Abstract
Background
In recent years, there has been a growing demand for microbial production of trans-4-hydroxy-L-proline (t4Hyp), which is a value-added amino acid and has been widely used in the fields of medicine, food, and cosmetics. In this study, a multivariate modular metabolic engineering approach was used to remove the bottleneck in the synthesis pathway of t4Hyp.
Results
Escherichia coli t4Hyp synthesis was performed using two modules: a α-ketoglutarate (α-KG) synthesis module (K module) and L-proline synthesis with hydroxylation module (H module). First, α-KG attrition was reduced, and then, L-proline consumption was inhibited. Subsequently, to improve the contribution to proline synthesis with hydroxylation, optimization of gene overexpression, promotor, copy number, and the fusion system was performed. Finally, optimization of the H and K modules was performed in combination to balance metabolic flow. Using the final module H1K4 in a shaking flask culture, 8.80 g/L t4Hyp was produced, which was threefold higher than that produced by the W0 strain.
Conclusions
These strategies demonstrate that a microbial cell factory can be systematically optimized by modular engineering for efficient production of t4Hyp.
Supplementary Information
The online version contains supplementary material available at 10.1186/s12934-022-01884-4.
Keywords: Trans-4-hydroxy-L-proline, Escherichia coli, Modular metabolic engineering, Metabolic balance
Background
Trans-4-hydroxy-L-proline (t4Hyp) is present in both animals and plants. As a component of collagen, a subcomponent that is complementary to acetylcholine esterase and elastin, t4Hyp is a nonessential amino acid in several secondary metabolites [1]. T4Hyp is essential to the thermodynamic stability of triple-helices [2]. As a value-added amino acid, t4Hyp has been widely used in the fields of medicine, food, and cosmetics [3]. For example, t4Hyp can be used to synthesize a large variety of chiral molecules, such as glutamate analogs and kainic acids, and natural products, such as lycoperdic acid, bulgecins, fully synthetic piperidines and pyrrolidines, benzodiazepines, puromycin analogs, baclofen and, notably, carbapenem antibiotics [4].
Escherichia coli (E. coli) does not synthesize t4Hyp because it lacks proline-4-hydroxylase (P4H), which catalyzes the conversion of L-proline to t4Hyp [5]. Nevertheless, t4Hyp has been successfully produced in E. coli [6], although product titers could be improved. To date, many efforts have been made to improve the production of t4Hyp. Shibasaki et al. utilized the P4H from Dactylosporangium sp. RH1 to produce t4Hyp in E. coli. With the addition of proline, t4Hyp reached a concentration of 41 g/L in 100 h [7]. In the same year, Shibasaki et al. constructed a plasmid carrying genes encoding feedback-resistant γ-glutamyl kinase (proB74) and proA and introduced it into E. coli W1485 ∆putA. The engineered strain directly produced 25 g/L t4Hyp in 96 h in the presence of glucose [6]. Recently, Wang et al. enhanced t4Hyp production by optimizing p4h gene codons in combination with mutagenesis and further optimized nutritional elements in a 5 L fermenter and achieved an output in fed batch mode of 25.4 g/L t4Hyp within 48 h [8]. Zhao et al. integrated the Vitreoscilla hemoglobin gene (vgb) into the chromosome of recombinant E. coli expressing the p4h gene from Dactylosporangium sp. RH1, and, using a shaking flask culture, obtained a 94.4% increase in t4Hyp production [9]. Wang et al. discovered a new P4H from Alteromonas mediterranea by genome mining. The engineered strain produced 45.83 g/L t4Hyp within 36 h [10]. Zhang et al. simultaneously deleting sucC and sucD genes, the engineered strain produced 4.81 g/L t4Hyp; this amount was 60% higher than the amount produced by the wild-type strain [11]. Jiang et al. enhanced L-proline biosynthesis by eliminating byproducts generated from L-proline, pyruvate, acetyl-CoA, isocitrate and optimizing the genes needed for L-proline biosynthesis. As a result, the engineered strain produced 4.82 g/L t4Hyp [12]. In order to enhance the activity and thermos-stability of P4H, a new P4H from the uncultured bacterium esnapd13 putative “lid” loop in combination with site-directed mutagenesis was performed. Finally, 12.9 g/L t4Hyp was obtained in a fed-batch fermentation [13]. Recently, Long et al. significantly enhancing production of t4Hyp through rare codon selected evolution, dynamic precursor modulation, and metabolic engineering. At last, 54.8 g/L t4Hyp was achieved in 60 h almost without L-proline remaining [14].
In contrast with the traditional metabolic engineering strategy, which may introduce a new bottleneck after each round of single precursor optimization, a modular metabolic engineering strategy can be used to optimize all precursors or pathways simultaneously, thus eliminating the limitations introduced by adding restrictions. Recent studies have shown that modular metabolic engineering can be used to balance the expression levels of genes to improve production. Darmawi et al. designed and constructed a modular biosynthetic pathway for L-tyrosine production in E. coli MG1655. According to the protein and metabolite measurements, optimization of the shikimate module and tyrosine module was performed. As a result of expressing two medium-copy-number, dual-operon plasmids, 2 g/L L-tyrosine was obtained at 80% of the theoretical yield [15]. Liu et al. performed modular engineering with E. coli to improve flavin production by dividing the RF operon and the bifunctional RF kinase/FAD synthetase into two separate modules and expressing the genes at different levels. Using this method, the titers of FAD and FMN produced during shake flask fermentation were as high as 324.1 mg/L and 171.6 mg/L, respectively [16].
In this study, we aimed to improve the availability and balance of precursors to satisfy t4Hyp manufacturing requirements. The key genes in central metabolic and proline synthesis pathways were examined. At the same time, we focused on the hydroxylation capacity of the engineered strain; that is, we optimized P4H expression. To address the imbalance in the expression levels of precursors, a modular metabolic engineering strategy was introduced to further optimize the production of t4Hyp. The t4Hyp biosynthesis pathway was partitioned into two modules: a α-KG module and L-proline with hydroxylation module. At the level of transcriptional regulation, manipulation of various promoters was performed to balance gene expression levels. In addition, due to the introduction of L-glutamate oxidase (LGOX), which converts L-glutamate to α-KG, t4Hyp synthesis from glucose and monosodium glutamate (MSG) was improved. To our knowledge, this study is the first to investigate the effects of a modular metabolic engineering strategy on t4Hyp production while taking advantage of MSG. The proposed t4Hyp pathway in E. coli is shown in Fig. 1.
Fig. 1.
Engineered metabolic pathway for the production of t4Hyp in E. coli. putA (encoding proline dehydrogenase), sucCD (encoding ketoglutarate dehydrogenase complex), aceA (encoding isocitrate lyase), proB74 (encoding feedback resistant γ-glutamate kinase), proA (encoding glutamate-5-semialdehyde dehydrogenase), proC (encoding pyrroline-5-carboxylate reductase), MBP-p4h (encoding proline-4-hydroxylase from Dactylosporangium sp with MBP), acs (encoding acetyl-CoA synthetase), gltA (encoding citrate synthase), icd (encoding isocitrate dehydrogenase), lgox (encoding L-glutamate oxidase)
Results and discussion
Reconstruction of proline and central metabolic pathway
The main limiting factors, which is used as the substrate for t4Hyp production, were α-KG and proline accumulation [17]. To solve this problem, the flux of carbon channeled from glucose into the tricarboxylic acid cycle (TCA) and proline needed to be improved. To prevent consumption of the proline pool, the putA gene (encoding proline dehydrogenase) was deleted to block the conversion of proline to corresponding glutamate [18, 19].
