Abstract
We present an experimental and theoretical study for the lattice vibrational (phonon) modes in the quasi-one-dimensional (or chain-like) antiferromagnet RbCoCl3 at low temperatures both above and below the two different magnetic phase transitions. Clear evidence is found for the role of spin-phonon interactions in providing a temperature-dependent contribution for the frequencies of the E1g and E2g symmetry phonons that occur with frequencies comparable to those of the spin wave excitations (magnons) in this compound. The behaviour in RbCoCl3, as studied here by Raman scattering experiments, is quite different from that typically observed in rutile-structure antiferromagnets where the spin-phonon coupling has been well characterized. The theory is modified to take account of the strong Ising-like component in the spin Hamiltonian. This enables the spin-phonon coupling parameters to be deduced, with the analysis also revealing the onset of an extra frequency shift for the phonons below the transition temperature TN1 = 28 K associated with magnetic ordering along the Co chains.
Subject terms: Materials science, Optics and photonics, Physics
Introduction
Spin-phonon coupling in magnetic solids is ubiquitous1 and is important for many of the physical properties of such solids. The signature of the sometimes strong, but usually subtle, interaction between lattice vibrational modes (phonons) and spin waves (magnons) in the magnetically ordered state can take various forms that are often best studied at near-zero wave vector, which makes them ideal for optical investigations using inelastic light scattering (Raman or Brillouin spectroscopy)1 or infrared absorption. A thorough knowledge of such spin-phonon coupling is very important for understanding the full physical properties in the dynamics of magnetic materials and can be the determining factor for the applications of certain materials in practical applications2–4.
There has been sustained interest in recent years regarding the novel properties of hexagonal perovskite compounds of the form ABX3, where A is Cs, Rb or Tl, B is a divalent metal ion, and X is an alkali halide (typically Cl or Br). The hexagonal crystal structure is as shown in outline in Fig. 1, where the positions of the magnetic B atoms (Co in this case) have been emphasized. Such perovskites containing spin-1/2 magnetic Co ions have been found to exhibit quasi one-dimensional (1D) antiferromagnetic ordering at low temperatures as a result of dominant Ising model exchange interactions occurring along the chains of Co magnetic ions (see Fig. 1). Features of interest include spin-wave energy continua and the possibility of bound magnon states and their potential applications in spin-1/2 quantum-wire transport devices. Rubidium cobalt chloride (RbCoCl3) is an example of such a desirable magnetic material, because of its classic quasi 1D magnetic ordering5,6, and will be studied here for that reason. Most of these transition metal perovskites exhibit two magnetic phase transitions at temperatures denoted by TN1 and TN2. respectively. The higher of these transition temperatures, TN1, represents the temperature below which there is antiferromagnetic ordering in one dimension along the chains, whereas the lower temperature TN2 signifies the onset of an additional 3D inter-chain ordering due to exchange interactions between Co ions within crystalline a-b planes (see Fig. 1). A large amount of neutron scattering work, as well as optical measurements such as Raman scattering and far infrared spectroscopy, for these compounds have been used to determine their structural and dynamic properties. These experimental studies have included CsCoCl3 (see, e.g.7–11), RbCoCl312–15, TlCoCl316, and CsCoBr38–10,17–19.
Figure 1.

Schematic of crystal structure of RbCoCl3, showing the Co ions only (filled green circles) ordered antiferromagnetically along chains (in the crystallographic c direction) with nearest-neighbour exchange J1 and next nearest-neighbour exchange J2. Each Co ion is surrounded by a hexagon of six Co ions with interchain exchange interaction J’ in the a-b plane.
It has been shown from symmetry considerations that, given the D6h hexagonal symmetry of the crystalline unit cell, the Raman active phonons at zero wave vector in RbCoCl3 comprise the A1g, E1g and three E2g modes13. Symmetry coordinates for all 30 different vibrational modes at zero wave vector in crystals with the same structure as RbCoCl3 have been determined20. Polarized Raman scattering has been used to identify the various phonons, and at ~ 11 K their frequencies are 60.6 (E2g mode), ~ 115 (E1g), 132.1 (E2g), 192.9 (E2g), and 272.6 (A1g) cm−113.
