Abstract
Noise induced hearing loss affects around 5% of the population and acoustic trauma to military personnel accounts for 30% of all injuries inflicted during active service. Initial treatment for acoustic trauma involves administration of steroids, however there are no studies regarding oral steroid regimens for best outcomes. Comparing and elucidating the benefits of four oral steroid regimens on hearing gain in patients with acute acoustic trauma. A prospective study of 4 different steroid regimens was done in 200 soldiers from July 2014 – July 2020. In the first group, oral Prednisolone 60 mg was administered for 6 days, in the second group for 8 days, in the third group for 10 days and in the fourth group for 12 days. Medication was tapered over the next 5 days in all the groups. Data analysed included demographics, Pure Tone Audiograms at admission and at 4 weeks, time of reporting to hospital, onset of treatment and type of treatment given. Multivariate linear regression model was done to consider the risk factors responsible for average hearing gain at all pure tones. Box-and-whisker plot, Mann–Whitney-Wilcoxon test, Kruskal Wallis test, Reciever Operating Characteristic curve were used to analyse the independent samples. p value of < 0.05 was considered statistically significant. Age, time of onset of prednisolone therapy and acoustic trauma due to blast or gunshot injury did not show correlation (R2 = 0.01, 0.01 and 0.35 respectively and p = 0.09, 0.71, 0.80 respectively). Prednisolone therapy, average initial hearing at pure tones were considered as factors responsible for hearing gain as they showed correlation (R2 = 0.22, and 0.34 respectively and p < 0.001 and < 0.01 respectively). Significant hearing gain was found in all groups. The hearing gain was statistically better in group 3 and 4 as compared to group 1 and 2. There was no statistically significant difference in hearing gain between groups 3 and 4. So there was no additional advantage of giving 60 mg oral prednisolone for more than 10 days. The best oral prednisolone regimen recommended is 60 mg/day for 10 days which is tapered over the next 5 days.
Keywords: Acoustic trauma, Steroids, Prednisolone, Hearing loss
Introduction
Acoustic trauma is a condition in which sudden hearing loss occurs after single exposure to intense impulse noise or blast wave when noise levels increase the elastic limits of auditory system [1]. Around 5% of hearing loss in population around globe is noise induced [2]. The safe limit of hearing threshold is 140 decibel (dB). However the degree of impairment depends on the intensity, duration of noise and the genetic susceptibility of the individual. It is mostly associated with tinnitus or hyperacusis.
There are various hypothesis for pathology of acoustic trauma. There is huge variation in susceptibility to individuals to acoustic trauma. ‘Ahl’ gene is implicated in patients prone to acoustic trauma. Due to acoustic overstimulation, excessive glutamates are released which interfere in the transduction function of the cochlea. Also it leads to swelling of stria vascularis and depolymerization of actin filaments in stereocilia causing temporary threshold shift. If treatment is not initiated in time, then it leads to apoptosis, necrosis of hair cells, Organ of Corti due release of free radicals causing permanent sensorineural hearing loss. These reactive oxygen species spread from the basal to apical turn of cochlea and persists for 7–10 days [3]. The hearing loss is more at higher frequencies beyond 4 kilo Hertz (kHz). The inner hair cells are primarily responsible in transduction of sound received into nerve impulses and outer hair cells further enhance the sensitivity to sound. In acoustic trauma, outer hair cells are initially affected leading to hearing loss between 40 and 60 dB [4]. Further insult injures the inner hair cells leading to increase in severity of hearing loss, sometimes complete hearing loss occurs when complete Organ of Corti is disrupted. Acoustic trauma also leads to formation of vasoactive lipid products causing reduction of blood flow to cochlea. As human sensory cells does not have capability to regenerate hair cells, so protection of hearing apparatus, early diagnosis and treatment is key to success in acute acoustic trauma.
The standard treatment involves early evacuation from the hazard zone to the hospital setting which is free from noise hazard and have services of otologist. Steroid therapy is advocated in literature with favourable results which can be given orally, systemically or via intra-tympanic route. However there are no randomized studies on the effective dose and duration of the required steroid therapy in patients with acute acoustic trauma. So this study was undertaken to elucidate the best oral steroid regimen for patients with acute acoustic trauma [5].
Material and Methods
In this prospective study, 200 soldiers with hearing loss after gunshot or blast injuries reporting to otology centre of our hospital from July 2014—July 2020 were included in the study. For statistical reasons, the ear with poorer hearing thresholds were selected for assessing hearing gain. The soldiers with perforation of tympanic membrane, previous history of acoustic trauma, any other otological disease, co-morbid medical conditions such as Diabetes Mellitus, Multiple Sclerosis were excluded from the study.