Following a procedure cited in the literature [6], the P1 plasmid was constructed and transformed into W3110 and R1-R8 strains, respectively. As shown in Table 1, the W1 (ΔputA) produced 5.90 g/L t4Hyp, which was twice that produced by the W0 strain. This result was consistent with the fact that proline is an important precursor for t4Hyp production and that deletion of putA leads to increased proline uptake.
Table 1.
Physiological parameters of recombinant E. coli W3110 strains
| W0 | W1 | W2 | W3 | W4 | W5 | W6 | W7 | W8 | |
|---|---|---|---|---|---|---|---|---|---|
| Growth rate (g cdw/L/h) | 0.067 ± 0.005 | 0.077 ± 0.001 | 0.059 ± 0.002 | 0.050 ± 0.004 | 0.051 ± 0.001 | 0.052 ± 0.002 | 0.057 ± 0.004 | 0.055 ± 0.003 | 0.059 ± 0.003 |
| Final biomass (g cdw/L) | 4.84 ± 0.35 | 5.55 ± 0.06 | 4.24 ± 0.11 | 3.58 ± 0.27 | 3.65 ± 0.10 | 3.72 ± 0.15 | 4.09 ± 0.28 | 3.99 ± 0.21 | 4.25 ± 0.22 |
| C t4Hyp (g/L) | 2.94 ± 0.27 | 5.90 ± 0.29 | 3.72 ± 0.27 | 1.80 ± 0.03 | 3.88 ± 0.29 | 5.60 ± 0.14 | 2.51 ± 0.06 | 7.65 ± 0.20 | 7.89 ± 0.16 |
| Y t4Hyp (g t4Hyp/g cdw) | 0.61 ± 0.05 | 1.07 ± 0.06 | 0.88 ± 0.04 | 0.51 ± 0.02 | 1.06 ± 0.06 | 1.51 ± 0.09 | 0.62 ± 0.05 | 1.92 ± 0.05 | 1.86 ± 0.06 |
| Y t4Hyp (g t4Hyp/g glc) | 0.07 ± 0.01 | 0.12 ± 0.01 | 0.11 ± 0.00 | 0.06 ± 0.00 | 0.13 ± 0.01 | 0.16 ± 0.00 | 0.08 ± 0.00 | 0.21 ± 0.00 | 0.22 ± 0.00 |
| r t4Hyp (g t4Hyp/L/h) | 0.041 ± 0.004 | 0.082 ± 0.004 | 0.052 ± 0.004 | 0.025 ± 0.000 | 0.054 ± 0.004 | 0.078 ± 0.002 | 0.035 ± 0.001 | 0.106 ± 0.002 | 0.110 ± 0.002 |
To improve α-KG accumulation, we focused mainly on the central metabolic pathways by altering α-KG and isocitrate metabolism to increase the availability of α-KG, and the carbon flux was redirected from α-KG to t4Hyp [20–22]. Recombinant E. coli strains were constructed by deletion of α-ketoglutarate dehydrogenase (sucA) and/or isocitrate lyase (aceA). The t4Hyp concentration of W2 (ΔsucA) was increased to 3.72 g/L, which was 27% higher than that of W0. While deletion of aceA had a negative effect. Critically, the t4Hyp concentration only 1.80 g/L in W3 (ΔaceA), 39% lower than that of W0. The t4Hyp yield on glucose was also decreased to 0.06 g/g in W3 (ΔaceA), 14% lower than that of W0. Furthermore, the W2 (ΔsucA) strain exhibited a lower growth rate, final biomass and glucose consumption rate as compared to W0. These outcomes may have been due to the deletion of sucA, which caused the breakdown of the TCA cycle. The supply of oxaloacetate and succinate might rely on the glyoxylate cycle [23]. The deletion of aceA in E. coli severely impaired the cell growth. As compared to W2 (ΔsucA), the greater severity of the aceA deletion and the higher functional significance of aceA in the TCA cycle also became obvious from the lower growth rate and the lower biomass. The highest metabolic pressure is for cell growth dependent on the proline hydroxylation, that is, t4Hyp synthesis in fermentation [24]. It is likely that the deletion of aceA have negative effects on metabolism, and that one consequence is inefficient production of t4Hyp. This may be due to the fact that PEP carboxylation is the only anaplerotic route for oxaloacetate replenishment in glyoxylate shunt-deficient E. coli [25]. The strain deletion of both sucA and aceA, in fact, unable to grow in minimal medium. The expression of P4H can restored cell growth and proline hydroxylation as an alternative bypass to restore a TCA cycle. Furthermore, the growth of the ΔsucAΔaceA mutant strain is coupled to proline hydroxylation. However, despite the presence of proline hydroxylation, the reduction of sucCoA and the glyoxylate shunt-deficient in the ΔsucAΔaceA strain imposed a heavy stress on cell growth as emphasized by the lower growth rate and final biomass concentration obtained as compared to the W0 [24]. Strain W4 (ΔsucAΔaceA, 3.88 g/L), which was no obvious improvement compare with W2 (ΔsucA, 3.72 g/L), but 115% higher than that produced by strain in W3 (ΔaceA, 1.80 g/L). The results showed that although a metabolic burden was imposed by heterologous t4Hyp synthesis and despite the reduction in energy and precursors available for biomass formation, the simultaneous elimination of sucA and aceA increased the flux through P4H, resulting in an increased t4Hyp titer.
To investigate the effects of modifying genes in combination on the central metabolic and proline degradation pathways, a knockout assay was performed. Deletion of both putA and sucA exerted additive effects on t4Hyp production, and 5.60 g/L t4Hyp was obtained, a titer 51% higher than that of W2 (ΔsucA). In the W6 (ΔputAΔaceA) strain, the rate of t4Hyp formation was much faster than that in the W3 (ΔaceA) strain. Compared to that of the W3 strain, the final titer was increased by 39%, from 1.80 g/L to 2.51 g/L. In the triple-deletion mutant W7 (ΔputAΔsucAΔaceA) strain, after 72 h of cultivation in a flask, 7.65 g/L t4Hyp was detected in the culture broth, which was a significant increase in t4Hyp formation; this titer was 97% higher than that of the W4 (ΔsucAΔaceA) strain. These results indicated that the combination of modified genes in the central metabolic and proline degradation pathways exerted a synergetic effect to increase t4Hyp production in E. coli. Deletion of the sucA gene may have resulted in an adverse effect on cell growth due to the reduction in sucCoA level. The W8 (ΔputAΔsucCDΔaceA) strain was constructed for further evaluation. Compared with those in the W7 strain, the final biomass and growth rate were both improved in the W8 strain. For t4Hyp production, the titer and yield were increased to 7.89 g/L and 0.22 g/g glucose, respectively. These results indicated that the reduction of sucCoA disadvantaged cell growth and thus had an effect on t4Hyp production. Considering the t4Hyp production ability in E. coli, we selected the ΔputAΔsucCDΔaceA strain for use in further experiments.
