Abstract
Background
Intraductal papillary mucinous neoplasms (IPMNs), a type of cystic pancreatic cancer (PC) precursors, are increasingly identified on cross-sectional imaging and present a significant diagnostic challenge. While surgical resection of IPMN-related advanced neoplasia, i.e., IPMN-related high-grade dysplasia or PC, is an essential early PC detection strategy, resection is not recommended for IPMN-low-grade dysplasia (LGD) due to minimal risk of carcinogenesis, and significant procedural risks. Based on their promising results in prior validation studies targeting early detection of classical PC, DNA hypermethylation-based markers may serve as a biomarker for malignant risk stratification of IPMNs. This study investigates our DNA methylation-based PC biomarker panel (ADAMTS1, BNC1, and CACNA1G genes) in differentiating IPMN-advanced neoplasia from IPMN-LGDs.
Methods
Our previously described genome-wide pharmaco-epigenetic method identified multiple genes as potential targets for PC detection. The combination was further optimized and validated for early detection of classical PC in previous case–control studies. These promising genes were evaluated among micro-dissected IPMN tissue (IPMN-LGD: 35, IPMN-advanced neoplasia: 35) through Methylation-Specific PCR. The discriminant capacity of individual and combination of genes were delineated through Receiver Operating Characteristics curve analysis.
Results
As compared to IPMN-LGDs, IPMN-advanced neoplasia had higher hypermethylation frequency of candidate genes: ADAMTS1 (60% vs. 14%), BNC1 (66% vs. 3%), and CACGNA1G (25% vs. 0%). We observed Area Under Curve (AUC) values of 0.73 for ADAMTS1, 0.81 for BNC1, and 0.63 for CACNA1G genes. The combination of the BNC1/ CACNA1G genes resulted in an AUC of 0.84, sensitivity of 71%, and specificity of 97%. Combining the methylation status of the BNC1/CACNA1G genes, blood-based CA19-9, and IPMN lesion size enhanced the AUC to 0.92.
Conclusion
DNA-methylation based biomarkers have shown a high diagnostic specificity and moderate sensitivity for differentiating IPMN-advanced neoplasia from LGDs. Addition of specific methylation targets can improve the accuracy of the methylation biomarker panel and enable the development of noninvasive IPMN stratification biomarkers.
Supplementary Information
The online version contains supplementary material available at 10.1186/s13148-023-01429-5.
Keywords: Pancreatic cyst, Pancreatic cancer, Methylation-specific biomarker
Background
Intraductal papillary mucinous neoplasms (IPMNs), a type of cystic pancreatic cancer (PC) precursors, are increasingly identified on cross-sectional imaging and present a significant diagnostic challenge [1]. IPMNs necessitate accurate differentiation from non-precancerous lesions (such as pseudocysts, and serous cystadenoma) as well as malignant risk stratification. Histologically, resection of IPMN-associated advanced neoplasia including high-grade dysplasia (HGD) or pancreatic cancer (PC) and attainment of negative margins, has been demonstrated to improve patient prognosis and, therefore, is a critical early PC detection strategy—[2]. The resection of IPMN-low-grade dysplasia (LGD) is not recommended due to significant procedural risks and minimal risk of developing invasive PC. Stratification inaccuracies may culminate in false-negative results risking interval IPMN progression, while false positives may lead to unnecessary surgical resections. IPMN stratification into LGD and advanced neoplasia is a critical domain which warrants dedicated research and has been the focus of this study.
Previously, clinical-morphologic features, such as cyst size, CA19-9 levels, etc., have been utilized to attempt classification of IPMNs into those with worrisome features or high-risk stigmata and the remaining low-risk IPMNs [3–5]. Currently accepted Fukuoka consensus guidelines have low sensitivity and specificity (sensitivity 56–81%; specificity: 69–73%), and evidence accrued over the years has demonstrated that IPMN stratification-based solely on cyst morphology is less than ideal [6]. Augmentation of the accuracy of morphologic stratification with additional biomarkers has been advocated for early detection of prognostically significant IPMN-related advanced neoplasia from LGD.
Hypermethylation of promoter CpG islands occurs early in pancreatic carcinogenesis and may cause silencing of tumor suppressor genes [7]. Our previous work demonstrated promising results in the detection of classical PC by utilizing hypermethylation of candidate genes identified using a genome-wide pharmaco-epigenetic approach with high diagnostic sensitivity (81–97.4%) and specificity (85–91.6%) [8, 9]. Our ongoing work has investigated the utility of DNA methylation-based biomarker strategy for stratification of precancerous lesions. The current study investigates the diagnostic utility of aberrant DNA methylation of A Disintegrin-like Metalloproteinase with Thrombospondin type 1 motif 1 (ADAMTS1), Basonuclein 1 (BNC1), and T-type calcium channel (CACNA1G) genes in differentiating histologically defined IPMN-related advanced neoplasia from IPMN-LGDs.
