Abstract
Emergence of antimicrobial resistance has become a great threat to human species as there is shortage of development of new antimicrobial agents. So, its mandatary to combat AMR by initiating research and developing new novel antimicrobial agents. Among phytoconstituents, Quinoline (nitrogen containing heterocyclic) have played a wide role in providing new bioactive molecules. So, this review provides rational approaches, design strategies, structure activity relationship and mechanistic insights of newly developed quinoline derivatives as antimicrobial agents.
Graphical abstract
Keywords: Quinoline derivatives, Antivirals, Anti-bacterial, Antitubercular, Antileishmanial, Antimalarial, Antifungal
Introduction
Antimicrobials, the magic bullets to target microbial infections has come to verge of losing efficacy due to emergence of antimicrobial resistance (AMR) [1, 2]. As per Darwin’s theory of evolution, evolution is the key to adapt the changes in the environment, in turn increasing the probability of survival [3]. Therefore, bacteria, fungi, viruses, and parasites evolve (mutations) to adapt the environmental changes (attack of antimicrobials) [4]. This evolution and indiscriminate use antimicrobials have led to rise of antimicrobial resistance (Fig. 1a) [5]. Moreover, this resistance has led physicians to increase the dose of antimicrobials which in turn increases the drug toxicity or emergence of multidrug-resistant microbes. This emergence has led to arise of antimicrobial resistance (AMR) and has led to scarcity of novel drugs that can combat this resistance [6]. Therefore, AMR confers a serious challenge to the healthcare system worldwide in the terms of mortality, morbidity, and economic burden [7]. In fact, the Centers for Disease Control and Prevention claimed 23,000 deaths per year in the US due to antibiotic resistance and this could reach millions in the coming decades [8].
Fig. 1.
a Factors leading to antimicrobial resistance and its consequences, b Process involved in using quinoline as a lead molecule for the development of various antimicrobials, c Structures of few quinoline derivatives in clinical use now, d Structure activity relationship of quinoline derivatives
Since the discovery of medicines, natural products have played a vital role in controlling and preventing various diseases [9]. These natural products are directly used as crude extract or as a lead for the development of various bioactive molecules [10]. Among these natural products, nitrogen containing derivatives have played a significant role in the development of various clinical candidates [11]. Among these heterocyclic compounds, Quinoline is regarded as the most important molecule as it provides great flexibility to the medicinal chemist to modify and synthesize various derivatives (Fig. 1b) [12]. Quinoline nucleus was first isolated from coal tar by a German chemist Friedlieb Ferdinand Runge in 1834. But later it was isolated from quinine, strychnine, cinchonine by dry distillation, by a French Chemist Charles Gerhardt and then it was widely synthesized in labs from anilines, acylaminoacetophenone, β-ketoanalide and isatin, to get differentially substituted derivatives of quinoline [13].
Quinoline has a pyridine ring with benzene ring fused at C2 and C3 position and is also known as benz[b]pyridine or 1-aza-naphthalene. Quinoline (C9H7N) has a molecular weight of 129.16, dipole moment of 2.21 D and acts as a weak base and can react with acids to form salts. It is involved in various coupling reaction, electrophilic and nucleophilic substitution reaction. Its reactivity is dependent upon the type and position of the substitution on the rings for e.g., substitution of halogen at 7th position increases its the tendency to get involved in coupling reactions. But the reactivity pattern is similar to that of benzene and pyridine.
Quinoline nucleus has no biological importance, but its derivatives have a wide range of biological activity. Most of its derivatives are antimalarial (chloroquinine, primaquine, amodiaquinine) but their biological profile is dependent on the position and type of substitution on the ring as shown in Fig. 1c and d [14]. In contrast of antimicrobials, various substitutions on quinoline led to development of a wide class of antimicrobials comprising anti-viral, anti-fungal, antiprotozoal, anti-tubercular, etc. [15, 16]. As shown in Fig. 2, quinolines are targeting a wide range of enzymes that engage in the replication of a microorganism but there are several enzymatic targets that can be targeted by developing new derivatives by lead modification to combat anti-microbial resistance [17–19]. These activities made quinoline derivatives an important class of chemistry and gained the prime focus of researchers worldwide.
Fig. 2.
Mechanistic insights and a general represent of proteins involved in replication of various microorganisms and also the protein being targeted by quinoline (shown as red “(-)” mark) derivatives
Till now, researchers have successfully modified quinoline by substituting various atoms or molecules on the ring or by hybridizing the nucleus, to get a wide range of biological activities. During literature survey, we came across various articles that are describing only the structure and biology activity of the quinoline derivatives, but they were missing the mechanistic insights and enzymatic targets of quinoline derivatives and their molecular docking studies [20, 21]. Therefore, to mask these limitations, we have summarized rational approaches, designing strategies, molecular docking studies and mechanistic insights of recently developed quinoline derivatives within a time of 2015 to till date.
Viral resistance
Viruses are seen to be more prone to mutation as they utilize host’s cell for their replication (Fig. 2) which increases chances of misreading of their genetic material than other microbes [22]. As seen in case of COVID-19 pandemic, SARS-COV-2 produced more than 4 variants in just two years i.e., due to higher mutational rates [23, 24]. In Fig. 2, we have enlightened the basic process of replication of virus and key enzymes involved in the replication of the virus [19]. Moreover, during literature we came to know that enzyme such as Reverse transcriptase, RNA polymerase, Integrase and other main protease enzymes were readily targeted by quinoline derivatives [25]. But these enzymes are more prone to mutation, and this leads to development of antiviral resistance [26]. Therefore, to counter this antiviral resistance, researchers are continuously working on developing new antiviral molecules and few of quinoline based antivirals are discussed below:
Carta et al., designed and synthesized a series of linear aromatic N- polycyclic system as potent bovine viral diarrhea virus (BVDV) inhibitors. Among all the synthesized compounds, compound 1 was found to be most potent with EC50 value of 0.3 µM and IC50 value of 0.48 µM against BVDV. On further evaluation, it has been revealed that the compound 1 significantly binds to BVDV RNA dependent RNA polymerase (RdRp) NS5B thus inhibiting the growth the BVDV. Furthermore, in-silico/in vitro studies illustrated the fundamental binding interactions and thus led to the identification of two RdRp amino acids namely Arg295 and Tyr674 as H-bond donors, two hydrophobic cavities i.e., cavity 1 with residues Ala221, Ile261, Ile287 and Tyr289 and cavity 2 with residues Val216, Tyr303, Lys307, Pro408 and Ala412 and these residues were mutagenized into alanine which resulted in significant decrease in BVDV RdRp affinity and thus weakened the stabilizing molecular interactions. Lastly, the compound 1 was found to be non-cytotoxic towards mock-infected MDBK cells (Fig. 3) [27].
Fig. 3.
Linear aromatic N-polycyclic system as potent bovine viral diarrhea virus (BVDV) inhibitors
Barbosa-Lima et al., designed and synthesized a series of twenty N-(2-(arylmethylimino) ethyl)-7-chloroquinolin-4-amine derivatives using thermal and ultrasonic methods as potent antiviral agents against Zika Virus. Among all the synthesized compounds, compound 2 was found to be most potent with an EC50 value of 0.8 ± 0.07 µM against Zika Virus. This inhibition was found to be potent than standard drug chloroquine. On further evaluation, it has been revealed that the compound 2 inhibited Zika virus by hampering its replication. Lastly, the cytotoxicity of compound 2 was found to be comparable to the chloroquine when evaluated against Vero cells (Fig. 4) [28].
Fig. 4.
N-(2-(arylmethylimino) ethyl)-7-chloroquinolin-4-amine derivatives using thermal and ultrasonic methods as potent antiviral agents against Zika Virus
Ching Lee et al., designed and synthesized a series of novel diarylpyrazolylquinoline derivatives as potent anti-dengue virus agents against various sero-types of Dengue Virus (DENV) namely DENV-1, DENV-2, DENV-3 and DENV-4. Among all the synthesized compounds, compound 3 was found to be most potent with an IC50 values of 1.21 ± 0.16 µM, 0.81 ± 0.07 µM, 0.73 ± 0.14 µM and 1.56 ± 0.09 µM against DENV-1, DENV-2, DENV-3 and DENV-4, respectively. This inhibition was found to be 10 times more potent than the standard drug ribavirin. On further evaluation, it has been revealed that the compound 3 decreased the DENV replication in both viral protein and mRNA levels. Furthermore, the compound 3 exhibited very less cytotoxicity towards Huh7 cells. Lastly, the compound 3 protected mice from DENV infection by reducing the symptoms of disease like paralysis, anorexia and asthenia and thus decreased the mortality of mice infected with DENV (Fig. 5) [29].
Fig. 5.
Novel diarylpyrazolylquinoline derivatives as potent anti- dengue virus agents
Feng Li et al., designed and synthesized a series of twenty-four andrographolide derivatives as potent anti-Zika Virus (ZIKV) agents. Among all the synthesized compounds, compound 4 and 5 was found to be most potent with an EC50 values of 1.31 ± 0.1 µM and 4.5 ± 0.2 µM respectively against Zika virus. On further evaluation, it has been revealed that compound 4 and 5 exhibited anti-ZIKV action by inhibiting the replication of Zika virus. Lastly, the compound 4 was found to be significantly cytotoxic towards SNB-19 cells and Vero cells, whereas the compound 5 exhibited very less cytotoxicity (Fig. 6) [30].
Fig. 6.
Andrographolide derivatives as potent anti-Zika Virus agents
Qi Tang et al., designed and synthesized a series of dibucaine derivatives as potent anti-Enterovirus A71(EV-A71) agents. Among all the synthesized compounds, compound 6 was found to be most potent with an EC50 value of 1.238 ± 0.122 µM against EV-A71. On further evaluation, it has been revealed that the compound 6 exhibited anti-EV-A71 activity by inhibition of 2C helicases and VP1 which resulted in impending EV-A71 replication and thus RNA remodeling and metabolism in a dose-dependent manner. Furthermore, it has been illustrated by the time course assay that the compound 6 showed maximum antiviral efficacy during the early stage of the life-cycle of Enterovirus A71. Lastly, the molecular docking studies demonstrated that the compound 6 binds with EV-A71 2C protein by the formation of five hydrogen binds with the residues Asp177, Ser136, Gly132 and the remaining two hydrogen bonds with the residue Lys135; hydrophobic interactions with the residues Leu261, Ala263, Leu137, Pro131 and Pro159 and finally a π–π interaction with Pro131 (Fig. 7) [31].
Fig. 7.
