Abstract
Biomass-derived C6-furanic compounds have become the cornerstone of sustainable technologies. The key feature of this field of chemistry is the involvement of the natural process only in the first step, i.e., the production of biomass by photosynthesis. Biomass-to-HMF (5-hydroxymethylfurfural) conversion and further transformations are carried out externally with the involvement of processes with poor environmental factors (E-factors) and the generation of chemical wastes. Due to widespread interest, the chemical conversion of biomass to furanic platform chemicals and related transformations are thoroughly studied and well-reviewed in the current literature. In contrast, a novel opportunity is based on an alternative approach to consider the synthesis of C6-furanics inside living cells using natural metabolism, as well as further transformations to a variety of functionalized products. In the present article, we review naturally occurring substances containing C6-furanic cores and focus on the diversity of C6-furanic derivatives, occurrence, properties and synthesis. From the practical point of view, organic synthesis involving natural metabolism is advantageous in terms of sustainability (sunlight-driven as the only energy source) and green nature (no eco-persisted chemical wastes).
Keywords: biomass, bioderived chemicals, organic synthesis, furan, HMF, natural products, sustainable chemistry
1. Introduction
The appearance of 5-hydroxymethylfurfural (5-HMF) in the list of platform chemicals has boosted the interest in the chemistry of biomass-derived furanic compounds. Currently, the synthesis and application of furanic compounds is an important branch of green and sustainable chemistry. Indeed, a myriad of papers describes the synthesis of 5-HMF and its derivatives as well as the preparation of new materials on their basis. Due to the increasing attention to the topic, the synthesis and transformations of C6-furanics are regularly reviewed [1,2,3,4,5,6,7,8,9,10,11,12,13,14].
A wide range of naturally occurring carbohydrates serves as a starting point in the chemical conversion of biomass, resulting in bioderived furanics (Figure 1A). Despite all efforts, it remains a typical chemical process with poor E-factor and waste generation. As critically highlighted by Sels and coworkers, the instability of HMF and its derivatives drastically complicates the development of new chemical technologies [15]. Susceptibility of 2,5-functionalized C6-furanic cores to intermolecular condensation leads to contamination, which severely blocks the catalytic centers on the biomass-to-HMF conversion and on the further HMF transformation stages [15,16]. Indeed, any traditional laboratory or industrial synthesis produces waste. Fine chemical synthesis and pharmaceuticals are characterized by poor E-factor (more than 25 kg of waste per 1 kg of the product) [17,18,19,20,21,22]. The processes, including C6-furanic cores, are not exceptions and lead to the formation of a significant amount of waste [23,24,25,26,27,28,29,30,31].
Figure 1.
Various approaches to biobased furans: (A)—conventional production method of HMF and its derivatives; (B)—direct isolation of complex C6-biofurans; (C)—classification of furan derivatives via oxidation level metric.
Interestingly, at the same time, 1,4-functionalized C6-furanic moieties can be found among natural compounds themselves. Chemical synthesis by natural metabolism (in plants, fungi, etc.) does not produce persistent wastes (remains are essentially consumed by nature) (Figure 1B). Consideration of natural biosynthetic routes and their incorporation into practice is a great advantage. Finding important and practically relevant natural products followed by their biotechnological production is an attractive methodology for a sustainable future [32,33,34,35]. Therefore, a promising opportunity emerges for the isolation of furanic compounds without external chemical transformations. A considerable number of these compounds demonstrate promising biological activity and could serve as prospective pharmacological substances. The explosive development of furan chemistry in recent decades can change the viewpoint on natural furans. Now, this group of compounds, which were previously discussed as rare and hardly available metabolites, can become attractive from a practical point of view. This review aims to summarize information on natural furanic compounds, which can become targets for total synthesis or biological investigations.
In this focused review, we describe chemically demanding 1,4-functionalized C6-furanic compounds (Figure 1A), which can be found in living nature (plants, fungi, bacteria, marine organisms, etc.) and synthesized by a clean natural method (Figure 1B). In this review, compounds are systematized by the oxidation level (OL) of furan side groups and the type of functional groups present in the molecule (Figure 1C).
2. Results and Discussion
The number of oxygen atoms in the C6-furanic derivatives is the key factor for their practical opportunities [36,37,38,39,40,41,42,43,44,45,46]. Depending on the anticipated applications, compounds with lower and higher oxygen contents are of primary interest.
The oxidation level can be calculated as the quotient of dividing the number of bonds with oxygen (i.e., electronegative elements for general use with functionalized derivatives) by the total number of bonds of alpha carbons. The corresponding formula is given in Figure 1C.
For classification purposes, derivatives with the same oxidation level are placed into the same sector (Figure 1C). Compounds whose derivatives have been found in nature are shown on a green background, and the gray background defines compounds that do not occur in nature. The presented scheme provides a general overview of all known nature-occurring furan derivatives. In this review, we discuss nonpolar derivatives followed by compounds with increased oxygen levels.
2.1. Oxidation Level of 2,5-Dimethylfuran (OL = 0%)
2,5-Dimethylfuran 1 demonstrates the lowest oxygen content in the C6-furanic series. As a result, this compound is the least polar furan derivative found in nature. Within studies of the potential impact of bioaerosols on health, 2,5-dimethylfuran was found among volatile organic compounds produced by the fungi Penicillium crustosum and Penicillium cyclopium [47]. 2,5-Dimethylfuran present with the other furan derivatives, and such a mixture could serve as a characteristic indicator for those species. Additionally, 1 is an aroma compound with an odor described as «bouillon» and part of the aroma composition responsible for the aroma of the freshly cut leek Allium ampeloprasum (Alliaceae) [48]. Freshly cut leek slices stored frozen for one year possess an odor where 2,5-dimethyl furan is one of the most important components of the aroma composition alongside pentanal, decanal and dipropyl disulfide.

Furan fatty acids derivatives plakorsins A and B were isolated from the marine sponge Plakortis simplex [49]. Synthesis of these natural products was accomplished using elegant tandem of phosphine-catalyzed Michael addition and Pd-catalyzed Heck reaction (Scheme 1) [50]. This unified approach can be applied to the synthesis of tri- and tetra-substituted furans as well.
Scheme 1.
Unified approach to furan natural products via phosphine-palladium catalysis [50].
2.2. Oxidation Level of Methyl(Hydroxymethyl)furan (OL = 17%)
This oxidation level is presented by the N-alkylated β-carboline alkaloid vittacarboline 4, which was isolated from the ethanolic extract of the fresh flowers of Hippeastrum vittatum (Amaryllidaceae) [51]. Notably, 3.65 kg of chopped flowers provided 8 mg of pure vittacarboline. Vittacarboline, with its substitution pattern, represents a new structural type within the family since β-carboline alkaloids are not common in the members of Amaryllidaceae.

2.3. Oxidation Level of 2,5-Bis(Hydroxymethyl)furan (OL = 33%)
2,5-Bis(hydroxymethyl)furan (BHMF) 5 is a symmetric molecule that can be considered a product of the reduction in 5-(hydroxymethyl)furfural (HMF). Since BHMF is a potential monomer for the synthesis of biomass-based polyesters and polyurethanes, its synthesis was described an exceptional number of times [5]. In nature, 5 can be found predominantly in fungi. It was isolated from the fungus Phellinus linteus, which grows on mulberry trees [52]; the ascomycete Xylaria longipes [53]; the phytopathogen fungus Colletotrichum acutatum [54], isolated from strawberry plants; and the marine-derived fungi Paecilomyces sp. [55], although the overall bio-production of BHMF is negligible. Extraction of the Xylaria longipes culture fluid (18 L) provided 2.9 mg of BHMF. Culture liquid (3 L) extract of Colletotrichum acutatum yielded 7 mg of BHMF. The extraction of 10 L of culture broth of Paecilomyces sp. containing both mycelium and supernatant provided a small quantity of BHMF (1.96 mg). Isolated 5 was tested for antimicrobial activity against methicillin-resistant Staphylococcus aureus (MRSA), Escherichia coli, Aeromonas hydrophia, and Candida albicans and showed activity only against MRSA with inhibition zone 8 (±0.1) mm.

Additionally, 5 is produced by the terrestrial bacteria Streptomyces sp. GW 10/2517 [56].
Ethers and acetals
Monomethyl ether of BHMF 6, as well as BHMF itself, was found in the fungus Phellinus linteus [52].

2-Phenylethyl ether of BHMF 7 (Pichiafuran C) is a rare example of monofurano metabolite produced by the yeast Pichia membranifaciens derived from a marine sponge Petrosia sp. [57]. The C6 monofuran moiety of 7 is likely derived from a triketide. Extraction of the cultivated yeast broth (30 L) provided 5.5 g of crude material, which contained a small amount (0.8 mg) of Pichiafuran C. Compound 7 was investigated for brine shrimp lethality and displayed toxicity with an LD50 higher than 200 μg/mL. Synthesis of pichiafuran C was carried out by Tamariz et al. in three different ways (Scheme 2) [58].
Scheme 2.
Three ways of the synthesis of Pichiafuran C.

