Abstract
The quality of a country's education system is both an indicator of its present level of development and a predictor of future economic advancement. This study intended to explore the impact of the “expanding power and strengthening counties” reform on the supply of basic public education resources. A combination of qualitative and quantitative methods was used to analyze the panel data of 114 counties in Sichuan Province from 2005 to 2017, including 78 counties with expanded powers. The study found that the “expanded power strong counties (EPSC)" had a significant positive impact on the supply level of funding resources measured by per capita public education expenditure. The time effect of the EPSC on the supply of teacher resources for county public education was manifested as a sharp increase in the supply level in the three years before the reform. The supply level tended to be stable after four years of reform. The economic resources supply level was relatively stable in the first three years and rose sharply after four years. There was a downward trend after the reform for 8 years. The structural effect has shown a more significant incentive effect on the supply of public education resources to strong and weak counties. But compared with the weak counties with lower economic development levels, the strong counties with higher economic development levels have a more noticeable effect of their decentralization reform on improving the supply level of public education resources.
Keywords: Education reform, Education policy, Governance, Educational system, China
1. Introduction
Education systems are among the most complex organizational structures in the public sector, making changes and innovations difficult [1]. The sector's nature distinguishes it from other services, with its many stakeholders, differing time horizons, unpredictability, and immeasurability of outcomes [2]. These services are multitasking, multi-principal, multi-period, near-monopoly organizations with nebulous and poorly observable goals. Education bureaucracies are often considered difficult to reform [3]. Education reforms are particularly difficult to implement because of these characteristics [4], notably the intrinsic path dependency linked with its socio-political importance in nation-building and interconnectedness with other social system components [5]. Despite this, policymakers have begun to reform education policy by reallocating current funding to more productive education sectors, introducing financing schemes to cover gaps, and/or reorganizing management and institutional structures [6]. These changes differ from the traditional curriculum reforms or professional development initiatives common in the sector because they influence the distributional effect of education by influencing how rather than what is given [7]. The measures used to accomplish education reform differ in policies, resources, and incentives.
In the development stage after the reform and opening up, China has been implementing the “central-provincial-city-county-township” structural system, the five-level structural system of the government structure hierarchy [8]. In implementing the city-management and county-level model, the new hierarchical structure system has effectively mobilized the enthusiasm of the municipal government [9]. It has played a good role in the municipal government's overall management and regional coordination to promote economic development. However, the degree of urbanization in county-level areas, the contradictions between cities and counties in urban management, urban construction, and urban development planning have increased with the improvement of regional economic development [10]. It also exposes the incompatibility and incongruity between the system and social and economic development to a new level and historical stage [11]. In this context, the reform should break through the current urban management and county system and analyze and understand the contradictions' root causes. It also seeks a new government-level system that can mobilize the enthusiasm of county-level governments and inject new vitality into China's urbanization development [12].
Expanded power strong counties (EPSC) is a great initiative of the Chinese government to promote the County's economic development, industrialization, urbanization, and education. Though the EPSC reform focuses on strengthening economic development, the division of educational and financial responsibilities between central and local governments is not perfect [13]. Therefore, to solve the financial dilemma of the county area, most local governments adopt the reform of decentralization below the provincial level to give the county-level government autonomy and promote the county economy [8]. Therefore, rapid development strengthens county-level governments' financial resources and ensures the county's education supply [14]. From the point of value demands, this path attempts to help the goal of supply of public education resources by making a difference between the stock and demand of public education resources [15]. From a practical point of view, this path of reform is faced with problems such as poor local government supply willingness or preference for policy order, insufficient external incentives and distortions, and its reform effect varies in time, space, and structure [16]. Its mechanism of action is not obvious. The impact effect and optimization strategy are unclear for testing the public education input system [17]. It is also necessary to determine the significance of this grand reform narrative [18]. It is considered that the dominant body of the effective supply of public education resources is at the grassroots level (county). A comprehensive understanding of EPSC reform can help to get the full benefits from it. Therefore, this study intends to address two research questions: what is the effect of EPSC reform? And How do the impacts differ in different contexts? These are the questions that need to be answered urgently. So, this study explores the impact of the EPSC reform on the supply of basic public education resources in China.
This study uses the panel data of 114 counties (districts) in Sichuan Province, including 78 expanded counties (districts) from 2005 to 2017, to deepen the theoretical understanding of the relationship between the EPSC reformed counties and the improvement of the basic public education service level. This study assesses the county's economic development level, county financial situation, degree of industrialization, degree of urbanization, and education scale to show the impact of EPSC reform. It can help identify the influence mechanism of the expanded strong counties on the supply of basic public education services at the county level. The impact path and impact effect are sorted out clearly, and recommendations for the follow-up reform direction of the relevant decision-making departments of the government are provided. Since this study deals with a great education reform process like EPSC reform, this finding can be applicable to China specifically and other countries with similar socio-economic conditions in general.
The remainder of the articles is organized into six sections. The next section deals with the literature review. The third section presents the methodology. The fourth and fifth sections describe the results and discussion. The final section concludes the articles with recommendations.
2. Literature review
2.1. Role of the reform of “expanding power and strengthening counties (EPSC)”
The impact of EPSC reform on the county economy has been studied previously, but scholars have inconsistent conclusions on whether EPSC has promoted county economic development. Other researchers [8,13,19,20] conducted several studies on education reform, resource mobilization and economic development. For example, Liu and Chen [8] chose 112 Sichuan Province sample counties from 2006 to 2014, including 56 pilot and 56 non-pilot counties. They concluded that decentralizing economic management powers encourage the efficient use of county-level finances, which is how the County Administrated Province reform plays a positive role through financial expenditure.
Selecting a million-population county for the pilot EPSC can bring more significant policy-driven effects than selecting large agricultural counties [21]. Using the data extracted from the actual data of Sichuan province from 2004 to 2014, the impact of the reform policy of EPSC reform on the county economy is analyzed. The previous studies found that the reform policy did not show significant characteristics in the short-term, medium-term, and long-term impacts [22,23,24,25]. This analysis believes that after implementing the EPSC reform, new competitive relations have formed between counties in prefecture-level cities [26]. The structure of external resource sources has undergone great changes, among which the provincial-administered counties have reduced the power restrictions at the prefecture-level city. Simultaneously, the support and funding received by prefecture-level cities have also been significantly reduced [27]. It has a positive attitude towards promoting county economic development by EPSC reform. The county's economic development has achieved remarkable results and shown an unprecedented development situation. The efficiency of government financial operations has been significantly improved [19].
In terms of the study of the role of EPSC reform on basic public services, the impact of EPSC reform on basic public services was studied by several scholars [28,29,30,31]. From the previous literature, it can be argued that the research in this field is the least documented in the above-classified research fields, especially the study of basic public education services, which is only partially covered in the literature. No distinct literature covers such an important issue as EPSC reform.
2.2. Supply of basic public education services and influencing factors
An evaluation index system was developed to evaluate and study the basic public education services, considering education input, balance, and effectiveness as the first-level indicators. Wei [32] conducted a study on compulsory education in basic public education services, and a comprehensive evaluation was conducted on 31 provincial-level administrative regions in China. He found that the supply of basic public education services was positively correlated with education input, which positively impacted education level and effectiveness. There was a strong positive correlation between education investment and economic level through positive impact on education level. In the analysis of the correlation between education equilibrium and economic level, it was found that there was a lack of significant correlation between the two [32]. Balanced transfer payments can affect basic public services such as county public education and public health to a large extent, compared with the impact of special transfer payments on basic public services. In other words, the sample data analysis proves that the promotion effect of the two transfer payment methods on county public services is stronger than that of special transfer payments [33]. Statistical measurement methods studied the influencing factors of public education, and the relevant research was carried out with Chinese decentralization as a variable [34].
There is a relationship between Chinese decentralization and the supply of public education services [10], indicating that the influence of the former on the latter is very significant. However, the correlation between the two is non-linear and gradual in the timeline, but the influence is direct. Developmental issues such as the growth of the school population also have different degrees of impact on the basic public service system of education [35,36]. It includes two aspects: first, with the increase in the school population, Hangzhou will face a structural shortage of basic education resources in some areas [10]. Second, Hangzhou is facing the problem of coordinating the integrated development of education in the new district and the main urban area with the expansion of the city and the repositioning of regional functions [37]. An analysis of the problem between the basic public service authority and the expenditure responsibility of the county-level government presents its impact on the supply of basic public education services. Because the central and local governments have the problem of unspecific expenditure responsibility, unclear boundaries, and unclear division of powers, these problems directly lead to pressure on the expenditure responsibility of the county-level government [38].
