Abstract
A self-consistent analytical solution for binodal concentrations of the two-component Flory–Huggins phase separation model is derived. We show that this form extends the validity of the Ginzburg–Landau expansion away from the critical point to cover the whole phase space. Furthermore, this analytical solution reveals an exponential scaling law of the dilute phase binodal concentration as a function of the interaction strength and chain length. We demonstrate explicitly the power of this approach by fitting experimental protein liquid–liquid phase separation boundaries to determine the effective chain length and solute–solvent interaction energies. Moreover, we demonstrate that this strategy allows us to resolve differences in interaction energy contributions of individual amino acids. This analytical framework can serve as a new way to decode the protein sequence grammar for liquid–liquid phase separation.
The formation of membrane-less organelles through liquid–liquid phase separation (LLPS) has emerged as an important mechanism used by cells to regulate their internal biochemical environments, and it is also closely related to the development of neurodegenerative diseases.1−8 The Flory–Huggins model9−11 is a foundational theoretical picture that describes the phenomenology of LLPS, driven by a competition of entropy and interaction energy. Despite the generality of the Flory–Huggins model, analytical solutions describing the binodal line have not been available, and progress has instead been made through numerical methods.11−13 Here, we propose an analytical self-consistent form for the binodal concentrations and demonstrate the high accuracy comparable to numerical schemes. This can then be used to efficiently fit experimental binodal data and determine key underlying physical parameters.
The two-component
Flory–Huggins theory describes mixing
of a polymer species of length N with a homogeneous
solvent. Denoting the volume fraction of polymers as ϕ, the
volume fraction of the solvent is simply 1 – ϕ by volume
conservation. The model uses an effective lattice site contact energy
between the polymer and solvent in which z is a coordination constant, and ϵps,
ϵss, and ϵpp are bare polymer–solvent,
solvent–solvent. and polymer–polymer contact energies.
The free energy density of the Flory–Huggins model is given
by9−12
| 1 |
where kB is the Boltzmann constant and T is the absolute temperature. In the following, we consider energies relative to the thermal energy and set kBT = 1 to simplify notation. The first two terms on the right-hand side of eq 1 represent the entropic free energy of mixing, while the third term denotes the effective contact energy. Two important quantities can be calculated: the spinodal concentration and binodal concentration. The spinodal is the boundary between locally stable/unstable regions and can be solved exactly, while the binodal separates globally stable/unstable regions, and the system can still be locally stable on the binodal boundary itself. It is also straightforward to generalize eq 1 to include more components or surface tension,11,14,15 and over the decades more detailed models have been proposed to include electrostatic interactions16 and sticker-spacer behaviors7,8,17 or to calculate free energy density from first principles using a field-theoretic approach.18−21 It thus appears that the Flory–Huggins theory is an outdated model due to its oversimplifying, mean-field nature, while we note that even then an analytical solution for the binodal concentrations is lacking for this most basic picture of LLPS.
Mathematical formulations of spinodal and binodal concentrations are briefly summarized here. The free energy density becomes locally unstable at f″(ϕ) ≤ 0, and consequently the spinodal boundary ϕspi is defined at the transition point f″(ϕspi) = 0. Solving for this condition, we obtain the dense (ϕ+spi) and dilute phase (ϕ–) spinodal concentrations
| 2 |
with
, which goes to zero in the symmetric N = 1 case. The critical point of LLPS occurs when the dense
and dilute phases coincide, corresponding to a critical interaction
strength χc and concentration ϕc:
| 3 |
Near the critical point with δχ ≡ χ – χc ≈ 0, the spinodal concentrations have the approximate form
| 4 |
Note that in the opposite limit of large N or large χ the dilute phase concentration has a power-law scaling
![]() |
5 |
and these are qualitatively different from the exponential scaling of the dilute phase binodal concentrations, as will be shown using the self-consistent equations.