All the patients were admitted in the hospital. A clinical examination of all patients was done. Pure Tone Audiometry (PTA) was performed measuring the hearing thresholds at the frequencies 250 Hz, 500 Hz, 1000 Hz, 2000 Hz, 4000 Hz and 8000 Hz on admission and repeated at 4 weeks. The air conduction Pure Tone threshold averages were calculated for low frequencies (250, 500, 1000 Hz), high frequencies (2000, 4000, 8000 Hz) and in all (250, 500, 1000, 2000, 4000 and 8000 Hz) frequencies.
The treatment was initiated once biochemical reports such such as complete blood counts, blood sugar levels, renal function tests, liver function tests were within normal limits. The patients were then randomly allocated in sequence into four groups, till the number reached 50 in each. Blinding was done to prevent selection bias. In the first group, oral Prednisolone 60 mg was administered for 6 days (n = 50), in the second group for 8 days (n = 50), in the third group for 10 days (n = 50) and in the fourth group for 12 days (n = 50). Steroid was tapered over the next 5 days in all the groups. None of the patients had any adverse effects and all tolerated the steroid regimen well.
Hearing gain was calculated by subtracting PTA at 4 weeks from PTA at admission. Data was stored in Microsoft Excel Software. Multivariate linear regression model was employed to consider the risk factors responsible for average hearing gain at all pure tones. The risk factors considered were age, acoustic trauma due to blast or gunshot injury, time of onset of therapy, prednisolone therapy, average initial hearing at all pure tones. Box-and-Whisker plot Mann–Whitney-Wilcoxon test, Kruskal Wallis test, Reciever Operating Characteristic (ROC) curve were used to analyse the independent samples. p value of < 0.05 was considered statistically significant. Statistical analysis was performed using IBM Corp. Released 2017. IBM Statistical Package fot the Social Sciences (SPSS) Statistics for Windows, Version 25.0. Armonk, NY: IBM Corp.
Results
All the patients included in our study were male soldiers. No statistical significant difference in the age of soldiers, treatment onset time, and initial pure tone average was observed among the 4 groups (p = 0.65, 0.77, 0.81 respectively), shown in Table 1.
Table 1.
Demographics and treatment characteristics of the study groups
| Group 1 | Group 2 | Group 3 | Group 4 | P Value* | |
|---|---|---|---|---|---|
| Age (Mean ± SD) years | 30.48 ± 6.63 | 31.22 ± 7.39 | 29.18 ± 6.00 | 30.26 ± 5.97 | 0.65 |
| Treatment onset time (Mean ± SD) days | 1.94 ± 1.38 | 1.78 ± 1.26 | 2.00 ± 1.48 | 1.70 ± 1.08 | 0.77 |
| Initial Pure Tone Average (Mean ± SD) dBHl | 36.00 ± 4.82 | 35.00 ± 4.73 | 35.50 ± 3.83 | 35.31 ± 4.19 | 0.81 |
*Kruskal –Wallis test for evaluation of P Value. n = 50 in each group
The cause of acoustic trauma was gunshot firing in 93 cases and blast or explosion in 107 cases. Onset of treatment was early in soldiers with acoustic trauma due to blast or explosion than gunshot firing. The mean interval (± standard deviation) from time of acoustic trauma to time of initiation of treatment was 1.20(± 0.72) days in patients with blast or explosion and 2.57(± 1.43) days in acoustic trauma due to gunshot trauma (p < 0.001).
The risk factors considered were age, acoustic trauma due to blast or gunshot injury, time of onset of therapy, Prednisolone therapy, average initial hearing at all pure tones. Age, time of onset of Prednisolone therapy and acoustic trauma due to blast or gunshot injury did not show correlation (R2 = 0.01, 0.01 and 0.35 respectively and p = 0.09, 0.71, 0.80 respectively). Prednisolone therapy, average initial hearing at pure tones were considered as factors responsible for hearing gain as they showed correlation (R2 = 0.22, and 0.34 respectively and P < 0.001 and < 0.01 respectively).
