Abstract
Background: The aim of this paper was to examine the analgesic and anxiolytic effects of binaural beat audio in patients undergoing cataract surgery under topical anaesthesia. Methods: This was a prospective, randomized controlled trial of 61 patients undergoing cataract surgery under topical anaesthesia. They were divided into two research conditions; the binaural beat audio group, and a sham-control group (ear phones with no music). Patients completed the State-Trait Anxiety Inventory questionnaire (STAI), and their blood pressure (BP) and heart rate (HR) were measured pre- and post-intervention. Intraoperative pain levels were ascertained using a visual analog scale (VAS) completed immediately after the surgery. Results: The binaural beat group had significantly lower pain scores (p < 0.001), HR (p < 0.001), diastolic BP (p = 0.003), mean arterial pressure (p = 0.007) and anxiety (p = 0.009) than the control group. Within the binaural beat group, subjects experienced a statistically significant reduction in HR (p = 0.004) and anxiety (p < 0.001) levels compared to baseline values, while all parameters, except anxiety, increased significantly in the control group. Conclusions: Binaural beat audio decreases operative pain and anxiety in cataract surgery under topical anaesthesia. It may have additional benefits in modulating the tachycardic response to stress.
Keywords: binaural beats, cataract surgery, phacoemulsification, topical anaesthesia, pain, anxiety
1. Introduction
Topical anaesthesia is the preferred choice of anaesthesia among patients undergoing phacoemulsification cataract surgery [1]. Although it avoids the inherent complications of needle-based local anaesthesia, such as chemosis and subconjunctival haemorrhage [1,2], there is evidence that it is less effective for pain relief than those techniques, including retrobulbar [3], peribulbar [1,3] and sub-Tenon anaesthesia [3,4,5,6,7]. Addition of intracameral anaesthesia reduces pain perception compared to topical anaesthesia alone, but intra-operative pain levels are still higher than with Sub-Tenon anaesthesia [8,9]. Furthermore, topical anaesthesia does not address intra-operative anxiety, which may exacerbate the subjective experience of pain [9,10]. Intravenous sedation with midazolam has, likewise, been found to have no significant effect on reduction of pain or anxiety [11]. Thus, there remains an unmet need for adjunctive therapies to reduce anxiety and pain during phacoemulsification under topical anaesthesia.
Sound has complex effects on the brain, with both audible and inaudible frequencies exerting changes on electroencephalogram-documented brainwaves [12,13,14,15]. Brainwave entrainment in the form of auditory binaural beats has been shown to have analgesic [16,17,18] and anxiolytic effects [19,20,21]. Binaural beats are an auditory processing artefact created by the interference between two similar frequencies of sound presented to each ear via earphones [22,23]. Disparate audible tones of up to 1000 hertz (Hz) frequency, differing by less than approximately 30 Hz, are processed by the brain via binaural integration, allowing perception of a third, subliminal tone [24,25]. The frequency of this illusory tone is equal to the mean frequency of the two stimuli, while its amplitude fluctuates with a frequency amounting to the difference between the stimuli [26]. For example, playing a 400 Hz tone in the right ear and a 410 Hz tone in the left will entrain the brain towards a beat frequency of 10 Hz, which is in the alpha range associated with relaxation [27].
The analgesic effects of binaural beats have been observed in acute and chronic pain. For example, Zampi et al. demonstrated that patients with chronic pain who listened to binaural beats 20 min a day for a fortnight experienced significant reductions in perceived pain [18]. In addition, two randomized trials evaluating the use of binaural beats for intra-operative nociception control found that patients under general anaesthesia required significantly less intraoperative fentanyl when listening to binaural beats than when listening to non-binaural beat music or a blank tape [16,17]. In addition, Dabu-Bondoc et al. also observed significantly lower post-operative pain scores in the binaural beat group than in the other groups [16]. Similarly, binaural beat music has been demonstrated to have superior anxiolytic effects not only over blank headphones, but over music without binaural beats [21]. A meta-analysis of binaural beats in pain perception and anxiety concluded that these beats have a medium, significant, consistent effect size in reducing anxiety levels and pain perception [19].
Binaural beats embedded in music have been observed to decrease patient-reported, and physiological measures of, anxiety in patients undergoing phacoemulsification under local anaesthesia [25]. However, as the aforementioned study was performed under retrobulbar anaesthesia, the efficacy of binaural beat audio for pain management has not been explored. Our study thus aimed to evaluate the analgesic and anxiolytic effects of binaural beat audio in patients undergoing cataract surgery under topical anaesthesia.
2. Materials and Methods
We conducted a prospective, randomized controlled trial in Hospital Universiti Sains Malaysia from April 2017 to March 2018. The study was approved by the Human Research Ethics Committee of Universiti Sains, Malaysia (USM/JEPeM/16090291). The conduct of the study followed the tenets of the declaration of Helsinki.
2.1. Participants
The study recruited 62 patients. Data was collected by a single researcher. Inclusion criteria were subjects with senile cataract undergoing phacoemulsification with intraocular lens implantation under topical anaesthesia. Exclusion criteria included previous intraocular surgery, pre-existing concomitant ocular disease (e.g., glaucoma), hearing impairment, neurological disease, psychiatric disease, use of anxiolytic medications, and presence of intraoperative complications necessitating conversion to extracapsular cataract extraction.
Patients were randomized into two groups using the random sampling envelope technique; binaural beats with topical anaesthesia (intervention group) and topical anaesthesia alone (sham-control group, wearing earphones with no audio). Patients were blinded to allocation until administration of interventions. During the procedure, one patient from the control group was excluded because of intraoperative intraocular complications resulting in conversion of phacoemulsification to extra capsular cataract extraction under sub-tenon block.
