Abstract
An efficient method for the synthesis of pyrazolo [4,3-b]pyridines has been developed on the basis of readily available 2-chloro-3-nitropyridines via a sequence of SNAr and modified Japp–Klingemann reactions. The method offers a number of advantages including utilization of stable arenediazonium tosylates, operational simplicity as well as combining the azo-coupling, deacylation and pyrazole ring annulation steps in a one-pot manner. An unusual rearrangement (C-N-migration of the acetyl group) was observed and a plausible mechanism was proposed based on the isolated intermediates and NMR experiments. In addition, the developed protocol was successfully applied to the synthesis of 1-arylindazoles combining the Japp–Klingemann reaction and cyclization of the resulting hydrazone as a one-pot procedure.
Keywords: pyrazolo [4,3-b]pyridines; indazoles; Japp–Klingemann reaction; nucleophilic substitution; aromatic nitro compounds
1. Introduction
Polynitrogen heterocycles have found their application in various fields of chemistry and material science, such as perspective high-energy density compounds [1,2,3,4], purine antimetabolites used in the treatment of cancer [5], chemosensors [6] and many others. In particular, pyrazolo [4,3-b]pyridines are of considerable interest due to their diverse biological activity. They have been studied as potential HIV-1 non-nucleoside reverse transcriptase inhibitors [7], interleukin-2 inducible T-cell kinase inhibitors [8], transient receptor potential ankyrin-repeat 1 (TRK1) antagonists [9] and corticotropin-releasing factor receptor type-1 (CRF1) antagonists [10]. Some biologically active pyrazolo [4,3-b]pyridines are shown on Figure 1. In particular, Glumetinib—a highly selective inhibitor of the oncoprotein c-Met (hepatocyte growth factor receptor; HGFR) with potential antineoplastic activity [11]—as well as CDK8 inhibitor [12] and VU0418506, a positive allosteric modulator (PAM) of the metabotropic glutamate receptor 4 (mGlu4) [13].
Figure 1.
Biologically active pyrazolo [4,3-b]pyridines.
Methods for the synthesis of pyrazolo [4,3-b]pyridines are usually based on the annulation of a pyridine fragment to an amino-substituted pyrazole ring, Scheme 1A. Two main approaches include cyclocondensation of unstable 4-aminopyrazole-5-carbaldehydes in their N-protected forms [14,15,16], as well as cyclization of 5-functionalized 4-aminopyrazoles [17]. Another example deals with cyclization of 4-amino-5-(indol-3-yl)pyrazole with aldehydes [18,19] or sodium nitromalonodialdehyde [20]. Some additional methods for the conversion of 4-aminopyrazoles to pyrazolo [4,3-b]pyridines are summarized in review [21]. Otherwise, pyrazolo [4,3-b]pyridines can be obtained via annulation of a pyrazole ring to a functionalized pyridine core, though such reactions are quite rare [22], Scheme 1B.
Scheme 1.
Methods for the synthesis of pyrazolo [4,3-b]pyridines: (A) annulation of a pyridine fragment to an amino substituted pyrazole ring [14,15,16,17,18,19,20]; (B) annulation of a pyrazole ring to functionalized pyridine core [22]; (C) synthesis from available 3-nitropyridines.
In this work we propose an efficient method for the synthesis of pyrazolo [4,3-b]pyridines containing electron-withdrawing groups (EWG) starting from readily available 3-nitropyridines, Scheme 1C.
2. Results and Discussion
We proposed a retrosynthetic scheme for the synthesis of pyrazolo [4,3-b]pyridines, Scheme 2. The target molecules were planned to be synthesized via intramolecular nucleophilic substitution of the nitro group (SNAr) with anions of hydrazones A which in turn could be prepared using the Japp–Klingemann reaction. The starting compounds—readily available 2-chloro-3-nitropyridines C—can be converted to pyridinyl keto esters B through a conventional SNAr process. Such a synthetic route seemed reasonable because earlier we found that 3-NO2 in pyridines was prone to substitution under the action of anionic O-, N- and S-nucleophiles [23].
Scheme 2.
Retrosynthesis of pyrazolo [4,3-b]pyridines.
2-Chloro-3-nitropyridines 1a–c reacted with ethyl acetoacetate in the presence of NaH to give pyridinyl keto esters 2a–c which exist in solutions as a mixture of ketone and enol tautomers with the enol form being predominant, Scheme 3. These results are in accordance with the previously reported [24].
Scheme 3.
Synthesis of pyridin-2-yl keto esters 2a–c.
Structures of compounds 2a–c were confirmed by NMR and HRMS data. Crystal structures of 2a and 2b were determined by the X-ray diffraction analysis, Figure 2. The structure of 2a contained two crystallographically non-equivalent molecules.
Figure 2.
X-ray crystal structures of compounds (a) 2a (only one crystallographically unique molecule is shown) and (b) 2b with thermal ellipsoids set at a 50% probability level.
In the next step compound 2a was selected for screening the reaction conditions. Conventional Japp–Klingemann reaction conditions [25] were found to be unsuitable in our case: reactions of 2a with solutions of arenediazonium chlorides in the presence of sodium acetate yielded relatively stable azo-compounds 4 instead of desired hydrazones. Increasing temperature or pH only resulted in numerous side products. This prompted us to thoroughly study the azo-coupling and subsequent steps leading to target pyrazolo [4,3-b]pyridines. First of all, arenediazonium tosylate 3a was prepared by a recently reported method [26] and used as an equivalent of arenediazonium chloride. These compounds are more stable than corresponding chlorides towards explosion or chemical decomposition. Arenediazonium tosylates 3 can be cleanly synthesized by diazotization of anilines in the presence of p-toluenesulfonic acid [27,28] and used without further purification, Scheme 4. Reaction of salt 3a with pyridinyl keto ester 2a under non-aqueous conditions in the presence of pyridine afforded azo-compound 4a in quantitative yield. This model compound was used for the screening of various reagents that can affect deacylation and subsequent cyclization.
Scheme 4.
Reactions of keto ester 2a with arenediazonium salts.
Treatment of 4a with non-nucleophilic K2CO3 resulted in decomposition signifying the importance of nucleophiles for the deacetylation step. Both NaOH and MeONa were able to yield pyrazolo [4,3-b]pyridine product although a notable side reaction with an ester group makes those reagents impractical. Milder nucleophilic bases, such as DABCO and secondary amines, all reacted cleanly to give the expected ethyl 1-(2-cyanophenyl)-6-nitro-1H-pyrazolo [4,3-b]pyridine-3-carboxylate 5a along with varying amounts of the unknown compound 5a′. This compound was isolated and fully characterized by various methods including X-ray diffraction analysis (Figure 3). It turned out to be N-aryl-N-acetylhydrazone arising from C-N migration of the acetyl group.
Figure 3.
(a) X-ray crystal structure of compound 5a′ with thermal ellipsoids at a 50% probability level. Disorder of one NO2 group is omitted, (b) structural formula of 5a′.
To elucidate the role of compound 5a′ in the course of the reaction we performed a controlled experiment with a pure sample of 4a and collected aliquots of the reaction mixture after 3, 30 and 45 min. Collected aliquots were immediately quenched with aqueous HCl, extracted and analyzed (Figure 4). 1H NMR spectra showed complete conversion of 4a to 5a′ after 3 min with traces of 5a present. Samples taken after 30 min at 20 °C contained almost equimolar mixture of 5a′ and 5a and an additional 15 min at 40 °C yielded sample with mostly pure 5a. This experiment allowed us to conclude that N-acetyl hydrazone 5a′ is in fact an intermediate and can be converted to the target pyrazolo [4,3-b]pyridine under appropriate conditions. Therefore, our final protocol for the synthesis of pyrazolo [4,3-b]pyridines 5 consists of azo-coupling in the presence of pyridine and subsequent one-pot cyclization by addition of pyrrolidine at 40 °C. Pyrrolidine has a favorable combination of nucleophilicity, basicity, ease of removal and affordability, thus making it the reagent of choice.
Figure 4.
NMR spectra of the reaction mixture aliquots, collected and quenched before addition of pyrrolidine (violet) and then 3 (aquamarine), 30 (green) and 45 min (red) after addition.
To the best of our knowledge such a rearrangement has not been previously described, although we were able to find a few articles about similar-looking C-N acyl migration in benzeneazotribenzoylmethanes (ArCO)3C-N=NAr [29,30]. This rearrangement requires prolonged heating above 130 °C and the mechanism is believed to be heterolytic cleavage and recombination. In contrast, rearrangement in our case occurs almost instantaneously at room temperature after the addition of suitable nucleophile. We propose the following mechanism which explains the role of a nucleophilic catalyst (Scheme 5). It starts with the attack of a nucleophile on an electron-deficient N=N double bond, thus creating a negative charge on the second nitrogen atom. In turn, this atom attacks the spatially close carbonyl group with the formation of a 4-membered cycle (which is drawn to illustrate a stepwise mechanism; however, a more concerted process can take place as well) which immediately opens to yield the product of acetyl migration. Significant decrease of steric strain around the quaternary carbon atom along with formation of a stable hydrazone fragment could be considered as the main driving forces. Formation of N-acetylpyrrolidine as a by-product can also be seen on Figure 3 (peak at 3.4 ppm). Absence of this compound in the reaction mixture directly after rearrangement also points towards intramolecular reaction because the formation of N-acetylpyrrolidine is virtually irreversible under reaction conditions.
