Abstract
Background
COVID-19 patients requiring mechanical ventilation are particularly at risk of developing ventilator-associated pneumonia (VAP). Risk factors and the prognostic impact of developing VAP during critical COVID-19 have not been fully documented.
Methods
Patients invasively ventilated for at least 48 h from the prospective multicentre COVID-ICU database were included in the analyses. Cause-specific Cox regression models were used to determine factors associated with the occurrence of VAP. Cox-regression multivariable models were used to determine VAP prognosis. Risk factors and the prognostic impact of early vs. late VAP, and Pseudomonas-related vs. non-Pseudomonas-related VAP were also determined.
Main findings
3388 patients were analysed (63 [55–70] years, 75.8% males). VAP occurred in 1523/3388 (45.5%) patients after 7 [5–9] days of ventilation. Identified bacteria were mainly Enterobacteriaceae followed by Staphylococcus aureus and Pseudomonas aeruginosa. VAP risk factors were male gender (Hazard Ratio (HR) 1.26, 95% Confidence Interval [1.09–1.46]), concomitant bacterial pneumonia at ICU admission (HR 1.36 [1.10–1.67]), PaO2/FiO2 ratio at intubation (HR 0.99 [0.98–0.99] per 10 mmHg increase), neuromuscular-blocking agents (HR 0.89 [0.76–0.998]), and corticosteroids (HR 1.27 [1.09–1.47]). VAP was associated with 90-mortality (HR 1.34 [1.16–1.55]), predominantly due to late VAP (HR 1.51 [1.26–1.81]). The impact of Pseudomonas-related and non-Pseudomonas-related VAP on mortality was similar.
Conclusion
VAP affected almost half of mechanically ventilated COVID-19 patients. Several risk factors have been identified, among which modifiable risk factors deserve further investigation. VAP had a specific negative impact on 90-day mortality, particularly when it occurred between the end of the first week and the third week of ventilation.
Keywords: COVID-19, Intensive Care Unit, Invasive mechanical ventilation, Mortality, Risk factors, Ventilator-associated pneumonia
Abbreviations: ARDS, Acute Respiratory Distress Syndrome; C-VAP, COVID-19-related VAP; COVID-19, coronavirus(SARS-CoV-2)-related disease; HR, Hazard Ratio; ICU, Intensive Care Unit; IL, Interleukin; IMV, invasive mechanical ventilation; NC-VAP, non COVID-19-related VAP; NMBA, Neuro Muscular Blocking Agents; VAP, ventilator-associated pneumonia
1. Introduction
“Coronavirus disease 2019” (COVID-19), due to SARS-CoV-2 infection, primarily affects the lungs. From the beginning of the pandemic to early September 2022, approximately 615 million people have been diagnosed with COVID-19, among whom approximately 6.5 million died, worldwide [1]. Severe pneumonia and acute respiratory distress syndrome (ARDS) are the two most severe forms of COVID-19. High-flow oxygen therapy is the first-line treatment of COVID-19-related severe hypoxemia [2], however, more than half of critically ill COVID-19 patients will require invasive mechanical ventilation (IMV). Ventilator-associated pneumonia (VAP) affects between 29% and 64% of COVID-19 patients [3], [4], [5], [6], [7]. VAP incidences of up to 84% have even been reported in SARS-CoV-2 infected patients requiring ECMO [8]. To date, several pathophysiological hypotheses have been proposed to explain the particular vulnerability of COVID-19 patients to bacterial lung superinfection. However, the identification of risk factors of VAP, as well as the impact of VAP on the prognosis of severely SARS-CoV-2 infected patients is not fully documented. Previous reports based on small cohorts suggested that the male gender and the need for vasopressors are risk factors of VAP in COVID-19 [3], [9]. Additionally, the occurrence of VAP in ventilated COVID-19 patients did not seem to affect mortality [9], mainly driven by VAP-induced septic shock and ARDS [4].
Based on the analysis of the largest multicenter prospective cohort including 4929 critically-ill COVID-19 patients admitted into the ICU, the primary objectives of this study were to describe the incidence, characteristics, risk factors, and the prognosis of VAP in severe COVID-19 pneumonia; and secondly to describe the risk factors and the prognosis of early vs. late VAP, and Pseudomonas-related vs. non-Pseudomonas-related VAP.
2. Patients and methods
2.1. Study design
The multicenter prospective COVID-ICU cohort has previously been described [6]. Briefly, the study was conducted in 149 ICUs from 138 centers in France, Switzerland, and Belgium. Between February 25, 2020, and May 2, 2020, all consecutive patients over 16 years of age suffering from respiratory failure with laboratory-confirmed SARS-CoV-2 infection admitted to a participating ICU were prospectively included.
2.2. Inclusion and exclusion criteria
Were included in the current analysis all invasively mechanically ventilated (>48 h) patients of the COVID-ICU cohort. Were excluded patients who had been invasively ventilated for more than 24 h prior to a transfer into one of the participating centers.
2.3. Data collection
Full data collection has been previously described [6]. Briefly, data were retrieved via an electronic form, completed daily. A particular focus on patients’ respiratory support was made, regarding both the type of support and its settings. Records of additional treatments such as neuromuscular blocking agents (NMBA), corticosteroids, etc. were collected. Recorded outcomes included time of weaning from IMV, time of ICU and hospital discharge, vital status at ICU and at hospital discharge, and vital status 28 and 90 days after ICU admission.
2.4. VAP definition
Only the first episode of bacterial VAP was considered when addressing the primary objectives. Regarding subgroup analyses, only the first episode of early and/or late VAP, and Pseudomonas-related and/or non-Pseudomonas-related VAP were considered.
VAP diagnosis was based on: (1) clinical and radiological suspicion based on the European Center of Disease Control criteria [10]; (2) confirmed by one positive microbiological sample defined when culture recovered ≥106 CFU.mL−1 for tracheal aspirate, ≥104 CFU.mL−1 for broncho–alveolar lavage, and ≥103 CFU.mL−1 for distal protected brush or aspirate [10]; (3) leading the attending physician to initiate an antimicrobial therapy. In addition, VAP must have occurred at least 48 h after the onset of IMV. Finally, pneumonia only related to Legionella pneumophila, mycoplasma, and chlamydia species, anaerobes, or isolated oro-pharyngeal flora were excluded from the analyses. Early and late VAP were defined as occurring < and ≥ 5 days respectively after the onset of IMV [11].
2.5. Statistical analyses
Baseline characteristics of patients are described as counts (proportions) for categorical variables and median [1st–3rd quartiles] for quantitative variables.
Factors associated with the occurrence of VAP were identified using cause-specific Cox regression models, after checking the proportional-odds hypothesis and controlling for the competing risk of death. The at-risk period started 48 h after the onset of IMV. Factors associated with early and late VAP were identified in independent analyses using the same models. For early VAP, all patients were censored on day 5 following the onset of invasive mechanical ventilation. For late VAP, the at-risk period started 5 days after the onset of IMV in all patients still requiring IMV, and the occurrence of an early VAP was considered as a covariate. In another analysis, only Pseudomonas-related VAPs were considered, using the same statistical approach, with the occurrence of earlier non-Pseudomonas-related VAP considered as a covariate.
To determine whether the occurrence of VAP was associated with patients’ prognosis, Cox regression multivariable models were used to study the time to death or hospital/ICU discharge alive, considering the occurrence of a VAP as a time-dependent variable. For length-of-stay outcomes, death was considered as a competing event with the use of cause-specific models. For all regression analyses, a univariable analysis was conducted and a multivariable model for variables deemed clinically relevant was built, regardless of the univariable significant associations [12].
All tests were two-tailed and interpreted at the 0.05 significance threshold. All analyses were performed using the R statistical software version 4.0.3 (R Foundation for Statistical Computing, Vienna, Austria).
2.6. IRB approval
The study was approved by the French Intensive Care Society ethical committee (CE-SRLF 20-23). Due to the observational design and in accordance with French law [13], patients or next-of-kin of ICU non-survivors were informed that anonymized data regarding their hospital stay were collected in the database.
2.7. Reporting guidelines
This observational study follows the STROBE guidelines. STROBE checklist is provided as a Supplementary file.
3. Results
3.1. Patients
Over the study period, 4929 patients were included in the COVID-ICU database. Complete follow-up data were available for 4676 out of the 4929 patients, including 473 (10.1%) patients exclusively treated with standard oxygen therapy, 381 (8.1%) with high-flow oxygen therapy, and 156 (3.3%) with non-invasive ventilation. Among the remaining 3666 patients, 278 were ventilated for more than 24 h prior to admission into a participating ICU. Eventually, 3388 invasively ventilated patients were analyzed. According to the protocol, episodes only due to L. pneumophila (n = 1), mycoplasma and chlamydia species (n = 1), anaerobes (n = 8), or isolated oro-pharyngeal flora (n = 116) were not considered as VAP. Finally, 1523 (45.0%) patients fully analyzable presented at least one episode of VAP (Fig. 1 ).
Fig. 1.
Flow chart of the selection of patients included into the COVID-ICU database for analyses.
Characteristics of patients and their clinical and biological data at ICU admission are available in Table 1 . The median age was 63 [55–70] years. There were 2545/3388 (75.1%) male patients. The most frequent comorbidities were hypertension (48.9%) and diabetes (27.5%). There were 352 (10.4%) immunocompromised patients. Median time between the first COVID-19 symptoms and ICU admission was 7 [4–10] days. At admission, SOFA and SAPS-II scores were 10 [8–12] and 39 [30–52], respectively. Concomitant bacterial pneumonia has been diagnosed in 245 (7.2%) SARS-CoV-2 infected patients. There was no relevant difference regarding co-morbidities, and characteristics at admission and during the first 24 h following tracheal intubation between patients with and without subsequent VAP, except for the prevalence of diabetes and values of PaO2/FiO2 ratio (Table 1).
Table 1.
