Abstract
Background
Air pollution is a global, public health emergency. The effect of living in areas with very poor air quality on adolescents’ physical health is largely unknown. The aim of this study was to investigate the prevalence of adverse respiratory health outcomes among adolescents living in a known air pollution hotspot in South Africa.
Methods
Ambient air quality data from 2005 to 2019 for the two areas, Secunda and eMbalenhle, in the Highveld Air Pollution Priority Area in Mpumalanga province, South Africa were gathered and compared against national ambient air pollution standards and the World Health Organization Air Quality Guidelines. In 2019, adolescents attending schools in the areas completed a self-administered questionnaire investigating individual demographics, socio-economic status, health, medical history, and fuel type used in homes. Respiratory health illnesses assessed were doctor-diagnosed hay fever, allergies, frequent cough, wheezing, bronchitis, pneumonia and asthma. The relationship between presence (at least one) or absence (none) of self-reported respiratory illness and risk factors, e.g., fuel use at home, was explored. Logistic regression was used to estimate the odds ratio and 95% confidence interval (CI) of risk factors associated with respiratory illness adjusted for body mass index (measured by field assistants), gender, education level of both parents / guardians and socio-economic status.
Results
Particulate matter and ozone were the two pollutants most frequently exceeding national annual air quality standards in the study area. All 233 adolescent participants were between 13 and 17 years of age. Prevalence of self-reported respiratory symptoms among the participants ranged from 2% for ‘ever’ doctor-diagnosed bronchitis and pneumonia to 42% ever experiencing allergies; wheezing chest was the second most reported symptom (39%). Half (52%) of the adolescents who had respiratory illness were exposed to environmental tobacco smoke in the dwelling. There was a statistically significant difference between the presence or absence of self-reported respiratory illness based on the number of years lived in Secunda or eMbalenhle (p = 0.02). For a one-unit change in the number of years lived in an area, the odds of reporting a respiratory illness increased by a factor of 1.08 (p = 0.025, 95% CI = 1.01–1.16). This association was still statistically significant when the model was adjusted for confounders (p = 0.037).
Conclusions
Adolescents living in air polluted areas experience adverse health impacts Future research should interrogate long-term exposure and health outcomes among adolescents living in the air polluted environment.
Supplementary Information
The online version contains supplementary material available at 10.1186/s12889-022-14497-8.
Keywords: Air quality management, Air pollution, Environmental health, Environmental pollution, Industrial emissions, Public health
Introduction
Air pollution has long been a major environmental risk to human health [1]. Exposure to both outdoor and indoor air pollution can cause a wide range of respiratory illnesses, such as chronic obstructive pulmonary disease, asthma, bronchiolitis, wheezing, shortness of breath, and lung cancer [2, 3]. Long-term exposure to air pollution has also been found to be associated with cardiovascular diseases, nervous system dysfunctions, and cutaneous diseases [4–6].
It is estimated that around 91% of the world’s population reside in places where concentrations of air pollutants exceed the World Health Organization (WHO) recommended guidelines [7]. Pollutants of importance include particulate matter with an aerodynamic diameter of less than 2.5 μm (PM2.5) and less than 10 μm (PM10), ozone (O3), nitrogen dioxide (NO2), and sulphur dioxide (SO2).
The WHO provides recommended guidelines for these pollutants aimed to protect human health; for example, for PM2.5 and PM10 the guideline values are 10 μg/m3 and 20 μg/m3, respectively [7]. The South African National Ambient Air Quality Standards (NAAQS) [8] are less stringent than the WHO guidelines (see Supplementary Table S1). Given the South African climate and diverse natural activities such as veld fires, particularly in the semi-arid Highveld region which experiences dry winter months, the guideline for PM2.5 values would not be realistic in the South African setting [9].
Outdoor pollution is mostly attributed to vehicles, power generation, building heating systems, agriculture / waste incineration, and industry, as well as natural sources such as pollen, windblown dust, plumes from volcanic eruptions and sea salt spray [7]. People in low- or middle-income countries may be reliant on highly-polluting solid fuels such as wood, coal, animal dung, and crop wastes for heating, cooking, and lighting, thereby causing indoor air pollution and increasing the air pollution-related disease burden [10–12].
In November 2007, the Mpumalanga Highveld of South Africa was declared part of the Highveld Air Pollution Priority Area (HPA) by the South African government [13] since ambient air quality in major towns such as eMalahleni, Middelburg, Secunda, Standerton, Edenvale, Boksburg, and Benoni exceeded or were likely to exceed the South African National Ambient Air Quality Standards and that the area requires specific air quality management action to rectify the situation [13]. Satellite data suggests that Mpumalanga is one of the world’s largest air pollution hotspots, with sources including emissions being coal-fired power stations, petrochemical plants, metal smelters, and mines [9, 14, 15]. People living and working in these areas are exposed to air quality that is potentially harmful to their health and well-being [16, 17].
Children and adolescents are particularly vulnerable to environmental risks such as air pollution exposure, even at low levels, due to their developing organs such as lungs and the brain, immune system and metabolic functions, and time spent outdoors, e.g., walking to school or playing sport [18, 19]. Also, children inhale a higher volume of air per body weight than adults [20]. Evidence suggests that PM2.5, PM10, O3 and NO2 are associated with respiratory diseases such as asthma, lung function deficits and air way inflammation in children [19, 21]. However, there is limited research of potential relations between air quality and related respiratory health outcomes among adolescents in South Africa [22–24].
The aim of the study was to understand adolescent respiratory health and associated risk factors among adolescents living in areas characterized by poor ambient air quality in the HPA. The aim was supported by two research objectives: 1) to determine the prevalence of adverse respiratory health outcomes among adolescents living in an air pollution hotspot; and 2) to consider household-related risk factors related to adverse respiratory health outcomes in the adolescents.