2.3. Relationship between education reform and basic public education services
2.3.1. Relationship between “expanding power and strengthening counties” reform and the supply of basic public education services
In the study on the relationship between EPSC reform and the supply of basic public education services, Wang and Fang [39] extracted data from the development practice data of 25 provinces in China. They found that the reform of a single provincial directly administered county was positively correlated with education expenditure. But several decentralization reforms were negatively correlated with public education expenditure. Combined with the reform and the relevant data of the EPSC counties, Ji et al. [40] pointed out that the investment in capital development has increased significantly after the reform. In contrast, the increase in investment in people's livelihoods, such as education and medical care, is insignificant.
The systematic analysis of the previous studies on the aspects of supply quantity and supply quality shows several understandings [41,41,42]. Firstly, the impact of the reform on the people's livelihood public service supply level of basic education in expanded counties is negative, and the promotion over time is continuously enhanced but not significant. Secondly, education reform has a more significant effect on the supply of public services in counties with higher economic development levels. It significantly reduces the supply level of basic education in counties with expanded powers. Thirdly, the above conclusions are still established after distinguishing between different reform batches of expanded counties and considering the lagging effect of the reform. Based on the empirical research conclusions and mechanism analysis, the policy suggestions for promoting education reform are put forward: provincial governments should comprehensively consider economic, population, and industry factors to promote decentralization reform according to local conditions [43]. The previous researchers followed to the same weighting of livelihood indicators [8,44] and GDP indicators to improve the assessment system [45]. It can establish a regulatory mechanism that combines decentralization inducements and management constraints and act to the policy effect of a vertical transfer payment system to promote the equalization of the supply of basic public services [46].
After implementing the reform, an analysis of the structure of local education expenditure shows that the proportion of material education expenditure is significantly higher than that of human resources education expenditure in Sichuan Province. The investment in the construction of hardware facilities has increased, and the proportion of education expenditure is relatively large. While the investment in introducing teachers is not significant, the proportion of education expenditure is relatively small [47].
Under the current basic education administrative system, the supply of basic public education services at the county level is very much affected by the freedom of government power and policy preferences [15]. On the one hand, the expansion of power counties is no longer restricted by prefecture-level cities in some business areas after implementing the reform [48]. In many commercial areas, the actual situation of the county can be combined with the actual situation to make overall arrangements for the county's economic construction, social development, and other aspects. The autonomy and scope of authority of mobilizing resources in the region have been greatly expanded so that resources can be mobilized to develop to meet the government's policy preferences [49]. However, in most cases, government policy preferences manifest themselves in pursuit of profit maximization. From the perspective of GDP growth and the short-term return on investment, it is clear that basic public education has obvious disadvantages compared with economic development [50]. After the reform, the government's rational choice between economic development and basic public education services is to strengthen economic construction, crowding out public education's financial resources [35]. This choice is due to the county-level government's double pressure on developing economic and basic public services in terms of control. Resource allocation is also required for phased development [31]. Prioritizing economic development can also be a foundation for better development of basic public services, especially to improve the supply of basic public education services [51].
After implementing the EPSC reform policy, cities and counties are not completely separated. In terms of location, the county still belongs to the jurisdiction of the original city. Effective reform still needs to be reported to the municipal government for the record.
2.3.2. Research methods of the relationship between the reform and education supply
In the study of the decentralization reform of EPSC, different scholars have adopted different methods to conduct research, including the use of regression methods to test the supply level of basic public education services [52], the use of quasi-experimental research methods [53,54], and the use of “multiplier method” for research [8]. Among them, Wang and Fang [39] mainly adopted a quasi-experimental research method to study the EPSC reform, dividing the pilot counties and non-pilot counties into treatment groups and control groups and using the double-difference method for research. A study on the development of county-level education in EPSC after the EPSC reform can show significant differences between pilot and non-pilot counties.
Most research prefers to use structural indicators to measure the supply level of county education resources, such as the proportion of public education expenditure in the total budget [41,52]. Public education is a rigid livelihood-related service. In the short term, the quality, quantity, and structure of the change in demand elasticity are small under the premise that urbanization has induced many improved public educations needs to shift from counties to cities. Public education expenditure follows a progressive budget model [55]. The increase or decrease in public education expenditure is relatively small compared with other productive public services. The coexistence of total public education expenditure and its proportion in total fiscal expenditure is common, especially in counties in the initial or accelerated period of development [38]. These counties are often focused on decentralized reform. The decline in the proportion of public education expenditure cannot fully represent the decline in education resource supply [56]. The negative impact of the reform variable on the proportion of public education expenditure in statistics cannot explain the deteriorating effect of decentralized reform on the supply of county education resources.
In addition, some studies have taken the number of schools [57,58], the number of students [7,10], the attendance rate or the dropout rate [33], the graduation rate [7,59], etc., as alternative indicators of the supply level of public education public services. The misplaced cognition of the information in these indicators has also led to the incomplete reliability of the empirical research conclusions. The absolute value of the number of schools is brought about by adjusting the county's spatial layout of public education. Demolition and merger of schools are the natural results of the government's response to the changes in education demand in time and space under urbanization. Statistically, the decline in the number of schools represents not the decline in the supply of educational resources. The optimization and integration of education demand and supply points vary based on time and space. Indicators such as school attendance rate, dropout rate, graduation rate, and other indicators in the public education stage, especially compulsory education, are protected by the rigid protection of the Compulsory Education Law [60]. They are not completely subordinate to the result category of measuring the performance of the supply of educational resources. It can be said that the difference in the indicators for measuring the level of public education resource supply is an important reason why most of the previous research has not reached a unified conclusion on this topic.
3. Material and methods
This study used mixed methods comprising quantitative and qualitative research approaches. The main purpose of this study was to explore the impact of EPSC reform on the delivery of basic public education resources. To obtain the study objective, this study has three types of variables, such as exploratory variable (county-level basic public education service delivery), core explanatory variable (EPSC reform), and control variables (county economic development level, county financial situation, degree of industrialization, degree of urbanization, and education scale). So, the impact of EPSC reform is known from the county's economic development level, county financial situation, degree of industrialization, urbanization, and education scale. This section has been divided into three sub-sections: description of data sources and samples, variable selection and description, and data processing and analysis.
3.1. Description of data sources and samples
EPSC was selected due to its versatility and broader coverage, like education, urbanization, industrialization, and economic growth, through promoting the power of local administration at the county level. This study takes three batches of 78 pilot counties (districts) of “power expansion and strong counties” in Sichuan Province to explore the impact of local decentralization reform on the supply of public education resources at the county level. This study's sample data are derived from the Sichuan Statistical Yearbook, the China City and County Economic Statistics Yearbook, and the Sichuan Provincial Finance Society. Panel data were collected from 114 counties (districts) in Sichuan Province, including 78 expanded counties (districts), from 2005 to 2017. The period (2005–2017) is selected based on the implementation phases of EPSC reform in Sichuan, China. The statistical results are shown in Table 1.
Table 1.
Overview of the pilot counties of the “expanding powers and strong counties” reform in Sichuan Province.
| Pilot batches | Pilot scope | Policy rationale |
|---|---|---|
| First batch (2007) | 27 pilot counties (districts): Fushun County, Yanbian County, Lu County, Zhongjiang County, Guanghan City, Shifang City, Mianzhu City, Sandai County, Jiangyou City, Shehong County, Weiyuan County, Zizhong County, Jiajiang County, Emeishan City, Nanfang County, Yilong County, Langzhong City, Renshou County, Yibin County, Yuechi County, Huaying City, Xuanhan County, azhu County, Qu County, Pingchang County, Anyue County, Jianyang City | Chuanfufa [2007] No. 58 “Implementation Opinions of the People's Government of Sichuan Province on Carrying Out the Pilot Project of Expanding Power and Strengthening Counties” |
| Second batch (2009) | 32 pilot counties (cities): Rong County, Hejiang County, Xuyong County, Gulin County, Luojiang County, Yanting County, Zitong County, An County, Cangxi County, Jiange County, Wangcang County, Pengxi County, Daying County, Longchang County, Qianwei County, Jingyan County, Xichong County, Peng'an County, Yingshan County, Nanxi County, Jiang'an County, Changning County, Gao County, Xingwen County, Linshui County, Wusheng County, Wanyuan City, Kaijiang County, Nanjiang County, Tongjiang County, Pengshan County, Lezhi County | Chuanfufa [2009] No. 12 “Notice of the People's Government of Sichuan Province on Deepening and Expanding the Pilot Work of Expanding Powers and Strong Counties” |
| Third batch (2013) | 19 pilot counties (cities): Rong County, Hejiang County, Xuyong County, Gulin County, Luojiang County, Yanting County, An County, Zitong County, Wangcang County, Jiange County, Cangxi County, Pengxi County, Daying County, Longchang County, Qianwei County, Jingyan County, Yingshan County, Peng'an County, Xichong County, Pengshan County, Nanxi County, Jiang'an County, Changning County, Gao County, Xingwen County, Wusheng County, Linshui County, Kaijiang County, Wanyuan City, Tongjiang County, Nanjiang County, Lezhi County | Opinions of the Sichuan Provincial People's Government of the Sichuan Provincial Committee of the Communist Party of China on Accelerating the Economic Development of the County (Sichuan Committee [2013] No. 21) |
| Not reformed | 36 counties (cities): Artesian Well, Gongjing District, Da'an District, Yantan District, Dong District, West District, Renhe District, Jiangyang District, Naxi District, Longmatan District, Jingyang District, Fucheng District, Youxian District, Lizhou District, Zhaohua District, Chaotian District, Chuanshan District, Anju District, Neijiang City Central District, Dongxing District, Leshan City Central District, Shawan District, Wutongqiao District, Jinkouhe District, Shunqing District, Gaoping District, Jialing District, Dongpo District, Cuiping District, Guang'an District, Tongchuan District, Daxian County, Yucheng District, Mingshan County, Bazhou District, Yanjiang District | |
There are three reasons for choosing the Sichuan provincial reform pilot project as a sample. Firstly, the local decentralization reform pilot in Sichuan province, characterized by EPSC, is a typical example of the gradual pilot reform of hierarchical implementation and gradual advancement. It has selected 78 counties (districts) as reform pilot sites in batches in 2007, 2009, and 2013, with the characteristics of long-time sequence, large scale, and multiple levels. Secondly, compared with the single type of decentralization reform in other provinces, the content of the EPSC reform pilot project in Sichuan province is a typical decentralization reform with “administration + finance” as the main axis. It is conducive to examining the impact of such a complex local decentralization reform on the supply of county public education resources. Finally, Sichuan province is a western province with large differences in regional economic development, inter-county location conditions, resource endowments, and economic foundations. Therefore, taking Sichuan province as the research sample is typically conducive to providing a replicable experience for the vast central and western regions.
