Abstract
Several types of green photosynthetic microalgae can grow through the process of heterotrophic growth in the dark with the help of a carbon source instead of the usual light energy. Heterotrophic growth overcomes important limitations in the production of valuable products from microalgae, such as the reliance on light, which complicates the process, raises costs, and lowers the yield of potentially useful products. The present study was conducted to explore the potential growth of green microalga Scenedesmus obliquus under mixotrophic and heterotrophic conditions utilizing Disperse orange 2RL Azo dye as a carbon source to produce a high lipid content and the maximum dye removal percentage. After 7 days of algal growth with dye under mixotrophic and heterotrophic conditions with varying pH levels (5, 7, 9, and 11), KNO3 concentrations (1, 1.5, 2, and 3 g/L), and dye concentrations (20, 40, and 60 ppm); dye removal percentage, algal dry weight, and lipid content were determined. The results showed that the highest decolorization of Disperse orange 2RL Azo dye (98.14%) was attained by S. obliquus in heterotrophic medium supplemented with glucose at the optimal pH 11 when the nitrogen concentration was 1 g/L and the dye concentration was 20 ppm. FT-IR spectroscopy of the dye revealed differences in peaks position and intensity before and after algal treatment. S. obliquus has a high concentration of oleic acid, which is enhanced when it is grown with Disperse orange 2RL Azo dye, making it ideal for production of high-quality biodiesel. In general, and in the vast majority of instances, heterotrophic cultivation is substantially less expensive, easier to set up, and requires less maintenance than mixotrophic cultivation. Heterotrophic cultivation allows for large-scale applications such as separate or mixed wastewater treatment along with biofuel production.
Subject terms: Biotechnology, Microbiology, Environmental sciences
Introduction
Synthetic dyes could lead to strong contamination of the environment and ecology due to the complex aromatic molecular contents of these dyes that are hard to degrade1. Many studies have shown that certain types of dyes, mainly azo dyes and their by-products, have adverse influences on humans and local biota2. Disperse orange 2RL azo dye induced cytotoxicity in Hep G2 cells2. Biological management of dyes with microorganisms is relatively cost-effective and eco-friendly due to minor sludge production3,4.
Many studies have reported the effectiveness of microalgae in the degradation of azo dyes5–9. The growth of microalgae in the textile dye effluent has been recognised as a favourable alternative to conventional methods of wastewater treatment. The treatment by microalgae diminishes the color and nutrient load of textile effluent, which diminishes numerous negative environmental influences10. Indigenous microalgae have undeniably the potential to rapidly, efficiently, and effectively eliminate dyes in wastewater to acceptable ranges of guide line limits at ambient temperature and neutral pH range11. Microalgae, which have been widely cultivated in wastewater treatment, have the ability to remove nutrients from a wide range of wastewater types, including industrial wastewater12,13.
Microalgae can live in a broad range of habitats and can be grown in three cultivation circumstances: autotrophic, heterotrophic, or mixotrophic. Autotrophic microalgae consume energy from light during photosynthesis processes to grow; mixotrophic microalgae can use organic carbon and light energy in growing; but in the case of heterotrophic; microalgae grow under dark conditions and use organic carbon as a carbon source14. Generally, microalgae are considered photoautotrophic microorganisms; meanwhile, also microalgae can grow in heterotrophic conditions, which can consume outdoor carbon sources with dark conditions, to acquire high-value products15. The biomass and lipid yield were highest with algae that grown in heterotrophic compared with phototrophic conditions, and also the cultivation of algae under the heterotrophic system is easier and cheaper to maintain large scale16–18.
Microalgae produce renewable energy because they can produce a high amount of oil in the body's cells. The oil composition in microalga ranges from 20 to 50% and microalgae dry weight yields can exceed 80%19. Biodiesel is organized through the trans-esterification of triglycerides or the esterification of free fatty acids (FFAs) with low-molecular-weight alcohols20. Biodiesel has minor exhaust emissions and toxicity compared to petroleum diesel fuel. It can be cast-off with conservative diesel as a mix or used on its own without modification21.
The present study was carried out to determine the potential removal of Disperse orange 2RL Azo dye by S. obliquus when grown under mixotrophic and heterotrophic conditions with and without an amended carbon source to the medium, and to determine the best pH, KNO3 and dye concentrations to obtain high removal percentage of dye and maximum production of lipids content to produce fatty acid methyl ester (FAME) biodiesel.
Material and methods
Dye and chemicals
Scenedesmus obliquus microgreen alga was acquired from the ‟Microbial Biotechnology Department, Genetic Engineering and Biotechnology Research Institute (GEBRI), University of Sadat City, Egypt”. Disperse orange 2RL (Disp.orange 2RL (4-nitro-4′-[N-ethyl-N-(2-cyanoethyl)-amino [azo benzene), it was obtained from Dyeing Factory at the industrial region district in Quisna, Menoufia Governorate, Egypt as Fig. 1.
Figure 1.

Disperse orange 2RL.
Alga culture
Scenedesmus obliquus was grown with small modified bold Basal medium22.
De-colorization study and spectroscopic analysis
Different concentrations 0, 20, 40, and 60 ppm of Disperse orange 2RL (4-nitro-4′-[N-ethyl-N-(2-cyanoethyl)-amino [azo benzene) were adjusted in 150 mL of bold Basal medium and alga (120 mL and 30 mL alga culture in stationary phase), the culture was incubated at 25 °C for 7 days. For mixotrophic conditions the culture was exposed to continuous light with intensity of 80 μE m−2 s−1 continuous light, while for heterotrophic conditions, the cultures were kept in dark.
Effect of glucose
The effect of glucose on the dye removal by alga was tested by the addition of 5% glucose to the medium (Heterotrophic with glucose).
Effect of pH
pH levels were adjusted at 5, 7, 9, and 11, and applied in various conditions mixotrophic, heterotrophic and heterotrophic with media supplemented with 5% glucose. The concentration of dye was adjusted at 20 ppm.
Effect of nitrogen concentrations
Bold Basal medium supplemented with different concentrations of KNO3 (1, 1.5, 2, and 3 g/L) to test the decolorization % of dye with concentrations 20 ppm, by alga under mixotrophic and heterotrophic and heterotrophic supplemented with 5% glucose.
Decolorization percentage
After 3, 5, and 7 days of incubation, the 15 ml of algal suspensions were centrifuged, and measuring the absorbance of the cell-free supernatant of the sample by Spectrophotometric UV–Vis Dual Beam UVS-2700 at 429 nm. The percentage of decolorization was calculated by using the equation as follows according to Telke et al.23.
Dry weight estimation
Following the completion of the incubation period of 3, 5, and 7 days, aliquots of 150 ml were centrifuged, washed three times with distilled water, and the residue was dried till constant weight in an oven at 60 °C until constant weight was achieved.
Lipids determination
One gram of algal dry weight was mixed with 50 mL of methanol and then stirred with a magnetic stirrer for 20 min. The residue was then separated by filtration, and the solvent had been evaporated. The extracted lipid was determined in percentage7, using the following equation:
where G1, lipids weight, G2 dry weight.
Infrared measurements (IR)
After 7 days of incubation, the biodegraded dye samples were characterized before and after treatment using FTIR spectroscopy (Bruker). The analyses of the biodegraded dyes were compared with the control dyes. The FTIR analysis was done in the mid IR region (500–3500 cm−1)5,24,25. The infrared measurements demonstrated in decolonization at 20 ppm Disperse orange 2RL by S. obliquus was (98.14%), when nitrogen concentration was 1 g/l. The highest decolorization of Disperse orange 2RL was attained by S. obliquus in heterotrophic with glucose at pH 11.
