Abstract
The magnetic phase diagram of SrCaCoP as a function of hydrostatic pressure and temperature is investigated by means of high pressure muon spin rotation, relaxation and resonance (SR). The weak pressure dependence for the compounds suggests that the rich phase diagram of SrCaCoP as a function of x at ambient pressure may not solely be attributed to chemical pressure effects. The compound on the other hand reveals a high pressure dependence, where the long range magnetic order is fully suppressed at kbar, which seem to be a first order transition. In addition, an intermediate phase consisting of magnetic domains is formed above kbar where they co-exist with a magnetically disordered state. These domains are likely to be ferromagnetic islands (FMI) and consist of an high- (FMI-) and low-temperature (FMI-) region, respectively, separated by a phase boundary at K. This kind of co-existence is unusual and is originating from a coupling between lattice and magnetic degrees of freedoms.
Subject terms: Magnetic properties and materials, Phase transitions and critical phenomena
Introduction
The ThCrSi layered structure type family of compounds typically exhibits ground states ranging from superconductivity to long range magnetic order1–5. The ground states are determined by competition between magnetism and superconductivity, as in CaFeAs or BaKFeAs6,7. In this family, the structure type with a metal A, transition metal M, and metalloid X atoms, are made up of edge-share tetrahedra layers (inset of Fig. 7a). The delicate ground state is mostly dependent on the inter-layer X-X bonding distance across the intermediate A sheets. For several P ( Ca, Sr, and Ba, and Fe, Co, and Ni) materials, the phase transitions are related to subtle structural changes present in the crystals. In particular, these families have a tendency to transform from uncollapsed tetragonal (ucT) to collapsed tearagonal (cT) structure. This is driven by the X-X bonding acting between the layers, for which strong enough bonds pull the layers closer and induces a lattice relaxation8–10.
Figure 7.
(a) Phase-diagram (p/T/x) for SrCaCoP. (b) Individual p/T phase diagrams for different chemical compositions (x). Phases are labelled: SR short-range, LR long-range, AFM antiferromagnetic, FMI ferromagnetic islands, PM paramagnetic. Further, kbar and kbar are the critical pressures and and critical chemical compositions11. Finally, K is an approximate transition temperature between the FMI- and FMI- phases.
In the case of SrCaCoP, the crystals transforms from ucT to cT when the chemical composition changes from to . A Curie-Weiss behaviour is observed in all compounds at high temperature, but the high temperature fluctuations changes from antiferromagnetic to ferromagentic type around 10. Such change seem to be correlated to the finally ground state as it is transformed from paramagnetic () to antiferromagnteic (AF) at 11. In fact, bulk magnetisation measured as a function of x show a clear correlation between the detailed crystalline structure and the magnetic properties10.
Previous study based on muon spin rotation, relaxation and resonance (SR)11 have indicated Pauli-paramagnetic phases for at temperatures as low as 1.8 K. Short-range AF ordered phases appears for , which stabilizes into a long-range AF ordered phase for . The formation of magnetically ordered phases was shown to have strong correlations with the nearest neighboring Co distance () within the CoP planes, implying the importance of also the inter-plane interaction for the formation of long range order. The Co–Co distance decreases only moderately with x up until , at which point experience an abrupt decrease until where it finally levels out to an almost constant value11.
It is thus interesting to continue the investigation by further decreasing the distance through the application of a hydrostatic pressure. Such study was performed on CaCoP single crystals using resistivity12. These measurements suggested that the AF order is suppressed with pressure, hinting towards the existence of a quantum critical point (QCP). Moreover, the signature of a second unknown phase was also indicated in the pressurised state, but the details of such phase remain unknown.
In order to confirm and further comprehend the high pressured states, we have conducted pressure dependent SR measurements on the series of SrCaCoP powder samples, including , 0.9, 0.8 and 0.7. The overall results are summarised in form of a composition-pressure-temperature phase diagram in Fig. 7. A strong pressure dependence is observed for the compound for which the magnetic order is completely suppressed around kbar. This suppression is associated with co-existence of magnetic order and disorder just below , for which the origin is discussed below. Given that SR is highly sensitive to magnetic fields and to magnetic volume fractions, any subtle magnetic transition can be detected and characterized in detail.
Results
Series of SR measurements on SrCaCoP are presented as a function of pressure, temperature and chemical composition ( 1, 0.9, 0.8 and 0.7). In particular, measurements in weak transverse field (TF) configuration are used in other to estimate the phase boundaries, while zero field (ZF) measurements are employed to deduce the detailed magnetic ground state. Transverse refers to the direction of the externally applied field, which is perpendicular with respect to the initial muon spin polarisation.