Investigating trans-4-hydroxy-L-proline production by overexpressing genes in the proline biosynthesis pathway
One approach to enhance t4Hyp production involved increasing the expression of upstream intermediates in the proline biosynthesis pathway. In E. coli, glutamate is the primary precursor of proline synthesis [26]. Proline biosynthesis from glutamate is realized via three enzymatic reactions that are catalyzed by γ-glutamyl kinase (ProB), glutamate-γ-semialdehyde dehydrogenase (ProA), and Δ1-pyrroline-5-carboxylate reductase (ProC) [27, 28]. Thus, the expression of three genes (proB74, proA, and proC) related to E. coli proline biosynthesis was moderated to enhance proline synthesis [26]. Because proline produces a feedback inhibition effect on ProB, which is the rate-limiting step in proline biosynthesis, feedback-inhibition resistant ProB74 was used in this study [29, 30]. Gene p4h from Dactylosporangium sp. was codon optimized and expressed in E. coli to enable t4Hyp production. As shown in Fig. 2, small amounts of t4Hyp and biomass were produced; when R8/p2 was cultivated, the titer and OD600 were only 0.46 g/L and 7.74, respectively. However, when the proB74 gene together with the p4h gene were overexpressed in E. coli, R8/p3 was obtained. The expression of proB74 clearly increased the titer and biomass, and 2.86 g/L and OD600 9.18 were obtained, which were 6.2- and 1.2-fold those of R8/p2, respectively.
Fig. 2.

Effects of the overexpression of proline biosynthesis pathway genes. a t4Hyp titers. b Cell concentration. (R8: W3110 ∆putA∆sucCD∆aceA; p2: pET24a, Ptrp::p4h; p3: pET24a, Ptrp::p4h-proB74; p1: pET24a, Ptrp::p4h-proB74-proA; p4: pET24a, Ptrp::p4h-proB74-proA-proC)
As an alternative way to enhance the flux to proline, we examined the effects of overexpressing proA. As expected, increasing the expression of the proA gene further increased the production titer to 7.89 g/L, which was 2.8-fold higher than that of R8/p3. This result indicates that coexpressing proB74 and proA resulted in a synergistic effect on t4Hyp production. In addition, the OD600 of W8 was 11.32, which was 23% higher than that of R8/p3.
Based on the promising results obtained using the W8 strain for the production of t4Hyp, further metabolic engineering was performed to increase t4Hyp production. In this experiment, the co-overexpression of p4h, proB74, proA, and proC resulted in a t4Hyp titer of 8.09 g/L, which was 17.6-fold that of R8/p2. This result confirmed that proC overexpression enabled further increase in E. coli t4Hyp production, although the increase was slight. Two reasons may explain this outcome: either the accumulation of proline was sufficient (6.78 g/L), or P4H activity was restricted. The t4Hyp-producing cells, especially the high-level producers, showed a significant titer and yield production level, suggesting that the metabolically engineered proline production pathway competed with the arginine production pathway while allowing higher flux to be directed toward t4Hyp. These results also directly suggest that the proline route is a promising alternative to replenish the previously consumed α-KG during the production of proline-derived products. Overall, our results demonstrated that overexpression of three genes (proB74, proA, and proC) improved total t4Hyp production through their enhanced effect on proline synthesis.
Optimization of proline-4-hydroxylase expression by employing different expression systems
During t4Hyp synthesis in E. coli, α-KG and proline conversion into t4Hyp is thought to be a rate-limiting step that is mainly driven by P4H. By enhancing the expression of P4H, α-KG and proline can be more efficiently consumed in the synthesis of t4Hyp. In view of this possibility, the p4h gene was ligated into the pACYC-Duet-1, pET24a, pKK223-3, pGEX-6P-1, pMAL-C2-X, pET20b, pET39b, pET43.1a, and pET48b expression vectors and expressed in E. coli BL21 (DE3), and these strains were called B1, B2, B3, B4, B5, B6, B7, B8, and B9 strains, respectively. Thus, different plasmid copy numbers, promoters, and fusion protein tags were chosen to improve the expression of P4H. All constructs were evaluated on the basis of P4H activity in recombinant whole cells.
With L-proline, α-KG, and Fe2+ as substrates, different levels of catalytic activity were observed when recombinant E. coli BL21 (DE3) expressed different expression vectors. As shown in Fig. 3a, the P4H catalytic activities of B0 (1076 U g−1 cdw) and B1 (1577 U g−1 cdw) were observed. Plasmid of p5, with a low plasmid copy number, showed higher P4H catalytic activity. In strain B2, with the T7 promoter, and B3, with the tac promoter, the P4H activities were 2284 U g−1 cdw and 3036 U g−1 cdw, respectively. Compared with those in the B0 (trp promoter) strain, the P4H activities were improved approximately 2.1-fold and 2.8-fold in B2 and B3, respectively. In addition to the effect of the pelB signal peptide (314 U g−1 cdw), the activities of P4H were significantly increased with the use of a fusion protein tag; that is the activity levels were 2–3 times those of B0. These results suggested that the expression of P4H with fused protein tags increased the ability of P4H to convert proline and α-KG to t4Hyp. Among all the recombinant E. coli strains, the highest P4H activity was measured in the E. coli BL21 (DE3) strain expressing the p9 plasmid. The P4H activity reached 4218 U g−1 cdw. MBP is a maltose-binding protein with excellent ability that poor expression of proteins are often expressed better after fusion with MBP [31, 32].
Fig. 3.

Effect of vectors on P4H activity and t4Hyp production. a The specific activity of the B0-B9 strains. b The t4Hyp production of the B0 and B5 strains. (B0: BL21 (DE3), p2: pET24a, Ptrp::p4h; B1: BL21 (DE3), p5: pACYC-Duet-1, Ptrp::p4h; B2: BL21 (DE3), p6: pET24a, p4h; B3: BL21 (DE3), p7: pKK223, p4h; B4: BL21 (DE3), p8: pGEX-6P-1, p4h; B5: BL21 (DE3), p9: pMAL-C2-X, p4h; B6: BL21 (DE3), p10: pET20b, p4h; B7: BL21 (DE3), p11: pET39b, p4h; B8: BL21 (DE3), p12: pET43.1a, p4h; B9: BL21 (DE3), p13: pET48b, p4h)
In addition to examining the influence of expression vectors on P4H activity levels, t4Hyp production needed to be verified, and to this end, the B5 strain and B0 strain with different concentrations of proline were cultivated in shaking flasks. As shown in Fig. 3b, the titers of t4Hyp were 0.25 g/L and 1.4 g/L, which were increased to 13.6% and 241% in the B5 strain compared to the B0 strain supplemented with 0 and 2 g/L proline, respectively. When the proline concentration in the fermentation medium was increased to 5 g/L proline, the titer of t4Hyp in strain B5 reached 2.97 g/L, the residual proline was 0.69 g/L, and 69% proline was converted to t4Hyp. Furthermore, t4Hyp production was achieved at 4.42 g/L when 10 g/L proline was added, the residual proline was 2.83 g/L, and 62% proline was converted to t4Hyp.
In view of their excellent catalytic activity of L-proline, the p4h, proB74, proA, and proC genes were integrated into pMAL-C2-X to generate the p14 plasmid, and the malE gene (encoding MBP) was integrated into p4 to generate the p15 plasmid. The engineered strain harboring p15 showed greater cell growth than its counterpart, the engineered strain harboring p14. Finally, 8.23 g/L t4Hyp was synthesized in R8/p15 in a shake flask. In R8/p14, the titer of t4Hyp was only 3.65 g/L, which was 55% lower than that of R8/p4. This result may be ascribed to the strong promoter introduced into the plasmid, which may have prevented balanced expression of genes in the pathway; however, it is unclear whether the t4Hyp yield was slightly improved with MBP expression under a weaker promoter. Clearly, the overall cooperative regulation of pathways should be examined.