Preparation of fatty acid methyl ester (FAME) content and analysis by GC–MS
20 mg of the lipid extract were weighted and then 0.5 N methanolic KOH (2.805 gm KOH in 100 mL methanol) were added, vortex and heat at 50 °C for 15 min. The mixture was then cooled and vortex mixed. Then 5 ml of 0.4 N HCL (3.34 ml HCL in 100 mL water) were added and vortex mixed. 5 ml of petroleum ether and hexane, 1:1 was then added. The upper layer (FAME) was transferred to another tube and dried at 40 °C. One mL of hexane was then added to the dried FAME. The FAME was then injected and analyzed by GC–MS. The sample was injected in GC–MS with silica capillary column HP-5MS, the carrier gas was Helium. The GC–MS temperature program was initiated at 60 °C (2 min) and then increased to 280 °C at an ionizing rate of 8 °C/min. To evaluate the different peaks, Wiley and Wiley Nist mass spectral databases were applied26–28.
Statistical analysis
Statistical analysis was performed using ANOVA, by using SPSS software (version 19) for comparison between treatments according to Sokal and Rohlf29. Significant differences between means of parameters were determined by using Duncan’s multiple range tests with probability ≤ 0.05.
Results and discussion
Effects of different concentrations of Disperse orange 2RL on the efficiency of removal percentage of dye by S. obliquus with time under mixotrophic conditions
The degree of decolorization of Disperse orange 2RL by S. obliquus was studied at different concentrations of dye (20, 40, and 60 ppm) with 3, 5, and 7 days, the batch cultures were incubated in continuous lights. Figure 2 shows that there was an increase in the decolorization rate with increasing the incubation time. The results show S. obliquus has the maximum percentage of degradation after treatment with Disperse orange 2RL (20 ppm) of 64.31%, 65.15% and 66.01% after 3, 5 and 7 days of incubation, respectively. The less degradation of Disperse orange 2RL by S. obliquus occurred at 60 ppm. These findings are consistent with those of Chen et al.30, who found that dye decolorization by microorganisms could be owing to adsorptive by algae biomass or biodegradation by algae. With different initial dye concentrations, the quantity of color loss varies. Algae and microorganisms removed color in a concentration-dependent manner, which was attributed to bioconversion30,31. Bafana et al.32 concluded in their study that the decolorization of azo dyes can be related to biodegradation.
Figure 2.

Effect of different concentrations of Disperse orange 2RL on removal percentage by microgreen alga S. obliquus with days under mixotrophic conditions, Par represent standard error, different letters clear the significant result.
Effect of different conditions on dye removal by S. obliquus
pH levels
Figure 3 represents the effect of different pH levels on the Disperse orange 2RL removal percentage by microgreen alga S. obliquus grown under mixotrophic, heterotrophic, and heterotrophic culture supplemented with glucose. The maximum decolorization of Disperse orange 2RL by S. obliquus with the mixotrophic condition was 89.94% at 7 days of growth, in case of heterotrophic culture was 95.73%, and in heterotrophic culture with glucose was 97.23%. The decolorization of Disperse orange 2RL by S. obliquus in heterotrophic culture with glucose at pH 11 was achieved the maximum removal. The removal rate of Reactive Red 3B-A and Reactive Black 5 by Clostridium bifermentans strains was increased when the addition of glucose33. Carbon sources provide the necessary energy for the proliferation of microorganisms and also function as electron donors, which are necessary for the rupturing of the azo bond34. The best level of pH for all growth conditions was 11. The ability of algae to remove azo dye depends on the pH levels on the medium and the stability of pH in the oxidative enzymes. El-Sheekh et al.6 reported that the best pH to remove azo dye by S. obliquus was 11, due to alga exerted some acidic compounds that released to medium, which neutralize the high pH levels of the medium. Chen et al.35 concluded that the optimum pH levels for high removal efficiency of azo dyes are often ranged from 6 to 10 for most dyes. Under the alkaline condition, azo dyes lose hydrogen ions, which cause ionization of the dye, influence the stability, and help the removal of dye from solutions36. The optimum pH level for removal Direct Blue 71 and Disperse Red 1 by Chlorella vulgaris was found to be at 81. Increasing in pH from 6 to 8 caused important proliferation in the rate of removal dye with indigenous microalgae11.
Figure 3.
Effect of different pH levels on the Disperse orange 2RL (20 ppm) removal percentage by microgreen alga S. obliquus grown under Mixotroph (a), Heterotroph (b), Heterotroph supplemented with glucose (c). Par represent standard error, different letters clear the significant result.
Nitrogen concentrations
Figure 4 displays the degradation of Disperse orange 2RL by S. obliquus at different nitrogen concentrations (1, 1.5, 2, and 3 g NaNO3/L) supplemented to the algal medium. The maximum percentage of dye removal percentage (98.14%), when nitrogen concentration was 1 g/L and was obtained when alga is grown under heterotrophic with glucose at 7 days, meanwhile 90.30% with mixotrophic, 94.35% with heterotrophic without glucose. The addition of nitrogen and phosphorus to the liquid media triggered biodegradation37–39.
Figure 4.
Effect of different nitrogen concentrations on the of Disperse orange 2RL (20 ppm) removal percentage by microgreen alga S. obliquus grown under mixotrophic (a), heterotrophic (b), heterotrophic supplemented with glucose (c). Par represent standard error, different letters clear the significant result.
Effects of different concentrations of Disperse orange 2RL on S. obliquus dry weight
The maximum decolorization of different dye concentrations of the of Disperse orange 2RL on alga dry weight at 20 ppm was 0.33 g/L with pH 7, KNO3 1.5 g/L, under mixotrophic conditions. The increasing of dye concentrations led to a decrease in the dry weight of alga Fig. 5. The present results agree with the previous findings of Acuner and Dilek40 concluded that high concentrations of dye had negative effects on algal growth. The growth rate of the Scenedesmus quadricauda decreased as indigo dye effluent concentration increased41. Algae undoubtedly have the potential to rapidly, efficiently, and effectively remove dyes to low concentrations and less toxic compounds42. According to the findings, the chosen microalga is capable of degrading and removing the color of various dyes from wastewater effluents. These findings are consistent with those of Anjaneyulu et al.43, who found that microalgae may remove dye color by various processes of assimilative chromophore usage for the generation of algal biomass, CO2, and H2O. As a result, colored dye molecules convert into non-colored ones, and chromophore adsorption on algal biomass occurs.
Figure 5.

Effect of different dye concentrations of the of Disperse orange 2RL on alga (S. obliquus) dry weight with mixotrophic conditions, pH 7 and KNO3 1.5 g/L. Par represent standard error, different letters clear the significant result.
Effect of different conditions on the algal dry weight grown with Disperse orange 2RL
pH levels
The maximum algal dry weight (Fig. 6) in the Disperse orange at pH 11 was obtained with mixotrophic (0.34 g), heterotrophic without glucose (0.43 g), heterotrophic with glucose was (0.48 g). In addition to having an effect on the cellular growth of algae, the pH had an effect on the enzyme activity that was responsible for the removal of the dye44. At high pH values, there was an increase in the amount of protein and biomass produced by S. obliquus45. The highest biomass yields were obtained when Scenedesmus sp. was cultivated at pH 846. The maximum biomass and chlorophyll content were obtained when Chlorella vulgaris was grown at pH 1147.