Zero field
Figure 1 displays the collected ZF SR time spectra at K for the compositions , 0.9, 0.8 and 0.7 as a function of pressure. A strong pressure dependence is observed for the compound. Indeed, several oscillations are present in the time spectra for kbar, where the number of frequencies as well as the amplitude of the oscillations decreases with the applied pressure. Such oscillations are fully suppressed for kbar. A much more moderate pressure dependence is observed for the other compositions ( 0.9, 0.8 and 0.7). Consequently, it is initially clear that the ZF time spectra has a strong x dependence, while the most evident hydrostatic pressure effect seem to be limited to compound. In order to more systematically characterize the detailed changes across x and p, the time spectra were fitted using a combination of several exponentially relaxing oscillations, an exponential and a static Gaussian Kubo-Toyabe (SGKT):
| 1 |
where is the initial asymmetry, determined by the instrument, and is the muon spin polarisation function in ZF configuration. In detail, the number of oscillations, and , where used for the compositions and , respectively, while was used for both and . The number of oscillations, i.e. n, depends on the number of magnetically different muon site in the compound. It depends on the detailed coupling between the internal magnetic field, generated by the magnetic structure, and on the available crystallographic muon site, which depends on the crystal structure. , , and are the asymmetry, precession frequency, phase and relaxation rate for the internal field component that is perpendicular with respect to the initial muon spin polarisation. and on the other hand are the asymmetry and relaxation rate of the so called tail component, i.e. the internal field component that is parallel to the initial muon spin polarisation. In a perfect powder that is magnetically ordered, 2/3 of the internal field components are expected to be perpendicular while 1/3 of the internal field components are parallel to the initial muon spin polarization (due to the so-called ’powder average’). , and are accounting for the new high pressure paramagnetic (PM) phase of the compound that is not magnetically ordered (Fig. 1a). , and on the other hand are the asymmetry, the field distribution width and the corresponding exponential relaxation rate of the static Gaussian KT, represented by , of the pressure cell (PC). Here, originates from isotropically distributed magnetic moments while the exponential accounts for additional relaxation present on top of it13. Such description holds for when the internal field is composed of two separate and independent magnetic field origins. In such case, the Fourier transform of the convolution of each field distribution is the product of each polarisation functions. In other words, the KT accounts for the field distribution created by isotropically distributed nuclear moments while the exponential accounts for additional relaxation posed by highly fluctuating electronic moments.
Figure 1.
Zero field time spectra collected at selected pressures at K for the SrCaCoP compounds: (a) , (b) , (c) and (d) . The solid lines represents fits using Eq. (1). Each spectra have been shifted vertically for clarity of display.
The constraint (i.e. 1/3 vs. 2/3) was set for the fitting procedures using Eq. (1), in order to separate the various contributions present for . Moreover, the compounds are known to exhibit a commensurate magnetic order. Indeed, , and are obtained for the compound at , consistent with a commensurate order. Therefore, a common phase was set, i.e. , across all oscillations for all measured pressures. Using the described fitting procedure, the pressure dependencies of the obtained fit parameters for the compound are shown in Fig. 2.
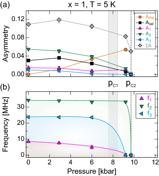
Figure 2.

Pressure dependent fit parameters, collected at K, of the compound obtained through Eq. (1). For reference, has been computed and is included as well. The solid lines are guide to the eye while the vertical shaded area and dashed line indicate the critical pressures, kbar and kbar.
At ambient pressure is obtained, suggesting that the constraint set for higher pressures is valid. For higher pressures, the asymmetries decrease gradually as the component increases. It should be noted that the total sample asymmetry () shows a fairly constant behaviour up to about 6 kbar. At higher pressures, a sudden decrease is observed. The origin of this behaviour is highlighted in Fig. 3. As clearly seen, a significant missing fraction presents itself at higher pressures. Since a missing fraction cannot be fitted (since it lies outside the accessible time frame of the SR instrument), the total sample asymmetry () exhibits a decrease as a function of pressure. The origin of this missing fraction is discussed below. on the other hand represents the volumic fraction of non-magnetically ordered state, e.g. paramagnetic or spin liquid. Such high pressure state is discussed in “Discussion”.
Figure 3.

Zero field time spectra collected at and 35 K at kbar (yellow and blue) and K at kbar (green) for the compound. The solid lines represents fits using Eq. (1) with but with MHz for K and for K. The horizontal solid black line is the estimated while the missing fraction () is the band between the dashed black horizontal line. The kbar spectra was collected using a different cryostat and the spectra were shifted down by 0.13 units to match the estimated for the nominal cryostat of this study (the specific value of is cryostat dependent).
Pressure has a weak effect on the order parameter of the system (Fig. 2b), which is the precession frequency and corresponds to the local magnetic field at the muon site. The main frequency, , maintains more or less the value at ambient pressure ( MHz) up to 9.2 kbar ( MHz). We may initially define the pressure point at which all precession frequencies are absent as the critical pressure, kbar. We will further refine such critical point based on the TF measurement presented below. It is noted that the 24 MHz () frequency was not present in the previous ambient pressure study11. Most likely, the sample of the present study is both much larger and of higher quality, resulting in that even the minor frequency can be distinguished. That being said, the inclusion of such frequency does not change/alter the interpretation of this or the previous study.
Two of the precession frequencies, and , drop to 0 MHz already at kbar, i.e. prior to the vanishing of the component at kbar. It is however clear that the asymmetry () still poses non-zero values. In other words, the depolarisation of this component is a fast exponential instead of an oscillation. This behaviour suggests a widening of the internal field distribution width in which the oscillation becomes highly damped. This would be consistent with a spin reorientation, structural transition (i.e. muon sites changes) and/or it could reflect a difficulty in fitting small asymmetries. However, we will later show (below) that this effect is indeed a true sample effect and not related to a fitting problem.
While it is not shown, the relaxation rates, , show a weak pressure dependence. Roughly put, a value of s is obtained for all oscillation across all pressures. on the other hand exhibits low or values close to 0 across all pressures, suggesting a static magnetic ground state. on the other hand increases for kbar, suggesting that the high pressure phase is dynamic in origin.