Scheme 5.
Plausible mechanism of the reaction of 4a with pyrrolidine.
The scope and limitations of the developed one-pot method was studied using compounds 2a–c and various arenediazonium tosylates, Scheme 6. Generally, reactions proceeded smoothly in the case of both electron-withdrawing and electron-releasing groups in the aryl substituent, resulting in the formation of pyrazolo [4,3-b]pyridines 5a–s in moderate to high yields.
Scheme 6.
One-pot synthesis of pyrazolo [4,3-b]pyridines 5 (substrate scope).
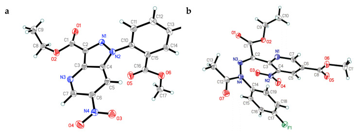
In all cases, formation of the intermediates of type 5a′ was observed by TLC, N-acetyl-N-arylhydrazone 5q′ was isolated and characterized by the spectral methods and X-ray analysis, Figure 5. Structures of compounds 5 were confirmed by NMR and HRMS, as well as by X-ray analysis for compound 5c, Figure 5.
Figure 5.
X-ray crystal structures of compounds (a) 5c and (b) the intermediate 5q′ (only one of two crystallographically unique molecules is shown) with thermal ellipsoids at 50% probability level.
The developed method of pyrazole ring annulation can be applied to the synthesis of indazoles from nitrobenzene derivatives. However, in the case of nitrophenyl chlorides, which are less active compared to the corresponding chloronitropyridines, reaction conditions were changed in order to reach higher yields. Thus, 4-R-1-chloro-2-nitrobenzenes 6a–d reacted with ethyl acetoacetate in the presence of K2CO3 in DMF at 60oC to give phenyl keto esters 7a–d, Scheme 7. Compounds 7 were reacted with arenedizonium tosylates 3 under conditions elaborated for pyridyl acetoacetic esters 2a–d in a one-pot manner, Scheme 7. DBU was used as a base in case of compounds 7b–d since cyclization was found to proceed slowly in the presence of pyrrolidine. As a result, indazoles 8a–k were obtained in 60–83% yields.
Scheme 7.
One-pot synthesis of indazoles 8 (substrate scope).
TLC and NMR monitoring of the reaction mixtures did not reveal formation of the intermediate N-acetyl-N-arylhydrazones, indeed, azocompounds 9 formed as a result of azo-coupling were being converted directly to hydrazones 10 which were further cyclized under the action of a base. This allowed us to propose that reactions of benzene derivatives 7 proceed according to a conventional Japp–Klingemann mechanism, Scheme 8. Hydrazone 10e was isolated and characterized to confirm the reaction scheme.
Scheme 8.
Plausible mechanism for the formation of indazole derivatives 8.
This consistent difference in reaction pathway between pyridine and benzene derivatives does not seem to be affected by substituents, therefore the heterocyclic nitrogen atom can be considered as the main reason for the unusual reactivity. One possible explanation is hydrogen bonding between this nitrogen atom and the attacking nucleophile which would coordinate it towards the azo-group, Figure 6. Another factor could be higher steric demand of the C-H fragment, disfavoring attack on the adjacent nitrogen atom of the azo-group.
Figure 6.
Possible factors affecting reaction pathway.
3. Materials and Methods
3.1. General Information
All chemicals were of commercial grade and used directly without purification. Melting points were measured on a Stuart SMP20 apparatus (Stuart (Bibby Scientific), Stone, UK). 1H and 13C NMR spectra were recorded on a Bruker AM-300 (at 300.13 and 75.13 MHz, respectively, Bruker Biospin, Ettlingen, Germany) or Bruker Avance DRX 500 (at 500 and 125 MHz, respectively, Bruker Biospin, Germany) in DMSO-d6 or CDCl3. J values are given in Hz. HRMS spectra were recorded on a Bruker micrOTOF II mass spectrometer using ESI. All reactions were monitored by TLC analysis using ALUGRAM SIL G/UV254 plates, which were visualized with UV light. Compounds 1a–c and 6a–c were purchased from commercial suppliers. Compound 6d was synthesized according to the previously described procedure [31].
3.2. General Procedure for the Synthesis of Compounds 2a–c
To a stirred suspension of NaH (60% in mineral oil, 1.60 g, 40 mmol) in anhydrous THF (50 mL), ethyl acetoacetate (2.55 mL, 20 mmol) was added dropwise. The suspension was stirred for 15 min and the corresponding chloronitroarene (20 mmol) was added in small portions. The reaction mixture was stirred at 40 °C for 2–6 h (monitored by TLC), poured in 250 mL of water and acidified with conc. HCl to pH 3. The red color of the solution disappeared and an oily product started to separate, which was extracted with CHCl3. The organic phase was dried over anhydrous Na2SO4, evaporated and purified via column chromatography (SiO2/CHCl3). Compounds 2a–c have a strong tendency to overcool and stay in the form of viscous oil for several weeks before sudden crystallization occurs. Compounds 2a–c exist as a mixture of ketone and enol tautomers in solutions with the enol form being dominant, thus only NMR data for the enol form were provided below, while compound names correspond to keto tautomers for clarity.
Ethyl 2-(3,5-dinitropyridin-2-yl)-3-oxobutanoate (2a), yellow solid; yield 84%; mp 84–85 °C; 1H NMR (300 MHz, CDCl3): δ 13.57 (s, 1H), 9.59 (d, 1H, J = 1.8 Hz), 9.05 (d, 1H, J = 1.8 Hz), 4.25–4.05 (m, 2H), 2.14 (s, 3H), 1.15 (t, 3H, J = 6.9 Hz). HRMS (ESI, m/z): calcd for C11H11N3O7 [M + Na]+: 320.0489; found: 320.0480.
Ethyl 2-(3-nitro-5-(trifluoromethyl)pyridin-2-yl)-3-oxobutanoate (2b), yellow prisms; yield 77%; mp 59–62 °C; 1H NMR (300 MHz, CDCl3): δ 13.38 (s, 1H), 9.03 (s, 1H), 8.49 (s, 1H), 4.25–3.95 (m, 2H), 2.01 (s, 3H), 1.10 (t, 3H, J = 6.9 Hz). HRMS (ESI, m/z): calcd for C12H11F3N2O5 [M + H]+: 321.0693; found: 321.0687.
Methyl 6-(1-ethoxy-1,3-dioxobutan-2-yl)-5-nitronicotinate (2c), yellow needles; yield 61%; mp 75–78 °C; 1H NMR (300 MHz, CDCl3): δ 13.39 (s, 1H), 9.37 (d, 1H, J = 1.8 Hz), 8.85 (d, 1H, J = 2.1 Hz), 4.22–4.00 (m, 2H), 4.04 (s, 3H), 2.08 (s, 3H), 1.14 (t, 3H, J = 6.9 Hz). HRMS (ESI, m/z): calcd for C13H14N2O7 [M + H]+: 311.0874; found: 311.0871.
3.3. General Procedure for the Synthesis of Compounds 7a–d
The corresponding chloronitroarene (20 mmol) and ethyl acetoacetate (3.19 mL, 25 mmol) were dissolved in 35 mL of DMF then anhydrous K2CO3 (5.52 g, 40 mmol) was added and the reaction mixture was stirred at 60 °C for 2–6 h (monitored by TLC), poured in 150 mL of water and acidified with conc. HCl to pH 3. The product was extracted with CHCl3, the combined organic phase was dried over anhydrous Na2SO4, evaporated and purified via column chromatography (SiO2/CHCl3). Compounds 7a–d have a strong tendency to overcool and stay in the form of viscous oil for several weeks before sudden crystallization occurs. Compounds 7 exist as a mixture of ketone and enol tautomers in solutions with the enol form being dominant, thus only NMR data for the enol form are provided below, while compound names correspond to keto tautomers for clarity.
Ethyl 2-(2,4-dinitrophenyl)-3-oxobutanoate (7a), brown solid; yield 66%; mp 106–108 °C; 1H NMR (300 MHz, CDCl3): δ 13.17 (s, 1H), 8.86 (d, 1H, J = 2.4 Hz), 8.45 (dd, 1H, J = 8.4 Hz, J = 2.1 Hz), 4.30–4.00 (m, 2H), 1.94 (s, 3H), 1.15 (t, 3H, J = 7.2 Hz).
Ethyl 2-(2-nitro-4-(trifluoromethyl)phenyl)-3-oxobutanoate (7b), yellow solid; yield 69%; mp 60–62 °C; 1H NMR (300 MHz, CDCl3): δ 13.11 (s, 1H), 8.27 (d, 1H, J = 1.2 Hz), 7.87 (dd, 1H, J = 7.8 Hz, J = 1.2 Hz), 7.48 (d, 1H, J = 8.1 Hz), 4.30–4.00 (m, 2H), 1.91 (s, 3H), 1.15 (t, 3H, J = 6.9 Hz).
