Abstract
Background
Soil salt stress is a problem in the world, which turns into one of the main limiting factors hindering maize production. Salinity significantly affects root physiological processes in maize plants. There are few studies, however, that analyses the response of maize to salt stress in terms of the development of root anatomy and respiration.
Results
We found that the leaf relative water content, photosynthetic characteristics, and catalase activity exhibited a significantly decrease of salt stress treatments. However, salt stress treatments caused the superoxide dismutase activity, peroxidase activity, malondialdehyde content, Na+ uptake and translocation rate to be higher than that of control treatments. The detrimental effect of salt stress on YY7 variety was more pronounced than that of JNY658. Under salt stress, the number of root cortical aerenchyma in salt-tolerant JNY658 plants was significantly higher than that of control, as well as a larger cortical cell size and a lower root cortical cell file number, all of which help to maintain higher biomass. The total respiration rate of two varieties exposed to salt stress was lower than that of control treatment, while the alternate oxidative respiration rate was higher, and the root response of JNY658 plants was significant. Under salt stress, the roots net Na+ and K+ efflux rates of two varieties were higher than those of the control treatment, where the strength of net Na+ efflux rate from the roots of JNY658 plants and the net K+ efflux rate from roots of YY7 plants was remarkable. The increase in efflux rates reduced the Na+ toxicity of the root and helped to maintain its ion balance.
Conclusion
These results demonstrated that salt-tolerant maize varieties incur a relatively low metabolic cost required to establish a higher root cortical aerenchyma, larger cortical cell size and lower root cortical cell file number, significantly reduced the total respiration rate, and that it also increased the alternate oxidative respiration rate, thereby counteracting the detrimental effect of oxidative damage on root respiration of root growth. In addition, Na+ uptake on the root surface decreased, the translocation of Na+ to the rest of the plant was constrained and the level of Na+ accumulation in leaves significantly reduced under salt stress, thus preempting salt-stress induced impediments to the formation of shoot biomass.
Keywords: Maize, Salt stress, Root anatomy, Root respiration rate, Oxidative injury
Background
Excessive salinity is a serious environmental stress factor that restricts the productivity and sustainability of agricultural enterprises located in arid and semiarid regions [1–3]. In addition to exacerbating the effects of global warming, the widespread deployment of inappropriate irrigation methods we have witnessed in recent times, especially the excessive use of fertilizers and pesticides, has given rise to a marked worsening of soil salinization around the world [4, 5]. Maize, one of the most important crops in the world, is moderately sensitive to salinity [6]. Like most crops, salinity negatively affects a maize plant’s relative growth rate, osmotic status, transpiration, ion transport, photosynthetic activity, and senescence [7–10]. In addition, an excessive accumulation of salt in a maize plant’s cells can produce reactive oxygen species (ROS), such as hydrogen peroxide, hydroxyl radicals, and superoxide anions, all of which inhibit photosynthetic activity [11, 12]. In order to survive, plants are forced to adapt, and have been observed to respond by deploying various strategies like the extrusion or compartmentalization of toxic ions, the establishment of an enhanced level of biosynthesis of osmolytes, and the activation of ROS scavenging systems [13, 14].
In maize plant cells, salt-induced osmotic effects alter the general metabolic processes and activity levels of enzymes, leading to an excessive accumulation of ROS, which in turn gives rise to oxidative stress [15, 16]. When exposed to oxidative stress, plant cells typically respond by establishing an intricate antioxidant system that regulates redox homeostasis, commonly involving the superoxide dismutase (SOD), catalase (CAT), ascorbate peroxidase (APX) and peroxidase (POD), as well as other free radical scavengers [17, 18]. Zhang et al. [19] showed that in rice roots exposed to saline-alkali stress, the activity of antioxidant enzymes such as SOD, POD, and CAT was significantly elevated, and that this response enhanced the plant’s ability to scavenge ROS, which ultimately mitigated cell damage and improved its chances of survival. In soybean roots, salt stress induces lignification, which is a metabolic process usually accompanied by an increase in POD activity and a significant decrease in H2O2 content while also is known to be associated with inhibited root growth [20]. When specifically considering salt-tolerant crop genotypes, it has been shown that the SOD and CAT activity are usually depressed, while the APX, guaiacol peroxidase and glutathione reductase activity does not change significantly in the roots of plants subjected to salt stress. In the roots of salt-sensitive genotypes, however, a relatively low enzyme activity of any of these enzymes typically results in an accumulation of ROS, and a subsequent membrane lipid peroxidation that inhibits the growth and development of the root [16, 21].
When a plant is exposed to salt stress during its development, its root system, being the first organ to perceive the stress signal, is incited to adapt its morphological structure to counteract the unfavorable environment it is presented with [22]. One of the most notable adaptations to salt stress observed in the root anatomy of maize plants is RCA formation. RCA formation increases a plant root’s capacity for water and nutrient acquisition, thereby reducing the metabolic costs of soil exploration and allowing it to grow larger [23, 24]. It has also been shown that RCA plays a central role in improving a plant’s capacity to transport oxygen from its shoots to its roots [25]. In addition, substantially elevated RCA and CCS have been observed in barley, wheat and rice exposed to water stress, which was shown to be the result of the development of an elevated number of xylem vessels [26, 27]. Water stress also negatively affects the RCA in the root hairs of maize, but it improves the RCA of mature roots [28]. Zhu et al. [29] demonstrated that the formation of RCA enhances the drought tolerance of maize, mainly because the adapted root architecture provides more airspace, which reduces the level of root respiration.
In addition to these morphological adaptions, plants also develop biochemical responses to salt stress. Mitochondrial electron transport pathways in plants are mainly comprised of cytochrome oxidase (COX) respiratory pathways and alternate oxidase (AOX) respiratory pathways, both of which are susceptible to environmental stress [30]. In many plants, environmental and chemical stress stimulates AOX synthesis, while in the absence of stress it generally remains at a low level [31]. Several studies have shown that AOX plays an important role in plant adaptations to environmental stresses such as excessive salinity, cold, waterlogging, drought and high light [32–36]. The salt tolerance of plants is associated with elevated AOX gene expression and increased enzyme activity [34, 37]. AOX is insensitive to cyanide, but its activity can be inhibited by salicylhydroxamic acid (SHAM) [38]. In cases where the COX respiratory pathway is compromised due to environmental stress, the AOX respiratory pathway can uphold respiration by directly receiving electrons from ubiquitin, which reduces oxygen to water. In addition, AOX consumes excessive reduction equivalents produced by chloroplasts, thus maintaining intracellular redox homeostasis [39–41]. Studies showed that both the total respiration rate and the AOX respiration rate of leaves decreased under salt stress [34], confirming that AOX plays a critical role in maintaining respiration and prevents extensive oxidative damage and functional loss of mitochondria and chloroplasts under conditions of water stress [41]. It has also been observed that the cells of leaves from alfalfa plants exposed to severe short-term salt stress could improve their photosynthetic rate and water content by deploying a combination of alternate oxidative respiration and organic acid and amino acid metabolic processes, thus improving the alfalfa’s salt tolerance [42]. The findings from these studies confirm that in order to develop agricultural practices aimed at improving the salt tolerance of crop plants, it is necessary to understand the related physiological and biochemical processes in maize plants.
In order to cope with salt stress, it is essential to maintain ion homeostasis in plants. Under salt stress, some studies showed a sharp increase in the Na+ level and a decrease in the K+ level in roots [43, 44]. In salt-tolerant genotypes, lower Na+/K+ ratios enable plants to grow well under saline environments and to preserve cellular metabolism by promoting protein synthesis, regulating enzyme activation, photosynthesis, osmoregulation and maintaining cell turgor [45]. Salt-induced phytotoxicity increased the maize plant tissue concentration of Na+/K+ ionic ratio, Na+ translocation (root to shoot), and its uptake [16]. Salt stress increased the translocation factor of Na+ and K+ and reduced the selective transport of roots for K+ over Na+ in rice [46].
The study presented in this paper had the following objectives: (1) evaluate the effects of salt stress on the antioxidative enzyme activity and the level of lipid peroxidation in the leaves and roots of two maize genotypes with different salt tolerances; (2) compare the differences in and analyze the relationship between the root anatomy traits and respiration rates of maize plants subjected to salt stress and maize plants grown under standard conditions; and (3) explore how exposure to salt stress affects a maize root’s uptake and transport of Na+ and K+.
Results
Salt stress treatment affects plant growth and the leaf relative water content (RWC)
The two-way ANOVA showed that both the salinity and the choice of maize variety significantly affected the RWC (P < 0.05; Table 1). At V6 stage, the height and leaf area of YY7 plants in salt stress (S) treatment were markedly lower than those of plants from the CK treatment. Salt stress also significantly reduced the height of JNY658 plants, but not their leaf area. YY7 plants subjected to the S treatment were 11.37% shorter than plants from the CK group, and their leaf area was 12.32% smaller. At 11.44% less, the difference in RWC between plants from the S and CK groups was most pronounced for the YY7 variety. For JNY658 plants, we found a much smaller difference of only 4.95% (Fig. 1).
Table 1.
Summary of the ANOVA analysis of the physiological parameters of the leaves of plants subjected to salt stress, and statistical differences between the result from the soil and hydroponics culture experiments
| Effect | RWC | Pn | SOD | POD | CAT | MDA | Leaf Na+ content | SD |
|---|---|---|---|---|---|---|---|---|
| Salt | 7.94* | 7.59* | 43.61*** | 110.22*** | 10.03* | 9.27* | 99.04*** | 22.73*** |
| Variety | 5.87* | 0.27ns | 210.64*** | 4.00ns | 25.00** | 102.65*** | 3.39ns | 0.95ns |
| Salt ×Variety | 1.54ns | 0.27ns | 0.57ns | 0.09ns | 1.78ns | 0.49* | 4.47* | 7.33* |
Note: ⁎Significant at P < 0.05; ⁎⁎Significant at P < 0.01; ***Significant at P < 0.001; ns non-significant
Fig. 1.