Methods
Study population
The study took place in Mpumalanga Province, South Africa, in the areas of Secunda and the adjacent eMbalenhle which are 17.3 km apart (Fig. 1). The town of Secunda has approximately 40,000 residents; (231 persons/km2) and the adjacent community eMbalenhle has approximately 119,000 residents (6050 persons/km2); some 822 people per km2. They are in close proximity to coal-fired power stations, mines, and a coal liquefaction plant. The Govan Mbeki District Municipality, which includes Secunda and eMbalenhle, reported approximately 26.2% unemployment in 2011 [25]. This percentage was higher than the national unemployment of 25% in 2011 [25].
Fig. 1.
Map illustrating the study sites in Mpumalanga province, South Africa. Highveld Air Pollution Priority Area shown in yellow
Ambient air quality assessment
To give a context to the air pollution situation in the study area, ambient air quality data between 2005 and 2019 at three ambient air quality monitoring stations (Table 1) were analysed. One of the stations was in Secunda and two stations were in eMbalenhle. Data were downloaded from the South African Air Quality Information System (SAAQIS) [26] and then underwent quality control procedures.
Table 1.
Ambient air quality monitoring stations in Mpumalanga Province from which air quality data were downloaded via SAAQIS for analyses. Timeframes for which data were considered are inconsistent due to the different data availability from the sites
| Station (Custodian of the station) | Co-ordinates | Type | Timeframe for which data were considered | Pollutants considered |
|---|---|---|---|---|
| Secunda Club Station (Sasol) |
- 26.523518 29.189015 |
Residential – Middle-to-high income | 2005–2019 | PM2.5, PM10, SO2, NO2, O3 |
| Embalenhle Station (SAWS) |
−26.550639 29.079028 |
Residential – Low income | 2008–2019 | PM2.5, PM10, SO2, NO2 |
| Embalenhle Station (Sasol) |
−26.551427 29.112381 |
Residential – Low income | 2016–2019 | PM2.5, PM10, SO2, NO2, O3 |
DFFE Department of Forestry, Fisheries and Environment
The primary pollutants PM2.5, PM10, SO2, NO2 and O3, were considered for compliance with their respective NAAQS (Supplementary Table S1). Compliance to hourly (SO2 and NO2) and daily (PM2.5, PM10, and SO2) standards were assessed by determining the frequency of exceedances of the relevant ambient standard limit value (e.g., four allowed exceedances for daily NAAQS and 88 allowed exceedances for the hourly NAAQS) using the 99th percentile.
A data availability threshold of 75% was applied for the calculation of the averaging periods. For this study and for comparison purposes, the current applicable PM10 and PM2.5 standards were used for all considered years to determine compliance. These standards are the strictest standards South Africa has imposed. Years without data or years that did not pass the data completeness threshold of 75% were considered missing data.
Other Secunda / eMbalenhle monitoring sites (eMbalenhle North and eMbalenhle South on SAAQIS) were excluded from this analysis as they only provided data from ~ 2017 (less than three years) and longer time series were required for this study. Due to the varying levels of data completeness across years, direct comparisons across years for any of the values is not possible.
Data collection
Adolescents attending four schools in Secunda and eMbalenhle in Grades eight to ten who had lived in the study areas for more than 12 months were recruited for the study. Invited schools were from a list of local schools provided to the researchers by a study team working in the same area to prevent overlap and working in the same schools. Principals of the schools were contacted and their consent to perform the study in their schools was obtained.
Adolescents were given the opportunity to accept or decline the invitation to participate. A questionnaire self-completed by the students was used to collect information regarding demographics, socio-economic status, health, medical history and fuel type used in homes. Health outcomes were also considered in this questionnaire (Supplementary Tables S2 – S6). The survey was electronic and was completed on a tablet using Redcap software [27]; a secure web application used to conduct surveys, questionnaires and to manage databases.
Health outcomes
To meet objective 1, respiratory health illnesses included in the questionnaire were hay fever, allergies (i.e., stuffy / itchy / runny nose and watery / itchy eyes), frequent cough, wheezing, bronchitis, pneumonia, and asthma. These symptoms are in keeping with the ISAAC questionnaire. Positive responses were coded as 1 and negative responses were coded as 0.
Risk factors
To meet objective 2, the following were included in the questionnaire: demographics [age, biological sex], socio-economic status [main source of income in the household, education level of both parents/caregivers]; presence or absence of environmental tobacco smoke or pets in the dwelling; duration of time lived in area; and fuel type used in homes [type of fuel (electricity, gas, wood, coal, paraffin, oil, other) used for cooking / heating]. Risk factors were chosen a priori based on literature.
Statistical analyses
Statistical analyses were performed using STATA version 15 [28]. The Pearson chi-square test and Independent t-test were used to determine the relationship between the presence (at least one) or absence (none) of self-reported respiratory illness and categorical and continuous risk factors. Univariable and multivariable Logistic regression were used to estimate the odds ratio (OR) and 95% confidence interval (CI) of risk factors associated with respiratory illness. The risk factor environmental tobacco smoke (ETS) was computed from positive responses for questions relating to whether a parent / guardian or any other family member that smoked in the home. Models were adjusted for following potential confounding factors: age, body mass index (BMI), using height and weight data collected by field assistants, biological sex, education level of both parents / guardians, and socio-economic status. These were selected because previous research has shown that these factors may exacerbate health outcomes and exposure related to air pollution [29–31]. Analyses were done for participants from Secunda and eMbalenhle combined since eMbalenhle constitutes an area of the greater town of Secunda. The final multivariable logistic regression model was evaluated using the Hosmer-Lemeshow goodness of fit test.
Research ethics
Permission was obtained from the Provincial Department of Education as well as the School Principals. The protocol for recruitment, data, and sample collection for the study was approved by the University of Pretoria Research Ethics Committee (22 July 2019, UP17/05/01). Signed informed consent was obtained from the participants’ guardian / caregiver, as well as signed assent from the participants. Only with the approval of both consent and assent did an adolescents participate in the study. Participation was strictly voluntary and determined by the adolescent’s willingness to participate.