All frequencies were involved in acute acoustic trauma, though higher frequencies (4,8 kHz) were involved predominantly. The hearing gain was statistically significant at all tones and in all 4 groups (p < 0.001), shown in Table 2. Average hearing gain was also studied in 3 different pure tone groups. The average hearing gain at all pure tones were 7.47 decibels Hearing Levels (dBHL), 6.96 dBHL, 12.20 dBHL, 12.52 dBHL in group 1, 2, 3, 4 respectively. The average hearing gain at 4 K, 8 K was 12.15 dBHL, 11.18 dBHL, 19.80 dBHL and 21.15 dBHL in group 1, 2, 3, 4 respectively. This suggested that hearing gain was more at higher frequencies and shown in Fig. 1 and Table 3.
Table 2.
Comparison of hearing outcome between the groups for different frequencies
| Air conduction pure tone threshold (KHz) | Group 1 | Group 2 | ||||
|---|---|---|---|---|---|---|
| Pre-treatment | Post-treatment | P-value | Pre-treatment | Post-treatment | P-value* | |
| 0.25 | 22.10 ± 9.69 | 18.41 ± 8.23 | < 0.001 | 21.90 ± 9.30 | 17.90 ± 7.50 | < 0.001 |
| 0.5 | 24.70 ± 7.79 | 18.33 ± 6.97 | < 0.001 | 23.20 ± 6.98 | 18.40 ± 5.75 | < 0.001 |
| 1 | 27.32 ± 6.00 | 22.10 ± 5.35 | < 0.001 | 26.20 ± 6.43 | 22.10 ± 5.54 | < 0.001 |
| 2 | 33.90 ± 5.47 | 28.7 ± 5.60 | < 0.001 | 32.10 ± 6.23 | 26.70 ± 5.77 | < 0.001 |
| 4 | 48.40 ± 6.58 | 38.40 ± 7.32 | < 0.001 | 46.40 ± 7.21 | 36.10 ± 7.58 | < 0.001 |
| 8 | 59.40 ± 8.24 | 45.70 ± 8.45 | < 0.001 | 60.10 ± 8.60 | 46.30 ± 9.24 | < 0.001 |
| PTA | 35.96 ± 4.83 | 28.60 ± 4.55 | < 0.001 | 34.98 ± 4.73 | 27.91 ± 4.31 | < 0.001 |
| Group 3 | Group 4 | |||||
| Pre-treatment | Post-treatment | P-value | Pre-treatment | Post-treatment | P-value* | |
| 0.25 | 22.60 ± 9.43 | 13.00 ± 6.30 | < 0.001 | 22.50 ± 9.21 | 13.90 ± 5.65 | < 0.001 |
| 0.5 | 23.60 ± 6.39 | 16.40 ± 5.53 | < 0.001 | 23.10 ± 7.20 | 16.00 ± 5.62 | < 0.001 |
| 1 | 27.90 ± 5.54 | 20.30 ± 5.00 | < 0.001 | 26.40 ± 5.71 | 19.30 ± 5.53 | < 0.001 |
| 2 | 33.90 ± 5.27 | 24.50 ± 5.18 | < 0.001 | 32.20 ± 4.81 | 22.90 ± 6.63 | < 0.001 |
| 4 | 45.10 ± 5.57 | 29.70 ± 9.81 | < 0.001 | 46.60 ± 6.26 | 30.10 ± 8.71 | < 0.001 |
| 8 | 59.80 ± 7.28 | 35.60 ± 13.50 | < 0.001 | 61.10 ± 6.58 | 34.60 ± 12.64 | < 0.001 |
| PTA | 35.48 ± 3.83 | 23.25 ± 5.54 | < 0.001 | 35.31 ± 4.19 | 22.96 ± 5.30 | < 0.001 |
*Wilcoxon signed rank test for P value. Hearing intensity thresholds in dBHL
Fig. 1.
Average hearing gain with different steroid regimens at (a) 0.25, 0.5, 1, 2 kHz (dBHL) (b) 4, 8 kHz (dBHL) (c) 0.25, 0.5, 1, 2,4, 8 kHz (dBHL)
Table 3.