Effect of salt stress on plant height, leaf area and RWC of salt-tolerant (JNY658) and salt-sensitive (YY7) maize varieties. Bars being annotated with different lowercase letters indicates they are significantly different at P < 0.05
Salt stress treatment affects photosynthesis parameters
Salt stress had a significant effect on the net photosynthetic rate in leaves (P < 0.05; Table 1). Our results showed that the net photosynthetic rate (Pn), intercellular CO2 concentration (Ci), stomatal conductance (Gs) and transpiration rate (Tr) in the leaves of plants subjected to the S treatment were all lower than the corresponding values in those of the CK treatment. For JNY658 plants, there was no significant difference between the Pn and the Ci of plants subjected to the S treatment and plants from the CK treatment, but the Pn and Ci of YY7 plants subjected to the S treatment were a significant 19.69 and 24.76% lower than those of plants from the CK treatment respectively (Fig. 2).
Fig. 2.
Effect of salt stress on the photosynthetic characteristics of salt-tolerant (JNY658) and salt-sensitive (YY7) maize varieties. Bars being annotated with different lowercase letters indicates they are significantly different at P < 0.05
Salt stress treatment affects root respiration
Our results showed that exposure to salt stress affected both the total respiration rate (RTotal) and the alternate oxidative respiration rate (RAOX) of maize plants (Table 2). The RTotal of roots of plants of both varieties included in our experiment was lower than that of the roots of plants from the respective CK treatments, while the RAOX and RAOX/RTotal were higher. The RTotal of the roots from YY7 and JNY658 plants subjected to the S treatment was 17.08 and 25.05% lower than that of the corresponding CK treatment, respectively; the RAOX was 10.43% and 33.64 higher; and the RAOX/RTotal was 38.36 and 67.93% higher (Fig. 3), confirming that JNY958 responded more strongly to salt stress than YY7 plants did.
Table 2.
Summary of the ANOVA analysis of the physiological parameters of the roots of plants subjected to salt stress, and statistical differences between the result from the soil and hydroponics culture experiments
| Effect | SOD | POD | CAT | MDA | RCA | RTotal | RAOX | Na+ translocation | Na+ uptake | RD |
|---|---|---|---|---|---|---|---|---|---|---|
| Salt | 138.50*** | 11.82** | 99.49*** | 34.41*** | 71.87*** | 30.56*** | 29.44*** | 14.74** | 204.84*** | 23.32*** |
| Variety | 52.38*** | 18.28** | 5.40* | 34.96*** | 8.39* | 1.25ns | 0.23ns | 0.001ns | 27.13*** | 3.97ns |
| Salt ×Variety | 5.08* | 2.39ns | 5.40* | 5.69* | 1.90ns | 0.12ns | 7.00* | 0.59ns | 20.91*** | 7.14* |
Note: ⁎Significant at P < 0.05; ⁎⁎Significant at P < 0.01; ***Significant at P < 0.001; ns non-significant
Fig. 3.
Effect of salt stress on the respiration rates in the root systems of salt-tolerant (JNY658) and salt-sensitive (YY7) maize varieties. Bars being annotated with different lowercase letters indicates they are significantly different at P < 0.05
Salt stress treatment affects root anatomical traits
A two-way ANOVA showed that both exposure to salt stress and the salt-tolerance of the used maize variety significantly affected the root cortical aerenchyma (RCA) (P < 0.05; Table 2). We found that for both varieties included in our experiment, the RCA and cortical cell size (CCS) of plants subjected to the S treatment were higher than those of plants subjected to the CK treatment. In contrast, the cortical cell file number (CCFN) was smaller. The RCA of YY7 seedlings subjected to the S treatment was 58.49% higher than that of seedlings subjected to the CK treatment. And their CCS was 6.51% higher and their CCFN was significantly 13.64% lower. The response of JNY658 plants was even stronger: the RCA of JNY658 plants subjected to the S treatment was 72.14% higher than those from the CK treatment, their CCS was 21.30% higher and their CCFN was 18.33% lower (Fig. 4).
Fig. 4.
Effect of salt stress on the anatomic traits of salt-tolerant (JNY658) and salt-sensitive (YY7) maize varieties. Bars being annotated with different lowercase letters indicates they are significantly different at P < 0.05. RCA: root cortical aerenchyma; CCS: cortical cell size; CCFN: cortical cell file number
Salt stress treatment affects antioxidant enzyme activity
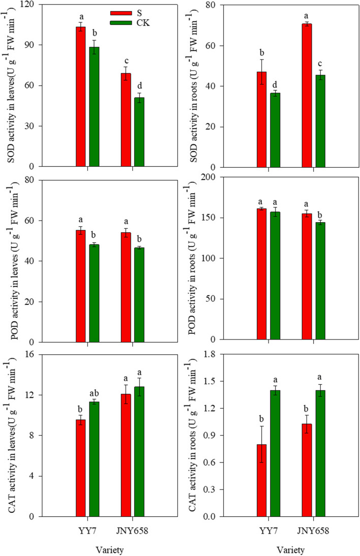
To evaluate the role of the antioxidant system in a maize plant’s response to salt stress, we analyzed the activity of antioxidant enzymes in its leaves and roots. We found that both exposure to salt stress and the plant’s variety, as well as the interaction between those factors, significantly affected the SOD and CAT activity in leaves and roots (P < 0.05; Tables1 and 2). The SOD and POD activities in the leaves and roots of plants of both varieties subjected to salt stress were higher than that in the leaves and roots of plants from the control treatment. The response exhibited by JNY658 plants, however, was more pronounced than that exhibited by YY7 plants. The SOD activity in the leaves of YY7 plants that had been subjected to the S treatment was a significant 16.87% higher than that in leaves of plants from the CK treatment and in root it was 28.58% higher. JNY658 plants responded even more strongly: the SOD activity in their leaves was as much as 34.96% higher and that in their roots was 55.40% higher than the corresponding values in leaves and roots of plants from the control treatment. The POD activity exhibited as a similar trend, except for the POD activity in the roots from YY7 pants, which was not significantly different between the two treatments.
The CAT activity in the leaves and roots of seedlings subjected to the S treatment was lower than that in the leaves and roots of seedlings subjected to the CK treatment. The CAT activity in the leaves of YY7 plants subjected to the S treatment was a significant 15.88% lower than that in the leaves of plants subjected to the CK treatment, and in root it was 42.86% lower. The corresponding values in the leaves and roots of JNY658 plants subjected to the S treatment were 5.73 and 26.67% lower than those in the leaves and roots of plants from the control treatment, respectively (Fig. 5).
Fig. 5.
Effect of salt stress on the antioxidative system of salt-tolerant (JNY658) and salt-sensitive (YY7) maize varieties. Bars being annotated with different lowercase letters indicates they are significantly different at P < 0.05
Salt stress treatment affects MDA content
Salt stress, variety, and their interaction significantly (P < 0.05) affected the MDA content in the leaves and roots (Tables 1 and 2). the MDA content in the leaves and roots of plants of both varieties subjected to the S treatment was higher than that in the leaves and roots of plants subjected to the CK treatment; the only significant difference (22.46%, P < 0.05) was observed in the roots from YY7 plants (Fig. 6).
Fig. 6.

Effect of salt stress on the MDA and proline content of salt-tolerant (JNY658) and salt-sensitive (YY7) maize varieties. Bars being annotated with different lowercase letters indicates they are significantly different at P < 0.05
Salt stress treatment affects net Na+ and K+ flux
The net Na+ and K+ flux (defined as the difference between efflux and influx) from the roots of both JNY658 and YY7 plants subjected to the S treatment was markedly higher than that from the roots of plants subjected to the CK treatments, but JNY658 plants responded significantly stronger to salt stress than YY7 plants: The average net Na+ efflux from the roots of JNY658 plants subjected to the S treatment was 2.43 times higher than that from the roots of plants subjected to the CK treatment, while for YY7 plants it was only 1.67 times higher.
Although the net K+ flux from the roots of plants of both varieties subjected to the CK treatment were not significantly different, we found that in plants subjected to the S treatment, it was markedly higher for the YY7 variety than for the JNY658 variety: The average net K+ flux from the roots of YY7 plants exposed to salt stress was 7.77 times higher than that from the roots of plants from the control treatment, while for the roots of JNY658 plants it was only 6.68 times higher (Fig. 7).
Fig. 7.
Effect of salt stress on the net Na+ and K+ flux in the roots of salt-tolerant (JNY658) and salt-sensitive (YY7) maize varieties. Bars being annotated with different lowercase letters indicates they are significantly different at P < 0.05
Salt stress treatment affects root Na+ translocation, root Na+ uptake and leaf Na+ content
Exposure to salt stress significantly affected the root Na+ translocation, the root Na+ uptake and the leaf Na+ content of maize plants (P < 0.05; Tables 1 and 2). In terms of Na+ translocation and Na+ uptake, YY7 plants responded significantly more stronger to salt stress than JNY658 plants did. The level of Na+ translocation from the roots to the shoots of YY7 seedlings subjected to the S treatment was 32.93% higher than that from the roots to the shoots of seedlings from the control treatment, while we observed no significant difference in JNY658 seedlings. The Na+ net uptake at the root surface of YY7 seedlings subjected to salt stress was 3.43 times higher than that at the root surface of seedlings from the control treatment, while for JNY658 seedlings the corresponding value was only 2.37 times higher. The Na+ content of the leaves of YY7 plants subjected to the S treatment was 175.26% higher than that of the leaves of plants subjected to the CK treatment and for JNY659 plants it was 139.23% higher. (Fig. 8).
