inducible fed-batch bioreactor cultivations. A defined minimal medium containing 2% glycerol is used in the batch phase, where cells generate biomass before methanol induction. Upon total glycerol consumption, cells are slowly fed with 50% glucose (blue line) for eight hours, after which the glucose feed slows down and 100% methanol (red line) is slowly added to pre-condition the cells. This co-feed phase takes 18 h. The last cultivation phase takes 3 days and only 100% methanol is slowly fed to the cells. Figure S4. IgG and IgGpAzF titers (bars) and yields (lines) produced by the KAR2 and LHS1 co-overexpressing strains during the methanol induction phase of fed-batch bioreactor cultivations. The yields were calculated as the amount of protein per yeast dry mass (YDM). Mean values above the bars were calculated from three technical replicates for IgG samples and one technical replicate from three bioreactors for the IgGpAzF samples. Error bars represent standard deviations and are not shown for the yields to avoid graph crowdedness. Figure S5. a SDS-PAGE with silver staining and b western blot of supernatants from the fed-batch bioreactor cultivations of the IgG and IgGpAzF producing strains. The cultivation medium for IgG production did not contain pAzF (marked with minuses), while the media for IgGpAzF production contained 1 mM pAzF (marked with pluses). The first and the last lane contain the protein ladder. The lane with the commercial trastuzumab standard is labeled with “St” and the numbers are the sample numbers. The red bands show the light chain (LC), while the green bands show the heavy chain (HC). The main fragmentation products are assigned on the right. Figure S6. Analysis of selected fractions after IgGpAzF and IgG purification by size-exclusion chromatography. a SDS-PAGE with silver staining and b western blot. One microgram of total protein was loaded in each well so the band intensity does not reflect the relative protein amounts in the samples. The first and the middle lane contain the protein ladder. The lane with a commercial trastuzumab standard is labeled with “St”. The red bands show the light chain, while the green bands show the heavy chain. Figure S7. Deconvoluted MS spectra of the reduced IgGpAzF a, b and IgG c, d and treated with PNGase b, d. The molecular weight of the light chain without pAzF is 23443.1 Da and 23468.1 Da of the pAzF-carrying variant (in the gray box). The molecular weight of the unglycosylated heavy chain is 49284.65 Da (in the golden box).
Additional file 2: Supplementary tables. Table S1. Concentration test for optimal amber suppression in eGFPY40X by pAzF. Wet cell weight was determined at the end of 24 deep-well plate screenings by weighing the pellets from 1 mL culture aliquots. Negative control cultures contained varying amounts of NaOH while the suppression cultures contained varying amounts of pAzF, prepared as a stock solution of 100 mM in 100 mM NaOH. The mean relative cell-associated product was calculated from the ratio of the geometric mean of fluorescence intensity and forward scatter as described by Kolb et al. [1] and Dumas et al. [2]. Average values and the corresponding standard deviations were calculated from three biological replicates. Table S2. List of primers prepared for this study. Table S3. List of strains prepared in this study.
Data Availability Statement
The datasets and materials used and/or analyzed during the current study are available from the corresponding author on reasonable request.