O-β-D-Glucopyranoside of BHMF 8 was isolated from the Anoectochilus formosanus (Orchidaceae) [59]. The extraction of whole dried plants (2.3 kg) followed by chromatographic purification provided a 59 mg yield of 8. This furanic glycoside was assayed for inhibition of α-glucosidase and interaction with rat adipocytes; however, no activity was found [59].

Esters
Mono- and diacetyl derivatives of BHMF 9a and 9b are produced by terrestrial gram-positive, aerobic, and nonacid fast bacteria Streptomyces sp. GW 11/1695 [60]. Extraction and purification of 25 L of the culture broth produced 24 mg of 9a and 14 mg of 9b.

2.4. Oxidation Level of 5-(Hydroxymethyl)furfural (OL = 50%)
5-(Hydroxymethyl)furfural (HMF) 10 is formed during the heat-processing of food (baking, smoking, roasting, etc.) Therefore, HMF is often used as an index of heat treatment and deteriorative changes in food such as tomato paste, infant milk, honey, and fruit juices. This compound originates from hexoses via partial dehydration [61]. Therefore, HMF is present in many different food items, including honey, barley, brandy, citrus juices, tomato products, syrup, grape juice, freeze-dried pears, wine, coffee, caramel products, dried fruit, prune juice, and bread. Therefore, everybody is exposed to HMF and some of its derivatives [1,62]. Authentic compound 10 was found in Schisandra chinensis (Schisandraceae) (whose fruit is known as magnolia berry or five-flavor fruit) [63]. It was found that HMF formed during the processing course. Heating time, temperature and treating solvents all have an effect on the HMF level in the decoction of Schisandra.

Moreover, HMF 10 was found in red alga Laurencia undulata, an edible species used as a folk herb [64]. HMF 10 was thoroughly tested for antioxidant activities and displayed its potential antioxidant character on the molecular, cellular and gene levels.
Ethers
The most simple HMF ether, 5-methoxymethylfurfural 11, was found in Achillea millefolium ssp. pannonica (Asteraceae), Cirsium chlorolepis (Asteraceae), Asparagus cochinchinensis (Asparagaceae) [65] and Jaborosa Magellanica (Solanaceae) [66]. In 1958, it was reported that furan 11 was present as a component of the roots of Asparagus lucidus (Asparagaceae), but it was assumed that this product had been formed as an artifact from fructose during the isolation process [67].

Cirsiumaldehyde 12, which can be described as a product of the intermolecular dehydration of HMF, was first discovered in the roots of Cirsium chlorolepis (Asteraceae) [65] and named after it. Cirsium chlorolepis roots are used in southwest China folk medicine against various diseases, especially fracture and haematuria. After double extraction and chromatographic separation, the dried roots (5 kg) provided 30 mg of dimeric compound 12. Later, this compound was found in fruits of Hippophae rhamnoides (Elaeagnaceae) [68], flowers of Lonicera bournei (Caprifoliaceae) [69] and tubers of Gastrodia elata (Orchidaceae) [70].

A set of benzylic ethers 13–16 were isolated from the rhizome of Gastrodia elata (Orchidaceae) [71,72,73]. This rhizome has been traditionally used in Korean and Chinese traditional medicine for the treatment of headaches, migraines, dizziness, epilepsy, and infantile convulsion tetanus [74,75,76] and has many biomedical properties, such as enhancing strength and virility, improving circulation, and facilitating memory consolidation and retrieval [77,78]. Inhibitory effects of 13 for enzymes were tested; however, low activity was found at 100µM concentration with 23% and 39% inhibition ratio for topoisomerases I and II, respectively. Synthesis of compound 13 was performed from HMF and O-protected 4-hydroxybenzylic alcohol using H2SO4 in CH2Cl2 [58]. Extraction of 30 kg of dried rhizomes of G. elata yielded 4.5 mg of 15 and 4.2 mg of 16. The presence of a phenolic moiety in these compounds indicates their metabolic relation with lignin. Thioether 16 (sulfur-containing analog of compound 15) was also found in the rhizome of Gastrodia elata. The cytotoxic effects of the isolated compounds 15 and 16 were evaluated in vitro by MTT methods on PC12 cells with no activity found. At the same time, compound 16 concentration dependently protected PC12 cells against H2O2-induced cell death exhibiting neuroprotective activity [73].

2-Hydroxyphenyl ether of HMF 17 was isolated from the seeds of Cassia fistula (Fabaceae) [79]. Extraction of 3.5 kg of seeds with methanol followed by chromatography produced 25 mg of 17. The total synthesis of 17 was performed by reaction of 5-chloro-methylfurfural with catechol and K2CO3 in acetone solution under reflux.

Compound 18 (Acorusin B), which completes the series of aryl-containing HMF ethers, was found in the rhizomes of Acorus tatarinowii (Acoraceae). Grounded rhizomes (10 kg) extract contained 5.2 mg of Acorusin B. This hybrid norlignan derivative exhibits moderate cytotoxicity against the five cell lines NCI-H1650, HepG2, BGC-823, HCT-116 and MCF-7 [80,81].

Compound 19 ((±)-Hiziprafuran), which is a furanic derivative of dimethyl malate, was isolated as a racemic mixture from the aerial parts of Prasium majus (Lamiaceae); the plant has a wide global occurrence and has been used medicinally in Greece as a tranquilizer [82]. The five-solvent extraction of air-dried aerial parts of Prasium majus (1200 g) with further purification by column chromatography yielded 70 mg of Hiziprafuran.

Compound 20 (Sessiline) is an alkaloid from the fruits of Acanthopanax sessiliflorus (Araliaceae) [83]. This plant is distributed in Korea, Japan and China and has traditionally been used as a tonic and a sedative, as well as in the treatment of rheumatism and diabetes. Processing of the air-dried powdered fruits (2 kg) provided 23 mg of sessiline. The synthesis of sessiline from HMF and succinimide was described by Ilkei et al. (Scheme 3) [84].
Scheme 3.
Synthesis of Sessiline 20 from succinimide and HMF.

Esters
Compounds 21–24 (Duabanganals A-D) are HMF esters with saturated and unsaturated fatty acids that were found in the stem bark of Duabanga grandiflora (Lythraceae) [85]. It was found that dried and powdered stem bark (1.3 kg) contained Duabanganals A (3 mg), B (4.6 mg), C (2.1 mg) and D (4.8 mg), as well as 3 mg of Latifolinal. Duabanganals B and C were evaluated for cytotoxicity against six cancer cell lines and failed to demonstrate activity.
Stearyl ester 25 (Latifolinal) was isolated from the fruit of Cordia latifolia (Ehretiaceae) [86] and the stem bark of Duabanga grandiflora (Lythraceae) [85]. Latifolinal can be described as a product of the full hydrogenation of double bonds in Duabanganals A-C. Dried fruits (20 kg) of C. latifolia contained 30.5 mg of latifolinal.

4-Hydroxy-3,5-dimethoxy-(E)-cinnamoyl derivative 26 was found in the seeds of Raphanus nussatirus L. (Brassicaceae), a traditional Chinese herb that has been used for expectorant, anti-cough and antiasthmatic purposes [87]. The seeds powder of Raphanus nussatirus L. (15 kg) extraction produced 60 mg of pure 26.

A series of HMF esters with polycarboxylic acids was found in natural sources. O-(Ethyl succinoyl) ester 27 was isolated from the whole plant of Ajuga decumbens (Lamiaceae) [88]. O-(Butyl succinoyl) ester 28 was found in the fruit of Morinda citrifolia (Rubiaceae), also known as noni or great morinda [89]. This fruit has a long history of traditional use in the Hawaiian and Tahitian islands and is thought to exhibit anticancer and immunostimulant activities. The synthesis of ester 28 was performed by Tamariz et al. from various starting materials, including one-pot synthesis from HMF (Scheme 4) [90].
Scheme 4.
Synthesis of ester 28 from various starting materials.

Another polycarboxylic acid whose HMF esters have been found in nature is citric acid. Ester 29 (Mumefural) was isolated from the fruit juice concentrate of Prunus mume (Rosaceae), Japanese apricot [91]. Mumefural 29 is a sialidase inhibitor and an effective enhancer of blood fluidity [91]. Additionally, ester 29 shows activity against the pandemic influenza A(H1N1) virus [92]. Synthesis of 29 on the basis of malic acid and HMF was performed by Sugimura et al. (Scheme 5) [93]. Diethyl ester of mumefural 30 was isolated from the fruit of Morus alba (Moraceae) [94].
Scheme 5.
Synthesis of mumefural 29 from malic acid and HMF.