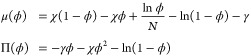
Next, we outline the steps to obtain binodal concentrations. The binodal concentrations are found by assuming the existence of two distinct phases characterized by polymer volume fractions ϕ+, ϕ–, and phase volumes V+, V–. The equilibrium condition requires minimization of the total energy Ftot ≡ V+f(ϕ+) + V–f(ϕ–) subject to total volume and mass conservation conditions V+ + V– = Vtot and V+ϕ+ + V–ϕ– = Vtotϕtot. Using Lagrange minimization, we identify the chemical potential μ(ϕ) ≡ f′(ϕ) and osmotic pressure Π(ϕ) ≡ ϕf′(ϕ) – f(ϕ) as Lagrange multipliers that have to hold the same values in the two compartments:
| 6 |
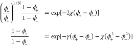
Graphically, in a [ϕ,f(ϕ)] plot, the μ(ϕ+) = μ(ϕ–) condition forces the two points describing the coexisting phases to have the same gradient, and Π(ϕ+) = Π(ϕ–) aligns the two tangent lines to have the same y-intercept and as such represent a common tangent construction (Figure 1A). Using the Flory–Huggins free energy eq 1, we have
![]() |
7 |
and the binodal concentrations can be calculated
by solving eq 6 with the definitions of eq 7. The objective of this paper is to generate analytical
solutions with eq 7.
As a first step, an approximate binodal solution near the critical
point can be worked out by expanding the free energy around ϕ
= ϕc + δϕ and χ
= χc + δχ with small δχ and δϕ. Terms
that are constant or linear in δϕ drop
out of the common tangent construction; terms of order higher than
4 are also truncated. The result is
, and for δχ > 0 this is a simple Ginzburg–Landau second-order phase
transition.
The binodal concentrations near the critical point are
| 8 |
Figure 1.

Flory–Huggins model (A–C) and self-consistent solution for the symmetric N = 1 case (D–F). (A) Common tangent construction at N = 3, χ = 1.5 gives the dense and dilute phase concentrations ϕ±. The gradient of the common tangent is the chemical potential μ(ϕ), and the y-intercept is −1 times the osmotic pressure Π(ϕ). (B, C) Complete phase diagram of the N = 3 system in linear and logarithmic ϕ scales. The binodal is calculated numerically.11 Near the critical point, the Ginzburg–Landau binodal approximates the exact binodal well, but at large χ the two quickly diverges and the Ginzburg–Landau solution enters the unphysical range ϕ < 0 and ϕ > 1 (gray zones). (D) Plot of |g′(ϕ)| – 1 in ϕ, χ space. The black solid line is binodal, and the hollow circle is the critical point. Dashed lines are contours of constant |g′(ϕ)| – 1. The blue region with |g′(ϕ)| – 1 < 0 has stable orbits, while the red regions are unstable. (E, F) Comparison between the numerical binodal (black solid line) with self-consistent schemes with 0, 1, and 2 iterations (colored dashed lines).
The Ginzburg–Landau solution describes the
binodal near
the critical point (Figure 1B,C). We now aim to extend this solution to cover χ
far away from χc through a self-consistent approach,
summarized as the following. Suppose we need to solve the equation
with some operator
. Instead of solving it directly, we treat
as a discrete map and start with a solution
η(0) and apply
iteratively to generate the orbit
with i = 1, 2, ... With
a suitable form of
, the orbit converges to the fixed point
limi→∞ η(i) = η, which then solves the equation
. This is the contractive mapping principle.22,23 The self-consistent approach has been previously employed to approximate
the protein aggregation kinetics curves,24,25 and here we show a similar procedure allows efficient and accurate
computation of the binodal concentrations.