Dibucaine derivatives as potent anti-Enterovirus A71(EV-A71) agents
Bacterial resistance
Bacterial replication in a controlled manner is not a threat to living beings, but if uncontrolled, they can lead to death of the patient or can create pandemic like situation. Therefore, their replication needs to be controlled and herein antibacterial plays a significant role by controlling bacterial growth [32]. They either work by killing the bacteria or halting their replication. These antibacterial aims crucial enzymes such as DNA directed RNA polymerase, topoisomerases, and transglycosylases. . which engage in either maintaining integrity of the cell or are involved in replication of the cell as shown in Fig. 2 [33]. Furthermore, bacterial resistance occurs when an enzyme gets mutated, and this results in decrease to no response to antibacterial and arise of antibacterial resistance [34]. So, to counter this problem continuous research is required to synthesize new antibacterial that are effective and non-toxic [35]. Fluroquinolones, a class of quinoline derivatives, are very safe and most widely used antibacterial. But the mutation of DNA gyrase, or topoisomerase and other enzymes has led to development of resistance and need to search for new antibacterial [34]. Few of quinoline derivatives are recently designed by various researcher are mentioned below:
Antibacterial
Yang et al., designed and synthesized a series of twenty-eight highly soluble 9-bromo substituted indolizinoquinoline-5,12-dione derivatives as potent antibacterial agents against one strain gram positive and seven gram-negative strains of bacteria especially Methicillin-resistant Staphylococcus aureus (MRSA). Among all the synthesized compounds, compound 7 was found to be most potent with MIC value of 2 µg/mL against both E. coli ATCC25922 and S. pyrogens ATCC19615, 0.031 µg/mL against S. aureus ATCC25923, 0.063 µg/mL against MRSA ATCC43300 and this activity was found to be 16-fold higher than that of vancomycin, 0.125 µg/mL against both S. haemolytic-β CICC10373 and e. faecalis ATCC29212, 0.5 µg/mL against s. pneumoniae ATCC6305 and finally ≤ 0.0078 µg/mL against S. epidermidis ATCC12228. Lastly, it has been revealed that the compound 7 has fairly good water solubility of 1.98 mg/mL (Fig. 8) [36].
Fig. 8.
9-bromo substituted indolizinoquinoline-5,12-dione derivatives as potent antibacterial agents
Ning sun et al., designed and synthesized a series of novel N-methylbenzofuro[3,2-b]quinoline and N-methylbenzoindolo[3,2-b]-quinoline derivatives as potent antibacterial agents. Synthesized compounds were screened for their inhibitory activities against various bacterial strains such as drug-resistant strains like methicillin-resistant S. aureus and vancomycin-resistant E. faecium. Among all the compounds, compound 8 was found to be active against vancomycin-resistant E. faecium with an MIC value of 4 µg/mL which was much lower than vancomycin with MIC value of > 64 µg/mL. In addition, the compound 8 was also shown to inhibit B. subtilis 168, S. aureus ATCC 29213, S. aureus ATCC BAA41, E. faecium ATCC 49624, E. faecium ATCC 700221, E. coli ATCC 25922, E. coli ATCC BAA2469, P. aeruginosa ATCC BAA2108 and K. pneumoniae ATCC BAA2470 with MIC values of 2 µg/mL, 2 µg/mL, 2 µg/mL, 4 µg/mL, 4 µg/mL, 6 µg/mL, 6 µg/mL, 48 µg/mL and 48 µg/mL respectively. On further evaluation, it has been deciphered that that compound 8 strongly inhibited the SaFtsZ polymerization in a dose-dependent manner. Also, compound 8 was found to have inhibitory effect on GTPase activity of FtsZ thus leading to abnormal bacterial cell division and eventually causing the cell death. Molecular docking studies revealed that the non-polar compound 8 interacted with number of hydrophobic chains of ASP199, Leu200, Val297, Val307 and Thr309 and also the imino group of the potent participated in one hydrogen bond formation with the backbone carbonyl of Thr309 which resulted in better inhibition of FtsZ polymerization and GTPase (Fig. 9) [37].
Fig. 9.
Novel N-methylbenzofuro[3,2-b]quinoline and N-methylbenzoindolo[3,2-b]-quinoline derivatives as potent antibacterial agents
Faidallah et al., designed and synthesized a series of twenty-one 1,2,3-triazole incorporated quinoline antibiotic conjugates as potent antibacterial agents against various strains of gram positive and gram-negative bacteria by using microwave assisted click chemistry technique. Among all the synthesized compounds, 9, 10, 11, 12, 13 and 14 were found to be most potent when tested against Staphylococcus aureus, Streptococcus pyrogens, Salmonella typhi, Pseudomonas aeruginosa and Escherichia coli and the MIC values of the compound 9 were found to be 0.12 µg/mL, 8 µg/mL, 0.12 µg/mL, > 1024 µg/mL, 0.12 µg/mL against the above-mentioned strains of bacteria respectively. Similarly, the MIC values for the compound 10 were found to be 0.24 µg/mL, 32 µg/mL, 0.12 µg/mL, > 1024 µg/mL and 0.12 µg/mL, respectively. The MIC values for the compound 11 were calculated as 0.12 µg/mL, 8 µg/mL, 0.12 µg/mL, > 1024 µg/mL and 0.12 µg/mL, respectively. For compound 12, the MIC values were found to be 0.24 µg/mL, 256 µg/mL, 0.12 µg/mL, 512 µg/mL and 0.12 µg/mL, respectively. Similarly, for conjugate 13, the MIC values were revealed to be 0.12 µg/mL, 128 µg/mL, 0.24 µg/mL, 512 µg/mL and 0.12 µg/mL, respectively. Lastly, the MIC values for the compound 14 were calculated as 0.12 µg/mL, 64 µg/mL, 0.12 µg/mL, 512 µg/mL and 0.12 µg/mL, respectively. Out of all the potent compounds, 12 showed excellent ADMET levels especially for plasma protein binding and blood brain barrier penetration. Furthermore, 2D-QSAR studies were performed for S. aureus, S. pyrogens and S. typhi and the potent compounds 9, 10, 11, 12, 13 and 14 validated the observed biological properties shown by these compounds (Fig. 10) [38].
Fig. 10.
1,2,3-triazole incorporated quinoline antibiotic conjugates as potent antibacterial agents against various strains of gram positive and gram-negative bacteria
Kehan Xu et al., designed and synthesized a series of novel 2-sulfoether-4-quinolone scaffolds via free radical process as potential antibacterial agents against gram positive bacteria Staphylococcus aureus and Bacillus cereus. Among all the synthesized compounds, compound 15 was found to be most potent against both S. aureus and B. cereus with MIC values of 0.8 µM and 1.61 µM, respectively. This inhibition was found to be comparable to the commercially used antibacterial agents such as gentamicin, ofloxacin and tetracycline. Furthermore, transmission microscopy analysis of compound 15 against S. aureus displayed cell wall destruction which might facilitate the penetration of the active compound into the bacteria. Also, the DNA supercoiling analysis demonstrated the fluoroquinolone character of the compound 15. Lastly, the molecular docking studies showed that the compound 15 fairly bounds to the DNA gyrase complex via extensive interactions including conventional two hydrogen- bonds with nucleotide DG-9 and one hydrogen-bond with residue Arg458, halogen bonding with nucleotides DG-8, DG-13 and residue Arg458 and finally hydrophobic interactions with nucleotides DG-8 and DG-9 (Fig. 11) [39].
Fig. 11.
2-sulfoether-4-quinolone scaffolds via free radical process as potential antibacterial agents against gram positive bacteria Staphylococcus aureus and Bacillus cereus
Xuan Ma designed and synthesized a series of thirty-six 2-fluoro 9-oxime ketolides and carbamoyl quinolones hybrids as an antibacterial agent against various strains of drug-resistant pathogens. Among all the synthesized compounds, 16, 17 and 18 were found to be most potent with the MIC values of ≤ 0.008 µg/mL each against S. pneumoniae ATCC 49619. The MIC values were calculated as 0.25 µg/mL, 0.25 µg/mL and 0.5 µg/mL respectively against S. pneumoniae PU09,mef; 0.215 µg/mL, 0.062 µg/mL and ≤ 0.008 µg/mL respectively against S. pneumoniae 07P390,c-ermB; 16 µg/mL, 32 µg/mL and 16 µg/mL respectively against H. influenzae ATCC 49247; ≤ 0.002 µg/mL each against S. pyrogens 12–207,mef; 0.125 µg/mL, 0.5 µg/mL and 0.016 µg/mL respectively against S. pyrogens 12–206,c-erma; 1 µg/mL, 0.5 µg/mL and 0.025 µg/mL respectively against S. aureus PU32, MRSA, i-erma; 128 µg/mL, 128 µg/mL and ≥ 256 µg/mL respectively against s. aureus PU20, MRSA, c-ermC; 4 µg/mL, 4 µg/mL and 0.5 µg/mL respectively against M. catarrhalis 132332. Also, 16, 17 and 18 were found to have 2.5–3.6 times prolonged half-life and 2.3–2.6-fold longer mean residence time in vivo over the standard drug telithromycin. Molecular docking studies revealed that the compounds 16, 17 and 18 oriented their side chains similar to cethromycin but extended into anew pocket formed by A764, c803, C1772 and A802. Also, the 4-oxygen of quinoline ring of 17 hydrogen-bonded to the rRNA base C1772. Furthermore, the compound 18 oriented its side chains differently from cethromycin, and to a pocket surrounded by U2588, G2587, C2589, G2560 and C2565. The nitrogen atom of compound 18 hydrogen bonded to the phosphate of U2588. Lastly, it has been found that the compounds 16, 17 and 18 were metabolically stable than the conventional drug telithromycin with improved AUC (Fig. 12) [40].
Fig. 12.
2-fluoro 9-oxime ketolides and carbamoyl quinolones hybrids as an antibacterial agent against various strains of drug-resistant pathogens
Anti-tubercular
Duggirala et al., designed and synthesized a group of 1,2–dihydroquinolines as an antitubercular agents which were screened against Mycobacterium Tuberculosis (MTB) and Mycobacterium smegmatis which exerted antibacterial effect through two pathways i.e., by targeting key cell division protein FtsZ and by causing redox imbalance in the target cells. Among all the synthesized compounds, 19, 20, 21, 22, 23 and 24 were found to inhibit the growth of Mycobacterium smegmatis mc2 155 with the IC50 value in the range of 0.9 – 7.5 µg/mL. IC50 values of the active compounds were measured by using two different assays. In light scattering assay, the IC50 values of the compounds 19, 20, 21, 22, 23 and 24 were found to be 77.3 ± 2.5 µM, 88.6 ± 3.8 µM, 33.4 ± 4.4 µM, 34.0 ± 3.7 µM, 40.9 ± 2.5 µM and 209.88 µM, respectively. Further, the cytotoxicity analysis of the synthesized compounds was done on 3T3 swiss fibroblasts and compounds 21, 22, 23 and 24 showed brilliant selectivity with the IC50 values of 104 ± 2.3 µM, 51.39 ± 2.9 µM, 283.1 ± 4.7 µM and 153.8 ± 6.9 µM, respectively. Further, the active compounds also inhibited the polymerization of MTBFtsZ and its GTPase activity. In addition, the active compounds also tend to undergo oxidation to quinolinium ions through electron transfer to oxygen. Also, these compounds exerted a global cellular effect by causing redox—imbalance that was evident from overproduction of ROS in the treated cells. Lastly, the active compounds exerted a multiple lethal effect on the target organism using a single chemical entity rather than using combination therapy (Fig. 13) [41].
Fig. 13.