4-Hydroxy-2-methylenebutanoyl derivative 31 was found in the roots of Polygala tricornis (Polygalaceae) [95]. Polygala tricornis is widely distributed in southern China, and its roots are used as a tonic, a sedative, and for preventing dementia in Chinese folk medicines. Isolated compounds were examined for their inhibitory effect on nitric oxide (NO) production induced by lipopolysaccharide (LPS) in BV-2 microglial cells. Compound 31 exhibited pronounced inhibition of NO production with an IC50 value of 1.77 μM [95].

Ester 32 (Asfural) was isolated from an enzyme-treated extract of the fresh bottom parts of Asparagus officinalis (Asparagaceae) stems [96]. Sucrase C as a cellulase and Macerozyme A as a pectinase were used for the extract treatment. Extraction of 90 kg of fresh asparagus followed by the enzymatic reaction and additional purification yielded 2 mg of Asfural. Asfural 32 was evaluated in terms of HSP70 mRNA expression-enhancing activity in HL-60 cells. Compound 32 significantly increased the expression level in a concentration-dependent manner. The synthesized R-enantiomer of asfural has shown significantly lower activity.

Glycosides
Glycosides of HMF can be described as the products of partial dehydration of the terminal hexose moiety in oligosaccharides. Therefore, this type of HMF derivative is relatively widespread in plants.
A series of D-fructose HMF derivatives O-α-D-fructofuranoside 33, O-β-D-fructofuranoside 34 and O-β-D-fructopyranoside 35 were isolated from the roots of Ranunculus ternatus (Ranunculaceae) [97]. The root of this herbaceous plant is used in traditional Chinese medicine as a treatment for lymphatic and pulmonary tuberculosis. Air-dried root powder of Ranunculus ternatus contains 4 mg of 33, 6 mg of 34 and 5 mg of 35.

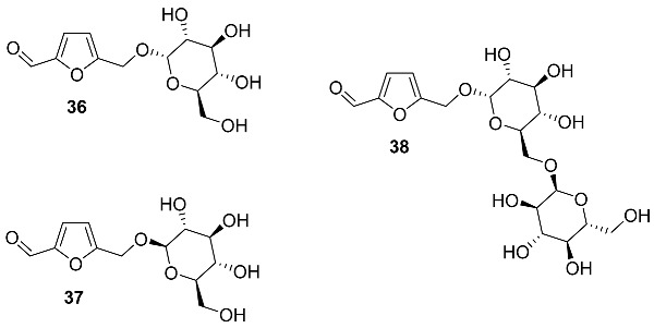
O-α-D-glucopyranoside 36, O-β-D-glucopyranoside 37, and O-[α-D-glucopyranosyl-(1→6)-α-D-glucopyranoside] 38 were isolated from Rehmannia glutinosa (Orobanchaceae), one of the most important traditional Chinese medicines used for multiple therapeutic purposes [98]. Synthesis of HMF glucopyranosides was accomplished via selective dehydration of isomaltulose in DMSO in a strongly acidic ion exchange resin [99,100].

O-[β-D-fructopyranosyl-(2→6)-α-D-glucopyranoside] 39 was found in the fermented beverage from the fruit of Prunus mume (Rosaceae), a deciduous fruit tree that is distributed widely in East Asian [101]. Traditional raw ingredients are used in herbal medicines in Korea, China, and Japan. A thick beverage was obtained by mixing cleaned fruits of P. mume (10 kg) with sugar (7 kg) and storing the mixture in the dark at room temperature for 3 months, followed by residue and seeds filtration from the fermentation broth. After extraction and isolation, 6 mg of compound 39 was obtained.

O-(2,6-Dideoxy-3-O-methyl-α-L-lyxo-hexofuranoside) 40 (Calofurfuralside A) and O-(2,6-dideoxy-3-O-methyl-α-L-ribo-hexopyranoside) 41 (Calofurfuralside B) were isolated from the leaves of Calotropis gigantea (Apocynaceae) [102]. This large shrub is commonly called crown flower or giant milkweed and is used in traditional folk medicines for the treatment of bronchitis, dyspepsia, paralysis, swellings and intermittent fevers. Isolated compounds were tested for cytotoxicity against the PANC-1 human pancreatic cancer cell line, but no significant activity was found.

Acetals
Dimeric and trimeric methyl acetals 42 and 43 (Krishnanones A and B) are produced by terrestrial Streptomyces sp. GW 21/1313 [60].

2,3-Butylene acetal 44 (Hypofuran A) was isolated from the marine-derived fungus Hypocrea koningii PF04 associated with the sponge Phakellia fusca. The biosynthetic precursors of this compound most likely included 5-hydroxymethyl furfural and 2,3-butanediol. Acetal 44 shows modest antibacterial activity against Staphylococcus aureus [103]. In addition, Hypofuran A exhibited moderate DPPH radical scavenging capacity with an IC50 value of 27.4 μg/mL.

A series of carbohydrate-based acetals and semiacetals 45–48 were isolated from plant sources.
Semiacetal 45 and acetal 46 were found in the fruits of Trichosanthes kirilowii (Cucurbitaceae) [104]. In the ancient East, it was widely used as a folk medicine because its tuber can reduce midterm abortion, and the rind of the fruit can help to cure diseases of the heart and the lung [104]. Exhaustive extraction of the fruits of T. kirilowii (20 kg) produced 96.4 mg of 45 and 16.9 mg of 46.

Acetal 47 (Cirsiumoside) was isolated from the roots of Cirsium chlorolepis (Asteraceae) [65]. This plant is used in southwest China folk medicine against various diseases, especially for fracture and haematuria.

Rare iridoid glucosides 48a–d (Cornusfurosides A–D) were identified in the water extract of the fruits of Cornus officinalis (Cornaceae) [105]. Cornus officinalis fruit, called Corni Fructus (Shanzhuyu) in China, was first recorded in Shen Nong’s Materia Medica approximately 2000 years ago and is often used to tonify the liver and kidney according to the theory of traditional Chinese medicine [106,107]. Glucosides 48a–d were tested for neuroprotective activity, but the results showed that compounds 48a–d exhibited no discernible activities at the concentrations tested [105].

A number of HMF acetals 49–52 containing steroid moieties have been found in the roots of several plants.
Acetals 49a,b (Serfurosterones A and B) are phytoecdysteroids isolated from the methanolic extract of the roots of Serratula wolffii (Asteraceae) [108]. The phytoecdysteroids, compounds related to insect hormones, are of great interest for their biological activities. The roots of S. wolffii (4.7 kg) contain 0.5 mg each of the Serfurosterones A and B; thus, compounds 49a and 49b were furnished from the extract with equal yields of 0.00024%.

Steroid acetals 50 and 51 (Pulsatilla triterpenic acids A and B) were found in the roots of Pulsatilla chinensis (Ranunculacea), one of the 50 fundamental herbs used in traditional Chinese medicine [109]. Pulsatillic acids exhibited cytotoxic activities against P-388, Lewis lung carcinoma and human large-cell lung carcinoma [110].

Acetal 52 (Niuxixinsterone D) was isolated from the roots of Achyranthes bidentate (Amaranthaceae). This herb is used as an important traditional Chinese medicine known as «Niuxi» and has the property of strengthening bones and muscles and ensuring a proper downward flow of blood. Serfurosterone A 49a was also found in the same source. Niuxixinsterone D and Serfurosterone A were tested for their inhibitory effects against LPS-induced NO production in RAW 264.7 macrophages, and compounds 52 and 49a exhibited anti-neuroinflammatory activity with inhibited 29.7 and 26.0% NO production, respectively [111].

Hydrazones
Rice cultivation of a fish gastrointestinal tract-derived fungus, Trichoderma sp. CMB-F563 yielded natural product 53 (Prolinimine A) incorporating a hydrazine moiety [112]. Naturally occurring hydrazines are extremely rare, with only several nonacylated reported examples. The fungal prolinimines represent only the second reported occurrence of a naturally occurring metabolite incorporating an N-amino-Pro residue.

2.5. Oxidation Level of 5-Methylfuran-2-carboxylic Acid (OL = 50%)
Methyl 5-methyl-2-furancarboxylate 55 (methyl ester of corresponding acid 54 (MFCA)) is the only known natural compound at this oxidation level. This ester was found among volatile organic compounds released by the bacteria Saccharopolyspora erythraea and S. griseoflavus [113]. Furan 55 has not been reported as a natural product before.