Methyl 4-(1-ethoxy-1,3-dioxobutan-2-yl)-3-nitrobenzoate (7c), yellow solid; yield 64%; mp 90–92 °C; 1H NMR (300 MHz, CDCl3): δ 13.05 (s, 1H), 8.60 (s, 1H), 8.21 (d, 1H, J = 7.8 Hz), 7.38 (d, 1H, J = 7.8 Hz), 4.25–3.90 (m, 2H), 3.97 (s, 3H), 1.87 (s, 3H), 1.09 (t, 3H, J = 6.9 Hz). HRMS (ESI, m/z): calcd for C14H15NO7 [M + H]+: 310.0921; found: 310.0926.
Ethyl 2-(5,7-dinitroquinolin-8-yl)-3-oxobutanoate (7d), brown solid; yield 62%; mp 92–93 °C; 1H NMR (300 MHz, CDCl3): δ 13.54 (s, 1H), 9.21 (dd, 1H, J = 4.2 Hz, J = 1.8 Hz), 9.10 (dd, 1H, J = 8.7 Hz, J = 1.8 Hz), 8.88 (s, 1H), 7.82 (dd, 1H, J = 8.7 Hz, J = 4.2 Hz), 4.25–3.95 (m, 2H), 1.70 (s, 3H), 1.05 (t, 3H, J = 7.2 Hz). HRMS (ESI, m/z): calcd for C15H13N3O7 [M + H]+: 348.0826; found: 348.0833.
3.4. General Procedure for the Synthesis of Aryldiazonium Tosylates 3 [26]
Although aryldiazonium tosylates are generally considered to be relatively safe compared to other aryldiazonium salts, and no incidents occurred during this work, these compounds should be handled with appropriate precautions.
TsOH*H2O (2.28 g, 12 mmol) was dissolved in ethyl acetate (50 mL) and the appropriate aniline (8 mmol) was added. The suspension of anilinium tosylate was stirred for 10 min and iPrONO (2.46 mL, 24 mmol) was added in one portion. The amine salt disappeared and a new precipitate of diazonium salt started to form. The reaction mixture was stirred at room temperature (r.t.) for 2 h and filtered. Diazonium salts were washed with Et2O, dried in air and used as is. Yields 67–93%. 2-Methoxyphenyldiazonium tosylate failed to crystallize and was used as oil. These salts can be stored at room temperature for a week with minor discoloration and no visible decomposition was observed after 3 months of storage in a freezer.
3.5. Synthesis of the Intermediates 4a, 5a′ and 5q′
To a solution of compound 2a (0.32 g, 1 mmol) in MeCN (5 mL) 2-cyanophenyldiazonium tosylate (1.1 mmol) was added followed by pyridine (0.08 mL, 1 mmol). The reaction mixture was stirred at r.t. for 30 min (monitored by TLC) then poured in 50 mL of water, acidified to pH 3 with conc. hydrochloric acid and extracted with CHCl3. Combined organic phase was dried over anhydrous Na2SO4, evaporated and the residue was purified by column chromatography (SiO2/CHCl3).
Ethyl 2-((2-cyanophenyl)diazenyl)-2-(3,5-dinitropyridin-2-yl)-3-oxobutanoate (4a), orange oil, yield 98%; 1H NMR (300 MHz, CDCl3): δ 9.56 (d, 1H, J = 1.8 Hz), 9.22 (d, 1H, J = 2.1 Hz), 7.55–7.74 (m, 4H), 4.40 (q, 2H, J = 7.2 Hz), 2.61 (s, 3H), 1.31 (t, 3H, J = 7.2 Hz). HRMS (ESI, m/z): calcd for C18H14N6O7 [M + Na]+: 449.0816; found: 449.0812.
To a solution of the appropriate azo-compound 4 (obtained from 1 mmol of 2) in MeCN (10 mL), pyrrolidine was added (0.5 mL). The dark-red solution was stirred at r.t. for 3 min, then poured in 50 mL of 1N hydrochloric acid and extracted with CHCl3. Organic phase was dried over anhydrous Na2SO4, evaporated and the residue was purified by column chromatography (SiO2/10% EtOAc in CHCl3).
Ethyl 2-(2-acetyl-2-(2-cyanophenyl)hydrazineylidene)-2-(3,5-dinitropyridin-2-yl)acetate (5a′), pale yellow solid; yield 89%; mp 151–152 °C; 1H NMR (300 MHz, CDCl3): δ 9.46 (s, 1H), 8.86 (s, 1H), 7.43–7.07 (m, 4H), 4.34 (q, 2H), J = 6.9 Hz), 2.76 (s, 3H), 1.35 (t, 3H, J = 6.9 Hz). HRMS (ESI, m/z): calcd for C18H14N6O7 [M + Na]+: 449.0816; found: 449.0811.
Methyl 6-(1-(2-acetyl-2-(4-fluorophenyl)hydrazineylidene)-2-ethoxy-2-oxoethyl)-5-nitronicotinate (5q′), pale yellow solid; yield 85%; mp 120–121 °C; 1H NMR (300 MHz, CDCl3): δ 9.21 (s, 1H), 8.69 (s, 1H), 6.86–6.81 (m, 2H), 6.70–6.64 (m, 2H), 4.35–4.25 (m, 2H), 4.04 (s, 1H), 2.70 (s, 3H), 1.30 (t, 3H, J = 6.9 Hz). HRMS (ESI, m/z): calcd for C19H17FN4O7 [M + Na]+: 455.0973; found: 455.0971.
3.6. General Procedure for the Synthesis of Pyrazolo [4,3-b]pyridines 5 and Indazoles 8
To a solution of nitroaryl-substituted acetoacetic ester 2 or 7 (1 mmol) in MeCN (5 mL), appropriate aryldiazonium tosylate (1.1 mmol) was added followed by 0.08 mL (1 mmol) of pyridine. The reaction mixture was stirred at r.t. for 5–60 min (monitored by TLC) then pyrrolidine (0.33 mL, 4 mmol) was added and the reaction mixture was stirred at 40 °C for another 15–90 min (monitored by TLC). The reaction mixture was cooled to r.t., poured in 50 mL of 1N hydrochloric acid and extracted with CHCl3. In some cases, product can be directly filtered from the cooled reaction mixture. Isolated products were purified by flash chromatography (SiO2/10% EtOAc in CHCl3) and/or recrystallization.
In the case of compounds 7b and 7c, pyridine was substituted for 0.45 mL (3 mmol) of DBU and the amount of pyrrolidine was reduced to 1 mmol.
Ethyl 1-(2-cyanophenyl)-6-nitro-1H-pyrazolo [4,3-b]pyridine-3-carboxylate (5a), white solid; yield 85%, mp 222–224 °C; 1H NMR (300 MHz, CDCl3): δ 9.70 (d, 1H, J = 2.1 Hz), 8.68 (d, 1H, J = 2.1 Hz), 8.05–7.90 (m, 2H), 7.85–7.75 (m, 2H), 4.65 (q, 2H, J = 7.2 Hz), 1.53 (t, 3H, J = 7.2 Hz). 13C NMR (75 MHz, CDCl3): δ 160.1, 143.7, 143.2, 142.3, 139.2, 139.1, 134.7, 134.6, 132.6, 130.7, 127.8, 115.2, 115.0, 110.3, 62.4, 14.4. HRMS (ESI, m/z): calcd for C16H11N5O4 [M + H]+: 338.0884; found: 338.0881.
Ethyl 1-(4-methyl-2-nitrophenyl)-6-nitro-1H-pyrazolo [4,3-b]pyridine-3-carboxylate (5b), white solid; yield 88%; mp 252–253 °C; 1H NMR (300 MHz, CDCl3): δ 9.63 (d, 1H, J = 1.8 Hz), 8.46 (d, 1H, J = 1.8 Hz), 8.06 (s, 1H), 7.67 (d, 1H, J = 8.1 Hz), 7.55 (d, 1H, J = 8.1 Hz), 4.57 (q, 2H, J = 7.2 Hz), 2.60 (s, 3H), 1.46 (t, 3H, J = 6.9 Hz). 13C NMR (75 MHz, CDCl3): δ 145.2, 143.5, 143.3, 142.9, 142.4, 135.1, 133.7, 129.5, 128.1, 126.8, 114.7, 62.2, 21.4, 14.4. HRMS (ESI, m/z): calcd for C16H13N5O6 [M + H]+: 372.0939; found: 372.0943.
Ethyl 1-(2-(methoxycarbonyl)phenyl)-6-nitro-1H-pyrazolo [4,3-b]pyridine-3-carboxylate (5c), colorless crystals; yield 65%; mp 136–137 °C; 1H NMR (300 MHz, CDCl3): δ 9.60 (s, 1H), 8.42 (s, 1H), 8.16 (d, 1H, J = 7.5 Hz), 7.80–7.68 (m, 2H), 7.57 (d, 1H, J = 7.5 Hz), 4.57 (q, 2H, 7.2 Hz), 3.58 (s, 3H), 1.46 (t, 3H, J = 6.9 Hz). 13C NMR (75 MHz, CDCl3): δ 164.5, 160.6, 143.0, 142.7, 142.1, 137.4, 136.5, 133.7, 133.6, 132.1, 130.9, 128.7, 128.4, 115.1, 62.0, 52.7, 14.4. HRMS (ESI, m/z): calcd for C17H14N4O6 [M + H]+: 371.0986; found: 371.0984.