Demographic, clinical, biological, and ventilatory support characteristics of the 3388 patients according to the occurrence of ventilator-associated pneumonia (VAP).
| No. | All patients (n = 3388) | VAP (n = 1523) | No VAP (n = 1865) | ||
|---|---|---|---|---|---|
| Age, years | 3387 | 63 [55–70] | 63 [55−70] | 63 [55−71] | |
| Men, number (%) | 3358 | 2545 (75.8%) | 1195 (79%) | 1350 (73.2%) | |
| Body mass index, kg.m−² | 3182 | 28.6 [25.6–32.5] | 28.7 [25.7–32.7] | 28.4 [25.6–32.4] | |
| <18 | 18 (0.6%) | 5 (0.3%) | 13 (0.7%) | ||
| 18–25 | 649 (20.4%) | 292 (20.2%) | 357 (20.5%) | ||
| 25–30 | 1268 (39.8%) | 565 (39.1%) | 703 (40.4%) | ||
| >30 | 1247 (39.2%) | 582 (40.3%) | 665 (38.3%) | ||
| Active smoker, number (%) | 3388 | 141 (4.2%) | 58 (3.8%) | 83 (4.5%) | |
| Cardiovascular comorbidities | |||||
| Treated hypertension | 3388 | 1656 (48.9%) | 898 (48.2%) | 758 (49.8%) | |
| Coronary artery disease | 3388 | 373 (11.0%) | 173 (11.4%) | 200 (10.7%) | |
| Chronic heart failure | 3388 | 115 (3.4%) | 50 (3.3%) | 65 (3.5%) | |
| Respiratory comorbidities | |||||
| COPD | 3388 | 206 (6.1%) | 98 (6.4%) | 108 (5.8%) | |
| Asthma | 3388 | 221 (6.5%) | 97 (6.4%) | 124 (6.6%) | |
| Diabetes | 3388 | 932 (27.5%) | 450 (29.5%) | 482 (25.8%) | |
| Chronic renal failure | 3388 | 310 (9.1%) | 147 (9.7%) | 163 (8.7%) | |
| Chronic liver failure | 3388 | 22 (0.6%) | 10 (0.7%) | 12 (0.6%) | |
| Immunodeficiency | 352 (10.4%) | 160 (10.5%) | 192 (10.3%) | ||
| Hematological malignancies | 3388 | 97 (2.9%) | 46 (3.0%) | 51 (2.7%) | |
| Active solid tumor | 3388 | 50 (1.5%) | 16 (1.1%) | 34 (1.8%) | |
| Solid organ transplant | 3388 | 74 (2.2%) | 40 (2.6%) | 34 (1.8%) | |
| Human Immunodeficiency Virus | 3388 | 56 (1.7%) | 24 (1.6%) | 32 (1.7%) | |
| Immunosuppressive therapya | 3388 | 145 (4.3%) | 72 (4.7%) | 73 (3.9%) | |
| Long-term corticosteroidsb | 3388 | 135 (4.0%) | 62 (4.1%) | 73 (3.9%) | |
| Clinical frailty scorec | 3028 | 2 [2–3] | 2 [2–3] | 2 [2–3] | |
| Time between first symptoms and ICU admission, days | 3387 | 7 [4–10] | 7 [4–10] | 7 [4–10] | |
| NSAID intake before ICU admission | 2919 | 207 (7.1%) | 96 (7.3%) | 111 (7.0%) | |
| At ICU admission | |||||
| SAPS II score | 3107 | 39 [30–52] | 39 [30–52] | 40 [31–52] | |
| SOFA score at ICU admission | 2567 | 10 [8–12] | 10 [8–12] | 10 [7–12] | |
| Patient origin | 3373 | ||||
| Direct admission from home/emergency medical ambulance | 511 (15.1%) | 237 (15.6) | 274 (14.8%) | ||
| Emergency room | 1521 (45.1%) | 693 (45.6%) | 828 (44.7%) | ||
| Medical wards | 1078 (32%) | 463 (30.5%) | 615 (33.2%) | ||
| Other ICU | 259 (7.7%) | 125 (8.2%) | 134 (7.2%) | ||
| Operating theatre | 4 (0.1%) | 2 (0.1%) | 2 (0.1%) | ||
| Concomitant bacterial pneumonia | 3387 | 245 (7.2%) | 140 (9.2%) | 105 (5.6%) | |
| Respiratory support, number (%) | 3383 | ||||
| Standard oxygen therapy | 448 (13.2%) | 193 (12.7%) | 255 (13.7%) | ||
| High-flow oxygen | 264 (7.8%) | 106 (7%) | 158 (8.5%) | ||
| Non-invasive ventilation | 88 (2.3%) | 34 (2.2%) | 54 (2.9%) | ||
| Invasive mechanical ventilation | 2583 (76.4%) | 1190 (78.1%) | 1393 (74.9%) | ||
| At intubation | |||||
| Ventilator settingsd | |||||
| Vt, mL.kg−1PBW | 2997 | 6.2 [5.9–6.7] | 6.1 [5.8–6.7] | 6.2 [5.9–6.8] | |
| Set PEEP, cmH2O | 1306 | 12 [10–14] | 12 [10–14] | 12 [10–13] | |
| Plateau pressure, cmH2O | 2049 | 24 [21–27] | 24 [21–27] | 24 [21–27] | |
| Driving pressure, cmH2O | 1318 | 12 [10–14] | 12 [9–14] | 12 [10–14] | |
| Set FiO2 | 2823 | 0.50 [0.40–0.60] | 0.50 [0.40–0.60] | 0.50 [0.40–0.60] | |
| PaO2/FiO2, mmHg | 2652 | 186 [146–243] | 176 [140–225] | 193 [150–247] | |
| Biologyd | |||||
| White blood cells, ×109 L−1 | 3108 | 9.0 [6.8–11.9] | 9.2 [6.9–12.3] | 8.8 [6.7–11.7] | |
| Lymphocytes, ×109 L−1 | 2745 | 0.8 [0.5–1.1] | 0.8 [0.5–1.1] | 0.8 [0.5–1.1] | |
| Hemoglobin, g.dL−1 | 3126 | 11.4 [10.1–12.6] | 11.4 [10.1–12.6] | 11.4 [10.2–12.6] | |
| Platelets, ×109 L−1 | 3122 | 240 [183–311] | 240 [182–309] | 240 [184–313] | |
| Creatinine, μmol.L−1 | 3073 | 82 [61–125] | 83 [63–124] | 80 [60–125] | |
| Bicarbonates, mmol.L−1 | 3107 | 25 [23–28] | 26 [23–28] | 25 [23–28] | |
| C-reactive protein, mg.L−1 | 2067 | 195 [126–283] | 201 [130–290] | 190 [123–276] | |
| Procalcitonine, ng.mL−1 | 1571 | 0.58 [0.25–1.44] | 0.60 [0.28–1.54] | 0.54 [0.22–1.40] | |
| Fibrinogen, g.L−1 | 2138 | 6.9 [5.7–7.9] | 6.9 [5.8–7.9] | 6.8 [5.6–7.9] | |
| D-dimers, μg.L−1 | 1483 | 1860 [1047–4000] | 1893 [1022–4099] | 1830 [1060–3818] | |
| Lactate, mmol.L−1 | 3065 | 1.30 [1.00–1.70] | 1.30 [1.00–1.70] | 1.30 [1.00–1.70] | |
Results are expressed as n (%) or median [25th–75th percentiles].
No.: number of available data; NSAID: non-steroidal anti-inflammatory drug; PBW: predicted body weight.
Except corticosteroids.
Daily intake above 20 mg of prednisone equivalent.
Clinical Frailty Score (CFS) as described by Rockwood et al. (A global clinical measure of fitness and frailty in elderly people. CMAJ. 2005;173:489–95). The validated French translation of the CFS was used in this study (Abraham et al. Validation of the clinical frailty score (CFS) in French language. BMC Geriatr. 2019 Nov 21;19(1):322).
Worst value during the 24 h following tracheal intubation.
3.2. First VAP episode description and predictors
At least one episode of VAP occurred in 1523 (45.0%) patients, after a median of 7 [5–9] days of IMV. The cumulative probability of developing VAP is presented in Fig. A.1. Distribution of the bacteria isolated during the first episode of VAP is presented in Table 2 . VAP was monomicrobial in 1263/1523 (82.9%) of cases. Among the 1814 bacterial species isolated, Enterobacteriaceae were found the most frequently, followed by S. aureus and P. aeruginosa.
Table 2.
Treatments, VAP characteristics and outcomes of the 3388 patients according to the occurrence of ventilator-associated pneumonia (VAP).
| No. | All patients (n = 3388) | VAP (n = 1523) | No VAP (n = 1865) | ||
|---|---|---|---|---|---|
| Treatments | |||||
| Neuromuscular blockers usea | 3076 | 2125 (69.1%) | 1008 (70.8%) | 1117 (67.6%) | |
| Prone positioning usea | 3187 | 1209 (37.9%) | 602 (41.8%) | 607 (34.7%) | |
| Systemic antibiotic usea | 3242 | 2080 (64.2%) | 934 (63.9%) | 1146 (64.4%) | |
| Including beta-lactam antibiotics | 3249 | 2049 (63.1%) | 935 (63.8%) | 1114 (62.4%) | |
| Corticosteroid treatment | 3388 | 815 (24.1%) | 363 (23.8%) | 452 (24.2%) | |
| VAP characteristics | |||||
| Early VAP | 1523 | – | 491 (32.2%) | – | |
| Late VAP | 1523 | – | 1313 (86.2%) | – | |
| Monomicrobial VAP | 1523 | – | 1263 (82.9%) | – | |
| Polymicrobial VAP | 1523 | – | 260 (17.1%) | – | |
| Isolated pathogenb | |||||
| Pseudomonas aeruginosa | – | 286 (15.8%) | – | ||
| Acinetobacter baumanii | – | 19 (1%) | – | ||
| Haemophilus influenzae | – | 48 (2.6%) | – | ||
| Enterobacteriaceae and other GNB | – | 1087 (59.9%) | – | ||
| Staphylococcus aureus | – | 242 (13.3%)c | – | ||
| Streptococcus pneumoniae | – | 35 (1.9%) | – | ||
| Enterococci | – | 61 (3.4%) | – | ||
| Other streptococci | – | 36 (2%) | – | ||
| Outcomes | |||||
| Subsequent VAP | |||||
| Second episode | 1523 | – | 736 (48.3%) | – | |
| Third episode | 1523 | – | 174 (11.4%) | – | |
| >3 episodes | 1523 | – | 145 (9.5%) | – | |
| 28-day mortalityd | 3388 | 874 (25.8%) | 329 (21.6%) | 545 (29.2%) | |
| 90-day mortalityd | 3388 | 1074 (31.7%) | 456 (29.9%) | 618 (33.1%) | |
| Length of mechanical ventilatione, days | 2389 | 17 [8–28] | 25 [16–41] | 10 [5–19] | |
| ICU length-of-staye, days | 2389 | 19 [12–32] | 28 [19–43] | 14 [8–21] | |
| Hospital length-of-staye, days | 2344 | 31 [19–49] | 41 [28–60] | 23 [15–37] | |
At least during 48 h following intubation and before VAP diagnosis.