2.6. Oxidation Level of 5-(Hydroxymethyl)furan-2-carboxylic Acid (OL = 67%)
5.-(Hydroxymethyl)furan-2-carboxylic acid (HMFCA) 56 (also known as Sumiki’s acid) is produced by the fungi Aspergillus spp., Gibberella fujikuroi, Helminthosporium maydis and Pyricularia grisea [114]. Additionally, acid 56 was found in the marine-derived fungi Epicoccum sp. [115], Wardomyces anomalus [116] and Cladosporium herbarum (isolated from the marine sponge Callyspongia aerizusa) [117]. HMFCA 56 was found in human urine [118,119]. The analysis showed that Sumiki’s acid is a naturally occurring human metabolite, with a normal excretion range from about 1 to 25 mg/24h. It was proposed that 56 is involved in uronic acid metabolism. Acid 56 shows antitumor activity [114] and antimicrobial activity (against Bacillus subtilis and Staphylococcus aureus) [117].

Methyl ester 57 is a metabolite of the phytopathogenic fungi Curvularia lunata [120] and Hericium erinaceum [121]. This furanic derivative acts as phytotoxin, causing chlorophyll degradation in the maize leaves. Convenient synthesis of ester 57 via oxidative esterification of HMF was recently published [122].

Acetyl derivative 58 (acetyl Sumiki’s acid) was isolated from the marine-derived fungi Cladosporium herbarum (isolated from the marine sponge Callyspongia aerizusa) [117] and Epicoccum sp. [115]. In addition to HMFCA itself, compound 58 is antimicrobial (against Bacillus subtilis and Staphylococcus aureus) [117].

2.7. Oxidation Level of 2,5-Diformylfuran (OL = 67%)
DFF double hydrazine 60 (Prolinimine B), as well as Prolinimine A 53, were isolated from the fish gastrointestinal tract-derived fungus Trichoderma sp. CMB-F563 [112]. Such furans are exceptionally rare among natural products, so this compound is the only example of a natural C6-furanic compound at this oxidation level.

2.8. Oxidation Levels of 5-Formylfuran-2-carboxylic Acid and Furan-2,5-dicarboxylic Acid (OL = 83% and 100%)
5-Formylfuran-2-carboxylic acid 61 (FFCA) and furan-2,5-dicarboxylic acid 62 (FDCA) are the most oxidized C6-furanic derivatives. To the best of our knowledge, there are no natural C6-furanic derivatives at these oxidation levels. Since biofurans, in many cases, are the products of partial dehydration of hexoses and their derivatives, it could be assumed that the absence of FDCA and related compounds are caused by the lack of corresponding aldaric acids in natural sources. The absence of FFCA derivatives is more challenging to explain because the corresponding uronic acids, including fructuronic acid, are well known.