Fig. 8.
Effect of salt stress on the Na+ translocation, the Na+ uptake at the root surface and the Na+ content in leaves of salt-tolerant (JNY658) and salt-sensitive (YY7) maize varieties. Bars being annotated with different lowercase letters indicates they are significantly different at P < 0.05
Salt stress treatment affects dry matter weight and STI
Both exposure to salt stress and the interaction between salinity and the used maize variety significantly affected the shoot and root biomass of YY7 plants, while the effect on the biomass of JNY658 plants was not significant (P < 0.05; Tables 1 and 2). The biomass contained in the roots and shoots of harvested YY7 plants subjected to the S treatment were 39.17 and 45.95% lower than that of plants subjected to the CK treatment, respectively, and the corresponding values for the roots and shoots of JNY658 plants were 10.33 and 9.06% lower. The STI of JNY658 plants subjected to the S treatment was 31.38% higher than that of YY7 plants subjected to the same treatment (Fig. 9).
Fig. 9.
Effect of salt stress on the dry matter weight and the salt tolerance index (STI) of salt-tolerant (JNY658) and salt sensitive (YY7) maize varieties. Bars being annotated with different lowercase letters indicates they are significantly different at P < 0.05
Correlation analysis
The leaf Na+ content exhibited a significant positive correlation with the Gs, the leaf SOD activity, the leaf POD activity, the leaf MDA content, the RCA, the CCS, RAOX, the root SOD, the root MDA and the Na+ uptake, as well as a significant negative correlation with the RWC, the Pn, the Ci, the leaf CAT activity, the CCFN, the RTotal and the root CAT activity. The RD exhibited a significant positive correlation with the RWC, the Pn, the Ci, the leaf CAT content, the CCFN, the RTotal and the root CAT content, as well as a significant negative correlation with the Gs, the leaf SOD activity, the leaf POD activity, the leaf MDA content, the RCA, the CCS, the root SOD activity, the root MDA content, the Na+ uptake, and the leaf Na+ content. The SD exhibited a significant positive correlation with the RWC, the Pn, the Ci, the leaf CAT content, the CCFN, the RTotal and the root CAT content, and RD, SD had a significant negative correlation with the leaf SOD activity, the leaf POD activity, the leaf MDA content, the RCA, the CCS, the RAOX, the root SOD activity, the root MDA content, the Na+ uptake, and the leaf Na+ content.
Discussion
Comparison of the responses of maize varieties with different salt tolerances to salt stress in terms of their photosynthetic parameters
The accumulation of Na+ in plants drastically affects most of their physiological attributes, including the photosynthetic rate, the transpiration rate, and stomatal opening and closing [47]. Jiang et al. [48] suggested that a higher tolerance to salt stress, which mitigates the negative impact of salt stress on a plant’s photosynthetic machinery due to effects like Na+ accumulation, may improve a plant’s photosynthetic characteristics. Exposure to salt stress gives rise to significantly reduced values of the Pn, Gs, Ci, and Tr in tomato, peanut and cotton plants [49–51]. Salt stress also engenders a smaller stomatal aperture, a lower intercellular CO2 concentration, and the impairment of photosynthetic electron transport, which results in the production of ROS [10, 12]. The study presented in this paper reveals that the leaves of maize plants that had been subjected to a treatment involving the application of a high amount of NaCl exhibited a lower Pn, Gs, and Ci than the leaves of plants from the control treatment and that the salt-sensitive variety YY7 exhibited a stronger response than the salt-tolerant variety JNY658 (Fig. 2). The difference in response might be due to the fact that plants of the YY7 variety exposed to salt stress suffer from a markedly reduced RWC, which results in reduced water uptake and disrupts the plant’s water balance (Fig. 1) [16]. In turn, the relatively low RWC of salt-sensitive maize cultivars grown in a saline environment could be caused by a low cell turgidity or a lack of capacity to transport water from the roots to the shoots [52, 53].
Comparison of the responses of maize varieties with different salt tolerances to salt stress in terms of their root anatomical traits and respiration rates
Exposing plants to salt stress during the formation of the RCA inhibits the development of the active cortex area, resulting in a reduced respiration rate and a lower nutrient content of the root tissue, which prompts the root system to continue the process of soil exploration [54]. The development of RCA, which enlarges the area of the channels in the root cortex, is considered to play an important role in reducing the metabolic cost of soil exploration and improving a root’s capacity to take up water [55, 56]. The mechanism by which RCA is formed in maize plants involves programmed cell death [57], which reduces the root’s nutrient content and respiration rate [58]. When the availability of water and nutrients in the soil is limited, the formation of RCA improves the capacity of the root system to absorb water and nutrients and supply them to the rest of the plant [56, 59]. Zhu et al. [29] found that under drought conditions maize genotypes with a high RCA had a 5-fold higher biomass and an 8-fold higher yield than low RCA genotypes. Water stress is known to drastically increase RCA formation [60]. In addition, Chimungu et al. [61] have shown that plants of varieties with a relatively low CCFN were able to maintain a greater RWC and Gs when exposed to water stress. Several studies have suggested that the high RCA, large CCS, and low CCFN induced by water stress reduced a plant’s root respiration, increased its rooting depth, and enhanced its capacity to acquire water [56, 61, 62]. The results of our study showed that, with respect to developing a higher RCA and CCS and a lower CCFN, JNY658 seedlings responded significantly stronger to salt stress than YY7 seedlings did (Fig. 6). It should also be noted that the RCA and CCS exhibited a significant negative correlation with the RTotal, whereas for the CCFN the same correlation was significantly positive (Fig. 10). These findings confirm that the way JNY658 plants respond to salt stress, which is to say by developing a higher RCA, a larger CCS, and a reduced CCFN, reduces the respiration rate and maintain the water and nutrient uptake capacity of their roots [63]. In addition, our results suggest that the relatively low CCFN of JNY658 plants subjected to salt stress helped them to maintain a higher RWC and Gs, which benefits overall plant growth and biomass formation (Figs. 1, 2, and 9).
Fig. 10.
Pearson correlation analysis between various measured attributes of JNY658 (A) and YY7 (B) plants (P < 0.05). The abbreviations are as following: RWC: the leaf relative water content; POD: peroxidase activity; SOD: superoxidase activity; CAT: catalase activity; MDA: malondialdehyde contents; Pn: leaf net photosynthetic; Tr: transpiration rate; Gs: stomatal conductance; Ci: internal CO2 concentration; SD: shoot dry weight; RD: root dry weight
Responding to water stress by reducing the level of root respiration can help a plant to reduce the metabolic rate associated with soil exploration by the root system and improve its capacity for nutrient and water absorption, thus increasing crop yield [54, 56]. Several studies have provided evidence that AOX, in addition to playing a general role in maintaining cellular energy homeostasis, may be involved in processes that limit the formation of mitochondrial ROS in tobacco, watermelon, and alfalfa plants exposed to environmental stress [36, 64, 65], suggesting that it might play an essential role in stress responses [66]. When faced with insufficient P availability, tobacco roots have been shown to respond by increasing their AOX respiration rate, thereby increasing its proportion to the total respiration rate [67]. In light of its capacity to influence antioxidant enzyme activity, it has also been suggested that AOX might be involved in responses to low-temperature stress such as those endowing sweet potatoes and chickpeas with a high level of cold tolerance [35, 68]. It has been shown that tomato plants subjected to salt stress significantly decreased their RTotal while significantly increasing their RAOX, thus enlarging RAOX/RTotal and improving their salt tolerance [34]. In addition, AOX overexpression in response to extreme drought has been shown to reduce oxidative damage, while AOX knockdown promotes oxidative damage [41]. Our findings indicate that the formation of more RCA caused the respiration rate of the roots of plants of both varieties subjected to salt stress to be lower than that of the roots of plants from the control treatment. The RAOX and RAOX/RTotal of the roots of JNY658 plants subjected to salt stress showed were significantly higher than those of the roots of plants from the control treatment, while the roots of YY7 plants exhibited no significant differences (Fig. 8). JNY658 plants mitigate the effects induced by salt toxicity by changing the root respiratory chain transmission pathway, and they also reduce the root’s metabolic costs through establishing a more efficient respiration process, which helps to maintain the plant’s growth and development. In addition, RAOX exhibited a significant positive correlation with the SOD and POD activity in roots, but it negatively correlated with the MDA content of roots (Fig. 10). In terms of the increase in SOD and POD activities in their roots, the response of JNY658 plants subjected to salt stress was significantly stronger than that of YY7 plants, but in terms of the increase in MDA content it was the other way round. This suggests that exposure to salt stress significantly increased the RAOX/RTotal of the roots of JNY658 plants, which served to regulate the antioxidant enzyme activity and lipid peroxidation, thus mitigating oxidative damage and improving salt tolerance.