A significant fraction is missing for the compound at higher pressures, i.e. the total asymmetry does not add up to values close to . This is directly highlighted in Fig. 3, which shows the ZF time spectra collected at 5 and 35 K for 9.7 kbar and at K for kbar. The 5 K time spectrum is identical to the one shown in Fig. 1a. While the 5 K time spectrum show no significant signature, the 35 K time spectrum manifests a fast relaxing exponential. Perhaps a dip/minimum is present in Fig. 3 around s, suggesting that the polarisation function is more of an oscillation rather than an exponential. However, a fit with a cosine function yields unreasonably high asymmetry values. Regardless, the fraction of this fast exponential decreases with decreasing temperature. Such behaviour is the origin behind the complex temperature dependence of at lower temperatures (Fig. 6a). In fact, resistivity measurements under pressure indicated a sudden change in the derivative of the resistivity around this temperature and pressure12 and is discussed in “Discussion”.
Figure 6.

Temperature and pressure dependence of for the compound, obtained using Eq. (2). The solid lines are fits using the sigmoidal function, while the vertical shaded area indicate an approximative region for the transition temperature K (see text and Fig. 7 for further details).
Typically, missing fractions are associated with muonium formations14–16 or by a presence of quasi-static wide field distribution. Since the compound is metallic even under pressure, muonium formation is unlikely. Instead, the missing fraction originates from a wide internal field distribution yielding oscillations and fluctuations outside the time resolution of SR. Such a scenario is consistent with having muon sites close to CoP tetrahedra layers giving wide field distributions due to slowly fluctuating Co d-moments. Similar missing fraction effect was observed e.g. in the 2D AF magnet NaNiO17, which was shown to originate from quasi static wide field distributions at the muon site close to the Ni-O octahedra. In other words, the suppression of the oscillating asymmetries (Fig. 2a) is consistent with changes in the magnetic characteristics at high pressure such that the magnetic field distributions at the muon site increases. Given the crystal flexibility of the compound, it could also be that additional energetically favorable crystalline muon sites becomes available under higher pressure instead (i.e. the crystalline muon site changes). Such assertion is ideally confirmed by a combination of high pressure XRD and DFT calculations. Regardless of the driver for the missing fraction, it is clear that its origin is related to intrinsic magnetism of the sample since the missing fraction is in fact absent in the kbar measurement (Figs. 3 and 6).
For the sake of completeness, the pressure dependent precession frequencies for all measured x is presented in Fig. 4. The frequencies of the compound are the same as presented in Fig. 2b. The main frequency of about 34 MHz is present for . Such frequency is a consequence of the long range order present at ambient pressure for 11. At however, an additional frequency appears around 2 MHz. Such frequency is concluded to be associated with a short-range order based on the fact that the same frequency but as a highly damped oscillation is present for the sample11. Perhaps exhibits a co-existence of short and long range order, similar to in the isostructural compound LaCoP18. Regardless though, only weak shifts in the precession frequencies are observed as a function of pressure for . Similarly, the asymmetries and depolarisation rates show only weak pressure dependence, as already hinted directly from Fig. 1b–d.
Figure 4.

Pressure dependent precession frequencies, collected at K, of SrCaCoP compounds obtained through Eq. (1): (light pink), 0.9 (black), 0.8 (blue) and 0.7 (green). The solid lines are guide to the eye.
Transverse field
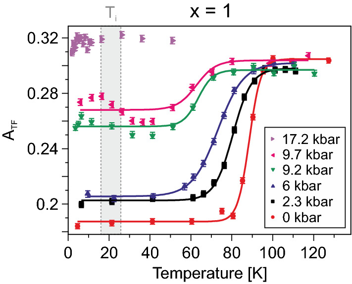
In order to gain a more detailed insights of the temperature dependent behaviour, the series of compounds were also studied under TF configuration for selected pressures. Figure 5 shows the collected TF ( Oe) SR time spectra from the compound at for selected temperatures. Regardless of temperature, a single distinct oscillation of about 0.7 MHz is observed, corresponding to the externally applied field of 50 Oe. A strong temperature dependence in the amplitude is seen, reflecting the formation of static internal magnetic fields. Moreover, the time spectra exhibits a positive shift in asymmetry at lower temperatures. Therefore, the TF time spectra were fitted using a combination of one exponentially relaxing oscillation together with a non oscillating exponential:
| 2 |
where is the initial asymmetry determined by the instrument and is the muon spin polarisation function in TF configuration. , , and are the asymmetry, frequency, phase and depolarisation rate resulting from the applied TF, while and are the asymmetry and the relaxation rate resulting from internal magnetic field components, that is mostly parallel to the initial muon spin. The perpendicular internal magnetic field components are excluded from Eq. (2), since such contribution are usually difficult to model in TF configuration due to the low statistics and the binning of the data. Excluding such contribution does not affect the fit results nor the interpretation of the data.
Figure 5.

Transverse field (TF = 50 Oe) SR time spectra collected for CaCoP () at kbar for selected temperatures. The solid lines represents fits with Eq. (2).