Here, we use Raman scattering to demonstrate experimentally that spin-phonon coupling is significant in RbCoCl3 and has unusual characteristics. We employ a theoretical model that has been adapted from earlier work to determine the coupling strengths. We find indeed that the coupling is significant and is strong enough to warrant serious consideration in developing applications of interest vis-à-vis the physical properties of 1D ordered RbCoCl3.
Results
Experiment
The three vibrational modes of E2g symmetry in RbCoCl3 can be expected to be observed in (ZX) polarization along with the magnetic excitations6,13. Although the original Raman study of RbCoCl3 was a very general one13, the X(ZX)Y scattering geometry was selected for a detailed characterization of the magnetic excitations as a function of temperature. Under these experimental circumstances, only the E1g mode and one of the E2g modes at 132.1 cm−1, which appears weakly in the X(ZX)Y spectrum via polarization leak-through arising from imperfect experimental conditions, have been studied in the detail required for an analysis of their spin-phonon coupling. The sample temperatures reported here, when compared with those reported in13, have been corrected for a laser heating of 8 K, which was determined from a preliminary analysis of the temperature dependences of the magnon peak parameters, where the supposed temperatures of TN1 and TN2 were found to be 20 K and 4 K, respectively, for the accepted temperature values of 28 K and 12 K, respectively.
A typical result obtained for measurements of the X(ZX)Y polarized Raman spectrum of RbCoCl3 at low temperature and at lower frequency is shown in Fig. 2. The phonon peaks have been curve fitted with an anharmonic oscillator model to ascertain their mode frequency, damping, and strength (following Ref.13). It is seen that two of the phonon modes (the E1g mode and an E2g mode) occur in close proximity to magnon peaks, making them promising candidates for spin-phonon studies.
Figure 2.

The low-frequency Raman spectrum of RbCoC13 recorded with a spectral resolution of 2.2 cm−1 at ~ 11 K in X(ZX)Y polarization. The Raman peaks labelled M are magnetic excitations that have been evaluated elsewhere6, and those labelled P are the phonons of interest here.
Theory
It is known that the magnetic behaviour of RbCoCl3 can typically be represented by a spin Hamiltonian6,13 where the dominant term is
| 1 |
Here J1 > 0 is the nearest-neighbour exchange interaction between spin vectors labelled as Sj and Sj+1 along a chain of Co ions (see Fig. 1). There is a linear combination of Heisenberg and Ising terms, proportional to and respectively, where it has been estimated from neutron and Raman scattering data5,6 that α = 0.112. The spin Hamiltonian also contains a similar term describing the anisotropic (Heisenberg plus Ising) exchange interaction J2 to next-nearest neighbours along a chain. The role of the interchain exchange interaction J’, which is much weaker, is mainly in causing a discretization of the band of magnons6.
The basic mechanism for the spin-phonon interaction (following previous studies mainly on rutile-structure antiferromagnets21,22) is that, if we consider a bilinear exchange term of the general form , the exchange J between the two sites labelled 1 and 2 depends on the instantaneous coordinates of those sites, as well as the coordinates of other sites (for the Rb and Cl ions in this case) because of super-exchange effects. When a Taylor series expansion about the equilibrium positions is made for this modulated exchange, there will be interaction terms that are linear in the displacements (and hence in the phonon amplitudes) and depend quadratically on the spins through the combination of terms appearing above. Thus, the renormalized frequency of any phonon can be written in first order of perturbation theory as
| 2 |
where is the phonon frequency in the absence of spin–phonon coupling and λ is a constant (either positive or negative, depending on the phonon mode). The angular brackets around the spin products denote a statistical average involving the pairs of neighbouring spin sites. This quantity is approximately equal to –S2 in the zero-temperature limit and its magnitude decreases monotonically with increasing T, becoming small (but nonzero) above TN1. It is convenient to write the above frequency shift as
| 3 |
where we have introduced a pair correlation function by
| 4 |
This generalizes the definition given in our earlier work21,22 to the case where , i.e., to include an Ising component to the bilinear exchange interaction. The numerical calculation for the T-dependence of may now be carried out following the method described previously, i.e., based on a modification of the so-called constant coupling approximation introduced in23. The resulting estimate for RbCoCl3 is shown in Fig. 3 (solid lines), taking account of the exchange coupling to the intrachain exchange interactions J1 and J2. For comparison, the result for another Co compound, the rutile-structure antiferromagnet CoF2, is also shown for temperatures above its TN value. We note that the high-temperature ‘tail’ is quite small for RbCoCl3 (being only ~ 10% or less of the low-temperature value for Φ). This is mainly due to the relatively large Ising component of the exchange in RbCoCl3 as compared to the case of CoF2.