Results
Patient demographics
The study analyzed a random selection of 70 tissue samples from IPMN patients who underwent surgical resection, matched 1:1 IPMN-LGD versus IPMN-advanced neoplasia. Patients met the criteria for surgical resection based on currently available clinical guidelines [3–5]. The overall study population had a median age of 71.5 years, predominately male 51.3%, and White 92.9% (Table 1). The median size of the lesion resection was 3 cm, and 18.6% of lesions had elevated blood carbohydrate antigen 19-9 (CA19-9, ≥ 37 U/mL). A history of current and past smoking was present in 15.7% and 27.1% of patients, respectively. Most patients (77.6%) underwent a pancreaticoduodenectomy. The IPMN-advanced neoplasia and LGD groups were comparable in terms of sex distribution (female: 51.4 vs. 45.7%), smoking history (20% vs. 11.4%), and age distribution (72.5 years vs. 70.0 years) (Table 1). However, IPMN-related advanced neoplasia had a larger size (3.3 cm vs. 2.5 cm; P < 0.05) and CA19-9 positivity (31.4% vs. 5.7%; P < 0.01) when compared to IPMN-LGD.
Table 1.
Baseline study population demographics
| Demographics | Total | IPMN advanced neoplasia | IPMN-LGD | p-value |
|---|---|---|---|---|
| n = 70 | n = 35 | n = 35 | ||
| Sex distribution: n (%) | ||||
| Female | 34 (48.7%) | 18 (51.4%) | 16 (45.7%) | 0.6 |
| Racial distribution: n (%) | ||||
| White | 65 (92.9%) | 31 (88.6%) | 34 (97.1%) | |
| Black | 1 (1.4%) | 0 | 1 (2.9%) | – |
| Others | 1 (1.4%) | 1 (2.9%) | 0 | |
| Unknown | 3 (4.3%) | 3 (8.6) | 0 | |
| Smoking history: n (%) | ||||
| Current | 11 (15.7%) | 7 (20%) | 4 (11.4%) | 0.5 |
| Past | 19 (27.1%) | 10 (28.8%) | 9 (25.7%) | |
| Never | 40 (57.2%) | 18 (51.4%) | 22 (62.9%) | |
| Age at diagnosis | ||||
| Median (IQR) | 71.5 (65.2–75) | 72.5 (67.0–76.5) | 70.0 (62.0–74.0) | 0.8 |
| Surgical resection: n (%) | ||||
| Distal pancreatectomy | 11 (15.4%) | 5 (14.3%) | 6 (17.1%) | |
| Pancreaticoduodenectomy | 54 (77.6%) | 26 (74.3%) | 28 (80.0%) | |
| Total pancreatectomy | 2 (2.8%) | 2 (5.7%) | 0 | – |
| Enucleation | 1 (1.4%) | 0 | 1 (2.9%) | |
| Unknown | 2 (2.8%) | 2 (5.7%) | 0 | |
| CA19-9 positive (≥ 37 U/mL): n (%) | 13 (18.6%) | 11 (31.4%) | 2 (5.7%) | < 0.01 |
| IPMN lesion size (median, IQR)# | 3.0 (1.8–3.7) | 3.3 (2.5–4.3) | 2.5 (1.5–3.0) | < 0.01 |
IQR Interquartile Range, CA19-9 Carbohydrate antigen 19-9
#Lesion size data unavailable for 6 patients, –: insufficient values
Hypermethylation of ADAMTS1, BNC1, and CACNA1G genes among IPMNs
In the methods section, we describe conventional and quantitative methylation-specific polymerase chain reaction (MS-PCR), which enabled the calculation of CpG island methylation in the promoter region of ADAMTS1, BNC1, and CACNA1G genes. Each gene was analyzed for methylation frequency in IPMN-advanced neoplasia and IPMN-LGD tissue samples (Fig. 1A). IPMN-related advanced neoplasia had significantly higher methylation of ADAMTS1 gene as compared to IPMN-LGD (60% vs. 14%, P < 0.001). BNC1 gene had significantly higher methylation frequency among IPMN-related advanced neoplasia compared to IPMN-LGD (66% vs. 3%, P < 0.001). CACNA1G genes were methylated in 0% of IPMN-LGDs and 25% of IPMN-related advanced neoplasia. Overall, DNA methylation frequency among IPMN-advanced neoplasia was significantly higher than among IPMN-LGDs (80% vs. 27%, P < 0.001) (Fig. 1B).
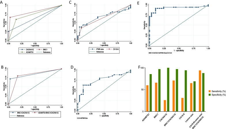
Fig. 1.