1,2—dihydroquinolines as an antitubercular agents
A. Abdelrahman et al., designed and synthesized two different series of novel pyridine and quinolone hydrazone derivatives as potent antimicrobial and antitubercular agents against various strains of bacteria and fungi. Among all the synthesized compounds, 25 and 26 were found to be most potent with the MIC value of 0.98 µg/mL each against Aspergillus fumigatus, 0.49 µg/mL and 0.98 µg/mL, respectively against Candida albicans, 0.49 µg/mL each against Streptococcus pneumoniae, 1.95 µg/mL and 0.98 µg/mL, respectively, against Staphylococcus aureus, 0.49 µg/mL each against Escherichia coli and finally 0.78 µg/mL and 0.39 µg/mL, respectively, against MTB but both the compounds 25 and 26 were found to be inactive against Pseudomonas aeruginosa. On further evaluation, it has been revealed that the compounds 25 and 26 possessed extremely low cytotoxicity against human lung fibroblast normal cells (WI-38). Furthermore, the compounds 25 and 26 were predicted to be CYP2D non-inhibitors and excellently followed the Lipinski’s rule of five. Lastly, the compounds 25 and 26 were found to possess good lipophilicity and hence remarkable absorption levels (Fig. 14) [42].
Fig. 14.
Novel pyridine and quinolone hydrazone derivatives as potent antimicrobial and antitubercular agents
D. Subhedar et al., designed and synthesized a series of novel rhodamine incorporated quinoline derivatives using reusable DBU acetate as an ionic liquid. The synthesized derivates were evaluated for their in vitro antitubercular potency against MTB H37Ra (ATCC 25177) and Mycobacterium bovis BCG (ATCC 35743) both in active and dormant states. Among all the synthesized quinolidene-rhodanine conjugates, 27, 28, 29, 30, 31 and 32 were found to be most active with MIC value of 1.66–9.57 µg/mL. The IC50 values of the compounds 27, 28, 29, 30, 31 and 32 were calculated for both active and dormant states of MTB and M. bovis. For dormant state of MTB H37Ra, the IC50 values of 27, 28, 29, 30, 31 and 32 were found to be 7.6 µg/mL, 10 µg/mL, 3.3 µg/mL, 2.3 µg/mL, 2.2 µg/mL, and 5.1 µg/mL, respectively. For active state of MTB H27Ra, the IC50 values were found to be 4.8 µg/mL, 5.7 µg/mL, 6.9 µg/mL, 1.9 µg/mL, 1.9 µg/mL, and 5.4 µg/mL, respectively. Similarly, the IC50 values for the dormant state of M. bovis BCG were calculated as 5.1 µg/mL, 2.9 µg/mL, 1.1 µg/mL, 1.3 µg/mL, and 3.9 µg/mL, respectively, and for the active state, the IC50 values were found to be 1.7 µg/mL, 3.7 µg/mL, 1.4 µg/mL, 1.0 µg/mL, and 2.4 µg/mL, respectively. In addition, the synthesized compounds were screened for their antifungal activity against various fungal strains. Out of all the synthesized compounds, 32, 33 and 34 showed excellent antifungal activity against various fungal strains. Compounds 32 and 33 were found to be active against F. oxysporum, A. niger, C. neoformans with MIC value of 25 µg/mL and A. flavus with MIC value of 12.5 µg/mL. Also, the compound 34 was found to be active against A. flavus, A. niger and C. neoformans with the MIC value of 25 µg/mL. Furthermore, the molecular docking studies of the synthesized compounds revealed that the conjugates have a high affinity towards the active site of Zinc-dependent metalloprotease 1 enzyme of MTB H37Ra. Lastly, the cytotoxic studies of the active compounds against HUVEC, THP-1, macrophages, A549, PANC-1 and HeLa cells using modified MTT assay revealed that the synthesized compounds were non-cytotoxic (Fig. 15) [43].
Fig. 15.
Novel rhodamine incorporated quinoline derivatives as antitubercular agent
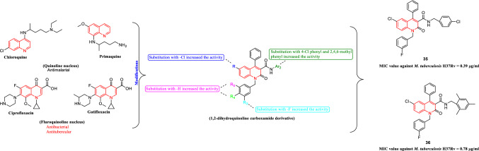
Kumar et al., designed and synthesized a series of thirty 1,2-dihydroquinoline carboxamide derivatives via Friedlander annulation method as potent antitubercular agents against MTB H37Rv. Among all the synthesized compounds, 35 and 36 were found to be most potent with an IC50 values of 0.39 µg/mL and 0.78 µg/mL, respectively against MTB H37Rv. This inhibition was found to be comparable to the control drug isoniazid and rifampicin. On further evaluation, it has been revealed that the compounds 35 and 36 were non-cytotoxic against MTT cells. Furthermore, compounds 35 and 36 were found to be CNS inactive due to their inability to cross blood brain barrier. Lastly, the compounds 35 and 36 exhibited fairly good pharmacological properties like QPlogkhsa (human serum albumin), QPPMDCK (MDCK cell permeability) and skin permeability as demonstrated by in-silico ADME studies (Fig. 16) [44].
Fig. 16.
1,2-dihydroquinoline carboxamide derivatives via Friedlander annulation method as potent antitubercular agents
Souza Macchi et al., designed and synthesized a series of thirty-nine 1H-benzo[d]imidazoles and 3,4-dihydroquinazolin-4-ones as antitubercular agents against MTB H37Rv along with four drug-resistant strains that are MTB CDCT10, MTB CDCT16, MTB CDCT27 and MTB CDCT28. Among all the synthesized compounds, 37 and 38 were found to be most potent with MIC values of 37 calculated as 0.08 µg/mL, 0.31 µg/mL, 0.08 µg/mL and 0.31 µg/mL, respectively, against the four drug-resistant strains of MTB mentioned above. Similarly, the MIC values of compound 38 were found to be 0.31 µg/mL, 0.31 µg/mL, 0.31 µg/mL, 0.16 µg/mL and 0.31 µg/mL, respectively. This inhibition was found to be much more potent against the drug-resistant strains CDCT10, CDCT27 and CDCT28 than against MTB H37Rv strain. On further evaluation, it has been demonstrated that the synthesized compounds targeted the membrane-bound type-2 NADH dehydrogenase NdhA based on whole-genome sequencing of resistant strains with extremely insignificant risk of cardiotoxicity and neurotoxicity (Fig. 17) [45].
Fig. 17.
1H-benzo[d]imidazoles and 3,4-dihydroquinazolin-4-ones as antitubercular agents
Kumar Marvadi et al., designed and synthesized a series of sixteen novel morpholine, thiomorpholine and N-substituted piperazine coupled 2-(thiophen-2-yl) dihydroquinolines as potent antitubercular agents against MTB H37Rv. Among all the synthesized compounds, 39 and 40 were found to be most potent with the MIC value of 1.56 µg/mL each. This inhibition was found to be much more potent than the conventionally used drug ethambutol and equipotent to the standard drug ciprofloxacin. Lastly, the in vitro cytotoxicity studies showed that the compounds 39 and 40 has extremely low cytotoxicity against mammalian HEK-293 T cells (Fig. 18) [46].
Fig. 18.
Novel morpholine, thiomorpholine and N-substituted piperazine coupled 2-(thiophen-2-yl) dihydroquinolines as potent antitubercular agents
Borsoi et al., designed and synthesized 36 novel 2-(quinoline-4-yloxy) acetamide-based antituberculosis agents. On in vitro screening of designed compounds against MTB, 41 and 42 was found to have potent bacteriostatic effect on intracellular growth of MTB H37Rv reference strain with an MIC value of 1.8 µM and 0.3 µM, respectively. On further evaluation, it was found that compounds 41 and 42 showed selective activity against drug sensitive and multidrug-resistant MTB strain. Furthermore, compounds 41 and 42 were active against multidrug-resistant strains, without cross resistance with some first- and second-line drugs. Analyzation of compounds 41 and 42 against a spontaneous mutant strain containing a single mutation in the qcrB gene (T313A) indicated that these compounds targeted the cytochrome bc1 complex. At last, toxicity studies have confirmed that compounds 41 and 42 were devoid of apparent toxicity to HepG2 and Vero cells and showed moderate elimination rates in human liver S9 fractions. Finally, the ability of compounds 41 and 42 to pass through cell membranes and to inhibit the intracellular growth of bacilli were evaluated in a macrophage model of MTB infection (Fig. 19) [47].
Fig. 19.
Novel 2-(quinoline-4-yloxy) acetamide-based antituberculosis agents
Protozoal resistance
Protozoa are unicellular or multicellular organisms that have abilities to infect living cells of either plants or animals [48]. These organisms usually enter the cell and utilizes the cells nutrients to multiply intracellularly and on completion of replication cycle, they destroy the host cell and are available for infecting other healthy cells [48]. Antiprotozoal agents works either by blocking the influx of nutrient to the protozoal cell or block the production of energy by mitochondria, this leads to starvation of cell which eventually causes cell death. As shown in Fig. 2 various pumps, channels and enzymes engage in providing nutrition to the cell and helps in proliferation of the organism [17, 18]. Various drug such as Meltifosine, Paromomycin, and pentamidine. are available that are efficiently blocking these targets but due to mutation, there was arousal of resistance to these drugs. Overall cause of resistance was due to decreased drug diffusion, modification of drug target due to mutation, increased efflux of drug, inactivation of drug by enzymes, etc. [17]. So, this emergence of resistance develops need for new antimicrobial molecules that have better affinity and potency. few newly developed quinoline based antiprotozoal agents are discussed below:
Anti-leishmanial agents
Yousuf et al., designed and synthesized novel ferrocenylquinoline possessing triazole derivatives as an antileishmanial agents. Synthesized compounds were screened for their inhibitory activity both against promastigote and amastigote stages of Leishmania donovani. Among all the synthesized compounds, 43, 44 and 45 were found to exhibit exorbitant anti – promastigote activity with an IC50 values of 28.7 µM, 22.1 µM and 28 µM, respectively. In addition, 43, 44 and 45 also exhibited excellent activity against the intracellular amastigote stage of Leishmania donovani with an IC50 values of 16 µM, 8 µM and 16 µM, respectively. This inhibition was found to be much more potent than the conventionally used antileishmanial drug sodium antimony gluconate with an IC50 value of 400 µM. On further evaluation, the compounds 43, 44 and 45 were not found to be cytotoxic towards host phytohemagglutinin (PHA)–induced murine splenocytes. The compounds 43, 44 and 45 were shown to induce apoptosis in Leishmania donovani promastigotes. Also, these compounds showed pro—inflammatory response by generating the primary effector molecule, nitric oxide to abolish Leishmania donovani amastigotes from the infected macrophages. In addition, induction of apoptosis by 43, 44 and 45 was confirmed by the capability of both heterocyclic rings present in these compounds to mechanistically damage parasite membranes by altering sterol composition of the parasitic membrane, or by blocking sterol biosynthesis by inhibiting the enzymatic activity of 14 α—demethylase (CYP51), resulting in parasitic death (Fig. 20) [49].
Fig. 20.