Figure 3.

The T-dependence of estimated for RbCoC13 at temperatures T below and above TN1. A comparison with CoF2 at high temperatures is also shown.
Discussion
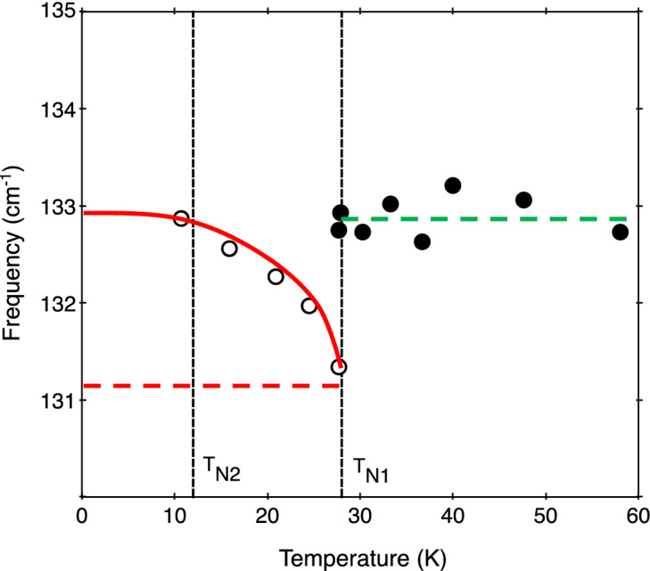
The main results are for the dependence of the phonon frequencies on temperature, as observed by Raman scattering and interpreted by the theory just described. Figures 4 and 5 show the frequencies plotted versus temperature for the E1g mode and E2g (132.1 cm−1) mode, respectively. In both cases there is a clear and abrupt effect occurring in the measured data in the vicinity of the temperature TN1, below which the 1D antiferromagnetic order sets in along the Co chains. To provide interpretation we have drawn some guide-to-the-eye lines in these figures. First, we note that the solid red line drawn through the data for T < TN1 has just the behaviour displayed in Fig. 3 for the spin–spin correlation function . The horizontal dashed red line provides an estimate for the base line representing the absence of spin-phonon coupling (after allowing for a high-temperature tail, as in Fig. 3). A comparison with Eq. (3) then allows us to deduce the spin-phonon coupling parameter λ for each phonon mode. We obtain the approximate values λS2 = − 1.8 cm−1 and − 1.6 cm−1 for the E1g and E2g phonons, respectively, which are of comparable magnitude to values previously found for rutile-structure antiferromagnets21,22. In RbCoCl3, however, there is an additional effect evident at TN1. This is evident on observing an unusual mismatch between the horizontal dashed red line below TN1 and the corresponding phonon frequency just above TN1 (as represented by the dashed green line). There is a “shift” (discontinuity) of about 1.8 cm−1 at TN1 for the E1g mode, whereas for the E2g mode the shift has the opposite sign and a magnitude of about 1.5 cm−1.
Figure 4.

Temperature dependence of the E1g mode frequency (data points) from Raman scattering measurements. The other lines are guides to the eye and are used in the theory (see the text).