2.2. Sample Size Calculation
In the present study, the sample size calculation was conducted using G*Power 3.1.9.7 (Heinrich Heine University, Dusseldorf, Germany) based on the analysis of variance (ANOVA): repeated measures between factors (i.e., intervention and control groups; group effect), within factors (time effect), and within–between factors (interaction effect). The largest sample size was described in this section. The parameters used for the sample size calculation were effect size = 0.20, alpha value = 0.05, statistical power = 0.80, number of groups = 2, number of measurements = 2 times. The estimated sample size was 31 per group with total sample size of 62.
2.3. Subjective Assessment of Pain
Pain was assessed immediately after the surgery using a visual analog scale (VAS). The VAS is a reliable and widely used method of measuring intraoperative pain in cataract surgery [26,27,28,29]. It consists of a linear scale with its ends corresponding to the extreme limits of the measured response [30,31,32].
2.4. Subjective Assessment of Anxiety
Subjects completed the 6-item State-Trait Anxiety Inventory (STAI) before and after the surgery [33,34]. The STAI is a valid, sensitive and reliable measure of anxiety in cataract surgery, with higher scores reflecting higher anxiety levels. [27,35,36,37,38]. The questionnaire presents equal numbers of anxiety-present (e.g., ‘tense’, ‘worried’) and anxiety-absent (e.g., ‘calm’, ‘relaxed’) items to each patient, requiring patients to answer each question with one the following responses: (1) Never, (2) Some, (3) Much or (4) Completely.
2.5. Objective Assessment of Pain and Anxiety
Blood pressure (BP) and heart rate (HR) were recorded at the start and at the end of surgery (Spacelabs Ultraview SL Monitoring System, Spacelabs Healthcare, Issaquah, Washington). Although pain and anxiety are subjective experiences, BP and HR have been correlated with pain and anxiety during cataract surgery and may act as proxy measures [25,39].
2.6. Interventions
After answering the STAI, patients were randomly assigned to two groups, both provided with an identical MP3 player and canal-type stereo earphones (see Figure 1). In the intervention group, binaural beats (Happiness Frequency 10 Hz Binaural Beats, Greenred Production) were utilized, while the control group had no audio. Earphones were positioned 10 min before the start of surgery.
Figure 1.
Consort Diagram on participants’ allocation.
The dilation regime was topical tropicamide 1% (Mydriacyl, Alcon, Puurs, Belgium) and phenylephrine hydrochloride 2.5% (Mydfrin, Alcon, Fort Worth, TX, USA). Topical anaesthesia consisted of proparacaine hydrochloride 0.5% (Alcaine, Alcon, Puurs, Belgium). All patients were also given non-preserved intracameral lidocaine hydrochloride 1% at the commencement of the surgery. No oral or intravenous sedation was used. Phacoemulsification was performed in the standard manner by a single surgeon blinded to allocation group. Immediately after the surgery, patients completed the VAS, followed by the STAI.
2.7. Statistical Analysis
Statistical Package for the Social Sciences (SPSS) version 27.0 (IBM Corp., Armonk, NY, USA) was used for the data analysis. The data consisted of the two groups (i.e., binaural beat audio vs. control) with a two-time measurement of the outcome variables (i.e., systolic BP, diastolic BP, mean arterial pressure, HR, STAI score). Independent sample t-test and Pearson chi-square statistic were used to compare numerical and categorical variables between groups. Paired sample t-test was used for pre- and post-test measurements within each group. Mixed factorial analysis of variance (ANOVA) was conducted to examine the effects of the intervention. The effect examined included the time, group, and interaction (time × group) effects. The ‘time’ effect evaluated the difference between pre-operative and post-operative outcome variables within each group, while the ‘group’ effect compared the differences in outcome variables between groups. The ‘time × group’ effect allowed comparison of the changes in outcome variables among the groups over time. A p-value of <0.05 was taken as a significant result.
3. Results
A total of 61 patients were included in the study; 31 in the binaural beat group and 30 in the control group (Figure 1). Baseline clinical and socio-demographic factors were comparable between the groups, as were the STAI scores (Table 1 and Table 2). There was no significant difference in surgical duration between the groups (p = 0.879).
Table 1.
Comparison of baseline socio-demographic variables between groups.
| Category | Overall n (%) | Control (n = 30) | Intervention (n =31) | p-Value | ||
|---|---|---|---|---|---|---|
| n (%) | Mean (SD) | n (%) | Mean (SD) | |||
| Age | 65.8 (7.9) | 63.9 (6.2) | 67.7 (9.0) | 0.069 ** | ||
| Gender | 0.15 * | |||||
| Male | 33 (54.1) | 19 (63.3) | 14 (45.2) | |||
| Female | 28 (45.9) | 11 (36.7) | 17 (54.8) | |||
* analyzed by Pearson Chi-Square, p < 0.05 significant. ** analyzed by Independent Sample t-test, p < 0.05 significant.
Table 2.
Mean difference of study variables between control and experimental groups based on time.
| Study Variables | Time | Mean Difference (95% CI) | p-Value |
|---|---|---|---|
| Systolic BP | Baseline/pre | −3.18 (−11.58, 5.23) | 0.453 |
| Post | 9.22 (−0.71, 19.16) | 0.068 | |
| Diastolic BP | Baseline/pre | 1.64 (−3.27, 6.55) | 0.507 |
| Post | 7.40 (2.71, 12.09) | 0.003 | |
| MAP | Baseline/pre | −0.10 (−5.31, 5.12) | 0.970 |
| Post | 8.05 (2.28, 13.82) | 0.007 | |
| Heart rate | Baseline/pre | 5.02 (−1.41, 11.44) | 0.124 |
| Post | 12.53 (7.05, 18.02) | <0.001 | |
| Anxiety | Baseline/pre | −0.65 (−1.79, 0.50) | 0.265 |
| Post | 1.63 (0.42, 2.84) | 0.009 |
CI = Confidence interval; p-value based on Independent Sample t-test.