3. Conclusions and Outlook
Exploring the occurrence of C6-furanics in nature, several features come into consideration. Predominantly, such derivatives could be found in different parts of plants (Figure 2 and Figure 3), especially in the roots, rhizomes and fruits. It is logical considering that furan derivatives metabolically originate from carbohydrates, while roots and fruits are parts of plants that are richest in metabolically active carbohydrates. Additionally, several examples of furanic compounds isolated from fungi have been described, as well as a few bacteria-derived furans.
Figure 2.
Schematic representation of the occurrence of C6-furanics in nature (font size corresponds to the prevalence of furanic derivatives in natural sources).
Figure 3.
Relative distribution of C6-furan compounds in the biosphere: chart composition based on the number of isolated C6-furanics described in the literature.
Since 5-HMF is a main product of the dehydration of hexoses, it is not surprising that HMF derivatives (esters, ethers, acetals, etc.) are the most common type of C6-furanics in nature. While HMF derivatives are predominantly located in plants, more oxidized as well as more reduced C6-furans are usually associated with fungi and bacteria. Therefore, it can be concluded that the chemical type of produced furanic metabolites strongly depends on the natural source.
The examples of naturally occurring C6-furanic compounds highlight a number of possible new opportunities. We believe that this review will inspire synthetic work on the preparation of biofurans and biological studies, which will establish the biological role of biofurans since, for many furanic compounds, it remains unclear.
Author Contributions
Writing—original draft preparation, L.V.R., F.A.K. and K.S.K.; writing—review and editing, L.V.R., F.A.K. and V.P.A.; supervision, V.P.A. All authors have read and agreed to the published version of the manuscript.
Institutional Review Board Statement
Not applicable.
Informed Consent Statement
Not applicable.
Data Availability Statement
No new experimental data were created.
Conflicts of Interest
The authors declare no conflict of interest.
Funding Statement
This work was supported by the Russian Science Foundation (RSF Grant #20-73-00117).
Footnotes
Disclaimer/Publisher’s Note: The statements, opinions and data contained in all publications are solely those of the individual author(s) and contributor(s) and not of MDPI and/or the editor(s). MDPI and/or the editor(s) disclaim responsibility for any injury to people or property resulting from any ideas, methods, instructions or products referred to in the content.
References
- 1.van Putten R.-J., van der Waal J.C., de Jong E., Rasrendra C.B., Heeres H.J., de Vries J.G. Hydroxymethylfurfural, A Versatile Platform Chemical Made from Renewable Resources. Chem. Rev. 2013;113:1499–1597. doi: 10.1021/cr300182k. [DOI] [PubMed] [Google Scholar]
- 2.Lewkowski J. Synthesis, chemistry and applications of 5-hydroxymethyl-furfural and its derivatives. Arkivoc. 2001;2001:17–54. doi: 10.3998/ark.5550190.0002.102. [DOI] [Google Scholar]
- 3.Kuster B.F.M. 5-Hydroxymethylfurfural (HMF). A Review Focussing on its Manufacture. Starke. 1990;42:314–321. doi: 10.1002/star.19900420808. [DOI] [Google Scholar]
- 4.Fan W., Verrier C., Queneau Y., Popowycz F. 5-Hydroxymethylfurfural (HMF) in Organic Synthesis: A Review of its Recent Applications Towards Fine Chemicals. Curr. Org. Synth. 2019;16:583–614. doi: 10.2174/1570179416666190412164738. [DOI] [PubMed] [Google Scholar]
- 5.Kucherov F.A., Romashov L.V., Galkin K.I., Ananikov V.P. Chemical Transformations of Biomass-Derived C6-Furanic Platform Chemicals for Sustainable Energy Research, Materials Science, and Synthetic Building Blocks. ACS Sustain. Chem. Eng. 2018;6:8064–8092. doi: 10.1021/acssuschemeng.8b00971. [DOI] [Google Scholar]
- 6.Wang Y., Brown C.A., Chen R. Industrial production, application, microbial biosynthesis and degradation of furanic compound, hydroxymethylfurfural (HMF) AIMS Microbiol. 2018;4:261–273. doi: 10.3934/microbiol.2018.2.261. [DOI] [PMC free article] [PubMed] [Google Scholar]
- 7.Dutta S., Bhat N.S. Catalytic Transformation of Biomass-Derived Furfurals to Cyclopentanones and Their Derivatives: A Review. ACS Omega. 2021;6:35145–35172. doi: 10.1021/acsomega.1c05861. [DOI] [PMC free article] [PubMed] [Google Scholar]
- 8.Galkin K.I., Ananikov V.P. Intermolecular Diels-Alder Cycloadditions of Furfural-Based Chemicals from Renewable Resources: A Focus on the Regio- and Diastereoselectivity in the Reaction with Alkenes. Int. J. Mol. Sci. 2021;22:11856. doi: 10.3390/ijms222111856. [DOI] [PMC free article] [PubMed] [Google Scholar]
- 9.Kucherov F.A., Romashov L.V., Averochkin G.M., Ananikov V.P. Biobased C6-Furans in Organic Synthesis and Industry: Cycloaddition Chemistry as a Key Approach to Aromatic Building Blocks. ACS Sustain. Chem. Eng. 2021;9:3011–3042. doi: 10.1021/acssuschemeng.0c09229. [DOI] [Google Scholar]
- 10.Xiong S., Guan Y., Luo C., Zhu L., Wang S. Critical Review on the Preparation of Platform Compounds from Biomass or Saccharides via Hydrothermal Conversion over Carbon-Based Solid Acid Catalysts. Energy Fuels. 2021;35:14462–14483. doi: 10.1021/acs.energyfuels.1c02672. [DOI] [Google Scholar]
- 11.Davidson M.G., Elgie S., Parsons S., Young T.J. Production of HMF, FDCA and their derived products: A review of life cycle assessment (LCA) and techno-economic analysis (TEA) studies. Green Chem. 2021;23:3154–3171. doi: 10.1039/D1GC00721A. [DOI] [Google Scholar]
- 12.Rosatella A.A., Simeonov S.P., Frade R.F.M., Afonso C.A.M. 5-Hydroxymethylfurfural (HMF) as a building block platform: Biological properties, synthesis and synthetic applications. Green Chem. 2011;13:754–793. doi: 10.1039/c0gc00401d. [DOI] [Google Scholar]
- 13.Tong X., Ma Y., Li Y. Biomass into chemicals: Conversion of sugars to furan derivatives by catalytic processes. Appl. Catal. A Gen. 2010;385:1–13. doi: 10.1016/j.apcata.2010.06.049. [DOI] [Google Scholar]
- 14.Mukherjee A., Dumont M.-J., Raghavan V. Review: Sustainable production of hydroxymethylfurfural and levulinic acid: Challenges and opportunities. Biomass Bioenergy. 2015;72:143–183. doi: 10.1016/j.biombioe.2014.11.007. [DOI] [Google Scholar]
- 15.Turkin A.A., Makshina E.V., Sels B.F. Catalytic Hydroconversion of 5-HMF to Value-Added Chemicals: Insights into the Role of Catalyst Properties and Feedstock Purity. ChemSusChem. 2022;15:e202200412. doi: 10.1002/cssc.202200412. [DOI] [PubMed] [Google Scholar]
- 16.Galkin K.I., Krivodaeva E.A., Romashov L.V., Zalesskiy S.S., Kachala V.V., Burykina J.V., Ananikov V.P. Critical Influence of 5-Hydroxymethylfurfural Aging and Decomposition on the Utility of Biomass Conversion in Organic Synthesis. Angew. Chem. Int. Ed. 2016;55:8338–8342. doi: 10.1002/anie.201602883. [DOI] [PubMed] [Google Scholar]
- 17.Sheldon R.A. The E factor 25 years on: The rise of green chemistry and sustainability. Green Chem. 2017;19:18–43. doi: 10.1039/C6GC02157C. [DOI] [Google Scholar]
- 18.Sheldon R.A. The E Factor: Fifteen years on. Green Chem. 2007;9:1273–1283. doi: 10.1039/b713736m. [DOI] [Google Scholar]
- 19.Sheldon R.A. Metrics of Green Chemistry and Sustainability: Past, Present, and Future. ACS Sustain. Chem. Eng. 2018;6:32–48. doi: 10.1021/acssuschemeng.7b03505. [DOI] [Google Scholar]
- 20.Jimenez-Gonzalez C.C., Lund C. Green metrics in pharmaceutical development. Curr. Opin. Green Sustain. Chem. 2022;33:100564. doi: 10.1016/j.cogsc.2021.100564. [DOI] [Google Scholar]
- 21.Sheldon R.A., Bode M.L., Akakios S.G. Metrics of green chemistry: Waste minimization. Curr. Opin. Green Sustain. Chem. 2022;33:100569. doi: 10.1016/j.cogsc.2021.100569. [DOI] [Google Scholar]
- 22.Horváth I.T. Introduction: Sustainable Chemistry. Chem. Rev. 2018;118:369–371. doi: 10.1021/acs.chemrev.7b00721. [DOI] [PubMed] [Google Scholar]