Figure 6.

Effect of different pH levels on the dry weight of alga (S. obliquus) grown with the Disperse orange dye (20 ppm) under different growth conditions. Par represent standard error, different letters clear the significant result.
KNO3
The results in Fig. 7 represent the maximum S. obliquus dry weight (0.52 g) obtained with 1 g KNO3/liter of the medium, when was grown in heterotrophic conditions and medium supplemented with glucose, followed by 0.44 g with heterotrophic, 0.36 g with mixotrophic. Glucose is the greatest commonly consumed carbon source for heterotrophic cultures of microalgae, as is the case for many other microbial species. Maximum rates of growth and respiration are attained with glucose than with any other sugars48. Glucose-induced physiological alterations in Chlorella vulgaris, which have a significant impact on carbon assimilation metabolic pathways, cell size, and storage material volume densities, such as starch and lipid grains49. Zili et al.50 reported that amended of glucose to the algal medium of Graesiella sp. promoted biomass and lipid productivity. Glucose was the best sugar among five sugar were tested that enhancement Scenedesmus sp. LX1density and biomass51.
Figure 7.

Effect of nitrogen concentrations in dry weight of alga (S. obliquus) was grown with the of Disperse orange dye (20 ppm) under different growth conditions. Par represent standard error, different letters clear the significant result.
Effect of dye concentrations on lipid percentage of alga
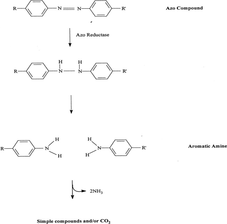
The data present in Fig. 8 denotes the lipid percentage content was 17.09, 11.92, and 14.03 of S. obliquus was grown with 20, 60 and 40 ppm Disperse orange 2RL respectively with mixotrophic conditions. Dye concentration 20 ppm was the best concentrations for enhancement lipid productions of S. obliquus. So this concentrations was chosen to complete the experiments, and test the effects of different conditions such as mixotrophic, heterotrophic and heterotrophic supplemented with 5% glucose with various pH levels, and various KNO3 on lipid algal contents to possible productions high amount of lipids, and biodiesel yields. Three different mechanisms of decolorization dyes by algae, adsorption of chromophore on algal biomass, degrading azo dyes, through an induced form of an azo reductase, degrading azo dyes, through an induced form of an azo reductase, utilization of chromophore for production of algal biomass, CO2 and H2O transformation of colored molecules to non-coloured molecules43. Figure 9 represents the degradation of dye. The carbon dioxide produced through decolorization of dye is utilized in lipid production by algae. Enrichment of CO2 as inorganic carbon source stimulated lipid biosynthesis and cell growth by accelerating photosynthetic carbon fixation in microalgae52. Neutral lipid production and accumulation was strongly accelerated in the presence of exogenous organic carbon source by accompanying with abolishing chlorophylls in a unicellular green alga Chlorella protothecoides53.
Figure 8.

Effect of different dye concentrations (Disperse orange 2RL) on lipids percentage produced by microgreen alga S. obliquus, under mixotrophic conditions, pH 7 and KNO3 1.5 g/L. Par represent standard error, different letters clear the significant result.
Figure 9.
Degradation of azo dyes by algae.
Effect of different conditions pH and KNO3 on lipids percentage produced by S. obliquus was grown with Disperse orange 2RL under mixotrophic and heterotrophic with and without glucose
The yield of microalga (Scenedesmus sp.) lipid per unit area was increased when grown under heterotrophic conditions with wastewater54. Figure 10 displays the effect of different pH levels on lipids percentage produced by microgreen alga S. obliquus that was grown with Disperse orange 2RL at different conditions. Results denote the best pH level was 5 which gives 31.16% of lipid produced by S. obliquus in heterotrophic condition, and also heterotrophic condition was denoted the best results at pH 7 and 9 in comparison with mixotrophic and heterotrophic with glucose. The results demonstrate there were significant effects at each level of pH among different conditions. The efficacy of azo dye removal is mostly determined by the pH in the middle, the endurance of azo dye analyzers, and the pH stability of oxidative enzymes. Any components of the microalgae cell carry out their critical duties under a specified pH, according to microalgae physiology and dye ingredients. The production of acidic extracellular metabolites by microalgae contributes to the neutralization of the high alkaline pH. This is one of the ways in which microalgal cells will defend themselves. Any portions of the cell microalgae (thylakoid of chloroplasts) conduct critical tasks under a particular degree of acidity due to the physiology of micro-members of microalgae. The photosynthetic process is significantly affected by the pH of the medium in which the microalgae are growing, which can have a considerable influence on the process. The alkaline medium is used for producing algae since the ideal pH value for microalgae growth is between 8.2 and 8.76, increasing the yield of microalgal lipid per unit area. Figure 11 exhibits the effect of different nitrogen concentrations (Disperse orange 2RL) on lipids percentage produced by microgreen alga S. obliquus that was grown at different conditions. The best result was obtained at heterotrophic conditions (19.77%) with 1 g KNO3, followed by 1.5 g KNO3 at heterotrophic culture supplemented with glucose. No significant effects were produced in lipid percentage at 1.5 and 2 g KNO3 between heterotrophic and heterotrophic with glucose. The starvation of nitrate leads to the accumulation of lipids, and also changes in fatty acids contents55. The starvation of KNO3 leads to the accumulation of lipids in microgreen alga S. obliquus56.
Figure 10.

Effect of different pH levels on lipids percentage produced by microgreen alga S. obliquus that grows with Disperse orange 2RL (20 ppm) at different conditions. Par represent standard error, different letters clear the significant result.
Figure 11.

Effect of different nitrogen concentrations Disperse orange 2RL (20 ppm) on lipids percentage produced by microgreen alga S. obliquus that was grown at different conditions. Par represent standard error, different letters clear the significant result.
There are three limiting factors in the degradation process of azo dyes by algae: (1) Dye degradability, which is mostly determined by the structural characteristics of dyes. (2) Effects of ambient circumstances on algae's ability to use dyes, which was assessed by algal physiological features57. In the current study, it was found that alga has the ability to break down azo dye, and that this ability is controlled by the physiological characteristics of the alga and the structure of the dye. These findings are consistent with those of Chen et al.35, who found that dye decolorization by microorganisms could be owing to adsorption to algae biomass or biodegradation by algae. The amount of dye decolorization can vary depending on the initial concentration of the dye58.
Infrared measurements (IR)
The results in Table 1 and Fig. 12 denote the infrared analysis of Disperse orange 2RL before and after treatments with S. obliquus. The results were evident; there were changes in azo region. The measured changes in spectral intensity and the existence of stretched vibration in IR of algal biomass treated with dyes revealed probable bio-sorption in addition to algal degradation activities in the current study. To show the intensity of the IR peak and the change in the structure of the dye compound before and after treatment by the alga. The peaks 1620.29 cm−1 and 1515 cm−1 presented in Disp. orang 2RL, but disappeared when treated with alga. Peak 1633.91 cm−1 in Disp. orang 2RL shifted to 1635 cm−1 after treatment by S. obliquus. There were emerged new peaks after treatment with S. obliquus 1635.89 cm−1 and 1744.52 cm−1 in azo range. The peak at 1515 cm−1 in Disperse orange disappeared after treatment with S. obliquus So, there is changes in azo range before treatments compared to after treatments with S. obliquus., the changes were achieved in Disperse orange after treatment with S. obliquus in azo range, so these results suggest that algal action cause the cleavage of azo linkage of Disp.orange2RL. These results confirmed the results of Disp.orange 2RL degradation, where high percentage was reached at 98.14%, by S. obliquus when nitrogen concentration was 1 g/l. The highest decolorization of Disperse orange 2RL was attained by S. obliquus in heterotrophic with glucose at pH 11 after 7 days of incubation. These results may be due to the ability of this alga to induce azo reductase enzyme under azo dye stress condition, these results agree with that obtained by Urushigawa and Yonezawa89.