Methylation frequency of hyper methylated genes in IPMN and/or advanced neoplasia: A heat map of individual genes among IPMN-LGD versus IPMN-advanced neoplasia (red—methylated, green—unmethylated) in respective patient. B Methylation frequency among various genes in IPMN tissue samples
Diagnostic accuracy of DNA methylation-based biomarker among IPMN tissue
We observed that the promoter hypermethylation of CACNA1G, ADAMTS1, and BNC1 genes had overall diagnostic accuracy, i.e., AUCs of 0.63 (0.50–0.74), 0.73 (0.61–0.83), and 0.81 (0.070–0.90), respectively, in distinguishing IPMN-related advanced neoplasia from IPMN-LGD (Fig. 2A; Table 2). As previously demonstrated, the aggregation of multiple genes into biomarker panels improves predictive power [8, 9]. A combination of BNC1/CACNA1G genes achieved an AUC of 0.84 (0.74–0.92. P < 0.001) (Fig. 2B, Table 2). IPMN lesion size as a continuous parameter, had an AUC of 0.66 (0.53–0.77) (Fig. 2C, Table 2). The conventional blood-based biomarker CA19-9 (≥ 37 U/mL) which is also a worrisome feature per Fukuoka guidelines had an AUC of 0.61 (0.50–0.72) (Fig. 2C, Table 2). By using CA19-9 and IPMN size, an AUC of 0.75 was achieved (Fig. 2D, Table 2). A combination of cyst features lesion size, CA19-9, and methylation status of BNC1/CACNA1G genes demonstrated an AUC of 0.92 (0.86–0.98) (Fig. 2E, Table 2).
Fig. 2.
Receiver operator curve (ROC) analysis investigating the predictive capacity of: A Promoter hypermethylation of ADAMTS1, BNC1, and CACNA1G genes. B Combination of ADAMTS1/BNC1/CACNA1G and BNC1/CACNA1G genes. (C) IPMN lesion size and CA19-9 levels. D Combination of IPMN lesion size (continuous variable) and CA19-9. E Combination of promoter hypermethylation of BNC1/CACNA1G genes, IPMN size, and CA19-9 in the prediction of advanced neoplasia. F Diagnostic sensitivity and specificity of methylation status of individual genes, CA19-9, cyst features, and their combination
Table 2.
Diagnostic accuracy of various methylation biomarker panel
| Biomarker | Area under the curve | P-value | Sensitivity (%) | Specificity (%) |
|---|---|---|---|---|
| ADAMTS1 | 0.73 (0.61–0.83) | 0.001 | 60 | 86 |
| BNC1 | 0.81 (0.70–0.90) | < 0.001 | 66 | 97 |
| CACNA1G | 0.63 (0.50–0.74) | 0.06 | 26 | 100 |
| ADAMTS1/BNC1 | 0.80 (0.69–0.89) | < 0.001 | 77 | 83 |
| ADAMTS1/BNC1/CACNA1G | 0.81 (0.70–0.90) | < 0.001 | 83 | 80 |
| BNC1/CACNA1G | 0.84 (0.74–0.92) | < 0.001 | 71 | 97 |
| IPMN Lesion Size# | 0.66 (0.53–0.77) | 0.01 | 65 | 69 |
| IPMN Lesion Size# and CA19-9 | 0.75(0.65–0.86) | 0.03 | 66 | 82 |
| CA19-9 | 0.61 (0.50–0.72) | 0.06 | 34 | 88 |
| IPMN Lesion Size#, CA19-9, & CACNA1G/BNC1 | 0.92 (0.86–0.98) | < 0.001 | 94 | 88 |
CA19-9 Carbohydrate antigen 19-9
#Continuous variable
The diagnostic sensitivity and specificity of ADAMTS1 gene were 60% and 86%, BNC1 gene were 66% and 97% and CACNA1G gene were 26% and 100%, respectively (Table 2, Fig. 2F). The combination of BNC1/CACNA1G genes achieved diagnostic sensitivity and specificity of 71% and 97%, respectively. Lesion size had a diagnostic sensitivity of 65% and specificity of 69% whereas CA19-9 had a sensitivity of 34% and specificity of 88%. The combination of lesion size, CA19-9, and methylation status of BNC1/CACNA1G genes, had a sensitivity of 94% and specificity of 88%.
Discussion
Methylation-based biomarker strategies have emerged as important for early detection, including tests for stool DNA (SEPT9, Cologuard), liquid biopsies (EpiProColon), and urine-based strategies for renal tumors [10–12]. Our prior work demonstrated high accuracy in the detection of early-stage PCs (Stage 1 and II) in tissues as well as non-invasive liquid biopsies (sensitivity: 94.8% and specificity: 91.6%) [8, 9]. Hypermethylation of promoter CpG islands occurs early in pancreatic carcinogenesis and may cause silencing of tumor suppressor genes [7, 8, 13]. Promoter hypermethylation of ADAMTS1 gene has a role in angiogenesis and cancer metastasis [14]. BNC1 and CACNA1G genes regulate epithelial plasticity and cellular proliferation, respectively [15, 16].