Starting with the
simple case of unit polymer length N = 1, the free
energy (eq 1) is invariant under
a reflection around
, i.e., ϕ → 1–ϕ,
and the binodal is given by the condition f′(ϕ)
= 0, leading to
. Upon rearrangement, the binodal equation
is
| 9 |
and we use g(ϕ) to define the 1D map
| 10 |
with the initial guess ϕ(0) to be determined later. The fixed points are the binodal concentrations
ϕ±bin. To study the convergent properties of the map, we expand g(ϕ) near the fixed point, writing ϕ± = ϕ±bin + δϕ±.26 This gives δϕ±(i+1) = g′(ϕ±)δϕ±(i), so for a convergent orbit we require |g′(ϕ±)| < 1, and quick convergence can be expected for g′(ϕ±bin) ≈ 0. We calculate |g′(ϕ)| – 1 in the ϕ, χ space and observe
that near the binodal convergence is fast in the high-χ regime
with |g′(ϕ)| ≈ 0, while it is
much slower near criticality χ ≈ χc =
2 and becomes 0 at exactly the critical point (Figure 1D). We thus need the initial guess to be
close to the binodal just at χ ≈ χc and
both the spinodal and approximate binodal may seem to be appropriate
choices. It is worth writing down these concentrations near criticality
with N = 1:
and
. Furthermore, we can also obtain the approximate
form of the |g′(ϕ)| – 1 = 0 contour
near χc = 2 and
, which gives exactly
. The spinodal thus coincides with the metastable
line and is not an appropriate choice, despite it having better behavior
than the approximate binodal at large χ: the latter enters the
unphysical regions ϕ < 0 and ϕ > 1, while the spinodal
is always bound in 0 < ϕ < 1. We thus use the Ginzburg–Landau
binodal (eq 8) as the initial guess so
| 11 |
and the contraction mapping principle allows us to write the solution as
| 12 |
Good convergence is observed within two iterations (Figure 1E,F). The analytical form at one self-consistent step is
| 13 |
and this already improves the Ginzburg–Landau solution in linear ϕ scale. However, the large-χ behavior is poorly captured in log scale due to the initial guess entering the unphysical region ϕ < 0 and ϕ > 1, and this problem disappears when a second self-consistent step is performed, which gives
| 14 |
These expressions cover both the low
and high-χ regime (Figure 1E,F). For large χ
≫ 1, we have
, thus giving the scaling law for dilute
phase binodal concentration
| 15 |
which is qualitatively different from the
polynomial scaling of the spinodal concentration
. This exponential scaling has a physical
interpretation as the chemical potential in the dilute limit takes
the form of μ ≈ ln ϕ. An important implication
is thus that the binodal phase separation can occur over a concentration
range spanning orders of magnitude, while spinodal decomposition has
a much narrower band of concentrations.
Now we extend the N = 1 solution to the general case. Using eq 6 with eq 7, the binodal equations are
![]() |
16 |
Defining the two exponents
| 17 |
eqs 16 can be simplified to ϕ–/ϕ+ = e–N(x–y). Substituting this back
into the second equation of 16, we get
. Solving for ϕ+ and then
ϕ–, we obtain
| 18 |
Organizing ϕ+, ϕ– in vector form:
![]() |
19 |
defining the operator on the right-hand side of eq 19 as G, we have the map
| 20 |
with the Ginzburg–Landau solution as the initial guess
| 21 |
A scaling law for the dilute phase at a large interaction strength can be obtained as before. For χ ≫ 1, we make use of the relation ϕ–/ϕ+ = e–N(x–y) and calculate x–y as
| 22 |
Observe that
, ϕ+ + ϕ– < 2 and ϕ+ > ϕ–,
leading
to (x–y) ≫ 1 and ϕ–/ϕ+ ≈ 0. A trivial “guess
solution” is thus ϕ+bin ≈ 1 and ϕ– ≈ 0. Substituting
this back into the self-consistent operator gives e–x ≈ e–2χ and e–y ≈ e–γ–χ. The self-consistent expression for ϕ– then
becomes
. This can be further approximated to be
| 23 |
In the case of N = 1, we recover the e–χ scaling discussed above. The convergence behavior of the 2D map can also be studied similar to the 1D case. Defining the Jacobian matrix J as
![]() |
24 |
and writing ϕ(i) = ϕbin + δϕ(i), we get δϕ(i+1) = Jδϕ(i). Stability requires moduli of eigenvalues of J to be less than 1. Since both the eigenvalues and eigenvectors of J are in general complex, to better visualize the convergence of the orbit ϕ(i) we instead promote the discrete map to a continuous flow equation parametrized by t: ϕ(t), with ϕ̇ = G(ϕ)–ϕ. The velocity field ϕ̇ then contains the behavior of the orbit ϕ(i) in the limit of small time steps, and three fixed points can be identified: one stable fixed point corresponding to the binodal and two unstable fixed points on the ϕ+ = ϕ– diagonal (Figure 2A). We observe the orbit ϕ(i) is indeed convergent (Figure 2B,C).
Figure 2.

Self-consistent solution for general N. (A) Flow field of the continuous map with N = 3, χ = 1.5. Solid circle is the stable fixed point corresponding to the binodal, and hollow circles are saddle points. (B, C) Comparison between the numerical binodal (black solid line) with self-consistent schemes with 0, 1, and 2 iterations (colored dashed lines).