Results
Ambient air quality findings
Ambient data were analysed to consider hourly, daily and annual concentrations and findings are given in the Supplementary Files. The annual mean concentrations of the five major pollutants (i.e., PM2.5, PM10, SO2, NO2, and O3) are summarized in Tables 2, 3 and 4. Between 2005 and 2019, the annual PM10 NAAQS (the ‘new’ standard that came into effect on 1 January 2015) was exceeded only once in 2014 at the Club Station in Secunda (Table 3). For the remaining years, the annual average PM10 concentrations were very close to the 40 μg/m3 limit value threshold, but did not exceed it. No other pollutants exceeded the annual NAAQS at Secunda for this period.
Table 2.
Annual mean levels for five air pollutants measured at Secunda Club Station (Sasol) for 2005–2019 (NAAQS exceedances highlighted in bold font; years without data or years that did not pass the data completeness threshold of 75% denoted with “--“)
| Pollutant | NAAQS limit | 2005 | 2006 | 2007 | 2008 | 2009 |
| PM2.5 | 20 μg/m3 | – | – | – | – | – |
| PM10 | 40 μg/m3 | 38 | 35 | 39 | 37 | – |
| SO2 | 19 ppb | 9 | 8 | 6 | – | 8 |
| NO2 | 21 ppb | 7 | – | 11 | 11 | 8 |
| Pollutant | NAAQS limit | 2010 | 2011 | 2012 | 2013 | 2014 |
| PM2.5 | 20 μg/m3 | – | – | 13 | 13 | 15 |
| PM10 | 40 μg/m3 | 30 | 28 | 30 | 33 | 45 |
| SO2 | 19 ppb | 7 | 7 | 8 | 7 | 9 |
| NO2 | 21 ppb | 10 | 10 | 9 | 11 | 14 |
| Pollutant | NAAQS limit | 2015 | 2016 | 2017 | 2018 | 2019 |
| PM2.5 | 20 μg/m3 | – | 16 | – | – | – |
| PM10 | 40 μg/m3 | – | 38 | – | – | – |
| SO2 | 19 ppb | 7 | 8 | – | – | – |
| NO2 | 21 ppb | 11 | 9 | – | – | – |
Table 3.
Annual mean levels for five air pollutants measured at Embalenhle (SAWS) for 2008–2019
| Pollutant | NAAQS limit | 2005 | 2006 | 2007 | 2008 | 2009 |
| PM2.5 | 20 μg/m3 | – | – | – | – | 38 |
| PM10 | 40 μg/m3 | – | – | – | – | 72 |
| SO2 | 19 ppb | – | – | – | – | 8 |
| NO2 | 21 ppb | – | – | – | – | – |
| Pollutant | NAAQS limit | 2010 | 2011 | 2012 | 2013 | 2014 |
| PM2.5 | 20 μg/m3 | 38 | – | 27 | 29 | – |
| PM10 | 40 μg/m3 | 87 | – | 61 | 71 | – |
| SO2 | 19 ppb | 11 | – | 10 | – | 10 |
| NO2 | 21 ppb | – | – | 6 | 12 | 14 |
| Pollutant | NAAQS limit | 2015 | 2016 | 2017 | 2018 | 2019 |
| PM2.5 | 20 μg/m3 | – | – | – | – | – |
| PM10 | 40 μg/m3 | – | – | – | – | – |
| SO2 | 19 ppb | – | 6 | 4 | 1 | 4 |
| NO2 | 21 ppb | – | – | – | – | – |
Table 4.
Annual mean levels for five air pollutants measured at Embalenhle (Sasol) for 2008–2019
| Pollutant | NAAQS limit | 2005 | 2006 | 2007 | 2008 | 2009 |
| PM2.5 | 20 μg/m3 | – | – | – | – | – |
| PM10 | 40 μg/m3 | – | – | – | – | – |
| SO2 | 19 ppb | – | – | – | – | – |
| NO2 | 21 ppb | – | – | – | – | – |
| Pollutant | NAAQS limit | 2010 | 2011 | 2012 | 2013 | 2014 |
| PM2.5 | 20 μg/m3 | – | – | – | – | – |
| PM10 | 40 μg/m3 | – | – | – | – | – |
| SO2 | 19 ppb | – | – | – | – | – |
| NO2 | 21 ppb | – | – | – | – | – |
| Pollutant | NAAQS limit | 2015 | 2016 | 2017 | 2018 | 2019 |
| PM2.5 | 20 μg/m3 | – | 20 | 21 | – | – |
| PM10 | 40 μg/m3 | – | 50 | 53 | – | – |
| SO2 | 19 ppb | – | 7 | 6 | – | – |
| NO2 | 21 ppb | – | – | 12 | – | – |
Annual PM2.5 and PM10 averages measured at the Embalenhle (SAWS) ambient monitoring station between 2009 and 2019 exceeded their respective NAAQS for each year for which the 75% data availability threshold was met (Table 3). No other pollutants exceeded the annual NAAQS at the Embalenhle (SAWS) station for this period.
Data at the Embalenhle (Sasol) monitoring site were only available for two years (2016–2017) (Table 4). Annual PM2.5 and PM10 NAAQS were exceeded in these two years. Compliance with the annual SO2 and NO2 NAAQS was noted when data were available.
The 99th percentile 8-hour running average NAAQS for O3 was exceeded every year for which the average could be calculated at both Club Station and at Embalenhle (Sasol) (Tables 5 and 6). The O3 data at the Embalenhle (SAWS) site were not included in the analysis, as the data did not pass data quality and quantity requirements.
Table 5.