Figure 5.

The same as in Fig. 4, but for the E2g phonon mode frequency.
The data shown in Figs. 4 and 5 therefore reveal that, in addition to a spin-phonon interaction in RbCoCl3, the quasi-1D ordering at TN1 induces a structural phase transition. The abrupt shift in phonon frequency of both the E1g and E2g modes indicates that the transition is first-order in nature. The relative shift in frequency at TN1 when the temperature is lowered is + 1.8 cm−1 for the E1g phonon and − 1.5 cm−1 for the E2g phonon. Given that the normal modes for the A1g and E1g modes20 comprise Cl-ion motions perpendicular and parallel to the c axis, respectively, while the E2g modes involve both Cl- and Rb-ion displacements within hexagonal planes, we conclude that the crystal lattice contracts a little along the c axis while expanding in the a-b plane when the temperature is lowered to TN1 and below. The lack of an observable mode splitting of the E2g mode at TN1 and lower temperatures indicates that the crystal still has a hexagonal structure or has been lowered to that of a triclinic structure rather than a possible monoclinic structure.
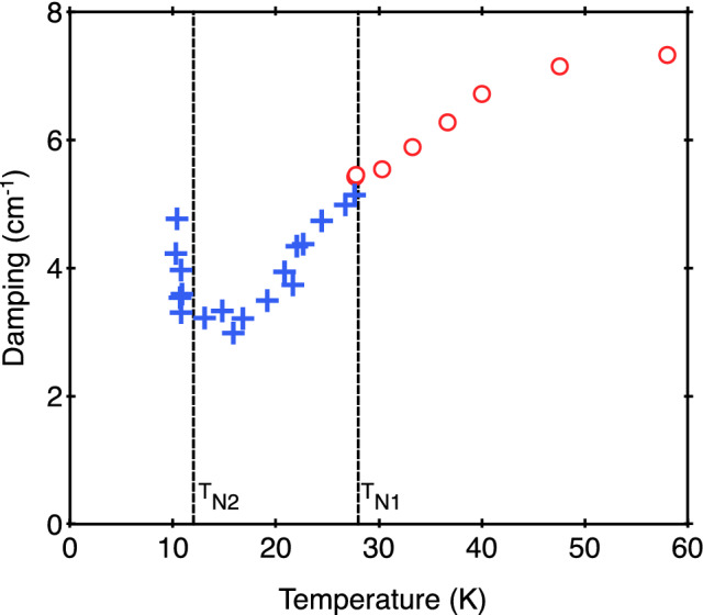
Some further properties obtained for the E1g phonon are shown in Figs. 6 and 7, where the mode damping and intensity, respectively, are plotted versus temperature. The E1g phonon damping shows no anomaly at TN1 and continues to decrease smoothly with decreasing temperature, which is a normal behavior for a phonon in a nonmagnetic crystal in any case, but unexpectedly it then sharply increases below the 3D magnetic ordering temperature TN2 (see Fig. 6). The E1g phonon Raman intensity exhibits an even more complicated variation with temperature (see Fig. 7). These characteristics would warrant further attention.
Figure 6.

Temperature dependence of the E1g mode line width from Raman scattering measurements.
Figure 7.

Temperature dependence of the E1g mode intensity from Raman scattering measurements.
Conclusions
In conclusion, we have demonstrated unusual properties for the spin-phonon interactions in influencing the phonon frequencies for two modes in RbCoCl3 with frequencies comparable to those of the low-frequency magnons. Our theoretical analysis, with modifications included to take account of the large Ising-like character demonstrated by the exchange interactions between spins, enabled the spin-phonon coupling coefficients to be deduced. This newly-observed aspect of the crystal properties at, and below TN1, deserves further investigation with high resolution x-ray diffraction and both inelastic and elastic neutron scattering. Such magnetic-ordering-related lowering of the crystal structure has been noted previously for CsCoBr324, but nothing transpires as drastically at TN1 as that occurring in RbCoCl3.