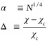
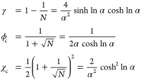
To obtain analytical forms for the general binodal, we first simplify notations by defining
![]() |
25 |
and express all other parameters in terms of α, Δ. This allows us to write
![]() |
26 |
The Ginzburg–Landau solution (eq 21) then takes the simple form
| 27 |
and x, y as defined in eq 17 are now
![]() |
28 |
Direct substitution gives
![]() |
29 |
so at one self-consistent step we have
| 30 |
where
![]() |
31 |
A and B are
related through the transformation
as
and vice versa. The large-χ behavior
is incompletely captured in log scale (Figure 2C). We thus again calculate the second-order
self-consistent solution. At second order, we substitute eq 30 into eq 28 and obtain
![]() |
32 |
where
| 33 |
and D is invariant under
the transformation
. The second-order expression is then
![]() |
34 |
Notice again that the denominator is invariant
under the transformation
. The second-order analytical form approximates
the exact binodal to a high degree (Figure 2B,C) even at the large-N regime.
Although the self-consistent solutions are exact near
critical
points and convergent at large χ, the convergence is slow in
the transition region. Here we show that we can improve the maps by
performing a first-order expansion of the self-consistent operator.
Starting from a general self-consistent equation
and an initial guess η(0), we want to find a step δη such that
the next guess η(1) ≡ η(0) + δη solves the self-consistent equation
to first order. We thus write
. Expanding
to first order, and solving for δη we obtain
| 35 |
so the next best guess is
| 36 |
The above results can readily be applied to improve the maps g(ϕ) and G(ϕ). In the N = 1 case, we define the new map h(ϕ) as
| 37 |
and it reduces to the original map when g′(ϕ) = 0. We thus define the new orbit ϕh(i) ≡ hi[ ϕ(0]. The convergent property can be studied by expanding the above with ϕh = ϕ* + δϕh(i), and we arrive at
| 38 |
and near the fixed point the numerator approaches 0, so the convergence is rapid (Figure 3A).
Figure 3.
Improved self-consistent solutions from self-consistent expansion (orange dashed lines) converge to the numerical solution (black solid lines) more quickly than the original ones (blue dashed lines), in both the (A) symmetric N = 1 case and (B) the general N case. The numerical binodal virtually overlaps with the improved solutions.
In the case of general N, we similarly obtain
| 39 |
with 1 a 2 by 2 identity matrix. The improved operator is
| 40 |
Good agreement with numerical results is achieved for the new orbit ϕH(i) ≡ Hi[ϕ(0)] within three iterations for a large N = 100 (Figure 3B).
The self-consistent solution allows
efficient computation of binodal
concentrations, and we use it to fit experimental LLPS data and extract
the interaction parameters. In the following fitting, we use eq 34 to compute the binodal
concentrations. Binodal concentrations for the prion-like low-complexity
domain from isoform A of human hnRNPA1 (A1-LCD) were measured in ref (27) (137 amino acid residues),
and three series of A1-LCD variants are fitted here. The first series
involves aromatic residues tyrosine (Y) and phenylalanine (F); the
second series involves nonequivalent polar spacers glycine (G) and
serine (S); and the third series involves ionic residues aspartic
acid (D), arginine (R), and lysine (K). The wild type (WT) A1-LCD
binodal was also measured. During fitting, the chain length N is set as a global fitting parameter. The interaction
parameter χ has the form
, and we fit Δϵ for each variant. To convert concentrations to volume fractions,
we use a protein density of 1.35 g/cm3 and average molecular
weight of 13.1 kDa to obtain the conversion ratio from concentration c (M) to volume fraction ϕ as
. The fitting results give the effective
chain length N = 158.6, larger than 137, the number
of residues. These results can appear counterintuitive, as past studies
have postulated an effective protein segment length larger than the
size of an amino acid,28,29 so the effective N should be smaller than the number of residues. The discrepancy arises
from a subtle difference in the definition of N in
the Flory–Huggins picture as compared to the polymer picture:
here the fitted N represents the number of lattice
sites occupied by each solute and does not depend on its polymeric
nature. As a result, the same N can be defined for
nonpolymer solutes such as micelle clusters, and thus the N estimated here should not in any way relate to the effective
segment length of the polymer. In the present case, the lattice site
volume is determined by the underlying medium, i.e., water, so the
effective N will be larger than the number of residues
owing to the larger size of amino acids compared to water molecules.