Hearing gain at different frequencies with different oral prednisolone (60 mg) regimen
| Therapy duration | Avg hearing gain in 0.25,0.5,1,2KHz (dbhl) | Avg hearing gain in 4,8 kHz(dbhl) | Avg hearing gain in all PTs (dbhl) | ||||||
|---|---|---|---|---|---|---|---|---|---|
| Mean | SD | 95% CI | Mean | SD | 95% CI | Mean | SD | 95% CI | |
| 6 Days | 5.12 | ± 3.21 | 4.21–6.03 | 12.15 | ± 6.59 | 10.27–14.02 | 7.47 | ± 3.80 | 6.39–8.55 |
| 8 Days | 4.52 | ± 2.62 | 3.78–5.27 | 11.81 | ± 6.97 | 9.83–13.80 | 6.96 | ± 3.19 | 6.04–7.86 |
| 10 Days | 8.40 | ± 4.37 | 7.16–9.65 | 19.80 | ± 9.81 | 17.00–22.59 | 12.20 | ± 5.44 | 10.65–13.75 |
| 12 Days | 8.20 | ± 3.16 | 7.30–9.09 | 21.15 | ± 8.79 | 18.65–23.65 | 12.52 | ± 4.24 | 11.31–13.72 |
Kruskal–Wallis test was used to compare the four independent groups. Pair wise comparison of duration of predniolone therapy for hearing gain at different pure tones was done. The hearing gain was statistically better in group 3 and 4 as compared to group 1 and 2. Also there was no statistically significant difference in hearing gain between groups 3 and 4, shown in Table 4.
Table 4.
Pair wise comparison of different prednisolone regimens for hearing gain at different pure tones
| Samples compared | Hearing Gain in PTA (0.25,0.5,1.2.4,8) KHz, P-value* | Hearing Gain in PTA (4,8) KHz P-value* | Hearing Gain in all PTs,KHz P-value* |
|---|---|---|---|
| 8 Days and 6 Days of 60 mg Prednisolone | 0.530 | 0.875 | 0.665 |
| 8 Days and 10 Days of 60 mg Prednisolone | < 0.001 | < 0.001 | < 0.001 |
| 8 Days and 12 Days of 60 mg Prednisolone | < 0.001 | < 0.001 | < 0.001 |
| 6 Days and 10 Days of 60 mg Prednisolone | < 0.001 | < 0.001 | < 0.001 |
| 6 Days and 12 Days of 60 mg Prednisolone | < 0.001 | < 0.001 | < 0.001 |
| 10 Days and 12 Days of 60 mg Prednisolone | 0.713 | 0.477 | 0.679 |
Independent samples compared by Kruskal–Wallis Test. Each row tests the null hypothesis that the Sample 1 and 2 distributions are the same. P value significant at < 0 .05*
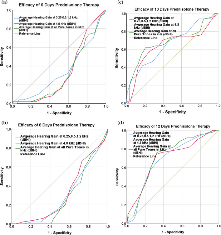
ROC analysis was done to study the efficacy of steroid regimen. The area under the curves was more than 0.5 in Groups 3,4 and less than 0.5 in Groups 1,2 (shown in Table 5 and Fig. 2) which further demonstrating that 10 or 12 day oral Prednisolone regimen gave statistically better results.
Table 5.
ROC curve analysis comparing the therapeutic efficacy of Prednisolone in all four groups
| Hearing gain at different PTs | Group 1 | Group 2 | Group 3 | Group 4 |
|---|---|---|---|---|
| AUC | AUC | AUC | AUC | |
| Avg Hearing Gain at 0.25,0.5,1,2KHz (dbhl) | 0.349 | 0.301 | 0.661 | 0.689 |
| Avg Hearing Gain at 4,8 kHz (dbhl) | 0.334 | 0.322 | 0.645 | 0.700 |
| Avg Average Hearing Gain at PTs (dbhl) | 0.317 | 0.282 | 0.684 | 0.716 |
AUC Area under the curve
Fig. 2.
ROC curve showing average hearing gain at 3 pure tone groups in 4 different regimens (a) 6 days steroid regimen (b) 8 days steroid regimen (c) 10 days steroid regimen (d) 12 days regimen
Discussion
Acoustic trauma patients often present with symptoms of acoustic shock such as hearing loss, otalgia, tinnitus, hyperacusis and neck pain [6]. These are debilitating symptoms especially for soldiers who are no longer deployed for combat services as it decreases soldiers situational awareness of combat related sounds and renders him vulnerable to enemy threats. The soldiers are instructed to wear hearing protective devices while being deployed in combat environment. However the soldiers are reluctant to wear ear muffs and plugs as it decreases combat effectiveness and are uncomfortable to wear. This often results in acoustic trauma especially in susceptible individuals with CDH23-encoding cadherin 23, myosin 14, protocadherin 15, catalase, heat shock proteins, KCNQ4 and KCNE1 genes [7, 8].
Box-and-whisker plot was tabulated which suggested that soldiers with acoustic trauma due to blast injury reported early than with gunshot firing. This may be attributed to additional injuries inflicted to other organs and body parts as a result of multiple splinter injuries and more patients being referred to hospital for treatment. Also all our patients reported early (1–8 days) which showed that results are better if treatment is initiated early. This is supported in other studies done by Psillas et al.[1], Tschopp and Probst[9]. These studies also conclude that patients receiving treatment within 2 days have significant better hearing gains.