Comparison of the responses of maize varieties with different salt tolerances to salt stress in terms of their peroxide scavenging capacity
Antioxidant responses play an important role in improving a plant’s tolerance to salt stress [69]. When the ROS scavenging ability of plants reaches a certain limit, excess ROS can damage cells and cause oxidative stress. In order to regulate redox homeostasis, plants have developed complex antioxidant responses to environmental stress, including the deployment of enzymes that scavenge free radicals, such as SOD, POD, CAT and APX [17, 70]. SOD mainly scavenges O2−, and CAT and POD mainly scavenge the highly toxic substance H2O2 by decomposing it into water and oxygen [69, 71]. Previous studies have shown that exposure to salt stress significantly increased the SOD, POD and CAT activity in and the MDA content of wheat, peanut, tomato, cucumber, and Arabidopsis plants [48, 50, 72–75]. Another study demonstrated that treatments involving salt stress decreased the CAT activity in tomato seedlings [76, 77]. Furthermore, salt tolerance has been attributed to enhanced APX, CAT and SOD activity in rice seedlings [78]. Sheikh-Mohamadi et al. [79] demonstrated that a plant’s higher tolerance to salt is associated with a lower MDA content and that its MDA content correlates negatively with its salt resistance. In our study, we found that after subjecting them to salt stress, the SOD and POD activity and the MDA content of the roots and leaves of plants of both maize varieties increased, while the CAT activity was lower [80]. In terms of the changes in MDA content, the response of the salt-sensitive YY7 variety was significantly stronger than that of the JNY658 variety (Figs. 5 and 6), while in terms of the changes in SOD and POD activity and MDA content it was the other way round. Thus, we were able to conclude that oxidative stress plays an important role in maize plants exposed to salt stress and that the response mechanisms protecting the leaves and roots of JNY658 plants against salt stress-induced oxidative damage involved the maintenance and enhancement of the activity of antioxidant enzymes that help to mitigate NaCl-induced oxidative damage and maintain a higher biomass formation.
Comparison of the responses of maize varieties with different salt tolerances to salt stress in terms of their ability to maintain the K+ and Na+ ratio in their roots
The damage to plant cells and the resultant growth defects observed in crops exposed to salt stress are primarily caused by the excessive uptake and accumulation of Na+ and Cl− ions [81]. Because K+ is required by the normal metabolism of plants, it is very important that any mechanisms contributing to the salt tolerance of plants maintain the K+ content of their leaves and roots [82]. Salt stress has been shown to compromise plant metabolism by inducing K+/Na+ imbalances [83], which led to significant Na+ and K+ efflux from the meristematic and elongation zones of rice roots [46]. NMT is a practically useful technology for non-invasively investigating the ion flux in plant roots. In our study, we analyzed the Na+ and K+ efflux characteristics of the roots of both maize varieties included in our experiment after having been subjected to a treatment involving salt stress. In the roots of plants of the salt-tolerant maize variety JNY658, we observed a strong Na+ efflux, which may be due to the fact that SOS is mainly expressed in roots [63]. We also found that the K+ efflux from the roots of JNY658 plants was weaker than that from the roots of YY7 plants (Fig. 7). This finding indicates that the main reason why JNY658 has a higher salt tolerance than YY7 is its capability to maintain a lower Na+/K+ ratio in its roots. Yan et al. [84] reported that salt sensitive honeysuckle varieties exposed to salt stress tend to accumulate Na+ in their leaves, leading them to exhibit severe toxicity symptoms. In our study, we found that the Na+ translocation from root to shoot in YY7 subjected to salt stress was significantly higher than that in plants from the control treatment, but we found no significant response in JNY658 plants, which suggests that salt-tolerant maize varieties have the capacity to inhibit the Na+ transport to their leaves when exposed to salt stress. Accordingly, our results revealed that the Na+ concentration in the lower leaves of JNY658 plants depends on a higher Na+ efflux from the root, as well as a restriction of the amount of Na+ transported from roots to leaves (Fig. 8).
Conclusions
In conclusion, our study shows that, compared with the salt-sensitive variety YY7, the salt-tolerant maize variety JNY658 responded to salt stress by establishing a higher RCA and CCS, and a lower CCFN in its roots, as well as by reducing the RTotal and enhancing the RAOX, thus mitigating the amount of oxidative damage to cells. In addition, salt-tolerant maize variety had the capacity to lower the ionic toxicity in its leaves by maintaining a greater root Na+ extrusion, thereby restricting the amount of Na+ transported to its leaves and establishing a stronger root Na+ efflux. The combined effect from these responses might be responsible for the capacity of JNY658 plants to maintain a relatively high photosynthetic activity in their leaves when exposed to salt stress.
Methods
Experimental subjects
After evaluating the data on a total of 71 maize varieties, we selected the salt-sensitive variety Yunyu7 (YY7) and the salt-tolerant variety Jingnongyu658 (JNY658) as the experimental subjects. The elite Chinese maize cultivar Jingnongyu658 (JB547/J2418) and Yunyu 7 (14NC7 × 15S856) were obtained from Shandong Jingke Seeds Co., Ltd. (Jinan, China) and Yuncheng Seeds Co., Ltd. (Heze, China), respectively. The study complies with relevant institutional, national, and international guidelines and legislation for plant ethics. The factors were two salt levels: 0 mM NaCl (CK) and 100 mM NaCl (S), and two varieties (YY7, JNY658).
Experimental design of the mesocosm experiment
The experiment was divided into two branches. One branch used a soil environment to grow the experimental plants and the other a hydroponic environment.
The mesocosm experiment was carried out in a greenhouse, using a 2 × 2 factorial randomized complete block design blocked by salinity treatment and maize variety. Seeds of the same size and fullness were surface-sterilized for 10 min with a 0.05% NaClO solution, washed for 30 min with distilled water, and then soaked for 24 h in distilled water. Plants were grown in soil containers measuring 35 × 35 × 40 cm (length × width × height). Each treatment per variety was replicated over 18 plants, for a total of 72 plants. The containers were filled with a mixture of the substrate we prepared and soil in a 4:1 ratio (V: V), and placed in a greenhouse with a relative humidity of 70% and a photoperiod of 16 hours of light and 8 hours of darkness. Growth conditions consisted of 1200 μmol photons m− 2 s− 1 maximum photosynthetically active radiation. After the seeds had finished soaking, the containers were planted with three seeds each. Approximately 10 days after seeding, they were thinned to one plant per container. During the growing period, the plants were provided with enough water and mineral nutrients to meet their requirements, as calculated using the formula proposed by Kalaji et al. [85]. Up to the three leaves development stage, each container was irrigated three times per week with 1000 mL of half-strength Hoagland’s culture solution. After reaching the third fully expanded leaf stage (V3), the plants were irrigated with 1000 ml of standard Hoagland nutrient solution laced with 100 mM NaCl three times per week for salt stress treatment (S), and the control treatment (CK) was irrigated using 1000 ml of standard Hoagland nutrient without added NaCl three times per week.
Determination of the morphological traits of shoots
Six plants per treatment were selected, and their leaf length (L) and maximum leaf width (W) were measured. The measurements were then used to calculate the leaf area, using the following formula: leaf area (cm2) = leaf length (cm) × leaf width (cm, the widest part of the leaf) × 0.75.
Determination of the RWC
To determine the RWC, we collected whole fresh leaves and immediately measured the fresh leaf width (Wf). The collected leaves were immersed for 6–8 h in distilled water, after which they were removed from the bath and water drops left behind on the surface were wiped off with absorbent paper. After this, the leaves were weighed. To obtain the saturated fresh leaf weight (Wt), we soaked the samples for another 1 h in distilled water, removed them from the bath, wiped off any water drops and weighed them again. Finally, we dried the leaves to determine the dry weight (Wd). RWC was calculated as: RWC = (Wf − Wd)/ (Wt − Wd) × 100%.
Measurement of photosynthetic characteristics
At V6 stage, the Pn, Tr, Gs, and Ci in the youngest fully expanded leaf of each plant were measured with a CIRAS-III portable photosynthesis system (PP System, Hansatech, UK) using an LED light with a PAR intensity of 1600 μmol photons m− 2 s− 1. The temperature and the CO2 concentration in the leaf chamber were kept at 25 °C and 390 μmol mol− 1, respectively.
Measurement of the antioxidant enzyme activity and the MDA content
To measure the enzyme activity in plants from the soil culture experiment, we collected leaf and root samples of six plants for each treatment freeze-dried them in liquid nitrogen, and fully ground them to powder. Then, we took 0.5 g samples, added 5 ml phosphoric acid buffer (pH = 7.8), centrifugated them for 20 min, placed the supernatant into test tubes and stored them at 0–4 °C until analysis.
The SOD activity was determined according to the method proposed by Wang [86]. We prepared a SOD reaction solution consisting of 1.5 ml pH 7.8 phosphoric acid buffer, 0.3 ml methionine (130 mM), 0.3 ml tetrazolium blue (750 μM), 0.3 ml EDTA-Na2 (100 μM), 0.3 ml riboflavin (20 μM) and 0.3 ml distilled water. Using a pipette, we added 20 μl of sample to 3 ml of the reaction solution. Some of the samples were illuminated for 30 minutes at 4000 lx, and some, representing the blank treatment, were placed in darkness. To measure the SOD activity, the samples were analyzed using UV–visible spectrophotometer at 560 nm.
The POD activity was determined according to the method proposed by Giannopolitis [87]. We prepared a POD reaction solution consisting of 50 ml phosphoric acid buffer containing 0.1 mM pH 6.0, 28 μl guaiacol, and 19 μl 30% H2O2. After cooling the reaction solution, we used a pipette to add 20 μl of samples to 3 ml of the reaction solution. Using a UV–visible spectrophotometer, we measured the rate at which the absorbance at 470 nm changed, taking one measurement per min for a total of 3 measurements. The average rate at which the absorbance changed was used to represent the enzyme activity.