The temperature dependencies of the obtained TF asymmetry using Eq. (2) are displayed in Fig. 6 for the compound. has a temperature dependence expected for a magnetically ordered sample. At low temperatures experiences a temperature independent behaviour. As the temperature increases, an increase in is observed and full asymmetry () is recovered. Ideally, the normalized / should correspond to the paramagnetic volume fraction of the system. In this case, it is in fact the non-magnetically ordered volume fraction of the sample together with the fraction of muons stopping inside the pressure cell. In other words, the increase of corresponds to the transition temperature () in which the sample changes from a magnetically ordered to disordered state. An accurate value of is obtained by employing sigmoidal fit function as a function of temperature for each measured pressure. The pressure dependent values [i.e. (] are then utilized to contruct the detailed phase diagram presented in Fig. 7. Intriguingly, show a complex temperature dependence below for the measurements performed at and 9.7 kbar. In fact some of the TF asymmetry () seems to be recovered around K (Fig. 6). Such complexity is reflecting the fact that an initial faster relaxation is present at higher temperature in ZF (Fig. 3). That still exhibits a drop at is evidence of static internal field formation, which in ZF configuration resulted into a missing fraction as described above. As mentioned, this fraction stems from muons experiencing very broad field distribution width. At the highest pressure on the other hand, no significant temperature dependence is observed, suggesting the absence of magnetic order at lower temperatures. A similar complicated behaviour is not observed in any of the other () compounds.
Phase diagram
Based on the presented pressure dependent results, and from previous ambient pressure study11, a T/p/x phase diagram for SrCaCoP can be constructed (Fig. 7a). In general, the detailed ground state is estimated from the ZF measurements while the temperature boundary is estimated from TF configuration. The transition temperatures, based on TF measurements, are presented in Fig. 7 as a function of pressure. As already pointed out, a strong pressure dependence is observed for the compound. The transition temperature decreases linearly with pressure, until it is completely and suddenly suppressed around kbar. Such critical pressure is fully coherent with the ZF frequency dependence presented above in Fig. 2b. Further, both ZF (Fig. 2) and TF (Fig. 6) data show signatures for additional phases (FMI- and FMI-) appearing already at pressures in the vicinity of kbar and K. The origin of such phases are further discussed below in “Discussion”.
A linear like decrease in the transition temperature is also observed for the and compounds (Fig. 7b). While the magnetic order is persistent within the current pressure range, most likely, the long range order will be destroyed at higher pressures. The pressure dependence of the compound, which is on the left side of the dome (Fig. 7), is opposite from the other ones. Instead of a decrease in transition temperature, the pressure slightly increases , suggesting that the magnetic order is stabilized under pressure. Such behaviour is consistent with the results obtained at ambient pressure, where the of is lower than that of , at which point a long range magnetic order is stabilised11. In other words, chemical pressure (and hydrostatic pressure) stabilises the magnetic order for until a long range order is stabilised. That being said, the ZF time spectra (Fig. 1d) and the fit results show no apparent change with pressure. Therefore, a short range order can be expected up to at least 20 kbar for the compound.
Discussion
Given that no significant pressure dependence is observed for compounds, we may attribute the high pressure ground state (up to 20 kbar) to be the same as in ambient pressure. Previous ambient pressure SR study11 as a function of x determined the formation of short range AF order for , which develops into an long range AF order for higher x. Such finding is consistent with this study, where distinct oscillations are present for compounds, but only a single highly damped oscillation is present for the compound. The magnetic order formation was found to be strongly correlated with the distance from the Co ions and the adjacent CoP planes (); a linear decrease in is observed from about up to about 11.
If the magnetic order is truly only dependent on , then one would expect the formation of long range order at higher pressures for the compound. Instead, only small pressure dependence is observed, even though the seems slightly more stable at higher pressures. This would suggest that the exchange mechanism that stabilises the magnetic order does not depend only on . Of course, we should acknowledge the fact that the pressure applied in this study is hydrostatic and not uni-axial, even though chemical pressure can be considered equivalent to hydrostatic pressure. However, it is of course possible that a LRO is in fact stabilised at even higher pressures. Such premise may be confirmed by a pressure study on the compound, which is closer to the LRO phase and should yield lower critical pressures. It is noted that while the frequency of the short range ordered phase is small, the highly damped nature does not stem from magnetic inhomogeniousity. Instead, the highly damped nature stems from a broad field distribution due to SRO formation, whereas the value of the frequency itself suggests that the internal field at the muon site is small.
The compound on the other hand exhibits a strong pressure dependence, where the external pressure destabilizes the magnetic order. Such destabilizing with pressure was also observed for and 0.8 compounds, even though it is much weaker. A simple and rough extrapolation would suggest that the long range order is fully suppressed at around 50 and 100 kbar for and 0.8, respectively. The much weaker pressure dependence of the and 0.8 compounds supports the fact that the magnetic order may be established by exchanges other than simply the inter-plane Co ion interaction.
The pressure clearly induces a transition in the compound, from magnetically long-range order to a magnetically disordered state. Suppression of magnetic order under applied external pressure is a signature of quantum criticality19,20. Of course, for such scenario one would expect that would be more smoothly driven towards K, which is not really seen here. That being said, the related compound CrRhSi21 or the d-electron antiferromagnet CrV22 were both shown to exhibit a second order nature, despite a similar abrupt decrease. Figure 2b shows the order parameter evolution as a function of pressure for the compound. Here, an abrupt decrease of the order parameter is observed between 9.2 and 9.7 kbar. In other words, the suppression of the magnetic order under pressure is not likely to be quantum critical. This is also coherent with the fact that Fermi liquid behaviour is observed through out the pressure range, based on resistivity measurements12. Instead, the transition is first order in nature and thus most likely driven by a structural component. In fact, similar compounds have been shown to undergo first order transition under pressure, e.g. EuCoP and SrNiP but at higher temperatures23.