The standard treatment guidelines of acoustic trauma recommended in various studies is steroid which can be administered orally, intravenous or intra-tympanic routes [10, 11]. However there are no prospective studies recommending the best steroid regimen for acoustic trauma. Helfer et al. in their study have suggested that prognosis depends on hearing threshold levels on awareness of combat at the time of injury, type of therapeutics and delay between in the start of treatment [12]. Delay in start of treatment after acoustic trauma and poor hearing thrershold levels at presentation are often associated with a poor outcome [13]. The results are better when the treatment was started within the first hour after acoustic trauma and the improvement in average hearing threshold is statistically better [1]. Yehudai et al. in their study administered Prednisolone orally for 7–10 days at 1 mg/kg/day [14] and significant improvement in bone conduction thresholds were reported by them. Bonfort et al. [15] and Psillas G [1] et al. administered intravenous methyl Prednisolone and intravenous Predinisolone with significant improvement in hearing especially if steroid was given early. Lavigne P et al. suggested use of local use of intra-tympanic steroid as adjunct to oral route for optimal results [9]. N Choi etal in their retrospective analysis compared two different high dose oral Prednisolone (60 mg/day) regimens of 5 days and 10 days which were tapered over the next 4 days. They found statistically better results with 10 days steroid regimen and recommended 60 mg/day oral Prednisolone for 10 days which is tapered over the next 4 days. This was the only study with sample size of 29 patients which compared the differing benefits of two oral steroid regimens in patients with acoustic trauma [16].
In the present study, we compared 4 different oral Prednisolone (60 mg/day) regimens to assess the optimal duration of treatment required for achieving best hearing recovery. The drawback of our study was that no controls were taken. This was done deliberately as efficacy of steroids is already proved and all patients should be given the chance to avail benefits of steroid therapy for hearing gain. The results of our study demonstrated that hearing gain was there in all 4 groups. The average hearing gain at all pure tones were 7.47 dB, 6.96 dB, 12.20 dB, 12.52 dBHL in group 1, 2, 3, 4 respectively. The average hearing gain at 4 K, 8 K was 12.15 dB, 11.18 dB, 19.80 dB and 21.15 dBHL in group 1, 2, 3, 4 respectively. This suggested that hearing gain was more at higher frequencies. ROC analysis and Krussal Wallis test suggested that hearing gain was statistically better in group 3 and 4 as compared to group 1 and 2. Also there was no statistically significant difference in hearing gain between groups 3 and 4. So, there was no additional benefit of giving high dose oral steroids for more than 10 days. Based on the above observations, oral Prednisolone 60 mg/day for 10 days tapered over the next 5 days is recommended for acute acoustic trauma.
Conclusion
This study compared 4 different oral steroid regimen for hearing gain in acoustic trauma. The best oral prednisolone regimen recommended for acute acoustic is 60 mg/day for 10 days which is tapered over the next 5 days.
Funding
None.
Compliance with Ethical Standards
Conflict of Interest
No conflict of interest was there.
Ethical Approval
Study involving human participants was in accordance with the ethical standards of the institution and with the 1964 Helsinki declaration and its amendments.
Footnotes
Publisher's Note
Springer Nature remains neutral with regard to jurisdictional claims in published maps and institutional affiliations.
Contributor Information
Kamalpreet Singh, Email: kpsingh_81@yahoo.com.
Aswini Gude, Email: aish.ashwini@gmail.com.
Amrindarjeet Kour, Email: amrindarjeetkour@gmail.com.
Mohan Raghav Guthikonda, Email: gm2463@gmail.com.
Awadhesh Kumar Mishra, Email: buddhiprakash@rediffmail.com.
Arun Gupta, Email: drgupta.arun@yahoo.com.