Ferrocenyl-quinoline possessing triazole derivatives as an antileishmanial agents
Zhang et al., designed and synthesized a series of five neutral N-heterocyclic carbene gold (I) complexes as potent antileishmanial agents against Leishmania infantum promastigotes and Leishmania infantum axenic amastigotes. Among all the synthesized compounds, 46 was found to be most potent with an IC50 values of 10.32 ± 1.29 µM and 2.17 ± 0.14 µM against L. infantum promastigotes and L. infantum axenic amastigotes, respectively. Also, the compound 46 was found to be more efficient than conventionally used antileishmanial drug miltefosine. Lastly, the compound 46 was found to possess moderately low cytotoxicity against murine macrophages J774A.1 (Fig. 21) [50].
Fig. 21.
N-heterocyclic carbene (NHC) gold (I) complexes as potent antileishmanial agents
Upadhyay et al., designed and synthesized a series of twenty-five triazolyl-2-methyl-4-phenylquinoline-3-carboxylate derivatives as antileishmanial agents against promastigote and amastigote stages of Leishmania donovani using click chemistry inspired molecular hybridization approach. Among all the synthesized compounds, 47 was found to be most potent when screened against promastigote stage with an IC50 value of 25 µM and against intracellular amastigote stage with an IC50 value of 7 µM. Further, the cytotoxicity studies against J774A cell line using MTT method revealed that the potent compound 47 was found to be less cytotoxic as compared to the standard drugs. The evaluation of the molecular properties of the synthesized derivatives using Mole inspired cheminformatics demonstrated that the potent compound 47 has not more than one violation of “Lipinski rule” (Fig. 22) [51].
Fig. 22.
Triazolyl-2-methyl-4-phenylquinoline-3-carboxylate derivatives as antileishmanial agents
Ana Tejeria et al., designed and synthesized a series of novel phosphorated tetrahydroquinoline and quinoline derivatives using multicomponent Povarov reaction as potent antileishmanial agents against both promastigote and intramacrophagic amastigote stages of Leishmania infantum. Among all the synthesized compounds, 48, 49, 50, 51 and 52 were found to be most potent with EC50 values calculated against promastigote stage of L. infantum to be 3.14 ± 0.04 µM, 27.27 ± 2.36 µM, 10.66 ± 0.53 µM, 6.15 ± 1.24 µM and 6.01 ± 0.80 µM, respectively. Also, the EC50 values of compounds 48, 49, 50, 51 and 52 against amastigote stage of L. infantum were found to be 1.75 ± 0.51 µM, 5.69 ± 0.91 µM, 0.61 ± 0.18 µM, 1.46 ± 0.16 µM and 1.39 ± 1.08 µM, respectively. This activity was observed to be similar to the standard drug amphotericin B. On further evaluation, it has been revealed that the compound 49 inhibited leishmanial Topoisomerase IB. Furthermore, the stereo electronic properties revealed that the potent compounds bind to the allosteric site of the target enzyme. Lastly, the molecular docking studies was conducted to investigate the plausible binding pattern of the potent compounds and their interaction with the key amino acids and DNA nucleobases in the active site of the enzyme Topoisomerase IB and it has been found that the pi-pi interactions were found to be predominant with various amino acids (Fig. 23) [52].
Fig. 23.
Novel phosphorated tetrahydroquinoline and quinoline derivatives using multicomponent Povarov reaction as potent antileishmanial agents
Staderini et al., designed and synthesized a series of novel 4-aminostyrylquinoline derivatives as antileishmanial agents against Leishmania donovani promastigotes and axenic and intracellular Leishmania pifanoi amastigotes. Among all the synthesized compounds, 53, 54, 55 and 56 were found to be most potent with an IC50 values of 1.6 ± 0.0 µM, 2.1 ± 0.2 µM, 8.4 ± 2.4 µM and 3.4 ± 0.2 µM, respectively against L. donovani promastigotes and 1.1 ± 0.1 µM, 0.9 ± 0.1 µM, 1.2 ± 0.8 µM and 1.6 ± 0.4 µM, respectively, against L. pifanoi amastigotes. On further evaluation, it has been found that the compounds 53, 54, 55 and 56 showed leishmanicidal activity by interfering with the mitochondrial activity of the parasite which leads to the bioenergetic collapse by ATP exhaustion. Lastly, the compounds 53, 54, 55 and 56 were found to be non-cytotoxic against mammalian macrophage cells (Fig. 24) [53].
Fig. 24.
Novel 4-aminostyrylquinoline derivatives as antileishmanial agents
Yousuf et al., designed and synthesized a series of novel quinoline-carbaldehyde derivatives as potent antileishmanial agents against methionine aminopeptidase (LdMetAP1) of Leishmania donovani. Among all the synthesized compounds, 57 and 58 were found to be most potent with IC50 values of 1.31 µM and 1.10 µM, respectively, against LdMetAP1. Also, the compounds 57 and 58 were found to be less effective against HsMetAP1 with IC50 value with 57 and 284.0 µM with 58. On further evaluation, it has been found that 57 and 58 competitively inhibited LdMetAP1 and possessed promising drug likeness and none of them violated Lipinski’s rule and are also found to be non-cytotoxic. Lastly, the molecular docking studies revealed that the compounds 57 and 58 binds to LdMetAP1 by interacting with Thr291, His300 and Asn304 through hydrogen bonding and have hydrophobic interactions with residues Arg107, Tyr185, Tyr 186, Ser289 and Tyr290 (Fig. 25) [54].
Fig. 25.
Novel quinoline-carbaldehyde derivatives as potent antileishmanial agents
Antimalarial
Valverde et al., designed and synthesized a series of five new dihydroxy isoquine derivatives as potent antimalarial agents against Plasmodium berghei. Among all the synthesized compounds, 59, 60, and 61 were found to be most potent and inhibited haem polymerization with an IC50 values of 1.86 ± 0.22 µM, 1.81 ± 0.23 µM and 1.66 ± 0.11 µM, respectively. On further evaluation, it has been revealed that the compounds 59, 60, and 61 inhibited the haem polymerization which suggested the inhibition of β-hematin and thus exhibited the antimalarial effect. Furthermore, the cytotoxicity studies against macrophage cells demonstrated less cytotoxicity of compounds 59, 60, and 61. Lastly, the molecular docking studies of compounds 59, 60, and 61 showed the hydrogen-bond interactions with residues Ser79 and Asp-214, respectively. Also, the π-π interactions has also been seen with the residues Tyr77 and Phe111 (Fig. 26) [55].
Fig. 26.
New dihydroxy isoquine derivatives as potent antimalarial agents
Singh et al., designed and synthesized a series of aliphatic and aromatic substituted 1H-1,2,3-triazole-tethered 4-amino-quinoline-ferrocenylchalcone conjugates as potent anti-plasmodial agents. Synthesized compounds were screened for their inhibitory activity against the chloroquine-resistant W2 strain of Plasmodium falciparum. Out of all the synthesized compounds, 62 was found to be most potent with an IC50 value of 0.37 µM. On further evaluation, it has been found that the anti-plasmodial activity of the compound 62 and in general of chalcones was due to their ability to function as inhibitors of plasmodial aspartate proteases, cysteine proteases and cyclin-dependent protein kinases. In addition, compound 62 also inhibited the new permeation pathway induced by the parasite in the erythrocytic membranes. Furthermore, it was seen that the conjugates with flexible aliphatic (aminoethanol or aminopropanol) substituents on the quinoline ring showed better anti-plasmodial activities compared to those with cyclic (piperazine or aminophenol) substituents. Lastly, 62 was found to be non-toxic when screened against the mammalian HeLa cells (Fig. 27) [56].
Fig. 27.
Aliphatic and aromatic substituted 1H-1,2,3-triazole-tethered 4-amino-quinoline-ferrocenylchalcone conjugates as potent anti-plasmodial agents
Kholiya et al., designed and synthesized a series of novel twenty-two 4-aminoquinoline-piperonyl–pyrimidine hybrids as potent anti-plasmodial agents. Synthesized hybrids were screened in vitro for their antimalarial activity against cultured chloroquine-resistant (W2) and chloroquine-sensitive (D6) strains of Plasmodium falciparum. Among all the synthesized compounds, 63 was found to be most active against W2 strain of Plasmodium falciparum with an IC50 value of 0.05 µM and also against D6 strain of Plasmodium falciparum with an IC50 value of 0.02 µM. This inhibition was found to be 8 times more potent than conventionally used drug chloroquine. On further evaluation, it has been found that the compound 63 exerted its action by binding with monomeric and dimeric heme. Furthermore, the cytotoxicity studies revealed that the potent compound 63 was found to be non-cytotoxic towards mammalian cells. Molecular docking of 63 both wild and mutant type Pf-DHFR-TS demonstrated that the compound 63 showed good π–π interactions with Phe116 in case of mutant Pf-DHFR and with Phe58 in case of wild Pf-DHFR. Also, the protonated nitrogen of piperazine of the compound 63 formed H-bond interactions with Asp54 in the wild and mutant Pf-DHFR which was found to be extremely important for the anti-plasmodial activity (Fig. 28) [57].
Fig. 28.
Novel twenty-two 4-aminoquinoline-piperonyl–pyrimidine hybrids as potent anti-plasmodial agents
Kumar et al., designed and synthesized a series of 1H-1,2,3-triazole linked 4-aminoquinoline-chalcones/-N-acetyl pyrazoline conjugates for their anti-plasmodial activity against the chloroquine-resistant W2 strain of Plasmodium falciparum. Among all the synthesized compounds, 64 was found to be most potent with an IC50 of 53.7 ± 25.0 nm. This inhibition was found to be comparable to that of chloroquine. On further in vitro cytotoxicity analysis against mammalian HeLa cells, compound 64 was found to be non-cytotoxic (Fig. 29) [58].
Fig. 29.
1H-1,2,3-triazole linked 4-aminoquinoline-chalcones/-N-acetyl pyrazoline conjugates for their anti-plasmodial activity
Capela et al., designed and synthesized a series of 1,2,4,5-tetraoxane-8-aminoquinoline hybrids as dual stage antimalarial agents found to be active against both symptomatic erythrocytic stage of Plasmodium infection caused by multidrug-resistant Plasmodium falciparum W2 strain and Plasmodium berghei liver stage parasite. Among all the synthesized compounds, 65, 66, 67 and 68 were found to be most potent with an EC50 values of 0.287 µM, 0.916 µM, 4.19 µM and 5.67 µM, respectively. Cytotoxicity studies revealed that synthesized compounds have exceptionally low cytotoxicity against mammalian cells. Furthermore, the stability studies demonstrated that the potent compounds displayed high metabolic susceptibility in rat liver microsomes. Also, these compounds were found to be much more stable than their primaquine counterparts without the loss of dual stage antimalarial activity (Fig. 30) [59].
Fig. 30.