- 23.Sheldon R.A. Utilisation of biomass for sustainable fuels and chemicals: Molecules, methods and metrics. Catal. Today. 2011;167:3–13. doi: 10.1016/j.cattod.2010.10.100. [DOI] [Google Scholar]
- 24.Corma A., Iborra S., Velty A. Chemical routes for the transformation of biomass into chemicals. Chem. Rev. 2007;107:2411–2502. doi: 10.1021/cr050989d. [DOI] [PubMed] [Google Scholar]
- 25.Musolino M., Andraos J., Aricò F. An Easy Scalable Approach to HMF Employing DMC as Reaction Media: Reaction Optimization and Comparative Environmental Assessment. ChemistrySelect. 2018;3:2359–2365. doi: 10.1002/slct.201800198. [DOI] [Google Scholar]
- 26.Fiorentino G., Ripa M., Ulgiati S. Chemicals from biomass: Technological versus environmental feasibility. A review. Biofuels Bioprod. Biorefining. 2016;11:195–214. doi: 10.1002/bbb.1729. [DOI] [Google Scholar]
- 27.de Carvalho E.G.L., Rodrigues F.d.A., Monteiro R.S., Ribas R.M., da Silva M.J. Experimental design and economic analysis of 5-hydroxymethylfurfural synthesis from fructose in acetone-water system using niobium phosphate as catalyst. Biomass Convers. Biorefinery. 2018;8:635–646. doi: 10.1007/s13399-018-0319-5. [DOI] [Google Scholar]
- 28.Torres A.I., Daoutidis P., Tsapatsis M. Continuous production of 5-hydroxymethylfurfural from fructose: A design case study. Energy Environ. Sci. 2010;3:1560–1572. doi: 10.1039/c0ee00082e. [DOI] [Google Scholar]
- 29.Tuck C.O., Pérez E., Horváth I.T., Sheldon R.A., Poliakoff M. Valorization of Biomass: Deriving More Value from Waste. Science. 2012;337:695–699. doi: 10.1126/science.1218930. [DOI] [PubMed] [Google Scholar]
- 30.Sheldon R.A. The Road to Biorenewables: Carbohydrates to Commodity Chemicals. ACS Sustain. Chem. Eng. 2018;6:4464–4480. doi: 10.1021/acssuschemeng.8b00376. [DOI] [Google Scholar]
- 31.Sun Z., Fridrich B., de Santi A., Elangovan S., Barta K. Bright Side of Lignin Depolymerization: Toward New Platform Chemicals. Chem. Rev. 2018;118:614–678. doi: 10.1021/acs.chemrev.7b00588. [DOI] [PMC free article] [PubMed] [Google Scholar]
- 32.Anastas P.T., Zimmerman J.B. Chapter 2 The twelve principles of green engineering as a foundation for sustainability. In: Abraham M.A., editor. Sustainability Science and Engineering. Volume 1. Elsevier; Amsterdam, The Netherlands: 2006. pp. 11–32. [Google Scholar]
- 33.Zechendorf B. Sustainable development: How can biotechnology contribute? Trends Biotechnol. 1999;17:219–225. doi: 10.1016/S0167-7799(98)01297-9. [DOI] [PubMed] [Google Scholar]
- 34.Mannion A.M. Sustainable Development and Biotechnology. Environ. Conserv. 2009;19:297–306. doi: 10.1017/S0376892900031416. [DOI] [Google Scholar]
- 35.Escobar N., Laibach N. Sustainability check for bio-based technologies: A review of process-based and life cycle approaches. Renew. Sustain. Energy Rev. 2021;135:110213. doi: 10.1016/j.rser.2020.110213. [DOI] [Google Scholar]
- 36.Strohmann M., Bordet A., Vorholt A.J., Leitner W. Tailor-made biofuel 2-butyltetrahydrofuran from the continuous flow hydrogenation and deoxygenation of furfuralacetone. Green Chem. 2019;21:6299–6306. doi: 10.1039/C9GC02555C. [DOI] [Google Scholar]
- 37.Leitner W., Lercher J.A. From Biomass to Fuels: Homogeneous and Heterogeneous Approaches. Chem. Ing. Tech. 2014;86:1391. doi: 10.1002/cite.201450715. [DOI] [Google Scholar]
- 38.Leitner W., Klankermayer J., Pischinger S., Pitsch H., Kohse-Höinghaus K. Advanced Biofuels and Beyond: Chemistry Solutions for Propulsion and Production. Angew. Chem. Int. Ed. 2017;56:5412–5452. doi: 10.1002/anie.201607257. [DOI] [PubMed] [Google Scholar]
- 39.Yasir M., Chowdhury S., Mansor N., Mohamed N.M., Uemura Y. Upgrading of Pyrolysis Bio-Oil to Fuel over Supported Nanomaterials—A Review. Appl. Mech. Mater. 2014;625:357–360. doi: 10.4028/www.scientific.net/AMM.625.357. [DOI] [Google Scholar]
- 40.Jacobson K., Maheria K.C., Kumar Dalai A. Bio-oil valorization: A review. Renew. Sustain. Energy Rev. 2013;23:91–106. doi: 10.1016/j.rser.2013.02.036. [DOI] [Google Scholar]
- 41.Mohan D., Pittman C.U., Steele P.H. Pyrolysis of Wood/Biomass for Bio-oil: A Critical Review. Energy Fuels. 2006;20:848–889. doi: 10.1021/ef0502397. [DOI] [Google Scholar]
- 42.Jones M.R. Biomass Handbookp. Gordon and Breach Science Publication; New York, NY, USA: 1989. Biomass for Energy. [Google Scholar]
- 43.Demirbas A. Combustion Efficiency Impacts of Biofuels. Energy Sources Part A. 2009;31:602–609. doi: 10.1080/15567030701743718. [DOI] [Google Scholar]
- 44.Ahmad F.B., Kalam M.A., Zhang Z., Masjuki H.H. Sustainable production of furan-based oxygenated fuel additives from pentose-rich biomass residues. Energy Convers. Manag. X. 2022;14:100222. doi: 10.1016/j.ecmx.2022.100222. [DOI] [Google Scholar]
- 45.Jing Y., Guo Y., Xia Q., Liu X., Wang Y. Catalytic Production of Value-Added Chemicals and Liquid Fuels from Lignocellulosic Biomass. Chem. 2019;5:2520–2546. doi: 10.1016/j.chempr.2019.05.022. [DOI] [Google Scholar]
- 46.Wang C., Xu H., Daniel R., Ghafourian A., Herreros J.M., Shuai S., Ma X. Combustion characteristics and emissions of 2-methylfuran compared to 2,5-dimethylfuran, gasoline and ethanol in a DISI engine. Fuel. 2013;103:200–211. doi: 10.1016/j.fuel.2012.05.043. [DOI] [Google Scholar]
- 47.Fischer G., Schwalbe R., Möller M., Ostrowski R., Dott W. Species-specific production of microbial volatile organic compounds (MVOC) by airborne fungi from a compost facility. Chemosphere. 1999;39:795–810. doi: 10.1016/S0045-6535(99)00015-6. [DOI] [PubMed] [Google Scholar]
- 48.Nielsen G.S., Poll L. Determination of Odor Active Aroma Compounds in Freshly Cut Leek (Allium ampeloprasum Var. Bulga) and in Long-Term Stored Frozen Unblanched and Blanched Leek Slices by Gas Chromatography Olfactometry Analysis. J. Agric. Food. Chem. 2004;52:1642–1646. doi: 10.1021/jf030682k. [DOI] [PubMed] [Google Scholar]
- 49.Shen Y.-C., Prakash C.V.S., Kuo Y.-H. Three New Furan Derivatives and a New Fatty Acid from a Taiwanese Marine Sponge Plakortis simplex. J. Nat. Prod. 2001;64:324–327. doi: 10.1021/np000413d. [DOI] [PubMed] [Google Scholar]
- 50.Chen V.Y., Kwon O. Unified Approach to Furan Natural Products via Phosphine-Palladium Catalysis. Angew. Chem. Int. Ed. 2021;60:8874–8881. doi: 10.1002/anie.202015232. [DOI] [PMC free article] [PubMed] [Google Scholar]
- 51.Youssef D.T.A. Alkaloids of the Flowers of Hippeastrum vittatum. J. Nat. Prod. 2001;64:839–841. doi: 10.1021/np0005816. [DOI] [PubMed] [Google Scholar]
- 52.Song K.-S., Cho S.-M., Ka K.-S., Han M.-W., Yoo I.-D. Secondary metabolites from the mycelial culture broth of Phellinus linteus. Han’guk Nonghwa Hakhoechi. 1994;37:100–107. [Google Scholar]
- 53.Schneider G., Anke H., Sterner O. Xylaramide, a New Antifungal Compound, and Other Secondary Metabolites from Xylaria longipes. Z. Naturforsch. C. 1996;51:802–806. doi: 10.1515/znc-1996-11-1206. [DOI] [PubMed] [Google Scholar]
- 54.Mancilla G., Jiménez-Teja D., Femenía-Ríos M., Macías-Sánchez A.J., Collado I.G., Hernández-Galán R. Novel Macrolide from Wild Strains of the Phytopathogen Fungus Colletotrichum Acutatum. Nat. Prod. Commun. 2009;4:1934578X0900400316. doi: 10.1177/1934578X0900400316. [DOI] [PubMed] [Google Scholar]
- 55.Mosadeghzad Z., Zuriati Z., Asmat A., Gires U., Wickneswari R., Pittayakhajonwut P., Farahani G.H.N. Chemical components and bioactivity of the marine-derived fungus Paecilomyces sp. Collected from Tinggi Island, Malaysia. Chem. Nat. Compd. 2013;49:621–625. doi: 10.1007/s10600-013-0693-y. [DOI] [Google Scholar]
- 56.Mukku V.J.R.V., Maskey R.P., Monecke P., Grün-Wollny I., Laatsch H. 5-(2-Methylphenyl)-4-pentenoic Acid from a Terrestrial Streptomycete. Z. Naturforsch. B. 2002;57:335–337. doi: 10.1515/znb-2002-0312. [DOI] [Google Scholar]
- 57.Elbandy M., Shinde P.B., Dang H.T., Hong J., Bae K.S., Jung J.H. Furan Metabolites from the Sponge-Derived Yeast Pichia membranifaciens. J. Nat. Prod. 2008;71:869–872. doi: 10.1021/np070605+. [DOI] [PubMed] [Google Scholar]