Since a missing fraction is only present just below and not above, we may conclude that the origin behind the missing fraction is magnetic. In other words, the missing fraction is stemming from changes in the magnetic environment. Such behaviour would be consistent with the sample undergoing AF-FM transition under pressure above 6 kbar ( kbar). Typically, missing fractions are also more commonly observed for FM structures rather than in AF. Although, this is not a general rule. One could perhaps expect FM correlations to emerge under pressure at lower temperatures given that FM correlations seem to be present at ambient pressure above 24. In fact, magnetisation measurements as a function of magnetic fields10 suggested small values of spontaneous magnetization to be present for (/Co for ). The ground state was asserted to be a slightly complicated AF order with a small FM component. A similar FM component was not observed for . Since the ground states of these compounds are dependent on the interlayer coupling, it may be that hydrostatic pressure induces similar FM interaction on the compound, which result in FM island formation under pressure.
The related compound LaCoP is an itinerant FM at ambient pressure25,26. While any pressure dependent measurement is missing for LaCoP, a second phase emerged in the itinerant FM UGe at lower temperature close to 27, similar to what is observed for the compound. Quantum critical points for antiferromagnets are widely studied and are in general well understood. The situation for FM compounds is however not as straight forward. Even though there are no direct limitation for a FM to exhibit a QCP28, many real materials show instead first order transitions at low temperatures29,30. In fact, theoretical studies have suggested that itinerant FM compounds at K undergo first order transitions31,32 in order to minimize the free energy. Given that FM islands are formed in the compound close to , the transition may be driven by correlation effects that minimises the free energy31. Since a tricritical point is expected close to the first order transition, it will be interesting to perform a magnetic field dependence on the compound close to at low temperatures.
Resistivity measurements on the x=1 compound under pressure revealed a change in its derivative at 8.9 kbar below 50 K12, which was slowly suppressed with pressure. While the details and the origin remained unsolved, such feature is here clearly revealed to be of magnetic origin. This is based on the fact that an additional exponential component manifests the ZF time spectrum (Fig. 3) and that (Fig. 6) reveals an anomaly around this pressure ( kbar) and temperature (which in turn is a consequence of such exponential). Since the amount of missing fraction is temperature independent at kbar (Fig. 3), the initial faster relaxation at kbar should yield some clues regarding the second phase that manifests itself at low temperatures (below K) and above kbar.
In order to comprehend the second phase present at high pressure and low temperature, it is imperative to unveil the microscopic origin of the exponential. Unfortunately, the presence of the missing fraction makes the determination challenging. Regardless, lets first point out that there exist mixed fractions at this pressure: a missing fraction, a disordered phase () and a fraction of muons depolarising in a fast exponential manner, that also changes with temperature. With this in mind, we shall propose few scenarios to the origin of the exponential. (1) The missing fraction is resulting from (ferro)magnetic islands (FMI). In this case, part of the muons will be situated in the disordered phase that is relatively close to two separate yet correlated magnetic islands. The inter-island correlation should depolarise the moun ensemble in an exponential manner that is different from the disordered phase. This scenario implies that some islands merge at lower temperatures (below K), or the inter-island correlations are suppressed at lower temperatures for reasons unknown. (2) The exponential is a reminiscence of the missing fraction. It might be that oscillations/fluctuations hidden as a missing fraction is “spilled over” to the time window of SR. This would imply that the correlation times changes as the temperature is lowered. In other words, the missing fraction is somewhat fluctuating at higher temperatures, that becomes more static at lower temperature. (3) The muon site coordinates might have temperature dependencies at this pressure. Similar to how the muon sites can be pressure dependent, the temperature dependence of it could result in re-population among different sites. This implies that the low temperature phase and high pressure phase is driven by a structural component or a spin structure reorientation.
Given the structural and magnetic degree of freedom present in the compound, it may be that several processes discussed above are viable. In order to discern one scenario from another, it is of high interest to perform high pressure XRD, high pressure magnetisation and neutron diffraction. Although, since the magnetic phases seem to form island like structures, detailed experimental study might prove difficult. We wish to stress that the complex temperature dependence of was not observed for the compounds. In other words, impure samples or chemical disorder are not likely the underlying reason behind the features observed here. Especially since the pure compounds are in general cleaner than chemically doped samples. Here, we should emphasize that SR is able to detect magnetic volume fractions in a sample. To conclude, we propose that the intermediate phase emerging above kbar consists of ferromagnetic islands (FMI) existing within a disordered phase. Further, such FMI undergo an additional transition between a high- (FMI-) and low-temperature (FMI-) state at K. It should also be emphasized that the values of kbar and K are approximated from a combination of ZF/TF SR data (with limited number of pressure points) in combination with the resistivity data from Ref.12. The presented numbers should therefore be taken as estimates and further detailed studies are necessary to more accurately determine the phase boundaries. However, kbar could be considered slightly more well defined.
Finally, we wish to discuss nature of the high pressure phase (above kbar). The resistivity above such critical pressure revealed a hump in the data12. Such ’hump temperature’ was increasing with higher pressures. One suggestion was that it may be related to a broad magnetic transition, like seen in the related compounds CaNiCoP33, BaFeCrAs34 and BaFeMnAs35. However, such conclusion can be readily excluded based on this SR study. Instead, it might be that strong electron coupling is behind the such resistivity hump, like in NbSn and NbSb36, which was also one of the suggestion of Ref.12.