Methods
The Raman measurements were performed on a single crystal of dark-blue colored RbCoCl3. The sample was mounted in a Thor S500 continuous-flow cryostat, where the crystal temperature could be controlled to within 0.1 K. The Raman scattering spectra were excited with 50 mW of 476.5 nm argon laser light, analyzed with a Spex 14018 double monochromator, and detected with a cooled RCA 31034A photomultiplier. The Raman signal was recorded at right angles to the incident light in a X(..)Y scattering geometry, where the Y axis was chosen to be normal to the crystal () cleavage plane and the Z axis was along the crystal c axis.
Acknowledgements
M.G.C. acknowledges support from the Natural Sciences and Engineering Research Council (NSERC) of Canada (grant RGPIN-2017-04429).
Author contributions
M.G.C. and D.J.L. initiated the work. D.J.L. performed the Raman scattering experiments and organized the data collection. M.G.C. developed the analytical theory and performed the analytical calculations. All authors contributed to the general discussion of the results and the writing of the manuscript.
Data availability
All data generated or analysed during this study are included in this published article.
Competing interests
The authors declare no competing interests.
Footnotes
Publisher's note
Springer Nature remains neutral with regard to jurisdictional claims in published maps and institutional affiliations.
References
- 1.Cottam MG, Lockwood DJ. Light Scattering in Magnetic Solids. Wiley; 1986. [Google Scholar]
- 2.Lukaszew RA, editor. Handbook of Nanomagnetism: Applications and Tools. Jenny Stanford Publishing; 2016. [Google Scholar]
- 3.Fermon C, Van de Voorde M, editors. Nanomagnetism: Applications and Perspectives. Wiley; 2017. [Google Scholar]
- 4.Rana B, Mondal AK, Bandyopadhyay S, Barman A. Applications of nanomagnets as dynamical systems—part I. Nanotechnology. 2022;33:062007. doi: 10.1088/1361-6528/ac2e75. [DOI] [Google Scholar]
- 5.Hänni NP, et al. Magnetic order in the quasi-one-dimensional Ising system RbCoCl3. Phys. Rev. B. 2021;103:094424. doi: 10.1103/PhysRevB.103.094424. [DOI] [Google Scholar]
- 6.Cottam MG, Lockwood DJ. Zeeman-ladder analysis of the Raman magnon energies in the quasi-one-dimensional antiferromagnet RbCoCl3. Phys. Rev. B. 2022;105:064411. doi: 10.1103/PhysRevB.105.064411. [DOI] [Google Scholar]
- 7.Yoshizawa H, Hirakawa K, Satija SK, Shirane G. Dynamical correlation functions in a one-dimensional Ising-like antiferromagnetic CsCoCl3: A neutron scattering study. Phys. Rev. B. 1981;23:2298. doi: 10.1103/PhysRevB.23.2298. [DOI] [Google Scholar]
- 8.Nagler SE, Buyers WJL, Armstrong RL, Briat B. Ising-like spin-1/2 quasi-one-dimensional antiferromagnets: Spin-wave response in CsCoX3 salts. Phys. Rev. B. 1983;27:1784. doi: 10.1103/PhysRevB.27.1784. [DOI] [Google Scholar]
- 9.Lehmann W, Breitling W, Weber R. Raman scattering study of spin dynamics in the quasi-1D Ising antiferromagnets CsCoCl3 and CsCoBr3. J. Phys. C Solid State Phys. 1981;14:4655. doi: 10.1088/0022-3719/14/31/014. [DOI] [Google Scholar]