3.2. Variable selection and description
3.2.1. Exploratory variables
This paper focuses on EPSC reform's impact on the delivery of basic public education services at the county level, so the explanatory variable is the county basic public education service delivery. The structured and education output indices are on the research conclusions to overcome the risk of distortion that the total index may bring. This study proposes to select average funding and teacher indicators, namely public education financial expenditure per student (EDUEXP) and teacher-student ratio (TEC), to measure the supply of basic public education services at the county level. The county's basic public education service delivery is measured by the average funding and teacher indicators, public education financial expenditure per student (EDUEXP), and teacher-student ratio (TEC). It helps to overcome the risk of distortion that the total amount, structural, and education output index may bring to the research conclusions. This study also selects two indicators of teacher-student ratio and per-student public education financial expenditure to jointly observe the county's supply level of basic public education services. The study believes these two indicators can represent a county's supply level of basic public education.
3.2.2. Explanatory variables
The core explanatory variable is EPSC reform. EPSC reform is considered a dummy variable and ranges from 0 to 1. The counties that implement the reform pilot of EPSC are denoted 1 and 0 for not implementing counties (specifically, 1 denotes the reformed counties; 0 denotes the undefeated counties; the year of reform and after the reform is 1, and the pre-reform is 0).
In the multiple regression analysis, the specific impact of the reform policy under different external environments was explored, including the time effect of the reform policy. The core explanatory variable is the implementation duration of the EPSC reform, and it discusses the changes in the supply level of public education resources at the county level in different periods.
3.2.3. Control variables
The study also controlled other factors affecting education to explain the impact of EPSC reform on the country's supply level of public education resources. The control variables include the level of county economic development expressed in per capita GDP, the level of industrialization, and reflecting the economic structure of the county expressed as the proportion of the secondary industry's gross domestic product (GDP). The county's financial situation is expressed by per capita fiscal revenue. The non-agricultural population expresses the level of urbanization as the total population. The proportion of primary and secondary school students is considered the education scale. The details of the selected variables are shown in Table 2.
Table 2.
List of variables.
| Variable type | Variable name | Variable symbols | Value |
|---|---|---|---|
| Exploratory variable | County-level basic public education service delivery | EDUEXP | Public education expenditure per student |
| TEC | The proportion of full-time teachers and students at all levels | ||
| Core explanatory variable | EPSC reform | POL | 1 for reformed counties, 0 for unreformed counties, 1 for the year of reform and after reform, and 0 for before reform |
| Control variables | County economic development level | PGDP | GDP per capita |
| County financial situation | REV | Local public revenue per capita | |
| Degree of industrialization | IND | The proportion of GDP of the secondary industry | |
| Degree of urbanization | URB | The proportion of the urban population | |
| Education | STU | The proportion of primary and secondary school students |
3.3. Data processing and analysis
The study first converted the collected data into explanatory variables and control variables. Descriptive statistical analysis was performed on 2 exploratory variables and 5 control variables. SPSS25.0 was used to test the difference between the financial expenditure and teacher-student ratio of public education per student in 78 pilot counties of EPSC reform in Sichuan province not implementing power expansion, respectively. It explores the significance of the impact of the EPSC reform on the delivery of basic public education services in the county. Finally, the study measures the level of basic public education services delivery by the county's supply level of funding and teacher resources. It helps to conduct multiple regression analysis with the level of basic public education services delivery at the county level as the exploratory variable, the implementation duration of EPSC reform as the independent variable, and the five control variables. It also estimates the specific effects of the independent and control variables on the delivery of basic public education services at the county level.
4. Results and discussion
4.1. Descriptive statistical analysis
The basic information of 114 counties in Sichuan province is shown in Table 3. Sichuan Province implemented the policy of EPSC reform in three batches. The first batch of 27 counties implemented the EPSC reform policy in 2007. The second batch of 32 counties implemented EPSC reform policy in 2009. The third batch of 19 counties implemented EPSC in 2013. 36 regions did not implement the EPSC reform policy. Regardless of whether the policy of EPSC reform is implemented, the supply of basic public education services at the county level has increased yearly. In addition, the relevant information of the control variables that the per capita GDP, the proportion of local public finance revenue and population, the proportion of GDP of the secondary industry, the proportion of the non-agricultural population, and the proportion of students have also increased year by year.
Table 3.
Basic information on the pilot counties of Sichuan province for EPSC reform policy.
| Years | County with EPSC reform (Number) | Exploratory variable/Interpreted variables |
Explanatory variable |
Control variable |
|||||
|---|---|---|---|---|---|---|---|---|---|
| Public education expenditure per student (yuan) | Proportion of full-time teachers and students at all levels (%) | Reform Duration (years) | GDP per capita (yuan) | Proportion of local public finance revenue and population (yuan) | Proportion of GDP of the secondary industry (%) | Non-agricultural population Proportion (%) | Proportion of student population (%) | ||
| 2005 | 0 | 2526 | 1.00 | 0 | 1202.79 | 27.4 | 1.05 | 1.98 | 0.62 |
| 2006 | 0 | 2635 | 1.04 | 0 | 1279.56 | 29.0 | 1.11 | 2.11 | 0.66 |
| 2007 | 27 | 2684 | 1.32 | 0 | 13469.10 | 312.4 | 11.72 | 22.21 | 7.25 |
| 2008 | 27 | 2684 | 2.03 | 0.24 | 14178.00 | 315.7 | 12.33 | 23.38 | 7.12 |
| 2009 | 59 | 3215 | 5.67 | 0.47 | 15726.53 | 409.6 | 0.48 | 24.20 | 12.12 |
| 2010 | 59 | 3985 | 5.93 | 0.99 | 19211.79 | 572.0 | 0.52 | 24.92 | 11.42 |
| 2011 | 59 | 6167 | 6.17 | 1.51 | 24233.52 | 821.3 | 0.55 | 25.59 | 10.78 |
| 2012 | 59 | 9360 | 6.39 | 2.03 | 27499.35 | 9 58.9 | 0.56 | 26.05 | 10.44 |
| 2013 | 78 | 1 0899 | 6.78 | 2.54 | 29841.87 | 1029.2 | 0.56 | 27.74 | 9.63 |
| 2014 | 78 | 11,158 | 7.23 | 3.06 | 32295.16 | 1182.4 | 0.55 | 28.21 | 9.39 |
| 2015 | 78 | 11,262 | 7.47 | 3.58 | 34232.87 | 1269.5 | 0.59 | 29.90 | 10.08 |
| 2016 | 78 | 11,368 | 7.23 | 4.09 | 36629.17 | 1357.0 | 0.63 | 32.00 | 10.79 |
| 2017 | 78 | 11,477 | 7.88 | 4.61 | 39559.51 | 1480.3 | 0.68 | 34.56 | 11.78 |
| Average | 6878 | 5.09 | 1.78 | 22258.40 | 751.1 | 2.41 | 23.30 | 8.62 | |
Many previous studies focused on GDP growth, revenue, and budget. For example, In terms of per capita GDP, fiscal income, and general transfer, Huang et al. [48] found that counties that adopted the PMC reform between 2005 and 2007 were much wealthier than those that remained untreated by the conclusion of the sample period. It supports the notion that affluent counties are more likely than poorer ones to participate in the change. In addition, involvement in PMC reform is associated with a smaller rural population and a reduced proportion of the labor force in the major economic sectors. Our findings are consistent with Huang et al. [48]. According to Sang [61], 4% of China's GDP is invested in education. It is necessary to raise resources to solve these issues and problems confronting the Chinese education system and to ensure the success of ongoing reforms at all levels of education.