The ratio
then represents the average number of lattice
sites occupied by one residue. The fitted Δϵ values represent the site-to-site contact energy, and a larger Δϵ indicates a stronger attraction between proteins.
To highlight the difference across variants, we first calculate the
protein-to-protein contact energy E ≡ – NΔϵ and define the deviation from WT as ΔEvariant ≡ Evariant – EWT. Fitted curves
are plotted in Figure 4, and ΔE results are listed in Table 1. Each variant series then allows
quantitative interpretation of impacts of different residues on LLPS
propensity. In principle, the effective interaction energy Evariant is a function of the whole amino acid
sequence that depends on both the composition and arrangement of individual
residues. For example, relating the detailed sequence information
to the effective interaction energy has been achieved for polyelectrolytes
through the sequence charge decoration (SCD) parameter30 with pairwise binding constants and second virial
coefficient expressed in terms of SCD.31 Finding this function for a generic protein can be hard, although
machine-learning techniques could potentially be used with enough
protein sequences and corresponding binodal data. In the present case,
only limited data are available, so we assume a simple, linear functional
form of Evariant to illustrate the utility
of the self-consistent solution. To this end, we simply assume Evariant = E0 + ∑iniΔEi with E0 a constant and ni, ΔEi the number and effective contribution of the amino acid residue i. This then allows us to construct linear simultaneous
equations from the fitted values (Table 1) and quantify the energetic contribution
of individual residues.
Figure 4.

Flory–Huggins fit of binodal data from ref (27), fitted using eq 34. A constant N is maintained across all variants. Solid triangle markers are dilute and dense phase concentration measurements, and light hollow triangle markers are estimates of the critical point from cloud point measurements. Dashed lines are the best-fit curves, and hollow circles are critical points. The WT binodal is the same in all three plots and is plotted in the solid line. Colors of the plot represent the E ≡ −NΔϵ values of the variant. The ±nX in variant names indicate n of X residues are added (+) or removed (−) from WT.
Table 1. Fitting Results for the A1-LCD Dataa.
|
N = 158.6 EWT = −251.9 kJ/mol | |||||
|---|---|---|---|---|---|
| aromatic
series |
polar series |
ionic series |
|||
| variant | ΔE (kJ/mol) | variant | ΔE (kJ/mol) | variant | ΔE (kJ/mol) |
| –12F +12Y | –5.5 | +23G −23S | –5.8 | +7R +12D | –15.5 |
| –7F −7Y | +7.4 | –10G +10S | +5.4 | +7K +12D | +8.0 |
| –4F −2Y | +22.0 | –20G +20S | +10.0 | +12D | +13.0 |
| –30G +30S | 13.0 | ||||
Differences in ΔE across variants allow contributions of individual residues to be inferred.
Results from the aromatic series indicate that tyrosine is a stronger sticker than phenylalanine, in line with previous observations.27 We further infer the individual contribution of each Tyr and Phe residue, ΔETyr and ΔEPhe, using values from Table 1:
![]() |
41 |
The first two equations give ΔEPhe–ΔETyr = 0.8 ± 0.3 kJ/mol, with the error arising from the difference in the measured per-residue energy change. This can then be combined with the third equation to give ΔETyr = −4.2 ± 0.2 kJ/mol and ΔEPhe = −3.4 ± 0.1 kJ/mol. Both Tyr and Phe are thus stickers with Tyr stronger than Phe.
For the polar series, we perform similar calculations and extract the difference ΔEGly – ΔESer = −0.43 ± 0.11 kJ/mol, indicating the destabilizing effect of serine residues. This can be understood as the OH group in Ser forming favorable interactions with water, thus destabilizing the condensate.