1,2,4,5-tetraoxane-8-aminoquinoline hybrids as dual stage antimalarial agents
Sharma et al., designed and synthesized a series of novel vanillin-based bischalcones as antimalarial agents against erythrocytic stages of Plasmodium falciparum. Among all the synthesized compounds, 69 displayed potent against the chloroquine-resistant PfDd2 and PfIndo strains with an IC50 values of 3.5 µM and 3.8 µM, respectively. Also, 69 has been found to be active against chloroquine-sensitive Pf3D7 strain with an IC50 value of 2.5 µM. On further evaluation, it has been revealed that 69 inhibited Plasmodium falciparum at all stages of its life cycle including ring, trophozoite and schizont stages. Furthermore, it has been found that 69 induced apoptosis and finally programmed cell death in P. falciparum by mechanisms like arrested growth, chromatin fragmentation, loss of mitochondrial potential, externalisation of phosphatidylserine and by activation of CASPASE like proteases. Lastly, it has been demonstrated that combination of 69 + Artemisinin exhibited strong synergy (SFIC50: 0.46 to 0.58) while 69 + chloroquine (SFIC50: 0.7 to 1.23) exhibited mild synergy to antagonism against PfIndo. In contrast, both combinations showed marked antagonism against Pf3D7 (Fig. 31) [60].
Fig. 31.
Novel vanillin-based bischalcones as antimalarial agents
Bonilla-Ramirez et al., designed and synthesized a series of novel chloroquine and primaquine-quinoxaline 1,4-di-N-oxide hybrids as antimalarial agents against chloroquine-sensitive and multidrug-resistant Plasmodium falciparum. Among all the synthesized compounds, 70 was found to be most potent against P. falciparum 3D7 and P. falciparum FCR-3 with an IC50 values of 67.18 ± 3.12 µM and 68.20 ± 3.26 µM, respectively. Furthermore, compound 70 showed good bioavailability and showed no violation to Lipinski’s rule of five or Veber’s criteria. On further evaluation, it has been revealed that the compound 70 was found to be most active hybrid compound against the exoerythrocytic forms, 1.5-fold more active against P. yoelii than primaquine and also exhibited moderate activity against liver stage of P. falciparum. Furthermore, compound 70 showed potent activity in the asexual phases of parasitic development with a remarkable parasitaemia inhibition of 95.97% which is slightly less than primaquine (100%). Compound 70 was also found to inhibit P. berghei oocyte formation and also inhibited sporogony with 92% blocking of transmission. Lastly, the cytotoxicity evaluation revealed that the compound 70 showed no genotoxicity and in vivo acute toxicity at doses of 300 mg/kg (Fig. 32) [61].
Fig. 32.
Novel chloroquine and primaquine-quinoxaline 1,4-di-N-oxide hybrids as antimalarial agents
Levatic et al., designed and synthesized six different series of novel primaquine derivatives containing sixty-four different compounds: amides, ureas, semicarbazides, acylsemicarbazides, bis-ureas and ureidoamides as potent antimalarial agents Plasmodium falciparum NF54 strain. Among all the synthesized compounds, 71 and 72 belonging to primaquine ureidoamide class were found to be most potent against Plasmodium falciparum NF54 strain with an IC50 values of 1.4 µM and 1.8 µM, respectively. This inhibition was found to be much more potent than Primaquine. Lastly, cytotoxicity studies relative to Primaquine revealed that the compounds 71 and 72 were found to be 2.7 and 2.5-fold less cytotoxic against L6 rat skeletal myoblasts, 13-fold less toxic than Primaquine against human cell lines and finally much less toxic to the G6PD-deficient patients (Fig. 33) [62].
Fig. 33.
Novel primaquine derivatives as antimalarial agents
Maurya et al., designed and synthesized a series of novel N-substituted aminoquinoline-pyrimidine hybrids as potent antimalarial compounds against both chloroquine-sensitive D6 strain and chloroquine-resistant W2 strain of Plasmodium falciparum. Among all the synthesized compounds, 73 was found to be most potent with IC50 value of 0.027 µM against D6 strain of P. falciparum and 0.142 µM against W2 strain of P. falciparum. On further evaluation, it has been revealed through heme binding studies that the compound 73 exerted its action by binding with hematin. Also, the compound 73 was found to be non-cytotoxic towards the mammalian VERO cell lines up to the concentration of 10 µM. Lastly, the docking studies demonstrated excellent binding interaction of compound 73 with Pf-DHFR (Fig. 34) [63].
Fig. 34.
N-substituted aminoquinoline-pyrimidine hybrids as potent antimalarial compounds
Miscellaneous
Qinggang Ji et al., designed and synthesized a series of novel 5-(piperazin-1-yl) quinoline-2(1H)-one derivatives as potential chitin synthase inhibitors and antifungal agents against various strains of fungi. Among all the synthesized compounds, 74, 75 and 76 were found to be most potent with an IC50 values of 0.10 µM, 0.36 µM and 0.47 µM, respectively, against chitin synthase enzyme. Also, the MIC values of 74, 75 and 76 were calculated to be 32 µg/mL each against fungi Candida albicans ATCC 76,615, 128 µg/mL, 256 µg/mL and 512 µg/mL, respectively, against Cryptococcus neoformans ATCC 32,719 and finally 128 µg/mL, 256 µg/mL and 128 µg/mL, respectively, against Aspergillus flavus ATCC 16,870. On further evaluation, it has been revealed that the compounds 74, 75 and 76 were found to be extraordinarily little potent against various gram positive bacteria like S. aureus, MRSA, B. subtilis and gram-negative bacteria B. proteus, E. coli and P. aeruginosa (Fig. 35) [64].
Fig. 35.
Novel 5-(piperazin-1-yl) quinoline-2(1H)-one derivatives as potential chitin synthase inhibitors and antifungal agents
Karad et al., designed and synthesized a series of novel morpholino-quinoline based conjugates with pyrazoline moiety under microwave irradiation as antimicrobial, antitubercular and antimalarial agents. Synthesized antibacterial agents were screened for their inhibitory potential against gram positive strains i.e., Bacillus subtilis MTCC 441, Clostridium tetani MTCC 449, Streptococcus Pneumoniae MTCC 1936 and against three gram-negative strains i.e., Salmonella typhi MTCC 98, Escherichia coli MTCC 443, Vibrio cholera MTCC 3906. Further, synthesized antifungal compounds were screened for their impeding effect against Candida albicans MTCC 227. In vitro screening of newly synthesized antitubercular agents were conducted against MTB H37Rv strain. Finally, the synthesized antimalarial pyrazoline derivatives were screened against Plasmodium falciparum. Among all the compounds, 77 and 83 showed significant antibacterial activity with an IC50 value of 145 µM and 148 µM. This inhibition was found to be much more potent than ampicillin, chloramphenicol, and ciprofloxacin. Out of all the synthesized antifungal compounds, 78 with IC50 of 597 µM, 80 with IC50 of 518 µM, 81 with IC50 of 470 µM and 82 with IC50 of 537 µM showed excellent activity as compared to griseofulvin with IC50 of 1147 µM. Amongst all the synthesized morpholino-quinoline based pyrazoline scaffolds, compounds 81, 78, 83, 77,82,79 and with IC50 values of 0.015 µM, 0.018 µM, 0.028 µM, 0.034 µM, 0.040 µM, 0.044 µM and 0.051 µM, respectively, displayed splendid inhibitory activity as compared to chloroquine with IC50 value of 0.062 µM as well as quinine with IC50 value of 0.826 µM. The compounds 79, 81 and 82 with IC50 values of 0.044 µM, 0.015 µM and 0.040 µM, respectively, were identified as dual antimalarial and antitubercular agents. At last, the cytotoxicity of the synthesized compounds was evaluated using bioassay of S. pombe cells at cellular level and compounds 77, 78 and 83 were found to have maximum toxicity, whereas compounds 80, 79, 82 and 81 were found to be less cytotoxic (Fig. 36) [65].
Fig. 36.
Novel morpholino-quinoline based conjugates with pyrazoline moiety under microwave irradiation as antimicrobial, antitubercular and antimalarial agents
Duroux et al., designed and synthesized a series of novel napthocyclopentane and quinolinocyclopentane derivatives with various acetamide modulations as potent melatoninergic (MT1 / MT2) and serotoninergic (5-HT2c) dual ligands with potent anti-parasitic activity. Among all the synthesized compounds, 84 and 85 were found to be most potent with an EC50 values of 5 nm and 8 nm, respectively, on h-MT1 receptors and 3 nm and 6 nm, respectively, on h-MT2 receptors. On further evaluation, it has been revealed that the compounds 84 and 85 showed the enantioselective character i.e., these compounds exist as levogyre enantiomers ()-84 and ()-85 and exhibits highest affinity at MT1, MT2 and 5-HT2c receptors (Fig. 37) [66].
Fig. 37.
Novel napthocyclopentane and quinolinocyclopentane derivatives with various acetamide modulations as potent melatoninergic (MT1/MT2) and serotoninergic (5-HT2c) dual ligands with potent anti-parasitic activity
El Shehry et al., designed and synthesized three series of quinoline derivatives bearing pyrazole moiety as potent antibacterial and antifungal agents against various strains of gram positive and gram-negative bacteria and fungi. Among all the synthesized compounds, 86 was found to be most potent against S. aureus, S. epidermidis, B. subtilis, P. vulgaris, K. pneumonia, S. flexneri, A. fumigatus, A. clavatus and C. albicans with MIC values of 0.49 µg/mL, 0.12 µg/mL, 0.98 µg/mL, 0.49 µg/mL, 0.12 µg/mL, 0.98 µg/mL, 0.49 µg/mL and 0.12 µg/mL, respectively. This inhibition was found to be four times more potent against S. flexneri and two times more potent against P. vulgaris than gentamycin, four times more potent against A. clavatus and C. albicans than amphotericin B and equipotent against S. epidermidis, A. fumigatus when compared to ampicillin and amphotericin B. Furthermore, the animal toxicity studies were performed by LD50 (the median lethal dose) by using Spearmane Karber method and it has been revealed that the synthesized compounds were found to have exceptionally low toxicity and good tolerability up to the dose of 1200 mg/kg (Fig. 38) [67].
Fig. 38.
Quinoline derivatives bearing pyrazole moiety as potent antibacterial and antifungal agents
Pavic et al., designed and synthesized four series of primaquine derivatives: amides, ureas, semi carbazides and bis-ureas as potent antitubercular and anti-plasmodial agents against various mycobacterium and plasmodial strains, respectively. Among all the synthesized compounds, 87 and 88 were found to be most potent anti-mycobacterial agents with MIC values of 2 µg/mL each against MTB H37Ra ATCC 25,177: 2 µg/mL and 16 µg/mL, respectively, against Mycobacterium avium complex CIT19106 (MAC) and finally 2 µg/mL and 4 µg/mL, respectively, against Mycobacterium avium subsp. Paratuberculosis CIT03 (MAP). Also, the compound 89 was found to be most potent anti-plasmodial agent against liver stage of Plasmodium berghei and erythrocyte -stage of Plasmodium berghei with an IC50 values of 42.0 µM and 17.8 µM, respectively. On further evaluation, it has been revealed that the compounds 87 and 88 exhibited antitubercular action by the inhibition of mycobacterial gyrase, ATP synthase, FtsZ protein, glutathione S-transferase, enoyl-ACP reductase, decaprenyl phosphoryl-β-D-ribose-2’-epimerase (DprE1) or FadD32. Furthermore, docking studies indicated that the compounds 87 and 88 does not interfere with FtsZ as no conclusive binding sites for these compounds have been identified. Lastly, the cytotoxicity studies on L6 cells revealed extremely high cytotoxicity/activity ratio of compound 89. Also, the compounds 87 and 88 were found to be very less cytotoxic (Fig. 39) [68].