Total number of bacterial isolates, n = 1814 in 1523 first VAP episodes.
Including 37 (2%) methicillin-resistant Staphylococcus aureus.
Crude mortality at 28 and 90 days could not be directly compared between patients with and without VAP due to immortal time bias. See Table 4 for multivariable analysis and text for interpretation.
Among survivors.
Univariable and multivariable analyses of COVID-19-related VAP (C-VAP) predictors are reported in Table 3 . After adjustment, variables independently associated with C-VAP were male gender (HR 1.26 95%CI [1.09–1.46], p = 0.002), concomitant bacterial pneumonia at ICU admission (HR 1.36 [1.10–1.67], p = 0.004), the severity of respiratory failure at the time of IMV initiation (HR 0.99 [0.98–0.99] per 10 mmHg increase of the PaO2/FiO2 ratio, p = 0.001), NMBA use (HR 0.89 [0.76–0.998], p = 0.046), and corticosteroid use (HR 1.27 [1.09–1.47], p = 0.002).
Table 3.
Factors associated with ventilator-associated pneumonia (VAP) in mechanically ventilated adults with COVID-19.
| Univariable HR [95%CI] | p-Value | Multivariable HR [95%CI] | p-Value | |
|---|---|---|---|---|
| Age, per 10 years | 0.99 [0.95–1.04] | 0.72 | 0.96 [0.91–1.02] | 0.18 |
| Male gender | 1.22 [1.07–1.38] | 0.002 | 1.26 [1.09–1.46] | 0.002 |
| Active smoking | 0.90 [0.69–1.17] | 0.44 | 0.83 [0.61–1.12] | 0.22 |
| Body mass index ≥ 30 kg.m−2 | 1.04 [0.91–1.20] | 0.57 | 1.05 [0.92–1.20] | 0.45 |
| Treated hypertension | 1.08 [0.98–1.20] | 0.12 | 1.00 [0.88–1.13] | 0.97 |
| Chronic heart failure | 1.02 [0.77–1.35] | 0.89 | 1.07 [0.78–1.49] | 0.67 |
| COPD | 1.09 [0.83–1.44] | 0.54 | 1.18 [0.92–1.50] | 0.20 |
| Diabetes | 1.19 [1.07–1.33] | 0.002 | 1.08 [0.94–1.23] | 0.27 |
| Chronic renal failure | 1.19 [1.00–1.41] | 0.05 | 1.10 [0.89–1.36] | 0.37 |
| Immunodeficiency | 1.17 [1.00–1.38] | 0.06 | 1.09 [0.89–1.34] | 0.39 |
| Concomitant bacterial pneumonia at admission | 1.51 [1.28–1.78] | <0.001 | 1.36 [1.10–1.67] | 0.004 |
| Non-respiratory SOFA score at intubation, per point | 1.04 [1.02–1.06] | <0.001 | 1.02 [1.00–1.05] | 0.09 |
| PaO2/FiO2 at intubation, per 10 mmHg | 0.99 [0.98–0.995] | 0.002 | 0.99 [0.98–0.99] | 0.001 |
| Leucopenia or hyperleucocytosis at intubation | 1.10 [0.99–1.22] | 0.08 | 1.07 [0.95–1.21] | 0.24 |
| Neuromuscular blockersa | 0.95 [0.85–1.07] | 0.39 | 0.89 [0.76–0.998] | 0.046 |
| Prone positioninga | 1.14 [1.03–1.27] | 0.02 | 1.11 [0.98–1.27] | 0.10 |
| Corticosteroids useb | 1.39 [1.23–1.57] | <0.001 | 1.27 [1.09–1.47] | 0.002 |
At least during 48 h following intubation and before VAP diagnosis.
At least during 48 h following intubation and before VAP diagnosis at a dose greater than or equal to 40 mg prednisone equivalent.
3.3. Early and late VAP description and predictors
Among the 1523 patients that presented C-VAP, 491 (32.2%) patients presented an early VAP, and 1313 (86.2%) had at least one episode of late VAP. Distribution of the bacterial species isolated during early and late VAP is presented in Table A.1. S. aureus, S. pneumoniae, and H. influenzae were isolated more frequently in early than in late VAP, while P. aeruginosa was isolated more frequently in late than in early VAP.
After adjustment, the only variable independently associated with early VAP was concomitant bacterial pneumonia at ICU admission (HR 1.51 [1.03–2.22], p = 0.04) (Table A.2), while variables independently associated with late VAP were male gender (HR 1.21 [1.03–1.44], p = 0.02), the severity of respiratory failure at the time of intubation (HR 0.99 [0.98–0.99] per 10 mmHg increase of the PaO2/FiO2 ratio, p = 0.002), NMBA use (HR 0.84 [0.72–0.97], p = 0.02), and a previous episode of early VAP (HR 3.11 [2.64–3.67], p < 0.001) (Table A.3).
3.4. Pseudomonas-related VAP description and predictors
Among the 1523 patients that presented C-VAP, 656 (43.1%) presented at least one episode of Pseudomonas-related VAP. After adjustment, variables independently associated with Pseudomonas-related VAP occurrence were the use of prone positioning (HR 1.25 [1.02–1.53], p = 0.03) and a previous non-Pseudomonas-related VAP (HR 5.87 [4.74–7.27], p < 0.001) (Table A.4).
3.5. Patient outcomes and impact of VAP on prognosis
3.5.1. All VAP
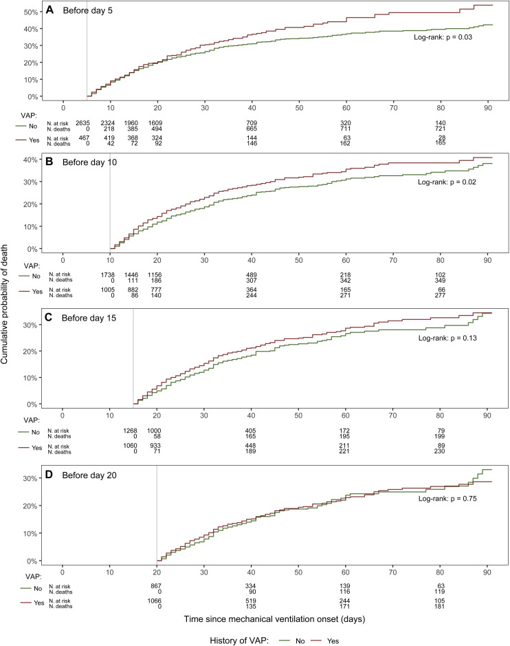
Overall 28-day and 90-day mortality were 25.8% and 31.7%, respectively. Among survivors, the median length of IMV, ICU, and hospital stay were 17 [8–28], 19 [12–32], and 31 [19–49] days, respectively (Table 2). After adjustment for the other predictors of 90-day mortality of critically ill COVID-19 patients [6], the occurrence of at least one episode of VAP was significantly associated with poor outcome (HR 1.34 [1.16–1.55], p < 0.001) (Table 4 and Fig. 2 ). VAP was also associated with higher ICU and hospital length-of-stay among survivors (Table 2 and Fig. A.2).
Table 4.
Factors associated with 90-day mortality in mechanically ventilated adults with COVID-19.
| Univariable HR [95%CI] | p-Value | Multivariable HR [95%CI] | p-Value | ||
|---|---|---|---|---|---|
| Age, per 10 years | 1.49 [1.40–1.58] | <0.001 | 1.47 [1.37–1.58] | <0.001 | |
| Body mass index >30 kg.m−2 | 0.82 [0.72–0.94] | 0.004 | 0.94 [0.81–1.09] | 0.39 | |
| Diabetes | 1.50 [1.32–1.70] | <0.001 | 1.30 [1.13–1.50] | <0.001 | |
| Immunodeficiency | 1.74 [1.47–2.06] | <0.001 | 1.60 [1.33–1.96] | <0.001 | |
| Time between first symptoms and ICU admission, per day | 0.96 [0.95–0.87] | <0.001 | 0.96 [0.95–0.98] | <0.001 | |
| Non-respiratory SOFA score at intubation, per one point | 1.10 [1.07–1.13] | <0.001 | 1.09 [1.06–1.12] | <0.001 | |
| PaO2/FiO2 at intubation, per 10 mmHg | 0.99 [0.98–0.998] | 0.02 | 0.98 [0.98–0.99] | 0.003 | |
| At least one episode of VAP | 1.38 [1.20–1.58] | <0.001 | 1.34 [1.16–1.55] | <0.001 | |
Fig. 2.
Landmark analyses of the cumulative probability of death for patients still alive and mechanically ventilated at day 5, day 10, day 15 and day 20, depending on the earlier occurrence of VAP.
3.5.2. Early and late VAP
After adjustment, late VAP was independently associated with 90-day mortality (HR 1.51 [1.26–1.81], p < 0.001), while early VAP was not (HR 1.10 [0.91–1.32], p = 0.34) (Table A.5).
3.5.3. Pseudomonas-related VAP
The impact of Pseudomonas-related and non-Pseudomonas-related VAP on 90-day mortality was similar (HR 1.18 [0.99–1.40] and HR 1.18 [1.02–1.37], respectively) (Tables A.6A & B).
4. Discussion
4.1. VAP incidence and microbial ecology
In this prospective multicenter study, 45% of mechanically ventilated COVID-19 patients presented at least one episode of VAP. This result is in keeping with previous smaller reports, in which the incidence of C-VAP ranged from 30% to 60% [14]. However, this incidence is higher than reported in mixed non-COVID ICU patients, usually ranging from 10% to 25% [15], [16], and reaches similar incidences to those reported in trauma or brain injury [17]. Taking into consideration the severity of lung injury, this incidence remains higher than reported in patients with severe ARDS due to other causes [18], [19], including other viral ARDS [8], [20], [21]. This suggests the involvement of a specific mechanism related to COVID-19. It cannot be ruled out that the surge of severe patients, may have led to a decrease in vigilance and incomplete compliance with infection prevention measures [22]. Indeed, the surge of ICU patients led to work overload and understaffing (notably due to infection of healthcare workers), and consequently to hiring non-ICU nurses and increasing the patient-to-nurse ratio [23]. Moreover, nurses had to take care of more severe patients requiring more frequent invasive ventilation than before the first epidemic waves. In addition, closing the doors of patients’ rooms, the need to wear highly protective equipment to get in (and their possible shortage), and the possible fear of staff contamination contributed to decreasing the number of daily visits to patients [24]. Finally, ICU workers experienced high levels of stress and psychological burden, decreasing their vigilance and compliance with bundles of care for VAP prevention [25].