At a tissue level, i.e., resected specimens, cyst fluid, and pancreatic juice, methylation-based markers have previously been investigated for IPMN stratification [17–24]. Some of the studies utilized methylation status of tumor suppressor genes (WWOX, SMAD4, and CDO1 genes) [17, 23] or markers related to mucinous lineage (such as GNAS, MUC family) [19, 24]. Similar to our study, the investigators used a multigene approach to enhance diagnostic accuracy [20, 22]. However, advanced neoplasia was often compared to heterogeneous controls, including cysts with low/no malignant potential (pseudocysts, serous cystadenomas) or normal pancreatic tissue admixed with IPMN-LGD. The inclusion of normal tissue and non-precancerous lesions in control might have decreased the threshold of diagnostic performance and spurious elevation of AUCs [20, 22]. Utilization of only IPMN-LGD as controls caters to a more specific question of malignant stratification of IPMNs. In clinical practice, delineation of IPMNs from lesions such as serous cystadenoma and pancreatic pseudocysts can be achieved through cyst morphology and aspirate cytology [25, 26].
Cyst morphology-based stratification described in various consensus guidelines (such as Fukuoka, American Gastroenterology Association, and European guidelines) defined high-risk morphologic features such as high-risk stigmata, and worrisome features have less than perfect accuracy [5, 27]. Therefore, clinical decisions based solely on these guidelines risk unnecessary surgical resections as well as inadvertent interval malignant progression. Even in the current study, 35 IPMN-LGDs underwent surgical resection based on high-risk morphological features but were later observed to have benign histology. Combination of BNC1/CACNA1G genes had favorable diagnostic accuracy (AUC of 0.84, sensitivity of 71%, and specificity of 97%), which further improved when combined with IPMN lesion size (continuous variable) and CA19-9 (AUC: 0.92: sensitivity of 94%, and specificity of 88%). Thus, we endorse utilization of DNA methylation-based biomarkers in supplementing IPMN management decisions.
Our study investigates a scientifically important question of the malignant progression of IPMN, which is also clinically relevant. Each IPMN tissue in this study underwent laser microdissection at a high-volume multidisciplinary pancreatic cancer center and was thoroughly reviewed to ascertain mucinous lineage. Using methylation-specific PCR also ensures good analytical sensitivity and much higher specificity. However, the current study relied on histologically characterized tissue samples, making the test invasive. Furthermore, the study population was predominantly Caucasian and warrants further study in diverse population samples. IPMN cell lines, some of which have been described in the literature, were not readily available to us [28]. Thus, lack of cancer cell lines with mucinous lineage, which formed the basis of our biomarker discovery, adds to the limitations of this study.
Conclusions
We demonstrated that highly specific methylation markers in BNC1/CACNA1G genes can be utilized to differentiate IPMN with advanced neoplasia from LGD lesions. Further multiplexing with specific methylation targets can further enhance the diagnostic sensitivity of the biomarker panel and pave the way for high-fidelity noninvasive biomarkers for IPMN stratification through blood-based, urine-based, or pancreatic cyst fluid assays.
Methods
Patients and specimens
This study received ethics approval from Institutional Review Board (IRB#2000022652) at Yale University. Samples were selected from a prospectively maintained database of IPMN patients. The IPMN patients underwent surgical resection based on clinical consensus guidelines in a high-volume multidisciplinary clinic [29]. The patients with Fukuoka-positive IPMN who underwent surgical resection were consented and their baseline demographic and histologic characteristics were recorded. The samples of IPMN with LGD versus IPMN with HGD/PC (n = 35 each) samples were matched 1:1 based on age, sex, smoking, and race (Table 1). The surgically removed IPMN tissue samples were graded by two expert pathologists (LW or CID) using a newly developed classification system for pancreatic neoplastic precursor lesions [30].
Identification of methylation-specific novel biomarkers
We previously described the pharmaco-epigenomic identification of the ADAMTS1/BNC1/CACN1G genes and evaluated the diagnostic accuracy of this biomarker panel in detecting PC in both tissues and liquid samples. In brief, novel methylation-regulated genes were identified through the treatment of pancreatic cancer cell lines with DNA methyltransferase inhibitor: 5-aza-2′-deoxycytidine (DAC) and histone deacetylase inhibitor Trichostatin A (TSA). Gene expression was analyzed through transcriptome-wide Agilent 44 K Expression Array, and the genes which re-expressed with DAC but not TSA were then filtered to identify pancreatic cancer-specific genes and then confirmed in The Cancer Genome Atlas data (Additional file 1: Figure S1). We further show the methylation status of all three genes ADMATS1, BNC1, and CACNA1G in the TCGA dataset of pancreas cancer (Additional file 1: Figure S2) [8, 9]. The purpose of this study is to determine the use of a biomarker panel based on abnormal hypermethylation of the ADAMTS1, BNC1, and CACNA1G genes in the malignant classification of histologically defined IPMN tissue [8, 9, 31].