The 99th percentile 8-hour running average for ozone (8-hourly running average) measured at Club Station, Secunda
| Pollutant | NAAQS limit | 2005 | 2006 | 2007 | 2008 | 2009 |
| O3 | 61 ppb | 82 | 76 | 68 | 107 | 75 |
| Pollutant | NAAQS limit | 2010 | 2011 | 2012 | 2013 | 2014 |
| O3 | 61 ppb | 64 | 75 | 70 | 169 | 83 |
| Pollutant | NAAQS limit | 2015 | 2016 | 2017 | 2018 | 2019 |
| O3 | 61 ppb | 72 | 200 | 62 | – | 70 |
Table 6.
The 99th percentile 8-hour running average for ozone (8-hourly running average) measured at Embalenhle (Sasol)
| Pollutant | NAAQS limit | 2005 | 2006 | 2007 | 2008 | 2009 |
| O3 | 61 ppb | – | – | – | – | – |
| Pollutant | NAAQS limit | 2010 | 2011 | 2012 | 2013 | 2014 |
| O3 | 61 ppb | – | – | – | – | – |
| Pollutant | NAAQS limit | 2015 | 2016 | 2017 | 2018 | 2019 |
| O3 | 61 ppb | – | 71 | 70 | 68 | 72 |
In the Supplementary Tables, compliance with the hourly and daily NAAQS for the various pollutants are presented (Tables S7, S8, and S9). Exceedances of the respective standards are highlighted in bold. The daily PM10 and PM2.5 NAAQS were almost consistently exceeded at all sites for all years for which data were available. Also, the PM2.5 and PM10 annual mean concentrations exceeded the WHO recommended guidelines every year for which data were available and analysed.
The daily NAAQS for SO2 was exceeded once (at the Secunda DFFE station in 2012). The hourly NAAQS for NO2 was exceeded on three occasions (2007 at Club Station (Secunda), 2018 in Embalenhle (SAWS), and 2016 at Embalenhle (Sasol)).
Respiratory health outcomes and associated risk factors
A total of 233 adolescents aged between 13 and 17 years were recruited from four secondary schools. Most adolescents were aged between 13 and 15 years (97%) and were predominantly female (72%) (Table 7). About a third of adolescents’ households were dependent on social grants as the primary source of income.
Table 7.
Descriptive profile of the sample population of adolescents in the study
| Variable (Sample N = 233) | Frequency | |
|---|---|---|
| n | % | |
| Town | ||
| Secunda | 33 | 14 |
| Embalenhle | 200 | 86 |
| Gender of the participant | ||
| Male | 65 | 28 |
| Female | 167 | 72 |
| Missing | 1 | 0 |
| Age of the participant | ||
| 13 | 49 | 22 |
| 14 | 90 | 41 |
| 15 | 76 | 34 |
| 16 | 6 | 3 |
| 17 | 1 | < 1 |
| Missing | 11 | 4 |
| Fuel type usually used for cooking | ||
| Electricity | 207 | 91 |
| Gas | 14 | 6 |
| Wood | 1 | > 1 |
| Coal | 4 | 2 |
| Other | 2 | > 1 |
| Missing | 5 | 2 |
| Fuel type usually used for heating | ||
| Electricity | 159 | 69 |
| Gas | 18 | 8 |
| Paraffin | 6 | 3 |
| Wood | 17 | 7 |
| Coal | 26 | 11 |
| Oil | 5 | 2 |
| Other | – | – |
| Missing | 2 | 0 |
| Household income | ||
| Salaries/commission | 102 | 45 |
| Income from business | 26 | 11 |
| Maintenance | 7 | 3 |
| Pension | 7 | 3 |
| Social grant | 75 | 33 |
| Sales of farm produce/services | 1 | > 1 |
| Other | 11 | 5 |
| Presence of environmental tobacco smoke in the home | ||
| No | 112 | 48 |
| Yes | 121 | 52 |
Prevalence of self-reported and doctor-diagnosed respiratory symptoms among the participants ranged from 2% for an ‘ever’ doctor-diagnosed bronchitis and pneumonia to 42% ever experiencing allergies (Table 8). Wheezing chest was the second most reported respiratory symptom among participants (39%). Half of the adolescents who had respiratory illness were exposed to environmental tobacco smoke (52%), due to a parent / guardian, the participant, or any other family member smoking in the dwelling.
Table 8.
Prevalence of self-reported and self-reported, doctor-diagnosed respiratory symptoms among adolescents from Secunda and eMbalenhle (combined)
| Type of diagnosis | Respiratory health outcome | N (%) | |
|---|---|---|---|
| Yes | No | ||
| Self-reported | |||
| Ever experienced | Allergies | 96 (42) | 132 (58) |
| Frequent cough | 54 (23) | 178 (76) | |
| Wheezing chest | 86 (39) | 137 (61) | |
| Self-reported, doctor-diagnosed | |||
| Ever experienced | Bronchitis | 4 (2) | 223 (98) |
| Pneumonia | 5 (2) | 223 (98) | |
| Asthma | 18 (8) | 215 (92) | |
| Hay fever | 48 (21) | 181 (79) | |
The independent t-test results (Table 9) showed that there was a statistically significant difference between the presence or absence of self-reported respiratory illness based on the number of years lived in Secunda or eMbalenhle (p = 0.02). The mean number of years lived in the area was slightly higher for children who reported respiratory illness (12 compared to 10 years).
Table 9.