The binaural beat group had significantly lower pain scores (mean = 1.52, SD = 0.93) than the control group (mean = 2.60, SD = 1.19, p < 0.001). The HR, DBP, MAP and anxiety scores were also significantly lower in the former group than in the latter (Table 2). Pain score was significantly correlated with SBP, DBP, MAP and anxiety score within the control group, but not in the intervention group (Table 3).
Table 3.
Correlation between pain score and outcome measures.
| Pain Score | Post- Systolic |
Post-Diastolic | Post-MAP | Post- Heart Rate |
Post-Anxiety |
|---|---|---|---|---|---|
| Control | r = 0.44 | r = 0.40 | r = 0.51 | r = 0.35 | r = 0.47 |
| p = 0.015 | p = 0.029 | p = 0.004 | p = 0.055 | p = 0.008 | |
| Experimental | r = −0.15 | r = 0.02 | r = −0.08 | r = 0.11 | r = 0.25 |
| p = 0.415 | p = 0.928 | p = 0.666 | p = 0.542 | p = 0.170 |
r = Pearson correlation value, p = p-value.
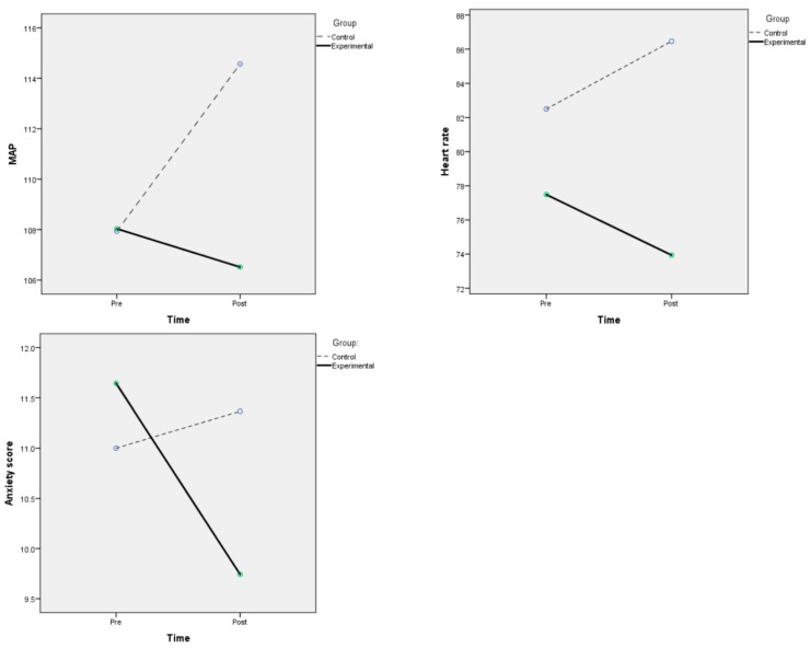
There were significant differences in all outcome measures within each group over time (Table 4). The binaural beat group experienced reductions in SBP, DBP, MAP, HR and anxiety, whereas the control group suffered elevations in these parameters (Figure 2). Paired t test showed that these changes were statistically significant for all variables in the control group, with the exception of anxiety (SBP, p < 0.001; DBP, p < 0.001; MAP, p < 0.001; HR, p < 0.001; anxiety score, p = 0.190; see Table 5). In the binaural beat group, the decremental trend of all outcome variables from pre- to post-test was statistically significant only for heart rate and anxiety (SBP, p = 0.133; DBP, p = 0.862; MAP, p = 0.362; HR, p = 0.004; anxiety score, p < 0.001; see Table 5).
Table 4.
Descriptive statistics and effects of intervention in control and experimental groups over time.
| Variables | Group | Pretest | Posttest | Time | Group | Time*Group | ||||||
|---|---|---|---|---|---|---|---|---|---|---|---|---|
| Mean (SD) | Mean (SD) | F | p-Value | η2 | F | p-Value | η2 | F | p-Value | η2 | ||
| Systolic | Con | 158.57 (11.31) | 166.90 (13.14) | 1.71 | 0.196 | 0.03 | 0.50 | 0.485 | 0.01 | 14.41 | <0.001 | 0.19 |
| Exp | 161.74 (20.14) | 157.68 (23.92) | ||||||||||
| Diastolic | Con | 82.80 (6.41) | 88.33 (7.25) | 8.36 | 0.005 | 0.12 | 4.16 | 0.046 | 0.07 | 9.84 | 0.003 | 0.14 |
| Exp | 81.16 (11.85) | 80.94 (10.66) | ||||||||||
| MAP | Con | 107.93 (6.07) | 114.57 (7.54) | 5.95 | 0.018 | 0.09 | 2.44 | 0.123 | 0.04 | 15.09 | <0.001 | 0.20 |
| Exp | 108.03 (12.96) | 106.52 (13.93) | ||||||||||
| Heart rate | Con | 82.50 (11.19) | 86.47 (9.13) | 0.06 | 0.811 | 0.01 | 9.44 | 0.003 | 0.14 | 18.62 | <0.001 | 0.24 |
| Exp | 77.48 (13.71) | 73.94 (12.03) | ||||||||||
| Anxiety | Con | 11.00 (2.42) | 11.37 (2.11) | 10.23 | 0.002 | 0.15 | 0.83 | 0.366 | 0.01 | 22.32 | 0.001 | 0.27 |
| Exp | 11.65 (2.04) | 9.74 (2.58) | ||||||||||
Con = control, Exp = Experimental, η2 = effect size; F = F statistic; Mixed Factorial ANOVA was used.