Separation of the trans-4-hydroxy-L-proline synthesis pathway into two modules
Common metabolic engineering strategies were applied to improve t4Hyp production by knocking out competing pathways to increase carbon flux toward proline and α-KG, overexpressing bottleneck enzymes, and optimizing expression vectors to increase P4H activity. Based on the results, other rate-limiting factors need to be assessed. To circumvent current limitations, we took a modular metabolic engineering approach to optimize the metabolic balance between hydroxylation, the proline biosynthesis pathway and the α-KG biosynthesis pathway.
In our work, on the basis of the biosynthetic pathway of t4Hyp and considering metabolic burden and plasmid stability, the entire pathway was divided into two modules: (i) The H module was the hydroxylation and proline biosynthesis module. P4H and genes for synthesizing proline were placed in this module to modulate the level of hydroxylation and the amount of proline. (ii) The K module was the α-KG biosynthesis module, in which the amount of α-KG was modulated. Using a Gibson assembly [33], the H and K modules were successfully expressed by two compatible vectors.
Engineering the H module to produce trans-4-hydroxy-L-proline
As shown in Fig. 4a, to achieve the optimal distribution of carbon flux in the H module, MH (MBP-p4h) and B74AC (proB74, proA, and proC) were overexpressed at different expression strengths: a low level (under the trp promoter) and a high level (under the tac promoter). When the expression of MH and B74AC was low (with the trp promoter), the highest concentrations of t4Hyp and proline were 91 mg/L and 1754 mg/L, which were 2.2-fold and 1.4-fold higher than that the concentrations obtained when the expression was high. Subsequently, the H1 to H7 plasmids were transformed into strain R8 to examine their t4Hyp production ability (Fig. 4b). As shown in Fig. 4c, compared with the lowest expression level, which was in the R8/H0 strain (137 mg/L), maintaining the MH expression at a high level with a T7 terminator and high B74AC expression led to a twofold increase in the R8/H7 strain production of t4Hyp, which was as high as 315 mg/L. In the other strains, the titer of t4Hyp was lower than that of R8/H0, and there were no obvious differences. These results were similar to previous results: higher t4Hyp synthesis was observed when MH and B74AC were expressed under the trp promoter at a low transcription level. The only exception was in the strain expressing both MH and B74AC under the tac promoter at a high transcription level and both with the T7 terminator, which showed the highest t4Hyp synthesis ability. This result may be ascribed to the first tac promoter strongly leading to the read-through of the B74AC gene, affecting the metabolic balance. To prevent the read-through of subsequent genes, the T7 terminator was added after the MH gene, improving the expression and metabolic balance of MH and B74AC. Thus, the synthesis of t4Hyp was increased.
Fig. 4.
Transcriptional fine tuning of the H module (performed in 24 deep wells). a Description of the plasmids in which genes were incorporated for proline hydroxylation and biosynthesis. b Schematic of the H module design. c Production of t4Hyp in the engineered strains. (R8: W3110 ∆putA∆sucCD∆aceA)
Engineering the K module to produce α-ketoglutarate
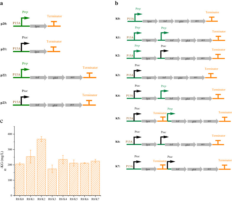
Enhancing the supply of precursors is a key strategy to increase the flux toward t4Hyp production. Thus, to enhance α-KG biosynthesis, the K module was built to supplement the capacity of α-KG production from MSG and glucose via the genes lgox (encoding L-glutamate oxidase), icd (encoding isocitrate dehydrogenase), gltA (encoding citrate synthase), and acs (encoding acetyl-CoA synthetase). Similar to the previously constructed modules, L (lgox) and IGa (icd, gltA, and acs) were overexpressed to different degrees (Fig. 5a). For overexpression of L, the production of α-KG under the trp promoter was 1.4-fold greater, up to 128 mg/L higher than that realized with the tac promoter and 1 g/L MSG. A total of 92 mg/L α-KG was achieved when IGa were expressed under the trp promoter, but this was not significantly different than that expressed under the tac promoter. Subsequently, the K0-K7 engineering plasmids were transformed into strain R8 (Fig. 5b). The production of α-KG was then detected. As shown in Fig. 5c, with decreased expression of the upstream genes under the control of the trp promoter and increased expression of the downstream genes under the control of the tac promoter, the highest α-KG production, 368 mg/L, was achieved in strain R8/K2. Controlling L and IGa expression at a high level by using only one tac promoter led to the lowest titer of α-KG, 174 mg/L. All the other strains showed no significant difference in the production of α-KG. These results were similar to previous results: low transcription of the L gene promoted the conversion of MSG to α-KG in the medium, while a relatively high transcription level was not conducive to the synthesis of α-KG from the L gene or IGa genes. It is possible that the coexpression of the L gene and IGa genes in the R8/K2 strain was in an equilibrium state, thus enhancing the synthesis of α-KG.
Fig. 5.
Transcriptional fine tuning of the K module (performed in 24 deep wells). a Description of the plasmids in which the genes for α-KG biosynthesis were incorporated. b Schematic of the K module design. c Production of α-KG in the engineered strains. (R8: W3110 ∆putA∆sucCD∆aceA)
Balancing gene expression levels in two modules for enhancing trans-4-hydroxy-L-proline production from glucose and monosodium glutamate
With t4Hyp formation and the α-KG generation modules optimized separately, we next sought to balance the gene expression levels within the entire pathway. To perform this optimization, we combined the H and K modules to change the expression level of all genes. Thus, 64 combinatorial modules were generated (Fig. 6). Compatible plasmids were used to realize the strategy of producing a high copy number (pBR322 origin) and a low copy number (p15A origin) [34].
Fig. 6.

Optimization of t4Hyp production by balancing the two synthesis modules (performed in 24 deep wells)
Interestingly, from the perspective of the respective titers of the two modules, the best result was not realized with either the combination of the highest titer in the H module with the highest titer in the K module or the combination of the lowest titer in the H module with the lowest titer in the K module; the best result was obtained through the combination of a medium titer in the H module with a medium titer in the K module. From the perspective of the transcription level of the two modules, the best result was obtained when both modules exhibited intermediate transcription levels. Finally, the results showed that the synthesis of t4Hyp could be best improved when the combination of H1K4 modules was optimized; that is, it was best when the expression of the MH and B74AC genes was relatively low or moderate, while the expression of L and IGa genes was relatively high and moderate, respectively. The t4Hyp titer of strain R8 with H1K4 was 575 mg/L, which was 320%, 82.5% and 375% higher than that of H0 (137 mg/L), H7 (315 mg/L), and p24 (121 mg/L), respectively. Moreover, the t4Hyp titers of H0K4 (550 mg/L), H1K4 (575 mg/L), and H2K4 (541 mg/L) were significantly improved compared with those of H0, indicating that overexpression of MH at a relatively low level, L at a relatively high level and IGa at a relatively moderate level significantly improved the production of t4Hyp in E. coli.
To verify the ability of the H1K4 module to produce t4Hypthe fermentation of strain R8 with H1K4 was performed in a shake flask after the addition of different concentrations of MSG. Similar to the results of recombinant cells screened in 24-deep-well plate cultures, H1K4 cells, t4Hyp was overproduced in the medium. With the addition of 1 g/L MSG, the t4Hyp titer of H1K4 was 8.60 g/L. With the addition of 5 g/L MSG, the highest t4Hyp titer of H1K4, 8.80 g/L, was reached, and the yield of glucose was approximately 0.24 g/g glucose, and these were 6.9% and 4.3% higher than those of H0, respectively. The titer and yield of t4Hyp were threefold and 3.4-fold higher than those of the W0 strain, respectively. However, when the addition of MSG was increased to 10 g/L, the t4Hyp titer of H1K4 was decreased to 8.32 g/L. This outcome may have been due to excessive MSG or the excessive conversion of α-KG from MSG, affecting the balance of metabolic flow or cell growth. In addition, within the range of 1–5 g/L MSG, the biomass of H1K4 was directly proportional to the concentration of MSG. Finally, the highest OD600 was 12.51. These results indicated that modular metabolic engineering used to modulate the flux of the important precursors of proline and α-KG and the rate of hydroxylation is a promising strategy to improve t4Hyp production. Differences in product synthesis were observed with the same genes at different expression levels, which also indicated the need to regulate the balance of expression levels among multiple genes.