The CAT activity was determined according to the method proposed by Reis et al. [88]. We prepared a CAT reaction solution consisting of 5 ml of 0.1 mM H2O2 and 20 ml of phosphoric acid buffer at a pH of 7.0. Using a pipette, we added 50 μl of sample to 2.5 ml of the reaction solution. Using a UV–visible spectrophotometer, we measured the rate at which the absorbance at 240 nm changed, taking one measurement per min for a total of 3 measurements. The average rate at which the absorbance changed was used to represent the enzyme activity.
The MDA content was determined using the thiobarbituric acid method described by Lin [89]. 1 ml of sample was added to a reaction solution consisting of 2 ml of 0.6% thiobarbituric acid. The test tube holding the resulting solution was immersed in a bath of boiling water, then cooled and finally centrifuged. The MDA content was determined by measuring the absorbance of the supernatant at 600 nm, 532 nm and 450 nm, using UV–visible spectrophotometer.
Characterization of the root anatomy
To analyze the root anatomy, we collected the whole plant root system of six plants per treatment from the mesocosm experiment. We manually excised a 4 cm root segment from each plant at 5 cm from the base of the whorl of crown roots and stored it in a 75% alcohol solution. The roots were sliced by hand, dying them with safranin, and observing them under a DM21-J1200 optical microscope. The cross sections were photographed with Scope Image 9.0 software, and the resulting pictures were used to characterize various root anatomy features with the RootScan Structure software [90].
Measurement of the dry matter weight and calculation of the salt tolerance index
At V6 stage, we harvested six plants per treatment by dividing them into roots and shoots, placing them in an oven, drying them at 80 °C to constant dry weight, and finally weighing them.
The salt tolerance index (STI) [16] was calculated according to the following formula:
Measurement of the Na+ content, uptake and translocation
To measure the Na+ content of the harvested seedlings, we milled the dried samples used to measure the dry weight and digested them for 4 h with an H2SO4-H2O2 solution at 340 °C. Subsequently, we measured the Na+ content with an F-410 Flame Photometer (Cambridge). The Na+ uptake through the maize root surface and the Na+ translocation from roots to shoots were calculated using the following equations proposed by Shahzad [91].
Experimental design of the hydroponics culture experiment
The hydroponic culture experiment was carried out in a light- and temperature-controlled room at Shandong Agricultural University in Tai’an, Shandong, China. We selected 50 seeds of the same size and sterilized them by soaking them for 15 min in a 0.05% NaClO solution. We left the seeds for 2 days in the dark on a sheet of 0.5 mM CaSO4 germination paper, after which we selected seeds that had germinated at the same growth rate and transferred them to a hydroponic tank with a length, width and height of 55 cm × 42 cm × 23 cm. After the seedlings were left to grow until they reached the third fully expanded leaf (V3) stage, the S treatment was soaked into Hoagland nutrient solution with a 100 mM NaCl solution three times per week, while those that were to receive the CK treatment were soaked in a modified Hoagland nutrient solution without added NaCl. During the entire growth period, all plants were provided with amounts of water and mineral nutrients that met their requirements, as calculated using the formula proposed by Kalaji et al. [85], and we installed an air pump to ensure sufficient oxygenation of the nutrient solution. Plants were grown at a temperature of 28 °C during the day and 25 °C during the night, with a photoperiod of 16 hours of light and 8 hours of darkness.
Measurement of the net Na+ and K+ flux
The seedlings treated with 0 and 100 mM NaCl for 24 h were used to measure the net Na+ and K+ fluxes. To measure the net Na+ and Ka+ flux, we collected 2–3 cm segments from the apexes of roots from the third layer of nodal shaft roots of six plants from each treatment group. They were rinsed with redistilled water and immediately immersed in measurement solution where they were left to equilibrate for 30 min. After that, the samples were transferred to the measuring chamber of a non-invasive micro-measuring system (NMT; Younger, USA) containing 10–15 ml of fresh measurement solution. At the measurement site, which was located inside the elongation zone of the root at 400 μm from the root apex, we typically observed a vigorous K+ and Na+ flux. For Na+ flow rate measurements, we used a measurement solution consisting of 0.1 mM KCl, 0.1 mM CaCl2, 0.1 mM MgCl2, 0.5 mM NaCl, 0.3 mM MES, 0.2 mM Na2SO4, and for K+ flow rate measurements, it consisted of 0.1 mM KCl, 0.1 mM CaCl2, 0.1 mM MgCl2, 0.3 mM MES, 0.2 mM Na2SO4. The NMT measurement results were used to calculate the net ion fluxes using the JCal V3.3 software (xuyue.net).
Measurement of the root respiration rate
At V6 stage, we measured the total root respiration rate and the alternate oxidation respiration rate, the roots of six plants for each treatment were sampled, and the 8–18 cm segments were excised from the axial and lateral roots at the base of the third root layer from plants. To avoid wound respiration, we left the root segment samples to rest on moist cotton gauze for 5 minutes. After that, we placed them in the liquid chamber of an Oxytherm+R oxygen electrode system (Hansatech, UK), and added 2 ml of the nutrient solution used in the treatment of the group from which the plant under study was taken (pH = 6.0 ± 0.1). Next, we measured the total respiration rate of the root sample over 20 min in the dark and calculated the Rtotal from the slope of the curve describing the change in oxygen concentration as measured from 5 to 20 min. Subsequently, we added 2 ml 25 mM SHAM solution into the liquid chamber, which allowed us to measure RSHAM due to the fact that adding SHAM inhibits the RAOX. Finally, we used the measured values of Rtotal and RSHAM to calculate RAOX according to the following formula: RAOX= Rtotal- RSHAM.
Data analysis
The effects of and the interactions between the two main experimental factors (the maize variety and exposure to salt stress) were analyzed through a two-way analysis of variance (ANOVA) using the SPSS 17 software (er.17.0, SPSS, Chicago, IL, United States). Tukey’s test was used to compare multiple treatments. Correlation analysis (P < 0.05) between various measured attributes of maize varieties. Correlation analysis (P < 0.05) between various measured attributes of maize varieties was performed by Origin2021 (OriginLab, Northampton, Massachusetts, USA). The figures were constructed using the SigmaPlot 12.5 software (Systat Software, Inc., San Jose, CA).
Acknowledgments
We thank the members of our research team for their contributions to this work.
Authors’ contributions
D.H. and R.L. contributed to conceptualization, investigation (responsible for most experimental work), formal analysis, validation, visualization, and writing - original draft; S.D. J.Z. B.Z. B.R. H.R. H.Y. and Z.W. contributed to formal analysis; P.L. contributed to conceptualization, funding acquisition, project administration, supervision, and writing - review & editing. All authors read and approved the final manuscript.
Funding
This work was supported by the Key Research and Development Program of Shandong Province (LJNY202103), Shandong Province Key Agricultural Project for Application Technology Innovation (SDAIT02-08), Major scientific and technological innovation project in Shandong Province (2021CXGC010804-05), and National Key R&D Program of China (2022YFD1201700).
Availability of data and materials
The datasets used and analyzed during the current study are available from the corresponding author on reasonable request.
Declarations
Ethical approval and consent to participate
Experimental research and field studies on variety, including the collection of plant material, comply with relevant institutional, national, and international guidelines and legislation.
Consent for publication
Not applicable.
Competing interests
The authors declare that they have no competing interests.
Footnotes
Publisher’s Note
Springer Nature remains neutral with regard to jurisdictional claims in published maps and institutional affiliations.
Dandan Hu and Rongfa Li contributed equally to this work.