Conclusions
The pressure and temperate dependence on the magnetic nature of SrCaCoP for , 0.9, 0.8 and 0.7 has been investigated by muon spin rotation, relaxation and resonance (SR). The weak pressure dependencies for the compounds suggests that the rich phase diagram of SrCaCoP at ambient pressure may not only be due to chemical pressure effects. The compound on the other hand exhibits strong pressure effects, where the long range magnetic order present at ambient pressure become fully suppressed at kbar. Intriguingly, two additional phases emerge already just below the critical region, occupying the phase space above kbar and below kbar. Since SR is sensitive to magnetic volume fractions, such phase was proposed to be (ferro)magnetic islands (FMI) co-existing within a disordered phase. It is also revealed that such phase consists of a high- (FMI-) and a low-temperature (FMI-) region, respectively, with a phase boundary at K.
Methods
SrCaCoP polycrystalline samples were synthesised in a two step reaction from the base elements; P, Sr, Ca, and Co. At first, Sr, Ca, Co were individually put together with P in an evacuated quartz tube to facilitate a solid state reaction at 800 °C and 700 °C to produce SrP, CaP and CoP. SrCaCoP was then synthesized via a solid-state reaction between SrP, CaP, and CoP at 1000C for 20 hours in Ar atmosphere. Detailed information about the synthesis protocol is found in Ref.24.
The SR measurements were performed at the GPD instrument on the E1 beamline at the SS muon source of Paul Scherrer Institute (PSI), Switzerland. Hydrostatic pressures up to 23 kbar were achieved by using a piston cylinder cell made of MP35 alloys. Temperatures down to K were achieved using a He flow cryostat. Some of the measurements were conducted using a He-3 insert to reach temperatures K. Three pressed pellets of the powder samples were stacked (5.9 mm diameter and 13 mm total height) for each measurement and inserted into the pressure cell. Daphne oil was used as the pressure medium in order to achieve the hydrostatic pressure. The pressure of the sample at low temperatures was accurately determined via AC susceptibility measurements of the superconducting transition temperature for a small indium wire located at the bottom of (inside) the pressure cell13,19,37. Finally, the free analysis software musrfit38 was used to analyzed the SR data.
Acknowledgements
This research was supported by the Swedish Research Council (VR) via a Neutron Project Grant (Dnr. 2021-06157) and the Carl Tryggers Foundation for Scientific Research (CTS-18:272). D.A. acknowledges financial support from the Romanian UEFISCDI project PN-III-P4-ID-PCCF-2016-0112, Contract Nr. 6/2018. Y.S. is funded by VR through a Starting Grant (Dnr. 2017-05078) as well as the Chalmers Area of Advance-Materials Science. J.S. acknowledges support from Japan Society for the Promotion Science (JSPS) KAKENHI Grants No. JP18H01863 and No. JP20K21149.
Author contributions
The experiment was conceived by M.M. and conducted by O.K.F., D.A., Y.S., Z.G., Z.S., R.K., J.S. and M.M. The samples were grown by M.I., C.M. and K.Y. O.K.F. analysed the data and wrote the manuscript. All authors contributed to the final draft.
Funding
Open access funding provided by Royal Institute of Technology.
Data availibility
All data needed to evaluate the conclusions in the paper are present in the paper. Additional data requests should be addressed to the corresponding authors.
Competing interests
The authors declare no competing interests.
Footnotes
Publisher's note
Springer Nature remains neutral with regard to jurisdictional claims in published maps and institutional affiliations.
References
- 1.Johrendt D, Felser C, Jepsen O, Andersen OK, Mewis A, Rouxel J. LMTO band structure calculations of ThCr2Si2-type transition metal compounds. J. Solid State Chem. 1997;130:254. doi: 10.1006/jssc.1997.7300. [DOI] [Google Scholar]
- 2.Reehuis M, Jeitschko W, Kotzyba G, Zimmer B, Hu X. Antiferromagnetic order in the ThCr2Si2 type phosphides CaCo2P2 and CeCo2P2. J. Alloys Compd. 1998;266:54. doi: 10.1016/S0925-8388(97)00486-6. [DOI] [Google Scholar]
- 3.Hoffmann R, Zheng C. Making and breaking bonds in the solid state: The ThCr2Si2 structure. J. Phys. Chem. 2002;89:4175. doi: 10.1021/j100266a007. [DOI] [Google Scholar]
- 4.Rotter M, Tegel M, Johrendt D, Schellenberg I, Hermes W, Pöttgen R. Spin-density-wave anomaly at 140 K in the ternary iron arsenide . Phys. Rev. B. 2008;78:020503. doi: 10.1103/PhysRevB.78.020503. [DOI] [Google Scholar]