Ethyl 1-(4-fluorophenyl)-6-nitro-1H-pyrazolo [4,3-b]pyridine-3-carboxylate (5d), white crystals; yield 76%; mp 214–215 °C; 1H NMR (300 MHz, CDCl3): δ 9.60 (d, 1H, J = 1.8 Hz), 8.78 (d, 1H, J = 2.1 Hz), 7.72–7.67 (m, 2H), 7.32 (t, 2H, J = 8.1 Hz), 4.58 (q, 2H, J = 7.2 Hz), 1.47 (t, 3H, J = 7.2 Hz). 13C NMR (75 MHz, CDCl3): δ 162.8 (d, 1JCF = 249 Hz), 160.4, 143.3, 143.2, 142.1, 137.6, 133.9, 131.7, 125.7 (d, 3JCF = 8.8 Hz), 117.3 (d, 2JCF = 23.2 Hz), 115.3, 62.1, 14.4. HRMS (ESI, m/z): calcd for C15H11FN4O4 [M + Na]+: 353.0657; found: 353.0667.
Ethyl 1-(3-chloro-4-methylphenyl)-6-nitro-1H-pyrazolo [4,3-b]pyridine-3-carboxylate (5e), beige crystals; yield 69%; mp 203–205 °C; 1H NMR (300 MHz, CDCl3): δ 9.61 (d, 1H, J = 1.8 Hz), 8.81 (d, 1H, J = 1.8 Hz), 7.73 (s, 1H), 7.52–7.45 (m, 2H), 4.58 (q, 2H, J = 7.2 Hz), 2.47 (s, 3H), 1.48 (t, 3H, J = 7.2 Hz). 13C NMR (75 MHz, CDCl3): δ 160.4, 143.3, 143.2, 142.2, 137.9, 137.7, 136.4, 135.9, 132.1, 131.5, 124.3, 121.4, 115.4, 62.1, 19.4, 14.4. HRMS (ESI, m/z): calcd for C16H13ClN4O4 [M + H]+: 361.0698; found: 361.0695.
Ethyl 1-(2-chlorophenyl)-6-nitro-1H-pyrazolo [4,3-b]pyridine-3-carboxylate (5f), white solid; yield 72%; mp 234–235 °C; 1H NMR (300 MHz, CDCl3): δ 9.63 (s, 1H), 8.46 (s, 1H), 7.67–7.49 (m, 4H), 4.59 (q, 2H, J = 6.9 Hz), 1.48 (t, 3H, J = 7.2 Hz). 13C NMR (75 MHz, CDCl3): δ 160.4, 143.2, 142.7, 142.1, 138.1, 134.8, 133.1, 132.0, 131.2, 131.0, 129.7, 128.4, 115.7, 62.2, 14.4. HRMS (ESI, m/z): calcd for C15H11ClN4O4 [M + H]+: 347.0542; found: 347.0548.
Ethyl 1-(2-methyl-4-nitrophenyl)-6-nitro-1H-pyrazolo [4,3-b]pyridine-3-carboxylate (5g), white crystals; yield 73%; mp 191–193 °C; 1H NMR (300 MHz, CDCl3): δ 9.67 (d, 1H, J = 2.1 Hz), 8.51 (d, 1H, J = 1.8 Hz), 8.38 (s, 1H), 8.32 (dd, 1H, J = 8.4 Hz, J = 1.8 Hz), 7.66 (d, 1H, J = 8.7 Hz), 4.63 (q, 2H, J = 6.9 Hz), 2.34 (s, 3H), 1.52 (t, 3H, J = 6.9 Hz). 13C NMR (75 MHz, CDCl3): δ 160.2, 148.6, 143.6, 142.8, 142.4, 140.8, 138.5, 137.7, 132.9, 128.2, 127.2, 122.6, 114.8, 62.3, 18.3, 14.4. HRMS (ESI, m/z): calcd for C16H13N5O6 [M + H]+: 372.0939; found: 372.0931.
Ethyl 1-(2-methoxyphenyl)-6-nitro-1H-pyrazolo [4,3-b]pyridine-3-carboxylate (5h), white needles; yield 78%; mp 203–205 °C; 1H NMR (300 MHz, CDCl3): δ 9.60 (d, 1H, J = 2.1 Hz), 8.48 (d, 1H, J = 2.1 Hz), 7.60–7.50 (m, 2H), 7.20–7.15 (m, 2H), 4.60 (q, 2H, J = 7.2 Hz), 3.81 (s, 3H), 1.49 (t, 3H, J = 6.9 Hz). 13C NMR (75 MHz, CDCl3): δ 160.7, 153.5, 142.8, 141.9, 137.5, 133.2, 131.6, 128.5, 126.2, 121.5, 116.5, 112.5, 61.9, 56.0, 14.4. HRMS (ESI, m/z): calcd for C16H14N4O5 [M + H]+: 343.1037; found: 343.1031.
Ethyl 6-nitro-1-(4-(trifluoromethyl)phenyl)-1H-pyrazolo [4,3-b]pyridine-3-carboxylate (5i), beige needles; yield 82%; mp 193–194 °C; 1H NMR (300 MHz, CDCl3): δ 9.65 (d, 1H, J = 2.4 Hz), 8.93 (d, 1H, J = 2.4 Hz), 7.99–7.92 (m, 4H), 4.63 (q, 2H, J = 7.2 Hz), 1.52 (t, 3H, J = 7.2 Hz). 13C NMR (75 MHz, CDCl3): δ 160.3, 143.6, 143.5, 142.3, 140.6, 138.5, 131.5, 131.2 (q, 2JCF = 30 Hz), 127.5 (q, 3JCF = 3.6 Hz), 123.5, 123.4 (q, 1JCF = 271 Hz), 115.3, 62.3, 14.4. HRMS (ESI, m/z): calcd for C16H11F3N4O4 [M + H]+: 381.0805; found: 381.0798.
Ethyl 1-(4-bromophenyl)-6-nitro-1H-pyrazolo [4,3-b]pyridine-3-carboxylate (5j), white crystals; yield 83%; mp 208–209 °C; 1H NMR (300 MHz, CDCl3): δ 9.64 (s, 1H), 8.64 (s, 1H), 7.79 (d, 2H, J = 8.4 Hz), 7.66 (d, 2H, J = 8.4 Hz), 4.62 (q, 2H, J = 6.9 Hz), 1.51 (t, 3H, J = 7.2 Hz). 13C NMR (75 MHz, CDCl3): δ 160.4, 143.4, 142.2, 138.0, 136.8, 133.4, 131.4, 124.9, 123.3, 115.3, 62.2, 14.4. HRMS (ESI, m/z): calcd for C15H11BrN4O4 [M + Na]+: 412.9856; found: 412.9843.
Ethyl 1-(3-chloro-4-methylphenyl)-6-(trifluoromethyl)-1H-pyrazolo [4,3-b]pyridine-3-carboxylate (5k), beige needles; yield 78%; mp 153–154 °C; 1H NMR (300 MHz, CDCl3): δ 9.02 (s, 1H), 8.23 (s, 1H), 7.68 (s, 1H), 7.48–7.40 (m, 4H), 4.56 (q, 2H, J = 7.2 Hz), 2.43 (s, 3H), 1.46 (t, 3H, J = 6.9 Hz). 13C NMR (75 MHz, CDCl3): δ 160.8, 145.0 (q, 3JCF = 3.2 Hz), 142.3, 137.6, 137.5, 136.7, 135.8, 132.0, 131.7, 124.7 (q, 2JCF = 33 Hz), 124.3, 123.4 (q, 1JCF = 272 Hz), 121.5, 116.9 (q, 3JCF = 4.1 Hz), 62.0, 19.9, 14.4. HRMS (ESI, m/z): calcd for C17H13ClF3N3O2 [M + H]+: 384.0721; found: 384.0721.
Ethyl 1-(4-methyl-2-nitrophenyl)-6-(trifluoromethyl)-1H-pyrazolo [4,3-b]pyridine-3-carboxylate (5l), white needles; yield 84%; mp 220–222 °C; 1H NMR (300 MHz, CDCl3): δ 9.10 (s, 1H), 8.05 (s, 1H), 7.94 (s, 1H), 7.69 (d, 1H, J = 7.8 Hz), 7.58 (d, 1H, J = 8.1 Hz), 4.59 (q, 2H, J = 7.2 Hz), 2.61 (s, 3H), 1.49 (t, 3H, J = 7.2 Hz). 13C NMR (75 MHz, CDCl3): δ 160.5, 145.3, 145.1 (q, 3JCF = 3.3 Hz), 142.8, 142.1, 138.4, 134.9, 133.6, 129.3, 128.3, 126.6, 124.9 (q, 2JCF = 33.4 Hz), 123.3 (q, 1JCF = 270 Hz), 116.1 (q, 3JCF = 4.1 Hz), 62.0, 21.3, 14.4. HRMS (ESI, m/z): calcd for C17H13F3N4O4 [M + H]+: 395.0962; found: 395.0959.