Table 1.
Infrared spectrum of Disperse orange before S. obliquus action and Infrared spectrum of Disperse orange after S. obliquus action.
| Disperse orange | Disperse orange after S. obliquus action | Difference | References | ||
|---|---|---|---|---|---|
| Wave Cm−1 | Functional groups | Wave Cm−1 | Functional group | ||
| 3447 | Is attributed to –NH2 and –OH groups stretching vibration | 3430 | N–H stretching bands of mainly trans-ordered substructures | − 17 | 59,60 |
| 2976 | C–H stretching band | 3007 | C–H | + 31 | 61 |
| 2931 | Stretching C–H | 2925 | C–H stretching | − 6 | 62,63 |
| 2855 | CH2 of lipids | 64 | |||
| 2360 | C=O | 65 | |||
| 2250 | C≡N | 2358 | Corresponding to N–H | − 8 | 66 |
| 2084 | Stretching bands of C≡N | 67 | |||
| 1922 | (C=C=C) | 68 | |||
| 1830 | Stretching vibrations of C–O and C=O | 69 | |||
| 1796 | Strong C=O peak | 1744 | C=O stretching of phospholipids | − 52 | 70,71 |
| 1633 | Amide I′ band | 1635 | Absorbed O–H and conjugated C–O in polysaccharides | + 2 | 72,73 |
| 1620 | Aromatic C=C stretching | 74 | |||
| 1515 | Secondary amine group | 75 | |||
| 1460 | Asymmetric CH2 bending | 1459 | Terminal methyl groups | − 1 | 76,77 |
| 1412 | Stretching C–N, | 1405 | CH3 asymmetric deformation | − 7 | 78,79 |
| 1368 | CH2 polysaccharides | 80 | |||
| 1342 | CH2 wagging vibrations | 1310 | Amide III | − 32 | 81,82 |
| 1276 | N–H thymine | 1262 | PO2 asymmetric (Phosphate I) | − 14 | 78 |
| 1187 | C–N stretching | 1154 | C–NH–C | − 33 | 83 |
| 1093 | C–O vibrations | 84 | |||
| 1039 | Si1O stretching of montmorillonite | 1049 | C–O of alkoxy | + 10 | 85,86 |
| 898 | C–O groups | 900 | Phosphodiester region | − 2 | 87,88 |
Figure 12.
Infrared spectrum of Disperse orange before Scenedesmus obliquus action (A) Infrared spectrum of Disperse orange after Scenedesmus obliquus action (B).
Fatty acids methyl ester
The GC–MS analysis of Fatty acids methyl ester extracted from S. obliquus (control) after methylation was 10 compounds. These compounds are n-Hexadecanoic acid (C16H32O2 ), Oleic Acid (C18H34O2), Oleoyl chloride (C18H33ClO), 9-Octadecenoic acid (Z)-, 2,3-dihydroxypropyl ester (C21H40O), Yohimbic acid (C20H24N2O3), 9-Octadecenoic acid (Z)-, 2-hydroxy-1,3-propanediyl ester (C39H72O5), 1-Oxa-3-azaspiro[4.5]decan-2-one, 3-cyclohexyl-4-hydroxy-4-methyl (C15H25NO3), 0,11-Epoxy-n-undecan-1-ol (C11H24O), 9-Octadecenoic acid, 1,2,3-propanetriyl ester, (E,E,E)-(C57H104O6), and 8,12-Trimethyltridecan-4-olide (C16H30O2), the percentage area was 9.19, 40.77, 3.12, 1.69, 4.93, 1.31, 19.04, 1.74, 1.27 and 16.89 respectively Table 1. The lipids extracted from S. obliquus which was grown under heterotrophic conditions, with pH 11, medium supplemented with 1 g KNO3 and supplemented with 20 ppm Disperse orange 2RL Azo dye, were seven compounds, n-Hexadecanoic acid, Oleic Acid, Oleoyl chloride, 9-Octadecenoic acid (Z)-, 2,3-dihydroxypropyl ester, 9-Octadecenoic acid (Z)-, 2-hydroxy-1,3-propanediyl ester, Oleic acid, 3-(octadecyloxy) propyl ester and Urs-12-en-28-ol, the percentage of area was 18.44, 72.049, 1.72, 4.62, 1.3, 1.07 and 0.76 respectively Table 1. Unpaprom et al.89 reported Scenedesmus acuminatus had the highest oleic acid content, in comparison with the other five algae, which makes it the most suitable isolate for the manufacture of good quality biodiesel. This study indicated the heterotrophic conditions with 1 g KNO3 amended to algal medium and pH 11were the best conditions for lipids productions, and contents of S. obliquus. Li et al.90 reported that the highest lipid contents of Chlorella protothecoides were obtained when growing under heterotrophic cultivation in comparison to heterotrophy–photoinduction cultivation. Shen et al.91 reported that mixotrophic conditions with nitrogen depletion led to high FAME produced by S. obliquus. El‑Naggar et al.92 reported that S. obliquus proved efficiency in eliminating dyes and produce renewable fuels, such as biodiesel (Table 2).
Table 2.
GC–MS analysis of Fatty acids methyl ester (FAME) produced by S.obliquus (a) and under grown with Disperse orange 2RL Azo dye under hetrotrophic conditions with medium supplemented with 5% glucose at pH 11 and KNO3 conc., 1 g/L (b).
| Compounds | Area% of control | Area% after treatment |
|---|---|---|
| n-Hexadecanoic acid (C16H32O2) | 9.19 | 18.44 |
| Oleic Acid (C18H34O2) | 40.77 | 72.049 |
| Oleoyl chloride (C18H33ClO) | 3.12 | 1.72 |
| 9-Octadecenoic acid (Z)-, 2,3dihydroxypropyl ester (C21H40O) | 1.69 | 4.62 |
| Yohimbic acid (C20H24N2O3) | 4.93 | – |
| 9-Octadecenoic acid (Z)-, 2-hydroxy-1,3-propanediyl ester (C39H72O5) | 1.31 | 1.3 |
| 1-Oxa-3-azaspiro[4.5]decan-2-one, 3-cyclohexyl-4-hydroxy-4-methyl (C15H25NO3) | 19.04 | – |
| 0,11-Epoxy-n-undecan-1-ol C11H24O | 1.74 | – |
| 9-Octadecenoic acid, 1,2,3-propanetriyl ester, (E,E,E)-C57H104O6 | 1.27 | – |
| 8,12-Trimethyltridecan-4-olide (C16H30O2) | 16.89 | – |
| Oleic acid, 3-(octadecyloxy) propyl ester (C39H76O3) | – | 1.07 |
| Urs-12-en-28-ol (C30H50O) | – | 0.76 |
| Total | 98.22 | 99.95 |
Conclusions
The experimental design strategy combined with the use of the desirability function for the optimization of nitrogen, pH, different concentration of dyes showed to be a successful tool for maximizing cell and oil production simultaneously. The high biomass and lipid production under nutrient deprivation and ambient air supply could decrease the cost of biodiesel production. Hence, the high proportion of C16 and C18 in the lipids showed Scenedesmus sp. to be a potential microalgae species for biodiesel production. When compared to phototrophic circumstances, algae that grow in a heterotrophic system produce the most biomass and lipid production, and the growth of algae in a heterotrophic system is both easier and less expensive to maintain on a large scale.