Oyeniran and Uwamahoro [62] reported that despite China's strong economic and financial progress, there are certain challenges in the educational system. There are, in fact, few options for teachers to get professional development support from the local government. China has a rural population of over 60%, and significant differences between rural and urban areas have marked the educational growth of the country [63]. Our findings are congruent with those of Liu et al. [64], who suggested that teachers' incentives and students' educational performance are unlikely to gain from an overwhelming concentration of decision-making authority or constant horizontal-level power conflicts between various government authorities.
4.2. Impacts of EPSC reform
A mixed method was used to explore whether the policy of EPSC reform significantly impacted the supply level of basic public education services in counties. The third reform time (2013) was selected as the time node. The first four years (2009–2012) and the last four years (2014–2017) were two comparative periods. The third batch of EPSC reform pilot counties and areas that did not expand the power and strong counties were used as experimental and control groups. The difference test between and within the group is carried out to demonstrate the significance of the impact of the policy of EPSC reform on the supply level of basic public education services at the county level. The average level of public education expenditure and teacher-student ratio indicators for both groups are shown in Table 4.
Table 4.
Overview of the supply level of basic public education services at the county level.
| Items | The third batch of pilot counties for EPSC reform |
Areas that have not implemented the policy of EPSC reform |
|||
|---|---|---|---|---|---|
| 2009–2012 | 2014–2017 | 2009–2012 | 2014–2017 | ||
| Public education expenditure per student (yuan) | Average value | 6682 | 16,301 | 5590 | 11,239 |
| 3935 | 9635 | 7028 | 10,793 | ||
| Proportion of full-time teachers and students at all levels (%) | Standard deviation | 6.8 | 7.84 | 6.07 | 7.14 |
| 1.29 | 2.20 | 1.24 | 1.63 | ||
Our findings are in line with Wu and Zhu [56]. They argued that the central government might use the spatial demonstration effect to boost total fiscal spending on higher education in China while reducing incentive costs, with local governments serving as the primary investors. Forcefully encouraging others beforehand will eventually force local governments to invest more in higher education.
4.2.1. Impact effect of the EPSC reform policy on the expenditure of public education per student
The study distinguished between the experimental and control groups based on whether the policy of EPSC reform was implemented. It also explored the changes in the two groups' per capita public education expenditure around 2013. The results are shown in Tables 5 and 6.
Table 5.
Effect of endogenous per capita public education expenditure in the groups of EPSC reform.
| Sources | S S | df | M S | F | P | |
|---|---|---|---|---|---|---|
| Period | Spherical hypothesis | 58.022 | 1 | 58.022 | 140.645 | 0.000 |
| Greenhouse-Geisser | 58.022 | 1.00 | 58.022 | 140.645 | 0.000 | |
| Huynh-Feldt | 58.022 | 1.00 | 58.022 | 140.645 | 0.000 | |
| Nether | 58.022 | 1.00 | 58.022 | 140.645 | 0.000 | |
| Period group | Spherical hypothesis | 3.940 | 1 | 3.940 | 9.551 | 0.002 |
| Greenhouse-Geisser | 3.940 | 1.00 | 3.940 | 9.551 | 0.002 | |
| Huynh-Feldt | 3.940 | 1.00 | 3.940 | 9.551 | 0.002 | |
| Nether | 3.940 | 1.00 | 3.940 | 9.551 | 0.002 | |
| Error (period group) | Spherical hypothesis | 89.935 | 218 | .413 | ||
| Greenhouse-Geisser | 89.935 | 218.00 | .413 | |||
| Huynh-Feldt | 89.935 | 218.00 | .413 | |||
| Nether | 89.935 | 218.00 | .413 | |||
Table 6.
Effect of public education expenditure per student between groups whether to implement the reform of EPSC.
| Source | M S | df | M S | F | P |
|---|---|---|---|---|---|
| Intercept | 394.265 | 1 | 394.265 | 450.997 | .000 |
| Group | 9.436 | 1 | 9.436 | 10.794 | .001 |
| Error | 190.577 | 218 | .874 |
Table 5 shows that the average level of public education expenditure in the experimental and control groups increased significantly around 2013 (F = 140.645, p = 0.000). The changing trend of the two groups' average public education expenditure levels in 2013 was significantly different (F = 9.551, p = 0.002).
Wu and Zhu [56] mentioned that higher education spending by local governments has a substantial geographical demonstration impact, which is most pronounced in Central China. The attenuation border test demonstrates that the demonstration effect weakens with increasing economic distance.
Table 6 shows a significant difference in public education expenditure per student during this period between the two groups (F = 10.794, p = 0.001).
Fig. 1 shows the changing trend of the third batch of EPSC reform pilot counties (districts) and areas that have not implemented the policy of EPSC reform around 2013. Fig. 1 also shows that the upward trend of public education expenditure per pilot student implementing the policy of EPSC reform is significantly higher. Xiong et al. [65] reported that it is important to closely study the strong instrumentalist orientation of China's higher education policy to determine whether the system is ready for such a large-scale and quick development, especially the expansion. Through cutting-edge technology, basic research, and human resources, China's higher education has significantly aided the country's economic growth.
Fig. 1.
Changes in public education expenditure of two groups around 2013.
4.2.2. Effect of the EPSC reform” policy on the teacher-student ratio
The study distinguished between the experimental and control groups based on whether the policy of EPSC reform was implemented and explored the change in the proportion of full-time teachers and students at all levels in the two groups around 2013. The results are shown in Tables 7 and 8.
Table 7.
The effect of the proportion of full-time teachers and students at all levels in the reform group.
| Source | M S | df | M S | F | P | |
|---|---|---|---|---|---|---|
| Period | Spherical hypothesis | .010 | 1 | .010 | 123.669 | .000 |
| Greenhouse-Geisser | .010 | 1.000 | .010 | 123.669 | .000 | |
| Huynh-Feldt | .010 | 1.000 | .010 | 123.669 | .000 | |
| Nether | .010 | 1.000 | .010 | 123.669 | .000 | |
| Period group | Spherical hypothesis | 6.223E−6 | 1 | 0.000006 | .075 | .785 |
| Greenhouse-Geisser | 6.223E−6 | 1.000 | 0.000006 | .075 | .785 | |
| Huynh-Feldt | 6.223E−6 | 1.000 | 0.000006 | .075 | .785 | |
| Nether | 6.223E−6 | 1.000 | 0.000006 | .075 | .785 | |
| Error (period group) | Spherical hypothesis | .018 | 218 | 0.000083 | ||
| Greenhouse-Geisser | .018 | 218.000 | 0.000083 | |||
| Huynh-Feldt | .018 | 218.000 | 0.000083 | |||
| Nether | .018 | 218.000 | 0.000083 | |||
Table 8.
Proportion effect of the number of full-time teachers and students at all levels between groups.
| Source | M S | df | M S | F | P |
|---|---|---|---|---|---|
| Intercept | 1.914 | 1 | 1.914 | 5053.505 | .000 |
| Group | .005 | 1 | .005 | 13.348 | .000 |
| Error | .083 | 218 | .000 |
Table 7 shows that the teacher-student ratio of both the experimental and control groups increased significantly around 2013 (F = 123.669, p = 0.010), but the changing trend was not significant (F = 0.075 p = 0.785). Table 8 shows that the two groups significantly differ in the student-to-faculty ratio (F = 13.348, p = 0.000).
According to MOE [66], the number and competence of Early childhood education (ECE) teachers in China have increased significantly. Despite this, the number of instructors has increased insufficiently to maintain the necessary teacher-to-student ratios. The government has strengthened its financial and policy measures to boost the availability of ECE teacher preparation programs.
Fig. 2 shows the changing trend of the teacher-student ratio around 2013 in the third batch of pilot counties and areas that did not implement the policy of expanding power and strengthening counties. It can also be seen more intuitively in Fig. 2. The teacher-student ratio of the pilots implementing the policy of expanding power and strengthening the county is significantly higher. Based on the above analysis, we believe that implementing the policy of EPSC reform can significantly increase the public education expenditure per student in the county [67]. Still, the effect of improving the teacher-student ratio is not obvious. Rao et al. [50] argued that governments should strictly supervise group sizes if big group sizes and unfavorable teacher-student ratios lead to poor learning. If the physical learning environments are subpar, ECE centers should be located in different locations.