Tissue DNA extraction and methylation analysis
Formalin-fixed paraffin-embedded tissue samples were evaluated using conventional MS-PCR, as described previously [32]. This project spanned over a decade and initially involved conventional MS-PCR for CACNA1G. To evaluate the methylation status of the ADAMTS1 and BNC1 genes, we used TaqMan probe-based PCR amplification (IDT Inc.) on bisulfite-converted DNA isolated from IPMN tissue using quantitative MS-PCR, as described in our previous publications [8, 9]. Both conventional MS-PCR (CACNA1G) and quantitative MS-PCR (ADAMTS1/BNC1) were used to determine promoter hypermethylation among tissue samples. For quantification, the comparative cycle threshold (Ct) method was used, normalizing the Ct values for the candidate gene to the Ct values of unmethylated reaction relative to a methylated reaction sample. CpG methylated Jurkat genomic DNA (Thermofisher Scientific) was used as methylation positive control (Life Technologies) and β-actin as a housekeeping gene for normalization. Negative controls included non-template water samples. All studies followed the standards for the minimum information required for the publication of quantitative real-time PCR experiments.
Statistical analysis
The continuous variables were described using medians and interquartile ranges, and categorical variables were described with frequencies. Mann–Whitney U and χ2 test were used to analyze the nonparametric continuous and categorical variables, respectively. The Receiver Operator Characteristic Curve (ROC) analysis (nonparametric model) was used to determine the diagnostic accuracy of each gene or their combination in predicting the presence of advanced neoplasia. The combination of lesional size, CA19-9, and results of DNA methylation markers were combined using logistic regression model. These models then underwent ROC analyses to determine discriminant capacity. STATA Version 17.0 was used for all statistical analysis (StataCorp LLC, College Station, Texas). The significant associations were then included in multivariate regression. A P-value of less than 0.05 was considered significant.
Supplementary Information
Additional file 1: Figure S1: Study design and Identification of CACNA1G gene based on the pharmaco-epigenomic method. Figure S2: Methylation levels of (A) ADAMTS1, (B) BNC1, (C) CACNA1G genes in the Cancer Genome Atlas [Díez-Villanueva A, Mallona I, Peinado MA. Wanderer, an interactive viewer to explore DNA methylation and gene expression data in human cancer. Epigenetics Chromatin 2015;8:22. https://doi.org/10.1186/s13072-015-0014-8].
Acknowledgments
We thank the Department of Surgery at Yale School of Medicine. Additional file 1: Figure S1 is generated using Biorender.
Abbreviations
- AUC
Area under the curve
- CA19-9
Carbohydrate antigen 19-9
- HGD
High-grade dysplasia
- IPMN
Intraductal papillary mucinous neoplasms
- IQR
Interquartile range
- LGD
Low-grade dysplasia
- MS-PCR
Methylation-specific polymerase chain reaction
- PC
Pancreatic cancer
Author contributions
Conceptualization, NA, AS, and AC; methodology, AS; software, AC, BS; validation, AC, and AS; formal analysis, AC; investigation, AC, AS, resources NA, CW, LW, ID, RS, and JJF; data curation AS and AC; writing-original draft preparation AS and AC; writing—review and editing, LY, JK, SM, AN, AS and AC; visualization, AS and AC; supervision, NA, AS and JJF; project administration, NA, AS and JJF; funding acquisition, NA. All authors read and approved the final manuscript.
Funding
N.A. receives research grant funding from Astex Inc and the Van Andel Research Institute. She is a consultant for and has licensed methylation biomarkers to Cepheid (patent # 10167513). N.A. has served as a consultant to Johnson and Johnson, an advisor to Celgene, and a member of the Scientific Advisory Council to the No Stomach for Cancer Foundation. N.A. also serves as PI on NIH grants 5P30CA016359-42 and 7R01CA185357-05. This work was supported by the NIH grant 7R01CA185357-05, NIH Research Grant P30CA016359 & Yale Cancer Center (YCGA pilot grant).
Availability of data and materials
All data generated or analyzed during this study are included in this published article.
Declarations
Ethics approval and consent to participate
This study received ethics approval from Institutional Review Board (IRB#2000022652) at Yale University.
Consent for publication
Not applicable.
Competing interests
The authors declare that they have no competing interests.
Footnotes
Publisher's Note
Springer Nature remains neutral with regard to jurisdictional claims in published maps and institutional affiliations.
Ankit Chhoda and Anup Sharma have contributed equally to this work.