References
- 1.Psillas G, Pavlidis P, Karvelis I, Kekes G, Vital V, Constantinidis J. Potential efficacy of early treatment of acute acoustic trauma with steroids and piracetam after gunshot noise. Eur Arch Otorhinolaryngol. 2008;265:1465–1469. doi: 10.1007/s00405-008-0689-6. [DOI] [PubMed] [Google Scholar]
- 2.Daniel E. Noise and hearing loss: a review. J Sch Health. 2007;77:225–231. doi: 10.1111/j.1746-1561.2007.00197.x. [DOI] [PubMed] [Google Scholar]
- 3.Yamashita D, Jiang HY, Schacht J, et al. Delayed production of free radicals following noise exposure. Brain Res. 2004;1019:201–209. doi: 10.1016/j.brainres.2004.05.104. [DOI] [PubMed] [Google Scholar]
- 4.Ohinata Y, Miller JM, Altschuler RA, et al. Intense noise induces formation of vasoactive lipid peroxidation products in the cochlea. Brain Res. 2000;878:163–173. doi: 10.1016/S0006-8993(00)02733-5. [DOI] [PubMed] [Google Scholar]
- 5.Oishi N, Schacht J. Emerging treatments for noise-induced hearing loss. Expert Opin Emerg Drugs. 2011;16(2):235–245. doi: 10.1517/14728214.2011.552427. [DOI] [PMC free article] [PubMed] [Google Scholar]
- 6.Norena AJ, Fournier P, Londero A, Ponsot D, Charpentier N. An integrative model accounting for the symptom cluster triggered after an acoustic shock. Trends Hear. 2018;22:2331216518801725. doi: 10.1177/2331216518801725. [DOI] [PMC free article] [PubMed] [Google Scholar]
- 7.Kowalski TJ, Pawelczyk M, Rajkowska E, Dudarewicz A, Sliwinska-Kowalska M. Genetic variants of CDH23 associated with noise-induced hearing loss. Otol Neurotol. 2014;35(2):358–365. doi: 10.1097/MAO.0b013e3182a00332. [DOI] [PubMed] [Google Scholar]
- 8.Sliwinska-Kowalska M, Pawelczyk M. Contribution of genetic factors to noise-induced hearing loss: a human studies review. Mutat Res. 2013;752(1):61–65. doi: 10.1016/j.mrrev.2012.11.001. [DOI] [PubMed] [Google Scholar]
- 9.Probst R, Tschopp K, Lodin E, Kellerhals B. Michael Podvinec & Carl Rudolf Pfaltz a randomized, double-blind, placebo-controlled study of dextran/pentoxifylline medication in acute acoustic trauma and sudden hearing loss. Acta Oto-Laryngologica. 1992;112(3):435–443. doi: 10.3109/00016489209137424. [DOI] [PubMed] [Google Scholar]
- 10.Lavigne P, Lavigne F, Saliba I. Intratympanic corticosteroids injections: a systematic review of literature. Eur Arch Otorhinolaryngol. 2016;273(9):2271–2278. doi: 10.1007/s00405-015-3689-3. [DOI] [PubMed] [Google Scholar]
- 11.Le TN, Straatman LV, Lea J, Westerberg B. Current insights in noise-induced hearing loss: a literature review of the underlying mechanism, pathophysiology, asymmetry, and management options. J Otolaryngol Head Neck Surg. 2017;46(1):41. doi: 10.1186/s40463-017-0219-x. [DOI] [PMC free article] [PubMed] [Google Scholar]
- 12.Helfer TM, Canham-Chervak M, Canada S, Mitchener TA (2010) Epidemiology of hearing impairment and noise-induced hearing injury among U.S. military personnel, 2003–2005. Am J Prev Med 38(1S):S71–S77 [DOI] [PubMed]
- 13.Tan CT, Hsu CJ, Lee SY, Liu SH, Lin-Shiau SY. Potentiation of noiseinduced hearing loss by amikacin in guinea pigs. Hear Res. 2001;161:72–80. doi: 10.1016/S0378-5955(01)00359-8. [DOI] [PubMed] [Google Scholar]
- 14.Yehudai N, Fink N, Shpriz M, Marom T. Acute Acoustic Trauma among Soldiers during an Intense Combat. J Am Acad Audiol. 2017;28(5):436–443. doi: 10.3766/jaaa.16043. [DOI] [PubMed] [Google Scholar]
- 15.Bonfort G, Billot D, Trendel D, Salf E, Lindas P, Barberot JP. Traumatismes sonores aigus: analyse rétrospective de 225 cas militaires [Acute acoustic trauma, a retrospective analysis about 225 military cases] Rev Laryngol Otol Rhinol (Bord) 2014;135(1):25–31. [PubMed] [Google Scholar]
- 16.Choi N, Kim JS, Chang YS. Comparison of oral steroid regimens for acute acoustic trauma caused by gunshot noise exposure. J Laryngol Otol. 2019;133(7):566–570. doi: 10.1017/S002221511900121X. [DOI] [PubMed] [Google Scholar]