Figure 2.
Mean values of outcomes variables for control and experimental groups at pre- and post-test.
Table 5.
Mean differences between pretest and posttest within control and experimental groups.
| Variables | Group | Mean Difference Pretest-Posttest |
95% CI | p-Value |
|---|---|---|---|---|
| Systolic | Con | −8.33 | −12.23, −4.44 | <0.001 |
| Exp | 4.06 | −1.31, 9.44 | 0.133 | |
| Diastolic | Con | 5.53 | −8.20, −2.86 | <0.001 |
| Exp | 0.23 | −2.41, 2.86 | 0.862 | |
| MAP | Con | −6.63 | −9.29, −3.97 | <0.001 |
| Exp | 1.52 | −1.83, 4.86 | 0.362 | |
| Heart rate | Con | −3.97 | −6.70, −1.23 | <0.001 |
| Exp | 3.55 | 1.25, 5.84 | 0.004 | |
| Anxiety | Con | −0.37 | 0.93, −1.34 | 0.190 |
| Exp | 1.90 | 1.10, 2.70 | <0.001 |
Paired Sample t-test was used.
4. Discussion
Cataract surgery is unique among other surgeries for the ease and safety with which it can be performed under topical anesthesia, thus avoiding the risks of regional blocks [5,40,41,42]. Unfortunately, intraoperative pain control is still suboptimal compared to sub-tenon anaesthesia, even with the addition of intracameral injection [3,4,5,6,7,43], necessitating an on-going search for further modalities to enhance patient comfort during cataract surgery under topical anaesthesia. Binaural beat-embedded music has previously been shown to reduce systolic BP, HR and anxiety levels in patients undergoing cataract surgery under retrobulbar block [25]. Our study builds on this foundation by demonstrating that binaural beat audio alone not only has anxiolytic effects and physiologic, but also reduces pain perception among patients undergoing cataract surgery under topical anaesthesia.
Our intervention group had significantly lower pain scores than the control group, reflecting reduced intraoperative pain in those exposed to binaural beat audio. Binaural beats have previously been demonstrated to reduce perceived pain during surgery under general anaesthesia [16,17,44]. To the best of our knowledge, this is the first study to document the efficacy of binaural beats as analgesic adjuncts to topical anaesthesia in sedation-free cataract surgery.
Preoperative anxiety levels have been found to predict pain during cataract surgery [45]. Pain-relevant anxiety amplifies pain perception by modulating the response of the entorhinal cortex of the hippocampal formation [10]. Our study observed that binaural beat audio had analgesic effects which may potentially be independent of its anxiolytic effects. In line with the literature, our binaural beat group had significantly lower post-intervention anxiety scores than the control group. Binaural beat audio has positive effects on anxiety, whether used regularly [46,47] or as a one-off intervention [20,21]. Its effect on decreasing operative anxiety among patients undergoing phacoemulsification has also been recognized [25]. Our study concurs with the results of that study, in which the binaural beat group had significantly reduced BP and HR compared to the control group [25].
BP and HR act as physiological indicators of anxiety [48,49,50] and pain [27,39,51]. These parameters, as well as the post intervention-STAI scores, were found to increase in the control group and decrease in the binaural beat group. The lack of correlation between pain scores and these physiologic measures within the binaural group were in contrast to the correlations observed among these parameters in the control group. Binaural beats may reduce BP and HR by increasing parasympathetic dominance [52,53]. This may have particular utility in cataract surgery, in which tachycardia is a risk factor for complications, such as suprachoroidal haemorrhage.
Binaural beats are auditory brainstem responses generated from the superior olivary nucleus in response to different frequency auditory stimuli provided to each ear [54]. A recent meta-analysis revealed that they exert effects on cognition, memory and psychophysiological states like anxiety [55]. Anxiety levels have been correlated with vestibulo--cortical hemispheric dominance [56]. By integrating the contralateral auditory system, binaural beats may thus mediate their effects via synchronization of the brain hemispheres [22,57] and alter functional connectivity [58]. Binaural beats may also affect the autonomic nervous system, increasing parasympathetic activation and facilitating sympathetic withdrawal [53].
Strengths of our study were its use of validated instruments to measure pain and anxiety, allowing direct comparison with other published studies in this field. Furthermore, by performing surgery under topical anaesthesia, our hemodynamic parameters were free from the fluctuations which may occur with peribulbar injection or sedation [59]. The main limitation of our study was that our control group could only be masked until the administration of the intervention, resulting in possible bias. Besides that, our control group of earphones without audio may have experienced anxiolytic effects due to reduction in ambient sound, thus underestimating the beneficial effect of binaural beat audio in routine cataract surgery. In addition, the effect of binaural beats on nociception may appear amplified due to our lack of a ‘music-only’ control group; music has also been demonstrated to reduce intra and postoperative pain, although not to as great an extent as binaural beat audio [16,17]. Finally, we acknowledge that the effect size of our intervention ranged from small to medium (i.e., 0.01 to 0.27), indicating that the differences between groups were modest. Further studies evaluating supplemental methods of analgesia in cataract surgery under topical anaesthesia are warranted.