Fig. 2.
Changes in the proportion of full-time teachers and students at all levels in the two groups around 2013.
4.2.3. Regression analysis of the effect of various influencing factors on the supply of basic public education services
The study took the expenditure on public education per student and the proportion of full-time teachers and students at all levels as the dependent variables. The length of reform in the expanded and strong counties is selected as the independent variable, along with the per capita GDP, per capita local public revenue, the proportion of secondary industry gross product, and the non-rural population. The proportion of primary and secondary school students was analyzed as a control variable.
The following regression model is constructed to test the impact of the decentralization reform of “expanding power and strengthening counties” on the county's supply level of public education resources.
Among them, i and t respectively represent the ith year and the tth county, represents the explained variable “level of supply of public educational resources”; represents the intercept term; represents the explanatory variable, and represents the control vector; represent the explanatory variable and the control vector, respectively. The is the error term.
After multiple regression analyses, the data were fitted to the above theoretical model. The determination coefficient for the public education expenditure per student is 0.72. Regarding the proportion of students, the coefficient of determination is 0.79. It can be seen that whether it is the public education expenditure per student or the proportion of full-time teachers and students at all levels, the coefficient of determination is greater than 0.6, indicating that the fitting degree of the multiple regression analysis meets the requirements.
Table 9 shows the significant differences in the length of the EPSE reform, the five control variables at different levels of public education expenditure per student, and the proportion of full-time teachers and students at all levels. The results show that the length of reform and the level of economic development in the county only significantly impact public education expenditure per student. Still, the teacher-student ratio has no significant impact [33]. The level of industrialization has no significant impact on the two indicators of the county's supply of basic public education services. But industrialization had an impact on education after 2000. Asadullah and Xiao [68] reported that China's industrialization largely depended on foreign assistance and funding throughout the reform era. Additionally, the service sector grew more quickly than the manufacturing sector, which raised the demand for bilingualism. Since 2000, postsecondary enrollment has increased significantly as a result, as has enrollment in higher education. The degree of urbanization and the education scale significantly impact public education expenditure per student and the teacher-student ratio [58]. Xiong et al. [65] argued that China's economic development pattern changed dramatically, and significant progress was made in the areas of industrialization, information technology, urbanization, marketization, and internationalization from 2010 to 2018. It can be seen that the results of the regression analysis are consistent with the results of the previous part of the difference test. The length of the EPSE reform significantly impacts public education expenditure per student but has no significant impact on the teacher-student ratio.
Table 9.
Significance test of the influence of each variable on the supply of basic public education services.
| source | Dependent variable | df | MS | F | P |
|---|---|---|---|---|---|
| Calibration model | Expenditures | 6 | 20.656 | 61.515 | 0.000 |
| Teacher-student ratio | 6 | 0.012 | 59.227 | 0.000 | |
| Intercept | Expenditures | 1 | 12.214 | 36.375 | 0.000 |
| Teacher-student ratio | 1 | 0.102 | 525.050 | 0.000 | |
| Reform time | Expenditures | 1 | 733893170.2 | 21.855 | 0.000 |
| Teacher-student ratio | 1 | 0.000004 | 0.021 | 0.885 | |
| GDP per capita | Expenditures | 1 | 7.339 | 21.855 | 0.000 |
| Teacher-student ratio | 1 | 0.000004 | 0.021 | 0.885 | |
| The proportion of GDP of the secondary industry | Expenditures | 1 | 4.287 | 12.767 | 0.000 |
| Teacher-student ratio | 1 | 0.000026 | 0.136 | 0.713 | |
| Non-rural population proportion | Expenditures | 1 | 0.020 | 0.061 | 0.805 |
| Teacher-student ratio | 1 | 0.000028 | 0.144 | 0.705 | |
| Local public revenue per capita | Expenditures | 1 | 3.310 | 9.857 | 0.002 |
| Teacher-student ratio | 1 | 0.003 | 14.935 | 0.000 | |
| The proportion of primary and secondary school students | Expenditures | 1 | 5.817 | 17.323 | 0.000 |
| Teacher-student ratio | 1 | 0.005 | 28.114 | 0.000 |
Table 10 shows the results of a multi-regression analysis based on the length of reform in the county with the EPSC as the independent variable, the expenditure on public education per student, and the ratio of teachers to students as the dependent variables. The control variables were economic development, financial status, industrialization, urbanization, and education scale. The regression equations were as follows.
-
(1)
Expenditure on public education per student = 36.9526 × reform time + 0.165 × per capita GDP + 111.217 × proportion of non-rural population + 1.777 × per capita local public financial revenue - 62.509 × the proportion of primary and secondary school students in school;
-
(2)
The proportion of full-time teachers and students at all levels = 0.00033 × the proportion of non-rural population + 0.000005 × per capita local public financial revenue - 0.00247 × the proportion of primary and secondary school students.
Table 10.
Multiple regression analysis results of the supply of basic public education services.
| Dependent variables | Parameter | Coefficient | S D | t | P | Partial n -square |
|---|---|---|---|---|---|---|
| Public education expenditure per student | Intercept | 9091.577 | 1507.448 | 6.031 | .000 | .050 |
| GDP per capita | 0.165 | .046 | 3.573 | .000 | .018 | |
| The proportion of GDP of the secondary industry | −7.884 | 31.944 | −.247 | .805 | .000 | |
| Proportion of non-rural population | 111.217 | 35.426 | 3.139 | .002 | .014 | |
| Local public revenue per capita | 1.777 | .427 | 4.162 | .000 | .024 | |
| Proportion of primary and secondary school students | −625.087 | 80.096 | −7.804 | .000 | .081 | |
| Reform time | 369.526 | 79.044 | −4.675 | .000 | .030 | |
| Proportion of full-time teachers and students at all levels | Intercept | .083 | .004 | 22.914 | .000 | .430 |
| GDP per capita | −4.104E−8 | 1.115E−7 | −.368 | .713 | .000 | |
| Proportion of GDP of the secondary industry | −0.00003 | 0.00008 | −.379 | .705 | .000 | |
| Proportion of non-rural population | .00033 | .00009 | 3.864 | .000 | .021 | |
| Local public revenue per capita | 0.000005 | 0.000001 | 5.302 | .000 | .039 | |
| Proportion of primary and secondary school students | −.00247 | .00019 | −12.799 | .000 | .191 | |
| Reform time | 0.000028 | .000 | .144 | .885 | .000 |
The regression estimation shows that the expenditure on public education per student increases positively with the increase of the reform period, indicating that the longer the reform time, the more the public education expenditure per student. The average increase in the reform of the county with EPSC increases by an average of 370 yuan per year. Similarly, the expenditure on public education per student has also increased positively with the county's economic development level, with per capita GDP increasing by an average of 1 yuan and per capita public education expenditure increasing by 0.17 yuan.
With the improvement of the level of urbanization and the financial situation of the county, the proportion of the urban population increased by an average of 1%, the average expenditure on public education per student increased by 111.22 yuan, and the teacher-student ratio increased by 0.033%; the per capita local public financial revenue increased by an average of 1 yuan, the average expenditure on public education per student increased by 1.78 yuan, and the teacher-student ratio had no change (0.0005%).
The expenditure on public education per student and the ratio of teachers to students showed negative growth with the increased education scale. It indicates that the higher the proportion of primary and secondary school students, the smaller the expenditure on public education funds and the ratio of teachers to students per student [67]. The proportion of primary and secondary school students increased by an average of 1%. The average expenditure on public education per student decreased by 625.09 yuan, and the teacher-student ratio decreased by 0.247%.
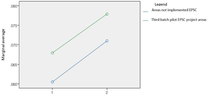
Fig. 3 shows the change in public education expenditure per student over 1–8 years during the reform in the county. In general, the longer the reform period leads to the greater the expenditure on public education per student. It indicates that the impact of the reform of expanding the power of strong counties on public education expenditure per student is positive. Implementing the reform of expanding the power of strong counties promotes the growth of public education expenditure per student. In the 1–4 years after the EPSC reform, the growth rate of public education expenditure per student was extremely slow, and the marginal average increase was only about 0.02. This result shows that the impact of the reform of expanding the power of strong counties on public education expenditure per student in a short period is insignificant. The short-term effect of the reform of expanding the power of strong counties on the expenditure of public education per student is very weak, and the effect of the reform is unclear. After 4 years of implementing the EPSC reform, the expenditure on public education per student began to increase rapidly. The marginal average increased from 0.62 after implementing the reform to 0.71 in the 8 years after the implementation of the reform, an increase of nearly 0.1. This result shows that after the implementation of the EPSC reform for a while, the impact of the reform on the expenditure of public education per student is very significant, and the long-term effect of the reform of expanding the power of strong counties on the expenditure of public education per student is relatively strong [69]. After 8 years of implementation of the EPSC reform, the expenditure on public education per student has significantly reduced, and the marginal average has decreased by 0.04 per year.