In this research, we are focused on improving the production of t4Hyp. P4H is responsible for converting L-proline and α-KG to t4Hyp, which is crucial factor to improve the production of t4Hyp. It was reported that the evolution of P4H was effective to enhance hydroxylase activity and hydroxylation efficiency by genome mining or site-directed mutagenesis [7, 10]. The regulation of proline availability was also need to be proposed. To improve the hydroxylation efficiency, the regulation of protein level between the feedback-resistant γ-glutamyl kinase and hydroxylase by optimizing RBS was performed. The optimal engineered strain produces up to 21.72 g/L t4Hyp [11]. In addition, CRISPR interference may be an effective technique to down-regulation of target genes. It will be helpful to simultaneously increase target production and biomass when the technique is applied to modify the genes in the metabolic pathway [35, 36].
Conclusions
In this study, the relationships between the proline degradation pathway and central metabolic pathway on t4Hyp production were investigated. Then, the genes in the proline biosynthesis pathway were overexpressed to increase t4Hyp production. To improve the efficiency of hydroxylation, optimization of the plasmid copy number, promoters, and fusion tags was performed. Finally, a modular metabolic engineering strategy was adopted to balance the expression levels of module genes by varying promoter strength. To our knowledge, this is the first report describing the modular metabolic engineering production of t4Hyp, which led to the highest titer reported for shake flask cultures.
Materials and methods
Media and growth conditions
All the strains were first precultured in LB medium (10 g/L peptone, 5 g/L yeast extract, and 10 g/L NaCl). The main culture was carried out using nutrient-rich medium (22 g/L glucose, 10 g/L (NH4)2SO4, 8 g/L peptone, 2 g/L NaCl, 1 g/L KH2PO4, 0.5 g/L MgSO4·7H2O, and 0.278 g/L FeSO4). During the main culture, the pH was adjusted to 7.0 by NaOH three times every 24 h, and additional glucose was added when the initial glucose was completely consumed. Recombinant E. coli BL21 (DE3) strains were grown in TB medium (4 ml/L glycerol, 24 g/L yeast extract, 20 g/L tryptone, 72 mM K2HPO4, and 17 mM KH2PO4). Ampicillin (100 μg/mL), kanamycin (50 μg/mL), and chloramphenicol (25 μg/mL) were added when necessary. Expression of genes in T7 or tac promoter constructs was induced by the addition of 0.2 mM isopropyl-β-D-thiogalactopyranoside (IPTG). The main cultures were routinely incubated in 250 mL baffled Erlenmeyer flasks or 24-deep-well plates at 34 °C, 220 rpm, and 72 h. The initial pH was approximately 7.0. The main culture was carried out in triplicate.
Construction of plasmids and strains
All strains and plasmids used in this study are listed in Table 2. The primers used in this study are listed in Additional file 1. E. coli DH5α was used as the host for plasmid construction. E. coli BL21 (DE3) was used as the host for P4H expression. E. coli W3110 was used as a template and host for t4Hyp production.
Table 2.
Strains and plasmids used in this study
| Strains and plasmids | Relevant genotype or description | Source or reference |
|---|---|---|
| Strains | ||
| W3110 | Wild type E. coli | Laboratory stock |
| DH5α | Host cells for plasmids amplification | Laboratory stock |
| BL21 (DE3) | Host cells for plasmids expression | Laboratory stock |
| R1 | W3110 ∆putA | [6] |
| R2 | W3110 ∆sucA | This study |
| R3 | W3110 ∆aceA | This study |
| R4 | W3110 ∆sucA∆aceA | This study |
| R5 | W3110 ∆putA∆sucA | This study |
| R6 | W3110 ∆putA∆aceA | This study |
| R7 | W3110 ∆putA∆sucA∆aceA | [24] |
| R8 | W3110 ∆putA∆sucCD∆aceA | This study |
| W0 | W3110 harboring p1 | This study |
| W1 | R1 harboring p1 | This study |
| W2 | R2 harboring p1 | This study |
| W3 | R3 harboring p1 | This study |
| W4 | R4 harboring p1 | This study |
| W5 | R5 harboring p1 | This study |
| W6 | R6 harboring p1 | This study |
| W7 | R7 harboring p1 | This study |
| W8 | R8 harboring p1 | This study |
| R8/p2 | R8 harboring p2 | This study |
| R8/p3 | R8 harboring p3 | This study |
| R8/p4 | R8 harboring p4 | This study |
| B0 | BL21 (DE3) harboring p2 | This study |
| B1 | BL21 (DE3) harboring p5 | This study |
| B2 | BL21 (DE3) harboring p6 | This study |
| B3 | BL21 (DE3) harboring p7 | This study |
| B4 | BL21 (DE3) harboring p8 | This study |
| B5 | BL21 (DE3) harboring p9 | This study |
| B6 | BL21(DE3) harboring p10 | This study |
| B7 | BL21 (DE3) harboring p11 | This study |
| B8 | BL21 (DE3) harboring p12 | This study |
| B9 | BL21 (DE3) harboring p13 | This study |
| R8/p14 | R8 harboring p14 | This study |
| R8/p15 | R8 harboring p15 (H0) | This study |
| R8/p16 | R8 harboring p16 | This study |
| R8/p17 | R8 harboring p17 | This study |
| R8/p18 | R8 harboring p18 | This study |
| R8/p19 | R8 harboring p19 | This study |
| R8/H1 | R8 harboring H1 | This study |
| R8/H2 | R8 harboring H2 | This study |
| R8/H3 | R8 harboring H3 | This study |
| R8/H4 | R8 harboring H4 | This study |
| R8/H5 | R8 harboring H5 | This study |
| R8/H6 | R8 harboring H6 | This study |
| R8/H7 | R8 harboring H7 | This study |
| R8/p20 | R8 harboring p20 | This study |
| R8/p21 | R8 harboring p21 | This study |
| R8/p22 | R8 harboring p22 | This study |
| R8/p23 | R8 harboring p23 | This study |
| R8/p24 | R8 harboring p24 | This study |
| R8/K0 | R8 harboring K0 | This study |
| R8/K1 | R8 harboring K1 | This study |
| R8/K2 | R8 harboring K2 | This study |
| R8/K3 | R8 harboring K3 | This study |
| R8/K4 | R8 harboring K4 | This study |
| R8/K5 | R8 harboring K5 | This study |
| R8/K6 | R8 harboring K6 | This study |
| R8/K7 | R8 harboring K7 | This study |
| Plasmids | ||
| pKD46 |
AmpR plasmid with temperature-sensitive replication and arabinose induction of λ-red recombinase |
Laboratory stock |
| pCP20 |