Ethyl 1-(2-cyanophenyl)-6-(trifluoromethyl)-1H-pyrazolo [4,3-b]pyridine-3-carboxylate (5m), beige needles; yield 75%; mp 199–200 °C; 1H NMR (300 MHz, CDCl3): δ 9.10 (d, 1H, J = 1.5 Hz), 8.11 (s, 1H), 7.96–7.85 (m, 2H), 7.76–7.69 (m, 2H), 4.61 (q, 2H, J = 7.2 Hz), 1.50 (t, 3H, J = 7.2 Hz). 13C NMR (75 MHz, CDCl3): δ 160.4, 145.3 (q, 3JCF = 3.2 Hz), 142.4, 139.5, 138.9, 134.6, 134.5, 132.7, 130.3, 127.7, 125.0 (q, 2JCF = 33 Hz), 123.3 (q, 1JCF = 272 Hz), 116.8 (q, 3JCF = 4.2 Hz), 115.1, 110.2, 62.1, 14.4. HRMS (ESI, m/z): calcd for C17H11F3N4O2 [M + H]+: 361.0907; found: 361.0896.
Ethyl 1-(2-(methoxycarbonyl)phenyl)-6-(trifluoromethyl)-1H-pyrazolo [4,3-b]pyridine-3-carboxylate (5n), white crystals; yield 65%; mp 157–158 °C; 1H NMR (300 MHz, CDCl3): δ 9.07 (d, 1H, J = 1.5 Hz), 8.15 (dd, 1H, J1 = 7.8 Hz, J2 = 1.5 Hz), 7.91 (s, 1H), 7.81–7.67 (m, 2H), 7.61 (d, 1H, J = 7.5 Hz), 4.60 (q, 2H, J = 7.2 Hz), 3.58 (s, 3H), 1.49 (t, 3H, J = 6.9 Hz). 13C NMR (75 MHz, CDCl3): δ 164.9, 160.9, 144.7 (q, 3JCF = 3.3 Hz), 142.0, 137.2, 136.7, 133.6, 133.4, 132.0, 130.4, 128.4, 124.5 (q, 2JCF = 33 Hz), 123.5 (q, 1JCF = 271 Hz), 116.5 (q, 3JCF = 4.2 Hz), 61.8, 52.6, 14.4. HRMS (ESI, m/z): calcd for C18H14F3N3O4 [M + H]+: 394.1009; found: 394.1006.
Ethyl 1-(2-methoxyphenyl)-6-(trifluoromethyl)-1H-pyrazolo [4,3-b]pyridine-3-carboxylate (5o), off-white solid; yield 63%; mp 142–144 °C; 1H NMR (300 MHz, CDCl3): δ 9.05 (d, 1H, J = 1.5 Hz), 7.90 (s, 1H), 7.58–7.51 (m, 2H), 7.19–7.14 (m, 2H), 4.60 (q, 2H, J = 7.2 Hz), 3.79 (s, 3H), 1.49 (t, 3H, J = 7.2 Hz). 13C NMR (125 MHz, CDCl3): δ 161.0, 153.6, 144.4, 141.9, 137.2, 133.2, 131.3, 128.5, 126.4, 124.0 (q, 2JCF = 32.8 Hz), 123.6 (q, 1JCF = 271 Hz), 121.4, 117.9 (q, 3JCF = 4.1 Hz), 112.3, 61.7, 55.8, 14.4. HRMS (ESI, m/z): calcd for C17H14F3N3O3 [M + H]+: 366.1060; found: 366.1069.
Ethyl 1-(4-fluorophenyl)-6-(trifluoromethyl)-1H-pyrazolo [4,3-b]pyridine-3-carboxylate (5p), beige solid; yield 71%; mp 138–140 °C; 1H NMR (300 MHz, CDCl3): δ 9.11 (d, 1H, J = 1.8 Hz), 8.25 (s, 1H), 7.75–7.69 (m, 2H), 7.39–7.30 (m, 2H), 4.64 (q, 2H, J = 7.2 Hz), 1.53 (t, 3H, J = 6.9 Hz). 13C NMR (125 MHz, CDCl3): δ 162.6 (d, 1JCF = 249 Hz), 160.8, 145.0, 142.4, 137.5, 134.1, 134.0, 131.8, 125.7 (d, 3JCF = 8.8 Hz), 124.7 (q, 2JCF = 33 Hz), 123.5 (q, 1JCF = 272 Hz), 117.1 (d, 2JCF = 23.3 Hz), 116.6 (q, 3JCF = 4.1 Hz), 61.9, 14.4. HRMS (ESI, m/z): calcd for C16H11F4N3O2 [M + H]+: 354.0860; found: 354.0861.
3-Ethyl 6-methyl 1-(4-fluorophenyl)-1H-pyrazolo [4,3-b]pyridine-3,6-dicarboxylate (5q), beige needles; yield 77%; mp 218–220 °C; 1H NMR (300 MHz, CDCl3): δ 9.42 (d, 1H, J = 1.2 Hz), 8.62 (d, 1H, J = 1.2 Hz), 7.75–7.70 (m, 2H), 7.32 (t, 2H, J = 8.4 Hz), 4.62 (q, 2H, J = 6.9 Hz), 4.02 (s, 3H), 1.50 (t, 3H, J = 7.2 Hz). 13C NMR (75 MHz, CDCl3): δ 165.3, 162.5 (d, 1JCF = 248 Hz), 161.0, 149.1, 142.9, 137.3, 134.3, 132.6, 125.7 (d, 3JCF = 8.7 Hz), 124.0, 120.8, 117.0 (d, 2JCF = 23.1 Hz), 61.8, 52.9, 14.5. HRMS (ESI, m/z): calcd for C17H14FN3O4 [M + H]+: 344.1041; found: 344.1048.
3-Ethyl 6-methyl 1-(2-(methoxycarbonyl)phenyl)-1H-pyrazolo [4,3-b]pyridine-3,6-dicarboxylate (5r), white solid; yield 73%; mp 174–176 °C; 1H NMR (300 MHz, DMSO-d6): δ 9.28 (s, 1H), 8.34 (s, 1H), 8.09 (d, 1H, J = 7.4 Hz), 7.92 (s, 2H), 7.83 (m, 1H), 4.46 (q, 2H, J = 6.9 Hz), 3.93 (s, 3H), 3.51 (s, 3H), 1.38 (t, 3H, J = 7.0 Hz). 13C NMR (75 MHz, DMSO-d6): δ 165.6, 165.3, 160.8, 148.4, 141.9, 136.6, 134.1, 131.7, 130.9, 128.6, 128.5, 124.0, 120.9, 61.4, 53.2, 52.9, 14.7. HRMS (ESI, m/z): calcd for C19H17N3O6 [M + H]+: 384.1190; found: 384.1207.
3-Ethyl 6-methyl 1-(4-bromophenyl)-1H-pyrazolo [4,3-b]pyridine-3,6-dicarboxylate (5s), white crystals; yield 84%; mp 195–196 °C; 1H NMR (300 MHz, CDCl3): δ 9.39 9d, 1H, J = 1.5 Hz), 8.64 (d, 1H, J = 1.2 Hz), 7.73 (d, 2H, J = 8.7 Hz), 7.64 (d, 2H, J = 9 Hz), 4.60 (q, 2H, J = 6.9 Hz), 4.00 (s, 3H), 1.49 (t, 3H, J = 6.9 Hz). 13C NMR (75 MHz, CDCl3): δ 165.2, 160.9, 149.2, 143.0, 137.6, 137.3, 133.1, 132.3, 124.9, 124.1, 122.6, 120.8, 61.9, 52.9, 14.5. HRMS (ESI, m/z): calcd for C17H14BrN3O4 [M + H]+: 404.0240; found: 404.0242.
Ethyl 1-(4-fluorophenyl)-6-nitro-1H-indazole-3-carboxylate, off-white needles (8a); yield 69%; mp 200–201 °C; 1H NMR (300 MHz, CDCl3): δ 8.51 (s, 1H), 8.42 (d, 1H, J = 9 Hz), 8.20 (d, 1H, J = 9 Hz), 7.71–7.67 (m, 2H), 7.28 (t, 2H, J = 8.4 Hz), 4.55 (q, 2H, J = 6.9 Hz), 1.49 (t, 3H, J = 6.9 Hz). 13C NMR (75 MHz, CDCl3): δ 162.5 (d, 1JCF = 249 Hz), 161.7, 147.5, 139.3, 137.5, 134.3, 127.3, 126.1 (d, 3JCF = 8.8 Hz), 123.7, 118.4, 117.0 (d, 2JCF = 23.1 Hz), 107.4, 61.8, 14.4. HRMS (ESI, m/z): calcd for C16H12FN3O4 [M + Na]+: 352.0704; found: 352.0689.
Diethyl 1,1′-(thiobis(4,1-phenylene))bis(6-nitro-1H-indazole-3-carboxylate) (8b), yellow solid; yield 61%; mp 222–224 °C; 1H NMR (300 MHz, CDCl3): δ 8.60 (s, 2H), 8.43 (d, 2H, J = 8.7 Hz), 8.21 (d, 2H, J = 8.7 Hz), 7.72 (d, 4H, J = 8.4 Hz), 7.62 (d, 4H, J = 8.4 Hz), 4.54 (q, 4H, J = 7.2 Hz), 1.48 (t, 6H, J = 7.2 Hz). 13C NMR (75 MHz, CDCl3): δ 161.6, 147.5, 139.1, 137.8, 137.5, 136.5, 132.6, 127.5, 124.8, 123.8, 118.5, 107.5, 61.8, 14.4. HRMS (ESI, m/z): calcd for C32H24N6O8S [M + Na]+: 675.1250; found: 675.1269.