Contributor Information
James J. Farrell, Email: james.j.farrell@yale.edu
Nita Ahuja, Email: nita.ahuja@yale.edu.
References
- 1.Chhoda A, Lu L, Clerkin BM, Risch H, Farrell JJ. Current approaches to pancreatic cancer screening. Am J Pathol. 2019;189(1):22–35. doi: 10.1016/j.ajpath.2018.09.013. [DOI] [PubMed] [Google Scholar]
- 2.Leng KM, Wang ZD, Zhao JB, Cui YF, Zhong XY. Impact of pancreatic margin status and lymph node metastases on recurrence after resection for invasive and noninvasive intraductal papillary mucinous neoplasms of the pancreas: a meta-analysis. Dig Surg. 2012;29(3):213–225. doi: 10.1159/000339334. [DOI] [PubMed] [Google Scholar]
- 3.Tanaka M, Chari S, Adsay V, Fernandez-del Castillo C, Falconi M, Shimizu M, Yamaguchi K, Yamao K, Matsuno S. International consensus guidelines for management of intraductal papillary mucinous neoplasms and mucinous cystic neoplasms of the pancreas. Pancreatology. 2006;6(1–2):17–32. doi: 10.1159/000090023. [DOI] [PubMed] [Google Scholar]
- 4.Tanaka M, Fernandez-del Castillo C, Adsay V, Chari S, Falconi M, Jang JY, Kimura W, Levy P, Pitman MB, Schmidt CM, et al. International consensus guidelines 2012 for the management of IPMN and MCN of the pancreas. Pancreatology. 2012;12(3):183–197. doi: 10.1016/j.pan.2012.04.004. [DOI] [PubMed] [Google Scholar]
- 5.Tanaka M, Fernandez-Del Castillo C, Kamisawa T, Jang JY, Levy P, Ohtsuka T, Salvia R, Shimizu Y, Tada M, Wolfgang CL. Revisions of international consensus Fukuoka guidelines for the management of IPMN of the pancreas. Pancreatology. 2017;17(5):738–753. doi: 10.1016/j.pan.2017.07.007. [DOI] [PubMed] [Google Scholar]
- 6.Kaimakliotis P, Riff B, Pourmand K, Chandrasekhara V, Furth EE, Siegelman ES, Drebin J, Vollmer CM, Kochman ML, Ginsberg GG, et al. Sendai and Fukuoka consensus guidelines identify advanced neoplasia in patients with suspected mucinous cystic neoplasms of the pancreas. Clin Gastroenterol Hepatol. 2015;13(10):1808–1815. doi: 10.1016/j.cgh.2015.03.017. [DOI] [PubMed] [Google Scholar]
- 7.Lomberk G, Blum Y, Nicolle R, Nair A, Gaonkar KS, Marisa L, Mathison A, Sun Z, Yan H, Elarouci N, et al. Distinct epigenetic landscapes underlie the pathobiology of pancreatic cancer subtypes. Nat Commun. 2018;9(1):1978. doi: 10.1038/s41467-018-04383-6. [DOI] [PMC free article] [PubMed] [Google Scholar]
- 8.Yi JM, Guzzetta AA, Bailey VJ, Downing SR, Van Neste L, Chiappinelli KB, Keeley BP, Stark A, Herrera A, Wolfgang C, et al. Novel methylation biomarker panel for the early detection of pancreatic cancer. Clin Cancer Res. 2013;19(23):6544–6555. doi: 10.1158/1078-0432.CCR-12-3224. [DOI] [PMC free article] [PubMed] [Google Scholar]
- 9.Eissa MAL, Lerner L, Abdelfatah E, Shankar N, Canner JK, Hasan NM, Yaghoobi V, Huang B, Kerner Z, Takaesu F, et al. Promoter methylation of ADAMTS1 and BNC1 as potential biomarkers for early detection of pancreatic cancer in blood. Clin Epigenet. 2019;11(1):59. doi: 10.1186/s13148-019-0650-0. [DOI] [PMC free article] [PubMed] [Google Scholar]
- 10.Abramowicz M, Zuccotti G, Pflomm JM. A stool DNA test (Cologuard) for colorectal cancer screening. JAMA. 2014;312(23):2566. doi: 10.1001/jama.2014.15746. [DOI] [PubMed] [Google Scholar]
- 11.deVos T, Tetzner R, Model F, Weiss G, Schuster M, Distler J, Steiger KV, Grutzmann R, Pilarsky C, Habermann JK, et al. Circulating methylated SEPT9 DNA in plasma is a biomarker for colorectal cancer. Clin Chem. 2009;55(7):1337–1346. doi: 10.1373/clinchem.2008.115808. [DOI] [PubMed] [Google Scholar]