Author contributions
R.A.H. proposed the research topic, interpretation of the results, writing and revision of the manuscript. N.E.E. carried out GC–MS analysis, experimental instructions, and contributed with revision of the final version of the manuscript. G.A.E. carried out the experiments, provided necessary tools for experiments and contributed to the writing and revision of the manuscript. All authors read and approved the final manuscript.
Funding
Not applicable.
Data availability
The datasets spent and/or analyzed during this study are available from the corresponding author on reasonable request.
Competing interests
The authors declare no competing interests.
Footnotes
Publisher's note
Springer Nature remains neutral with regard to jurisdictional claims in published maps and institutional affiliations.
References
- 1.Ishchi T, Sibi G. Azo dye degradation by Chlorella vulgaris: Optimization and kinetics. Int. J. Biol. Chem. 2020;14(1):1–7. doi: 10.3923/ijbc.2020.1.7. [DOI] [Google Scholar]
- 2.Ferraz ER, Li Z, Boubriak O, de Oliveira DP. Hepatotoxicity assessment of the azo dyes disperse orange 1 (DO1), disperse red 1 (DR1) and disperse red 13 (DR13) in HEPG2 cells. J. Toxicol. Environ. Health A. 2012;75:16–17. doi: 10.1080/15287394.2012.696513. [DOI] [PubMed] [Google Scholar]
- 3.Cetin D, Donmez G. Decolorization of reactive dyes by mixed cultures isolated from textile effluent under anaerobic conditions. Enzyme Microb. Technol. 2006;38:926–930. doi: 10.1016/j.enzmictec.2005.08.020. [DOI] [Google Scholar]
- 4.Dos Santos AB, Cervantes FJ, van Lier JB. Review paper on current technologies for decolourisation of textile wastewaters: Perspectives for anaerobic biotechnology. Bioresour. Technol. 2007;98:2369–2385. doi: 10.1016/j.biortech.2006.11.013. [DOI] [PubMed] [Google Scholar]
- 5.El-Sheekh M, Abou-El-Souod WG, Al Asrag HA. Biodegradation of some dyes by the cyanobacteria species Pseudoanabaena sp. and Microcystis aeruginosa Kützing. Egypt. J. Exp. Biol. (Bot.) 2017;13:233–243. [Google Scholar]
- 6.El-Sheekh, M. M., El-Shanshoury, A. R., Abou-El-Souod, G. W., Gharieb, D. Y. & El Shafay, S. M. Decolorization of dyestuffs by some species of green algae and cyanobacteria and its consortium. Int. J. Environ. Sci. Technol. 1–12 (2021).
- 7.Dellamatrice PM, Silva-Stenico ME, de Moraes LAB, Fiore MF, Monteiro RTR. Degradation of textile dyes by cyanobacteria. Braz. J. Microbiol. 2017;48:25–31. doi: 10.1016/j.bjm.2016.09.012. [DOI] [PMC free article] [PubMed] [Google Scholar]
- 8.Abou-El-Souod G, Hamouda RA, El-Sheekh M. Influence of heavy metal as co-contamination on biodegradation of dyes by free and immobilized Scenedesmus obliquus. Desalin. Water Treat. 2020;182:351–358. doi: 10.5004/dwt.2020.25144. [DOI] [Google Scholar]
- 9.Chinnasamy S, Bhatnagar A, Hunt RW, Das K. Microalgae cultivation in a wastewater dominated by carpet mill effluents for biofuel applications. Bioresour. Technol. 2010;101:3097–3105. doi: 10.1016/j.biortech.2009.12.026. [DOI] [PubMed] [Google Scholar]
- 10.Premaratne M, Nishshanka GKSH, Liyanaarachchi VC, Nimarshana PHV, Ariyadasa TU. Bioremediation of textile dye wastewater using microalgae: Current trends and future perspectives. J. Chem. Technol. Biotechnol. 2021;96(12):3249–3258. doi: 10.1002/jctb.6845. [DOI] [Google Scholar]
- 11.Aragaw TA, Asmare AM. Phycoremediation of textile wastewater using indigenous microalgae. Water Practice Technol. 2018;13(2):274–284. doi: 10.2166/wpt.2018.037. [DOI] [Google Scholar]
- 12.Wu LF, Chen PC, Huang AP, Lee CM. The feasibility of biodiesel production by microalgae using industrial wastewater. Bioresour. Technol. 2012;113:14–18. doi: 10.1016/j.biortech.2011.12.128. [DOI] [PubMed] [Google Scholar]
- 13.Koo J, Park D, Kim H. Expression of bovine lactoferrin N-lobe by the green alga, Chlorella vulgaris. Algae. 2013;28:379–387. doi: 10.4490/algae.2013.28.4.379. [DOI] [Google Scholar]
- 14.Rasala BA, Mayfield SP. Photosynthetic biomanufacturing in green algae; production of recombinant proteins for industrial, nutritional, and medical uses. Photosynth. Res. 2015;123:227–239. doi: 10.1007/s11120-014-9994-7. [DOI] [PubMed] [Google Scholar]
- 15.Perez-Garcia O, Escalante F, de-Bashan L, Bashan Y. Heterotrophic cultures of microalgae: Metabolism and potential products. Water Res. 2011;45:11–36. doi: 10.1016/j.watres.2010.08.037. [DOI] [PubMed] [Google Scholar]
- 16.Bruton, T., Lyons, H., Lerat, Y. Stanley, M. & Rasmussen, M.B. A review of the potential of marine algae as a source of biofuel in Ireland. Sustain. Energy Ireland Dublin Ireland. 1–88 (2009).
- 17.Kim S, Park JE, Cho YB, Hwang SJ. Growth rate, organic carbon and nutrient removal rates of Chlorella sorokiniana in autotrophic, heterotrophic and mixotrophic conditions. Bioresour. Technol. 2013;144:8–13. doi: 10.1016/j.biortech.2013.06.068. [DOI] [PubMed] [Google Scholar]
- 18.Morales-Sanchez D, Martinez-Rodriguez OA, Martinez A. Heterotrophic cultivation of microalgae: Production of metabolites of commercial interest. J. Chem. Technol. Biotechnol. 2017;92:925–936. doi: 10.1002/jctb.5115. [DOI] [Google Scholar]
- 19.Selvan BK, Revathi M, Piriya PS, Vasan PT, Prabhu D, Vennison SJ. Biodiesel production from marine cyanobacteria cultured in plate and tubular photobioreactors. Indian J. Exp. Biol. 2013;51:262–268. [PubMed] [Google Scholar]
- 20.Shi W, Li J, He B, Yan F, Cui Z, Wu K, et al. Biodiesel production from waste chicken fat with low free fatty acids by an integrated catalytic process of composite membrane and sodium methoxide. Bioresource Technol. 2013;139:316–322. doi: 10.1016/j.biortech.2013.04.040. [DOI] [PubMed] [Google Scholar]
- 21.Gonçalves VL, Pinto BP, Silva JC, Mota CJ. Acetylation of glycerol catalyzed by different solid acids. Catal. Today. 2008;133:673–677. doi: 10.1016/j.cattod.2007.12.037. [DOI] [Google Scholar]
- 22.Bischoff, H.W. & Bold, H.C. Physiological studies IV. Some Soil Algae from Enchanted Rock and Related Algal Species. University of Texas, Austin, pp. 1–195 (1963).