- 58.Quiroz-Florentino H., Hernández-Benitez R.I., Aviña J.A., Burgueño-Tapia E., Tamariz J. Total Synthesis of Naturally Occurring Furan Compounds 5-{[(4-Hydroxybenzyl)oxy]methyl}-2-furaldehyde and Pichiafuran C. Synthesis. 2011;2011:1106–1112. [Google Scholar]
- 59.Du X.-M., Sun N.-Y., Irino N., Shoyama Y. Glycosidic Constituents from in Vitro Anoectochilus formosanus. Chem. Pharm. Bull. 2000;48:1803–1804. doi: 10.1248/cpb.48.1803. [DOI] [PubMed] [Google Scholar]
- 60.Fotso S., Maskey R.P., Schröder D., Ferrer A.S., Grün-Wollny I., Laatsch H. Furan Oligomers and β-Carbolines from Terrestrial Streptomycetes. J. Nat. Prod. 2008;71:1630–1633. doi: 10.1021/np800248s. [DOI] [PubMed] [Google Scholar]
- 61.Antal M.J., Mok W.S.L., Richards G.N. Mechanism of formation of 5-(hydroxymethyl)-2-furaldehyde from d-fructose and sucrose. Carbohydr. Res. 1990;199:91–109. doi: 10.1016/0008-6215(90)84096-D. [DOI] [PubMed] [Google Scholar]
- 62.Kus S., Gogus F., Eren S. Hydroxymethyl Furfural Content of Concentrated Food Products. Int. J. Food Prop. 2005;8:367–375. doi: 10.1081/JFP-200060257. [DOI] [Google Scholar]
- 63.Xu Q., Li Y.H., Lü X.Y. Investigation on influencing factors of 5-HMF content in Schisandra. J. Zhejiang Univ. Sci. B. 2007;8:439–445. doi: 10.1631/jzus.2007.B0439. [DOI] [PMC free article] [PubMed] [Google Scholar]
- 64.Li Y.X., Li Y., Qian Z.J., Kim M.M., Kim S.K. In vitro antioxidant activity of 5-HMF isolated from marine red alga Laurencia undulata in free-radical-mediated oxidative systems. J. Microbiol. Biotechnol. 2009;19:1319–1327. doi: 10.4014/jmb.0901.00004. [DOI] [PubMed] [Google Scholar]
- 65.Shen Y.-m., Mu Q.-z. New Furans from Cirsium chlorolepis. Planta Med. 1990;56:472–474. doi: 10.1055/s-2006-961014. [DOI] [PubMed] [Google Scholar]
- 66.Podesta F., Fajardo V., Freyer A.J., Shamma M. 5-Methoxymethyl-2-furaldehyde: A Natural Furanoid from Jaborosa Magellanica (Solanaceae) 5-Methoxymethyl-furfural: Ein natürliches Furanoid aus Jaborosa magellanica (Colanaceae) Arch. Pharm. 1988;321:949. doi: 10.1002/ardp.19883211225. [DOI] [Google Scholar]
- 67.Kobayashi T., Tomimori T., Nakajima T., Yahagi N. Yakugaku Kenkyu. 1958;30:477. [Google Scholar]
- 68.Zheng R.-X., Xu X.-D., Tian Z., Yang J.-S. Chemical constituents from the fruits of Hippophae rhamnoides. Nat. Prod. Res. 2009;23:1451–1456. doi: 10.1080/14786410903075457. [DOI] [PubMed] [Google Scholar]
- 69.Xiang T., Xiong Q.-B., Ketut A.I., Tezuka Y., Nagaoka T., Wu L.-J., Kadota S. Studies on the Hepatocyte Protective Activity and the Structure-Activity Relationships of Quinic Acid and Caffeic Acid Derivatives from the Flower Buds of Lonicera bournei. Planta Med. 2001;67:322–325. doi: 10.1055/s-2001-14337. [DOI] [PubMed] [Google Scholar]
- 70.Choi H., Pyo M., Park K. Cirsiumaldehyde from Gastrodia elata. Nat. Prod. Sci. 1997;3:104–105. [Google Scholar]
- 71.Lee Y.-K., Woo M.-H., Kim C.-H., Kim Y., Lee S.-H., Jeong B.-S., Chang H.-W., Son J.-K. Two New Benzofurans from Gastrodia elata and their DNA Topoisomerases I and II Inhibitory Activities. Planta Med. 2007;73:1287–1291. doi: 10.1055/s-2007-981619. [DOI] [PubMed] [Google Scholar]
- 72.Huang L.-Q., Li Z.-F., Wang Q., Cui Y.-R., Ou Y.-H., Xiong S.-S., Huang W.-P., Feng Y.-L., Yang S.-L. Two new furaldehyde compounds from the rhizomes of Gastrodia elata. J. Asian Nat. Prod. Res. 2015;17:352–356. doi: 10.1080/10286020.2014.984698. [DOI] [PubMed] [Google Scholar]
- 73.Li Z., Wang Q., Ouyang H., Huang L., Feng Y., Wang R., Yang S. New compounds with neuroprotective activities from Gastrodia elata. Phytochem. Lett. 2016;15:94–97. doi: 10.1016/j.phytol.2015.11.015. [DOI] [Google Scholar]
- 74.Xu H., Hsu H.Y. Oriental Materia Medica: A Concise Guide. Oriental Healing Arts Institute; Long Beach, CA, USA: 1986. [Google Scholar]
- 75.Tang W., Eisenbrand G. Chinese Drugs of Plant Origin: Chemistry, Pharmacology, and Use in Traditional and Modern Medicine. Springer; Berlin/Heidelberg, Germany: 1992. Gastrodia elata Bl; pp. 545–548. [Google Scholar]
- 76.Hayashi J., Sekine T., Deguchi S., Lin Q., Horie S., Tsuchiya S., Yano S., Watanabe K., Ikegami F. Phenolic compounds from Gastrodia rhizome and relaxant effects of related compounds on isolated smooth muscle preparation. Phytochemistry. 2002;59:513–519. doi: 10.1016/S0031-9422(02)00008-0. [DOI] [PubMed] [Google Scholar]
- 77.Hsieh M.-T., Wu C.-R., Chen C.-F. Gastrodin and p-hydroxybenzyl alcohol facilitate memory consolidation and retrieval, but not acquisition, on the passive avoidance task in rats. J. Ethnopharmacol. 1997;56:45–54. doi: 10.1016/S0378-8741(96)01501-2. [DOI] [PubMed] [Google Scholar]
- 78.Wu C.-R., Hsieh M.-T., Huang S.-C., Peng W.-H., Chang Y.-S., Chen C.-F. Effects of Gastrodia elata and its Active Constituents on Scopolamine-Induced Amnesia in Rats. Planta Med. 1996;62:317–321. doi: 10.1055/s-2006-957892. [DOI] [PubMed] [Google Scholar]
- 79.Kuo Y.-H., Lee P.-H., Wein Y.-S. Four New Compounds from the Seeds of Cassia fistula. J. Nat. Prod. 2002;65:1165–1167. doi: 10.1021/np020003k. [DOI] [PubMed] [Google Scholar]
- 80.Ni G., Shi G.-R., Zhang D., Fu N.-J., Yang H.-Z., Chen X.-G., Yu D.-Q. Cytotoxic Lignans and Sesquiterpenoids from the Rhizomes of Acorus tatarinowii. Planta Med. 2016;82:632–638. doi: 10.1055/s-0035-1568248. [DOI] [PubMed] [Google Scholar]
- 81.Yang R., Yan Z., Chen C., Liu J. Constituents and Activities of Acorus tatarinowii. Med. Res. Arch. 2017;5 doi: 10.18103/mra.v5i7.1346. [DOI] [Google Scholar]
- 82.Boukamcha H., Jannet H.B., Bouazizi Y., Mighri Z. Isolation and Structure Determination of a Novel Furanic Ester from the Aerial Part of Prasium Majus. Nat. Prod. Res. 2003;17:63–66. doi: 10.1080/1478641031000062214. [DOI] [PubMed] [Google Scholar]
- 83.Sanghyun L., Jun J., Kuk H.S., Bak-Kwang K. Sessiline, A New Nitrogenous Compound from the Fruits of Acanthopanax sessiliflorus. Planta Med. 2002;68:939–941. doi: 10.1055/s-2002-34925. [DOI] [PubMed] [Google Scholar]
- 84.Ilkei V., Faragó K., Sánta Z., Dékány M., Hazai L., Szántay Jr C., Szántay C., Kalaus G. The First Synthesis of Sessiline. Int. J. Org. Chem. 2014;4:309–313. doi: 10.4236/ijoc.2014.45033. [DOI] [Google Scholar]
- 85.Kaweetripob W., Mahidol C., Prachyawarakorn V., Prawat H., Ruchirawat S. 5-Formylfurfuryl esters from Duabanga grandiflora. Phytochemistry. 2012;76:78–82. doi: 10.1016/j.phytochem.2012.01.014. [DOI] [PubMed] [Google Scholar]
- 86.Siddiqui B.S., Perwaiz S., Begum S., Ali S.T. Three new constituents, latifolinal, latifolidin and cordicinol, from the fruits and leaves of Cordia latifolia. Nat. Prod. Res. 2010;24:160–166. doi: 10.1080/14786410902951112. [DOI] [PubMed] [Google Scholar]
- 87.Duan L.-X., Feng B.-M., Chen F., Liu J.-Y., Li F., Wang Y.-Q., Pei Y.-H. Sinapic acid derivatives from the seeds of Raphanus nussatirus L. J. Asian Nat. Prod. Res. 2007;9:557–561. doi: 10.1080/10286020600883468. [DOI] [PubMed] [Google Scholar]
- 88.Fan G.-X., Zhi D.-J., Ren H., Li Z.-Y., Hu Q.-L., Liu Y.-H., Zhang Z.-X., Fei D.-Q. A New Succinate Derivative from Ajuga decumbens. Nat. Prod. Commun. 2016;11:1934578X1601100. doi: 10.1177/1934578X1601100420. [DOI] [PubMed] [Google Scholar]
- 89.Samoylenko V., Zhao J., Dunbar D.C., Khan I.A., Rushing J.W., Muhammad I. New Constituents from Noni (Morinda citrifolia) Fruit Juice. J. Agric. Food. Chem. 2006;54:6398–6402. doi: 10.1021/jf060672u. [DOI] [PubMed] [Google Scholar]
- 90.Quiroz-Florentino H., García A., Burgueño-Tapia E., Tamariz J. Total synthesis of the natural succinate derivative of 5-(hydroxymethyl)furfural isolated from the Noni fruit (Morinda citrifolia) Nat. Prod. Res. 2009;23:1355–1362. doi: 10.1080/14786410903040477. [DOI] [PubMed] [Google Scholar]
- 91.Chuda Y., Ono H., Ohnishi-Kameyama M., Matsumoto K., Nagata T., Kikuchi Y. Mumefural, Citric Acid Derivative Improving Blood Fluidity from Fruit-Juice Concentrate of Japanese Apricot (Prunus mume Sieb. et Zucc) J. Agric. Food. Chem. 1999;47:828–831. doi: 10.1021/jf980960t. [DOI] [PubMed] [Google Scholar]