Fig. 39.
Primaquine derivatives: amides, ureas, semi carbazides and bis-ureas as potent antitubercular and anti-plasmodial agents
Okumu et al., designed and synthesized a series of Novel Bacterial Topoisomerase Inhibitors (NBTIs) derived from isomannide against fluoroquinolone-resistant MRSA and other gram positive pathogens. Among all the synthesized compounds, 90 was found to be most potent with the MIC90 value of 2 µg/mL and 1 µg/mL against fluoroquinolone-resistant MRSA and Staphylococcus aureus, respectively. This inhibition was found to be 16-fold more potent than control drug ciprofloxacin. On further evaluation, it has been revealed in a spontaneous frequency of resistant study (FoR) that the compound 90 was unable to suppress the emergence of NBTI-resistant mutants. Furthermore, compound 90 was found to be cardiovascular safe by using hERG inhibition assay with an IC50 value of 66 µM. Also, compound 90 was found to be minimally cytotoxic against mammalian HepaRG cells. Also, the compound 90 displayed favorable ADME properties with moderately high protein binding both in mouse and human plasma and finally it has been revealed that the compound 90 inhibited CYP1A2, CYP2B6, CYP2C9, CYP2C19 and CYP2D6 by 50% and CYP3A4 by 56% at 10 µM concentration and also exhibited rapid metabolism as revealed in microsomal assays (Fig. 40) [69].
Fig. 40.
Novel Bacterial Topoisomerase Inhibitors (NBTIs) derived from isomannide
Mohammed et al., designed and synthesized a series of novel glycosylated-fluoroquinolones derivatives as potent antibacterial and antifungal agents against various strains of bacteria and fungi. Among all the synthesized compounds, 91, 92 and 95 were found to be most potent against fluoroquinolone-resistant Escherichia coli clinical isolate with the MIC values of 0.2608 ± 0.0014 mM, 0.1358 ± 0.0025 mM and 0.0898 ± 0.0014 mM, respectively. The inhibitions displayed by the compounds 91 and 92 were revealed to be twofold more potent as compared to their parent drugs ciprofloxacin and norfloxacin, respectively, and the inhibition by the compound 95 was found to be three times more potent than its parent drug moxifloxacin. Also, the compounds 92, 93, 94 and 95 were found to be most active against fungi Aspergillus flavus with the MIC values of 0.3620 ± 0.0099 mM, 0.1618 ± 0.0212 mM, 0.2338 ± 0.007 mM and 0.4784 ± 0.0049 mM, respectively. Compound 92 also exhibited potent antifungal activities against Candida albicans and Penicillium chrysogenum with the MIC values of 0.0056 ± 0.0014 mM and 0.0453 ± 0.0156 mM, respectively. The compounds 92, 93, 94 and 95 displayed more potent antifungal activities as compared to their respective parent drugs. On further evaluation, it has been illustrated that the compound 91, 92 and 95 exhibited antibacterial activity by inhibiting bacterial DNA gyrase, topoisomerase IV, cell division, energy conversion and motility of the targeted bacteria. Lastly, the cytotoxicity analysis against L6 muscle cell line demonstrated that the compounds 91, 92, 93, 94 and 95 showed similar cytotoxicity profiles as compared to their parent drugs (Fig. 41) [70].
Fig. 41.
Novel glycosylated-fluoroquinolones derivatives as potent antibacterial and antifungal agents
Riboswitches as potential drug targets
An in- silico framework has been developed by Mujwar et al. for the prediction of riboswitch to combat the drug resistance against various marketed antibiotics and design of its corresponding inhibitor with the help of case study of Bacillus anthracis bacteria. Three molecules ZINC19362650, ZINC01729524 and ZINC19325791 has been identified as potential inhibitors for anthrax by the virtual screening using molecular docking simulations of molecular library consisting of 1880 different ligands out of which the compound ZINC19325791 showed most appreciable binding energy of − 12.32 kcal/mol. Furthermore, it has been revealed that the bacterial gene expression has been regulated by the predicted riboswitch thus encoding the synthesis of amino acid efflux protein. Lastly, these three compounds has not shown any toxicity as these riboswitch has no identified role in humans and also showed satisfactory drug-likeness score in the ADME prediction studies. Furthermore, it has been revealed that the bacterial gene expression has been regulated by the predicted riboswitch thus encoding the synthesis of amino acid efflux protein (Fig. 42) [71].
Fig. 42.
Potent riboswitches inhibitors to combat antimicrobial resistance
In 2015, Pradhan et al. performed the in- silico prediction of two riboswitches for three strains of influenza virus H1N1, H2N2 and H3N2. On further evaluation it has been revealed that the lysine to be the most efficient ligand amongst all the three strains of influenza virus. Furthermore, compound NCI_81462_a was found to possess most satisfactory binding energy of − 10.06 kcal/mol. Also, all the screened compounds showed no toxicity and satisfactory drug likeness properties. Lastly, the designed compounds have been predicted to be exempted from the adverse effects of antiviral drugs and also itself was found to be very less labile for developing resistance (Fig. 42) [72].
Due to the severe side effects and drug resistance development by the Norcardia farcinia against various antibiotics such as ampicillin and third-generation cephalosporins. Amritpreet Kaur et al., designed four lead molecules as the inhibitors against the CBL riboswitch of N. farcinia due to their appreciable binding energies with the identified bacterial riboswitch with the optimum pharmacokinetic properties with the most satisfactory binding energy of − 14.45 kcal/mol shown by the ligand ZINC19325788. Furthermore, molecular docking simulation-based virtual screening technique and structure-based pharmacophore development method has been used to obtain the various lead molecules. Also, it has been revealed that the designed lead molecules cannot interact with the mammalian mRNA as they only targeted CBL riboswitch which is only unique to the N. farcinia. Lastly, Ligand 1, 2 and ZINC18163421 has feen found to posess almost negligible tendency to be metabolized by the isoenzymes such as CYP1A2, CYP3A4, CYP2C9 and CYP2A1 and thus supposed to show slow metabolism rate which in turn resulted in longer duration of action even with the smaller therapeutic doses (Fig. 42) [73].
In 2015, Mujwar et al. performed the molecular docking simulation-based virtual screening using molecular library containing 5017 diverse ligands against Mycobacterium tuberculosis riboswitch. Among all the screened compounds, ZINC14141011 has been found to possess most appreciable binding energy of − 9.44 kcal/mol with the Mycobacterium tuberculosis riboswitch. On further evaluation, it has been clearly revealed that almost all the five lead molecules followed Lipinski’s rule of five, good drug-likeness properties without any toxic effects (except ZINC06375208) and also showed satisfactory physiochemical properties as predicted by studying ADME properties. Also, these lead molecules these compounds does not show side effects and drug resistance when compared to the conventional marketed antibiotics as these leads targeted the riboswitch of the pathogens which are present in 5′-UTR and are rarely reported to undergo mutations (Fig. 42) [74].
Conclusion
AMR has become a serious challenge for the healthcare system which might be due to increased toxicity or lack of novel drug molecules for the treatment. From the extensive literature survey, it can be concluded that quinoline is a unique molecule which has diverse pharmacological activities such as antibacterial, antifungal, antimalarial, antiviral, antitubercular, antileishmanial, anti-inflammatory and anticancer and can be easily modified chemically by derivatizing or by forming hybrids. During reviewing quinoline compounds, it was observed that activities of quinoline derivatives were varying on varying the substitutions on it. After classifying quinoline derivatives according to their pharmacological profiles, compound 1 was found to be the most potent with an IC50 value of 0.48 µM against BVDV. Similarly, among anti-bacterial compound 9 was the most potent and was active against Staphylococcus aureus, Streptococcus pyrogens, Salmonella typhi, Pseudomonas aeruginosa and Escherichia coli with MIC value of 0.12 µg/mL, 8 µg/mL, 0.12 µg/mL, > 1024 µg/mL, 0.12 µg/mL. Among antitubercular, compound 38 was the most potent with MIC value of 0.31 µg/mL, 0.31 µg/mL, 0.31 µg/mL, 0.16 µg/mL and 0.31 µg/mL against MTB CDCT10, MTB CDCT16, MTB CDCT27 and MTB CDCT28 drug-resistant strains. Among anti-protozoal agents, compound 50 was found to the most potent with EC50 value of 0.61 ± 0.18 µM as anti-leishmanial agent and compound 73 as the most potent antimalarial compound with IC50 value of 0.027 µM against D6 strain of P. falciparum and 0.142 µM against W2 strain of P. falciparum. Moreover, Mujwar et al. recommended rarely mutated riboswitches as the potential target for treating infectious diseases as these switches has no identified role in humans. Therefore, they performed various in-silico studies on riboswitches of B. anthracis, influenza virus (H1N1, H2N2 and H3N2), Norcardia farcinia and Mycobacterium tuberculosis; and recommended ZINC19325791 (− 12.32 kcal/mol), NCI_81462_a (− 10.06 kcal/mol), ZINC19325788 (− 14.45 kcal/mol) and ZINC14141011 (− 9.44 kcal/mol) as potent inhibitors of respective riboswitches.
Author contributions
NK: Conceptualization, Methodology, Resources, Writing—original draft, Writing—review & editing; AK: Writing—review & editing, KK: Writing—review & editing, HK: Writing—review & editing, AS: Writing—review & editing, PMSB: Supervision, review & editing.
Declarations
Conflict of interest
No interest of conflicts.
Footnotes
Publisher's Note
Springer Nature remains neutral with regard to jurisdictional claims in published maps and institutional affiliations.