However, other pathophysiological features related to SARS-CoV-2 itself or to the excessive host inflammatory response may contribute to this increased susceptibility to bacterial superinfection, such as a large production of Interleukin (IL)-6, IL-1β and IL-10 [26], [27], [28], lymphopenia [26], [29], decreased B and dendritic cells activation [30], decreased HLA-DR expression on lung macrophages [31], or expansion of myeloid-derived suppressor cells [32].
Despite this increased incidence, the bacterial ecology reported in C-VAP appears close to that of non-COVID-19-related VAP (NC-VAP) [15]. Indeed, Enterobacteriaceae, P. aeruginosa, and S. aureus were the three main isolates, similar to the findings of a large European multicenter study [33]. Our results are also in keeping with those of previous smaller studies comparing bacterial ecology in C-VAP and NC-VAP [7], [34], [35]. Finally, we confirmed previous observations made both in NC-VAP [33] and C-VAP [9], reporting a greater proportion of S. aureus, S. pneumoniae, and H. influenzae, and less P. aeruginosa in early compared to late VAP.
4.2. VAP predictors
Among patient-related risk factors, only the male gender was independently associated with C-VAP in our study. This is in keeping with previous reports about NC-VAP [36], [37], [38] and C-VAP [3], [9]. Conversely, chronic renal and heart failures, COPD, diabetes, and immunodeficiency, frequently cited as NC-VAP risk factors [15], [39], were not associated with C-VAP. Regarding severity factors, we observed that the severity of hypoxemia at intubation was associated with a moderate additional risk of C-VAP, which is consistent with the previous identification of ARDS as a risk factor of NC-VAP [15], [39]. In contrast with several small-size studies [40], [41] and randomized controlled trials [42], steroids use was associated with C-VAP in this study, as previously suggested in NC-VAP [15]. However, due to the design of the study, we cannot rule out the participation of non-respiratory organ failure in this result, notably of associated septic shock, which is both a potential indication for hydrocortisone therapy and a risk factor of VAP [37], [43]. In addition, the effect of steroids on the incidence of VAP may vary during ICU stay, with an increased risk being reported for patients hospitalized for at least 14 days in the ICU [44]. Conversely, NMBA use was associated with a reduced incidence of C-VAP in this study. This is an unexpected result as a large recent study showed a 2.5-fold increased risk of NC-VAP with NMBA use, even after adjustment for the severity of the ARDS [38]. Thus, further studies are needed to determine if early administration of NMBA could be a protective factor in C-VAP. NMBA may prevent patient self-induced lung injury (P-SILI) by removing the strong inspiratory efforts arising from the high respiratory drive frequently observed in COVID-19 patients [45], which may favor VAP by worsening lung injuries and prolonging the duration of IMV.
Finally, the parameter associated with VAP with the highest hazard ratio was concomitant bacterial pneumonia at ICU admission, which occurred in 7.2% of patients. This incidence, lower than for other viral ARDS such as influenza-related ARDS, is consistent with previous reports [46], [47]. The risk of VAP may in part be explained by a more dysregulated inflammation in case of bacterial co-infection, favoring subsequent superinfection. This is in keeping with the higher mortality observed in COVID-19 intubated patients suffering from concomitant bacterial infection [47], similar to that reported in other respiratory viral-bacterial co-infections [48].
4.3. VAP impact on the outcome
The negative impact of VAP on mortality is established in general ICU patients [16], [49] and in patients suffering from influenza pneumonia [50]. However, the impact of C-VAP on mortality is still a matter of debate. Nseir et al. reported a 1.7-fold increase in 28-day mortality due to C-VAP [50], while Gamberini et al. did not observe any significant excess in mortality either for early or late C-VAP [51]. The crude mortality rates of patients with and without VAP in our study must not be directly compared due to the immortal time bias leading to underestimating mortality in patients with VAP. The Cox regression analysis accounting for competing risk of death and time-varying history of VAP controlled this bias and confirmed that the occurrence of C-VAP was associated with higher mortality (HR 1.34 [1.16–1.55]). These estimates are somewhat smaller than those reported by Nseir et al. Moreover, we observed different results for early and late C-VAP, only the latter being significantly associated with increased 90-day mortality. Gamberini et al. previously reported a detrimental impact of late rather than early C-VAP on weaning from IMV, although no effect on mortality was observed, possibly due to a lack of power. In addition, landmark analyses suggested that VAP-related excess in mortality is of particular concern during the first 15 days following intubation. Indeed, the cumulative probability of death at day 90 no longer differed between patients with and without C-VAP as soon as VAP occurred 15 days or more after intubation, suggesting that beyond this time point the adverse effect of VAP may be overcome by other factors affecting patients with a prolonged ICU stay. Finally, we observed a similar impact on mortality of Pseudomonas-related and non-Pseudomonas-related C-VAP, confirming in C-VAP the absence of specific risk due to Pseudomonas recently reported in NC-VAP [49].
5. Strengths and limitations
To our knowledge, this study is the largest cohort of ICU COVID-19 patients with VAP. Thanks to the detailed data available in the COVID-ICU database, we were able to perform a comprehensive risk factor analysis and adjust prognostic analyses on a large number of variables already known to impact COVID-19 patients’ mortality. Moreover, the Cox regression models used for prognostic analyses allowed us to estimate the specific association of VAP with mortality independently of the ventilation time already elapsed at the time of VAP onset. Thus, our study adds to current knowledge the identification of C-VAP risk factors and definitely confirmed the link between developing VAP and over-mortality during critical COVID-19.
We acknowledge several limitations to our study. First, all patients were included during the first epidemic wave of SARS-CoV-2 affecting Europe in the spring of 2020. Thus, it cannot be excluded that recent features including the acquisition of immunity following successive epidemic waves or vaccination, or the emergence of SARS-CoV-2 variants, may change some of our results. Second, collected data did not allow us to precisely describe the bacterial ecology of C-VAP, for instance regarding the distribution of species within the Enterobacteriaceae family, or to provide antibiotic susceptibility and resistance profiles. Finally, although this study was conducted in 149 ICUs from 138 centers, across three countries, our results were obtained from a west European population. Since genetic predispositions to VAP and ethnical quantitative and qualitative variations in immune function have been described [39], further large studies are needed to confirm our results in different populations.
6. Conclusion
Patients with critical COVID-19 requiring IMV are especially exposed to the risk of VAP, in particular if they are males, present a bacterial pneumonia concomitantly with COVID-19, suffer from severe hypoxemic respiratory failure, and are treated with corticosteroids. C-VAP is independently associated with 90-day mortality and ICU morbidity, mainly due to the effect of late-VAP occurring before the 3rd week of ICU stay. A potential protective effect of NMBA use at the early stage of ventilation of critical COVID-19 patients requiring IMV deserves further investigations.
Human and animal rights
The authors declare that the work described has been carried out in accordance with the Declaration of Helsinki of the World Medical Association revised in 2013 for experiments involving humans as well as in accordance with the EU Directive 2010/63/EU for animal experiments.
Informed consent and patient details
The authors declare that this report does not contain any personal information that could lead to the identification of the patient(s).
Disclosure of interest
The authors declare the following financial or personal relationships that could be viewed as influencing the work reported in this paper:
MG reports personal fees as a speaker received from Medtronic outside the submitted work.
JMC reports personal fees and non-financial support from Drager, GE Healthcare, Sedana Medical, Baxter, and AOP Health; personal fees from Fisher and Paykel Healthcare, GSK, Guilead, Orion, Philips Medical, and Fresenius Medical Care; and non-financial support from LFB and Bird Corporation, outside of the submitted work.
KR, NH, LC, AF and NL declare no competing interests.
Funding
This ancillary study of the COVID-ICU database has not been funded by any external source.
The COVID-ICU database was funded by the Foundation APHP and its donators through the program “Alliance Tous Unis Contre le Virus”, the “Direction de la Recherche Clinique et du Développement”, the French Ministry of Health, and the foundation of the University hospitals of Geneva, Geneva, Switzerland.
Authors’ contributions
MG, NH, LC, AF, KR and JMC contributed to conceptualization and design of the protocol. Data were analyzed by MG and NL who have accessed and verified the data. NL performed the statistical analyses. MG wrote the first draft of this submission. All authors revised the report critically for important intellectual content and approved the final version of the manuscript. All authors confirmed that they had full access to all the data in the study and accepted responsibility to submit for publication.
Data sharing statement
The data analyzed and presented in this study are available from the corresponding author on reasonable request, providing the request meets local ethical and research governance criteria after publication. Patient-level data will be anonymized and study documents will be redacted to protect the privacy of trial participants.
Acknowledgments
The authors gratefully acknowledge all the French, Belgian, and Swiss clinical research centers, COVID-ICU investigators, medical students, Polytechnic University students, and patients involved in the study, without whom we would not have been able to perform this work.
Footnotes
Supplementary material related to this article can be found, in the online version, at doi:https://doi.org/10.1016/j.accpm.2022.101184.