Fig. 3.
The trend of per capita expenditure on public education increases with the duration of the reform.
The decline is greater than the increase in the three years since implementing the reform. The positive impact of the reform of expanding powers and strengthening counties on the expenditure of public education per student has been significantly reduced and even manifested as a negative impact. This result shows that the implementation of the policy of EPSC reform is too long, which reduces the positive impact of the reform on the growth of public education expenditure per student and leads to a reduction in public education expenditure per student. The reason for the decrease in public education expenditure per student is briefly described as the dilution effect. In summary, the policy of EPSC reform positively impacts the overall public education expenditure per student. In the nearly 3 years after implementing the EPSC reform, the policy positively impacts the expenditure of public education funds per student, but the short-term positive impact is weak. It means the short-term effect of expanding powers and strong counties on the expenditure of public education funds per student is insignificant [70].
During the 4–8 years after implementing the EPSC policy, the positive impact of the policy of expanding the power of strong counties on the expenditure of public education per student is strong. The reform effect at this time is ideal, which shows that the medium- and long-term effect of the EPSC policy on the expenditure of public education per student is the most ideal. However, when the implementation of the EPSC policy is too long, more than 8 years, the positive impact on public education expenditure per student is significantly reduced, even due to the “dilution effect” and other effects. The reform of the expanded strong county hurts the expenditure of public education funds per student, resulting in a decrease in the expenditure of public education funds per student [38]. It shows that the long-term effect of expanding the power of strong counties on the expenditure of public education funds per student is poor (Fig. 3).
Fig. 4 shows the change in the teacher-student ratio during the EPSC reform period from 1 to 8 years. The longer the reform period influences, the greater the teacher-student ratio. The policy of expanding power and strengthening counties positively impacts the teacher-student ratio. Within 3 years of implementing the EPSC reform, the teacher-student ratio has increased rapidly, and the marginal average of growth has reached 0.2. The growth trend is more significant than the average expenditure on public education per student. It can be seen that the short-term effect of the EPSC reform on the teacher-student ratio is very strong. This short-term effect is the most significant manifestation of the EPSC reform's impacts on the county's basic public education services delivery. It indicates a greater impact of the reform on the teacher-student ratio in all other periods and on the expenditure of public education funds per student in the same period [71]. In the 3–5 years after the EPSC reform, the teacher-student ratio fluctuated slightly, resulting from the comprehensive effect of implementing various policies. After a short period of fluctuation in the implementation of the EPSC reform policy, the change in the teacher-student ratio immediately entered a stable period after 5 years of implementation. The teacher-student ratio remains at the marginal average of 0.8–0.9, tends to a stable level, and even has a slight downward trend. It indicates that the impact of the reform has been transformed from a strong role in promoting growth to a slight “dilution effect” [44].
Fig. 4.
The proportion of full-time teachers and students during the reform.
In summary, the reform policy positively impacts the overall teacher-student ratio. Nearly three years after the implementation of EPSC reform, the policy has significantly impacted the teacher-student ratio. The ratio is greater than the impact of the reform on the teacher-student ratio in all other periods. The short-term effect on expenditure on public education funds per student is significant [8]. After 3–5 years after the implementation of the policy, it has no significant impact on the teacher-student ratio, which has both positive and negative effects. During this period, the comprehensive effects of various influences have not significantly impacted the teacher-student ratio of implementing the EPSC policy. After 5 years of implementation, the impact of the reform on the teacher-student ratio was stable. At this time, the impact effects of all aspects are integrated, and the trend of teacher-student ratio changes tends to be stable and slightly declined. It is also found that the long-term effect of the policy on the teacher-student ratio has a greater dilution effect.
5. Conclusion and policy recommendations
5.1. Conclusion
The study selected the financial expenditure on public education per student and the teacher-student ratio as representative indicators to observe the county's basic public education services delivery. It has used the sample data of 78 reform pilot counties in Sichuan Province from 2005 to 2017 to confirm “expanding power and strengthening counties” on the county's basic public education services supply. The study reveals that EPSC reform significantly impacts the supply level of funding resources measured by average student public education expenditure. The time effect on the supply of teacher resources of county public education is manifested as a sharp increase in the supply level in the first three years of reform. The supply level was stable after four years of reform. While the impact on the supply of economic resources was relatively stable in the first three years, rose sharply after four years, and had a downward trend after eight years of reform. In terms of structural effect, even though EPSC reform showed a more significant incentive effect on strong and weak counties. The weak counties were with lower levels of economic development. The decentralization reform of strong counties with a high level of economic development has a more obvious effect on improving the supply level of public education resources. The study's findings may be applied to China particularly as well as other nations with comparable socio-economic situations generally, as it deals with significant education and economic reform like the EPSC reform. Future studies may be conducted using primary data on a large scale in China and other countries to promote economic, urbanization, industrialization, and economic development.
5.2. Policy recommendations
5.2.1. Strengthen the incremental management of the supply of public education services in counties with expanded powers
Because of the dilution of the incentive effect of the expansion of the timing and scale, we should adhere to the phased and orderly expansion of the pilot scale of the decentralization reform. In terms of the context of decentralization, we should use every moment to grasp the new complex problems, change opportunities, strategic choices, and strength of the county resource allocation. It should be clarified and standardized to offset the trend of weak incentives for supplying public goods such as public education. Specifically, it is necessary to focus on building a service-oriented government by enhancing the initiative of the county to increase financial investment in education and strengthen the allocation of public education service resources. The government at the higher level should strengthen process supervision and balance the supply of public education resources in the city and province to achieve a higher level of balanced development.
5.2.2. Role of finance in the supply of public education services
Due to the difference in resource endowments in the expanded counties, the EPSC reform has different impacts on the allocation level of educational resources. When assessing local governments at the county level, the authority should pay attention to the expansion of county public education services by extending the scale of financial investment in education, the public education facilities, the people's satisfaction with public education services, and other indicators. The assessment results are an important part of measuring the responsibility goals of county leaders' tenure. Financial rewards to counties and counties can promote good performance and encourage them to continue to attach importance to public education services in their respective regions. The local government should be stimulated through financial incentives, especially in promoting the economic prosperity and development of the region. It can also stimulate improving public education service supply in the region.
5.2.3. Promote the improvement of the supply of basic public education services in expanded counties
Because of the structural differences in public education resources between strong and weak counties, we should adhere to the consistency of the macro-level content of the pilot reform of decentralization. The classified promotion strategy should be adopted according to the differences in the economic development level of different counties. A certain proportion of “special public education transfer payment funds” can be set up for pilot counties with weak economic development foundations. With the resulting risk of squeezing out public education expenditure, the authority should focus on financial autonomy and strive to stimulate their long-term efforts to optimize the fiscal expenditure structure.
In addition, the higher-level government should increase its efforts to support the expansion of power counties, especially weak counties. Pilot counties with a weak economic development foundation face pressure on financial expenditure on education, forcing these county-level governments to provide only the most basic public education resources. Therefore, the structure of public education expenditure should be adjusted because of the above situation. The central and provincial governments should bear a higher proportion of expenditure and institutionalize the hierarchical burden.
Due to low fiscal revenue, the authority cannot meet the needs of their local government responsibilities, resulting in insufficient basic public education expenditure needs. Therefore, local governments require financial subsidies and investment in public education services to achieve the goal of balanced education development.
Author contribution statement
Yan Zhang, PhD: Conceived and designed the experiments; Performed the experiments; Analyzed and interpreted the data; Contributed reagents, materials, analysis tools or data; Wrote the paper.
Zhenjing Pang, PhD; Yang Lv, PhD; Haikang Tang, Master: Contributed reagents, materials, analysis tools or data; Wrote the paper.
Funding statement
The article is funded by The National Social Science Fund under the National Education Science Program for Youth Project (Project Approval No. CFA220309). The project title is "Research on the suitability evaluation and spatial optimization of the supply and demand of inclusive early childhood education resources in the county".
Data availability statement
Data will be made available on request.
Declaration of interest's statement
The authors declare no competing interests.
Contributor Information
Yan Zhang, Email: zhangyan0308@cdu.edu.cn.
Zhenjing Pang, Email: pangzhenjing@foxmail.com.
Yang Lv, Email: lvyang@cdu.edu.cn.
Haikang Tang, Email: 2462613411@qq.com.