- 23.Telke AA, Joshi SM, Jadhav SU, Tamboli DP, Govindwar SP. Decolorization and detoxification of Congo red and textile industry effluent by an isolated bacterium Pseudomonas sp SU-EBT. Biodegradation. 2010;21(2):283–296. doi: 10.1007/s10532-009-9300-0. [DOI] [PubMed] [Google Scholar]
- 24.Sarwa P, Verma S. Decolourization of orange G dye by Microalgae Acutodesmus obliquus strain PSV2 isolated from textile industrial. Int. J. Appl. Sci. Biotechnol. 2013;1(4):247–252. doi: 10.3126/ijasbt.v1i4.9141. [DOI] [Google Scholar]
- 25.Shyamala A, Hemapriya J, Kadakkan V, Vijayanand S. Bioremediation of Methyl Orange, a synthetic textile azo dye by a halo tolerant bacterial strain. Int. J. Curr. Res. Aca. Rev. 2014;2(8):373–381. [Google Scholar]
- 26.Mikaia, A., EI, P. E. W. V., EI, V. Z., EI, D. Z., EI, O. D. S., Neta, P., Sparkman, O. D. NIST standard reference database 1A. Standard Reference Data, NIST, Gaithersburg, MD, USA https://www.nist.gov/srd/nist-standard-reference-database-1a (2014).
- 27.Srashti D. Effect of textile dyes on Spirulina platensis. J. Chem. Pharmaceut. Res. 2013;5(4):66–80. [Google Scholar]
- 28.Keith W, John W. PH and Oxygen Electrodes, Principles and Techniques of Biochemistry and Molecular Biology. 6. Cambridge University Press; 2008. pp. 18–23. [Google Scholar]
- 29.Sokal RR, Rohlf FJ. Biometry: The Principles and Practice of Statistics in Biological Research. 3. W. H. Freeman and Company; 1995. p. 937. [Google Scholar]
- 30.Chen KC, Wu JY, Liou DJ, Hwang SCJ. Decolorization of the textile dyes by newly isolated bacterial strains. J. Biotechnol. 2003;101:57–68. doi: 10.1016/S0168-1656(02)00303-6. [DOI] [PubMed] [Google Scholar]
- 31.Aydin H, Baysal G. Adsorption of acid dyes in aqueous solutions by Pistacala khinjuk Stocks. Desalination. 2006;196:248–259. doi: 10.1016/j.desal.2005.11.025. [DOI] [Google Scholar]
- 32.Bafana A, Kirishnamurthi K, Devi S, Chakrabarti T. Biological decolorization of C.I. Direct Black 38 by E. gallinarum. J. Hazardous Mater. 2008;157:183–193. doi: 10.1016/j.jhazmat.2007.12.085. [DOI] [PubMed] [Google Scholar]
- 33.Joe MH, Lim SY, Kim DH, Lee IS. Decolorization of reactive dyes by Clostridium bifermentans SL186 isolated from contaminated soil. World J. Microbiol. Biotechnol. 2008;24(10):2221–2226. doi: 10.1007/s11274-008-9733-3. [DOI] [Google Scholar]
- 34.González-Gutiérrez LV, González-Alatorre G, Escamilla-Silva EM. Proposed pathways for the reduction of a reactive azo dye in an anaerobic fixed bed reactor. World J. Microbiol. Biotechnol. 2009;25(3):415–426. doi: 10.1007/s11274-008-9906-0. [DOI] [Google Scholar]
- 35.Chen KC, Huang WT, Wu JY, Houng JY. Microbial decolorization of azo dyes by Proteus mirabilis. J. Ind. Microbiol. Biotechnol. 1999;23(1):686–690. doi: 10.1038/sj.jim.2900689. [DOI] [PubMed] [Google Scholar]
- 36.Mahmoud AS, Ghaly AE, Brooks MS. Removal of dye from textile wastewater using plant oils under different pH and temperature conditions. Am. J. Environ Sci. 2007;3(4):205–218. doi: 10.3844/ajessp.2007.205.218. [DOI] [Google Scholar]
- 37.Flores E, Herrero A. Nitrogen assimilation and nitrogen control in cyanobacteria. Biochem. Soc. Trans. 2005;33(1):164–167. doi: 10.1042/BST0330164. [DOI] [PubMed] [Google Scholar]
- 38.Kassim, T. Possible use of microgreen algae to remove phosphate and nitrate from wastewater. in Proceedings of International Symposium on Environmental Pollution Control and Waste Management. 628–632 (2002)
- 39.Aslan S, Kapdan I. Batch kinetics of nitrogen and phosphorous removal from synthetic wastewater by algae. Ecol. Eng. 2006;28:64–70. doi: 10.1016/j.ecoleng.2006.04.003. [DOI] [Google Scholar]
- 40.Acuner E, Dilek F. Treatment of tectilon yellow 2G by Chlorella vulgaris. Process Biochem. 2004;39:623–631. doi: 10.1016/S0032-9592(03)00138-9. [DOI] [Google Scholar]
- 41.Chia MA, Musa RI. Effect of indigo dye effluent on the growth, biomass production and phenotypic plasticity of Scenedesmus quadricauda (Chlorococcales) An. Acad. Bras. Ciênc. 2014;86:419–428. doi: 10.1590/0001-3765201420130225. [DOI] [PubMed] [Google Scholar]
- 42.Mahalakshmi S, Lakshmi D, Menaga U. Biodegradation of different concentration of dye (Congo red dye) by using green and blue green algae. Int. J. Environ. Res. 2015;9(2):735–744. [Google Scholar]
- 43.Anjaneyulu Y, Sreedhara CN, Raj D. Decolourization of industrial effluents–available methods and emerging technologies—A review. Rev. Environ. Sci. Biotechnol. 2005;4:245–273. doi: 10.1007/s11157-005-1246-z. [DOI] [Google Scholar]
- 44.Waqas, R., Arshad, M., Asghar, H. N., & Asghar, M. Optimization of factors for enhanced phycoremediation of reactive blue azo dye. Int. J. Agric. Biol. 17(4) (2015).