AmpR and CmR plasmid with temperature-sensitive replication and thermal induction of FLP synthesis |
Laboratory stock |
| pET24a | High copy number vector, ColE1 ori, T7 lac promoter, KmR | Laboratory stock |
| pMAL-C2-X | malE gene encoding MBP fusion protein, tac promoter | Laboratory stock |
| pGEX-6P-1 | GST fusion protein, tac promoter | Laboratory stock |
| pKK223-3 | AmpR, tac promoter | Laboratory stock |
| pACYC-Duet-1 | two multiple cloning sites, T7 lac promoter, P15A origin | Laboratory stock |
| pET20b | Bacterial vector for expressing proteins in the periplasm, AmpR, T7 promoter | Laboratory stock |
| pET39b | Encodes Dsb tag for export and periplasmic folding of target proteins, KmR, T7 promoter | Laboratory stock |
| pET43.1a | High-level expression of peptide sequences fused with the 491 aa Nus•Tag™ protein, AmpR, T7 promoter | Laboratory stock |
| pET48b | Encodes Trx tag, KmR, T7 promoter | Laboratory stock |
| pMD18T-B74A | pMD18T, p4h-proB74-proA | Laboratory stock |
| LGOX | pET28a, lgox | Laboratory stock |
| p1 | pET24a, Ptrp::p4h-proB74-proA | This study |
| p2 | pET24a, Ptrp::p4h | This study |
| p3 | pET24a, Ptrp::p4h-proB74 | This study |
| p4 | pET24a, Ptrp::p4h-proB74-proA-proC | This study |
| p5 | pACYC-Duet-1, Ptrp::p4h | This study |
| p6 | pET24a, p4h | This study |
| p7 | pKK223, p4h | This study |
| p8 | pGEX-6P-1, p4h | This study |
| p9 | pMAL-C2-X, p4h | This study |
| p10 | pET20b, p4h | This study |
| p11 | pET39b, p4h | This study |
| p12 | pET43.1a, p4h | This study |
| p13 | pET48b, p4h | This study |
| p14 | pMAL-C2-X, Ptac::MBP-p4h-proB74-proA-proC | This study |
| p15 (H0) | pET24a, Ptrp::MBP-p4h-proB74-proA-proC | This study |
| p16 | pACYC-Duet-1, Ptrp::MBP-p4h | This study |
| p17 | pACYC-Duet-1, Ptac::MBP-p4h | This study |
| p18 | pACYC-Duet-1, Ptrp::proB74-proA-proC | This study |
| p19 | pACYC-Duet-1, Ptac::proB74-proA-proC | This study |
| H1 | pET24a, Ptrp::MBP-p4h-Ptrp::proB74-proA-proC | This study |
| H2 | pET24a, Ptrp::MBP-p4h-Ptac::proB74-proA-proC | This study |
| H3 | pET24a, Ptac::MBP-p4h-proB74-proA-proC | This study |
| H4 | pET24a, Ptac::MBP-p4h-Ptrp::proB74-proA-proC | This study |
| H5 | pET24a, Ptac::MBP-p4h-T7 t-Ptrp::proB74-proA-proC | This study |
| H6 | pET24a, Ptac::MBP-p4h-Ptac::proB74-proA-proC | This study |
| H7 | pET24a, Ptac::MBP-p4h-T7 t-Ptac::proB74-proA-proC | This study |
| p20 | pACYC-Duet-1, Ptrp:: lgox | This study |
| p21 | pACYC-Duet-1, Ptac:: lgox | This study |
| p22 | pACYC-Duet-1, Ptrp::icd-gltA-acs | This study |
| p23 | pACYC-Duet-1, Ptac::icd-gltA-acs | This study |
| K0 | pACYC-Duet-1, Ptrp::lgox-icd-gltA-acs | This study |
| K1 | pACYC-Duet-1, Ptrp::lgox-Ptrp::icd-gltA-acs | This study |
| K2 | pACYC-Duet-1, Ptrp::lgox-Ptac::icd-gltA-acs | This study |
| K3 | pACYC-Duet-1, Ptac::lgox-icd-gltA-acs | This study |
| K4 | pACYC-Duet-1, Ptac::lgox-Ptrp::icd-gltA-acs | This study |
| K5 | pACYC-Duet-1, Ptac::lgox-T7 t-Ptrp::icd-gltA-acs | This study |
| K6 | pACYC-Duet-1, Ptac::lgox-Ptac::icd-gltA-acs | This study |
| K7 | pACYC-Duet-1, Ptac::lgox-T7 t-Ptac::icd-gltA-acs | This study |
| p24 | pET24a, Ptrp::MBP-p4h-proB74-proA-proC-lgox | This study |
The codon-optimized gene for p4h from Dactylosporangium sp. RH1 was synthesized and introduced into a pET24a plasmid to generate the p6 plasmid. Based on the p6 plasmid, the p2 vector was constructed by replacing the T7 promoter with the trp promoter. The proB74 and proA genes (from E. coli W3110) were PCR amplified from pMD18T-B74A containing the proB mutant gene and proA gene and were then introduced into a p2 plasmid to generate p1. Similarly, p3 and p4 were obtained, and proC genes were obtained from E. coli W3110 genomic DNA.
To improve the expression of P4H, the p4h gene was introduced into pKK223-3, pGEX-6P-1, pMAL-C2-X, pET20b, pET39b, pET43.1a, and pET48b plasmids to generate p7, p8, p9, p10, p11, p12, and p13, respectively.
The sequence containing the trp promoter with the p4h gene was amplified from p2 and ligated into pACYC-Duet-1 to obtain p5. The p4h, proB74, proA, and proC genes were amplified from the p4 plasmid and ligated into pMAL-C2-X with a one-step cloning kit to obtain p14. The malE gene was amplified from the plasmid pMAL-C2-X and ligated into p4 to obtain p15 (H0). The MH (MBP-p4h) genes were amplified from the p15 (H0) plasmid and ligated into p5, creating p16. The fragment containing the tac promoter, RBS, MCS, and the terminator from pKK223-3 was ligated into pACYC-Duet-1, creating pACYC-tac. Then, the MH genes were ligated into pACYC-tac, creating p17. The B74AC (proB74, proA, and proC) genes were ligated into p5, creating p18. The B74AC genes were also ligated into pACYC-tac, creating p19. To introduce a heterologous α-KG biosynthesis pathway, gene L (lgox) was amplified from the LGOX plasmid. To increase the production of the endogenic α-KG biosynthesis pathway, IGa (icd, gltA, and acs) genes were amplified from E. coli W3110 genomic DNA. Then, the plasmids p20, p21, p22, and p23 were constructed using a similar method.
For construction of the plasmids harboring H modules, a sequence with the trp promoter and B74AC were ligated into pEtrp-MH to obtain H1 by Gibson assembly. H2-H7 plasmids were constructed using the same method. For construction of plasmids harboring K modules, IGa genes were ligated into p20 to obtain K0 and, similarly, K1-K7 plasmids were constructed using the Gibson assembly. Finally, the L gene was ligated into p15 (H0) to obtain p24.
Gene deletions in Escherichia coli W3110
Genes in E. coli W3110 were deleted using a Red/ET recombination system [37]. The deletion cassettes were prepared by PCR amplification, and pKD46 was transformed into E. coli W3110. Then, the deletion cassettes were integrated into the chromosome of E. coli W3110. The resistance genes were removed by introducing pCP20, which carried the gene encoding FLP recombinase.