Characteristics of adolescents’ self-reported living conditions related to air pollution exposure and presence/absence of respiratory illness
| Overall frequency N (%) | Model results | p-value | |||
|---|---|---|---|---|---|
| Any respiratory illness n (%) |
No respiratory illness n (%) |
||||
| Does the adolescent smoke | No* | 226 (98) | 182 (99) | 44 (98) | 0.55 |
| Yes | 3 (1) | 2 (1) | 1 (2) | ||
| Presence of environmental tobacco smoke in the home | No* | 113 (48) | 88 (47) | 25 (53) | 0.47 |
| Yes | 120 (52) | 98 (53) | 22 (47) | ||
| Main fuel used for cooking | Electric* | 207 (90) | 130 (71) | 29 (62) | 0.31 |
| Non-electric | 21 (9) | 54 (29) | 18 (38) | ||
| Main fuel used for heating | Electric* | 159 (68) | 167 (92) | 40 (87) | 0.24 |
| Non-electric | 72 (31) | 15 (8) | 6 (13) | ||
| Mean (min - max) | Mean (min - max) | ||||
| Number of household members | – | – | 5 (1–16) | 5 (2–12) | 0.94 |
| Number of years living in Secunda or eMbalenhle | – | – | 12 (1–16) | 10 (1–16) | 0.022 |
Note. * indicates the reference category for each variable in the analysis
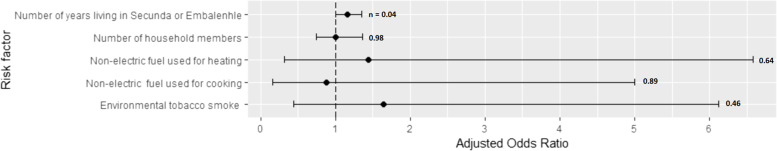
Number of years living in Secunda or eMbalenhle was the only statistically significant risk factor in the univariable regression analysis (Fig. 2). For a one-unit change in the number of years lived in an area, the odds of a respiratory illness increased by a factor of 1.09 (p = 0.018, 95% CI = 1.01–1.16). This association was still statistically significant in the multivariable analysis when the model was adjusted for confounders (OR = 1.16, p = 0.039, 95% CI = 1.01–1.35). The confounders included age, BMI category, level of parent education (separate variables for mother and father), and socio-economic status (primary source of household income). Hosmer-Lemeshow goodness of fit test was P = 0.57 indicating that the model was a good fit.
Fig. 2.
Logistic regression results indicating risk factors for respiratory illnesses among the adolescents in the study population. Final model omitted respondent smoking as a risk factor due to a dependency among the independent variables
Discussion
Our study considered the impact of air pollution on adolescent health in a highly air polluted area in South Africa. While we did not find strong evidence for associations between air pollution and respiratory health; a small effect was possible for duration of living in a polluted environment. This may also have been influenced by the relatively small sample size and that we merged towns that likely have different characteristics.
We found that adolescents lived in households that mainly relied on electricity for cooking and heating, although about 10% of adolescents reported that coal was used for heating. Half of the adolescents reported the presence of environmental tobacco smoke in the home. Evidence suggests that exposure to environmental tobacco smoke is associated with childhood upper and lower respiratory tract infection, wheezing and asthma [32]. A Chinese study found that indoor tobacco smoke and respiratory illness (pneumonia, common cold, croup and dry night cough) were significantly associated in children aged 3–8 years with ORs ranging from 1.06 to 1.95 [33]. An increased frequency in asthma was found in high school students aged 11–16 years exposed to environmental tobacco smoke (OR = 1.08, 95% CI, 1.05–1.12) and cigarette smoking (OR = 1.29, 95% CI, 1.17–1.42) in Taiwan [34]. A study in Greece showed that adolescents aged 13–15 years living with mothers who smoke had double the exhaled carbon monoxide compared to non-smoking families [35].
The most common self-reported respiratory health outcomes were allergies, frequent cough, wheezing chest, and doctor-diagnosed hay fever. All of these outcomes have been associated with exposure to air pollution [36–40]. Regarding hay fever, the timing of the study is an important consideration. Most respondents were recruited in September (56%), October (34%) and November (10%) which are austral spring months. These months are associated with high pollen counts in Mpumalanga [41] and this may have influenced the proportion of adolescents reporting allergies and hay fever.
Ambient air pollution levels in the study area were generally above national and international limits, specifically for PM2.5, PM10 and O3. This was unsurprising given the location of the two study areas in the HPA. Previous studies have found similar air pollution levels in HPA [17, 42]. Although a quantitative comparison between the sites, it is important to note that the Embalenhle (SAWS) and Embalenhle (Sasol) sites had exceedances of the NAAQS for PM daily and annually for every time data was available, except the Embalenhle (Sasol) PM10 averages in 2019, compared to Club, which did not have as many exceedances.
A statistically significant association between the number of years that the adolescent had lived in the area (both areas combined) and the presence of respiratory illnesses was found. Given the ambient air quality findings for the study area, particularly PM and O3, that exceeded limits set to protect human health, this association is reason for concern.
While ambient air quality management is a definitely a priority for this area, primary interventions may also be helpful. Ensuring regular waste collection to prevent waste burning and increasing household income, especially in a study area such as ours where reliance on social grants was relatively high, have been shown to potentially be important for people living in Embalenhle [43].
While this study sample was relatively small, it is the first of its kind to consider self-reported adolescent respiratory health among individuals living in the highly polluted HPA and thus provides valuable baseline data. Some limitations were identified. Schools were not randomly selected, however, are considered to be representative of the schools in the area. Moreover, the small sample size contributed to the risk of underreporting. The adolescent survey asked for ‘ever’ occurrence of respiratory health outcomes, rather than ‘in the past two weeks or past year’. This may have led to over-representation of occurrence, but we deemed this a more reliable measure than asking young people to recall different time periods. We did not ask about certain dwelling characteristics that may also influence household air pollution exposure, which could have contributed to exposure misclassification. For example, ventilation and roof type should be included in more detailed assessments of household air pollution exposure. Our study was conducted during spring; had the study been conducted during winter different fuel sources for heating and cooking may have been given by the adolescents. Household fuel use patterns are known to differ by season [44] hence a repeated cross-sectional or long-term study of fuel use patterns in different seasons would be important for future studies.
Our study provides information on self-reported health outcomes among individuals living in a highly polluted environment in a peri-urban environment for adolescents. Given the specific air pollution concerns for the area, peri-urban nature of the location, and the small sample size, these results cannot be generalised to urban or rural communities, or to children of other age groups. Similar studies in communities in different settings, and involving adolescents and children of different age groups, would be of considerable interest. There is a need for interdisciplinary research that speaks to intersections between multiple systems [45] including the natural environment, physical health, and the uniqueness of both the South African context and adolescence as a life stage.