Topical anaesthesia is rapidly becoming the standard of care for daycare cataract surgery [2,44]. Although intravenous sedation has been successfully used as an adjunct to these cases, it entails increased cost and resources, which are not readily available at many centers [28,60,61]. Patient cooperation is essential for surgery under topical anaesthesia, and can be affected by pain and anxiety [29,61]. We demonstrated that binaural beat audio has the potential to decrease operative pain, anxiety, BP and HR. Further studies should evaluate the cost-effectiveness of this intervention as an adjunct to cataract surgery under topical anaesthesia.
5. Conclusions
Binaural beat audio has analgesic and anxiolytic effects in patients undergoing cataract surgery under topical anaesthesia. Its additional parasympathetic effects may be particularly beneficial in cataract surgery.
Author Contributions
Conceptualization, L.J.L., E.L.M.T., Y.C.K. and A.H.; methodology, E.L.M.T., Y.C.K., G.K. and A.H.; formal analysis, Y.C.K.; data curation, L.J.L. and Y.C.K.; writing—original draft preparation, L.J.L., K.K.L., E.L.M.T., Y.C.K., G.K. and A.H.; writing—review and editing, L.J.L., K.K.L., E.L.M.T., Y.C.K., G.K. and A.H., visualization, E.L.M.T. and A.H.; supervision, E.L.M.T. and A.H.; funding acquisition, E.L.M.T. and Y.C.K. All authors have read and agreed to the published version of the manuscript.
Institutional Review Board Statement
The study was approved by the Human Research Ethics Committee of Universiti Sains Malaysia (USM/JEPeM/16090291). The conduct of the study followed the tenets of the declaration of Helsinki.
Informed Consent Statement
Informed consent was obtained from all subjects involved in the study. Besides, written informed consent has been obtained from the patient(s) to publish this paper.
Data Availability Statement
The data is available upon request from the authors.
Conflicts of Interest
The authors declare no conflict of interest.
Funding Statement
This research was funded by Universiti Sains Malaysia Research Grant 304/PPSP/6315143.
Footnotes
Publisher’s Note: MDPI stays neutral with regard to jurisdictional claims in published maps and institutional affiliations.
References
- 1.Zhao L.Q., Zhu H., Zhao P.Q., Wu Q.R., Hu Y.Q. Topical anesthesia versus regional anesthesia for cataract surgery: A meta-analysis of randomized controlled trials. Ophthalmology. 2012;119:659–667. doi: 10.1016/j.ophtha.2011.09.056. [DOI] [PubMed] [Google Scholar]
- 2.Stupp T., Hassouna I., Soppart K., Thanos S., Forster W. Systemic adverse events: A comparison between topical and peribulbar anaesthesia in cataract surgery. Ophthalmologica. 2007;221:320–325. doi: 10.1159/000104762. [DOI] [PubMed] [Google Scholar]
- 3.Malik A., Fletcher E.C., Chong V., Dasan J. Local anesthesia for cataract surgery. J. Cataract Refract. Surg. 2010;36:133–152. doi: 10.1016/j.jcrs.2009.10.025. [DOI] [PubMed] [Google Scholar]
- 4.Guay J., Sales K. Sub-Tenon’s anaesthesia versus topical anaesthesia for cataract surgery. Cochrane Database Syst. Rev. 2015;8:CD006291. doi: 10.1002/14651858.CD006291.pub3. [DOI] [PMC free article] [PubMed] [Google Scholar]
- 5.Manners T.D., Burton R.L. Randomised trial of topical versus sub-Tenon’s local anaesthesia for small-incision cataract surgery. Eye. 1996;10:367–370. doi: 10.1038/eye.1996.75. [DOI] [PubMed] [Google Scholar]
- 6.Srinivasan S., Fern A.I., Selvaraj S., Hasan S. Randomized double-blind clinical trial comparing topical and sub-Tenon’s anaesthesia in routine cataract surgery. Br. J. Anaesth. 2004;93:683–686. doi: 10.1093/bja/aeh254. [DOI] [PubMed] [Google Scholar]
- 7.Ruschen H., Celaschi D., Bunce C., Carr C. Randomised controlled trial of sub-Tenon’s block versus topical anaesthesia for cataract surgery: A comparison of patient satisfaction. Br. J. Ophthalmol. 2005;89:291–293. doi: 10.1136/bjo.2004.052167. [DOI] [PMC free article] [PubMed] [Google Scholar]
- 8.Ezra D.G., Allan B.D. Topical anaesthesia alone versus topical anaesthesia with intracameral lidocaine for phacoemulsification. Cochrane Database Syst. Rev. 2007;3:CD005276. doi: 10.1002/14651858.CD005276.pub2. [DOI] [PubMed] [Google Scholar]
- 9.Ho A.L., Zakrzewski P.A., Braga-Mele R. The effect of combined topical-intracameral anaesthesia on neuroleptic requirements during cataract surgery. Can. J. Ophthalmol. 2010;45:52–57. doi: 10.3129/i09-204. [DOI] [PubMed] [Google Scholar]