Determination of proline-4-hydroxylase activity levels
P4H activity levels were measured through whole-cell reaction procedures. After 8 h of induction in fermentation medium, cell optical density was measured at 600 nm using a spectrophotometer and, according to the proper formula, cell dry weight was calculated. The cells were harvested by centrifugation at 12,000 × g for 5 min. The harvested cells were resuspended in500 μL of reaction mixture (240 mM pH 6.5 2-[N-morpholino] ethanesulfonic acid (MES) buffer, 20 mM L-proline, 40 mM α-KG, 4 mM FeSO4, and 8 mM ascorbate). The reaction mixture samples were incubated at 35 °C for 15 min, and then, cellular activity was terminated completely by heat treatment at 100 °C for 2 min. The amount of t4Hyp in the supernatant of each sample was determined after centrifugation. The amount of enzyme that formed 1 nmol of t4Hyp in one minute is defined as 1 U Whole-cell enzyme activity (U g−1) indicated the enzymatic activity per gram of cell dry weight.
Analytical methods
The cell concentration was determined based on the OD measured at 600 nm using a spectrophotometer (Shunyuhengping, Shanghai, China), and one OD unit corresponded to 0.375 g/L of cell dry weight [38]. Quantification of proline and t4Hyp was performed on the basis of high-performance liquid chromatography (Model 1100, Agilent, Santa Clara, USA) with a system equipped with a UV detector. Analytes were separated on a C18 column (RP18 5 μm 4.6 × 250 mm, Waters, USA) maintained at 35 °C. Glucose was quantified with a SBA biosensor. α-KG was measured by high-performance liquid chromatography with a Sugar-H column eluted with 5 mM H2SO4 at a flow rate of 0.6 mL/min and 50 °C.
Supplementary Information
Additional file 1: Table S1. Primers and their sequences used for PCR in this study. Table S2. Mobile phase gradient for separation of proline and trans-4-hydroxy-L-proline via HPLC.
Acknowledgements
Not applicable.
Abbreviations
- t4Hyp
trans-4-Hydroxy-L-proline
- E. coli
Escherichia coli
- TCA cycle
Tricarboxylic acid cycle
- IPTG
Isopropyl β-d-thiogalactoside
- RBS
Ribosome binding site
- MCS
Multiple cloning site
- α-KG
α-Ketoglutarate
- MSG
Monosodium glutamate
Author contributions
ZYZ carried out the main work, collected and analyzed the data, conceived and wrote the manuscript. YYB, QQH, and KY participated in the experiments. WKS, PFL, and XHC supervised the work, participated in data analysis and revised the manuscript. All of the authors read and approved the final manuscript.
Funding
This work was supported by the National Key R&D Program of China [2021YFC2101000].
Availability of data and materials
All the data generated or analyzed during this study are included in published article and its additional file.
Declarations
Ethics approval and consent to participate
Not applicable.
Consent for publication
Not applicable.
Competing interests
The authors declare that they have no competing interests.
Footnotes
Publisher's Note
Springer Nature remains neutral with regard to jurisdictional claims in published maps and institutional affiliations.
Contributor Information
Pengfu Liu, Email: liupengfu@zjut.edu.cn.
Xiaohe Chu, Email: chuxhe@zjut.edu.cn.
References
- 1.Ananthanarayanan VS. Structural aspects of hydroxyproline-containing proteins. J Biomol Struct Dyn. 1983;1:843–855. doi: 10.1080/07391102.1983.10507485. [DOI] [PubMed] [Google Scholar]
- 2.Kumar Srivastava A, Khare P, Kumar NH. Hydroxyproline: a potential biochemical marker and its role in the pathogenesis of different diseases. Curr Protein Pept Sci. 2016;17:596–602. doi: 10.2174/1389203717666151201192247. [DOI] [PubMed] [Google Scholar]
- 3.Kumar AV, Rao KR. ChemInform abstract: trans-4-Hydroxy-L-proline: a novel starting material for N-alkylpyrroles synthesis. ChemInform. 2011;52:3237–3239. [Google Scholar]
- 4.Remuzon P. ChemInform abstract: trans-4-hydroxy-L-proline, a useful and versatile chiral starting block. Tetrahedron. 1996;52:13803–13835. doi: 10.1016/0040-4020(96)00822-8. [DOI] [Google Scholar]
- 5.Serizawa N, Matsuoka T, Hosoya T. fermentative production of trans-4-hydroxy-L-proline by Clonostachys cylindrospora. J Agric Chem Soc Jpn. 1995;59:555–557. [Google Scholar]
- 6.Shibasaki T, Hashimoto S, Mori H. Construction of a novel hydroxyproline-producing recombinant Escherichia coli by introducing a proline 4-hydroxylase gene. J Biosci Bioeng. 2000;90:522–525. doi: 10.1016/S1389-1723(01)80033-5. [DOI] [PubMed] [Google Scholar]
- 7.Shibasaki T, Mori H, Ozaki A. Enzymatic production of trans-4-hydroxy-L-proline by regio- and stereospecific hydroxylation of L-proline. Biosci Biotechnol Biochem. 2000;64:746–750. doi: 10.1271/bbb.64.746. [DOI] [PubMed] [Google Scholar]
- 8.Wang J, Zhang Z, Liu H. Construction and optimization of trans-4-hydroxy-L-proline production recombinant E. coli strain taking the glycerol as carbon source. J Chem Technol Biotechnol. 2016;91:2389–2398. doi: 10.1002/jctb.5024. [DOI] [Google Scholar]
- 9.Zhao TX, Li M, Zheng X. Improved production of trans-4-hydroxy-l-proline by chromosomal integration of the Vitreoscilla hemoglobin gene into recombinant Escherichia coli with expression of proline-4-hydroxylase. J Biosci Bioeng. 2016;123:109. doi: 10.1016/j.jbiosc.2016.07.018. [DOI] [PubMed] [Google Scholar]
- 10.Wang XC, Liu J, Zhao J. Efficient production of trans-4-hydroxy-l-proline from glucose using a new trans-proline 4-hydroxylase in Escherichia coli. J Biosci Bioeng. 2018;126:470–477. doi: 10.1016/j.jbiosc.2018.04.012. [DOI] [PubMed] [Google Scholar]
- 11.Zhang Y, Zhang Y, Shang X. Reconstruction of tricarboxylic acid cycle in Corynebacterium glutamicum with a genome-scale metabolic network model for trans-4-hydroxyproline production. Biotechnol Bioeng. 2019;116:99–109. doi: 10.1002/bit.26818. [DOI] [PubMed] [Google Scholar]
- 12.Jiang L, Pang J, Yang L. Engineering endogenous l-proline biosynthetic pathway to boost trans-4-hydroxy-l-proline production in Escherichia coli. J Biotechnol. 2021;329:104–117. doi: 10.1016/j.jbiotec.2021.01.015. [DOI] [PubMed] [Google Scholar]
- 13.Liu C, Zhao J, Liu J. Simultaneously improving the activity and thermostability of a new proline 4-hydroxylase by loop grafting and site-directed mutagenesis. Appl Microbiol Biotechnol. 2019;103:265–277. doi: 10.1007/s00253-018-9410-x. [DOI] [PubMed] [Google Scholar]
- 14.Long M, Xu M, Ma Z. Significantly enhancing production of trans-4-hydroxy-L-proline by integrated system engineering in Escherichia coli. Sci Adv. 2020 doi: 10.1126/sciadv.aba2383. [DOI] [PMC free article] [PubMed] [Google Scholar]