Conclusions
Our results suggest that adolescents living in areas located within the HPA are adversely affected by air pollution, in particular O3 and PM. It is essential that we work towards meeting the NAAQS in this area to protect adolescent health. Future research should investigate long-term exposure and health outcomes among adolescents living in the HPA given the risk factor findings here.
Supplementary Information
Acknowledgements
We are grateful to the school principals and the students who participated in the study. We also thank the Mpumalanga Department of Education for their support of the project. The views expressed in this publication are those of the authors and not necessarily those of the Mpumalanga Department of Education. We thank the South African Weather Service, DFFE and Sasol for the air quality data that were accessed through SAAQIS. The ethical clearance for this study was part of another larger study called RYSE that is led by LT and DL.
Abbreviations
- AQG
Air Quality Guidelines
- BMI
Body Mass Index
- CI
Confidence Interval
- DFFE
Department of Forestry, Fisheries and Environment
- HPA
Highveld Priority Area
- IT
Inter Target
- NAASQ
South African National Ambient Air Quality Standards
- NO2
Nitrogen Dioxide
- O3
Ozone
- OR
Odds Ratio
- PM2.5
Particulate Matter with an Aerodynamic Diameter of Less Than 2.5 Micrometres
- PM10
Particulate Matter with an Aerodynamic Diameter of Less Than 10 Micrometres Value
- SAAQIS
South African Air Quality Information System
- SO2
Sulphur Dioxide
- WHO
World Health Organization
Authors’ contributions
CYW, AM, DM, CB, and LT were involved in the conception of the study and study design. DM, ZK, CYW, MM, and TK implemented the fieldwork, data collection and analyses. DM, ZK, CYW, TK, RMG, and BW were involved in drafting the manuscript. CB, DL, CJ, CYW, and MU secured funding for the RYSE study. All authors were involved in approving the final draft, agree to be accountable for the work and have read and approved the final manuscript.
Funding
This study was funded by a United Kingdom Research and Innovation / International Research Development Fund at the University of Leicester. Funding was awarded to MT, CB, DL, EM, CJ, RP, CYW, TL, and MU.
Availability of data and materials
The datasets analysed during the current study are available from the corresponding author on reasonable request.
Declarations
Ethics approval and consent to participate
The authors confirm that confirm that all methods were carried out in accordance with relevant guidelines and regulations. The protocol for recruitment, data and sample collection for the study was approved by the University of Pretoria Research Ethics Committee (UP17/05/01, 22 July 2019). Informed consent and informed assent were obtained from parents and adolescents, respectively. Research governance approval was done via institutional peer review.
Consent for publication
Not applicable.
Competing interests
The authors declare that they have no competing interests.
Footnotes
Publisher’s Note
Springer Nature remains neutral with regard to jurisdictional claims in published maps and institutional affiliations.
References
- 1.World Health Organization . Ambient air pollution - a global assessment of exposure and burden of disease. Geneva: World Health Organization; 2016. [Google Scholar]
- 2.Orellano P, Reynoso J, Quaranta N, Bardach A, Ciapponi A. Short-term exposure to particulate matter (PM10 and PM2.5), nitrogen dioxide (NO2), and ozone (O3) and all-cause and cause-specific mortality: systematic review and meta-analysis. Environ. Int. 2020;142:105876. doi: 10.1016/j.envint.2020.105876. [DOI] [PubMed] [Google Scholar]
- 3.Zheng X-y, Orellano P, Lin H-l, Jiang M, Guan W-J. Short-term exposure to ozone, nitrogen dioxide, and Sulphur dioxide and emergency department visits and hospital admissions due to asthma: a systematic review and meta-analysis. Environ. Int. 2021;150:106435. doi: 10.1016/j.envint.2021.106435. [DOI] [PubMed] [Google Scholar]
- 4.Huangfu P., Atkinson R. Long-term exposure to NO2 and O3 and all-cause and respiratory mortality: a systematic review and meta-analysis. Environ Int 2020;144:105998. https://doi.org/10.1016/j.envint.2020.105998. [DOI] [PMC free article] [PubMed]
- 5.Manisalidis I, Stavropoulou E, Stavropoulos A, Bezirtzoglou E. Environmental and health impacts of air pollution: a review. Front Public Health. 2020;8:14. doi: 10.3389/fpubh.2020.00014. [DOI] [PMC free article] [PubMed] [Google Scholar]
- 6.Chen J, Hoek G. Long-term exposure to PM and all-cause and cause-specific mortality: a systematic review and meta-analysis. Environ Int. 2020;143:105974. doi: 10.1016/j.envint.2020.105974. [DOI] [PubMed] [Google Scholar]
- 7.World Health Organization . WHO global air quality guidelines: particulate matter (PM2.5 and PM10), ozone, nitrogen dioxide, sulfur dioxide and carbon monoxide. Geneva: World Health Organization; 2021. [PubMed] [Google Scholar]
- 8.National Environmental Management: Air Quality Act, 2004 (Act No. 39 of 2004) National Ambient Air Quality Standards https://www.gov.za/documents/national-environmental-management-air-quality-act-national-ambient-air-quality-standards.
- 9.Lourens AS, Beukes JP, van Zyl PG, Fourie GD, Burger JW, Pienaar JJ, et al. Spatial and temporal assessment of gaseous pollutants in the Highveld of South Africa. S Afr J Sci. 2011;107. 10.4102/sajs.v107i1/2.269.