- 45.Hodaifa G, Martínez ME, Sánchez S. Influence of pH on the culture of Scenedesmus obliquus in olive-mill wastewater. Biotechnol. Bioprocess Eng. 2009;14(6):854–860. doi: 10.1007/s12257-009-0119-7. [DOI] [Google Scholar]
- 46.Bakuei N, Amini G, Najafpour GD, Jahanshahi M, Mohammadi M. Optimal cultivation of Scenedesmus sp. microalgae in a bubble column photobioreactor. Indian J. Chem. Technol. 2015;22:20–25. [Google Scholar]
- 47.El-Sheekh MM, El Sabagh S, Abou-El-Souod G, Elbeltagy A. The effect of different growth conditions on the biomass and chemical constituents of Chlorella vulgaris. Egypt. J. Exp. Biol. (Bot). 2018;14(1):121–131. [Google Scholar]
- 48.Chen F, Johns MR. Effect of C/N ratio and aeration on the fatty acid composition of heterotrophic, Chlorella sorokiniana. J. Appl. Phycol. 1991;3:203–209. doi: 10.1007/BF00003578. [DOI] [Google Scholar]
- 49.Martinez F, Orus MI. Interactions between glucose and inorganic carbon metabolism in Chlorella vulgaris strain UAM101. Plant Physiol. 1991;95:1150–1155. doi: 10.1104/pp.95.4.1150. [DOI] [PMC free article] [PubMed] [Google Scholar]
- 50.Zili F, Bouzidi N, Ammar J, Zakhama W, Ghoul M, Sayadi S, Ouada HB. Mixotrophic cultivation promotes growth, lipid productivity, and PUFA production of a thermophilic Chlorophyta strain related to the genus Graesiella. J. Appl. Phycol. 2017;29(1):35–43. doi: 10.1007/s10811-016-0941-1. [DOI] [Google Scholar]
- 51.He Y, Hong Y, Liu X, et al. Influences of carbon and nitrogen sources and metal ions on the heterotrophic culture of Scenedesmus sp LX1. Environ. Sci. Pollut. Res. 2019;26:13381–13389. doi: 10.1007/s11356-019-04807-w. [DOI] [PubMed] [Google Scholar]
- 52.Kumar A, Ergas S, Yuan X, Sahu A, Zhang Q, Dewulf J, Malcata FX, Van Langenhove H. fixation and biofuel production via microalgae: Recent developments and future directions. Trends Biotechnol. 2010;28(7):371–380. doi: 10.1016/j.tibtech.2010.04.004. [DOI] [PubMed] [Google Scholar]
- 53.Miao X, Wu Q. Biodiesel production from heterotrophic microalgal oil. Biores. Technol. 2006;97(6):841–846. doi: 10.1016/j.biortech.2005.04.008. [DOI] [PubMed] [Google Scholar]
- 54.Zhou W, Li Y, Min M, Hu B, Chen P, Ruan R. Local bioprospecting for high-lipid producing microalgal strains to be grown on concentrated municipal wastewater for biofuel production. Bioresour. Technol. 2011;102(13):6909–6919. doi: 10.1016/j.biortech.2011.04.038. [DOI] [PubMed] [Google Scholar]
- 55.Khozin-Goldberg I, Iskandarov U, Cohen Z. LC-PUFA from photosynthetic microalgae: Occurrence, biosynthesis, and prospects in biotechnology. Appl. Microbiol. Biotechnol. 2011;91:905–915. doi: 10.1007/s00253-011-3441-x. [DOI] [PubMed] [Google Scholar]
- 56.Hamouda RA, El-Naggar NEA, Abou-El-Seoud GW. Enhancement of pharmaceutical and bioactive components of Scenedesmus obliquus grown using different concentrations of KNO3. Int. J. Pharmacol. 2018;14(6):758–765. doi: 10.3923/ijp.2018.758.765. [DOI] [Google Scholar]
- 57.Jinqi L, Houtian L. Degradation of azo dyes by algae. Environ. Pollut. 1992;75:273–278. doi: 10.1016/0269-7491(92)90127-V. [DOI] [PubMed] [Google Scholar]
- 58.Urushigawa Y, Yonezawa Y. Chemo-biological interactions in biological purification system II—Biodegradation of azo compound by activated sludge. Bull. Environ. Contamin. Toxicol. 1977;17:214–218. doi: 10.1007/BF01685553. [DOI] [PubMed] [Google Scholar]
- 59.Lustriane C, Dwivany FM, Suendo V, Reza M. Effect of chitosan and chitosan-nanoparticles on post harvest quality of banana fruits. J. Plant Biotechnol. 2018;45(1):36–44. doi: 10.5010/JPB.2018.45.1.036. [DOI] [Google Scholar]
- 60.Verdonck M, Denayer A, Delvaux B, Garaud S, De Wind R, Desmedt C, Goormaghtigh E. Characterization of human breast cancer tissues by infrared imaging. Analyst. 2016;141(2):606–619. doi: 10.1039/C5AN01512J. [DOI] [PubMed] [Google Scholar]
- 61.Wang, Y., Ramos, I., & Santiago-Aviles, J. J. Diversity of nanofibers from electrospinning: From graphitic carbons to ternary oxides. In Nanofibers. IntechOpen. 91–120 (2010).
- 62.Beljebbar A, Dukic S, Amharref N, Bellefqih S, Manfait M. Monitoring of biochemical changes through the C6 gliomas progression and invasion by Fourier transform infrared (FTIR) imaging. Anal. Chem. 2009;81(22):9247–9256. doi: 10.1021/ac901464v. [DOI] [PubMed] [Google Scholar]
- 63.Stone N, Kendall C, Smith J, Crow P, Barr H. Raman spectroscopy for identification of epithelial cancers. Faraday Discuss. 2004;126:141–157. doi: 10.1039/b304992b. [DOI] [PubMed] [Google Scholar]
- 64.Schubert JM, Bird B, Papamarkakis K, Miljkovi CM, Bedrossian K, Laver N, Diem M. Spectral cytopathology of cervical samples: Detecting cellular abnormalities in cytologically normal cells. Lab. Invest. 2010;90(7):1068–1077. doi: 10.1038/labinvest.2010.72. [DOI] [PMC free article] [PubMed] [Google Scholar]
- 65.Zare M, Namratha K, Alghamdi S, Mohammad YHE, Hezam A, Zare M, Zhang X. Novel green biomimetic approach for synthesis of ZnO-Ag nanocomposite; antimicrobial activity against food-borne pathogen, biocompatibility and solar photocatalysis. Sci. Rep. 2019;9(1):1–15. doi: 10.1038/s41598-019-44309-w. [DOI] [PMC free article] [PubMed] [Google Scholar]
- 66.Xu L, Che L, Zheng J, Huang G, Wu X, Chen P, et al. Synthesis and thermal degradation property study of N-vinylpyrrolidone and acrylamide copolymer. RSC Adv. 2014;4(63):33269–33278. doi: 10.1039/C4RA05720A. [DOI] [Google Scholar]
- 67.Yan X, Yang Y, Liu E, Sun L, Wang H, Liao XZ, He Y, Ma Z. Improved cycling performance of prussian blue cathode for sodium ion batteries by controlling operation voltage range. Electrochim. Acta. 2019;225(2017):235–242. [Google Scholar]
- 68.Moni SS, Alam MF, Makeen HA, Alhazmi HA, Sultan M, Siddiqui R, Albratty M. Solvent extraction, spectral analysis and antibacterial activity of the bioactive crystals of Sargassum aquifolium (Turner) C Agardh from Red Sea. Nat. Product Res. 2021;35(8):1379–1383. doi: 10.1080/14786419.2019.1645659. [DOI] [PubMed] [Google Scholar]
- 69.Zhu D, Hou J, Zhang L, Gao Y, Dai B, Lian Y, Zhang H. Microbial porous carbon by low-alkali activation for flexible supercapacitors. J. Electron. Mater. 2021;50(12):6733–6740. doi: 10.1007/s11664-021-09213-y. [DOI] [Google Scholar]