- 92.Sriwilaijaroen N., Kadowaki A., Onishi Y., Gato N., Ujike M., Odagiri T., Tashiro M., Suzuki Y. Mumefural and related HMF derivatives from Japanese apricot fruit juice concentrate show multiple inhibitory effects on pandemic influenza A (H1N1) virus. Food Chem. 2011;127:1–9. doi: 10.1016/j.foodchem.2010.12.031. [DOI] [Google Scholar]
- 93.Sugimura H., Kikuchi M., Kato S., Sekita W., Sasaki I. Practical synthesis of mumefural, a component of Japanese apricot juice concentrate. Tetrahedron. 2016;72:7638–7641. doi: 10.1016/j.tet.2016.10.026. [DOI] [Google Scholar]
- 94.Wang X., Wang H.-Q., Kang J., Liu C., Chen R.-Y. Studies on chemical constituents from fruits of Morus alba L. Acta Pharmacol. Sin. 2014;49:504–506. [PubMed] [Google Scholar]
- 95.Li J., Zeng K.-W., Shi S.-P., Jiang Y., Tu P.-F. Anti-neuroinflammatory constituents from Polygala tricornis Gagnep. Fitoterapia. 2012;83:896–900. doi: 10.1016/j.fitote.2012.03.025. [DOI] [PubMed] [Google Scholar]
- 96.Ito T., Sato A., Ono T., Goto K., Maeda T., Takanari J., Nishioka H., Komatsu K., Matsuura H. Isolation, Structural Elucidation, and Biological Evaluation of a 5-Hydroxymethyl-2-furfural Derivative, Asfural, from Enzyme-Treated Asparagus Extract. J. Agric. Food. Chem. 2013;61:9155–9159. doi: 10.1021/jf402010c. [DOI] [PubMed] [Google Scholar]
- 97.Feng Z.-M., Zhan Z.-L., Yang Y.-N., Jiang J.-S., Zhang P.-C. New heterocyclic compounds from Ranunculus ternatus Thunb. Bioorg. Chem. 2017;74:10–14. doi: 10.1016/j.bioorg.2017.07.004. [DOI] [PubMed] [Google Scholar]
- 98.Lin A.-S., Qian K., Usami Y., Lin L., Itokawa H., Hsu C., Morris-Natschke S.L., Lee K.-H. 5-Hydroxymethyl-2-furfural, a clinical trials agent for sickle cell anemia, and its mono/di-glucosides from classically processed steamed Rehmanniae Radix. J. Nat. Med. 2008;62:164–167. doi: 10.1007/s11418-007-0206-z. [DOI] [PubMed] [Google Scholar]
- 99.Lichtenthaler F.W., Martin D., Weber T., Schiweck H. Studies on Ketoses, 7 – 5-(α-D-Glucosyloxymethyl)furfural: Preparation from Isomaltulose and Exploration of Its Ensuing Chemistry. Liebigs Ann. 1993;1993:967–974. doi: 10.1002/jlac.1993199301154. [DOI] [Google Scholar]
- 100.Ruß C., Luff C., Begli A.H., Koenig B. Solvent-Free Preparation of 5-(α-D-Glucosyloxymethyl)furfural from Isomaltulose–Choline Chloride Melts. Synth. Commun. 2012;42:3112–3116. doi: 10.1080/00397911.2011.576375. [DOI] [Google Scholar]
- 101.Yan X.-T., Li W., Sun Y.-N., Yang S.Y., Song G.Y., Kim Y.H. A New Furfural Diglycoside and Other Carbohydrate Derivatives from Fermented Beverage of Prunus mume Fruit. Bull. Korean Chem. Soc. 2014;35:2162–2164. doi: 10.5012/bkcs.2014.35.7.2162. [DOI] [Google Scholar]
- 102.Nguyen K.D.H., Dang P.H., Nguyen H.X., Nguyen M.T.T., Awale S., Nguyen N.T. Phytochemical and cytotoxic studies on the leaves of Calotropis gigantea. Bioorg. Med. Chem. Lett. 2017;27:2902–2906. doi: 10.1016/j.bmcl.2017.04.087. [DOI] [PubMed] [Google Scholar]
- 103.Ding L.-J., Gu B.-B., Jiao W.-H., Yuan W., Li Y.-X., Tang W.-Z., Yu H.-B., Liao X.-J., Han B.-N., Li Z.-Y., et al. New Furan and Cyclopentenone Derivatives from the Sponge-Associated Fungus Hypocrea Koningii PF04. Mar. Drugs. 2015;13:5579–5592. doi: 10.3390/md13095579. [DOI] [PMC free article] [PubMed] [Google Scholar]
- 104.Lian L., Fan X.-M., Chen G., Li W., Lu X., Ma H.-M., Shen M.-X., Pei Y.-H. Two new compounds from the fruits of Trichosanthes kirilowii Maxim. J. Asian Nat. Prod. Res. 2012;14:64–67. doi: 10.1080/10286020.2011.631913. [DOI] [PubMed] [Google Scholar]
- 105.He J., Ye X.-S., Wang X.-X., Yang Y.-N., Zhang P.-C., Ma B.-Z., Zhang W.-K., Xu J.-K. Four new iridoid glucosides containing the furan ring from the fruit of Cornus officinalis. Fitoterapia. 2017;120:136–141. doi: 10.1016/j.fitote.2017.06.003. [DOI] [PubMed] [Google Scholar]
- 106.Zhao L.-h., Ding Y.-x., Zhang L., Li L. Cornel iridoid glycoside improves memory ability and promotes neuronal survival in fimbria–fornix transected rats. Eur. J. Pharmacol. 2010;647:68–74. doi: 10.1016/j.ejphar.2010.08.016. [DOI] [PubMed] [Google Scholar]
- 107.Angewandte Chemie International Edition China Pharmacopoeia Commission . Pharmacopoeia of the People’s Republic of China. China Medical Science Press; Beijing, China: 2010. [Google Scholar]
- 108.Liktor-Busa E., Simon A., Tóth G., Báthori M. The first two ecdysteroids containing a furan ring from Serratula wolffii. Tetrahedron Lett. 2008;49:1738–1740. doi: 10.1016/j.tetlet.2008.01.074. [DOI] [Google Scholar]
- 109.Shu Z., Chen Z., Ding X.-J., Lu B.-Q., Ji C.-J., Xu Q.-M., Li X.-R., Yang S.-L. Three New Triterpenoids from Pulsatilla chinensis (Bunge) Regel and Their Cytotoxic Activities. Heterocycles. 2011;83:2365–2371. doi: 10.3987/COM-11-12300. [DOI] [Google Scholar]
- 110.Ye W.C., Ji N.N., Zhao S.X., Liu J.H., Ye T., McKervey M.A., Stevenson P. Triterpenoids from Pulsatilla chinensis. Phytochemistry. 1996;42:799–802. doi: 10.1016/0031-9422(96)00043-x. [DOI] [PubMed] [Google Scholar]
- 111.Yang L., Jiang H., Yan M.-L., Xing X.-D., Zhang Y.-Y., Wei N., Yang B.-Y., Wang Q.-H., Kuang H.-X. A new phytoecdysteroid from the roots of Achyranthes bidentata Bl. Nat. Prod. Res. 2017;31:1073–1079. doi: 10.1080/14786419.2016.1272114. [DOI] [PubMed] [Google Scholar]
- 112.Mohamed O.G., Khalil Z.G., Capon R.J. Prolinimines: N-Amino-l-Pro-methyl Ester (Hydrazine) Schiff Bases from a Fish Gastrointestinal Tract-Derived Fungus, Trichoderma sp. CMB-F563. Org. Lett. 2018;20:377–380. doi: 10.1021/acs.orglett.7b03666. [DOI] [PubMed] [Google Scholar]
- 113.Citron C.A., Rabe P., Dickschat J.S. The Scent of Bacteria: Headspace Analysis for the Discovery of Natural Products. J. Nat. Prod. 2012;75:1765–1776. doi: 10.1021/np300468h. [DOI] [PubMed] [Google Scholar]
- 114.Munekata M., Tamura G. Antitumor activity of 5-hydroxymethyl-2-furoic acid. Agric. Biol. Chem. 1981;45:2149–2150. [Google Scholar]
- 115.Abdel-Lateff A., Fisch K.M., Wright A.D., König G.M. A New Antioxidant Isobenzofuranone Derivative from the Algicolous Marine Fungus Epicoccum sp. Planta Med. 2003;69:831–834. doi: 10.1055/s-2003-43209. [DOI] [PubMed] [Google Scholar]
- 116.Abdel-Lateff A., Klemke C., König G.M., Wright A.D. Two New Xanthone Derivatives from the Algicolous Marine Fungus Wardomyces anomalus. J. Nat. Prod. 2003;66:706–708. doi: 10.1021/np020518b. [DOI] [PubMed] [Google Scholar]
- 117.Jadulco R., Proksch P., Wray V., Sudarsono, Berg A., Gräfe U. New Macrolides and Furan Carboxylic Acid Derivative from the Sponge-Derived Fungus Cladosporium herbarum. J. Nat. Prod. 2001;64:527–530. doi: 10.1021/np000401s. [DOI] [PubMed] [Google Scholar]
- 118.Mrochek J.E., Rainey W.T., Jr. Identification and Biochemical Significance of Substituted Furans in Human Urine. Clin. Chem. 1972;18:821–828. doi: 10.1093/clinchem/18.8.821. [DOI] [PubMed] [Google Scholar]
- 119.Lawson A.M., Chalmers R.A., Watts R.W. Urinary organic acids in man. I. Normal patterns. Clin. Chem. 1976;22:1283–1287. doi: 10.1093/clinchem/22.8.1283. [DOI] [PubMed] [Google Scholar]
- 120.Liu T., Liu L., Jiang X., Huang X., Chen J. A new furanoid toxin produced by Curvularia lunata, the causal agent of maize Curvularia leaf spot. Can. J. Plant Pathol. 2009;31:22–27. doi: 10.1080/07060660909507568. [DOI] [Google Scholar]
- 121.Wu J., Uchida K., Ridwan A.Y., Kondo M., Choi J.-H., Hirai H., Kawagishi H. Erinachromanes A and B and Erinaphenol A from the Culture Broth of Hericium erinaceus. J. Agric. Food. Chem. 2019;67:3134–3139. doi: 10.1021/acs.jafc.8b06050. [DOI] [PubMed] [Google Scholar]
- 122.Kozlov K.S., Romashov L.V., Ananikov V.P. A tunable precious metal-free system for selective oxidative esterification of biobased 5-(hydroxymethyl)furfural. Green Chem. 2019;21:3464–3468. doi: 10.1039/C9GC00840C. [DOI] [Google Scholar]
Associated Data
This section collects any data citations, data availability statements, or supplementary materials included in this article.
Data Availability Statement
No new experimental data were created.