- 10.Fullerton DG, Bruce N, Gordon SB. Indoor air pollution from biomass fuel smoke is a major health concern in the developing world. Trans R Soc Trop Med Hyg 2008 102(9):843–851. https://doi.org/10.1016/j.trstmh.2008.05.028. [DOI] [PMC free article] [PubMed]
- 11.Bonjour S, Adair-Rohani H, Wolf J, Bruce NG, Mehta S, Prüss-Ustün A, Lahiff M, Rehfuess EA, Mishra V, Smith KR. Solid fuel use for household cooking: country and regional estimates for 1980-2010. Environ Health Perspect. 2013;121(7):784–790. doi: 10.1289/ehp.1205987. [DOI] [PMC free article] [PubMed] [Google Scholar]
- 12.Clark ML, Peel JL, Balakrishnan K, Breysse PN, Chillrud SN, Naeher LP, Rodes CE, Vette AF, Balbus JM. Health and household air pollution from solid fuel use: the need for improved exposure assessment. Environ Health Perspect. 2013;121(10):1120–1128. doi: 10.1289/ehp.1206429. [DOI] [PMC free article] [PubMed] [Google Scholar]
- 13.South African Department of Environmental Affairs. National Environment Management: Air Quality Act 39 of 2004 – Declaration of the Highveld as a Priority Area in terms of Section 18(1) of the National Environment Management: Air Quality Act, 2004 (Act No. 39 of 2004); 2007. https://cer.org.za/wp-content/uploads/2010/03/Highveld.pdf.
- 14.Fioletov V, McLinden CA, Griffin D, Theys N, Loyola DG, Hedelt P, Krotkov NA, Li C. Anthropogenic and volcanic point source SO2 emissions derived from TROPOMI on board Sentinel-5 precursor: first results. Atmos Chem Phys. 2020;20:5591–5607. doi: 10.5194/acp-20-5591-2020. [DOI] [Google Scholar]
- 15.Duncan BN, Lamsal LN, Thompson AM, Yoshida Y, Lu Z, Streets DG, Hurwitz MM, Pickering KE. A space-based, high-resolution view of notable changes in urban NOx pollution around the world (2005–2014) J Geophys Res Atmos. 2016;121:976–996. doi: 10.1002/2015JD024121. [DOI] [Google Scholar]
- 16.Wright CY, Oosthuizen R, John J, Garland RM, Albers P, Pauw C. Air quality and human health among a low-income Community in the Highveld Priority Area. Clean Air J. 2011;20(1). 10.17159/caj/2011/20/1.7180.
- 17.Olutola B, Claassen N, Voyi K, Wichmann J. Apparent temperature as a modifier of the effects of air pollution on respiratory disease hospital admissions in Secunda. S Afr Environ Epidemiol. 2019;3:439. doi: 10.1097/01.EE9.0000610944.80871.4a. [DOI] [Google Scholar]
- 18.Lake L, Shung-King M, Hendricks M, Heywood M, Nannan N, Laubscher R, Bradshaw D, Mathews C, Goga A, Ramraj T. Prioritising child and adolescent health: a human rights imperative. Child and adolescent health. In: Shung-King M, Lake L, Sanders D, Hendricks M, editors. South African child gauge 2019 chapter: part 2. Cape Town: Children’s Institute, University of Cape Town; 2019. [Google Scholar]
- 19.Chen Z, Salam MT, Eckel SP, Breton CV, Gilliland FD. Chronic effects of air pollution on respiratory health in Southern California children: findings from the Southern California Children’s health study. J Thorac Dis. 2015;7(1):46. doi: 10.3978/j.issn.2072-1439.2014.12.20. [DOI] [PMC free article] [PubMed] [Google Scholar]
- 20.Salvi S. Health effects of ambient air pollution in children. Paediatr Respir Rev. 2007;8(4):275–280. doi: 10.1016/j.prrv.2007.08.008. [DOI] [PubMed] [Google Scholar]
- 21.Lewis TC, Robins TG, Mentz GB, Zhang X, Mukherjee B, Lin X, Keeler GJ, Dvonch JT, Yip FY, O'Neill MS. Air pollution and respiratory symptoms among children with asthma: vulnerability by corticosteroid use and residence area. Sci Total Environ. 2013;448:48–55. doi: 10.1016/j.scitotenv.2012.11.070. [DOI] [PMC free article] [PubMed] [Google Scholar]
- 22.Naidoo RN, Robins TG, Batterman S, Mentz G, Jack C. Ambient pollution and respiratory outcomes among schoolchildren in Durban, South Africa. S Afr J Child Health. 2013;7(4):127–134. doi: 10.7196/sajch.598. [DOI] [PMC free article] [PubMed] [Google Scholar]
- 23.Shezi B, Wright CY. Household air pollution exposure and respiratory health outcomes: a narrative review update of the south African epidemiological evidence. Clean Air J. 2018;28(1):43–56. doi: 10.17159/2410-972X/2018/v28n1a11. [DOI] [Google Scholar]
- 24.Masekela R, Gray C, Green J, Manjra A, Kritzinger F, Levin M, et al. The increasing burden of asthma in south African children: a call to action. S. Afr. Med J. 2018;108(7). 10.7196/SAMJ.2018.v108i7.13162.
- 25.Statistics South Africa. Quarterly Labour Force Survey; 2011. https://www.statssa.gov.za/publications/P0211/P02111stQuarter2011.pdf.
- 26.South African Air Quality Information System; 2021 https://saaqis.environment.gov.za/.