- 15.Juminaga D, Baidoo EE, Redding-Johanson AM. Modular engineering of L-tyrosine production in Escherichia coli. Appl Environ Microbiol. 2012;78:89–98. doi: 10.1128/AEM.06017-11. [DOI] [PMC free article] [PubMed] [Google Scholar]
- 16.Liu S, Diao N. Modular engineering of the flavin pathway in Escherichia coli for improved flavin mononucleotide and flavin adenine dinucleotide production. Appl Environ Microbiol. 2019;67:6532–6540. doi: 10.1021/acs.jafc.9b02646. [DOI] [PubMed] [Google Scholar]
- 17.Falcioni F, Blank LM, Frick O. Proline availability regulates proline-4-hydroxylase synthesis and substrate uptake in proline-hydroxylating recombinant Escherichia coli. Appl Environ Microbiol. 2013;79:3091–3100. doi: 10.1128/AEM.03640-12. [DOI] [PMC free article] [PubMed] [Google Scholar]
- 18.Moxley MA, Sanyal N, Krishnan N. Evidence for hysteretic substrate channeling in the proline dehydrogenase and Delta1-pyrroline-5-carboxylate dehydrogenase coupled reaction of proline utilization A (PutA) J Biol Chem. 2014;289:3639–3651. doi: 10.1074/jbc.M113.523704. [DOI] [PMC free article] [PubMed] [Google Scholar]
- 19.Nadaraia S, Lee YH, Becker DF. Crystallization and preliminary crystallographic analysis of the proline dehydrogenase domain of the multifunctional PutA flavoprotein from Escherichia coli. Acta Crystallogr A. 2010;57:1925–1927. doi: 10.1107/s0907444901017140. [DOI] [PubMed] [Google Scholar]
- 20.Beigi M, Waltzer S, Fries A. TCA cycle involved enzymes SucA and Kgd, as well as MenD: efficient biocatalysts for asymmetric C-C bond formation. Org Lett. 2013;15:452–455. doi: 10.1021/ol3031186. [DOI] [PubMed] [Google Scholar]
- 21.Hernandez-Chinea C, Maimone L, Campos Y. Apparent isocitrate lyase activity in Leishmania amazonensis. Acta Parasitol. 2017;62:701–707. doi: 10.1515/ap-2017-0084. [DOI] [PubMed] [Google Scholar]
- 22.Nakazawa M, Nishimura M, Inoue K. Characterization of a bifunctional glyoxylate cycle enzyme, malate synthase/isocitrate lyase, of Euglena gracilis. J Eukaryot Microbiol. 2011;58:128–133. doi: 10.1111/j.1550-7408.2011.00534.x. [DOI] [PubMed] [Google Scholar]
- 23.Asakura Y, Kimura E, Usuda Y. Altered metabolic flux due to deletion of odhA causes L-glutamate overproduction in Corynebacterium glutamicum. Appl Environ Microbiol. 2007;73:1308–1319. doi: 10.1128/AEM.01867-06. [DOI] [PMC free article] [PubMed] [Google Scholar]
- 24.Theodosiou E, Breisch M, Julsing MK. An artificial TCA cycle selects for efficient α-ketoglutarate dependent hydroxylase catalysis in engineered Escherichia coli. Biotechnol Bioeng. 2017;114:1511–1520. doi: 10.1002/bit.26281. [DOI] [PubMed] [Google Scholar]
- 25.Sauer U, Eikmanns BJ. The PEP-pyruvate-oxaloacetate node as the switch point for carbon flux distribution in bacteria. FEMS Microbiol Rev. 2005;29:765–794. doi: 10.1016/j.femsre.2004.11.002. [DOI] [PubMed] [Google Scholar]
- 26.Smith LT. Characterization of a gamma-glutamyl kinase from Escherichia coli that confers proline overproduction and osmotic tolerance. J Bacteriol. 1985;164:1088–1093. doi: 10.1128/jb.164.3.1088-1093.1985. [DOI] [PMC free article] [PubMed] [Google Scholar]
- 27.Sleator RD, Gahan CG, Hill C. Mutations in the Listerial proB gene leading to proline overproduction: effects on salt tolerance and murine infection. Appl Environ Microbiol. 2001;67:4560–4565. doi: 10.1128/AEM.67.10.4560-4565.2001. [DOI] [PMC free article] [PubMed] [Google Scholar]
- 28.Baronagómez F, Hodgson DA. Multicopy proC in Streptomyces coelicolor A3(2) elicits a transient production of prodiginines, while proC deletion does not yield a proline auxotroph. J Mol Microbiol Biotechnol. 2010;19:152–158. doi: 10.1159/000321502. [DOI] [PubMed] [Google Scholar]
- 29.Baich A. Proline synthesis in Escherichia coli a proline-inhibitable glutamic acid kinase. Biochim Biophysc Acta. 1969;192:462–467. doi: 10.1016/0304-4165(69)90395-X. [DOI] [PubMed] [Google Scholar]
- 30.Smith CJ, Deutch AH, Rushlow KE. Purification and characteristics of a gamma-glutamyl kinase involved in Escherichia coli proline biosynthesis. J Bacteriol. 1984;157:545–551. doi: 10.1128/jb.157.2.545-551.1984. [DOI] [PMC free article] [PubMed] [Google Scholar]
- 31.di Guan C, Li P, Riggs PD. Vectors that facilitate the expression and purification of foreign peptides in Escherichia coli by fusion to maltose-binding protein. Gene. 1988;67:21–30. doi: 10.1016/0378-1119(88)90004-2. [DOI] [PubMed] [Google Scholar]
- 32.Dümmler A, Lawrence AM, de Marco A. Simplified screening for the detection of soluble fusion constructs expressed in E. coli using a modular set of vectors. Microb Cell Fact. 2005;4:34. doi: 10.1186/1475-2859-4-34. [DOI] [PMC free article] [PubMed] [Google Scholar]
- 33.Gibson DG, Young L, Chuang RY. Enzymatic assembly of DNA molecules up to several hundred kilobases. Nat Methods. 2009;6:343–345. doi: 10.1038/nmeth.1318. [DOI] [PubMed] [Google Scholar]
- 34.Ajikumar PK, Xiao WH, Tyo KE. Isoprenoid pathway optimization for Taxol precursor overproduction in Escherichia coli. Science. 2010;330:70–74. doi: 10.1126/science.1191652. [DOI] [PMC free article] [PubMed] [Google Scholar]
- 35.Qi LS, Larson MH, Gilbert LA. Repurposing CRISPR as an RNA-guided platform for sequence-specific control of gene expression. Cell. 2013;152:1173–1183. doi: 10.1016/j.cell.2013.02.022. [DOI] [PMC free article] [PubMed] [Google Scholar]
- 36.Chen K, Pang Y, Zhang B. Process optimization for enhancing production of cis -4-hydroxy- l -proline by engineered Escherichia coli. Microb Cell Fact. 2017;16:210. doi: 10.1186/s12934-017-0821-7. [DOI] [PMC free article] [PubMed] [Google Scholar]
- 37.Madyagol M, Alalami H, Levarski Z. Gene replacement techniques for Escherichia coli genome modification. Folia Microbiol. 2011;56:253–263. doi: 10.1007/s12223-011-0035-z. [DOI] [PubMed] [Google Scholar]
- 38.Wang J, Zhang Z, Liu H. Construction and optimization of trans-4-hydroxy-L-proline production recombinant E. coli strain taking the glycerol as carbon source. J Chem Technol Biotechnol. 2016;91:2389–2398. doi: 10.1002/jctb.5024. [DOI] [Google Scholar]
Associated Data
This section collects any data citations, data availability statements, or supplementary materials included in this article.
Supplementary Materials
Additional file 1: Table S1. Primers and their sequences used for PCR in this study. Table S2. Mobile phase gradient for separation of proline and trans-4-hydroxy-L-proline via HPLC.
Data Availability Statement
All the data generated or analyzed during this study are included in published article and its additional file.