Appendix A. Participating Sites and COVID-ICU Investigators
CHU Angers, Angers, France (Alain Mercat, Pierre Asfar, François Beloncle, Julien Demiselle), APHP - Hôpital Bicêtre, Le Kremlin-Bicêtre, France (Tài Pham, Arthur Pavot, Xavier Monnet, Christian Richard), APHP - Hôpital Pitié Salpêtrière, Paris, France (Alexandre Demoule, Martin Dres, Julien Mayaux, Alexandra Beurton), CHU Caen Normandie - Hôpital Côte de Nacre, Caen, France, (Cédric Daubin, Richard Descamps, Aurélie Joret, Damien Du Cheyron), APHP - Hôpital Cochin, Paris, France (Frédéric Pene, Jean-Daniel Chiche, Mathieu Jozwiak, Paul Jaubert), APHP - Hôpital Tenon, Paris (France, Guillaume Voiriot, Muriel Fartoukh, Marion Teulier, Clarisse Blayau), CHRU de Brest – La Cavale Blanche, Brest, France (Erwen L'Her, Cécile Aubron, Laetitia Bodenes, Nicolas Ferriere), Centre Hospitalier de Cholet, Cholet, France (Johann Auchabie, Anthony Le Meur, Sylvain Pignal, Thierry Mazzoni), CHU Dijon Bourgogne, Dijon, France (Jean-Pierre Quenot, Pascal Andreu, Jean-Baptiste Roudau, Marie Labruyère), CHU Lille - Hôpital Roger Salengero, Lille, France (Saad Nseir, Sébastien Preau, Julien Poissy, Daniel Mathieu), Groupe Hospitalier Nord Essonne, Longjumeau, France (Sarah Benhamida, Rémi Paulet, Nicolas Roucaud, Martial Thyrault), APHM - Hopital Nord, Marseille, France (Florence Daviet, Sami Hraiech, Gabriel Parzy, Aude Sylvestre), Hôpital de Melun-Sénart, Melun, France (Sébastien Jochmans, Anne-Laure Bouilland, Mehran Monchi), Élément Militaire de Réanimation du SSA, Mulhouse, France (Marc Danguy des Déserts, Quentin Mathais, Gwendoline Rager, Pierre Pasquier), CHU Nantes - Hôpital Hotel Dieu, Nantes, France (Jean Reignier, Amélie Seguin, Charlotte Garret, Emmanuel Canet), CHU Nice - Hôpital Archet, Nice, France (Jean Dellamonica, Clément Saccheri, Romain Lombardi, Yanis Kouchit), Centre Hospitalier d'Orléans, Orléans, France (Sophie Jacquier, Armelle Mathonnet, Mai-Ahn Nay, Isabelle Runge), Centre Hospitalier Universitaire de la Guadeloupe, Pointe-à-Pitre, France (Frédéric Martino, Laure Flurin, Amélie Rolle, Michel Carles), Hôpital de la Milétrie, Poitiers, France (Rémi Coudroy, Arnaud W Thille, Jean-Pierre Frat, Maeva Rodriguez), Centre Hospitalier Roanne, Roanne, France (Pascal Beuret, Audrey Tientcheu, Arthur Vincent, Florian Michelin), CHU Rouen - Hôpital Charles Nicolle, Rouen, France (Fabienne Tamion, Dorothée Carpentier, Déborah Boyer, Christophe Girault), CHRU Tours - Hôpital Bretonneau, Tours, France (Valérie Gissot, Stéphan Ehrmann, Charlotte Salmon Gandonniere, Djlali Elaroussi), Centre Hospitalier Bretagne Atlantique, Vannes, France (Agathe Delbove, Yannick Fedun, Julien Huntzinger, Eddy Lebas), CHU Liège, Liège, Belgique (Grâce Kisoka, Céline Grégoire, Stella Marchetta, Bernard Lambermont), Hospices Civils de Lyon - Hôpital Edouard Herriot, Lyon, France (Laurent Argaud, Thomas Baudry, Pierre-Jean Bertrand, Auguste Dargent), Centre Hospitalier Du Mans, Le Mans, France (Christophe Guitton, Nicolas Chudeau, Mickaël Landais, Cédric Darreau), Centre Hospitalier de Versailles, Le Chesnay, France (Alexis Ferre, Antoine Gros, Guillaume Lacave, Fabrice Bruneel), Hôpital Foch, Suresnes, France (Mathilde Neuville, JérômeDevaquet, Guillaume Tachon, Richard Gallot), Hôpital Claude Galien, Quincy sous Senart, France (Riad Chelha, Arnaud Galbois, Anne Jallot, Ludivine Chalumeau Lemoine), GHR Mulhouse Sud-Alsace, Mulhouse, France (Khaldoun Kuteifan, Valentin Pointurier, Louise-Marie Jandeaux, Joy Mootien), APHP - Hôpital Antoine Béclère, Clamart, France (Charles Damoisel, Benjamin Sztrymf), APHP - Hôpital Pitié-Salpêtrière, Paris, France (Matthieu Schmidt, Alain Combes, Juliette Chommeloux, Charles Edouard Luyt), Hôpital Intercommunal de Créteil, Créteil, France (Frédérique Schortgen, Leon Rusel, Camille Jung), Hospices Civils de Lyon - Hôpital Neurologique, Lyon, France (Florent Gobert), APHP - Hôpital Necker, Paris, France (Damien Vimpere, Lionel Lamhaut), Centre Hospitalier Public du Cotentin - Hôpital Pasteur, Cherbourg-en-cotentin, France (Bertrand Sauneuf, Liliane Charrrier, Julien Calus, Isabelle Desmeules), CHU Rennes - Hôpital du Pontchaillou, Rennes, France (Benoît Painvin, Jean-Marc Tadie), CHU Strasbourg - Hôpital Hautepierre, Strasbourg, France (Vincent Castelain, Baptiste Michard, Jean-Etienne Herbrecht, Mathieu Baldacini), APHP - Hôpital Pitié Salpêtrière, Paris, France (Nicolas Weiss, Sophie Demeret, Clémence Marois, Benjamin Rohaut), Centre Hospitalier Territorial Gaston-Bourret, Nouméa, France (Pierre-Henri Moury, Anne-Charlotte Savida, Emmanuel Couadau, Mathieu Série), Centre Hospitalier Compiègne-Noyon, Compiègne, France (Nica Alexandru), Groupe Hospitalier Saint-Joseph, Paris, France (Cédric Bruel, Candice Fontaine, Sonia Garrigou, Juliette Courtiade Mahler), Centre hospitalier mémorial de Saint-Lô, Saint-Lô, France (Maxime Leclerc, Michel Ramakers), Grand Hôpital de l’Est Francilien, Jossigny, France (Pierre Garçon, Nicole Massou, Ly Van Vong, Juliane Sen), Gustave Roussy, Villejuif, France (Nolwenn Lucas, Franck Chemouni, Annabelle Stoclin), Centre Hospitalier Intercommunal Robert Ballanger, Aulnay-sous-Bois, France (Alexandre Avenel, Henri Faure, Angélie Gentilhomme, Sylvie Ricome), Hospices Civiles de Lyon - Hôpital Edouard Herriot, Lyon, France (Paul Abraham, Céline Monard, Julien Textoris, Thomas Rimmele), Centre Hospitalier d’Avignon, Avignon, France (Florent Montini), Groupe Hospitalier Diaconesses - Croix Saint Simon, Paris, France (Gabriel Lejour, Thierry Lazard, Isabelle Etienney, Younes Kerroumi), CHU Clermont-Ferrand - Hôpital Gabriel Montpied, Clermont Ferrand, France (Claire Dupuis, Marine Bereiziat, Elisabeth Coupez, François Thouy), Hôpital d’Instruction des Armées Percy, Clamart, France (Clément Hoffmann, Nicolas Donat, Anne Chrisment, Rose-Marie Blot), CHU Nancy - Hôpital Brabois, Vandoeuvre-les-Nancy, France (Antoine Kimmoun, Audrey Jacquot, Matthieu Mattei, Bruno Levy), Centre Hospitalier de Vichy, Vichy, France (Ramin Ravan, Loïc Dopeux, Jean-Mathias Liteaudon, Delphine Roux), Hopital Pierre Bérégovoy, Nevers, France (Brice Rey, Radu Anghel, Deborah Schenesse, Vincent Gevrey), Centre Hospitalier de Tarbes, Tarbes, France (Jermy Castanera, Philippe Petua, Benjamin Madeux), Hôpitaux Civils de Colmar - Hôpital Louis pasteur, Colmar, France (Otto Hartman), CHU Charleroi - Hôpital Marie Curie, Bruxelles, Belgique (Michael Piagnerelli, Anne Joosten,Cinderella Noel, Patrick Biston), Centre hospitalier de Verdun Saint Mihiel, Saint Mihiel, France (Thibaut Noel), CH Eure-Seine - Hôpital d’Evreux-Vernon, Evreux, France (Gurvan LE Bouar, Messabi Boukhanza, Elsa Demarest, Marie-France Bajolet), Hôpital René Dubos, Pontoise, France (Nathanaël Charrier, Audrey Quenet, Cécile Zylberfajn, Nicolas Dufour), APHP - Hôpital Lariboisière, Paris, France (Buno Mégarbane, Sébastian Voicu, Nicolas Deye, Isabelle Malissin), Centre Hospitalier de Saint-Brieuc, Saint-Brieuc, France (François Legay, Matthieu Debarre, Nicolas Barbarot, Pierre Fillatre), Polyclinique Bordeaux Nord Aquitaine, Bordeaux, France (Bertrand Delord, Thomas Laterrade, Tahar Saghi, Wilfried Pujol), HIA Sainte Anne, Toulon, France (Pierre Julien Cungi, Pierre Esnault, Mickael Cardinale), Grand Hôpital de l’Est Francilien, Meaux, France (Vivien Hong Tuan Ha, Grégory Fleury, Marie-Ange Brou, Daniel Zafimahazo), HIA Robert Picqué, Villenave d'Ornon, France (David Tran-Van, Patrick Avargues, Lisa Carenco), Centre Hospitalier Fontainebleau, Fontainebleau, France (Nicolas Robin, Alexandre Ouali, Lucie Houdou), Hôpital Universitaire de Genève, Genève, Suisse (Christophe Le Terrier, Noémie Suh, Steve Primmaz, Jérome Pugin), APHP - Hôpital Beaujon, Clichy, France (Emmanuel Weiss, Tobias Gauss, Jean-Denis Moyer, Catherine Paugam Burtz), Groupe Hospitalier Bretage Sud, Lorient, France (Béatrice La Combe, Rolland Smonig, Jade Violleau, Pauline Cailliez), Centre Hospitalier Intercommunal Toulon, La Seyne sur Mer, France (Jonathan Chelly), Centre Hospitalier de Dieppe, Dieppe, France (Antoine Marchalot, Cécile Saladin, Christelle Bigot), CHU de Martinique, Fort-de-France, France (Pierre-Marie Fayolle, Jules Fatséas, Amr Ibrahim, Dabor Resiere), Hôpital Fondation Adolphe de Rothchild, Paris, France (Rabih Hage, Clémentine Cholet, Marie Cantier, Pierre Trouiler), APHP - Bichat Claude Bernard, Paris, France (Philippe Montravers, Brice Lortat-Jacob, Sebastien Tanaka, Alexy Tran Dinh), APHP - Hôpital Universitaire Paris Sud, Bicêtre, France (Jacques Duranteau, Anatole Harrois, Guillaume Dubreuil, Marie Werner), APHP - Hôpital Européen Georges Pompidou, Paris, France (Anne Godier, Sophie Hamada, Diane Zlotnik, Hélène Nougue), APHP, GHU Henri Mondor, Créteil, France (Armand Mekontso-Dessap, Guillaume Carteaux, Keyvan Razazi, Nicolas De Prost), APHP - Hôpitaux Universitaires Henri Mondor, Créteil, France (Nicolas Mongardon, Nicolas Mongardon, Meriam Lamraoui, Claire Alessandri, Quentin de Roux), APHP - Hôpital Lariboisière, Paris, France (Charles de Roquetaillade, Benjamin G. Chousterman, Alexandre Mebazaa, Etienne Gayat), APHP - Hôpital Saint-Antoine, Paris, France (Marc Garnier, Emmanuel Pardo, LeaSatre-Buisson, Christophe Gutton), APHP Hôpital Saint-Louis, Paris, France (Elise Yvin, Clémence Marcault, Elie Azoulay, Michael Darmon), APHP - Hôpital Saint-Antoine, Paris, France (Hafid Ait Oufella, Geoffroy Hariri, Tomas Urbina, Sandie Mazerand), APHP - Hôpital Raymond Pointcarré, Garches, France (Nicholas Heming, Francesca Santi, Pierre Moine, Djillali Annane), APHP - Hôpital Pitié Salpêtrière, Paris, France (Adrien Bouglé, Edris Omar, Aymeric Lancelot, Emmanuelle Begot), Centre Hospitalier Victor Dupouy, Argenteuil, France (Gaétan Plantefeve, Damien Contou, Hervé Mentec, Olivier Pajot), CHU Toulouse - Hôpital Rangueil, Toulouse, France (Stanislas Faguer, Olivier Cointault, Laurence Lavayssiere, Marie-Béatrice Nogier), Centre Hospitalier de Poissy, Poissy, France (Matthieu Jamme, Claire Pichereau, Jan Hayon, Hervé Outin), APHP - Hôpital Saint-Louis, Paris, France (François Dépret, Maxime Coutrot, Maité Chaussard, Lucie Guillemet), Clinique du MontLégia, CHC Groupe-Santé, Liège, Belgique (Pierre Goffin, Romain Thouny, Julien Guntz, Laurent Jadot), CHU Saint-Denis, La Réunion, France (Romain Persichini), Centre Hospitalier de Tourcoing, Tourcoing, France (Vanessa Jean-Michel, Hugues Georges, Thomas Caulier), Centre Hospitalier Henri Mondor d’Aurillac, Aurillac, France (Gaël Pradel, Marie-Hélène Hausermann, Thi My Hue Nguyen-Valat, Michel Boudinaud), Centre Hospitalier Saint Joseph Saint Luc, Lyon, France (Emmanuel Vivier, SylvèneRosseli, Gaël Bourdin, Christian Pommier) Centre Hospitalier de Polynésie Française, Polynésie, France (Marc Vinclair, Simon Poignant, Sandrine Mons), Ramsay Générale de Santé, Hôpital Privé Jacques Cartier, Massy, France (Wulfran Bougouin), Centre Hospitalier Alpes Léman, Contamine sur Arve, France (Franklin Bruna, Quentin Maestraggi, Christian Roth), Hospices Civils de Lyon - Hôpital de la Croix Rousse, Lyon, France (Laurent Bitker, François Dhelft, Justine Bonnet-Chateau, Mathilde Filippelli), Centre Cardiologique du Nord, Saint-Denis, France (Tristan Morichau-Beauchant, Stéphane Thierry, Charlotte Le Roy, Mélanie Saint Jouan), GHU - Hôpital Saint-Anne, Paris, France (Bruno Goncalves, Aurélien Mazeraud, Matthieu Daniel, Tarek Sharshar) CHR Metz - Hôpital Mercy, Metz, France (Cyril Cadoz, RostaneGaci, Sébastien Gette, Guillaune Louis), APHP - Hôpital Paul Brousse, Villejuif, France (Sophe-Caroline Sacleux, Marie-Amélie Ordan), CHRU Nancy - Hôpital Central, Nancy, France (Aurélie Cravoisy, Marie Conrad, Guilhem Courte, Sébastien Gibot), Centre Hospitalier d’Ajaccio, Ajaccio, France (Younès Benzidi, Claudia Casella, Laurent Serpin, Jean-Lou Setti), Centre Hospitalier de Bourges, Bourges, France (Marie-Catherine Besse, Anna Bourreau), Centre hospitalier de la Côte Basque, Bayonne, France (Jérôme Pillot, Caroline Rivera, Camille Vinclair, Marie-Aline Robaux), Hospices Civils de Lyon - Hôpital de la Croix Rousse, Lyon, France (Chloé Achino, Marie-Charlotte Delignette, Tessa Mazard, Frédéric Aubrun), CH Saint-Malo, Saint-Malo, France (Bruno Bouchet, Aurélien Frérou, Laura Muller, Charlotte Quentin), Centre Hospitalier de Mulhouse, Mulhouse, France (Samuel Degoul), Centre Hospitalier de Briançon, Briançon, France (Xavier Stihle, Claude Sumian, Nicoletta Bergero, Bernard Lanaspre), CHU Nice, Hôpital Pasteur 2, Nice, France (Hervé Quintard, Eve Marie Maiziere), Centre Hospitalier des Pays de Morlaix, Morlaix, France (Pierre-Yves Egreteau, Guillaume Leloup, Florin Berteau, Marjolaine Cottrel), Centre Hospitalier Valence, Valence, France (Marie Bouteloup, Matthieu Jeannot, Quentin Blanc, Julien Saison), Centre Hospitalier Niort, Niort, France (Isabelle Geneau, Romaric Grenot, Abdel Ouchike, Pascal Hazera), APHP - Hôpital Pitié Salpêtrière, Paris, France (Anne-Lyse Masse, Suela Demiri, Corinne Vezinet, Elodie Baron, Deborah Benchetrit, Antoine Monsel), Clinique du Val d'Or, Saint Cloud, France (Grégoire Trebbia, Emmanuelle Schaack, Raphaël Lepecq, Mathieu Bobet), Centre Hospitalier de Béthune, Béthune, France (Christophe Vinsonneau, Thibault Dekeyser, Quentin Delforge, Imen Rahmani), Groupe Hospitalier Intercommunal de la Haute-Saône, Vesoul, France (Bérengère Vivet, Jonathan Paillot, Lucie Hierle, Claire Chaignat, Sarah Valette), Clinique Saint-Martin, Caen, France (Benoït Her, Jennifier Brunet), Ramsay Générale de Santé, Clinique Convert, Bourg en Bresse, France (Mathieu Page, Fabienne Boiste, Anthony Collin), Hôpital Victor Jousselin, Dreux, France(Florent Bavozet, Aude Garin, Mohamed Dlala, KaisMhamdi), Centre Hospitalier de Troye, Troye, France, (Bassem Beilouny, Alexandra Lavalard, Severine Perez), CHU de ROUEN-Hôpital Charles Nicolle, Rouen, France (Benoit Veber, Pierre-Gildas Guitard, Philippe Gouin, Anna Lamacz), Centre Hospitalier Agen-Nérac, Agen, France (Fabienne Plouvier, Bertrand P Delaborde, Aïssa Kherchache, Amina Chaalal), APHP - Hôpital Louis Mourier, Colombes, France (Jean-Damien Ricard, Marc Amouretti, Santiago Freita-Ramos, Damien Roux), APHP - Hôpital Pitié-Salpêtrière, Paris, France (Jean-Michel Constantin, Mona Assefi, Marine Lecore, Agathe Selves), Institut Mutualiste Montsouris, Paris, France (Florian Prevost, Christian Lamer, Ruiying Shi, Lyes Knani), CHU Besançon – Hôpital Jean Minjoz, Besançon, France, (Sébastien Pili Floury, Lucie Vettoretti), APHP - Hôpital Universitaire Robert-Debré, Paris, France (Michael Levy, Lucile Marsac, Stéphane Dauger, Sophie Guilmin-Crépon), CHU Besançon – Hôpital Jean Minjoz, Besançon, France, (Hadrien Winiszewski, Gael Piton, Thibaud Soumagne, Gilles Capellier); Médipôle Lyon-Villeurbanne, Vileurbanne, France, (Jean-Baptiste Putegnat, Frédérique Bayle, Maya Perrou, Ghyslaine Thao), APHP - Ambroise Paré, Boulogne-Billancourt, France (Guillaume Géri, Cyril Charron, Xavier Repessé, Antoine Vieillard-Baron), CHU Amiens Picardie, Amiens, France (Mathieu Guilbart, Pierre-Alexandre Roger, Sébastien Hinard, Pierre-Yves Macq), Hôpital Nord-Ouest, Villefranche-sur-Saône, France (Kevin Chaulier, Sylvie Goutte), CH de Châlons en Champagne, Châlons en Champagne, France (Patrick Chillet, Anaïs Pitta, Barbara Darjent, Amandine Bruneau), CHU Angers, Angers, France (Sigismond Lasocki, Maxime Leger, Soizic Gergaud, Pierre Lemarie), CHU Grenoble Alpes, Grenoble, France (Nicolas Terzi, Carole Schwebel, Anaïs Dartevel, Louis-Marie Galerneau), APHP - Hôpital Européen Georges Pompidou, Paris, France (Jean-Luc Diehl, Caroline Hauw-Berlemont, Nicolas Péron, Emmanuel Guérot), Hôpital Privé d’Antony, Antony, France (Abolfazl Mohebbi Amoli, Michel Benhamou, Jean-Pierre Deyme, Olivier Andremont), Institut Arnault Tzanck,Saint Laurent du Var, France (Diane Lena, Julien Cady, Arnaud Causeret, Arnaud De La Chapelle); Centre Hospitalier d’ Angoulême, Angoulême, France (Christophe Cracco, Stéphane Rouleau, David Schnell); Centre Hospitalier de Cahors, Cahors, France (Camille Foucault), Centre hospitalier de Carcassonne, Carcassonne, France (Cécile Lory); CHU Nice – Hôpital L’Archet 2, Nice, France (Thibault Chapelle, Vincent Bruckert, Julie Garcia, Abdlazize Sahraoui); Hôpital Privé du Vert Galant, Tremblay-en-France, France (Nathalie Abbosh, Caroline Bornstain, Pierre Pernet); Centre Hospitalier de Rambouillet, Rambouillet, France (Florent Poirson, Ahmed Pasem, Philippe Karoubi); Hopitaux du Léman, Thonon les Bains, France (Virginie Poupinel, Caroline Gauthier, François Bouniol, Philippe Feuchere), Centre Hospitalier Victor Jousselin, Dreux, France (Florent Bavozet, Anne Heron), Hôpital Sainte Camille, Brie sur Marne, France (Serge Carreira, Malo Emery, Anne Sophie Le Floch, Luana Giovannangeli), Hôpital d’instruction des armées Clermont-Tonnerre, Brest, France (Nicolas Herzog, Christophe Giacardi, Thibaut Baudic, Chloé Thill), APHP - Hôpital Pitié Salpêtrière, Paris, France (Said Lebbah, Jessica Palmyre, Florence Tubach, David Hajage); APHP - Hôpital Avicenne, Bobigny, France (Nicolas Bonnet, Nathan Ebstein, Stéphane Gaudry, Yves Cohen) ; Groupement Hospitalier la Rochelle Ré Amis, La Rochelle, France (Julie Noublanche, Olivier Lesieur); Centre Hospitalier Intercommunal de Mont de Marsan et du Pays des Sources, Mont de Marsan, France (Arnaud Sément, Isabel Roca-Cerezo, Michel Pascal, Nesrine Sma); Centre Hospitalier Départemental de Vendée, La-Roche-Sur-Yon, France (Gwenhaël Colin, Jean-Claude Lacherade, Gauthier Bionz, Natacha Maquigneau); Pôle Anesthésie-Réanimation, CHU Grenoble (Pierre Bouzat, Michel Durand, Marie-Christine Hérault, Jean-Francois Payen).