- 5.Tan X, Garlea VO, Kovnir K, Thompson CM, Xu T, Cao H, Chai P, Tener ZP, Yan S, Xiong P, Shatruk M. Complex magnetic phase diagram with multistep spin-flop transitions in . Phys. Rev. B. 2017;95:024428. doi: 10.1103/PhysRevB.95.024428. [DOI] [Google Scholar]
- 6.Rotter M, Tegel M, Johrendt D. Superconductivity at 38 K in the Iron Arsenide . Phys. Rev. Lett. 2008;101:107006. doi: 10.1103/PhysRevLett.101.107006. [DOI] [PubMed] [Google Scholar]
- 7.Torikachvili MS, Bud’ko SL, Ni N, Canfield PC. Pressure induced superconductivity in . Phys. Rev. Lett. 2008;101:057006. doi: 10.1103/PhysRevLett.101.057006. [DOI] [PubMed] [Google Scholar]
- 8.Reehuis M, Jeitschko W. Structure and magnetic properties of the phosphides CaCo2P2 and LnT2P2 with ThCr2Si2 structure and LnTP with PbFCl structure (Ln = Lanthanoids, T = Fe Co, Ni) J. Phys. Chem. Solids. 1990;51:961. doi: 10.1016/0022-3697(90)90039-I. [DOI] [Google Scholar]
- 9.Kreyssig A, Green MA, Lee Y, Samolyuk GD, Zajdel P, Lynn JW, Bud’ko SL, Torikachvili MS, Ni N, Nandi S, Leão JB, Poulton SJ, Argyriou DN, Harmon BN, McQueeney RJ, Canfield PC, Goldman AI. Pressure-induced volume-collapsed tetragonal phase of as seen via neutron scattering. Phys. Rev. B. 2008;78:184517. doi: 10.1103/PhysRevB.78.184517. [DOI] [Google Scholar]
- 10.Jia S, Williams AJ, Stephens PW, Cava RJ. Lattice collapse and the magnetic phase diagram of . Phys. Rev. B. 2009;80:165107. doi: 10.1103/PhysRevB.80.165107. [DOI] [Google Scholar]
- 11.Sugiyama J, et al. Variation of magnetic ground state of determined with SR. Phys. Rev. B. 2015;91:69. doi: 10.1103/PhysRevB.91.144423. [DOI] [Google Scholar]
- 12.Baumbach RE, Sidorov VA, Lu X, Ghimire NJ, Ronning F, Scott BL, Williams DJ, Bauer ED, Thompson JD. Suppression of antiferromagnetism by pressure in . Phys. Rev. B. 2014;89:094408. doi: 10.1103/PhysRevB.89.094408. [DOI] [Google Scholar]
- 13.Khasanov R, et al. High pressure research using muons at the Paul Scherrer Institute. High Press. Res. 2016;36:140. doi: 10.1080/08957959.2016.1173690. [DOI] [Google Scholar]
- 14.Boekema C, Chan KC, Lichti RL, Denison AB, Cooke DW, Heffner RH, Hutson RL, Schillaci ME. Muon bonding versus muonium formation: Muon-spin-relaxation in -Al2O3. Hyperfine Interact. 1986;32:667. doi: 10.1007/BF02394971. [DOI] [Google Scholar]
- 15.Cox SFJ, Lord JS, Cottrell SP, Gil JM, Alberto HV, Keren A, Prabhakaran D, Scheuermann R, Stoykov A. Oxide muonics: I. Modelling the electrical activity of hydrogen in semiconducting oxides. J. Phys. Condens. Matter. 2006;18:1061. doi: 10.1088/0953-8984/18/3/021. [DOI] [Google Scholar]
- 16.Forslund, O. K. Your muonium is -drogen. in Proceedings of the 14th International Conference on Muon Spin Rotation, Relaxation and Resonance (SR2017). 10.7566/JPSCP.21.011066 (2017).
- 17.Forslund OK, Ohta H, Kamazawa K, Stubbs SL, Ofer O, Månsson M, Michioka C, Yoshimura K, Hitti B, Arseneau D, Morris GD, Ansaldo EJ, Brewer JH, Sugiyama J. Revisiting the -type antiferromagnet with muon spin rotation measurements and density functional theory calculations. Phys. Rev. B. 2020;102:184412. doi: 10.1103/PhysRevB.102.184412. [DOI] [Google Scholar]
- 18.Forslund OK, Andreica D, Ohta H, Imai M, Michioka C, Yoshimura K, Månsson M, Sugiyama J. Co-existence of short- and long-range magnetic order in LaCo2P2. Phys. Scr. 2021;96:125864. doi: 10.1088/1402-4896/ac3cf9. [DOI] [Google Scholar]
- 19.Forslund OK, Andreica D, Sassa Y, Nozaki H, Umegaki I, Nocerino E, Jonsson V, Tjernberg O, Guguchia Z, Shermadini Z, Khasanov R, Isobe M, Takagi H, Ueda Y, Sugiyama J, Månsson M. Magnetic phase diagram of K2Cr8O16 clarified by high-pressure muon spin spectroscopy. Sci. Rep. 2019;9:1141. doi: 10.1038/s41598-018-37844-5. [DOI] [PMC free article] [PubMed] [Google Scholar]
- 20.Sugiyama J, Andreica D, Forslund OK, Nocerino E, Matsubara N, Sassa Y, Guguchia Z, Khasanov R, Pratt FL, Nakamura H, Månsson M. Magnetic phase boundary of clarified with high-pressure . Phys. Rev. B. 2020;101:174403. doi: 10.1103/PhysRevB.101.174403. [DOI] [Google Scholar]
- 21.Movshovich, R., Graf, T., Mandrus, D., Hundley, M., Thompson, J., Fisher, R., Phillips, N., & Smith, J. Response of CeRh2Si2 to pressure, Phys. B Condens. Matter 223-224, 126. 10.1016/0921-4526(96)00058-0 (1996) (proceedings of the international conference on strongly correlated electron systems).