- 12.Nuzzo PV, Berchuck JE, Korthauer K, Spisak S, Nassar AH, Abou Alaiwi S, Chakravarthy A, Shen SY, Bakouny Z, Boccardo F, et al. Detection of renal cell carcinoma using plasma and urine cell-free DNA methylomes. Nat Med. 2020;26(7):1041–1043. doi: 10.1038/s41591-020-0933-1. [DOI] [PMC free article] [PubMed] [Google Scholar]
- 13.Kim VM, Ahuja N. Early detection of pancreatic cancer. Chin J Cancer Res. 2015;27(4):321–331. doi: 10.3978/j.issn.1000-9604.2015.07.03. [DOI] [PMC free article] [PubMed] [Google Scholar]
- 14.Fernandez-Rodriguez R, Rodriguez-Baena FJ, Martino-Echarri E, Peris-Torres C, Del Carmen P-C, Rodriguez-Manzaneque JC. Stroma-derived but not tumor ADAMTS1 is a main driver of tumor growth and metastasis. Oncotarget. 2016;7(23):34507–34519. doi: 10.18632/oncotarget.8922. [DOI] [PMC free article] [PubMed] [Google Scholar]
- 15.Toyota M, Ho C, Ohe-Toyota M, Baylin SB, Issa JP. Inactivation of CACNA1G, a T-type calcium channel gene, by aberrant methylation of its 5′ CpG island in human tumors. Cancer Res. 1999;59(18):4535–4541. [PubMed] [Google Scholar]
- 16.Ahuja N, Sharma AR, Baylin SB. Epigenetic therapeutics: a new weapon in the war against cancer. Annu Rev Med. 2016;67:73–89. doi: 10.1146/annurev-med-111314-035900. [DOI] [PMC free article] [PubMed] [Google Scholar]
- 17.Nakayama S, Semba S, Maeda N, Matsushita M, Kuroda Y, Yokozaki H. Hypermethylation-mediated reduction of WWOX expression in intraductal papillary mucinous neoplasms of the pancreas. Br J Cancer. 2009;100(9):1438–1443. doi: 10.1038/sj.bjc.6604986. [DOI] [PMC free article] [PubMed] [Google Scholar]
- 18.Hong SM, Kelly D, Griffith M, Omura N, Li A, Li CP, Hruban RH, Goggins M. Multiple genes are hypermethylated in intraductal papillary mucinous neoplasms of the pancreas. Mod Pathol. 2008;21(12):1499–1507. doi: 10.1038/modpathol.2008.157. [DOI] [PMC free article] [PubMed] [Google Scholar]
- 19.Yokoyama S, Kitamoto S, Higashi M, Goto Y, Hara T, Ikebe D, Yamaguchi T, Arisaka Y, Niihara T, Nishimata H, et al. Diagnosis of pancreatic neoplasms using a novel method of DNA methylation analysis of mucin expression in pancreatic juice. PLoS ONE. 2014;9(4):e93760. doi: 10.1371/journal.pone.0093760. [DOI] [PMC free article] [PubMed] [Google Scholar]
- 20.Hong SM, Omura N, Vincent A, Li A, Knight S, Yu J, Hruban RH, Goggins M. Genome-wide CpG island profiling of intraductal papillary mucinous neoplasms of the pancreas. Clin Cancer Res. 2012;18(3):700–712. doi: 10.1158/1078-0432.CCR-11-1718. [DOI] [PMC free article] [PubMed] [Google Scholar]
- 21.Hata T, Dal Molin M, Hong SM, Tamura K, Suenaga M, Yu J, Sedogawa H, Weiss MJ, Wolfgang CL, Lennon AM, et al. Predicting the grade of dysplasia of pancreatic cystic neoplasms using cyst fluid DNA methylation markers. Clin Cancer Res. 2017;23(14):3935–3944. doi: 10.1158/1078-0432.CCR-16-2244. [DOI] [PMC free article] [PubMed] [Google Scholar]
- 22.Majumder S, Taylor WR, Yab TC, Berger CK, Dukek BA, Cao X, Foote PH, Wu CW, Mahoney DW, Aslanian HR, et al. Novel methylated DNA markers discriminate advanced neoplasia in pancreatic cysts: marker discovery, tissue validation, and cyst fluid testing. Am J Gastroenterol. 2019;114(9):1539–1549. doi: 10.14309/ajg.0000000000000284. [DOI] [PMC free article] [PubMed] [Google Scholar]
- 23.Fujiyama Y, Kumamoto Y, Nishizawa N, Nakamoto S, Harada H, Yokota K, Tanaka Y, Igarashi K, Oiki H, Okuwaki K, et al. Promoter DNA hypermethylation of the cysteine dioxygenase 1 (CDO1) gene in intraductal papillary mucinous neoplasm (IPMN) Ann Surg Oncol. 2020;27(10):4007–4016. doi: 10.1245/s10434-020-08291-2. [DOI] [PubMed] [Google Scholar]