- 10.Ploghaus A., Narain C., Beckmann C.F., Clare S., Bantick S., Wise R., Matthews P.M., Rawlins J.N.P., Tracey I. Exacerbation of pain by anxiety is associated with activity in a hippocampal network. J. Neurosci. 2001;21:9896–9903. doi: 10.1523/JNEUROSCI.21-24-09896.2001. [DOI] [PMC free article] [PubMed] [Google Scholar]
- 11.Habib N.E., Mandour N.M., Balmer H.G. Effect of midazolam on anxiety level and pain perception in cataract surgery with topical anesthesia. J. Cataract Refract. Surg. 2004;30:437–443. doi: 10.1016/S0886-3350(03)00557-1. [DOI] [PubMed] [Google Scholar]
- 12.Oohashi T., Nishina E., Honda M., Yonekura Y., Fuwamoto Y., Kawai N., Maekawa T., Nakamura S., Fukuyama H., Shibasaki H. Inaudible high-frequency sounds affect brain activity: Hypersonic effect. J. Neurophysiol. 2000;83:3548–3558. doi: 10.1152/jn.2000.83.6.3548. [DOI] [PubMed] [Google Scholar]
- 13.Jancke L., Alahmadi N. Detection of independent functional networks during music listening using electroencephalogram and sLORETA-ICA. Neuroreport. 2016;27:455–461. doi: 10.1097/WNR.0000000000000563. [DOI] [PubMed] [Google Scholar]
- 14.Nakamura S., Sadato N., Oohashi T., Nishina E., Fuwamoto Y., Yonekura Y. Analysis of music-brain interaction with simultaneous measurement of regional cerebral blood flow and electroencephalogram beta rhythm in human subjects. Neurosci. Lett. 1999;275:222–226. doi: 10.1016/S0304-3940(99)00766-1. [DOI] [PubMed] [Google Scholar]
- 15.Bruya M.A., Severtsen B. Evaluating the effects of music on electroencephalogram patterns of normal subject. J. Neurosurg. Nurs. 1984;16:96–100. doi: 10.1097/01376517-198404000-00007. [DOI] [PubMed] [Google Scholar]
- 16.Dabu-Bondoc S., Vadivelu N., Benson J., Perret D., Kain Z.N. Hemispheric synchronized sounds and perioperative analgesic requirements. Anesth. Analg. 2010;110:208–210. doi: 10.1213/ANE.0b013e3181bea424. [DOI] [PubMed] [Google Scholar]
- 17.Kliempt P., Ruta D., Ogston S., Landeck A., Martay K. Hemispheric-synchronisation during anaesthesia: A double-blind randomised trial using audiotapes for intra-operative nociception control. Anaesthesia. 1999;54:769–773. doi: 10.1046/j.1365-2044.1999.00958.x. [DOI] [PubMed] [Google Scholar]
- 18.Zampi D.D. Efficacy of theta binaural reats for the treatment of chronic pain. Altern. Ther. Health Med. 2016;22:32–38. [PubMed] [Google Scholar]
- 19.Garcia-Argibay M., Santed M.A., Reales J.M. Efficacy of binaural auditory beats in cognition, anxiety, and pain perception: A meta-analysis. Psychol. Res. 2019;83:357–372. doi: 10.1007/s00426-018-1066-8. [DOI] [PubMed] [Google Scholar]
- 20.Isik B.K., Esen A., Buyukerkmen B., Kilinc A., Menziletoglu D. Effectiveness of binaural beats in reducing preoperative dental anxiety. Br. J. Oral Maxillofac. Surg. 2017;55:571–574. doi: 10.1016/j.bjoms.2017.02.014. [DOI] [PubMed] [Google Scholar]
- 21.Padmanabhan R., Hildreth A.J., Laws D. A prospective, randomised, controlled study examining binaural beat audio and pre-operative anxiety in patients undergoing general anaesthesia for day case surgery. Anaesthesia. 2005;60:874–877. doi: 10.1111/j.1365-2044.2005.04287.x. [DOI] [PubMed] [Google Scholar]
- 22.Licklider J.C.R., Webster J., Hedlun J. On the frequency limits of binaural beats. Proc. Meet Acoust. 1950;22:468–473. doi: 10.1121/1.1906629. [DOI] [Google Scholar]
- 23.Tobias J.V. Application of a “relative” procedure to a problem in binaural beat perception. J. Acoust. Soc. Am. 1963;35:1442–1447. doi: 10.1121/1.1918710. [DOI] [PubMed] [Google Scholar]
- 24.Lentz J.J., He Y., Townsend J.T. A new perspective on binaural integration using response time methodology: Super capacity revealed in conditions of binaural masking release. Front. Hum. Neurosci. 2014;8:641. doi: 10.3389/fnhum.2014.00641. [DOI] [PMC free article] [PubMed] [Google Scholar]
- 25.Wiwatwongwana D., Vichitvejpaisal P., Thaikruea L., Klaphajone J., Tantong A., Wiwatwongwana A. The effect of music with and without binaural beat audio on operative anxiety in patients undergoing cataract surgery: A randomized controlled trial. Eye. 2016;30:1407. doi: 10.1038/eye.2016.160. [DOI] [PMC free article] [PubMed] [Google Scholar]
- 26.Oster G. Auditory beats in the brain. Sci. Am. 1973;229:94–102. doi: 10.1038/scientificamerican1073-94. [DOI] [PubMed] [Google Scholar]
- 27.Haddadi S., Marzban S., Fazeli B., Heidarzadeh A., Parvizi A., Naderinabi B., Panah M.R.P. Comparing the effect of topical anesthesia and retrobulbar block with intravenous sedation on hemodynamic changes and satisfaction in patients undergoing cataract surgery (phaco method) Anesth. Pain Med. 2015;5:e24780. doi: 10.5812/aapm.24780. [DOI] [PMC free article] [PubMed] [Google Scholar]