- 22.Lee M, Husmann A, Rosenbaum TF, Aeppli G. High resolution study of magnetic ordering at absolute zero. Phys. Rev. Lett. 2004;92:187201. doi: 10.1103/PhysRevLett.92.187201. [DOI] [PubMed] [Google Scholar]
- 23.Huhnt C, Schlabitz W, Wurth A, Mewis A, Reehuis M. First-order phase transitions in EuCoP and SrNiP. Phys. Rev. B. 1997;56:13796. doi: 10.1103/PhysRevB.56.13796. [DOI] [Google Scholar]
- 24.Imai M, Michioka C, Ohta H, Matsuo A, Kindo K, Ueda H, Yoshimura K. Anomalous itinerant-electron metamagnetic transition in the layered system. Phys. Rev. B. 2014;90:014407. doi: 10.1103/PhysRevB.90.014407. [DOI] [Google Scholar]
- 25.Mörsen E, Mosel B, Müller-Warmuth W, Reehuis M, Jeitschko W. Mössbauer and magnetic susceptibility investigations of strontium, lanthanum and europium transition metal phosphides with ThCr2Si2 type structure. J. Phys. Chem. Solids. 1988;49:785. doi: 10.1016/0022-3697(88)90030-3. [DOI] [Google Scholar]
- 26.Reehuis M, Ritter C, Ballou R, Jeitschko W. Ferromagnetism in the ThCr2Si2 type phosphide LaCo2P2. J. Magnet. Magnet. Mater. 1994;138:85. doi: 10.1016/0304-8853(94)90402-2. [DOI] [Google Scholar]
- 27.Pfleiderer C, Huxley AD. Pressure dependence of the magnetization in the ferromagnetic superconductor . Phys. Rev. Lett. 2002;89:147005. doi: 10.1103/PhysRevLett.89.147005. [DOI] [PubMed] [Google Scholar]
- 28.Steppke A, Küchler R, Lausberg S, Lengyel E, Steinke L, Borth R, Lühmann T, Krellner C, Nicklas M, Geibel C, Steglich F, Brando M. Ferromagnetic quantum critical point in the heavy-fermion metal . Science. 2013;339:933. doi: 10.1126/science.1230583. [DOI] [PubMed] [Google Scholar]
- 29.Pfleiderer C, McMullan GJ, Julian SR, Lonzarich GG. Magnetic quantum phase transition in MnSi under hydrostatic pressure. Phys. Rev. B. 1997;55:8330. doi: 10.1103/PhysRevB.55.8330. [DOI] [Google Scholar]
- 30.Uhlarz M, Pfleiderer C, Hayden SM. Quantum phase transitions in the itinerant ferromagnet . Phys. Rev. Lett. 2004;93:256404. doi: 10.1103/PhysRevLett.93.256404. [DOI] [PubMed] [Google Scholar]
- 31.Belitz D, Kirkpatrick TR, Vojta T. First order transitions and multicritical points in weak itinerant ferromagnets. Phys. Rev. Lett. 1999;82:4707. doi: 10.1103/PhysRevLett.82.4707. [DOI] [Google Scholar]
- 32.Chubukov AV, Pépin C, Rech J. Instability of the quantum-critical point of itinerant ferromagnets. Phys. Rev. Lett. 2004;92:147003. doi: 10.1103/PhysRevLett.92.147003. [DOI] [PubMed] [Google Scholar]
- 33.Jia S, Chi S, Lynn JW, Cava RJ. Magnetic and structural properties of and . Phys. Rev. B. 2010;81:214446. doi: 10.1103/PhysRevB.81.214446. [DOI] [Google Scholar]
- 34.Marty K, Christianson AD, Wang CH, Matsuda M, Cao H, VanBebber LH, Zarestky JL, Singh DJ, Sefat AS, Lumsden MD. Competing magnetic ground states in nonsuperconducting Ba() as seen via neutron diffraction. Phys. Rev. B. 2011;83:060509. doi: 10.1103/PhysRevB.83.060509. [DOI] [Google Scholar]
- 35.Thaler A, Hodovanets H, Torikachvili MS, Ran S, Kracher A, Straszheim W, Yan JQ, Mun E, Canfield PC. Physical and magnetic properties of Ba(FeMn)As single crystals. Phys. Rev. B. 2011;84:144528. doi: 10.1103/PhysRevB.84.144528. [DOI] [Google Scholar]
- 36.Fisk Z, Webb GW. Saturation of the high-temperature normal-state electrical resistivity of superconductors. Phys. Rev. Lett. 1976;36:1084. doi: 10.1103/PhysRevLett.36.1084. [DOI] [Google Scholar]
- 37.Andreica, D. Magnetic Phase Diagram in some Kondo-Lattice Compounds: Microscopic and Macroscopic Studies. Ph.D. Thesis, IPP/ETH-Zurich (2001).
- 38.Suter A, Wojek BM. Musrfit: A free platform-independent framework for SR data analysis. Phys. Proc. 2012;30:69. doi: 10.1016/j.phpro.2012.04.042. [DOI] [Google Scholar]
Associated Data
This section collects any data citations, data availability statements, or supplementary materials included in this article.
Data Availability Statement
All data needed to evaluate the conclusions in the paper are present in the paper. Additional data requests should be addressed to the corresponding authors.