Ethyl 1-(2-cyanophenyl)-6-nitro-1H-indazole-3-carboxylate (8c), white solid; yield 83%; mp 228–230 °C; 1H NMR (300 MHz, CDCl3): δ 8.52 (d, 1H, J = 9 Hz), 8.37 (s, 1H), 8.30 (d, 1H, J = 9 Hz), 8.00–7.85 (m, 2H), 7.80–7.70 (m, 2H), 4.60 (q, 2H, J = 6.9 Hz), 1.53 (t, 3H, J = 6.9 Hz). 13C NMR (75 MHz, CDCl3): δ 161.4, 147.7, 140.1, 139.7, 134.7, 134.3, 130.3, 127.7, 124.1, 118.8, 115.2, 110.8, 107.1, 62.0, 14.4. HRMS (ESI, m/z): calcd for C17H12N4O4 [M + H]+: 337.0931; found: 337.0937.
Ethyl 1-(4-bromophenyl)-6-nitro-1H-indazole-3-carboxylate (8d), beige solid; yield 75%; mp 158–159 °C; 1H NMR (300 MHz, DMSO-d6): δ 8.61 (d, 1H, J = 1.5 Hz), 8.40 (d, 1H, J = 8.9 Hz)), 8.27 (dd, 1H, J = 8.9 Hz, J = 1.5 Hz), 7.88 (m, 4H), 4.49 (q, 2H, J = 7.1 Hz)), 1.43 (t, 3H, J = 7.0 Hz). HRMS (ESI, m/z): calcd for C16H12BrN3O4 [M + Na]+: 411.9903; found: 411.9912.
Ethyl 2-(2-(2-chlorophenyl)hydrazinylidene)-2-(2-nitro-4-(trifluoromethyl)phenyl)acetate (10e), yellow solid; yield 75%; mp 144–145 °C; 1H NMR (300 MHz, CDCl3): δ 12.93 (s, 1H), 8.34 (s, 1H), 7.95 (d, 1H, J = 8.1 Hz), 8.40 (d, 1H, J = 8.1 Hz), 7.66 (d, 1H, J = 8.1 Hz), 7.39 (d, 1H, J = 7.8 Hz), 7.28 (t, 1H, J = 7.5 Hz), 7.00 (t, 1H, J = 7.2 Hz), 4.28 (q, 2H, J = 7.2 Hz), 1.26 (t, 3H, J = 7.2 Hz). 13C NMR (75 MHz, CDCl3): δ 161.7, 148.6, 139.1, 135.0, 133.3, 131.3 (q, 2JCF = 34.2 Hz), 129.7 (q, 3JCF = 3.3 Hz), 129.6, 127.9, 126.8, 123.5, 122.9 (q, 1JCF = 271 Hz), 121.7 (q, 3JCF = 3.8 Hz), 119.9, 114.9, 61.9, 13.7. HRMS (ESI, m/z): calcd for C17H13ClF3N3O4 [M + Na]+: 438.0439; found: 438.0447.
Ethyl 1-(2-chlorophenyl)-6-(trifluoromethyl)-1H-indazole-3-carboxylate (8e), white crystals; yield 62%; mp 116–117 °C; 1H NMR (300 MHz, CDCl3): δ 8.46 (d, 1H, J = 8.4 Hz), 7.67–7.48 (m, 6H), 4.59 (q, 2H, J = 7.2 Hz), 1.52 (t, 3H, J = 6.9 Hz). 13C NMR (125 MHz, CDCl3): δ 162.0, 140.7, 137.6, 135.6, 131.8, 131.3, 130.8, 129.8 (q, 2JCF = 32.4 Hz), 129.8, 128.0, 125.2, 124.0 (q, 1JCF = 271 Hz), 123.5, 120.0 (q, 3JCF = 3 Hz), 108.7 (q, 3JCF = 4.5 Hz), 61.5, 14.4. HRMS (ESI, m/z): calcd for C17H12ClF3N2O2 [M + H]+: 369.0612; found: 369.0607.
Ethyl 1-(3-chloro-4-methylphenyl)-6-(trifluoromethyl)-1H-indazole-3-carboxylate (8f), off-white solid; yield 74%; mp 127–128 °C; 1H NMR (300 MHz, CDCl3): δ 8.43 (d, 1H, J = 8.4 Hz), 7.96 (s, 1H), 7.75 (d, 1H, J = 1.5 Hz), 7.61 (d, 1H, J = 8.4 Hz), 7.53 (dd, 1H, J = 8.1 Hz, J = 1.5 Hz), 7.45 (d, 1H, J = 8.1 Hz), 4.58 (q, 2H, J = 6.9 Hz), 2.49 (s, 3H), 1.53 (t, 3H, J = 7.2 Hz). 13C NMR (125 MHz, CDCl3): δ 161.9, 139.2, 137.3, 137.2, 136.8, 135.4, 131.7, 130.0 (q, 2JCF = 32.3 Hz), 126.0, 124.7, 124.0 (q, 1JCF = 271 Hz), 123.7, 121.8, 120.2 (q, 3JCF = 2.8 Hz), 108.4 (q, 3JCF = 4.4 Hz), 61.5, 19.8, 14.4. HRMS (ESI, m/z): calcd for C18H14ClF3N2O2 [M + H]+: 383.0769; found: 383.0767.
Ethyl 1-(4-bromophenyl)-6-(trifluoromethyl)-1H-indazole-3-carboxylate (8g), white needles; yield 79%, mp 129–130 °C; 1H NMR (300 MHz, CDCl3): δ 8.46 (d, 1H, J = 8.7 Hz), 7.96 (s, 1H), 7.77–7.74 (m, 2H), 7.67–7.62 (m, 3H), 4.59 (q, 2H, 7.2 Hz), 1.53 (t, 3H, J = 7.2 Hz). 13C NMR (75 MHz, CDCl3): δ 161.9, 139.2, 137.6, 133.0, 130.1 (q, 2JCF = 32.4 Hz), 126.2, 125.4, 124.0 (q, 1JCF = 271 Hz), 123.8, 122.4, 120.3 (q, 3JCF = 2.9 Hz), 108.4 (q, 3JCF = 4.5 Hz), 61.6, 14.4. HRMS (ESI, m/z): calcd for C17H12BrF3N2O2 [M + H]+: 413.0107; found: 413.0103.
3-Ethyl 6-methyl 1-(2-chlorophenyl)-1H-indazole-3,6-dicarboxylate (8h), white solid; yield 77%; mp 196–197 °C; 1H NMR (300 MHz, CDCl3): δ 8.36 (d, 1H, J = 8.4 Hz), 8.03 (d, 1H, J = 8.7 Hz), 7.97 (s, 1H), 7.65–7.46 (m, 4H), 4.57 (q, 2H, J = 7.2 Hz), 3.94 (s, 3H), 1.50 (t, 3H, J = 7.2 Hz). 13C NMR (75 MHz, CDCl3): δ 166.7, 162.1, 141.4, 137.6, 135.9, 132.0, 131.2, 130.8, 129.9, 129.5, 127.9, 126.0, 124.0, 122.4, 113.2, 61.5, 52.5, 14.5. HRMS (ESI, m/z): calcd for C18H15ClN2O4 [M + H]+: 359.0793; found: 359.0801.
3-Ethyl 6-methyl 1-(4-bromophenyl)-1H-indazole-3,6-dicarboxylate (8i), gray crystals; yield 81%; mp 158–159 °C; 1H NMR (300 MHz, CDCl3): δ 8.38 (s, 1H), 8.35 (d, 1H, J = 8.4 Hz), 8.03 (d, 1H, J = 8.1 Hz), 7.73 (d, 2H, J = 7.8 Hz), 7.66 (d, 2H, J = 7.8 Hz), 4.57 (q, 2H, J = 6.9 Hz), 3.98 (s, 3H), 1.52 (t, 3H, J = 6.9 Hz). 13C NMR (75 MHz, CDCl3): δ 166.6, 162.1, 139.7, 137.8, 137.5, 132.9, 129.7, 127.0, 125.4, 124.3, 122.6, 122.1, 112.9, 61.5, 52.6, 14.5. HRMS (ESI, m/z): calcd for C18H15BrN2O4 [M + H]+: 403.0288; found: 403.0286.
3-Ethyl 6-methyl 1-(4-methyl-2-nitrophenyl)-1H-indazole-3,6-dicarboxylate (8j), off-white solid; yield 60%; mp 163–165 °C; 1H NMR (300 MHz, CDCl3): δ 8.38 (d, 1H, J = 8.7 Hz), 8.07–8.02 (m, 3H), 7.67–7.59 (m, 2H), 4.56 (q, 2H, J = 7.2 Hz), 3.95 (s, 3H), 2.60 (s, 3H), 1.50 (t, 3H, J = 7.2 Hz). 13C NMR (75 MHz, CDCl3): δ 166.6, 161.9, 145.4, 141.8, 141.5, 138.2, 134.6, 129.9, 129.4, 129.2, 126.4, 124.3, 122.7, 112.1, 61.6, 52.5, 21.3, 14.4. HRMS (ESI, m/z): calcd for C19H17N3O6 [M + H]+: 384.1190; found: 384.1185.