- 28.Aslankurt M., Aslan L., Baskan A.M., Aksoy A., Silay E., Yildiz H. Pain and cooperation in patients having dominant-side or nondominant-side phacoemulsification. J. Cataract Refract. Surg. 2014;40:199–202. doi: 10.1016/j.jcrs.2013.07.038. [DOI] [PubMed] [Google Scholar]
- 29.Sharma N.S., Ooi J.L., Figueira E.C., Rosenberg M.L., Masselos K., Papalkar D.P., Paramanathan N., Francis I.C., Alexander S.L., Ferch N.I. Patient perceptions of second eye clear corneal cataract surgery using assisted topical anaesthesia. Eye. 2008;22:547–550. doi: 10.1038/sj.eye.6702711. [DOI] [PubMed] [Google Scholar]
- 30.Scott J., Huskisson E.C. Graphic representation of pain. Pain. 1976;2:175–184. doi: 10.1016/0304-3959(76)90113-5. [DOI] [PubMed] [Google Scholar]
- 31.Revill S.I., Robinson J.O., Rosen M., Hogg M.I. The reliability of a linear analogue for evaluating pain. Anaesthesia. 1976;31:1191–1198. doi: 10.1111/j.1365-2044.1976.tb11971.x. [DOI] [PubMed] [Google Scholar]
- 32.Ohnhaus E.E., Adler R. Methodological problems in the measurement of pain: A comparison between the verbal rating scale and the visual analogue scale. Pain. 1975;1:379–384. doi: 10.1016/0304-3959(75)90075-5. [DOI] [PubMed] [Google Scholar]
- 33.Marteau T.M., Bekker H. The development of a six-item short-form of the state scale of the Spielberger State-Trait Anxiety Inventory (STAI) Br. J. Clin. Psychol. 1992;31:301–306. doi: 10.1111/j.2044-8260.1992.tb00997.x. [DOI] [PubMed] [Google Scholar]
- 34.Tluczek A., Henriques J.B., Brown R.L. Support for the reliability and validity of a six-item state anxiety scale derived from the State-Trait Anxiety Inventory. J. Nurs. Meas. 2009;17:19–28. doi: 10.1891/1061-3749.17.1.19. [DOI] [PMC free article] [PubMed] [Google Scholar]
- 35.Cavdar A.U., Yilmaz E., Baydur H. The Effect of hand massage before cataract surgery on patient anxiety and comfort: A randomized controlled study. J. Perianesth. Nurs. 2020;35:54–59. doi: 10.1016/j.jopan.2019.06.012. [DOI] [PubMed] [Google Scholar]
- 36.Tipotsch-Maca S.M., Varsits R.M., Ginzel C., Vecsei-Marlovits P.V. Effect of a multimedia-assisted informed consent procedure on the information gain, satisfaction, and anxiety of cataract surgery patients. J. Cataract Refract. Surg. 2016;42:110–116. doi: 10.1016/j.jcrs.2015.08.019. [DOI] [PubMed] [Google Scholar]
- 37.Bee Seok C., Abd Hamid H.S., Mutang J.A., Ismail R. Psychometric properties of the state-trait anxiety inventory (form Y) among Malaysian university students. Sustainability. 2018;10:3311. doi: 10.3390/su10093311. [DOI] [Google Scholar]
- 38.Vitasari P., Wahab M.N.A., Herawan T., Othman A., Sinnadurai S.K. Re-test of State Trait Anxiety Inventory (STAI) among engineering students in Malaysia: Reliability and validity tests. Procedia Soc. Behav. Sci. 2011;15:3843–3848. doi: 10.1016/j.sbspro.2011.04.383. [DOI] [Google Scholar]
- 39.Jiang L., Zhang K., He W., Zhu X., Zhou P., Lu Y. Perceived pain during cataract surgery with topical anesthesia: A comparison between first-eye and second-eye surgery. J. Ophthalmol. 2015;2015:383456. doi: 10.1155/2015/383456. [DOI] [PMC free article] [PubMed] [Google Scholar]
- 40.Fichman R.A. Use of topical anesthesia alone in cataract surgery. J. Cataract Refract. Surg. 1996;22:612–614. doi: 10.1016/S0886-3350(96)80019-8. [DOI] [PubMed] [Google Scholar]
- 41.Claoue C., Lanigan C. Topical anaesthesia for cataract surgery. Aust. N. Z. J. Ophthalmol. 1997;25:265–268. doi: 10.1111/j.1442-9071.1997.tb01513.x. [DOI] [PubMed] [Google Scholar]
- 42.Jacobi P.C., Dietlein T.S., Jacobi F.K. A comparative study of topical vs. retrobulbar anesthesia in complicated cataract surgery. Arch. Ophthalmol. 2000;118:1037–1043. doi: 10.1001/archopht.118.8.1037. [DOI] [PubMed] [Google Scholar]
- 43.Chittenden H.B., Meacock W.R., Govan J.A. Topical anaesthesia with oxybuprocaine versus sub-Tenon’s infiltration with 2% lignocaine for small incision cataract surgery. Br. J. Ophthalmol. 1997;81:288–290. doi: 10.1136/bjo.81.4.288. [DOI] [PMC free article] [PubMed] [Google Scholar]
- 44.Lewis A.K., Osborn I.P., Roth R. The effect of hemispheric synchronization on intraoperative analgesia. Anesth. Analg. 2004;98:533–536. doi: 10.1213/01.ANE.0000096181.89116.D2. [DOI] [PubMed] [Google Scholar]
- 45.Socea S.D., Abualhasan H., Magen O., Zayit-Soudry S., Blumenthal E.Z., Duvdevan N., Mimouni M. Preoperative anxiety levels and pain during cataract surgery. Curr. Eye Res. 2020;45:471–476. doi: 10.1080/02713683.2019.1666996. [DOI] [PubMed] [Google Scholar]