- 70.Asghar J, Arul L, Sakki S. Thermo dynamical properties and ftir studies of the binary mixture 2-chlorophenol in methyl acetate at different temperatures. Int. J. Sci. Human. 2021;7(1):124–132. [Google Scholar]
- 71.Gilarranz MA, Rodríguez F, Oliet M, García J, Alonso V. Phenolic OH group estimation by FTIR and UV spectroscopy. Application to organosolv lignins. J. Wood Chem. Technol. 2001;21(4):387–395. doi: 10.1081/WCT-100108333. [DOI] [Google Scholar]
- 72.Imamura H, Kato M. Effect of pressure on helix-coil transition of an alanine-based peptide: An FTIR study. Proteins Struct. Function Bioinform. 2009;75(4):911–918. doi: 10.1002/prot.22302. [DOI] [PubMed] [Google Scholar]
- 73.Karunakaran C, Christensen CR, Gaillard C, Lahlali R, Blair LM, Perumal V, Miller SS, Hitchcock AP. Introduction of Soft X-ray spectromicroscopy as an advanced technique for plant biopolymers research. PLoS ONE. 2015;10(3):e0122959. doi: 10.1371/journal.pone.0122959. [DOI] [PMC free article] [PubMed] [Google Scholar]
- 74.Dutta S, Hartkopf-Fröder C, Witte K, Brocke R, Mann U. Molecular characterization of fossil palynomorphs by transmission micro-FTIR spectroscopy: Implications for hydrocarbon source evaluation. Int. J. Coal Geol. 2013;115:13–23. doi: 10.1016/j.coal.2013.04.003. [DOI] [Google Scholar]
- 75.Fadeyi AE, Akiode SO, Falayi OE, Fatokun AO, Orijajogun JO. Phytochemical, antioxidant, proximate and FTIR analysis of Calopogonium mucunoides Desv. extracts using selected solvents. World J. Biol. Pharm. Health Sci. 2020;4(1):014–022. doi: 10.30574/wjbphs.2020.4.1.0069. [DOI] [Google Scholar]
- 76.Wen SJ, Richardson TJ, Ghantous DI, Striebel KA, Ross HP, Cairns EJ. FTIR characterization of PEO+ LiN (CF3SO2) 2 electrolytes. J. Electroanal. Chem. 1996;408(1–2):113–118. doi: 10.1016/0022-0728(96)04536-6. [DOI] [Google Scholar]
- 77.Porubská M, Szöllős O, Kóňová A, Janigová I, Jašková M, Jomová K, Chodák I. FTIR spectroscopy study of polyamide-6 irradiated by electron and proton beams. Polym. Degrad. Stab. 2012;97(4):523–531. doi: 10.1016/j.polymdegradstab.2012.01.017. [DOI] [Google Scholar]
- 78.Choo LP, Mansfield JR, Pizzi N, Somorjai RL, Jackson M, Halliday WC, Mantsch HH. Infrared spectra of human central nervous system tissue: Diagnosis of Alzheimer’s disease by multivariate analyses. Biospectros. 1995;1(2):141–148. doi: 10.1002/bspy.350010208. [DOI] [Google Scholar]
- 79.Frank CJ, Redd DC, Gansler TS, McCreery RL. Characterization of human breast biopsy specimens with near-IR Raman spectroscopy. Anal. Chem. 1994;66(3):319–326. doi: 10.1021/ac00075a002. [DOI] [PubMed] [Google Scholar]
- 80.Wong PTT, Papavassiliou ED, Rigas B. Phosphodiester stretching bands in theinfrared spectra of human tissues and cultured cells. Appl. Spectros. 1991;45(9):1563–1567. doi: 10.1366/0003702914335580. [DOI] [Google Scholar]
- 81.Pucić I, Jurkin T. FTIR assessment of poly (ethylene oxide) irradiated in solid state, melt and aqeuous solution. Radiat. Phys. Chem. 2012;81(9):1426–1429. doi: 10.1016/j.radphyschem.2011.12.005. [DOI] [Google Scholar]
- 82.Liu Y, Xu Y, Zhang Y, Wang D, Xiu D, Xu Z, Ling X. Detection of cervical metastatic lymph nodes in papillary thyroid carcinoma by Fourier transform infrared spectroscopy. Br. J. Surg. 2011;98(3):380–384. doi: 10.1002/bjs.7330. [DOI] [PubMed] [Google Scholar]
- 83.Shen J, Shi M, Yan B, Ma H, Li N, Hu Y, Ye M. Covalent attaching protein to graphene oxide via diimide-activated amidation. Colloids Surf. Biointerfaces. 2010;81:434–438. doi: 10.1016/j.colsurfb.2010.07.035. [DOI] [PubMed] [Google Scholar]
- 84.Jacob MME, Arof AK. FTIR studies of DMF plasticized polyvinyledene fluoride based polymer electrolytes. Electrochim. Acta. 2000;45(10):1701–1706. doi: 10.1016/S0013-4686(99)00316-3. [DOI] [Google Scholar]
- 85.Chen G, Liu S, Chen S, Qi Z. FTIR spectra, thermal properties, and dispersibility of a polystyrene/montmorillonite nanocomposite. Macromol. Chem. Phys. 2001;202(7):1189–1193. doi: 10.1002/1521-3935(20010401)202:7<1189::AID-MACP1189>3.0.CO;2-M. [DOI] [Google Scholar]
- 86.Hanifah, M. F. R., Jaafar, J., Aziz, M., Ismail, A. F., Rahman, M. A., & Othman, M. H. D. Synthesis of Graphene Oxide Nanosheets via Modified Hummers’ Method and its Physicochemical Properties. Jurnal Teknologi. 74(1), (2015).
- 87.Reddy KO, Ashok B, Reddy KRN, Feng Y, Zhang J, Rajulu AV. Extraction and characterization of novel lignocellulosic fibers from Thespesia lampas plant. Int. J. Polym. Anal. Charact. 2014;19(1):48–61. doi: 10.1080/1023666X.2014.854520. [DOI] [Google Scholar]
- 88.Wood BR, Quinn MA, Tait B, Ashdown M, Hislop T, Romeo M, McNaughton D. FTIR microspectroscopic study of cell types and potential confounding variables in screening for cervical malignancies. Biospectros. 1998;4(2):75–91. doi: 10.1002/(SICI)1520-6343(1998)4:2<75::AID-BSPY1>3.0.CO;2-R. [DOI] [PubMed] [Google Scholar]
- 89.Unpaprom Y, Tipnee S, Ramaraj R. Biodiesel from green alga Scenedesmus acuminatus. Int. J. Sustainable Green Energy. 2015;4(1):1–6. [Google Scholar]
- 90.Li Y, Xu H, Han F, Mu J, Chen D, Feng B, Zeng H. Regulation of lipid metabolism in the green microalga Chlorella protothecoides by heterotrophy–photoinduction cultivation regime. Biores. Technol. 2015;192:781–791. doi: 10.1016/j.biortech.2014.07.028. [DOI] [PubMed] [Google Scholar]
- 91.Shen XF, Hu H, Ma LL, Lam PK, Yan SK, Zhou SB, Zeng RJ. FAMEs production from Scenedesmus obliquus in autotrophic, heterotrophic and mixotrophic cultures under different nitrogen conditions. Environ. Sci.: Water Res. Technol. 2018;4(3):461–468. [Google Scholar]
- 92.El-Naggar NEA, Hamouda RA, Abou-El-Souod GW. Statistical optimization for simultaneous removal of methyl red and production of fatty acid methyl esters using fresh alga Scenedesmus obliquus. Sci. Rep. 2022;12(1):1–21. doi: 10.1038/s41598-022-11069-z. [DOI] [PMC free article] [PubMed] [Google Scholar]
Associated Data
This section collects any data citations, data availability statements, or supplementary materials included in this article.
Data Availability Statement
The datasets spent and/or analyzed during this study are available from the corresponding author on reasonable request.