Ethyl 7-(4-bromophenyl)-5-nitro-7H-pyrazolo [3,4-h]quinoline-9-carboxylate (8k), beige crystals; yield 64%; mp 206–208 °C; 1H NMR (300 MHz, CDCl3): δ 9.15 (dd, 1H, J = 4.2 Hz, J = 1.5 Hz), 8.92 (dd, 1H, J = 7.2 Hz, J = 1.5 Hz), 8.54 (s, 1H), 7.80 (d, 2H, J = 8.7 Hz), 7.70–7.65 (m, 3H), 4.67 (q, 2H, J = 6.9 Hz), 1.55 (t, 3H, J = 7.2 Hz). 13C NMR (75 MHz, CDCl3): δ 162.8, 151.9, 146.5, 142.9, 141.1, 137.0, 136.5, 133.2, 132.5, 125.7, 123.1, 122.5, 121.7, 117.6, 110.4, 62.3, 14.3. HRMS (ESI, m/z): calcd for C19H13BrN4O4 [M + H]+: 441.0193; found: 441.0189.
3.7. X-ray Crystallographic Data and Refinement Details
X-ray diffraction data for 2a, 5a′, 5q′ and 5c were collected at 100K on a Rigaku Synergy S diffractometer (Wroclaw, Poland) equipped with a HyPix6000HE area-detector (kappa geometry, shutterless ω-scan technique), using monochromatized Cu Kα-radiation. The intensity data were integrated and corrected for absorption and decay by the CrysAlisPro program [32]. X-ray diffraction data for 2b were collected at 100K on a Bruker Quest D8 diffractometer (Karlsruhe, Germany) equipped with a Photon-III area-detector (shutterless φ- and ω-scan technique), using graphite-monochromatized Mo Kα-radiation. The intensity data were integrated by the SAINT program [33] and were corrected for absorption and decay using SADABS [34]. All structures were solved by direct methods using SHELXT [35] and refined on F2 using SHELXL-2018 [36]. Positions of all atoms were found from the electron-density difference map. Atoms were refined with individual anisotropic (non-hydrogen atoms) or isotropic (hydrogen atoms) displacement parameters.
Crystal data, data collection and structure refinement details are summarized in Supplementary Materials. The structures were deposited at the Cambridge Crystallographic Data Center with the reference CCDC numbers 2232898-2232902; they also contain the supplementary crystallographic data. These data can be obtained free of charge from the CCDC via https://www.ccdc.cam.ac.uk/structures/ (accessed on 26 December 2022).
4. Conclusions
In summary, we have developed an efficient one-step method for the synthesis of pyrazolo [4,3-b]pyridines and indazoles on the basis of the modified Japp–Klingemann reaction and intramolecular nucleophilic substitution of the nitro group. The method comprises readily available starting materials, mild reaction conditions, easy work-up and high product yields. A plausible mechanism for the formation of both pyrazolo [4,3-b]pyridines and indazoles was proposed. As a result, a wide range of polyfunctional fused pyrazoles was synthesized which can be considered as prospective platforms for the design of pharmacology-oriented heterocyclic systems.
Supplementary Materials
The following supporting information can be downloaded at: https://www.mdpi.com/article/10.3390/ijms24021758/s1. References [37,38] are cited in the supplementary materials.
Author Contributions
Conceptualization, V.V.N. and A.M.S.; methodology, V.V.N. and M.A.B.; investigation, V.V.N. and M.E.M.; resources, M.E.M.; writing—original draft preparation, M.A.B.; writing—review and editing, A.M.S.; supervision, A.M.S. All authors have read and agreed to the published version of the manuscript.
Institutional Review Board Statement
Not applicable.
Informed Consent Statement
Not applicable.
Data Availability Statement
Not applicable.
Conflicts of Interest
The authors declare no conflict of interest.
Funding Statement
This research received no external funding.
Footnotes
Disclaimer/Publisher’s Note: The statements, opinions and data contained in all publications are solely those of the individual author(s) and contributor(s) and not of MDPI and/or the editor(s). MDPI and/or the editor(s) disclaim responsibility for any injury to people or property resulting from any ideas, methods, instructions or products referred to in the content.
References
- 1.Tang J., Yang H., Cui Y., Cheng G. Nitrogen-rich tricyclic-based energetic materials. Mater. Chem. Front. 2021;5:7108–7118. doi: 10.1039/D1QM00916H. [DOI] [Google Scholar]
- 2.Zlotin S.G., Churakov A.M., Egorov M.P., Fershtat L.L., Klenov M.S., Kuchurov I.V., Makhova N.N., Smirnov G.A., Tomilov Y.V., Tartakovsky V.A. Advanced energetic materials: Novel strategies and versatile applications. Mendeleev Commun. 2021;31:731–749. doi: 10.1016/j.mencom.2021.11.001. [DOI] [Google Scholar]
- 3.Bystrov D.M., Pivkina A.N., Fershtat L.L. An Alliance of polynitrogen heterocycles: Novel energetic tetrazinedioxide-hydroxytetrazole-based materials. Molecules. 2022;27:5891. doi: 10.3390/molecules27185891. [DOI] [PMC free article] [PubMed] [Google Scholar]
- 4.Dalinger I.L., Shkineva T.K., Vatsadze I.A., Kormanov A.V., Kozeev A.M., Suponitsky K.Y., Pivkina A.N., Sheremetev A.B. Novel energetic CNO oxidizer: Pernitro-substituted pyrazolyl-furazan framework. FirePhysChem. 2021;1:83–89. doi: 10.1016/j.fpc.2021.04.005. [DOI] [Google Scholar]
- 5.Parker W.B. Enzymology of purine and pyrimidine antimetabolites used in the treatment of cancer. Chem. Rev. 2009;109:2880–2893. doi: 10.1021/cr900028p. [DOI] [PMC free article] [PubMed] [Google Scholar]
- 6.Rios M.-C., Bravo N.-F., Sanchez C.-C., Portilla J. Chemosensors based on N-heterocyclic dyes: Advances in sensing highly toxic ions such as CN- and Hg+ RSC. Adv. 2021;11:34206–34234. doi: 10.1039/D1RA06567J. [DOI] [PMC free article] [PubMed] [Google Scholar]
- 7.Tucker T.J., Sisko J.T., Tynebor R.M., William T.M., Felock P.J., Flynn J.A., Lai M.-T., Liang Y., McGaughey G., Liu M., et al. Discovery of 3-{5-[(6-Amino-1H-pyrazolo[3,4-b]pyridine-3-yl)methoxy]-2-chlorophenoxy}-5-chlorobenzonitrile (MK-4965): A Potent, Orally Bioavailable HIV-1 Non-Nucleoside Reverse Transcriptase Inhibitor with Improved Potency against Key Mutant Viruses. J. Med. Chem. 2008;51:6503–6511. doi: 10.1021/jm800856c. [DOI] [PubMed] [Google Scholar]
- 8.Herdemann M., Heit I., Bosch F.-U., Quintini G., Scheipers C., Weber A. Identification of potent ITK inhibitors through focused compound library design including structural information. Bioorg. Med. Chem. Lett. 2010;20:6998–7003. doi: 10.1016/j.bmcl.2010.09.119. [DOI] [PubMed] [Google Scholar]
- 9.Pryde D.C., Marron B.E., West C.W., Reister S., Amato G., Yoger K., Antonio B., Padilla K., Cox P.J., Turner J., et al. Discovery of a series of indazole TRPA1 antagonists. ACS Med. Chem. Lett. 2017;8:666–671. doi: 10.1021/acsmedchemlett.7b00140. [DOI] [PMC free article] [PubMed] [Google Scholar]
- 10.Wilcoxen K., Huang C.Q., McCarthy J.R., Grigoriadis D.E., Chen C. Synthesis of 3-phenylpyrazolo[4,3-b]pyridines via a convenient synthesis of 4-amino-3-arylpyrazoles and SAR of corticotropin-Releasing factor receptor type-1 antagonists. Bioorg. Med. Chem. Lett. 2003;13:3367–3370. doi: 10.1016/S0960-894X(03)00621-8. [DOI] [PubMed] [Google Scholar]
- 11.Ai J., Chen Y., Peng X., Ji Y., Xi Y., Shen Y., Yang X., Su Y., Sun Y., Gao Y., et al. Preclinical Evaluation of SCC244 (Glumetinib), a Novel, Potent, and Highly Selective Inhibitor of c-Met in MET-dependent Cancer Models. Mol. Cancer Ther. 2018;17:751–762. doi: 10.1158/1535-7163.MCT-17-0368. [DOI] [PubMed] [Google Scholar]