References
- 1.Yu ZP, Duan XB, Luo L, Dai SJ, Ding ZJ, Xia GM. How plant hormones mediate salt stress responses. Trends Plant Sci. 2020;25:1117–1130. doi: 10.1016/j.tplants.2020.06.008. [DOI] [PubMed] [Google Scholar]
- 2.Wei TL, Wang Y, Liu JH. Comparative transcriptome analysis reveals synergistic and disparate defense pathways in the leaves and roots of trifoliate orange (Poncirus trifoliata) autotetraploids with enhanced salt tolerance. Hortic Res. 2020;7:88. doi: 10.1038/s41438-020-0311-7. [DOI] [PMC free article] [PubMed] [Google Scholar]
- 3.Mukhopadhyay R, Sarkar B, Jat HS, Sharma PC, Bolan NS. Soil salinity under climate change: challenges for sustainable agriculture and food security. J Environ Manag. 2021;280:111736. doi: 10.1016/j.jenvman.2020.111736. [DOI] [PubMed] [Google Scholar]
- 4.Kang SZ, Su XL, Tong L, Shi PZ, Yang XY, Abe YK, et al. The impacts of human activities on the water–land environment of the Shiyang River basin, an arid region in Northwest China. Hydrol Sci J. 2004;49(3):427. doi: 10.1623/hysj.49.3.413.54347. [DOI] [Google Scholar]
- 5.Zelm EV, Zhang YX, Testerink C. Salt tolerance mechanisms of plants. Annu Rev Plant Biol. 2020;71:24. doi: 10.1146/annurev-arplant-050718-100005. [DOI] [PubMed] [Google Scholar]
- 6.Farooq M, Hussain M, Wakeel A, Siddique KHM. Salt stress in maize: effects, resistance mechanisms, and management. A review. Agron Sustain Dev. 2015;35(2):461–481. doi: 10.1007/s13593-015-0287-0. [DOI] [Google Scholar]
- 7.Negrão S, Schmöckel SM, Tester M. Evaluating physiological responses of plants to salinity stress. Ann Bot. 2017;119:1–11. doi: 10.1093/aob/mcw191. [DOI] [PMC free article] [PubMed] [Google Scholar]
- 8.Zhong M, Song R, Wang Y, Shu S, Sun J, Guo SR. TGase regulates salt stress tolerance through enhancing bound polyaminesmediated antioxidant enzymes activity in tomato. Environ Exp Bot. 2020;179:104191. doi: 10.1016/j.envexpbot.2020.104191. [DOI] [Google Scholar]
- 9.Feng XH, Hussain T, Guo K, An P, Liu XJ. Physiological, morphological and anatomical responses of Hibiscus moscheutos to non-uniform salinity stress. Environ Exp Bot. 2021;182:104301. doi: 10.1016/j.envexpbot.2020.104301. [DOI] [Google Scholar]
- 10.Ju FY, Pang JL, Huo YY, Zhu JJ, Yu K, Sun LY, et al. Potassium application alleviates the negative effects of salt stress on cotton (Gossypium hirsutum L.) yield by improving the ionic homeostasis, photosynthetic capacity and carbohydrate metabolism of the leaf subtending the cotton boll. Field Crop Res. 2021;272:108288. doi: 10.1016/j.fcr.2021.108288. [DOI] [Google Scholar]
- 11.Mittova V, Guy M, Tal M, Volokita M. Salinity up-regulates the antioxidative system in root mitochondria and peroxisomes of the wild salt-tolerant tomato species Lycopersicon pennellii. J Exp Bot. 2004;55:1105–1113. doi: 10.1093/jxb/erh113. [DOI] [PubMed] [Google Scholar]
- 12.Huo LQ, Guo ZJ, Wang P, Zhang ZJ, Jia X, Sun YM, et al. Mdatg8i functions positively in apple salt tolerance by maintaining photosynthetic ability and increasing the accumulation of arginine and polyamines. Environ Exp Bot. 2020;172:103989. doi: 10.1016/j.envexpbot.2020.103989. [DOI] [Google Scholar]
- 13.Acosta-Motos JR, Diaz-Vivancos P, Álvarez S, Fernández-García N, Sanchez-Blanco MJ, Hernández JA. Physiological and biochemical mechanisms of the ornamental Eugenia myrtifolia L. Plants for coping with NaCl stress and recovery. Planta. 2015;242:829–846. doi: 10.1007/s00425-015-2315-3. [DOI] [PubMed] [Google Scholar]
- 14.Zhu JK. Abiotic stress signaling and responses in plants. Cell. 2016;167:313–324. doi: 10.1016/j.cell.2016.08.029. [DOI] [PMC free article] [PubMed] [Google Scholar]
- 15.AbdElgawad H, Zinta G, Hegab MM, Pandey R, Asard H, Abuelsoud W. High salinity induces different oxidative stress and antioxidant responses in maize seedlings organs. Front Plant Sci. 2016;7:276. doi: 10.3389/fpls.2016.00276. [DOI] [PMC free article] [PubMed] [Google Scholar]
- 16.Ali M, Afzal S, Parveen A, Kamran M, Javed MR, Abbasi GH, et al. Silicon mediated improvement in the growth and ion homeostasis by decreasing Na+ uptake in maize (Zea mays L.) cultivars exposed to salinity stress. Plant Physiol Biochem. 2021;158:208–218. doi: 10.1016/j.plaphy.2020.10.040. [DOI] [PubMed] [Google Scholar]
- 17.Liang W, Ma X, Wan P, Liu L. Plant salt-tolerance mechanism: a review. Biochem Bioph Res Co. 2017;495:286–291. doi: 10.1016/j.bbrc.2017.11.043. [DOI] [PubMed] [Google Scholar]
- 18.Sánchez-McSweeney A, González-Gordo S, Aranda-Sicilia MN, Rodríguez-Rosales MP, Venema K, Palma JM, et al. Loss of function of the chloroplast membrane K(+)/H(+) antiporters AtKEA1 and AtKEA2 alters the ROS and NO metabolism but promotes drought stress resilience. Plant Physiol Biochem. 2021;160:106–119. doi: 10.1016/j.plaphy.2021.01.010. [DOI] [PubMed] [Google Scholar]
- 19.Zhang H, Liu XL, Zhang RX, Yuan HY, Wang MM, Yang HY, et al. Root damage under alkaline stress is associated with reactive oxygen species accumulation in rice (Oryza sativa L.). front. Plant Sci. 2017;8:1580. doi: 10.3389/fpls.2017.01580. [DOI] [PMC free article] [PubMed] [Google Scholar]
- 20.Neves GYS, Marchiosi R, Ferrarese MLL, Siqueira-Soares RC, Ferrarese-Filho O. Root growth inhibition and lignification induced by salt stress in soybean. J Agron Crop Sci. 2010;196:467–473. doi: 10.1111/j.1439-037X.2010.00432.x. [DOI] [Google Scholar]
- 21.Neto A, Prisco JT, Enéas-Filho J, Abreu C, Gomes-Filho E. Effect of salt stress on antioxidative enzymes and lipid peroxidation in leaves and roots of salt-tolerant and salt-sensitive maize genotypes. Environ Exp Bot. 2006;56(1):87–94. doi: 10.1016/j.envexpbot.2005.01.008. [DOI] [Google Scholar]
- 22.Kong XQ, Luo Z, Dong HZ, Eneji AJ, Li WJ. H2O2 and ABA signaling are responsible for the increased Na+ efflux and water uptake in Gossypium hirsutum L. roots in the non-saline side under non-uniform root zone salinity. J Exp Bot. 2016;67(8):2247–2261. doi: 10.1093/jxb/erw026. [DOI] [PubMed] [Google Scholar]
- 23.Jaramillo RE, Nord EA, Chimungu JG, Brown KM, Lynch JP. Root cortical burden influences drought tolerance in maize. Ann Bot. 2013;2:429–437. doi: 10.1093/aob/mct069. [DOI] [PMC free article] [PubMed] [Google Scholar]
- 24.York LM, Galindo-Castaneda T, Schussler JR, Lynch JP. Evolution of US maize (Zea mays L.) root architectural and anatomical phenes over the past 100 years corresponds to increased tolerance of nitrogen stress. J Exp Bot. 2015;66(8):2347–2358. doi: 10.1093/jxb/erv074. [DOI] [PMC free article] [PubMed] [Google Scholar]
- 25.Armstrong W, Cousins D, Armstrong J, Turner DW, Beckett PM. Oxygen distribution in wetland plant roots and permeability barriers to gas-exchange with the rhizosphere:a microelectrode and modelling study with Phragmites australis. Ann Bot. 2000;86:687–703. doi: 10.1006/anbo.2000.1236. [DOI] [Google Scholar]
- 26.Kadam NN, Yin X, Bindraban PS, Struik PC, Jagadish KSV. Does morphological and anatomical plasticity during the vegetative stage make wheat more tolerant of water deficit stress than rice? Plant Physiol. 2015;167(4):1389–1401. doi: 10.1104/pp.114.253328. [DOI] [PMC free article] [PubMed] [Google Scholar]
- 27.Oyiga BC, Palczak J, Wojciechowski T, Lynch JP, Naz AA, Léon J, Ballvora A. Genetic components of root architecture and anatomy adjustments to water-deficit stress in spring barley. Plant Cell Environ. 2020;43:692–711. doi: 10.1111/pce.13683. [DOI] [PubMed] [Google Scholar]
- 28.Díaz AS, Aguiar GM, Pereira MP, Castro EMD, Magalhaes PC, Pereira FJ. Aerenchyma development in different root zones of maize genotypes under water limitation and different phosphorus nutrition. Biol Plant. 2018;62(3):561–568. doi: 10.1007/s10535-018-0773-8. [DOI] [Google Scholar]
- 29.Zhu J, Brown KM, Lynch JP. Root cortical aerenchyma improves the drought tolerance of maize (Zea mays L.) Plant Cell Environ. 2010;33:740–749. doi: 10.1111/j.1365-3040.2009.02099.x. [DOI] [PubMed] [Google Scholar]
- 30.Vanlerberghe GC. Alternative oxidase: a mitochondrial respiratory pathway to maintain metabolic and signaling homeostasis during abiotic and biotic stress in plants. Int J Mol Sci. 2013;14:6805–6847. doi: 10.3390/ijms14046805. [DOI] [PMC free article] [PubMed] [Google Scholar]
- 31.Selinski J, Scheibe R, Day DA, Whelan JB. Alternative oxidase is positive for plant performance. Trends Plant Sci. 2018;23:588–597. doi: 10.1016/j.tplants.2018.03.012. [DOI] [PubMed] [Google Scholar]