- 10.Matsubara F, Inawashiro S, Ohhara H. On the magnetic Raman scattering in CsCoCl3, CsCoBb3 and RbCoCl3. J. Phys. Condens. Matter. 1991;3:1815. doi: 10.1088/0953-8984/3/12/012. [DOI] [Google Scholar]
- 11.Goff JP, Tennant DA, Nagler SE. Exchange mixing and soliton dynamics in the quantum spin chain CsCoCl3. Phys. Rev. B. 1995;52:15992. doi: 10.1103/PhysRevB.52.15992. [DOI] [PubMed] [Google Scholar]
- 12.Nagler SE, Buyers WJL, Armstrong RL, Briat B. Propagating domain walls in CsCoBr3. Phys. Rev. Lett. 1982;49:590. doi: 10.1103/PhysRevLett.49.590. [DOI] [Google Scholar]
- 13.Lockwood DJ, Johnstone IW, Labbe HJ, Briat B. Raman scattering from the 1D antiferromagnets RbCoCl3 and RbNiCl3. J. Phys. C Solid State Phys. 1983;16:6451. doi: 10.1088/0022-3719/16/33/018. [DOI] [Google Scholar]
- 14.Lockwood DJ, et al. Magnon-phonon coupling in spin-1/2 quasi 1D antiferromagnets. In: Lovesey SW, et al., editors. Magnetic Excitations and Fluctuations. Springer; 1984. p. 33. [Google Scholar]
- 15.Jörke R, Dürr U. Properties of magnetic excitations in RbCoCl3. J. Phys. C Solid State Phys. 1983;16:L1129. doi: 10.1088/0022-3719/16/31/007. [DOI] [Google Scholar]
- 16.Oosawa A, Nishiwaki Y, Kato T, Kakurai K. Polarized neutron inelastic scattering study of anisotropic magnetic fluctuations in quasi-one-dimensional Ising-like antiferromagnet TlCoCl3. J. Phys. Soc. Jpn. 2006;75:015002. doi: 10.1143/JPSJ.75.015002. [DOI] [Google Scholar]
- 17.Nagler SE, Buyers WJL, Armstrong RL, Briat B. Solitons in the one-dimensional antiferromagnet CsCoBr3. Phys. Rev. B. 1983;28:3873. doi: 10.1103/PhysRevB.28.3873. [DOI] [PubMed] [Google Scholar]
- 18.Johnstone IW, Lockwood DJ, Dharmawardana MWC. Influence of interchain coupling on the one-dimensional magnon Raman spectrum of CsCoBr3. Solid State Commun. 1980;36:593. doi: 10.1016/0038-1098(80)90094-0. [DOI] [Google Scholar]
- 19.Lockwood DJ, Johnstone IW. Raman scattering from magnons and excitons in the 3-D ordered phases of CsCoBr3. J. Appl. Phys. 1982;53:8169. doi: 10.1063/1.330281. [DOI] [Google Scholar]
- 20.Johnstone IW, Jones GD, Lockwood DJ. Anomalous phonon intensities in the Raman spectrum of disordered CsMg1-xCoxCl3. Solid State Commun. 1981;39:395. doi: 10.1016/0038-1098(81)90625-6. [DOI] [Google Scholar]
- 21.Lockwood DJ, Cottam MG. The spin-phonon interaction in FeF2 and MnF2 studied by Raman spectroscopy. J. Appl. Phys. 1988;64:5876. doi: 10.1063/1.342186. [DOI] [Google Scholar]
- 22.Cottam MG, Lockwood DJ. Spin-phonon interaction in transition-metal difluoride antiferromagnets: Theory and experiment. Low Temp. Phys. Fizika Nizkikh Temperatur. 2019;45:90. [Google Scholar]
- 23.Elliott RJ. Some properties of concentrated and dilute Heisenberg magnets with general spin. J. Phys. Chem. Solids. 1960;16:165. doi: 10.1016/0022-3697(60)90144-X. [DOI] [Google Scholar]
- 24.Yelon WB, Cox DE, Eibschutz M. Magnetic ordering in CsCoBr3. Phys. Rev. B. 1975;12:5007. doi: 10.1103/PhysRevB.12.5007. [DOI] [Google Scholar]
Associated Data
This section collects any data citations, data availability statements, or supplementary materials included in this article.
Data Availability Statement
All data generated or analysed during this study are included in this published article.