References
- 1.Xiong W., Yang J., Shen W. Higher education reform in China: a comprehensive review of policymaking, implementation, and outcomes since 1978. China Econ. Rev. 2022;72 doi: 10.1016/j.chieco.2022.101752. [DOI] [Google Scholar]
- 2.Saguin K.I., Ramesh M. Bringing governance back into education reforms. Int. Rev. Public Policy. 2020;2:159–177. doi: 10.4000/irpp.1057. [DOI] [Google Scholar]
- 3.Goertz M., Floden R., O'Day J. Studies of education reform: systemic reform, Vol. I: findings and conclusions. Consort. Policy Res. Educ. 1995;I:184. [Google Scholar]
- 4.Salam S., Zeng J., Pathan Z.H., Latif Z., Shaheen A. Impediments to the integration of ICT in public schools of contemporary societies: a review of literature. J. Inf. Process. Syst. 2018;14:252–269. doi: 10.3745/JIPS.04.0062. [DOI] [Google Scholar]
- 5.Yang L. Social equity and equity in higher education: a comparison of the liberal Anglo-American and Chinese political cultures. Int. J. Educ. Dev. 2021;84 doi: 10.1016/j.ijedudev.2021.102403. [DOI] [Google Scholar]
- 6.Law W.W. Legislation, education reform and social transformation: the People's Republic of China's experience. Int. J. Educ. Dev. 2002;22:579–602. doi: 10.1016/S0738-0593(01)00029-3. [DOI] [Google Scholar]
- 7.Miguel L.L.A.J., Tambe T.A.F., da Costa C.S. Examining expansion and trends in higher education in Mozambique, Africa. High. Educ. 2022;83:411–439. doi: 10.1007/s10734-020-00666-4. [DOI] [Google Scholar]
- 8.Liu X., Chen Y. Research on the impact of the county administrated by province reform on the improvement of county economic performance: taking sichuan province as an example. Am. J. Ind. Bus. Manag. 2020;10:1144–1154. doi: 10.4236/ajibm.2020.106077. [DOI] [Google Scholar]
- 9.Law W., Pan S. Legislation and equality in basic education for all in China. Interchange. 2009;40:337–372. doi: 10.1007/s10780-009-9099-y. [DOI] [Google Scholar]
- 10.Ding L., Xu Z., You L., Wu Z. Assessing equal rights in obtaining urban public primary school services with case studies of Hangzhou in China. Habitat Int. 2022;119 doi: 10.1016/j.habitatint.2021.102474. [DOI] [Google Scholar]
- 11.Huang Y.S., Asghar A. Science education reform in confucian learning cultures: policymakers' perspectives on policy and practice in Taiwan. Asia-Pacific Sci. Educ. 2016;2 doi: 10.1186/s41029-016-0010-8. [DOI] [Google Scholar]
- 12.Lu J., Li B., Li H. The influence of land finance and public service supply on peri-urbanization: evidence from the counties in China. Habitat Int. 2019;92 doi: 10.1016/j.habitatint.2019.102039. [DOI] [Google Scholar]
- 13.Han S. Policy experimentation and power negotiation in China's higher education reforms. High Educ. 2020;79:243–257. doi: 10.1007/s10734-019-00407-2. [DOI] [Google Scholar]
- 14.Zhou Y., Wang D. Understanding the constraints on the supply of public education to the migrant population in China: evidence from Shanghai. J. Contemp. China. 2016;25:563–578. doi: 10.1080/10670564.2015.1132957. [DOI] [Google Scholar]
- 15.Sun D., Li S., Xu X. Analysis of reform and development strategies of China's Internet innovation and entrepreneurship education. Entrep. Educ. 2020;3:77–93. doi: 10.1007/s41959-020-00024-6. [DOI] [Google Scholar]
- 16.Bruns B., Macdonald I.H., Schneider B.R. The politics of quality reforms and the challenges for SDGs in education. World Dev. 2019;118:27–38. doi: 10.1016/j.worlddev.2019.02.008. [DOI] [Google Scholar]
- 17.Kenny N., McCoy S., Mihut G. Special education reforms in Ireland: changing systems, changing schools. Int. J. Incl. Educ. 2020:1–20. doi: 10.1080/13603116.2020.1821447. [DOI] [Google Scholar]
- 18.Tao Y. Towards network governance: educational reforms and governance changes in China (1985–2020) Asia Pac. Educ. Rev. 2021 doi: 10.1007/s12564-021-09704-x. [DOI] [Google Scholar]
- 19.Li S. Research on the function transformation of county-level city governments in my country from the perspective of inter-governmental relations. China Manag. Inf. 2019;22:180–181. [Google Scholar]
- 20.Mingming Q. Discussion on the basic problems of the reform of education public service supply. Educ. Vis. 2017;11:7–10. [Google Scholar]
- 21.Li C. Children of the reform and opening-up: China's new generation and new era of development. J. Chin. Sociol. 2020;7 doi: 10.1186/s40711-020-00130-x. [DOI] [Google Scholar]
- 22.Ryan J., Kang C., Mitchell I., Erickson G. China's basic education reform: an account of an international collaborative research and development project. Asia Pac. J. Educ. 2009;29:427–441. doi: 10.1080/02188790903308902. [DOI] [Google Scholar]
- 23.Glazer J.L. External efforts at district-level reform: the case of the national alliance for restructuring education. J. Educ. Change. 2009;10:295–314. doi: 10.1007/s10833-008-9068-8. [DOI] [Google Scholar]
- 24.Deng M., Zhu X. Special education reform towards inclusive education: blurring or expanding boundaries of special and regular education in China. J. Res. Spec. Educ. Needs. 2016;16:994–998. doi: 10.1111/1471-3802.12244. [DOI] [Google Scholar]
- 25.Zhuang T., Zhou H. Developing a synergistic approach to engineering education: China's national policies on university–industry educational collaboration, Asia Pacific. Educ. Rev. 2022 doi: 10.1007/s12564-022-09743-y. [DOI] [Google Scholar]
- 26.Li X., Guo Y., Hou J., Liu J. Human capital allocation and enterprise innovation performance: an example of China's knowledge-intensive service industry. Res. Int. Bus. Finance. 2021;58 doi: 10.1016/j.ribaf.2021.101429. [DOI] [Google Scholar]
- 27.Wenting Z. Basic education management system reform and government function transformation: an interpretation perspective of social division theory. J. Hefei Norm. Univ. 2020;38:66–69. [Google Scholar]
- 28.Yuan C., Zhang L. Public education spending and private substitution in urban China. J. Dev. Econ. 2015;115:124–139. doi: 10.1016/j.jdeveco.2015.02.006. [DOI] [Google Scholar]
- 29.Smith W.C., Joshi D.K. Public vs. private schooling as a route to universal basic education: a comparison of China and India. Int. J. Educ. Dev. 2016;46:153–165. doi: 10.1016/j.ijedudev.2015.11.016. [DOI] [Google Scholar]
- 30.World Bank Group . World Bank; Washington, DC: 2016. Assessing Basic Education Service Delivery in the Philippines. [DOI] [Google Scholar]
- 31.Yang L., Chau K.W., Wang X. Are low-end housing purchasers more willing to pay for access to basic public services? Evidence from China. Res. Transport. Econ. 2019;76 doi: 10.1016/j.retrec.2019.06.001. [DOI] [Google Scholar]
- 32.Wei Q. Hunan University; Hunan, China: 2019. Research on the Comprehensive Effect of Chinese-style Fiscal Decentralization on the Supply of Public Goods from the Perspective of Spatial Spillover. Doctoral Dissertation. [Google Scholar]
- 33.Yue A., Tang B., Shi Y., Tang J., Shang G., Medina A., Rozelle S. Rural education across China's 40 years of reform: past successes and future challenges. China Agric. Econ. Rev. 2018;10:93–118. doi: 10.1108/CAER-11-2017-0222. [DOI] [Google Scholar]
- 34.Ou D., Hou Y. Springer Netherlands; 2019. Bigger Pie, Bigger Slice? The Impact of Higher Education Expansion on Educational Opportunity in China. [DOI] [Google Scholar]
- 35.Painter M., Mok K.H., Ho K. Reasserting the public in public service delivery: the de-privatization and de-marketization of education in China. Polic. Soc. 2008;27:137–150. doi: 10.1016/j.polsoc.2008.09.003. [DOI] [Google Scholar]
- 36.Li J. Identifying the gap between basic needs and public services for children in urban China's low-income families: a study in Dalian, China, from the provider's perspective. Child. Youth Serv. Rev. 2021;131 doi: 10.1016/j.childyouth.2021.106252. [DOI] [Google Scholar]
- 37.Gu X., Hua S., McKenzie T., Zheng Y. Like father, like son? Parental input, access to higher education, and social mobility in China. China Econ. Rev. 2022;72 doi: 10.1016/j.chieco.2022.101761. [DOI] [Google Scholar]