The ionic series data are harder to interpret since the overall protein charge can have a non-monotonic effect on LLPS propensity.27 We can however still compare the +7R +12D and +7K +12D variants since they have the same overall charge. The energy difference between arginine and lysine is ΔEArg – ΔELys = −3.4 kJ/mol, indicating stronger sticker behavior for arginine. This can arise due to the electron delocalization in the guanidinium group and higher charge–charge contact efficiency with other charged residues, or stronger cation-π interaction from coplanar packing.32,33 Furthermore, it should be noted that despite the simple linear functional form of Evariant assumed here, the resulting energy difference between Arg and Lys is in line with atomistic simulation results: using the Kim-Hummer model,34,35 the difference in average residue–residue pair interaction involving either Arg or Lys is estimated to be (1.48–2.22)kBT = −0.74kBT ≈ −1.84 kJ/mol.32 This is roughly half of −3.4 kJ/mol as estimated from LLPS data, and a probable reason is that one Arg or Lys residue might be involved in more than one residue–residue contact, giving a higher overall contribution to the contact energy.
To conclude, we have developed a self-consistent solution for the binodal concentration of the two-component Flory–Huggins phase-separating system. The proposed self-consistent operators shed light on the scaling behavior of the dilute phase binodal, which is qualitatively different from the scaling of the spinodal and explains why LLPS of proteins occurs over a concentration range spanning several orders of magnitude. Using the well-known Ginzburg–Landau binodal approximate solution as the initial guess, the self-consistent solution achieves numerical accuracy within two to three iterations and allows highly efficient fitting of experimental binodal data. Explicit analytical forms of the binodal concentrations are also proposed to approximate the binodal. Using the developed solution, we fitted experimental data measured for variants of the A1-LCD protein and extracted effective interaction energies, which can be used to further decode the impact of individual amino acid residues on LLPS. Our analytical solution to the Flory–Huggins model thus allows systematic investigation of sequence grammar of LLPS-prone proteins and, with sufficient experimental data, can lead to development of a wholistic framework for predicting LLPS propensity from sequence information.
Acknowledgments
This study is supported by the Laboratory for Molecular Cell Biology, University College London (T.C.T.M.), the European Research Council under the European Union’s Seventh Framework Programme (FP7/2007-2013) through the ERC grant PhysProt (Agreement No. 337969) (T.P.J.K.), the BBSRC (T.P.J.K.), the Newman Foundation (T.P.J.K.), and the Wellcome Trust Collaborative Award 203249/Z/16/Z (T.P.J.K.). The authors thank Alexander Röntgen for helpful discussions.
Supporting Information Available
The Supporting Information is available free of charge at https://pubs.acs.org/doi/10.1021/acs.jpclett.2c01986.
Transparent Peer Review report available (PDF)
The authors declare no competing financial interest.
Notes
Code availability: A python library containing the self-consistent maps and auxiliary functions can be found at: https://github.com/KnowlesLab-Cambridge/FloryHuggins.
Supplementary Material
References
- Alberti S.; Hyman A. A. Biomolecular condensates at the nexus of cellular stress, protein aggregation disease and ageing. Nat. Rev. Mol. Cell Biol. 2021, 22, 196–213. 10.1038/s41580-020-00326-6. [DOI] [PubMed] [Google Scholar]
- Dignon G. L.; Best R. B.; Mittal J. Biomolecular phase separation: From molecular driving forces to macroscopic properties. Annu. Rev. Phys. Chem. 2020, 71, 53–75. 10.1146/annurev-physchem-071819-113553. [DOI] [PMC free article] [PubMed] [Google Scholar]