- 46.Wahbeh H., Calabrese C., Zwickey H. Binaural beat technology in humans: A pilot study to assess psychologic and physiologic effects. J. Altern. Complement. Med. 2007;13:25–32. doi: 10.1089/acm.2006.6196. [DOI] [PubMed] [Google Scholar]
- 47.Le Scouarnec R.P., Poirier R.M., Owens J.E., Gauthier J., Taylor A.G., Foresman P.A. Use of binaural beat tapes for treatment of anxiety: A pilot study of tape preference and outcomes. Altern. Ther. Health Med. 2001;7:58–63. [PubMed] [Google Scholar]
- 48.Ko Y.L., Lin P.C. The effect of using a relaxation tape on pulse, respiration, blood pressure and anxiety levels of surgical patients. J. Clin. Nurs. 2012;21:689–697. doi: 10.1111/j.1365-2702.2011.03818.x. [DOI] [PubMed] [Google Scholar]
- 49.Smolen D., Topp R., Singer L. The effect of self-selected music during colonoscopy on anxiety, heart rate, and blood pressure. Appl. Nurs. Res. 2002;15:126–136. doi: 10.1053/apnr.2002.34140. [DOI] [PubMed] [Google Scholar]
- 50.Kim M.S., Cho K.S., Woo H., Kim J.H. Effects of hand massage on anxiety in cataract surgery using local anesthesia. J. Cataract Refract. Surg. 2001;27:884–890. doi: 10.1016/S0886-3350(00)00730-6. [DOI] [PubMed] [Google Scholar]
- 51.Kavak Akelma F., Altinsoy S., Arslan M.T., Ergil J. Effect of favorite music on postoperative anxiety and pain. Anaesthesist. 2020;69:198–204. doi: 10.1007/s00101-020-00731-8. [DOI] [PubMed] [Google Scholar]
- 52.Kelton K., Weaver T.L., Willoughby L., Kaufman D., Santowski A. The efficacy of binaural beats as a stress-buffering technique. Altern. Ther. Health Med. 2020;27:28–33. [PubMed] [Google Scholar]
- 53.McConnell P.A., Froeliger B., Garland E.L., Ives J.C., Sforzo G.A. Auditory driving of the autonomic nervous system: Listening to theta-frequency binaural beats post-exercise increases parasympathetic activation and sympathetic withdrawal. Front. Psychol. 2014;5:1248. doi: 10.3389/fpsyg.2014.01248. [DOI] [PMC free article] [PubMed] [Google Scholar]
- 54.Gkolias V., Amaniti A., Triantafyllou A., Papakonstantinou P., Kartsidis P., Paraskevopoulos E., Bamidis P.D., Hadjileontiadis L., Kouvelas D. Reduced pain and analgesic use after acoustic binaural beats therapy in chronic pain-A double-blind randomized control cross-over trial. Eur. J. Pain. 2020;24:1716–1729. doi: 10.1002/ejp.1615. [DOI] [PubMed] [Google Scholar]
- 55.Bednarczuk N.F., Casanovas Ortega M., Fluri A.S., Arshad Q. Vestibulo-cortical hemispheric dominance: The link between anxiety and the vestibular system? Eur. J. Neurosci. 2018;47:1517–1524. doi: 10.1111/ejn.13948. [DOI] [PMC free article] [PubMed] [Google Scholar]
- 56.Solca M., Mottaz A., Guggisberg A.G. Binaural beats increase interhemispheric alpha-band coherence between auditory cortices. Hear Res. 2016;332:233–237. doi: 10.1016/j.heares.2015.09.011. [DOI] [PubMed] [Google Scholar]
- 57.Gao X., Cao H., Ming D., Qi H., Wang X., Wang X., Chen R., Zhou P. Analysis of EEG activity in response to binaural beats with different frequencies. Int. J. Psychophysiol. 2014;94:399–406. doi: 10.1016/j.ijpsycho.2014.10.010. [DOI] [PubMed] [Google Scholar]
- 58.Cupo G., Scarinci F., Ripandelli G., Sampalmieri M., Giusti C. Changes in vital signs during cataract phacoemulsification by using peribulbar or topical anesthesia. Clin. Ther. 2012;163:e263–e267. [PubMed] [Google Scholar]
- 59.Fernandes M.B., Souza R.V., Vasconcelos G.C., Ribeiro K.G., Andrade B.B., Fernandes C.R. Assessing patient satisfaction with cataract surgery under topical anesthesia supplemented by intracameral lidocaine combined with sedation. Arq. Bras. Oftalmol. 2013;76:345–349. doi: 10.1590/S0004-27492013000600005. [DOI] [PubMed] [Google Scholar]
- 60.Venkatakrishnan J.V., Kumar C.M., Ratra V., Viswanathan J., Jeyaraman V.A., Ragavendera T. Effect of sedation on visual sensations in patients undergoing cataract surgery under topical anaesthesia: A prospective randomized masked trial. Acta Ophthalmol. 2013;91:247–250. doi: 10.1111/j.1755-3768.2011.02246.x. [DOI] [PubMed] [Google Scholar]
- 61.Aslan L., Aslankurt M., Cekic O., Aksoy A., Yildiz H. The pain experience and cooperation of patients in consecutive cataract surgery. Eur. J. Ophthalmol. 2013;23:339–343. doi: 10.5301/ejo.5000219. [DOI] [PubMed] [Google Scholar]
Associated Data
This section collects any data citations, data availability statements, or supplementary materials included in this article.
Data Availability Statement
The data is available upon request from the authors.