- 12.Czodrowski P., Mallinger A., Wienke D., Esda C., Pöschke O., Busch M., Rohdich F., Eccles S.A., Ortiz-Ruiz M.-J., Schneider R., et al. Structure-Based Optimization of Potent, Selective, and Orally Bioavailable CDK8 Inhibitors Discovered by High-Throughput Screening. J. Med. Chem. 2016;59:9337–9349. doi: 10.1021/acs.jmedchem.6b00597. [DOI] [PubMed] [Google Scholar]
- 13.Engers D.W., Blobaum A.L., Gogliotti R.D., Cheung Y.-Y., Salovich J.M., Garcia-Barrantes P.M., Daniels J.S., Morrison R., Jones C.K., Soars M.G., et al. Discovery, Synthesis, and Preclinical Characterization of N-(3-Chloro-4-fluorophenyl)-1H-pyrazolo[4,3-b]pyridin-3-amine (VU0418506), a Novel Positive Allosteric Modulator of the Metabotropic Glutamate Receptor 4 (mGlu4) ACS Chem. Neurosci. 2016;7:1192–1200. doi: 10.1021/acschemneuro.6b00035. [DOI] [PMC free article] [PubMed] [Google Scholar]
- 14.Yakovenko G.G., Lukianov O.A., Yagodkina-Yakovenko M.S., Bol’but A.V., Vovk M.V. Synthesis of 5-amino-1H-pyrazolo[4,3-b]pyridine derivatives and annulation of imidazole and pyrimidine rings thereto. Chem. Heterocycl. Compd. 2020;56:347–354. doi: 10.1007/s10593-020-02666-9. [DOI] [Google Scholar]
- 15.Yakovenko G.G., Lukianov O.A., Bol’but A.V., Vovk M.V. N-Boc-4-aminopyrazole-5-carbaldehydes in Friendländer synthesis of pyrazolo[4,3-b]pyridines. Chem. Heterocycl. Compd. 2019;55:379–385. doi: 10.1007/s10593-019-02468-8. [DOI] [Google Scholar]
- 16.Yakovenko G.G., Saliyeva L.N., Rusanov E.B., Donchak I.S., Vovk M.V. Synthesis of methyl(ethyl) pyrazolo[4,3-b]pyridine-6-carboxylates and their conversion to tert-butyl 4,5,6,7-tetrahydropyrazolo-[4,3-b]pyridine-6-carboxylates. Chem. Heterocycl. Compd. 2021;57:1137–1145. doi: 10.1007/s10593-021-03032-z. [DOI] [Google Scholar]
- 17.Barreiro E.J., Camara C.A., Verli H., Brazil-Más L., Castro N.G., Cintra W.M., Aracava Y., Rodrigues C.R., Fraga C.A.M. Design, Synthesis, and Pharmacological Profile of Novel Fused Pyrazolo[4,3-d]pyridine and Pyrazolo[3,4-b][1,8]naphthyridine Isosteres: A New Class of Potent and Selective Acetylcholinesterase Inhibitors. J. Med. Chem. 2003;46:1144–1152. doi: 10.1021/jm020391n. [DOI] [PubMed] [Google Scholar]
- 18.Fasfous I.I., El-Abadelah M.M., Sabri S.S. Pictet-Spengler synthesis of pyrazole-fused β-carbolines. J. Heterocycl. Chem. 2002;39:225–227. doi: 10.1002/jhet.5570390133. [DOI] [Google Scholar]
- 19.Abu-Safieh K.A., El-Abadelah M.M., Sabri S.S., Voelter W., Mössmer C.M., Stroebele M. Bishler-Napieralski synthesis of some new pyrazole-fused β-carbolines. Z. Naturforsch. B. 2002;57B:1327–1332. doi: 10.1515/znb-2002-1120. [DOI] [Google Scholar]
- 20.Schaefer H., Gewald K., Schmidt M. 5,6-Condensed 3-nitropyridines from heterocyclic amines and nitromalonaldehyde. Chem. Heterocycl. Compd. 1983;19:1163–1166. doi: 10.1007/BF00515347. [DOI] [Google Scholar]
- 21.Yakovenko G.G., Saliyeva L.N., Vovk M.V. 5-Aminopyrazoles as effective reagents in the synthesis of pyrazolo-annulated pyridines. Chem. Heterocycl. Compd. 2022;58:159–177. doi: 10.1007/s10593-022-03069-8. [DOI] [Google Scholar]
- 22.Lougiakis N., Marakos P., Poul N., Balzarini J. Synthesis and antiviral activity evaluation of some novel acyclic C-nucleosides. Chem. Pharm. Bull. 2008;56:775–780. doi: 10.1248/cpb.56.775. [DOI] [PubMed] [Google Scholar]
- 23.Bastrakov M.A., Nikol’skiy V.V., Starosotnikov A.M., Fedyanin I.V., Shevelev S.A., Knyazev D.A. Reactions of 3-R-5-nitropyridines with nucleophiles: Nucleophilic substitution vs conjugate addition. Tetrahedron. 2019;75:130659. doi: 10.1016/j.tet.2019.130659. [DOI] [Google Scholar]
- 24.Nishiwaki N., Nishida D., Ohnishi T., Hidaka F., Shimizu S., Tamura M., Hori K., Tohda Y., Ariga M. Transacylation of α-Aryl-β-keto Esters. J. Org. Chem. 2003;68:8650–8656. doi: 10.1021/jo0344642. [DOI] [PubMed] [Google Scholar]
- 25.Phillips R.R. Japp-Klingemann reaction. Org. React. 1959;10:143–178. doi: 10.1002/0471264180.or010.02. [DOI] [Google Scholar]
- 26.Filimonov V.D., Trusova M., Postnikov P., Krasnokutskaya E.A., Lee Y.M., Hawng H.Y., Kim H., Chi K.-W. Unusually stable, versatile, and pure arenediazonium tosylates: Their preparation, and synthetic applicability. Org. Lett. 2008;10:3961–3964. doi: 10.1021/ol8013528. [DOI] [PubMed] [Google Scholar]
- 27.Kutonova K.V., Trusova M.E., Stankevich A.V., Postnikov P.S., Filimonov V.D. Matsuda-Heck reaction with arenediazonium tosylates in water. Beilstein J. Org. Chem. 2015;11:358–362. doi: 10.3762/bjoc.11.41. [DOI] [PMC free article] [PubMed] [Google Scholar]
- 28.Dar’in D., Kantin G., Bakulina O., Žalubovskis R., Krasavin M. Flexible Entry into 3-Arylpent-2-enedioic Acids via Heck–Matsuda Arylation of Dimethyl Glutaconate with Arenediazonium Tosylates. Synthesis. 2019;51:2230–2236. doi: 10.1055/s-0037-1611211. [DOI] [Google Scholar]
- 29.Curtin D.Y., Poutsma M.L. Rearrangements of Benzeneazotribenzoylmethane and its Derivatives. Structural Reassignments. J. Amer. Chem. Soc. 1962;84:4887–4892. doi: 10.1021/ja00883a051. [DOI] [Google Scholar]
- 30.Halasz I., Cindro N., Dinnebier R.E., Vancik H. An Old Story in New Light: X-Ray Powder Diffraction Provides Novel Insights into a Long-Known Organic Solid-State Rearrangement Reaction. Croat. Chem. Acta. 2013;86:187–192. doi: 10.5562/cca2127. [DOI] [Google Scholar]
- 31.Starosotnikov A.M., Nikol’skiy V.V., Borodulya A.N., Kachala V.V., Bastrakov M.A., Solkan V.N., Shevelev S.A. Synthesis and functionalization of 5,7-dinitroquinoline and its N-oxide. Asian J. Org. Chem. 2016;5:685–690. doi: 10.1002/ajoc.201600065. [DOI] [Google Scholar]
- 32.Rigaku . CrysAlisPro. Rigaku; Tokyo, Japan: 2022. Version 1.171.42, Rigaku Oxford Diffraction. [Google Scholar]
- 33.Bruker . APEX-III. Bruker AXS Inc.; Madison, WI, USA: 2019. [Google Scholar]
- 34.Krause L., Herbst-Irmer R., Sheldrick G.M., Stalke D. Comparison of silver and molybdenum microfocus X-ray sources for single-crystal structure determination. J. Appl. Cryst. 2015;48:3–10. doi: 10.1107/S1600576714022985. [DOI] [PMC free article] [PubMed] [Google Scholar]
- 35.Sheldrick G.M. SHELXT—Integrated space-group and crystal-structure determination. Acta Cryst. 2015;A71:3–8. doi: 10.1107/S2053273314026370. [DOI] [PMC free article] [PubMed] [Google Scholar]
- 36.Sheldrick G.M. Crystal structure refinement with SHELXL. Acta Cryst. 2015;C71:3–8. doi: 10.1107/S2053229614024218. [DOI] [PMC free article] [PubMed] [Google Scholar]
- 37.Dolomanov O.V., Bourhis L.J., Gildea R.J., Howard J.A.K., Puschmann H. OLEX2: A complete structure solution, refinement and analysis program. J. Appl. Cryst. 2009;42:339–341. doi: 10.1107/S0021889808042726. [DOI] [Google Scholar]
- 38.Hübschle C.B., Sheldrick G.M., Dittrich B. ShelXle: A Qt graphical interface for SHELXL. J. Appl. Cryst. 2011;44:1281–1284. doi: 10.1107/S0021889811043202. [DOI] [PMC free article] [PubMed] [Google Scholar]
Associated Data
This section collects any data citations, data availability statements, or supplementary materials included in this article.
Supplementary Materials
Data Availability Statement
Not applicable.