- Banani S. F.; Lee H. O.; Hyman A. A.; Rosen M. K. Biomolecular condensates: Organizers of cellular biochemistry. Nat. Rev. Mol. Cell Biol. 2017, 18, 285–298. 10.1038/nrm.2017.7. [DOI] [PMC free article] [PubMed] [Google Scholar]
- Shin Y.; Brangwynne C. P.. Liquid phase condensation in cell physiology and disease. Science 2017, 357. 10.1126/science.aaf4382 [DOI] [PubMed] [Google Scholar]
- Babinchak W. M.; Surewicz W. K. Liquid-Liquid Phase Separation and Its Mechanistic Role in Pathological Protein Aggregation. J. Mol. Biol. 2020, 432, 1910–1925. 10.1016/j.jmb.2020.03.004. [DOI] [PMC free article] [PubMed] [Google Scholar]
- Söding J.; Zwicker D.; Sohrabi-Jahromi S.; Boehning M.; Kirschbaum J. Mechanisms for Active Regulation of Biomolecular Condensates. Trends in Cell Biology 2020, 30, 4–14. 10.1016/j.tcb.2019.10.006. [DOI] [PubMed] [Google Scholar]
- Choi J. M.; Holehouse A. S.; Pappu R. V. Physical Principles Underlying the Complex Biology of Intracellular Phase Transitions. Annual Review of Biophysics 2020, 49, 107–133. 10.1146/annurev-biophys-121219-081629. [DOI] [PMC free article] [PubMed] [Google Scholar]
- Brangwynne C. P.; Tompa P.; Pappu R. V. Polymer physics of intracellular phase transitions. Nat. Phys. 2015, 11, 899–904. 10.1038/nphys3532. [DOI] [Google Scholar]
- Flory P. J. Thermodynamics of High Polymer Solutions. J. Chem. Phys. 1942, 10, 51–61. 10.1063/1.1723621. [DOI] [Google Scholar]
- De Gennes P.-G.; Gennes P.-G.. Scaling Concepts in Polymer Physics; Cornell University Press, 1979. [Google Scholar]
- Mao S.; Kuldinow D.; Haataja M. P.; Košmrlj A. Phase behavior and morphology of multicomponent liquid mixtures. Soft Matter 2019, 15, 1297–1311. 10.1039/C8SM02045K. [DOI] [PubMed] [Google Scholar]
- Lin Y.-H.; Wessén J.; Pal T.; Das S.; Chan H. S. Numerical Techniques for Applications of Analytical Theories to Sequence-Dependent Phase Separations of Intrinsically Disordered Proteins. arXiv 2022, arXiv:2201.01920. 10.48550/arXiv.2201.01920. [DOI] [PubMed] [Google Scholar]
- Ariono D.; Aryanti P. T.; Hakim A. N.; Subagjo S.; Wenten I. G. Determination of thermodynamic properties of polysulfone/PEG membrane solutions based on Flory-Huggins model. AIP Conf. Proc. 2017, 1840, 090008. 10.1063/1.4982316. [DOI] [Google Scholar]
- Deviri D.; Safran S. A. Physical theory of biological noise buffering by multicomponent phase separation. Proc. Natl. Acad. Sci. U.S.A. 2021, 118, 1–34. 10.1073/pnas.2100099118. [DOI] [PMC free article] [PubMed] [Google Scholar]
- Berry J.; Brangwynne C. P.; Haataja M. Physical principles of intracellular organization via active and passive phase transitions. Rep. Prog. Phys. 2018, 81, 046601. 10.1088/1361-6633/aaa61e. [DOI] [PubMed] [Google Scholar]
- Overbeek J. T. G.; Voorn M. J. Phase separation in polyelectrolyte solutions. Theory of complex coacervation. Journal of Cellular and Comparative Physiology 1957, 49, 7–26. 10.1002/jcp.1030490404. [DOI] [PubMed] [Google Scholar]
- Semenov A. N.; Rubinstein M. Thermoreversible gelation in solutions of associative polymers. 1. Statics. Macromolecules 1998, 31, 1373–1385. 10.1021/ma970616h. [DOI] [Google Scholar]
- Wessén J.; Pal T.; Das S.; Lin Y. H.; Chan H. S. A simple explicit-solvent model of polyampholyte phase behaviors and its ramifications for dielectric effects in biomolecular condensates. J. Phys. Chem. B 2021, 125, 4337–4358. 10.1021/acs.jpcb.1c00954. [DOI] [PubMed] [Google Scholar]
- McCarty J.; Delaney K. T.; Danielsen S. P.; Fredrickson G. H.; Shea J. E. Complete Phase Diagram for Liquid-Liquid Phase Separation of Intrinsically Disordered Proteins. J. Phys. Chem. Lett. 2019, 10, 1644–1652. 10.1021/acs.jpclett.9b00099. [DOI] [PMC free article] [PubMed] [Google Scholar]