Appendix B. Supplementary data
The following are Supplementary data to this article:
Cumulative probability of VAP occurrence across the duration of mechanical of ventilation. The at-risk period starts after the initial 48 h gray area.
Landmark analyses of the cumulative probability of discharge from the ICU for patients still alive and mechanically ventilated at day 5, day 10, day 15 and day 20, depending on the earlier occurrence of VAP.
References
- 1.Our World in Data . 2022. COVID-19 statistics. [Google Scholar]
- 2.Nasa P., Azoulay E., Khanna A.K., Jain R., Gupta S., Javeri Y., et al. Expert consensus statements for the management of COVID-19-related acute respiratory failure using a Delphi method. Crit Care. 2021;25:106. doi: 10.1186/s13054-021-03491-y. [DOI] [PMC free article] [PubMed] [Google Scholar]
- 3.Razazi K., Arrestier R., Haudebourg A.F., Benelli B., Carteaux G., Decousser J.-W., et al. Risks of ventilator-associated pneumonia and invasive pulmonary aspergillosis in patients with viral acute respiratory distress syndrome related or not to Coronavirus 19 disease. Crit Care. 2020;24:699. doi: 10.1186/s13054-020-03417-0. [DOI] [PMC free article] [PubMed] [Google Scholar]
- 4.Giacobbe D.R., Battaglini D., Enrile E.M., Dentone C., Vena A., Robba C., et al. Incidence and prognosis of ventilator-associated pneumonia in critically ill patients with COVID-19: a multicenter study. J Clin Med. 2021;10 doi: 10.3390/jcm10040555. [DOI] [PMC free article] [PubMed] [Google Scholar]
- 5.Grasselli G., Scaravilli V., Mangioni D., Scudeller L., Alagna L., Bartoletti M., et al. Hospital-acquired infections in critically ill patients with COVID-19. Chest. 2021;160:454–465. doi: 10.1016/j.chest.2021.04.002. [DOI] [PMC free article] [PubMed] [Google Scholar]
- 6.COVID-ICU Group on behalf of the REVA Network and the COVID-ICU Investigators Clinical characteristics and day-90 outcomes of 4244 critically ill adults with COVID-19: a prospective cohort study. Intensive Care Med. 2021;47:60–73. doi: 10.1007/s00134-020-06294-x. [DOI] [PMC free article] [PubMed] [Google Scholar]
- 7.Vacheron C.-H., Lepape A., Savey A., Machut A., Timsit J.F., Vanhems P., et al. Increased incidence of ventilator-acquired pneumonia in coronavirus disease 2019 patients: a multicentric cohort study. Crit Care Med. 2022;50:449–459. doi: 10.1097/CCM.0000000000005297. [DOI] [PMC free article] [PubMed] [Google Scholar]
- 8.Luyt C.-E., Sahnoun T., Gautier M., Vidal P., Burrel S., Pineton de Chambrun M., et al. Ventilator-associated pneumonia in patients with SARS-CoV-2-associated acute respiratory distress syndrome requiring ECMO: a retrospective cohort study. Ann Intensive Care. 2020;10:158. doi: 10.1186/s13613-020-00775-4. [DOI] [PMC free article] [PubMed] [Google Scholar]
- 9.Blonz G., Kouatchet A., Chudeau N., Pontis E., Lorber J., Lemeur A., et al. Epidemiology and microbiology of ventilator-associated pneumonia in COVID-19 patients: a multicenter retrospective study in 188 patients in an un-inundated French region. Crit Care. 2021;25:72. doi: 10.1186/s13054-021-03493-w. [DOI] [PMC free article] [PubMed] [Google Scholar]
- 10.Plachouras D., Lepape A., Suetens C. ECDC definitions and methods for the surveillance of healthcare-associated infections in intensive care units. Intensive Care Med. 2018;44:2216–2218. doi: 10.1007/s00134-018-5113-0. [DOI] [PMC free article] [PubMed] [Google Scholar]
- 11.Guidelines for the management of adults with hospital-acquired, ventilator-associated, and healthcare-associated pneumonia. Am J Respir Crit Care Med. 2005;171:388–416. doi: 10.1164/rccm.200405-644ST. [DOI] [PubMed] [Google Scholar]
- 12.Sun G.W., Shook T.L., Kay G.L. Inappropriate use of bivariable analysis to screen risk factors for use in multivariable analysis. J Clin Epidemiol. 1996;49:907–916. doi: 10.1016/0895-4356(96)00025-x. [DOI] [PubMed] [Google Scholar]
- 13.Toulouse E., Lafont B., Granier S., Mcgurk G., Bazin J.-E. French legal approach to patient consent in clinical research. Anaesth Crit Care Pain Med. 2020 doi: 10.1016/j.accpm.2020.10.012. [DOI] [PubMed] [Google Scholar]
- 14.Alhumaid S., Al Mutair A., Al Alawi Z., Alshawi A.M., Alomran S.A., Almuhanna M.S., et al. Coinfections with bacteria, fungi, and respiratory viruses in patients with SARS-CoV-2: a systematic review and meta-analysis. Pathogens. 2021;10:809. doi: 10.3390/pathogens10070809. [DOI] [PMC free article] [PubMed] [Google Scholar]
- 15.Zaragoza R., Vidal-Cortés P., Aguilar G., Borges M., Diaz E., Ferrer R., et al. Update of the treatment of nosocomial pneumonia in the ICU. Crit Care. 2020;24:383. doi: 10.1186/s13054-020-03091-2. [DOI] [PMC free article] [PubMed] [Google Scholar]
- 16.Luo W., Xing R., Wang C. The effect of ventilator-associated pneumonia on the prognosis of intensive care unit patients within 90 days and 180 days. BMC Infect Dis. 2021;21:684. doi: 10.1186/s12879-021-06383-2. [DOI] [PMC free article] [PubMed] [Google Scholar]
- 17.Asehnoune K., Seguin P., Allary J., Feuillet F., Lasocki S., Cook F., et al. Hydrocortisone and fludrocortisone for prevention of hospital-acquired pneumonia in patients with severe traumatic brain injury (Corti-TC): a double-blind, multicentre phase 3, randomised placebo-controlled trial. Lancet Respir Med. 2014;2:706–716. doi: 10.1016/S2213-2600(14)70144-4. [DOI] [PubMed] [Google Scholar]
- 18.Forel J.-M., Voillet F., Pulina D., Gacouin A., Perrin G., Barrau K., et al. Ventilator-associated pneumonia and ICU mortality in severe ARDS patients ventilated according to a lung-protective strategy. Crit Care. 2012;16:R65. doi: 10.1186/cc11312. [DOI] [PMC free article] [PubMed] [Google Scholar]
- 19.Ayzac L., Girard R., Baboi L., Beuret P., Rabilloud M., Richard J.C., et al. Ventilator-associated pneumonia in ARDS patients: the impact of prone positioning. A secondary analysis of the PROSEVA trial. Intensive Care Med. 2016;42:871–878. doi: 10.1007/s00134-015-4167-5. [DOI] [PubMed] [Google Scholar]
- 20.Blazoski C.M., Baram M., Yang Q., Hirose H. Outcomes of extracorporeal membrane oxygenation in influenza versus COVID-19 during the first wave of COVID-19. J Card Surg. 2021 doi: 10.1111/jocs.15888. [DOI] [PMC free article] [PubMed] [Google Scholar]
- 21.Shih E., Squiers J.J., DiMaio J.M., George T., Banwait J., Monday K., et al. Outcomes of extracorporeal membrane oxygenation in patients with severe acute respiratory distress syndrome caused by COVID-19 versus influenza. Ann Thorac Surg. 2021 doi: 10.1016/j.athoracsur.2021.05.060. S000349752101033X. [DOI] [PMC free article] [PubMed] [Google Scholar]
- 22.De Waele J.J., Derde L., Bassetti M. Antimicrobial stewardship in ICUs during the COVID-19 pandemic: back to the 90s? Intensive Care Med. 2021;47:104–106. doi: 10.1007/s00134-020-06278-x. [DOI] [PMC free article] [PubMed] [Google Scholar]
- 23.Aziz S., Arabi Y.M., Alhazzani W., Evans L., Citerio G., Fischkoff K., et al. Managing ICU surge during the COVID-19 crisis: rapid guidelines. Intensive Care Med. 2020;46:1303–1325. doi: 10.1007/s00134-020-06092-5. [DOI] [PMC free article] [PubMed] [Google Scholar]
- 24.Bergman L., Falk A., Wolf A., Larsson I. Registered nurses’ experiences of working in the intensive care unit during the COVID‐19 pandemic. Nurs Crit Care. 2021;26:467–475. doi: 10.1111/nicc.12649. [DOI] [PMC free article] [PubMed] [Google Scholar]
- 25.Honarmand K., Yarnell C.J., Young-Ritchie C., Maunder R., Priestap F., Abdalla M., et al. Personal, professional, and psychological impact of the COVID-19 pandemic on hospital workers: a cross-sectional survey. PLoS One. 2022;17 doi: 10.1371/journal.pone.0263438. [DOI] [PMC free article] [PubMed] [Google Scholar]
- 26.Diao B., Wang C., Tan Y., Chen X., Liu Y., Ning L., et al. Reduction and functional exhaustion of T cells in patients with coronavirus disease 2019 (COVID-19) Front Immunol. 2020;11:827. doi: 10.3389/fimmu.2020.00827. [DOI] [PMC free article] [PubMed] [Google Scholar]