- 38.Yang Y. An inspection on the Gini coefficient of the budget educational public expenditure per student for China's basic education. Front. Educ. China. 2006;1:258–269. doi: 10.1007/s11516-006-0006-3. [DOI] [Google Scholar]
- 39.Wang X., Fang J. Will the government-level reform affect the local government's supply of county-level public education services? Finance Res. 2014;14:80–100. [Google Scholar]
- 40.Ji M., Zhi J., Liu W. Research on the balance of university education reform from the perspective of supply-side reform. Rev. Cercet. Si Interv. Soc. 2021;72:72–92. doi: 10.33788/rcis.72.5. [DOI] [Google Scholar]
- 41.Borsi M.T., Valerio Mendoza O.M., Comim F. Measuring the provincial supply of higher education institutions in China. China Econ. Rev. 2022;71 doi: 10.1016/j.chieco.2021.101724. [DOI] [Google Scholar]
- 42.Zhang J., Li H., Lin J., Zheng W., Li H., Chen Z. Meta-analysis of the relationship between high quality basic education resources and housing prices. Land Use Pol. 2020;99 doi: 10.1016/j.landusepol.2020.104843. [DOI] [Google Scholar]
- 43.Huang B., Gao M., Xu C., Zhu Y. The impact of Province-Managing-County fiscal reform on primary education in China. China Econ. Rev. 2017;45:45–61. doi: 10.1016/j.chieco.2017.06.001. [DOI] [Google Scholar]
- 44.Wang B. 2018. Outward direct investment: restricted, relaxed and regulated stages of development. [DOI] [Google Scholar]
- 45.Xiao J., Liu X. How does family cultural capital influence the individuals' development?–case study about left-behind children in China. Asia Pac. Educ. Rev. 2022 doi: 10.1007/s12564-022-09744-x. [DOI] [Google Scholar]
- 46.Xie S., Li H. Accessibility, affordability, accountability, sustainability and social justice of early childhood education in China: a case study of Shenzhen. Child. Youth Serv. Rev. 2020;118 doi: 10.1016/j.childyouth.2020.105359. [DOI] [PMC free article] [PubMed] [Google Scholar]
- 47.Donaldson M.L., Firestone W. Springer Netherlands; 2021. Rethinking Teacher Evaluation Using Human, Social, and Material Capital. [DOI] [Google Scholar]
- 48.Huang B., Gao M., Xu C., Zhu Y. The impact of Province-Managing-County fiscal reform on primary education in China. China Econ. Rev. 2017;45:45–61. doi: 10.1016/j.chieco.2017.06.001. [DOI] [Google Scholar]
- 49.Kim J.H., Hailu B.H., Rose P.M., Rossiter J., Teferra T., Woldehanna T. Persistent inequalities in early years' access and learning: evidence from large-scale expansion of pre-primary education in Ethiopia. Early Child. Res. Q. 2022;58:103–114. doi: 10.1016/j.ecresq.2021.07.006. [DOI] [Google Scholar]
- 50.Rao N., Umayahara M., Yang Y., Ranganathan N. Ensuring access, equity and quality in early childhood education in Bangladesh, China, India and Myanmar: challenges for nations in a populous economic corridor. Int. J. Educ. Dev. 2021;82 doi: 10.1016/j.ijedudev.2021.102380. [DOI] [Google Scholar]
- 51.Li B., Li T., Yu M., Chen B. Can equalization of public services narrow the regional disparities in China? A spatial econometrics approach. China Econ. Rev. 2017;44:67–78. doi: 10.1016/j.chieco.2017.03.010. [DOI] [Google Scholar]
- 52.Zhao Z., Pan Y., Zhu J., Wu J., Zhu R. The impact of urbanization on the delivery of public service–related SDGs in China. Sustain. Cities Soc. 2022;80 doi: 10.1016/j.scs.2022.103776. [DOI] [Google Scholar]
- 53.Şeker F., Aydinli B. A trial patch to sustainable development: perspectives from extracurricular activities of elementary schools in Turkey. Sci. Educ. 2022 doi: 10.1007/s11191-021-00315-x. [DOI] [PMC free article] [PubMed] [Google Scholar]
- 54.Cui Y., Liu H., Zhao L. Protective effect of adult children's education on parental survival in China: gender differences and underlying mechanisms. Soc. Sci. Med. 2021;277 doi: 10.1016/j.socscimed.2021.113908. [DOI] [PubMed] [Google Scholar]
- 55.Han T., Han X. An empirical analysis of the service efficiency of basic public education based on the BCC-DEA model of neural network computing principles. J. Phys. Conf. Ser. 2021;1865 doi: 10.1088/1742-6596/1865/4/042131. [DOI] [Google Scholar]
- 56.Wu W., Zhu J. Are there demonstration effects of fiscal expenditures on higher education in China? An empirical investigation. Int. J. Educ. Dev. 2021;81 doi: 10.1016/j.ijedudev.2020.102345. [DOI] [Google Scholar]
- 57.Dello-Iacovo B. Curriculum reform and “quality education” in China: an overview. Int. J. Educ. Dev. 2009;29:241–249. doi: 10.1016/j.ijedudev.2008.02.008. [DOI] [Google Scholar]
- 58.Hong X., Liu P., Ma Q., Luo X. The way to early childhood education equity - policies to tackle the urban-rural disparities in China. Int. J. Child Care Educ. Policy. 2015;9 doi: 10.1186/s40723-015-0008-9. [DOI] [Google Scholar]
- 59.Halcón J.J., de la Luz Reyes M. “Trickle-down” reform: hispanics, higher education, and the excellence movement. Urban Rev. 1991;23:117–135. doi: 10.1007/BF01108041. [DOI] [Google Scholar]
- 60.Li Q., Wu Z. Reform and development of educational administration system in China. Int. Educ. Stud. 2008;1:136–140. doi: 10.5539/ies.v1n3p136. [DOI] [Google Scholar]
- 61.Sang G. 2011. Barriers of Educational Development, [PowerPoint Slides]. Reprinted from Lecture Notes Entitled Education Systems, Policy and Management in China Faculty of Education of Beijing Normal University. International PhD/MA Program in Comparative Education (Education Management and Leadership) [Google Scholar]
- 62.Oyeniran R., Uwamahoro E. Impacts of reforms in Chinese educational system. Int. J. Educ. 2017;9:30. doi: 10.5296/ije.v9i1.10495. [DOI] [Google Scholar]
- 63.Zhou Nanzhao, Zhu Muju. International Bureau for Education; Geneva, Switzerland: 2007. Educational Reform and Curriculum Change in China: A Comparative Case Study. [Google Scholar]
- 64.Liu M., Murphy R., Tao R., An X. Education management and performance after rural education finance reform: evidence from Western China. Int. J. Educ. Dev. 2009;29:463–473. doi: 10.1016/j.ijedudev.2009.04.013. [DOI] [Google Scholar]
- 65.Xiong W., Yang J., Shen W. Higher education reform in China: a comprehensive review of policymaking, implementation, and outcomes since 1978. China Econ. Rev. 2022;72 doi: 10.1016/j.chieco.2022.101752. [DOI] [Google Scholar]
- 66.MOE . 2011. Dissemination on the Implementation of National Preschool Teacher Training Program; pp. 1–5. (In Chinese) [Google Scholar]
- 67.Zhou Y., Jiang Y., Zheng C., Li H. Is puhui kindergarten a panacea for the ‘3A’ problems of early childhood education in China? Evidence from a national validation study. Child. Youth Serv. Rev. 2020;119 doi: 10.1016/j.childyouth.2020.105702. [DOI] [Google Scholar]
- 68.Asadullah M.N., Xiao S. The changing pattern of wage returns to education in post-reform China. Struct. Change Econ. Dynam. 2020;53:137–148. doi: 10.1016/j.strueco.2020.01.010. [DOI] [Google Scholar]
- 69.Hu B.Y., Yang Y., Wu H., Song Z., Neitzel J., Ying B., Yang Y., Wu H., Song Z. Structural and process predictors of Chinese parental satisfaction toward early childhood education services. Child. Youth Serv. Rev. 2018;89:179–187. doi: 10.1016/j.childyouth.2018.04.022. [DOI] [Google Scholar]
- 70.Brown P., Sadik S., Xu J. Higher education, graduate talent and the prospects for social mobility in China's innovation nation. Int. J. Educ. Res. 2021;109 doi: 10.1016/j.ijer.2021.101841. [DOI] [Google Scholar]
- 71.Liu J. Constructing resource sharing collaboration for quality public education in urban China: case study of school alliance in Beijing. Int. J. Educ. Dev. 2018;59:9–19. doi: 10.1016/j.ijedudev.2017.09.004. [DOI] [Google Scholar]
Associated Data
This section collects any data citations, data availability statements, or supplementary materials included in this article.
Data Availability Statement
Data will be made available on request.