- 32.Dahal K, Wang J, Martyn GD, Rahimy F, Vanlerberghe GC. Mitochondrial alternative oxidase maintains respiration and preserves photosynthetic capacity during moderate drought in Nicotiana tabacum. Plant Physiol. 2014;166:1560–1574. doi: 10.1104/pp.114.247866. [DOI] [PMC free article] [PubMed] [Google Scholar]
- 33.Deng XG, Zhu T, Zhang DW, Lin HH. The alternative respiratory pathway is involved in brassinosteroid-induced environmental stress tolerance in Nicotiana benthamiana. J Exp Bot. 2015;66(20):6219–6232. doi: 10.1093/jxb/erv328. [DOI] [PMC free article] [PubMed] [Google Scholar]
- 34.He Q, Wang X, He L, Yang L, Wang S, Bi Y. Alternative respiration pathway is involved in the response of highland barley to salt stress. Plant Cell Rep. 2019;38:295–309. doi: 10.1007/s00299-018-2366-6. [DOI] [PubMed] [Google Scholar]
- 35.Zhang H, Zhou SQ, Pristijono P, Golding JB, Yang HQ, Chen G. Role of AOX in low-temperature conditioning induced chilling tolerance in sweetpotato roots. Sci Hortic. 2021;288:110365. doi: 10.1016/j.scienta.2021.110365. [DOI] [Google Scholar]
- 36.Zheng JW, Ying QS, Fang CY, Sun N, Si ML, Yang J, et al. Alternative oxidase pathway is likely involved in waterlogging tolerance of watermelon. Sci Hortic. 2021;278:109831. doi: 10.1016/j.scienta.2020.109831. [DOI] [Google Scholar]
- 37.Pham HM, Kebede H, Ritchie G, Trolinder N, Wright RJ. Alternative oxidase (AOX) over-expression improves cell expansion and elongation in cotton seedling exposed to cool temperatures. Theor Appl Genet. 2018;131:2287–2298. doi: 10.1007/s00122-018-3151-1. [DOI] [PubMed] [Google Scholar]
- 38.Webb T, Armstrong W. Effects of KCN and salicylhydroxamic acid on the root respiration of pea seedlings. Plant Physiol. 1983;72:280–286. doi: 10.1104/pp.72.2.280. [DOI] [PMC free article] [PubMed] [Google Scholar]
- 39.Dinakar C, Abhaypratap V, Yearla SR, Raghavendra AS, Padmasree K. Importance of ROS and antioxidant system during the beneficial interactions of mitochondrial metabolism with photosynthetic carbon assimilation. Planta. 2010;231:461–474. doi: 10.1007/s00425-009-1067-3. [DOI] [PubMed] [Google Scholar]
- 40.Zhang DW, Yuan S, Xu F, Zhu F, Yuan M, Ye HX, et al. Light intensity affects chlorophyll synthesis during greening process by metabolite signal from mitochondrial alternative oxidase in Arabidopsis. Plant Cell Environ. 2016;39:12–25. doi: 10.1111/pce.12438. [DOI] [PubMed] [Google Scholar]
- 41.Dahal K, Vanlerberghe GC. Alternative oxidase respiration maintains both mitochondrial and chloroplast function during drought. New Phytol. 2017;213(2):560–571. doi: 10.1111/nph.14169. [DOI] [PubMed] [Google Scholar]
- 42.Del-Saz NF, Florez-Sarasa I, Clemente-Moreno MJ, Mhadhbi H, Flexas J, Fernie AR, et al. Salinity tolerance is related to cyanide-resistant alternative respiration in Medicago truncatula under sudden severe stress. Plant Cell Environ. 2016;39(11):2361–2369. doi: 10.1111/pce.12776. [DOI] [PubMed] [Google Scholar]
- 43.Li XZ, Sun P, Zhang YN, Jin C, Guan CF. A novel PGPR strain Kocuria rhizophila Y1 enhances salt stress tolerance in maize by regulating phytohormone levels, nutrient acquisition, redox potential, ion homeostasis, photosynthetic capacity and stress-responsive genes expression. Environ Exp Bot. 2020;174:104023. doi: 10.1016/j.envexpbot.2020.104023. [DOI] [Google Scholar]
- 44.Yan FY, Wei HM, Li WW, Liu ZH, Tang S, Chen L, et al. Melatonin improves K+ and Na+ homeostasis in rice under salt stress by mediated nitric oxide. Ecotox Environ Safe. 2020;206:111358. doi: 10.1016/j.ecoenv.2020.111358. [DOI] [PubMed] [Google Scholar]
- 45.Abbasi GH, Akhtar J, Ahmad R, Jamil M, Anwar-ul-Haq M, Ali S, et al. Potassium application mitigates salt stress differentially at different growth stages in tolerant and sensitive maize hybrids. Plant Growth Regul. 2015;76:111–125. doi: 10.1007/s10725-015-0050-1. [DOI] [Google Scholar]
- 46.Yan FY, Wei HM, Ding YF, Li WW, Chen L, Ding CQ, et al. Melatonin enhances Na+/K+ homeostasis in rice seedlings under salt stress through increasing the root H+-pump activity and Na+/K+ transporters sensitivity to ROS/RNS. Environ Exp Bot. 2021;182:104328. doi: 10.1016/j.envexpbot.2020.104328. [DOI] [Google Scholar]
- 47.Khan MIR, Asgher M, Khan NA. Alleviation of salt-induced photosynthesis and growth inhibition by salicylic acid involves glycinebetaine and ethylene in mungbean (Vigna radiata L.) Plant Physiol Biochem. 2014;80:67–74. doi: 10.1016/j.plaphy.2014.03.026. [DOI] [PubMed] [Google Scholar]
- 48.Jiang JL, Tian Y, Li L, Yu M, Hou RP, Ren XM. H2S alleviates salinity stress in cucumber by maintaining the Na+/K+ balance and regulating H2S metabolism and oxidative stress response. Front Plant Sci. 2019;10:678. doi: 10.3389/fpls.2019.00678. [DOI] [PMC free article] [PubMed] [Google Scholar]
- 49.Zhang GC, Dai LX, Ding H, Ci DW, Ning TY, Yang JS, et al. Response and adaptation to the accumulation and distribution of photosynthetic product in peanut under salt stress. J Integr Agric. 2020;19(3):690–699. doi: 10.1016/S2095-3119(19)62608-0. [DOI] [Google Scholar]
- 50.Altaf MA, Shahid R, Ren MX, Altaf MM, Khan LU, Shahid S, et al. Melatonin alleviates salt damage in tomato seedling: a root architecture system, photosynthetic capacity, ion homeostasis, and antioxidant enzymes analysis. Sci Hortic. 2021;285:110145. doi: 10.1016/j.scienta.2021.110145. [DOI] [Google Scholar]
- 51.Ma YY, Wei ZH, Liu J, Liu XZ, Liu FL. Growth and physiological responses of cotton plants to salt stress. J Agron Crop Sci. 2021;207:565–576. doi: 10.1111/jac.12484. [DOI] [Google Scholar]
- 52.Ganie SA, Ahammed GJ. Dynamics of cell wall structure and related genomic resources for drought tolerance in rice. Plant Cell Rep. 2021;40:437–459. doi: 10.1007/s00299-020-02649-2. [DOI] [PubMed] [Google Scholar]
- 53.Challabathula D, Analin B, Mohanan A, Bakk K. Differential modulation of photosynthesis, ROS and antioxidant enzyme activities in stress-sensitive and -tolerant rice cultivars during salinity and drought upon restriction of COX and AOX pathways of mitochondrial oxidative electron transport. J Plant Physiol. 2022;268:153583. doi: 10.1016/j.jplph.2021.153583. [DOI] [PubMed] [Google Scholar]
- 54.Lynch JP, Wojciechowski T. Opportunities and challenges in the subsoil: pathways to deeper rooted crops. J Exp Bot. 2015;66(8):2199–2210. doi: 10.1093/jxb/eru508. [DOI] [PMC free article] [PubMed] [Google Scholar]
- 55.Lynch JP, Chimungu JG, Brown KM. Root anatomical phenes associated with water acquisition from drying soil: targets for crop improvement. J Exp Bot. 2014;65(21):6155–6166. doi: 10.1093/jxb/eru162. [DOI] [PubMed] [Google Scholar]
- 56.Chimungu JG, Maliro M, Nalivata PC, Kanyama-Phiri G, Brown KM, Lynch JP. Utility of root cortical aerenchyma under water limited conditions in tropical maize (Zea mays L.) Field Crop Res. 2015;171:86–98. doi: 10.1016/j.fcr.2014.10.009. [DOI] [Google Scholar]
- 57.Lenochova Z, Soukup A, Votrubova O. Aerenchyma formation in maize roots. Biol Plant. 2009;53:263–270. doi: 10.1007/s10535-009-0049-4. [DOI] [Google Scholar]
- 58.Fan M, Zhu J, Richards C, Brown KM, Lynch JP. Physiological roles for aerenchyma in phosphorus-stressed roots. Funct Plant Biol. 2003;30:493–506. doi: 10.1071/FP03046. [DOI] [PubMed] [Google Scholar]
- 59.Saengwilai P, Tian X, Lynch JP. Low crown root number enhances nitrogen acquisition from low-nitrogen soils in maize. Plant Physiol. 2014;166(2):581–589. doi: 10.1104/pp.113.232603. [DOI] [PMC free article] [PubMed] [Google Scholar]
- 60.Yang XX, Li Y, Ren BB, Ding L, Gao CM, Shen QR, et al. Drought-induced root aerenchyma formation restricts water uptake in rice seedlings supplied with nitrate. Plant Cell Physiol. 2012;53(3):495–504. doi: 10.1093/pcp/pcs003. [DOI] [PubMed] [Google Scholar]
- 61.Chimungu JG, Brown KM, Lynch JP. Reduced root cortical cell file number improves drought tolerance in maize. Plant Physiol. 2014;166:1943–1955. doi: 10.1104/pp.114.249037. [DOI] [PMC free article] [PubMed] [Google Scholar]
- 62.Lynch JP. Steep, cheap and deep: an ideotype to optimize water and N acquisition by maize root systems. Ann Bot. 2013;112:347–357. doi: 10.1093/aob/mcs293. [DOI] [PMC free article] [PubMed] [Google Scholar]
- 63.Hu DD, Dong ST, Zhang JW, Zhao B, Ren BZ, Liu P. Endogenous hormones improve the salt tolerance of maize (Zea mays L.) by inducing root architecture and ion balance optimizations. J Agron Crop Sci. 2022;208:662–674.