- 24.Faias S, Duarte M, Pereira L, Chaves P, Cravo M, Dias Pereira A, Albuquerque C. Methylation changes at the GNAS imprinted locus in pancreatic cystic neoplasms are important for the diagnosis of malignant cysts. World J Gastrointest Oncol. 2020;12(9):1056–1064. doi: 10.4251/wjgo.v12.i9.1056. [DOI] [PMC free article] [PubMed] [Google Scholar]
- 25.Chhoda A, Yousaf MN, Madhani K, Aslanian H, Jamidar PA, Suarez AL, Salem RR, Muniraj T, Kunstman JW, Farrell JJ. Comorbidities drive the majority of overall mortality in low-risk mucinous pancreatic cysts under surveillance. Clin Gastroenterol Hepatol. 2020;20:631–640. doi: 10.1016/j.cgh.2020.12.008. [DOI] [PubMed] [Google Scholar]
- 26.Mukewar S, de Pretis N, Aryal-Khanal A, Ahmed N, Sah R, Enders F, Larson JJ, Levy MJ, Takahashi N, Topazian M, et al. Fukuoka criteria accurately predict risk for adverse outcomes during follow-up of pancreatic cysts presumed to be intraductal papillary mucinous neoplasms. Gut. 2017;66(10):1811–1817. doi: 10.1136/gutjnl-2016-311615. [DOI] [PMC free article] [PubMed] [Google Scholar]
- 27.Del Chiaro M, Verbeke C, Salvia R, Kloppel G, Werner J, McKay C, Friess H, Manfredi R, Van Cutsem E, Lohr M, et al. European experts consensus statement on cystic tumours of the pancreas. Dig Liver Dis. 2013;45(9):703–711. doi: 10.1016/j.dld.2013.01.010. [DOI] [PubMed] [Google Scholar]
- 28.Kamiyama H, Kamiyama M, Hong SM, Karikari CA, Lin MT, Borges MW, Griffith M, Young A, Norris-Kirby A, Lubek C, et al. In vivo and in vitro propagation of intraductal papillary mucinous neoplasms. Lab Invest. 2010;90(5):665–673. doi: 10.1038/labinvest.2010.51. [DOI] [PMC free article] [PubMed] [Google Scholar]
- 29.Lennon AM, Manos LL, Hruban RH, Ali SZ, Fishman EK, Kamel IR, Raman SP, Zaheer A, Hutfless S, Salamone A, et al. Role of a multidisciplinary clinic in the management of patients with pancreatic cysts: a single-center cohort study. Ann Surg Oncol. 2014;21(11):3668–3674. doi: 10.1245/s10434-014-3739-x. [DOI] [PMC free article] [PubMed] [Google Scholar]
- 30.Basturk O, Hong SM, Wood LD, Adsay NV, Albores-Saavedra J, Biankin AV, Brosens LA, Fukushima N, Goggins M, Hruban RH, et al. A revised classification system and recommendations from the Baltimore consensus meeting for neoplastic precursor lesions in the pancreas. Am J Surg Pathol. 2015;39(12):1730–1741. doi: 10.1097/PAS.0000000000000533. [DOI] [PMC free article] [PubMed] [Google Scholar]
- 31.Ying L, Sharma A, Chhoda A, Ruzgar N, Hasan N, Kwak R, Wolfgang CL, Wang TH, Kunstman JW, Salem RR, et al. Methylation-based cell-free DNA signature for early detection of pancreatic cancer. Pancreas. 2021;50(9):1267–1273. doi: 10.1097/MPA.0000000000001919. [DOI] [PubMed] [Google Scholar]
- 32.Yi JM, Dhir M, Van Neste L, Downing SR, Jeschke J, Glöckner SC, de Freitas CM, Hooker CM, Funes JM, Boshoff C, et al. Genomic and epigenomic integration identifies a prognostic signature in colon cancer. Clin Cancer Res. 2011;17(6):1535–1545. doi: 10.1158/1078-0432.CCR-10-2509. [DOI] [PMC free article] [PubMed] [Google Scholar]
Associated Data
This section collects any data citations, data availability statements, or supplementary materials included in this article.
Supplementary Materials
Additional file 1: Figure S1: Study design and Identification of CACNA1G gene based on the pharmaco-epigenomic method. Figure S2: Methylation levels of (A) ADAMTS1, (B) BNC1, (C) CACNA1G genes in the Cancer Genome Atlas [Díez-Villanueva A, Mallona I, Peinado MA. Wanderer, an interactive viewer to explore DNA methylation and gene expression data in human cancer. Epigenetics Chromatin 2015;8:22. https://doi.org/10.1186/s13072-015-0014-8].
Data Availability Statement
All data generated or analyzed during this study are included in this published article.