References
- 1.Yu Z, Gunn L, Wall P, Fanning S. Antimicrobial resistance and its association with tolerance to heavy metals in agriculture production. Food Microbiol. 2017;64:23–32. doi: 10.1016/J.FM.2016.12.009. [DOI] [PubMed] [Google Scholar]
- 2.Fair RJ, Tor Y. Antibiotics and bacterial resistance in the 21st century. Perspect Medicin Chem. 2014;6:25. doi: 10.4137/PMC.S14459. [DOI] [PMC free article] [PubMed] [Google Scholar]
- 3.Amábile-Cuevas CF. Antibiotic resistance: from darwin to lederberg to keynes. Microb Drug Resist. 2013; 19:73–87. doi: 10.1089/MDR.2012.0115. [DOI] [PubMed] [Google Scholar]
- 4.Kussell E. Evolution in microbes. Annu Rev Biophys. 2013;42:493–514. doi: 10.1146/ANNUREV-BIOPHYS-083012-130320. [DOI] [PubMed] [Google Scholar]
- 5.Michael CA, Dominey-Howes D, Labbate M. The antimicrobial resistance crisis: causes, consequences, and management. Front Public Health. 2014 doi: 10.3389/FPUBH.2014.00145. [DOI] [PMC free article] [PubMed] [Google Scholar]
- 6.Christaki E, Marcou M, Tofarides A. Antimicrobial Resistance in Bacteria: Mechanisms, Evolution, and Persistence. J Mol Evol. 2020;88:26–40. doi: 10.1007/S00239-019-09914-3. [DOI] [PubMed] [Google Scholar]
- 7.Jindal BAK, Pandya MK, Khan MID. Antimicrobial resistance: A public health challenge. Med J Armed Forces India. 2015;71:178–181. doi: 10.1016/J.MJAFI.2014.04.011. [DOI] [PMC free article] [PubMed] [Google Scholar]
- 8.Antibiotic/Antimicrobial Resistance|CDC. https://www.cdc.gov/drugresistance/index.html. Accessed 8 Feb 2022
- 9.Luo L, Yang J, Wang C, et al. Natural products for infectious microbes and diseases: an overview of sources, compounds, and chemical diversities. Sci China Life Sci. 2022;65:1123–1145. doi: 10.1007/S11427-020-1959-5. [DOI] [PMC free article] [PubMed] [Google Scholar]
- 10.Mushtaq S, Abbasi BH, Uzair B, Abbasi R. Natural products as reservoirs of novel therapeutic agents. EXCLI J. 2018;17:420. doi: 10.17179/EXCLI2018-1174. [DOI] [PMC free article] [PubMed] [Google Scholar]
- 11.Mermer A, Keles T, Sirin Y. Recent studies of nitrogen containing heterocyclic compounds as novel antiviral agents: a review. Bioorg Chem. 2021 doi: 10.1016/J.BIOORG.2021.105076. [DOI] [PubMed] [Google Scholar]
- 12.Chung PY, Bian ZX, Pun HY, et al. Recent advances in research of natural and synthetic bioactive quinolones. Future Med Chem. 2015 doi: 10.4155/FMC.15.34. [DOI] [PubMed] [Google Scholar]
- 13.Basavanna V, Ningaiah S, Chandramouli M, et al. Quinolinyl-pyrazoles: synthesis and pharmacological evolution in the recent decennial. J Iran Chem Soc. 2021;18:1479–1522. doi: 10.1007/S13738-020-02152-1/SCHEMES/70. [DOI] [Google Scholar]
- 14.Foley M, Tilley L. Quinoline antimalarials: mechanisms of action and resistance and prospects for new agents. Pharmacol Ther. 1998;79:55–87. doi: 10.1016/S0163-7258(98)00012-6. [DOI] [PubMed] [Google Scholar]
- 15.Eswaran S, Adhikari AV, Shetty NS. Synthesis and antimicrobial activities of novel quinoline derivatives carrying 1,2,4-triazole moiety. Eur J Med Chem. 2009;44:4637–4647. doi: 10.1016/J.EJMECH.2009.06.031. [DOI] [PubMed] [Google Scholar]
- 16.da Gama ANS, Soeiro MNC. Quinoline-based compounds as key candidates to tackle drug discovery programs of microbicidal agents. Curr Pharm Des. 2021;27:1757–1762. doi: 10.2174/1381612826666201006125644. [DOI] [PubMed] [Google Scholar]
- 17.Garcia-Salcedo JA, Unciti-Broceta JD, Valverde-Pozo J, Soriano M. New approaches to overcome transport related drug resistance in trypanosomatid parasites. Front Pharmacol. 2016;7:351. doi: 10.3389/FPHAR.2016.00351/BIBTEX. [DOI] [PMC free article] [PubMed] [Google Scholar]
- 18.Mandlik V, Shinde S, Singh S. Molecular evolution of the enzymes involved in the sphingolipid metabolism of Leishmania: selection pressure in relation to functional divergence and conservation. BMC Evol Biol. 2014;14:142–142. doi: 10.1186/1471-2148-14-142. [DOI] [PMC free article] [PubMed] [Google Scholar]
- 19.Kumar N, Singh A, Gulati HK, et al. Phytoconstituents from ten natural herbs as potent inhibitors of main protease enzyme of SARS-COV-2: In silico study. Phytomedicine Plus. 2021;1:100083. doi: 10.1016/j.phyplu.2021.100083. [DOI] [PMC free article] [PubMed] [Google Scholar]
- 20.Matada BS, Pattanashettar R, Yernale NG. A comprehensive review on the biological interest of quinoline and its derivatives. Bioorg Med Chem. 2021 doi: 10.1016/J.BMC.2020.115973. [DOI] [PubMed] [Google Scholar]
- 21.Dorababu A. Recent update on antibacterial and antifungal activity of quinoline scaffolds. Arch Pharm (Weinheim) 2021 doi: 10.1002/ARDP.202000232. [DOI] [PubMed] [Google Scholar]
- 22.Neil SJD, Campbell EM. Fake science: XMRV, COVID-19, and the toxic legacy of Dr. Judy Mikovits AIDS Res Hum Retroviruses. 2020;36:545. doi: 10.1089/AID.2020.0095. [DOI] [PMC free article] [PubMed] [Google Scholar]
- 23.Robinson J, Banerjee I, Leclézio A, Sathian B. COVID-19 and mutations a threat level assessment. Nepal J Epidemiol. 2021;11:983. doi: 10.3126/NJE.V11I1.35659. [DOI] [PMC free article] [PubMed] [Google Scholar]
- 24.Mujwar S. Computational repurposing of tamibarotene against triple mutant variant of SARS-CoV-2. Comput Biol Med. 2021 doi: 10.1016/J.COMPBIOMED.2021.104748. [DOI] [PMC free article] [PubMed] [Google Scholar]
- 25.Mujwar S, Sun L, Fidan O. In silico evaluation of food-derived carotenoids against SARS-CoV-2 drug targets: crocin is a promising dietary supplement candidate for COVID-19. J Food Biochem. 2022;46:e14219. doi: 10.1111/JFBC.14219. [DOI] [PMC free article] [PubMed] [Google Scholar]
- 26.Sanjuán R, Domingo-Calap P. Mechanisms of viral mutation. Cell Mol Life Sci. 2016;73:4433. doi: 10.1007/S00018-016-2299-6. [DOI] [PMC free article] [PubMed] [Google Scholar]
- 27.Carta A, Briguglio I, Piras S, et al. A combined in silico/in vitro approach unveils common molecular requirements for efficient BVDV RdRp binding of linear aromatic N-polycyclic systems. Eur J Med Chem. 2016;117:321–334. doi: 10.1016/J.EJMECH.2016.03.080. [DOI] [PubMed] [Google Scholar]
- 28.Barbosa-Lima G, da Silveira Pinto LS, Kaiser CR, et al. N-(2-(arylmethylimino)ethyl)-7-chloroquinolin-4-amine derivatives, synthesized by thermal and ultrasonic means, are endowed with anti-Zika virus activity. Eur J Med Chem. 2017;127:434–441. doi: 10.1016/J.EJMECH.2017.01.007. [DOI] [PubMed] [Google Scholar]
- 29.Lee JC, Tseng CK, Lin CK, Tseng CH. Discovery of novel diarylpyrazolylquinoline derivatives as potent anti-dengue virus agents. Eur J Med Chem. 2017;141:282–292. doi: 10.1016/J.EJMECH.2017.10.001. [DOI] [PubMed] [Google Scholar]
- 30.Li F, Lee EM, Sun X, et al. Design, synthesis and discovery of andrographolide derivatives against Zika virus infection. Eur J Med Chem. 2020;187:111925. doi: 10.1016/J.EJMECH.2019.111925. [DOI] [PMC free article] [PubMed] [Google Scholar]
- 31.Tang Q, Xu Z, Jin M, et al. Identification of dibucaine derivatives as novel potent enterovirus 2C helicase inhibitors: in vitro, in vivo, and combination therapy study. Eur J Med Chem. 2020;202:112310. doi: 10.1016/J.EJMECH.2020.112310. [DOI] [PubMed] [Google Scholar]
- 32.Delogu G, Sali M, Fadda G. The Biology of Mycobacterium Tuberculosis Infection. Mediterr J Hematol Infect Dis. 2013;5:2013070. doi: 10.4084/MJHID.2013.070. [DOI] [PMC free article] [PubMed] [Google Scholar]
- 33.Lange R, Locher H, Wyss P, Then R. The targets of currently used antibacterial agents: lessons for drug discovery. Curr Pharm Des. 2007;13:3140–3154. doi: 10.2174/138161207782110408. [DOI] [PubMed] [Google Scholar]
- 34.Lambert PA. Bacterial resistance to antibiotics: modified target sites. Adv Drug Deliv Rev. 2005;57:1471–1485. doi: 10.1016/J.ADDR.2005.04.003. [DOI] [PubMed] [Google Scholar]
- 35.Mujwar S, Deshmukh R, Harwansh RK, et al. Drug repurposing approach for developing novel therapy against mupirocin-resistant staphylococcus aureus. ASSAY Drug Dev Technol. 2019;17:298–309. doi: 10.1089/ADT.2019.944. [DOI] [PubMed] [Google Scholar]
- 36.Yang H, Wang HW, Zhu TW, et al. Syntheses and antibacterial activity of soluble 9-bromo substituted indolizinoquinoline-5,12-dione derivatives. Eur J Med Chem. 2017;127:166–173. doi: 10.1016/J.EJMECH.2016.12.054. [DOI] [PubMed] [Google Scholar]
- 37.Sun N, Du RL, Zheng YY, et al. Antibacterial activity of N-methylbenzofuro[3,2-b]quinoline and N-methylbenzoindolo[3,2-b]-quinoline derivatives and study of their mode of action. Eur J Med Chem. 2017;135:1–11. doi: 10.1016/J.EJMECH.2017.04.018. [DOI] [PubMed] [Google Scholar]
- 38.Faidallah HM, Girgis AS, Tiwari AD, et al. Synthesis, antibacterial properties and 2D-QSAR studies of quinolone-triazole conjugates. Eur J Med Chem. 2018;143:1524–1534. doi: 10.1016/J.EJMECH.2017.10.042. [DOI] [PubMed] [Google Scholar]
- 39.Xu K, He S, Chen S, et al. Free radical rearrangement synthesis and microbiological evaluation of novel 2-sulfoether-4-quinolone scaffolds as potential antibacterial agents. Eur J Med Chem. 2018;154:144–154. doi: 10.1016/J.EJMECH.2018.05.021. [DOI] [PubMed] [Google Scholar]
- 40.Ma CX, Lv W, Li YX, et al. Design, synthesis and structure-activity relationships of novel macrolones: Hybrids of 2-fluoro 9-oxime ketolides and carbamoyl quinolones with highly improved activity against resistant pathogens. Eur J Med Chem. 2019;169:1–20. doi: 10.1016/J.EJMECH.2019.02.073. [DOI] [PubMed] [Google Scholar]