- Lin Y. H.; Song J.; Forman-Kay J. D.; Chan H. S. Random-phase-approximation theory for sequence-dependent, biologically functional liquid-liquid phase separation of intrinsically disordered proteins. J. Mol. Liq. 2017, 228, 176–193. 10.1016/j.molliq.2016.09.090. [DOI] [Google Scholar]
- Chen G. P.; Voora V. K.; Agee M. M.; Balasubramani S. G.; Furche F. Random-Phase Approximation Methods. Annu. Rev. Phys. Chem. 2017, 68, 421–445. 10.1146/annurev-physchem-040215-112308. [DOI] [PubMed] [Google Scholar]
- Granas A.; Dugundji J.. Fixed Point Theory; Springer Monographs in Mathematics; Springer New York: New York, NY, 2003. [Google Scholar]
- Zeidler E.Nonlinear Functional Analysis and its Applications: Part 1: Fixed-Point Theorems; Springer: New York, 1985. [Google Scholar]
- Cohen S. I.; Vendruscolo M.; Welland M. E.; Dobson C. M.; Terentjev E. M.; Knowles T. P. Nucleated polymerization with secondary pathways. I. Time evolution of the principal moments. J. Chem. Phys. 2011, 135, 065105. 10.1063/1.3608916. [DOI] [PMC free article] [PubMed] [Google Scholar]
- Cohen S. I.; Vendruscolo M.; Dobson C. M.; Knowles T. P. Nucleated polymerization with secondary pathways. II. Determination of self-consistent solutions to growth processes described by non-linear master equations. J. Chem. Phys. 2011, 135, 065106. 10.1063/1.3608917. [DOI] [PMC free article] [PubMed] [Google Scholar]
- Strogatz S. H.Nonlinear Dynamics and Chaos; CRC Press, 2018. [Google Scholar]
- Bremer A.; Farag M.; Borcherds W. M.; Peran I.; Martin E. W.; Pappu R. V.; Mittag T. Deciphering how naturally occurring sequence features impact the phase behaviours of disordered prion-like domains. Nat. Chem. 2022, 14, 196–207. 10.1038/s41557-021-00840-w. [DOI] [PMC free article] [PubMed] [Google Scholar]
- Dill K. A. Theory for the folding and stability of globular proteins. Biochemistry 1985, 24, 1501–1509. 10.1021/bi00327a032. [DOI] [PubMed] [Google Scholar]
- Song J.; Li J.; Chan H. S. Small-Angle X-ray Scattering Signatures of Conformational Heterogeneity and Homogeneity of Disordered Protein Ensembles. J. Phys. Chem. B 2021, 125, 6451–6478. 10.1021/acs.jpcb.1c02453. [DOI] [PubMed] [Google Scholar]
- Sawle L.; Ghosh K. A theoretical method to compute sequence dependent configurational properties in charged polymers and proteins. J. Chem. Phys. 2015, 143, 085101. 10.1063/1.4929391. [DOI] [PubMed] [Google Scholar]
- Amin A. N.; Lin Y. H.; Das S.; Chan H. S. Analytical Theory for Sequence-Specific Binary Fuzzy Complexes of Charged Intrinsically Disordered Proteins. J. Phys. Chem. B 2020, 124, 6709–6720. 10.1021/acs.jpcb.0c04575. [DOI] [PubMed] [Google Scholar]
- Das S.; Lin Y. H.; Vernon R. M.; Forman-Kay J. D.; Chan H. S. Comparative roles of charge, π, and hydrophobic interactions in sequence-dependent phase separation of intrinsically disordered proteins. Proc. Natl. Acad. Sci. U.S.A. 2020, 117, 28795–28805. 10.1073/pnas.2008122117. [DOI] [PMC free article] [PubMed] [Google Scholar]
- Crowley P. B.; Golovin A. Cation-π interactions in protein-protein interfaces. Proteins: Struct., Funct., Genet. 2005, 59, 231–239. 10.1002/prot.20417. [DOI] [PubMed] [Google Scholar]
- Kim Y. C.; Hummer G. Coarse-grained Models for Simulations of Multiprotein Complexes: Application to Ubiquitin Binding. J. Mol. Biol. 2008, 375, 1416–1433. 10.1016/j.jmb.2007.11.063. [DOI] [PMC free article] [PubMed] [Google Scholar]
- Dignon G. L.; Zheng W.; Kim Y. C.; Best R. B.; Mittal J. Sequence determinants of protein phase behavior from a coarse-grained model. PLoS Comput. Biol. 2018, 14, e1005941. 10.1371/journal.pcbi.1005941. [DOI] [PMC free article] [PubMed] [Google Scholar]
Associated Data
This section collects any data citations, data availability statements, or supplementary materials included in this article.