- 27.Harris PA, Taylor R, Thielke R, Payne J, Gonzalez N, Conde JG. Research electronic data capture (REDCap) — a metadata-driven methodology and workflow process for providing translational research informatics support. J Biomed Inform. 2009;42(2):377–381. doi: 10.1016/j.jbi.2008.08.010. [DOI] [PMC free article] [PubMed] [Google Scholar]
- 28.STATA StataCorp . Statistical software: release 15. College Station, TX: Stata Corporation LLC; 2017. [Google Scholar]
- 29.Sheppard L, Burnett RT, Szpiro AA, Kim SY, Jerrett M, Pope CA, 3rd, Brunekreef B. Confounding and exposure measurement error in air pollution epidemiology. Air Qual Atmosphere Health. 2012;5(2):203–216. doi: 10.1007/s11869-011-0140-9. [DOI] [PMC free article] [PubMed] [Google Scholar]
- 30.Mohai P, Kweon B-S, Lee S, Ard K. Air pollution around schools is linked to poorer student health and academic performance. Health Aff. 2011;30(5):852–862. doi: 10.1377/hlthaff.2011.0077. [DOI] [PubMed] [Google Scholar]
- 31.Lu W, Hackman DA, Schwartz J. Ambient air pollution associated with lower academic achievement among US children: a nationwide panel study of school districts. Environmental Epidemiology. 2021;5(6):e174. doi: 10.1097/EE9.0000000000000174. [DOI] [PMC free article] [PubMed] [Google Scholar]
- 32.Zhuge Y, Qian H, Zheng X, Huang C, Zhang Y, Li B, Zhao Z, Deng Q, Yang X, Sun Y. Effects of parental smoking and indoor tobacco smoke exposure on respiratory outcomes in children. Sci Rep. 2020;10:4311. doi: 10.1038/s41598-020-60700-4. [DOI] [PMC free article] [PubMed] [Google Scholar]
- 33.Wang T-N, Ko Y-C, Chao Y-Y, Huang C-C, Lin R-S. Association between indoor and outdoor air pollution and adolescent asthma from 1995 to 1996 in Taiwan. Environ Res 1999;81(3):239–247 10.1006/enrs.1999.3985. [DOI] [PubMed]
- 34.Gourgoulianis K, Gogou E, Hamos V, Molyvdas P. Indoor maternal smoking doubles adolescents' exhaled carbon monoxide. Acta Paediatr. 2002;91:712–713. doi: 10.1111/j.1651-2227.2002.tb03307.x. [DOI] [PubMed] [Google Scholar]
- 35.Ahmed F, Hossain S, Hossain S, Fakhruddin ANM, Abdullah ATM, Chowdhury MAZ, Gan SH. Impact of household air pollution on human health: source identification and systematic management approach. SN Appl Sci. 2019;1(418):1–19. doi: 10.1007/s42452-019-0405-8. [DOI] [Google Scholar]
- 36.Simkovich SM, Goodman D, Roa C, Crocker ME, Gianella GE, Kirenga BJ, et al. The health and social implications of household air pollution and respiratory diseases. NPJ Prim Care Respir Med. 2019;29(12). 10.1038/s41533-019-0126-x. [DOI] [PMC free article] [PubMed]
- 37.Tomita A, Cuadros DF, Burns JK, Tanser F, Slotow R. Exposure to waste sites and their impact on health: a panel and geospatial analysis of nationally representative data from South Africa, 2008–2015. Lancet Planet Health. 2020;4(6):e223–e234. doi: 10.1016/S2542-5196(20)30101-7. [DOI] [PMC free article] [PubMed] [Google Scholar]
- 38.Shirinde J, Wichmann J, Voyi K. Allergic rhinitis, rhinoconjunctivitis and hay fever symptoms among children are associated with frequency of truck traffic near residences: a cross sectional study. Environ Health. 2015;14(84):1–11. doi: 10.1186/s12940-015-0072-1. [DOI] [PMC free article] [PubMed] [Google Scholar]
- 39.Bowatte G, Erbas B, Lodge CJ, Knibbs LD, Gurrin LC, Marks GB, Thomas PS, Johns DP, Giles GG, Hui J, Dennekamp M, Perret JL, Abramson MJ, Walters EH, Matheson MC, Dharmage SC. Traffic-related air pollution exposure over a 5-year period is associated with increased risk of asthma and poor lung function in middle age. Eur Respir J. 2017;50(4):1602357. doi: 10.1183/13993003.02357-2016. [DOI] [PubMed] [Google Scholar]
- 40.Lowvelder. Allergies: Here are some tips to deal with pollen; 2018. https://lowvelder.co.za/459462/allergies-tips-deal-pollen/#:~:text=In%20September%2C%20October%20and%20November%20is%20expected%20to%20soon%20subside.&text=Tree%20pollen%20may%20trigger%20allergic,these%20symptoms%20usually%20occur%20seasonally.
- 41.Ncipha, X. 2011. Comparison of air pollution hotspots in the Highveld using airborne data. Master’s thesis. Faculty of Science, University of the Witwatersrand, Johannesburg. 2011. https://www.semanticscholar.org/paper/Comparison-of-air-pollution-hotspots-in-the-using-Ncipha/6ac4322735c1dc427cef1ec0960548655ecd9259?p2df
- 42.John J, Das S. Vulnerability of a low-income community in South Africa to air pollution: exploring the use of structural equations modelling to identify appropriate interventions. J Integr Environ Sci. 2012;9(2):55–67. doi: 10.1080/1943815X.2012.662512. [DOI] [Google Scholar]
- 43.Langerman KE, Pauw CJ, Smith HJ, Piketh SJ. Moving households to cleaner energy through air quality offsets. 2018 International Conference on the Domestic Use of Energy (DUE). 2018 10.23919/DUE.2018.8384405
- 44.Ungar M, Theron L, Murphy K, Jefferies P. Researching multi-systematic resilience: a sample methodology. Front Psychol. 2021;11:607994. doi: 10.3389/fpsyg.2020.607994. [DOI] [PMC free article] [PubMed] [Google Scholar]
- 45.Vanker A, Gie R, Zar H. The association between environmental tobacco smoke exposure and childhood respiratory disease: a review. Expert Rev Respir Med. 2017;11(8):661–673. doi: 10.1080/17476348.2017.1338949. [DOI] [PMC free article] [PubMed] [Google Scholar]
Associated Data
This section collects any data citations, data availability statements, or supplementary materials included in this article.
Supplementary Materials
Data Availability Statement
The datasets analysed during the current study are available from the corresponding author on reasonable request.