- 64.Panda SK, Sahoo L, Katsuhara M, Matsumoto H. Overexpression of alternative oxidase gene confers aluminum tolerance by altering the respiratory capacity and the response to oxidative stress in tobacco cells. Mol Biotechnol. 2013;54:551–563. doi: 10.1007/s12033-012-9595-7. [DOI] [PubMed] [Google Scholar]
- 65.Jian W, Zhang DW, Zhu F, Wang SX, Pu XJ, Deng XG, et al. Alternative oxidase pathway is involved in the exogenous SNP-elevated tolerance of Medicago truncatula to salt stress. J Plant Physiol. 2016;193:79–87. doi: 10.1016/j.jplph.2016.01.018. [DOI] [PubMed] [Google Scholar]
- 66.Munns R, Day DA, Fricke W, Watt M, Arsova B, Barkla BJ, et al. Energy costs of salt tolerance in crop plants. New Phytol. 2020;225:1072–1090. doi: 10.1111/nph.15864. [DOI] [PubMed] [Google Scholar]
- 67.Del-Saz NF, Romero-Munar A, Cawthray GR, Aroca R, Baraza E, Flexas J, et al. Arbuscular mycorrhizal fungus colonization in Nicotiana tabacum decreases the rate of both carboxylate exudation and root respiration and increases plant growth under phosphorus limitation. Plant Soil. 2017;416(1–2):97–106. doi: 10.1007/s11104-017-3188-y. [DOI] [Google Scholar]
- 68.Erdal S, Genisel M, Turk H, Dumlupinar R, Demir Y. Modulation of alternative oxidase to enhance tolerance against cold stress of chickpea by chemical treatments. J Plant Physiol. 2015;175:95–101. doi: 10.1016/j.jplph.2014.10.014. [DOI] [PubMed] [Google Scholar]
- 69.Ahmad P, John R, Sarwat M, Umar S. Responses of proline, lipid peroxidation and antioxidative enzymes in two varieties of Pisum sativum L. under salt stress. Int J Plant Prod. 2012;2(4):353–366. [Google Scholar]
- 70.Hossain MS, Dietz KJ. Tuning of redox regulatory mechanisms, reactive oxygen species and redox homeostasis under salinity stress. Front Plant Sci. 2016;7:548. doi: 10.3389/fpls.2016.00548. [DOI] [PMC free article] [PubMed] [Google Scholar]
- 71.Lima ALS, DaMatta FM, Pinheiro HA, Totola MR, Loureiro ME. Photochemical responses and oxidative stress in two clones of Coffea canephora under water deficit conditions. Environ Exp Bot. 2002;47(3):239–247. doi: 10.1016/S0098-8472(01)00130-7. [DOI] [Google Scholar]
- 72.Gill SS, Anjum NA, Gill R, Yadav S, Hasanuzzaman M, Fujita M, et al. Superoxide dismutase-mentor of abiotic stress tolerance in crop plants. Environ Sci Pollut R. 2015;22:10375–10394. doi: 10.1007/s11356-015-4532-5. [DOI] [PubMed] [Google Scholar]
- 73.Zhu H, Zhou YY, Zhai H, He SZ, Zhao N, Liu QC. A novel sweetpotato WRKY transcription factor, IbWRKY2, positively regulates drought and salt tolerance in transgenic Arabidopsis. Biomolecules. 2020;10(4):506. doi: 10.3390/biom10040506. [DOI] [PMC free article] [PubMed] [Google Scholar]
- 74.Shah FA, Ni J, Tang CJ, Chen X, Kan WJ, Wu LF. Karrikinolide alleviates salt stress in wheat by regulating the redox and K+/Na+ homeostasis. Plant Physiol Biochem. 2021;167:921–933. doi: 10.1016/j.plaphy.2021.09.023. [DOI] [PubMed] [Google Scholar]
- 75.Zhu H, Jiang YN, Guo Y, Huang JB, Zhou MH, Tang YY, et al. A novel salt inducible WRKY transcription factor gene, AhWRKY75, confers salt tolerance in transgenic peanut. Plant Physiol Biochem. 2021;160:175–183. doi: 10.1016/j.plaphy.2021.01.014. [DOI] [PubMed] [Google Scholar]
- 76.Farooq M, Ahmad R, Shahzad M, Sajjad Y, Khan SA. Differential variations in total flavonoid content and antioxidant enzymes activities in pea under different salt and drought stresses. Sci Hortic. 2021;287(3):110258. doi: 10.1016/j.scienta.2021.110258. [DOI] [Google Scholar]
- 77.Shu P, Li YJ, Li ZY, Sheng JP, Shen L. SlMAPK3 enhances tolerance to salt stress in tomato plants by scavenging ROS accumulation and up-regulating the expression of ethylene signaling related genes. Environ Exp Bot. 2022;193:104698. doi: 10.1016/j.envexpbot.2021.104698. [DOI] [Google Scholar]
- 78.Mishra P, Bhoomika K, Dubey RS. Differential responses of antioxidative defense system to prolonged salinity stress in salt-tolerant and salt-sensitive Indica rice (Oryza sativa L.) seedlings. Protoplasma. 2013;250:3–19. doi: 10.1007/s00709-011-0365-3. [DOI] [PubMed] [Google Scholar]
- 79.Sheikh-Mohamadi MH, Etemadi N, Aalifar M, Pessarakli M. Salt stress triggers augmented levels of Na+, K+ and ROS alters salt-related gene expression in leaves and roots of tall wheatgrass (Agropyron elongatum) Plant Physiol Biochem. 2022;183:9–22. doi: 10.1016/j.plaphy.2022.04.022. [DOI] [PubMed] [Google Scholar]
- 80.Haddadi BS, Hassanpour H, Niknam V. Effect of salinity and waterlogging on growth, anatomical and antioxidative responses in Mentha aquatica L. Acta Physiol Plant. 2016;38(5):1–11. doi: 10.1007/s11738-016-2137-3. [DOI] [Google Scholar]
- 81.Flowers TJ, Colmer TD. Plant salt tolerance: adaptations in halophytes. Ann Bot. 2015;115(3):327–331. doi: 10.1093/aob/mcu267. [DOI] [PMC free article] [PubMed] [Google Scholar]
- 82.Yu YC, Xu T, Li X, Tang J, Ma DF, Li ZY, et al. NaCl-induced changes of ion homeostasis and nitrogen metabolism in two sweetpotato (ipomoea Batatas L.) cultivars exhibit different salt tolerance at adventitious root stage. Environ Exp Bot. 2016;129:23–36. doi: 10.1016/j.envexpbot.2015.12.006. [DOI] [Google Scholar]
- 83.James RA, Blake C, Byrt CS, Munns R. Major genes for Na+ exclusion, Nax1 and Nax2 (wheat HKT1;4 and HKT1;5), decrease Na+ accumulation in bread wheat leaves under saline and waterlogged conditions. J Exp Bot. 2011;62:2939–2947. doi: 10.1093/jxb/err003. [DOI] [PubMed] [Google Scholar]
- 84.Yan K, Zhao SJ, Xu HL, Wu CW, Chen XB. Effect of salt stress on photosynthetic characters in honeysuckle with different ploidies. Sci Agric Sin. 2015;48(16):3275–3286. [Google Scholar]
- 85.Kalaji HM, Oukarroum A, Alexandrov V, Kouzmanova M, Brestic M, Zivcak M, et al. Identification of nutrient deficiency in maize and tomato plants by in vivo chlorophyll a fluorescence measurements. Plant Physiol Biochem. 2014;81:16–25. doi: 10.1016/j.plaphy.2014.03.029. [DOI] [PubMed] [Google Scholar]
- 86.Wang AG, Luo GH, Shao CB, Wu SJ, Guo JY. Studies on superoxide dismutase in soybean seeds. J Plant Physiol. 1983;9(1):77–84. doi: 10.1111/ppl.13295. [DOI] [Google Scholar]
- 87.Giannopolitis CN, Ries SK. Superoxide dismutases: I occurrence in higher plants. Plant Physiol. 1997;59:309–314. doi: 10.1104/pp.59.2.309. [DOI] [PMC free article] [PubMed] [Google Scholar]
- 88.Reis AR, Favarin JL, Gratão PL, Capaldi FR, Azevedo RA. Antioxidant metabolism in coffee (Coffea arabica L.) plants in response to nitrogen supply. Theor Exp Plant Phys. 2015;27(27):203–213. doi: 10.1007/s40626-015-0045-3. [DOI] [Google Scholar]
- 89.Lin ZF, Li SS, Lin GZ, Sun GC, Guo JY. Relationship between senescence of rice leaves and superoxide dismutase activity and lipid peroxidation. Bull Bot. 1984;26(6):605–615. [Google Scholar]
- 90.Burton AL, Lynch JP, Brown KM. Spatial distribution and phenotypic variation in root cortical aerenchyma of maize (Zea mays L.) Plant Soil. 2013;367(1–2):263–274. doi: 10.1007/s11104-012-1453-7. [DOI] [Google Scholar]
- 91.Shahzad AN. The role of jasmonic acid (JA) and abscisic acid (ABA) in salt resistance of maize (Zea mays L.) 2011. [Google Scholar]
Associated Data
This section collects any data citations, data availability statements, or supplementary materials included in this article.
Data Availability Statement
The datasets used and analyzed during the current study are available from the corresponding author on reasonable request.