- 27.Chen G., Wu D., Guo W., Cao Y., Huang D., Wang H., et al. Clinical and immunological features of severe and moderate coronavirus disease 2019. J Clin Invest. 2020;130:2620–2629. doi: 10.1172/JCI137244. [DOI] [PMC free article] [PubMed] [Google Scholar]
- 28.Lavillegrand J.-R., Garnier M., Spaeth A., Mario N., Hariri G., Pilon A., et al. Elevated plasma IL-6 and CRP levels are associated with adverse clinical outcomes and death in critically ill SARS-CoV-2 patients: inflammatory response of SARS-CoV-2 patients. Ann Intensive Care. 2021;11:9. doi: 10.1186/s13613-020-00798-x. [DOI] [PMC free article] [PubMed] [Google Scholar]
- 29.Xiang Q., Feng Z., Diao B., Tu C., Qiao Q., Yang H., et al. SARS-CoV-2 induces lymphocytopenia by promoting inflammation and decimates secondary lymphoid organs. Front Immunol. 2021;12 doi: 10.3389/fimmu.2021.661052. [DOI] [PMC free article] [PubMed] [Google Scholar]
- 30.Wang F., Hou H., Luo Y., Tang G., Wu S., Huang M., et al. The laboratory tests and host immunity of COVID-19 patients with different severity of illness. JCI Insight. 2020;5:e137799. doi: 10.1172/jci.insight.137799. [DOI] [PMC free article] [PubMed] [Google Scholar]
- 31.Knoll R., Schultze J.L., Schulte-Schrepping J. Monocytes and macrophages in COVID-19. Front Immunol. 2021;12 doi: 10.3389/fimmu.2021.720109. [DOI] [PMC free article] [PubMed] [Google Scholar]
- 32.Reizine F., Lesouhaitier M., Gregoire M., Pinceaux K., Gacouin A., Maamar A., et al. SARS-CoV-2-induced ARDS associates with MDSC expansion, lymphocyte dysfunction, and arginine shortage. J Clin Immunol. 2021;41:515–525. doi: 10.1007/s10875-020-00920-5. [DOI] [PMC free article] [PubMed] [Google Scholar]
- 33.Koulenti D., Tsigou E., Rello J. Nosocomial pneumonia in 27 ICUs in Europe: perspectives from the EU-VAP/CAP study. Eur J Clin Microbiol Infect Dis. 2017;36:1999–2006. doi: 10.1007/s10096-016-2703-z. [DOI] [PubMed] [Google Scholar]
- 34.Rouzé A., Martin-Loeches I., Povoa P., Makris D., Artigas A., Bouchereau M., et al. Relationship between SARS-CoV-2 infection and the incidence of ventilator-associated lower respiratory tract infections: a European multicenter cohort study. Intensive Care Med. 2021;47:188–198. doi: 10.1007/s00134-020-06323-9. [DOI] [PMC free article] [PubMed] [Google Scholar]
- 35.Maes M., Higginson E., Pereira-Dias J., Curran M.D., Parmar S., Khokhar F., et al. Ventilator-associated pneumonia in critically ill patients with COVID-19. Crit Care. 2021;25:25. doi: 10.1186/s13054-021-03460-5. [DOI] [PMC free article] [PubMed] [Google Scholar]
- 36.Bornstain C., Azoulay E., De Lassence A., Cohen Y., Costa M.A., Mourvillier B., et al. Sedation, sucralfate, and antibiotic use are potential means for protection against early-onset ventilator-associated pneumonia. Clin Infect Dis. 2004;38:1401–1408. doi: 10.1086/386321. [DOI] [PubMed] [Google Scholar]
- 37.Tejerina E., Frutos-Vivar F., Restrepo M.I., Anzueto A., Abroug F., Palizas F., et al. Incidence, risk factors, and outcome of ventilator-associated pneumonia. J Crit Care. 2006;21:56–65. doi: 10.1016/j.jcrc.2005.08.005. [DOI] [PubMed] [Google Scholar]
- 38.Wu Z., Liu Y., Xu J., Xie J., Zhang S., Huang L., et al. A ventilator-associated pneumonia prediction model in patients with acute respiratory distress syndrome. Clin Infect Dis. 2020;71:S400–S408. doi: 10.1093/cid/ciaa1518. [DOI] [PubMed] [Google Scholar]
- 39.Wu D., Wu C., Zhang S., Zhong Y. Risk factors of ventilator-associated pneumonia in critically III patients. Front Pharmacol. 2019;10:482. doi: 10.3389/fphar.2019.00482. [DOI] [PMC free article] [PubMed] [Google Scholar]
- 40.Gragueb-Chatti I., Lopez A., Hamidi D., Guervilly C., Loundou A., Daviet F., et al. Impact of dexamethasone on the incidence of ventilator-associated pneumonia and blood stream infections in COVID-19 patients requiring invasive mechanical ventilation: a multicenter retrospective study. Ann Intensive Care. 2021;11:87. doi: 10.1186/s13613-021-00876-8. [DOI] [PMC free article] [PubMed] [Google Scholar]
- 41.Dupuis C., de Montmollin E., Buetti N., Goldgran-Toledano D., Reignier J., Schwebel C., et al. Impact of early corticosteroids on 60-day mortality in critically ill patients with COVID-19: a multicenter cohort study of the OUTCOMEREA network. PLoS One. 2021;16:e0255644. doi: 10.1371/journal.pone.0255644. [DOI] [PMC free article] [PubMed] [Google Scholar]
- 42.Tomazini B.M., Maia I.S., Cavalcanti A.B., Berwanger O., Rosa R.G., Veiga V.C., et al. Effect of dexamethasone on days alive and ventilator-free in patients with moderate or severe acute respiratory distress syndrome and COVID-19: the CoDEX randomized clinical trial. JAMA. 2020;324:1307–1316. doi: 10.1001/jama.2020.17021. [DOI] [PMC free article] [PubMed] [Google Scholar]
- 43.Blot S., Koulenti D., Dimopoulos G., Martin C., Komnos A., Krueger W.A., et al. Prevalence, risk factors, and mortality for ventilator-associated pneumonia in middle-aged, old, and very old critically ill patients. Crit Care Med. 2014;42:601–609. doi: 10.1097/01.ccm.0000435665.07446.50. [DOI] [PubMed] [Google Scholar]
- 44.Saura O., Rouzé A., Martin-Loeches I., Povoa P., Kreitmann L., Torres A., et al. Relationship between corticosteroid use and incidence of ventilator-associated pneumonia in COVID-19 patients: a retrospective multicenter study. Crit Care. 2022;26:292. doi: 10.1186/s13054-022-04170-2. [DOI] [PMC free article] [PubMed] [Google Scholar]
- 45.Esnault P., Cardinale M., Hraiech S., Goutorbe P., Baumstrack K., Prud’homme E., et al. High respiratory Drive and excessive respiratory efforts predict relapse of respiratory failure in critically ill patients with COVID-19. Am J Respir Crit Care Med. 2020;202:1173–1178. doi: 10.1164/rccm.202005-1582LE. [DOI] [PMC free article] [PubMed] [Google Scholar]
- 46.Lansbury L., Lim B., Baskaran V., Lim W.S. Co-infections in people with COVID-19: a systematic review and meta-analysis. J Infect. 2020;81:266–275. doi: 10.1016/j.jinf.2020.05.046. [DOI] [PMC free article] [PubMed] [Google Scholar]
- 47.Rouze A., Martin-Loeches I., Povoa P., Metzelard M., Du Cheyron D., Lambiotte F., et al. Early bacterial identification among intubated patients with COVID-19 or influenza pneumonia: a European multicenter comparative cohort study. Am J Respir Crit Care Med. 2021 doi: 10.1164/rccm.202101-0030OC. [DOI] [PMC free article] [PubMed] [Google Scholar]
- 48.Liu Y., Ling L., Wong S.H., Wang M.H., Fitzgerald J.R., Zou X., et al. Outcomes of respiratory viral-bacterial co-infection in adult hospitalized patients. EClinicalMedicine. 2021;37 doi: 10.1016/j.eclinm.2021.100955. [DOI] [PMC free article] [PubMed] [Google Scholar]
- 49.Ibn Saied W., Mourvillier B., Cohen Y., Ruckly S., Reignier J., Marcotte G., et al. A comparison of the mortality risk associated with ventilator-acquired bacterial pneumonia and nonventilator ICU-acquired bacterial pneumonia. Crit Care Med. 2019;47:345–352. doi: 10.1097/CCM.0000000000003553. [DOI] [PubMed] [Google Scholar]
- 50.Nseir S., Martin-Loeches I., Povoa P., Metzelard M., Du Cheyron D., Lambiotte F., et al. Relationship between ventilator-associated pneumonia and mortality in COVID-19 patients: a planned ancillary analysis of the coVAPid cohort. Crit Care. 2021;25:177. doi: 10.1186/s13054-021-03588-4. [DOI] [PMC free article] [PubMed] [Google Scholar]
- 51.Gamberini L., Tonetti T., Spadaro S., Zani G., Mazzoli C.A., Capozzi C., et al. Factors influencing liberation from mechanical ventilation in coronavirus disease 2019: multicenter observational study in fifteen Italian ICUs. J Intensive Care. 2020;8:80. doi: 10.1186/s40560-020-00499-4. [DOI] [PMC free article] [PubMed] [Google Scholar]
Associated Data
This section collects any data citations, data availability statements, or supplementary materials included in this article.
Supplementary Materials
Cumulative probability of VAP occurrence across the duration of mechanical of ventilation. The at-risk period starts after the initial 48 h gray area.
Landmark analyses of the cumulative probability of discharge from the ICU for patients still alive and mechanically ventilated at day 5, day 10, day 15 and day 20, depending on the earlier occurrence of VAP.