- 41.Duggirala S, Napoleon JV, Nankar RP, et al. FtsZ inhibition and redox modulation with one chemical scaffold: Potential use of dihydroquinolines against mycobacteria. Eur J Med Chem. 2016;123:557–567. doi: 10.1016/J.EJMECH.2016.07.058. [DOI] [PubMed] [Google Scholar]
- 42.Abdelrahman MA, Salama I, Gomaa MS, et al. Design, synthesis and 2D QSAR study of novel pyridine and quinolone hydrazone derivatives as potential antimicrobial and antitubercular agents. Eur J Med Chem. 2017;138:698–714. doi: 10.1016/J.EJMECH.2017.07.004. [DOI] [PubMed] [Google Scholar]
- 43.Subhedar DD, Shaikh MH, Shingate BB, et al. Quinolidene-rhodanine conjugates: Facile synthesis and biological evaluation. Eur J Med Chem. 2017;125:385–399. doi: 10.1016/J.EJMECH.2016.09.059. [DOI] [PubMed] [Google Scholar]
- 44.Kumar G, Sathe A, Krishna VS, et al. Synthesis and biological evaluation of dihydroquinoline carboxamide derivatives as anti-tubercular agents. Eur J Med Chem. 2018;157:1–13. doi: 10.1016/J.EJMECH.2018.07.046. [DOI] [PubMed] [Google Scholar]
- 45.Macchi FS, Pissinate K, Villela AD, et al. 1H-Benzo[d]imidazoles and 3,4-dihydroquinazolin-4-ones: Design, synthesis and antitubercular activity. Eur J Med Chem. 2018;155:153–164. doi: 10.1016/J.EJMECH.2018.06.005. [DOI] [PubMed] [Google Scholar]
- 46.Marvadi SK, Krishna VS, Sriram D, Kantevari S. Synthesis of novel morpholine, thiomorpholine and N-substituted piperazine coupled 2-(thiophen-2-yl)dihydroquinolines as potent inhibitors of Mycobacterium tuberculosis. Eur J Med Chem. 2019;164:171–178. doi: 10.1016/J.EJMECH.2018.12.043. [DOI] [PubMed] [Google Scholar]
- 47.Borsoi AF, Paz JD, Abbadi BL, et al. Design, synthesis, and evaluation of new 2-(quinoline-4-yloxy)acetamide-based antituberculosis agents. Eur J Med Chem. 2020;192:112179. doi: 10.1016/J.EJMECH.2020.112179. [DOI] [PubMed] [Google Scholar]
- 48.Souza W. An introduction to the structural organization of parasitic protozoa. Curr Pharm Des. 2008;14:822–838. doi: 10.2174/138161208784041123. [DOI] [PubMed] [Google Scholar]
- 49.Yousuf M, Mukherjee D, Dey S, et al. Antileishmanial ferrocenylquinoline derivatives: Synthesis and biological evaluation against Leishmania donovani. Eur J Med Chem. 2016;124:468–479. doi: 10.1016/j.ejmech.2016.08.049. [DOI] [PubMed] [Google Scholar]
- 50.Zhang C, Bourgeade Delmas S, Fernández Álvarez Á, et al. Synthesis, characterization, and antileishmanial activity of neutral N-heterocyclic carbenes gold(I) complexes. Eur J Med Chem. 2018;143:1635–1643. doi: 10.1016/J.EJMECH.2017.10.060. [DOI] [PubMed] [Google Scholar]
- 51.Upadhyay A, Kushwaha P, Gupta S, et al. Synthesis and evaluation of novel triazolyl quinoline derivatives as potential antileishmanial agents. Eur J Med Chem. 2018;154:172–181. doi: 10.1016/J.EJMECH.2018.05.014. [DOI] [PubMed] [Google Scholar]
- 52.Tejería A, Pérez-Pertejo Y, Reguera RM, et al. Antileishmanial activity of new hybrid tetrahydroquinoline and quinoline derivatives with phosphorus substituents. Eur J Med Chem. 2019;162:18–31. doi: 10.1016/J.EJMECH.2018.10.065. [DOI] [PubMed] [Google Scholar]
- 53.Staderini M, Piquero M, Abengózar MÁ, et al. Structure-activity relationships and mechanistic studies of novel mitochondria-targeted, leishmanicidal derivatives of the 4-aminostyrylquinoline scaffold. Eur J Med Chem. 2019;171:38–53. doi: 10.1016/J.EJMECH.2019.03.007. [DOI] [PubMed] [Google Scholar]
- 54.Bhat SY, Jagruthi P, Srinivas A, et al. Synthesis and characterization of quinoline-carbaldehyde derivatives as novel inhibitors for leishmanial methionine aminopeptidase 1. Eur J Med Chem. 2020;186:111860. doi: 10.1016/J.EJMECH.2019.111860. [DOI] [PubMed] [Google Scholar]
- 55.Valverde EA, Romero AH, Acosta ME, et al. Synthesis, β-hematin inhibition studies and antimalarial evaluation of new dehydroxy isoquine derivatives against Plasmodium berghei: A promising antimalarial agent. Eur J Med Chem. 2018;148:498–506. doi: 10.1016/J.EJMECH.2017.10.051. [DOI] [PubMed] [Google Scholar]
- 56.Singh A, Gut J, Rosenthal PJ, Kumar V. 4-Aminoquinoline-ferrocenyl-chalcone conjugates: synthesis and anti-plasmodial evaluation. Eur J Med Chem. 2017;125:269–277. doi: 10.1016/J.EJMECH.2016.09.044. [DOI] [PubMed] [Google Scholar]
- 57.Kholiya R, Khan SI, Bahuguna A, et al. N-Piperonyl substitution on aminoquinoline-pyrimidine hybrids: effect on the antiplasmodial potency. Eur J Med Chem. 2017;131:126–140. doi: 10.1016/J.EJMECH.2017.03.007. [DOI] [PubMed] [Google Scholar]
- 58.Kumar S, Saini A, Gut J, et al. 4-Aminoquinoline-chalcone/-N-acetylpyrazoline conjugates: synthesis and antiplasmodial evaluation. Eur J Med Chem. 2017;138:993–1001. doi: 10.1016/J.EJMECH.2017.07.041. [DOI] [PubMed] [Google Scholar]
- 59.Capela R, Magalhães J, Miranda D, et al. Endoperoxide-8-aminoquinoline hybrids as dual-stage antimalarial agents with enhanced metabolic stability. Eur J Med Chem. 2018;149:69–78. doi: 10.1016/J.EJMECH.2018.02.048. [DOI] [PubMed] [Google Scholar]
- 60.Sharma UK, Mohanakrishnan D, Sharma N, et al. Facile synthesis of vanillin-based novel bischalcones identifies one that induces apoptosis and displays synergy with Artemisinin in killing chloroquine resistant Plasmodium falciparum. Eur J Med Chem. 2018;155:623–638. doi: 10.1016/J.EJMECH.2018.06.025. [DOI] [PubMed] [Google Scholar]
- 61.Bonilla-Ramirez L, Rios A, Quiliano M, et al. Novel antimalarial chloroquine-and primaquine-quinoxaline 1,4-di-N-oxide hybrids: Design, synthesis, Plasmodium life cycle stage profile, and preliminary toxicity studies. Eur J Med Chem. 2018;158:68–81. doi: 10.1016/J.EJMECH.2018.08.063. [DOI] [PubMed] [Google Scholar]
- 62.Levatić J, Pavić K, Perković I, et al. Machine learning prioritizes synthesis of primaquine ureidoamides with high antimalarial activity and attenuated cytotoxicity. Eur J Med Chem. 2018;146:651–667. doi: 10.1016/J.EJMECH.2018.01.062. [DOI] [PubMed] [Google Scholar]
- 63.Maurya SS, Bahuguna A, Khan SI, et al. N-Substituted aminoquinoline-pyrimidine hybrids: synthesis, in vitro antimalarial activity evaluation and docking studies. Eur J Med Chem. 2019;162:277–289. doi: 10.1016/J.EJMECH.2018.11.021. [DOI] [PubMed] [Google Scholar]
- 64.Ji Q, Ge Z, Ge Z, et al. Synthesis and biological evaluation of novel phosphoramidate derivatives of coumarin as chitin synthase inhibitors and antifungal agents. Eur J Med Chem. 2016;108:166–176. doi: 10.1016/J.EJMECH.2015.11.027. [DOI] [PubMed] [Google Scholar]
- 65.Karad SC, Purohit VB, Thakor P, et al. Novel morpholinoquinoline nucleus clubbed with pyrazoline scaffolds: Synthesis, antibacterial, antitubercular and antimalarial activities. Eur J Med Chem. 2016;112:270–279. doi: 10.1016/J.EJMECH.2016.02.016. [DOI] [PubMed] [Google Scholar]
- 66.Duroux R, Rami M, Landagaray E, et al. Synthesis and biological evaluation of new naphtho- and quinolinocyclopentane derivatives as potent melatoninergic (MT1/MT2) and serotoninergic (5-HT2C) dual ligands. Eur J Med Chem. 2017;141:552–566. doi: 10.1016/J.EJMECH.2017.10.025. [DOI] [PubMed] [Google Scholar]
- 67.el Shehry MF, Ghorab MM, Abbas SY, et al. Quinoline derivatives bearing pyrazole moiety: Synthesis and biological evaluation as possible antibacterial and antifungal agents. Eur J Med Chem. 2018;143:1463–1473. doi: 10.1016/J.EJMECH.2017.10.046. [DOI] [PubMed] [Google Scholar]
- 68.Pavić K, Perković I, Pospíšilová Š, et al. Primaquine hybrids as promising antimycobacterial and antimalarial agents. Eur J Med Chem. 2018;143:769–779. doi: 10.1016/J.EJMECH.2017.11.083. [DOI] [PubMed] [Google Scholar]
- 69.Okumu A, Lu Y, Dellos-Nolan S, et al. Novel bacterial topoisomerase inhibitors derived from isomannide. Eur J Med Chem. 2020;199:112324. doi: 10.1016/J.EJMECH.2020.112324. [DOI] [PubMed] [Google Scholar]
- 70.Mohammed AAM, Suaifan GARY, Shehadeh MB, Okechukwu PN. Design, synthesis and antimicrobial evaluation of novel glycosylated-fluoroquinolones derivatives. Eur J Med Chem. 2020;202:112513. doi: 10.1016/J.EJMECH.2020.112513. [DOI] [PubMed] [Google Scholar]
- 71.Mujwar S, Pardasani KR. Prediction of Riboswitch as a Potential Drug Target for Infectious Diseases: An Insilico Case Study of Anthrax. J Med Imaging Health Inform. 2015;5:7–16. doi: 10.1166/JMIHI.2015.1358. [DOI] [Google Scholar]
- 72.Pradhan P, Soni NK, Chaudhary L, et al. In-silico prediction of riboswitches and design of their potent inhibitors for H1N1, H2N2 and H3N2 strains of influenza virus. Biosci Biotechnol Res Asia. 2015;12:2173–2186. doi: 10.13005/BBRA/1889. [DOI] [Google Scholar]
- 73.Kaur A, Mujwar S, Adlakha N. In-silico analysis of riboswitch of Nocardia farcinica for design of its inhibitors and pharmacophores. Int J Comput Biol Drug Des. 2016;9:261–276. doi: 10.1504/IJCBDD.2016.078278. [DOI] [Google Scholar]
- 74.Mujwar S, Pardasani KR. Prediction of riboswitch as a potential drug target and design of its optimal inhibitors for mycobacterium tuberculosis. Int J Comput Biol Drug Des. 2015;8:326–347. doi: 10.1504/IJCBDD.2015.073671. [DOI] [Google Scholar]











































